You are currently on the new version of our website. Access the old version .
SustainabilitySustainability
  • Article
  • Open Access

24 January 2025

Impact of Traffic Park Use on Children’s Traffic Rule Awareness and Behavioral Intentions: Case Study in Toyohashi City

,
and
Department of Architecture and Civil Engineering, Toyohashi University of Technology, Toyohashi 441-8580, Aichi, Japan
*
Author to whom correspondence should be addressed.
This article belongs to the Special Issue Sustainable Urban Mobility Management and Road Behavior of Vulnerable Users

Abstract

To ensure children’s safe independent mobility on the road, they need to learn basic traffic rules. In this case, traffic rule education in a realistic environment through a play-way method can be a significant learning strategy. This research focuses on the “Traffic Park (TP)”, which provides that opportunity. Specifically, this research examined how elementary school children’s knowledge of traffic rules and behavioral intentions are influenced by their experiences of using and playing in a TP before and after they start school. Children from four different elementary schools (grades 1~6) were surveyed in Toyohashi City, Japan using a web-based questionnaire survey. Structural equation modeling (SEM) was applied to analyze the effect of TP use experience on children’s awareness of traffic rules and behavioral intentions. Three distinct SEM models were tested to measure the effect pattern of children’s TP use experience on their traffic rule awareness and behavioral intentions. The results show that TP use experience before entering school has a statistically significant effect on children’s traffic rule awareness (β = 0.16, p < 0.004; model 1) and behavioral intention improvement (β = 0.09, p < 0.07; model 2). However, TP use experience after entering school was found to have no significant effect. Finally, children’s TP use experience indirectly improves their behavioral intentions (β = 0.74, p < 0.001; model 3) by improving their awareness of traffic rules. Overall, the findings of this study highlight the contribution of TPs in promoting children’s safe independent mobility and fostering the development of sustainable child-friendly cities worldwide.

1. Introduction

Children’s independent mobility (not accompanied by adults) is significant for their social, physical, and mental development [1]. It can also help alleviate traffic congestion and parking problems around schools and residential areas during peak mornings [2]. Many researchers emphasize the significance of children’s independent mobility and group commuting [3,4]. As a consequence, some countries have been trying to promote these practices for better traffic safety [5,6,7]. However, due to their vulnerability to traffic accidents, parents often restrict children’s outdoor activities [8,9], leading to a decline in their opportunities to walk, cycle, and play independently in some nations in the 21st century [10]. Addressing these safety concerns is critical to fostering children’s independence and promoting long-term sustainable development.
In Japan, children are encouraged to walk independently from an early age. Most elementary school children walk to and from school independently by forming a small group called a “shuudantōgekō” in Japanese and “walking school bus (WSB)” in English [11]. As a result, independent mobility increases significantly by the age of seven, making Japanese children among the highest ranked in the world for independent school commuting [1]. However, this age group has also been involved in traffic accidents in recent years [12], underscoring the need for effective traffic safety education. Meanwhile, in North America and Europe, the “bike bus” has gained popularity. This program, however, demands advanced navigation skills, especially for children, to ensure safe interactions with traffic and pedestrians [13].
Research suggests that child pedestrian traffic accidents often result from their mistakes due to insufficient traffic knowledge, behavior [14,15], cognitive and perceptive skills, as well as a lack of experience of walking independently [16,17]. To address this, basic traffic safety education is essential to enhance their understanding of traffic risks and prevent unsafe behaviors. Effective traffic safety education programs should focus on skill acquisition to help children recognize and select safe situations, and behave as safely as possible in those situations [18]. This education or training should begin in early childhood and continue through primary school [19]. Children aged 2–7 can learn fundamental traffic safety behaviors, such as stopping at crossings and scanning for traffic [20]. Consequently, the following question may arise: how can we teach children traffic safety so that they behave appropriately in the actual traffic environment? To explore this, we examined various traffic safety education programs from different countries, assessing their methods and effectiveness (Table 1). Using Scopus, we conducted a comprehensive search with keywords such as “children traffic safety education”, “child safety training”, “children street crossing behavior”, “street crossing”, “children traffic awareness and behavior”, and “child pedestrian”. This search yielded a total of 32 relevant papers. After thoroughly examining these papers, we identified 13 distinct methods used for teaching children traffic safety. Each paper was classified based on its educational approach to traffic safety. However, two papers were excluded from the study as they did not meet the established inclusion criteria. The common methods identified include virtual reality, computer-based video games, video simulations, interactive learning programs, and classroom-oriented initiatives.
Table 1. A literature review on children’s traffic safety education programs.
Research on virtual reality (VR) programs for educating children on road safety has produced varied results. Meir et al. [21] found that children’s hazard perception in complex traffic scenes was average using dome projections, while Feng et al. [22] observed significant improvements in road-crossing performance highlighting the necessity for real-world practice. Purcell and Romijn [23] noted that children with developmental coordination disorder (DCD) struggled in VR road-crossing tasks, suggesting a need for varied teaching methods. Schwebel et al. [24] concluded that twice-a-week VR training over six weeks was insufficient for children to achieve adult-level road-crossing skills.
Research on the effectiveness of computer-based video games in children’s traffic safety education shows mixed results. Gamified e-learning improves children’s traffic knowledge in familiar road environments but not in unfamiliar ones [26]. It can improve children’s awareness of pedestrian safety, but further studies are necessary to examine long-term retention [27]. iPad games have been shown to improve virtual road-crossing skills, but their real-world effectiveness is uncertain [28]. This technique may not effectively enhance traffic safety understanding and risk perception in young cyclists [29]. Similarly, video projection programs had little impact on improving children’s road safety knowledge [31] but may help prepare them for more advanced strategic learning approaches [32].
An active learning intervention demonstrates that street-crossing knowledge and behavior improve shortly after implementation, but these improvements tend to decline over time [40,41,42]. On the other hand, classroom-oriented short-term training programs significantly improved preschool children’s traffic safety knowledge and road-crossing behavior [35]. However, school-based cycling programs [36] and traffic informer programs [37] showed no noticeable impact on children’s behavior. A comparative study by Zare et al. [38] indicated that school-based education was more effective in promoting safe crossing behavior than traffic park-based education. Another study showed that 7-year-olds trained in a traffic garden exhibited better behavior than those trained in other environments [50].
Various methods, including technology-based interventions and classroom-oriented programs, have been explored for traffic safety education. While some approaches improve immediate knowledge or behavior, their effectiveness often diminishes over time without repeated practice in real environments. For instance, VR training can enhance hazard perception and raise safety awareness in the short term. However, it often fails to replicate the complexity of real-world environments and lacks long-term effectiveness [21,22,23,24]. Similarly, computer-based games and classroom programs show short-term improvements but lack long-term impact without repeated practice [26,27,28,29,31,32,35,40,41,42].
Given these limitations, experiential learning approaches that provide hands-on practice in realistic environments are increasingly recognized as essential for effective traffic safety education [24,40,43,45]. Traffic parks (TPs) offer such experiential opportunities for children. A TP is a miniature street network featuring roads, pedestrian crossings, traffic signs, and traffic lights. It allows children to learn traffic rules from the position of a pedestrian and a cyclist while riding bicycles and interacting with pedestrians in a safe, controlled environment. While it is unclear which country invented the first TP, it is assumed that it was introduced in Europe, and its popularity has spread worldwide. During the so-called “traffic war” in Japan, more than 200 TPs were established nationwide to address growing concerns about children’s road safety [51]. However, due to administrative reforms in the 2000s, about 30% of the TPs in Japan have lost their function and the effectiveness of the remaining TPs in educating children about traffic safety remains unclear [51]. Despite their potential as a hands-on educational tool, there is limited research assessing their long-term effectiveness, particularly in Japan, where usage has declined in recent decades. Therefore, this study aims to bridge this gap by investigating the contribution of TPs to children’s traffic safety education. Specifically, it examines how elementary school students’ knowledge of traffic rules and behavioral intentions are influenced by their experiences of using and playing at a TP before and after entering school.

