You are currently viewing a new version of our website. To view the old version click .
Sustainability
  • Article
  • Open Access

21 January 2025

Fabrication of High-Strength Waste-Wind-Turbine-Blade-Powder-Reinforced Polypropylene Composite via Solid-State Stretching

,
,
,
and
1
College of Intelligent Networking and New Energy Automobile, Geely University of China, Chengdu 641423, China
2
School of Materials Science and Engineering, Xihua University, Chengdu 610039, China
3
State Key Laboratory of Polymer Materials Engineering, Polymer Research Institute of Sichuan University, Chengdu 610065, China
4
Tianfu Yongxing Laboratory, Chengdu 610065, China

Abstract

In recent years, wind energy has emerged as one of the fastest-growing green technologies globally, with projections indicating that decommissioned wind turbine blades (WTBs) will accumulate to millions of tons by the 2030s. Due to their thermosetting nature and high glass/carbon fiber content, the efficient recycling of WTBs remains a challenge. In this study, we utilized solid-state shear milling (S3M) to produce a fine WTB powder, which then underwent surface modification with a silane coupling agent (KH550), and we subsequently fabricated WTB-reinforced polypropylene (PP) composites with enhanced mechanical performance through solid-state stretching. The stretching-process-induced orientation of the PP molecular chains and glass fibers led to orientation-induced crystallization of PP and significant improvements in the mechanical properties of the PP/WTB@550 composites. With 30 wt. % WTB content, the PP/WTB@550 composite achieved a tensile strength of 142.61 MPa and a Young’s modulus of 3991.19 MPa at a solid-state stretching temperature of 110 °C and a stretching ratio of 3, representing increases of 268% and 471%, respectively, compared to the unstretched sample. This work offers both theoretical insights and experimental evidence supporting the high-value recycling and reuse of WTBs through a cost-effective, environmentally friendly, and scalable approach. Due to the enhanced mechanical properties of the PP/WTB composite and the intrinsic waterproofing and corrosion resistance of PP, it is hoped that such a composite would be used in road engineering and building materials, such as geogrids, wall panels, floor boards, and floor tiles.

1. Introduction

As a clean, renewable, and abundant resource, wind energy reduces dependence on fossil fuels and mitigates global warming, establishing it as a critical element in the global energy transition [1,2,3]. Since the start of the 21st century, countries worldwide have accelerated the adoption of renewable energy technologies, leading to a consistent increase in global wind power capacity, which reached 1 TW in 2023 [4,5,6]. However, this rapid expansion in wind power generation brings significant challenges [7]. With an approximate service life of 20 years, a large number of aging wind turbines will soon require decommissioning. While established recycling methods address the electromechanical and metal components of turbines, effective recycling solutions for turbine blades remain limited [8,9,10]. By 2035, an estimated 700,000 tons of decommissioned wind turbine blades will require disposal, with this amount expected to rise to 2.7 million tons by 2055 [11]. Wind turbine blades are primarily composed of approximately 70% fiber and 30% epoxy resin, and the irreversible three-dimensional cross-linked structure of epoxy presents a major barrier to their recyclability [12,13].
Currently, four main methods exist for recycling retired wind turbine blades (WTBs): energy recovery, solvent dissolution, pyrolysis, and mechanical recycling [12,13,14]. Energy recovery utilizes the thermal energy from incinerating epoxy resin, but the high glass fiber content in WTBs yields relatively low energy output [15]. Solvent dissolution employs catalysts and solvents to decompose resin into smaller molecules, enabling the full recycling of WTBs by producing high-strength recycled fibers and useful low-molecular-weight substances. However, this method remains experimental, limited by low efficiency, complex processes, and high costs [16,17,18,19,20,21]. Pyrolysis involves heating to break down the resin, offering some industrial potential, but it is energy-intensive, is costly, and results in a significant reduction in the strength of recycled fibers [13]. Mechanical recycling, on the other hand, uses mechanical forces such as impact, extrusion, and shear to crush blades and convert them into raw materials. This approach is cost-effective, is environmentally friendly, and produces no toxic byproducts, making it more feasible for industrial applications and a promising solution for managing large volumes of retired WTBs [13,22,23,24,25,26].
Building on previous research into producing high-performance polypropylene composites from recycled wind turbine blades using solid-state shear milling (S3M) [27] and our rich experience in the lifecycle management of waste polymer composites—especially waste-fiber-reinforced polymers [28,29,30]—this study proposes the use of solid-state stretching to create high-strength polypropylene composites reinforced with blade powder. This is different from our previous investigation where WTB powder was added in PP without any structural design, which was mainly a feasibility exploration of PP/WTB composites. In this work, we endowed PP/WTB composites with a fine-oriented structure and greatly improved the mechanical properties of the composite. A stretching ratio of up to 3.5 was achieved for composites containing 30 wt. % WTB, resulting in tensile strength and modulus values of 142.6 MPa and 3991.2 MPa, respectively. This work introduces a novel approach for applying mechanical recycling methods to manage the disposal of large quantities of decommissioned wind turbine blades. And it is hoped that the obtained PP/WTB composites will achieve high value in the fields of road engineering [31,32] and building materials [33].