2. Materials and Methods

2.1. Toyohashi Traffic Park (TP) as a Case Study

The Toyohashi traffic park, established in 1969 in Toyohashi City, Japan, covers an area of 7400 m2 and is fully equipped with the necessary facilities in accordance with TP installation and operation guidelines. The park’s primary objective is to provide regular traffic safety education for children, offering a space where they can engage in play while learning various traffic safety rules through practical experience. The park’s infrastructure includes hard facilities such as roads, traffic signs, traffic lights, signalized and non-signalized intersections, pedestrian crossings, and railroad crossings (Figure 1). It also features soft facilities, including bicycles, go-karts, and other rental vehicles. Additionally, the park has indoor facilities within the administrative building and a meeting area.
Figure 1. Toyohashi traffic park.
Access to the Toyohashi TP is free and open to the public, but only elementary and lower-than-elementary school children are permitted to use the riding facilities. The majority of the park’s users are children accompanied by adults. According to the TP manager, the park saw an average monthly attendance of 4189 visitors, including 1357 preschool children (32%), 962 from elementary schools (23%), 225 from junior high schools (5%), 143 high school students (3%), and 1502 adults (36%) in 2019. Children can rent bicycles from the TP office, and ride following the park’s guidelines. Before riding, children receive road safety and traffic rule instructions through photographs or illustrations provided by the TP operator. The operator also monitors compliance with traffic rules and promptly warns any individual children, adults, pedestrians, or cyclists who are found in violation during activities around the park.
The park includes designated pedestrian crossings where bicyclists and pedestrians can intersect, and parents have the opportunity to observe their children during activities around the park. The primary traffic rules taught at Toyohashi TP include the following: (1) to use pedestrian crosswalks, (2) to ride bicycles on the left side of the road, (3) to stop at the stop line with a “stop” sign, (4) to stop for a pedestrian who is about to cross the crosswalk, (5) to get off the bicycle at railroad crossings, (6) to observe traffic lights, and (7) performing a two-step right turn at signalized intersections. In the case of rule 7, when riding a bicycle to turn right at a signal intersection, the cyclist must ride along the side of the intersection and use the two-step right turn method. The interactive and instructive environment at Toyohashi TP has the potential to enhance children’s awareness and behavior regarding traffic rules through experiential learning.

2.2. Questionnaire Design and Data Collection

A web-based questionnaire survey was used to collect data on elementary school children’s awareness and behavioral intentions regarding traffic rules, as well as the frequency of using the TP. Figure 2 illustrates the questionnaire framework. The traffic rules questionnaire was designed considering the guidance provided at Toyohashi TP. The questionnaire was written in Japanese (translated into English in this paper) with consideration for age-appropriateness. The participants in this study were elementary school children from grades 1 to 6 attending four elementary schools (schools A, B, C, and D) located near Toyohashi TP. A request letter containing a QR code and URL for the web questionnaire was distributed to the children, who were instructed to complete it with the help of their parents using a PC, smartphone, or other device. It is important to mention that elementary school children in Japan use tablet computers in the classroom. To complete the web questionnaire survey, children were also encouraged to seek parental assistance when needed, particularly when answering the item on the frequency of TP usage, as they may forget how frequently they visit.
Figure 2. Questionnaire framework.
The first section of the questionnaire was about children’s grades and gender. The second section assessed their awareness and usual behavioral intentions concerning 10 traffic rules taught at the TP. In this context, “awareness” refers to the children’s understanding of the traffic rules, regardless of whether they followed or did not follow them in an actual traffic environment. The term “behavioral intention” refers to how children usually behave in their daily lives concerning traffic rules in real traffic environments. Each traffic rule was assessed with two questions: one focused on awareness (Qn_1, where n represents the traffic rule, from 1 to 10) and the other on behavioral intention (Qn_2), for a total of 20 questions covering 10 traffic rules (Figure 3). Each question had five options, and they were asked to choose one of them (Table 2). In the third section, we asked the parents for similar traffic rules to assess their recognition of traffic rules. The final section was about the frequency of children’s TP use when they were in preschool, grade 1~2, grade 3~4, and grade 5~6. The response options for the frequency of TP use included the following: “at least once a week”, “about 1–3 times a month”, “about once every 2–3 months”, “about once in a half year”, “about once a year”, “never used”, “still 1st and 2nd grade”, and “still 1st to 4th grade”. We retained the last two response options because students may continue to use the TP as frequently as they did in the previous grade.
Figure 3. Questionnaire design of the study.
Table 2. Example of answer options for individual questions about traffic rules.

2.3. Conceptual Structural Equation Modeling (SEM) and Hypothesis

Based on the objectives of this research, we anticipated that children’s grade, gender, and TP use experience before and after entering school would impact their traffic rule awareness and behavioral intentions. This led to the following conceptual SEM model (Figure 4) and the hypotheses:
Figure 4. Conceptual model and hypothesis.
H1: 
The TP usage experience of children before entering school has a significant direct effect on enhancing their traffic rule awareness and behavioral intentions.
H2: 
The TP usage experience of children after entering school has a significant direct effect on enhancing their traffic rule awareness and behavioral intentions.
H3: 
The TP usage experience of children before entering school has a significant indirect effect on traffic rule awareness and behavioral intentions through continued use after entering school. It is posited that children who use the TP before entering school are likely to continue using it afterward.
H4: 
The TP usage experience of children has a significant indirect effect on traffic rule behavioral intentions through awareness. We expect that enhanced traffic rule awareness resulting from TP use will indirectly improve behavioral intentions.
H5: 
Grade differences among children have a significant direct effect on traffic rule awareness and behavioral intentions.
H6: 
Gender differences among children have a significant direct effect on traffic rule awareness and behavioral intentions.
H7: 
Differences among schools directly or indirectly affect traffic rule awareness and behavioral intentions. It is expected that children from School A will use the TP more frequently, resulting in greater traffic rule awareness and behavioral intentions compared with others.

2.4. Data Processing and SEM Model Fit Criteria

A total of 808 respondents’ data were collected and processed through a three-step analysis. In the first step, we assessed the elementary school children’s experiences with the TP both before and after they entered elementary school. In the second step, we conducted an aggregate analysis of each traffic safety rule, taking into account the children’s grades and the frequency of their TP use before and after entering elementary school. Finally, to predict the effect of TP use experience on children’s traffic safety awareness and behavioral intentions, we performed SEM analyses. For the SEM modeling, all categorical variables were converted into dummy variables. Based on the conceptual model, we developed three SEM models: awareness, behavioral intention, and an integrated model using the lavaan package in RStudio with the maximum likelihood estimation method. The first model estimated the effect of TP use experience on children’s traffic rule awareness. The second model estimated the effect of TP use experience on children’s traffic rule behavioral intentions. The third model was an integrated model estimating the effect of children’s traffic rule awareness on their behavioral intentions. Various measures were employed to test the overall model fit: Comparative Fit Index (CFI; good fit if ≥0.90), Tucker–Lewis Index (TLI; good fit if ≥0.90), goodness-of-fit statistic (GFI; good fit if ≥0.90), adjusted goodness-of-fit statistic (AGFI; good fit if ≥0.90), Root Mean Square Error of Approximation (RMSEA; good fit if ≤0.06 to ≤0.08), and Standardized Root Mean Square Residual (SRMR; good fit if ≤0.08) [52]. Significance levels of p < 0.1 and p < 0.01 were considered in the model.

3. Results

3.1. Participants Frequency of TP Use

Table 3 provides a summary of the participants’ response status, indicating that approximately 98% of households were aware of the existence of Toyohashi TP. The total number of students in grades 1 to 6 across the four schools was 1602, from which we received 808 responses. The overall response rate among the four elementary schools was 50.4%, with each grade level showing a response rate between 45% and 60%. However, the response rates for 6th grade students at School B and School D were 29% and 26%, respectively, which may be attributed to the increased academic responsibilities of students in higher grades. Responses were nearly evenly split between boys and girls. School A, the closest school to the TP, had a higher response rate compared with the other three schools.
Table 3. Questionnaire responses status.
Figure 5 illustrates the frequency of TP use by respondents before and after entering elementary school. A significant 90% of respondents reported having used Toyohashi TP before starting school, suggesting that most children had experience with the TP prior to entering elementary school. The most common frequency of TP use before school and in grades 1~2 was about once every 2–3 months. For grades 3~4 and 5~6, the frequency was about once every six months. Although there is a general trend of decreasing TP use frequency with increasing grade level, approximately 60% of the children continued to use the TP once or several times a year in the higher grades.
Figure 5. Frequency of traffic park use.

3.2. Aggregate Analysis

In this article, due to space constraints, only the results of Q03 (“ride a bicycle on the left side of the road”) are presented. Figure 6 shows that awareness of this rule (Q03_1) improves with grade level, as positive responses (“must” and “better to”) increase while “do not know” responses decrease. However, the behavioral intention (Q03_2) figure shows no such increase in positive behavioral (“always” or “often”) responses. This suggests that many children may ride on the sidewalk even after knowing the traffic rules.
Figure 6. Q03: children’s awareness and behavior response based on grade (ride a bicycle on the left side of a road), (a) awareness (b) behavioral intention.
Figure 7 shows the ratio of elementary school children’s awareness and behavioral responses by the frequency of TP use when they were in preschool. The awareness figure shows that positive responses (“must” and “better to”) tend to increase with a frequency of TP use of once every 2–3 months or more. However, the behavior figure shows that positive responses (“always” and “often”) do not increase in proportion to the frequency of TP use, indicating that there is no particular relationship between the frequency of TP use and behavior.
Figure 7. Q03: children’s awareness and behavior responses based on frequency of traffic park use before school enrolment (ride a bicycle on the left side of a road), (a) awareness (b) behavioral intention.
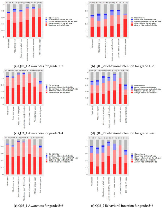
Figure 8 illustrates children’s traffic safety awareness (left-side bar chart) and behavioral intentions (right-side bar chart) in relation to the frequency of TP visits after they started attending school in grades 1 to 6. The awareness bar charts show that even with frequent TP use (once a week or more), some respondents still answer “do not know”. Positive responses, such as “better to” or “must” ride on the left side of the road, display a fluctuating and generally declining trend as TP use increases. Similarly, the behavioral intention bar charts reveal that a notable proportion of respondents answer “do not know” despite frequent visits to a TP. Positive responses, including “often” or “always” riding on the left side of the road, also follow a fluctuating but declining trend with increased TP use. Overall, these findings indicate no clear correlation between the frequency of TP visits and children’s traffic safety awareness or behavioral intentions.
Figure 8. Q03: Children’s awareness and behavior responses regarding riding a bicycle on the left side of the road, based on the frequency of traffic park use after school enrollment. The top two figures represent responses for grades 1~2, the middle figures for grades 3~4, and the bottom figures for grades 5~6.