2. Materials and Methods

2.1. Materials

Retired wind turbine blades (WTBs) with a length of 56 m were cut, crushed, and sorted; these were the source of raw materials in our work. They were mainly made of glass-fiber-reinforced epoxy resin with an epoxy ratio of 27.5 wt. % and a glass fiber ratio of 72.5 wt. %; the epoxy and glass fiber were provided by Dongfang Boiler Group. Silane coupling agent (KH550), deionized water, and anhydrous ethanol were purchased from Chengdu Cologne Chemicals Co., Ltd. (Chengdu, China) T30S-grade isotactic polypropylene (injection grade, 2.6 g/10 min) was purchased from China Xinjiang Dushanzi Petrochemical Co., Ltd. (Karamay, China). Polypropylene grafted with maleic anhydride (PP-g-MAH, FUSABOND P353, with a grafting rate of 1.2%) was purchased from Dow Chemical (Shanghai, China).

2.2. Preparation of PP/WTB@550 Composites

The fabrication of PP/WTB@550 composites before solid-state stretching can be referred to in our prior research [27]. The fabrication process of PP/WTB@550 composites is shown in Figure 1. Firstly, the obtained WTB blocks were crushed into small pieces using a jaw crusher. Subsequently, the WTB fragments were subjected to cyclic milling using our solid-state shear milling (S3M) equipment at a speed of 100 rpm under 6 MPa of pressure to obtain fine WTB powder. The properties of the obtained WTB powder are shown in Figure 2. The size of the powder particles exhibited a typical bimodal distribution, with the first peak located at 10–100 μm and the second peak located at 100–1000 μm, which represented the main sizes of the relatively large-sized glass fibers and small-sized epoxy resin particles, respectively, as are consistent with the SEM image of the WTB powder in Figure 2b.
Figure 1. Schematic fabrication of PP/WTB@550 samples.
Figure 2. (a) Size distribution and (b) SEM image of S3M-treated WTB powder.
Before being added to PP, the WTB powder was surface-modified by a 2 wt. % KH550 solution (mixed solvent of ethanol and water with a mass ratio of 4:1). The WTB powder with a mass ratio of 40% was treated for 30 min at 60 °C. Then, the powder was collected and dried at 80 °C for 12 h. Subsequently, the dried WTB powder, PP, and PP-g-MAH were thoroughly mixed in determined ratios, as shown in Table 1, using a high-speed mixer. And the mixture was melt-extruded via a twin-screw extruder (the temperatures of the extruder from the feeding port to the die were set at 130 °C, 175 °C, 180 °C, 180 °C, 175 °C, and 170 °C, respectively, with a screw speed of 80 r/min) and then granulated. Finally, the PP/WTB@550 samples were fabricated via injection molding of the obtained composite particles (the temperatures of the injection molding machine from the barrel to the nozzle were set at 130 °C, 180 °C, 180 °C, 180 °C, and 185 °C, respectively, with an injection speed of 40 mm/s under 60 MPa).
Table 1. Composition of different composites.