3.3. SEM for Traffic Safety Education

This study used SEM to examine how TP use experience influences children’s traffic rule awareness and behavioral intentions. SEM, a multivariate technique used since the 1920s, combines factorial analysis and regression to analyze complex relationships between observed and latent variables [53]. It includes a measurement model and a path model, allowing for the evaluation of both direct and indirect effects. SEM is widely used across various fields [53] and is suitable for analyzing the cause–effect relationships in this study between TP use, traffic rule awareness, and behavioral intention.
However, the assessment of the SEM model is crucial, as it involves hypotheses about how variables are related. To evaluate the model’s goodness-of-fit, two common methods are used: the chi-square goodness-of-fit statistic and fit indices that measure the degree of fit [54]. In this study, three SEM models—awareness, behavior, and an integrated model—were tested for the effect of TP use on children’s traffic rule awareness and behavioral intentions (Table 4). The degrees of freedom of the three models are relatively low. However, it is well known that the chi-square (χ2) goodness-of-fit statistic in SEM models is sensitive to sample size, often increasing with larger samples. With a reasonably large sample size of 724, the χ2 statistic in this case is expected to be high, although it remains manageable. To address this limitation, alternative descriptive goodness-of-fit indices, such as CFI, TLI, GFI, AGFI, RMSEA, and SRMR, were used to evaluate model fit. According to established guidelines, CFI, TLI, GFI, and AGFI values closer to 1 (with thresholds of CFI, TLI, GFI, and AGFI values > 0.90) indicate a good fit [52]. Additionally, RMSEA values between ≤0.06 to ≤0.08 and SRMR ≤ 0.08 are considered acceptable indicators of model fit [52]. In this study, the awareness model demonstrates a moderately good fit with a CFI of 0.88 and TLI of 0.85, while the GFI (0.95), AGFI (0.92), RMSEA (0.04), and SRMR (0.03) indicate a good fit. Similarly, the behavioral intention model shows a moderately good fit with a CFI of 0.89 and a TLI of 0.86, and good fit indices for GFI (0.95), AGFI (0.92), RMSEA (0.05), and SRMR (0.04). In contrast, the integrated model has poor fit indices, with a CFI of 0.63 and a TLI of 0.57. However, the RMSEA (0.07) and SRMR (0.06) remain within acceptable ranges, suggesting a reasonable approximation of the observed data. Hu and Bentler [55] highlight that complex models, such as integrated models combining multiple constructs, often exhibit poorer fit indices due to increased parameter estimation challenges and potential overfitting. This aligns with the findings in this study, where the integrated model’s fit is less robust compared with the individual models. Marsh, Hau, and Wen [56] further argue that strict cutoff criteria for fit indices may not always be suitable for exploratory or complex models, as these inherently involve more variability. Additionally, Browne and Cudeck [57] suggest that RMSEA values within the range of 0.06–0.08 indicate a reasonable error of approximation, even if other indices such as CFI and TLI are suboptimal. These findings imply that while the individual models for awareness and behavioral intention perform well, the integrated model requires refinement. Minor modifications to the integrated model may enhance its fit, but the current results still align with theoretical expectations and provide valuable insights into the relationships between constructs.
Table 4. Goodness-of-fit indices.

3.4. Result of the SEM Model

The results of the three SEM models are presented in Table 5 and Table 6. In the SEM model, effects are measured using standardized coefficients (β), which generally range from +1 to −1. Coefficients closer to ±1 indicate stronger effects. The statistical significance of the β coefficients is determined using p-values.
Table 5. SEM model for traffic rule awareness and behavioral intention.
Table 6. Integrated SEM model for traffic rule awareness and behavioral intention.
Model 1. Awareness: Figure 9 shows the SEM standardized effect of the traffic rule awareness model. In the figure solid lines represent a significant effect and dashed lines represent an insignificant effect. The findings reveal that TP use experience before entering school has a significant direct effect (β = 0.16) on traffic rule awareness. Children who used a TP frequently before starting school, particularly once a week or three times a month, exhibited a higher awareness of traffic rules than those with less frequent TP use. However, TP use after entering grade 1~2 did not significantly affect traffic rule awareness. Additionally, children’s grade levels had a statistically significant direct effect (β = 0.2) on their awareness, which means that children’s awareness increases with respect to grade-level increases. In contrast, gender and the attended school (school A, B, C, or D as a reference variable) did not significantly impact awareness.
Figure 9. SEM model for traffic rule awareness.
Interestingly, students from School A displayed a significant indirect effect (β = 0.03) on traffic rule awareness through TP use before school. However, TP use before school had no significant indirect effect on awareness, despite its direct effect on TP use experience after entering grade 1~2. Overall, children’s TP use experience had a significant effect (β = 0.14) on increasing their traffic rule awareness.
The positive and strong relationship between the latent variable (awareness) and the factor loadings of the indicators is obvious; it indicates that most of the observed variables were significantly related to awareness. In particular, the questions about riding a bicycle on the left side (Q03_1), riding side by side (Q04_1), a two-step right turn at a signal intersection (Q07_1), stopping at a “stop” sign (Q08_1), stopping for pedestrians who are about to cross the crosswalk (Q09_1), and getting off bicycles at railroad crossings (Q10_1) have strong contributions to the measurement of awareness. These findings highlight the statistically significant impact of children’s TP use experience on improving their traffic rule awareness. However, the question regarding the use of crosswalks when crossing the road (Q01_1) demonstrated the weakest association (0.065), suggesting a limited role in explaining the construct. This may be because children were already familiar with this rule before their experience at the traffic park.
Model 2. Behavioral intention: Figure 10 presents the SEM standardized effect for the traffic rule behavioral intention model. The results mirror those of the awareness model, showing that TP use experience before entering school has a significant direct effect (β = 0.09) on improving traffic rule behavioral intention. However, TP use after entering grade 1~2 does not significantly affect behavioral intention. Children’s grade levels have a significant influence (β = 0.13) on their behavioral intentions, whereas gender differences do not. Additionally, School A shows a significant indirect effect (β = 0.02) on behavioral intention through TP use before entering school. Overall, the findings support that children’s TP use experience has a significant effect (β = 0.10) on enhancing their traffic rule behavioral intentions.
Figure 10. SEM model for traffic rule behavioral intention. Solid arrows indicate a significant effect. Star signs denote significant coefficients. Dashed arrows indicate nonsignificant effects.
Similar to the awareness model, all observed variables were significantly related to behavioral intention (p < 0.05), supporting the validity of the construct. The relationship between the latent variable (behavioral intention) and the factor loadings of its indicators is strong, particularly for questions such as riding a bicycle on the left side (Q03_2), riding side by side (Q04_2), riding with another person (Q05_2), a two-step right turn at a signal intersection (Q07_2), stopping for pedestrians who are about to cross the crosswalk (Q09_2), and getting off the bicycle at railroad crossings (Q10_2). These items emerged as the most influential observed variables in explaining behavioral intention. These results indicate that children’s TP use experience significantly influences improvements in their traffic rule behavioral intentions.
Model 3. Integrated: In the integrated model, we combined Models 1 and 2 to examine the impact of traffic rule awareness on behavioral intention. Figure 11 presents the SEM standardized effect for the integrated model. The model reveals that traffic rule awareness has a strong significant direct effect (β = 0.74) on behavioral intention. The model also shows that TP use experience before entering school (β = 0.16) and children’s grade levels (β = 0.21) have significant direct effects on traffic rule awareness. However, these factors do not significantly affect behavioral intention. School A notably shows a significant indirect effect on traffic rule awareness (β = 0.16) through TP use before entering school. However, it does not exhibit a significant indirect effect on behavioral intention. Overall, the model suggests that children’s TP use experience enhances their behavioral intentions indirectly by improving their traffic rule awareness.
Figure 11. SEM integrated model for traffic rule awareness and behavioral intention. Solid arrows indicate a significant effect. Star signs denote significant coefficients. Dashed arrows indicate nonsignificant effects.
The study tested seven hypotheses to examine the influence of TP usage on children’s traffic rule awareness and behavioral intentions. The results are summarized below:
H1: 
The TP usage experience of children before entering school has a significant direct effect on enhancing their traffic rule awareness and behavioral intentions (accepted).
H2: 
The TP usage experience of children after entering school has a significant direct effect on enhancing their traffic rule awareness and behavioral intentions (rejected).
H3: 
The TP usage experience of children before entering school has a significant indirect effect on traffic rule awareness and behavioral intentions through continued use after entering school (rejected).
H4: 
The TP usage experience of children has a significant indirect effect on traffic rule behavioral intentions through awareness (accepted).
H5: 
Grade differences among children have a significant direct effect on traffic rule awareness and behavioral intentions (accepted).
H6: 
Gender differences among children have a significant direct effect on traffic rule awareness and behavioral intentions (rejected).
H7: 
Differences among schools indirectly affect traffic rule awareness and behavioral intentions (accepted).

4. Discussion

This study investigated the impact of TPs on children’s traffic safety education by evaluating their TP use experience before and after starting school. The focus was on assessing children’s awareness and usual behavioral intentions regarding ten specific traffic rules taught at the targeted TP (Figure 3). The SEM result shows a strong relationship between the latent constructs (awareness and behavioral intention) and observed variables (traffic rules Q01–Q10), except for Q01 (use of a crosswalk) and Q02 (run to cross the crosswalk), likely because children were already familiar with these rules before engaging with the TP. The findings indicate that frequent TP use is associated with notable improvements in children’s awareness and behavioral intentions, particularly regarding rules such as Q03 (riding a bicycle on the left side of the road), Q04 (not riding a bicycle side by side), Q05 (not to ride a bicycle together with another person), Q06 (do not proceed when the traffic light is yellow), Q07 (two-step right turn at a signal intersection), Q08 (stopping at a “stop” sign), Q09 (stopping for pedestrians who are about to cross the crosswalk), and Q10 (getting off bicycles at railroad crossings). The effects of the other variables on awareness and behavioral intention are outlined below.
The SEM results support Hypothesis 1, confirming that TP usage experience before entering school has a significant direct effect on traffic rule awareness (Model 1) and behavioral intentions (Model 2). This aligns with prior research emphasizing the importance of early experiential learning in shaping children’s cognitive and behavioral development [20,40,58,59]. The strong direct effect observed (β = 0.16 for awareness and β = 0.09 for behavioral intentions) highlights the value of exposing children to realistic traffic scenarios at an early age.
Children who used TPs frequently, particularly once a week or three times a month before entering school, exhibited higher levels of traffic rule awareness and better behavioral intentions compared with their peers with less frequent TP use. This finding aligns with studies suggesting that experiential learning in controlled environments, such as TPs, helps children adopt traffic rules and develop safer pedestrian and cycling behaviors [33,42,50]. However, the lack of significant indirect effects through TP use after entering school suggests a diminishing role of TP usage over time, demanding further investigation into sustained engagement strategies.
Hypotheses 2 and 3, which proposed significant direct and indirect effects of TP use after entering school, were rejected. The study found that TP usage frequency declines after children start school, possibly due to increased academic responsibilities or reduced parental emphasis on traffic safety education. This decline may explain the lack of significant effects of postschool TP usage on both traffic rule awareness and behavioral intentions. These findings are consistent with research indicating that early childhood is a critical period for traffic safety education, with diminishing returns observed in later years unless reinforced through consistent practice [24,28]. To address this, integrating TP activities into school curricula or community programs in TPs could help maintain engagement and reinforce learning.
The integrated model (Model 3) revealed a significant direct effect of traffic rule awareness on behavioral intentions (β = 0.74), supporting Hypothesis 4. This highlights the importance of prioritizing awareness-building activities in traffic safety education programs to effectively enhance children’s behavior [18,20].
Grade level was found to have a significant direct effect on both traffic rule awareness (β = 0.20) and behavioral intention (β = 0.13), supporting Hypothesis 5. These results align with developmental psychology research, which suggests that cognitive and perceptual skills improve with age, enabling children to better understand and apply traffic safety concepts [58]. Conversely, Hypothesis 6 was rejected. Child psychology suggests that boys and girls generally exhibit similar cognitive understanding of rules and structured behavior during early childhood and elementary school [58]. This finding suggests that traffic safety education programs can adopt gender-neutral approaches without compromising effectiveness.
The study found significant indirect effects of attending School A on traffic rule awareness (β = 0.03) and behavioral intentions (β = 0.02) through early TP use, supporting Hypothesis 7. These findings highlight the influence of school-specific factors, such as access to TP facilities or community engagement, on children’s learning outcomes. Schools with better access to TP facilities and structured programs are likely to foster higher levels of traffic safety awareness and behavioral intentions among students.
The literature above emphasizes the limitations of single-method approaches, as improvements often diminish over time without repeated practice [24,40]. Conversely, the results of this study align with broader findings on the effectiveness of experiential learning in traffic safety education. The literature study above also indicated that children’s traffic safety education methods often show no significant long-term effects, with initial improvements fading over time [24,26,35,36,37,38,40,41,42]. However, this study found that TP use before entering school has a significant direct effect on TP use after school, suggesting that children’s TP experiences can carry over into later years. This indicates that learning traffic rules through the TP method may have a long-term lasting impact on improving children’s traffic rule awareness and behavioral intentions.
The findings of this study highlight that the frequent use of TPs significantly enhances children’s traffic rule awareness and behavioral intentions, emphasizing the critical role of early and sustained experiential learning in traffic safety education, particularly for preschool children around the age of seven. In Japan, this is the age when children typically enter elementary school (going to school forming a “walking school bus”) and start moving around independently, despite having limited experience navigating roads, which increases their vulnerability to traffic accidents. Similarly, in Europe and North America children go to school forming a “bike bus”, which requires higher traffic navigation skills [13]. In this context, TPs could play a crucial role in building foundational traffic safety awareness and behavioral intentions among children, allowing them to learn traffic rules through a hands-on, play-based experience immediately after receiving photographic instructions. Overall, TPs contribute significantly to developing sustainable child-friendly cities worldwide by promoting safe independent mobility for children.
However, this research is based on online questionnaire survey data, with no control over the circumstances under which the survey was completed. This research explored the children’s traffic rule awareness and behavioral intentions, not observed behavior. While this study provides valuable insights, it is limited to the targeted TP, and future research should explore other TPs in Japan and globally, as guidelines and policies may differ across regions. An observational study is required to understand the actual behavior of the children. Future research should also explore the long-term effects of mixed-method approaches, and investigate how factors such as parental involvement and community engagement influence children’s traffic safety education. Additionally, cost–benefit and longitudinal studies could provide deeper insights into the retention of traffic safety awareness and behaviors over time.

5. Conclusions

This study uncovered the significant contribution of TPs to children’s traffic safety education. Using a web-based questionnaire, data were collected from four elementary schools in Toyohashi City, Japan, and analyzed using SEM. The findings confirm that frequent TP use before school, particularly once a week or three times a month, has a direct and positive impact on children’s awareness of traffic rules and their intention to avoid dangerous behaviors. The study revealed that awareness has a significant role in increasing behavioral intention.
Overall, this study emphasizes the significance of early experiential learning through TPs, which foster foundational traffic safety awareness and behavioral intentions among children, particularly during the critical transition to elementary school. These findings have practical implications for developing effective traffic safety knowledge that prepares children for independent mobility. TPs could be effective tools with the potential for long-term sustainable impact in teaching children the knowledge and behaviors required to navigate both traffic and traffic rules safely. However, traffic safety education that focuses on early exposure to TPs, practical engagement, and consistent reinforcement is key to fostering both awareness and safe behavioral intentions in children. In the future, it is important to investigate how parental enthusiasm and community engagement influence learning outcomes. Additionally, studies on other TPs in Japan and globally are necessary to account for regional variations in guidelines and policies, further broadening the applicability of this approach.

Author Contributions

Conceptualization, methodology, formal analysis, writing—original draft, writing—review and editing, M.C.; conceptualization, methodology, formal analysis, review, supervision, funding acquisition, K.M.; supervision, N.S. All authors have read and agreed to the published version of the manuscript.

Funding

This work was supported by JSPS KAKENHI Grant Numbers 22K04364, 23K04069, and Toyohashi University of Technology under the Cooperative Project for Innovative Research.

Institutional Review Board Statement

Not applicable.

Data Availability Statement

The original contributions presented in this study are included in the article. Further inquiries can be directed to the corresponding author.

Acknowledgments

We would like to express our gratitude and thanks to the Toyohashi City Board of Education, teachers, children, parents of the targeted four elementary schools, and the managers of Toyohashi Mukaiyama traffic park for their cooperation.

Conflicts of Interest

The authors declare that there are no conflicts of interest.

References

  1. Ben, S.; Martha, B.; Bridget, E.; Ben, F.-W.; Elisabetta, M.; Mayer, H. Children’s Independent Mobility: An International Comparison and Recommendations for Action; Policy Studies Institute: London, UK, 2015. [Google Scholar]
  2. Tranter, P. How to Save Time and Money: Using the Walking School Bus to Increase Your ‘Effective Speed’. World Transp. Policy Pract. 2008, 14, 56–63. [Google Scholar]
  3. Lee, I.-M.; Buchner, D.M. The Importance of Walking to Public Health. Med. Sci. Sports Exerc. 2008, 40, S512–S518. [Google Scholar] [CrossRef] [PubMed]
  4. Hanson, S.; Jones, A. Is There Evidence That Walking Groups Have Health Benefits? A Systematic Review and Meta-Analysis. Br. J. Sports Med. 2015, 49, 710–715. [Google Scholar] [CrossRef]
  5. Kingham, S.; Ussher, S. Walking School Buses in Christchurch: Do They Encourage or Discourage Independent Mobility? World Transp. Policy Pract. 2008, 14, 27–38. [Google Scholar]
  6. Rooney, M. Oh, You’re Just up the Street!’: The Role of Walking School Bus in Generating Local Community for Children and Adults. World Transp. Policy Pract. 2008, 14, 39–47. [Google Scholar]
  7. Selman, M. The 50 Metre Dash: Trials and Tribulations of the Walking Journey to School. World Transp. Policy Pract. 2008, 14, 48–55. [Google Scholar]
  8. Carver, A.; Timperio, A.; Hesketh, K.; Crawford, D. Are Children and Adolescents Less Active If Parents Restrict Their Physical Activity and Active Transport Due to Perceived Risk? Soc. Sci. Med. 2010, 70, 1799–1805. [Google Scholar] [CrossRef] [PubMed]
  9. Waygood, E.O.D.; Susilo, Y.O. Walking to School in Scotland: Do Perceptions of Neighbourhood Quality Matter? IATSS Res. 2015, 38, 125–129. [Google Scholar] [CrossRef]
  10. Nevelsteen, K.; Steenberghen, T.; Van Rompaey, A.; Uyttersprot, L. Controlling Factors of the Parental Safety Perception on Children’s Travel Mode Choice. Accid. Anal. Prev. 2012, 45, 39–49. [Google Scholar] [CrossRef]
  11. Owen, W.; Ayako, T.; Catherine, C.-S.-L.; Xin, X. International Origins of Walking School Buses and Child Fatalities in Japan and Canada. Traffic Sci. 2015, 46, 30–42. [Google Scholar]
  12. Miyazaki, K.; Matsuo, K. A study on the relationship between pedestrian traffic accidents and traffic behavior in children. J. Traffic Eng. 2021, 2, 167–174. [Google Scholar]
  13. Simón-i-Mas, G.; Honey-Rosés, J. A Global Overview of Bike Bus: A Journey toward a Child-Friendly City. Int. J. Sustain. Transp. 2024, 18, 1012–1025. [Google Scholar] [CrossRef]
  14. Charron, C.; Festoc, A.; Guéguen, N. Do Child Pedestrians Deliberately Take Risks When They Are in a Hurry? An Experimental Study on a Simulator. Transp. Res. Part F Traffic Psychol. Behav. 2012, 15, 635–643. [Google Scholar] [CrossRef]
  15. Tomoda, M.; Uno, H.; Hashimoto, S.; Yoshiki, S.; Ujihara, T. Analysis on the Impact of Traffic Safety Measures on Children’s Gaze Behavior and Their Safety Awareness at Residential Road Intersections in Japan. Saf. Sci. 2022, 150, 105706. [Google Scholar] [CrossRef]
  16. Doong, J.-L.; Lai, C.-H. Risk Factors for Child and Adolescent Occupants, Bicyclists, and Pedestrians in Motorized Vehicle Collisions. Traffic Inj. Prev. 2012, 13, 249–257. [Google Scholar] [CrossRef] [PubMed]
  17. Olofsson, E.; Bunketorp, O.; Andersson, A.-L. Children at Risk of Residual Physical Problems after Public Road Traffic Injuries—A 1-Year Follow-up Study. Injury 2012, 43, 84–90. [Google Scholar] [CrossRef] [PubMed]
  18. Michon, J.A. Traffic Education for Young Pedestrians: An Introduction. Accid. Anal. Prev. 1981, 13, 163–167. [Google Scholar] [CrossRef]
  19. Šmejkalova, K.; Sládek, P. The use of the traffic playground in the pre-gradual teaching practice. In Proceedings of the 9th International Conference on Education and New Learning Technologies, Barcelona, Spain, 3–5 July 2017; pp. 6185–6191. [Google Scholar]
  20. Vinje, M.P. Children as Pedestrians: Abilities and Limitations. Accid. Anal. Prev. 1981, 13, 225–240. [Google Scholar] [CrossRef]
  21. Meir, A.; Oron-Gilad, T.; Parmet, Y. Can Child-Pedestrians’ Hazard Perception Skills Be Enhanced? Accid. Anal. Prev. 2015, 83, 101–110. [Google Scholar] [CrossRef]
  22. Feng, Q.; Li, G.; Yang, T.; Luo, H. Exploring the Potential of Virtual Reality for Child Pedestrian Safety Training: A Case Study in China. In Proceedings of the 2020 IEEE International Symposium on Educational Technology (ISET), Bangkok, Thailand, 24–27 August 2020; pp. 83–87. [Google Scholar]
  23. Purcell, C.; Romijn, A.R. Appropriateness of Different Pedagogical Approaches to Road Safety Education for Children with Developmental Coordination Disorder (DCD). Res. Dev. Disabil. 2017, 70, 85–93. [Google Scholar] [CrossRef] [PubMed]
  24. Schwebel, D.C.; Shen, J.; McClure, L.A. How Do Children Learn to Cross the Street? The Process of Pedestrian Safety Training. Traffic Inj. Prev. 2016, 17, 573–579. [Google Scholar] [CrossRef] [PubMed]
  25. Meir, A.; Oron-Gilad, T. Understanding Complex Traffic Road Scenes: The Case of Child-Pedestrians’ Hazard Perception. J. Saf. Res. 2020, 72, 111–126. [Google Scholar] [CrossRef] [PubMed]
  26. Riaz, M.S.; Cuenen, A.; Janssens, D.; Brijs, K.; Wets, G. Evaluation of a Gamified E-Learning Platform to Improve Traffic Safety among Elementary School Pupils in Belgium. Pers. Ubiquitous Comput. 2019, 23, 931–941. [Google Scholar] [CrossRef]
  27. Arbogast, H.; Burke, R.V.; Muller, V.; Ruiz, P.; Knudson, M.M.; Upperman, J.S. Randomized Controlled Trial to Evaluate the Effectiveness of a Video Game as a Child Pedestrian Educational Tool. J. Trauma. Acute Care Surg. 2014, 76, 1317–1321. [Google Scholar] [CrossRef] [PubMed]
  28. Purcell, C.; Romijn, A. Teaching Children Road Safety Using a Simulated Environment. J. Educ. Educ. Dev. 2020, 7, 44. [Google Scholar] [CrossRef]
  29. Lehtonen, E.; Sahlberg, H.; Rovamo, E.; Summala, H. Learning Game for Training Child Bicyclists’ Situation Awareness. Accid. Anal. Prev. 2017, 105, 72–83. [Google Scholar] [CrossRef]
  30. Renaud, L.; Suissa, S. Evaluation of the Efficacy of Simulation Games in Traffic Safety Education of Kindergarten Children. Am. J. Public. Health 1989, 79, 307–309. [Google Scholar] [CrossRef] [PubMed]
  31. Zeedyk, M.S. Tackling Children’s Road Safety through Edutainment: An Evaluation of Effectiveness. Health Educ. Res. 2003, 18, 493–505. [Google Scholar] [CrossRef] [PubMed]
  32. Whitebread, D.; Neilson, K. The Contribution of Visual Search Strategies to the Development of Pedestrian Skills by 4–11 Year-old Children. Br. J. Educ. Psychol. 2000, 70, 539–557. [Google Scholar] [CrossRef]
  33. Barton, B.K.; Schwebel, D.C.; Morrongiello, B.A. Brief Report: Increasing Children’s Safe Pedestrian Behaviors through Simple Skills Training. J. Pediatr. Psychol. 2006, 32, 475–480. [Google Scholar] [CrossRef]
  34. Demetrem, J.D.; Lee, D.N.; Grieve, R.; Pitcairn, T.K.; Ampofo-Boateng, K.; Thomson, J.A. Young Children’s Learning on Road-crossing Simulations. Br. J. Educ. Psychol. 1993, 63, 349–359. [Google Scholar] [CrossRef]
  35. Albert, R.R.; Dolgin, K.G. Lasting Effects of Short-Term Training on Preschoolers’ Street-Crossing Behavior. Accid. Anal. Prev. 2010, 42, 500–508. [Google Scholar] [CrossRef] [PubMed]
  36. Hatfield, J.; Boufous, S.; Eveston, T. An Evaluation of the Effects of an Innovative School-Based Cycling Education Program on Safety and Participation. Accid. Anal. Prev. 2019, 127, 52–60. [Google Scholar] [CrossRef]
  37. Feenstra, H.; Ruiter, R.A.C.; Kok, G. Evaluating Traffic Informers: Testing the Behavioral and Social-Cognitive Effects of an Adolescent Bicycle Safety Education Program. Accid. Anal. Prev. 2014, 73, 288–295. [Google Scholar] [CrossRef] [PubMed][Green Version]
  38. Zare, A.; Dehghanitafti, A.A.; Rahaei, Z.; Jambarsang, S.; Tolide, M. Comparison of the Effect of Traffic Park-Based and School-Based Educational Interventions on Safe Road Crossing in Yazd Elementary School Students. Community Health Equity Res. Policy 2022, 43, 13–19. [Google Scholar] [CrossRef] [PubMed]
  39. Trifunović, A.; Pešić, D.; Čičević, S.; Antić, B. The Importance of Spatial Orientation and Knowledge of Traffic Signs for Children’s Traffic Safety. Accid. Anal. Prev. 2017, 102, 81–92. [Google Scholar] [CrossRef]
  40. McLaughlin, C.M.; Barry, W.E.; Barin, E.N.; Mert, M.; Lowery, C.; Upperman, J.S.; Jensen, A.R.; Arbogast, H. Interactive Education Is Associated with Lower Incidence of Pedestrian-Related Injury in Children. J. Surg. Res. 2019, 244, 57–62. [Google Scholar] [CrossRef]
  41. Willyarto, M.N.; Yunus, U.; Reksodipuro, A.S.; Liawatimena, S. Comparison Road Safety Education with and without IoT to Develop Perceptual Motor Skills in Early Childhood Children Aged 4–5. In Proceedings of the 2019 IEEE International Conference of Artificial Intelligence and Information Technology (ICAIIT), Yogyakarta, Indonesia, 13–15 March 2019; pp. 511–516. [Google Scholar]
  42. Zare, H.; Niknami, S.; Heidarnia, A.; Hossein Fallah, M. Traffic Safety Education for Child Pedestrians: A Randomized Controlled Trial with Active Learning Approach to Develop Street-Crossing Behaviors. Transp. Res. Part F Traffic Psychol. Behav. 2019, 60, 734–742. [Google Scholar] [CrossRef]
  43. Salducco, A.; Abati, D.; Bina, M.; Bertani, B.; Calarco, S.; Balzarotti, S.; Biassoni, F. Young Pedestrians’ Behaviours and Risk Perception: A Pilot Study with Italian Early Adolescents. Transp. Res. Part F Traffic Psychol. Behav. 2022, 90, 512–523. [Google Scholar] [CrossRef]
  44. Jiang, K.; Wang, Y.; Feng, Z.; Cui, J.; Huang, Z.; Yu, Z.; Sze, N.N. Research on Intervention Methods for Children’s Street-Crossing Behaviour: Application and Expansion of the Theory of “Behaviour Spectrums”. Accid. Anal. Prev. 2021, 152, 105979. [Google Scholar] [CrossRef] [PubMed]
  45. Fyhri, A.; Bjørnskau, T.; Ulleberg, P. Traffic Education for Children with a Tabletop Model. Transp. Res. Part F Traffic Psychol. Behav. 2004, 7, 197–207. [Google Scholar] [CrossRef]
  46. Alonso, F.; Esteban, C.; Useche, S.; Colomer, N. Effect of Road Safety Education on Road Risky Behaviors of Spanish Children and Adolescents: Findings from a National Study. Int. J. Environ. Res. Public Health 2018, 15, 2828. [Google Scholar] [CrossRef] [PubMed]
  47. Koekemoer, K.; Van Gesselleen, M.; Van Niekerk, A.; Govender, R.; Van As, A.B. Child Pedestrian Safety Knowledge, Behaviour and Road Injury in Cape Town, South Africa. Accid. Anal. Prev. 2017, 99, 202–209. [Google Scholar] [CrossRef]
  48. Freitas, C.K.A.C.; Rodrigues, M.A.; Parreira, P.M.S.D.; Santos, A.C.F.S.d.; Lima, S.V.M.A.; Fontes, V.S.; Freitas, J.P.A.; Santos, J.M.J.; Mota, E.C.H. Educational program for the promotion of knowledge, attitudes and preventive practices for children in relation to traffic accidents: Experimental study. Rev. Paul. de Pediatr. 2019, 37, 458–464. [Google Scholar] [CrossRef] [PubMed]
  49. Zeedyk, M.S.; Wallace, L.; Spry, L. Stop, Look, Listen, and Think? Accid. Anal. Prev. 2002, 34, 43–50. [Google Scholar] [CrossRef] [PubMed]
  50. Nummenmaa, T.; Syvänen, M.; Syvanen, M. Teaching Road Safety to Children in the Age Range 5-7 Years. Paedagog. Eur. 1974, 9, 151. [Google Scholar] [CrossRef]
  51. Kaneko, A. Remnants of the Traffic War on the Birth and Popularization of Traffic Parks. Shizuoka Univ. Lifelong Learn. Educ. Res. 2008, 10, 21–39. [Google Scholar]
  52. Gana, K.; Broc, G. Structural Equation Modeling with Lavaan; Wiley: Hoboken, NJ, USA, 2018; ISBN 9781119579038. [Google Scholar]
  53. Shah, B.A.; Zala, L.B.; Desai, N.A. Structural Equation Modelling for Segmentation Analysis of Latent Variables Responsible for Environment-Friendly Feeder Mode Choice. Int. J. Transp. Sci. Technol. 2023, 12, 173–186. [Google Scholar] [CrossRef]
  54. Chung, Y.; Kim, H. Deep Subterranean Railway System: Acceptability Assessment of the Public Discourse in the Seoul Metropolitan Area of South Korea. Transp. Res. Part A Policy Pract. 2015, 77, 82–94. [Google Scholar] [CrossRef]
  55. Hu, L.; Bentler, P.M. Cutoff Criteria for Fit Indexes in Covariance Structure Analysis: Conventional Criteria versus New Alternatives. Struct. Equ. Model. 1999, 6, 1–55. [Google Scholar] [CrossRef]
  56. Marsh, H.W.; Hau, K.-T.; Wen, Z. In Search of Golden Rules: Comment on Hypothesis-Testing Approaches to Setting Cutoff Values for Fit Indexes and Dangers in Overgeneralizing Hu and Bentler’s (1999) Findings. Struct. Equ. Model. 2004, 11, 320–341. [Google Scholar] [CrossRef]
  57. Browne, M.W.; Cudeck, R. Alternative Ways of Assessing Model Fit. Sociol. Methods Res. 1992, 21, 230–258. [Google Scholar] [CrossRef]
  58. Halim, M.L.D.; Bryant, D.; Zucker, K.J. Early Gender Development in Children and Links with Mental and Physical Health. In Health Promotion for Children and Adolescents; Springer: Boston, MA, USA, 2016; pp. 191–213. [Google Scholar]
  59. Clarke, A.M. Chapter 4: Early Experience and Cognitive Development. Rev. Res. Educ. 1984, 11, 125–157. [Google Scholar] [CrossRef]
Disclaimer/Publisher’s Note: The statements, opinions and data contained in all publications are solely those of the individual author(s) and contributor(s) and not of MDPI and/or the editor(s). MDPI and/or the editor(s) disclaim responsibility for any injury to people or property resulting from any ideas, methods, instructions or products referred to in the content.

Article Metrics

Citations

Article Access Statistics

Multiple requests from the same IP address are counted as one view.