2.3. Solid-State Stretching of PP/WTB@550 Samples

The solid-state stretching of PP/WTB@550 material specimens was conducted using a high- and low-temperature stretching testing machine (DWD-10KN, Sichuan Dexiang Kechuang Instrument Co., Ltd. (Chengdu, China)). Preheating was required before stretching, with preheating temperatures set at 110 °C, 120 °C, 130 °C, 140 °C, and 150 °C and a preheating duration of 8 min. Then, the sheets were stretched at a rate of 5, 10, 15, 20, and 25 mm/min, with stretching ratios of 1.5, 2, 2.5, 3, and 3.5, respectively (where the stretching ratio is defined as the ratio of the specimen’s length before and after stretching).

2.4. Characterization

The cross-sectional morphology of the samples after liquid nitrogen brittle fracture was observed using the Inspect F scanning electron microscope from FEI, Hillsboro, OR, USA (testing conditions: accelerating voltage of 20 kV, with samples coated with gold before testing). The melting behavior of the samples was analyzed using the Q 20 differential scanning calorimeter from TA Instruments, New Castle, DE, USA, under a nitrogen atmosphere (temperature range of 40–180 °C; heating rate of 10 °C/min). The crystal structure of the samples was studied using the GeniX3D Cu ULD small-angle X-ray scattering analyzer from Xenocs SA, Grenoble, France (source: multilayer confocal CuKα X-rays; λ = 0.154 nm). The dynamic mechanical properties of the composites were analyzed using the Q800 dynamic rheometer from TA Instruments, USA (testing conditions: three-point bending mode, frequency of 1 Hz, heating rate of 3 °C/min, and temperature range of −40 to 160 °C), in accordance with the ASTM standard D618-08 [34]. The tensile strength and modulus of the samples were tested according to the ASTM standard D638-10 [35] using the DWD-10KN microcomputer-controlled electronic universal testing machine (Sichuan Dexiang Kechuang Instrument Co., Ltd.) [27]. The width and thickness of the specimens were averaged over five measurements, with at least five different experimental results per group, and the average value was calculated.

3. Results

3.1. The Effect of Powder Content on the Properties of PP/WTB@550 Composites

Initially, the effect of the powder content on the mechanical properties of the composites under uniform solid-phase stretching conditions was investigated to identify the optimal content for further study. Figure 3 presents the tensile strength and modulus of PP/WTB@550 composites with varying powder content after solid-phase stretching at 130 °C, with a stretch ratio of 2 and a speed of 5 mm/min. The tensile strength of pure PP increased to 82.15 MPa following solid-phase stretching, representing a 160% enhancement over the pre-stretched value of 31.55 MPa, with a similar 180% increase in tensile modulus. PP/WTB@550 composites containing 10–30 wt. % blade powder also demonstrated notable improvements in tensile properties post-stretching. However, as the blade powder content increased, a slight decrease in tensile strength was observed, likely due to the larger glass fibers in the blade powder fracturing and debonding at the interface during stretching. For composites with over 30 wt. % powder, premature fracture occurred before reaching the target stretch ratio. Conversely, the tensile modulus continued to increase with higher powder content, attributed to the greater glass fiber content. Unlike single-polymer systems, the mechanical properties of these composites after solid-phase stretching were affected by changes in both the polymer matrix structure and the discontinuous phase under external forces. It can be seen that the tensile strength and Young’s modulus of the PP/WTB@550 composites with 30 wt. % WTB both kept at a relatively high level. To ensure both strong mechanical properties and a high WTB content of PP/WTB@550 composites to optimize wind turbine blade recycling, PP/WTB@550 composites with 30 wt. % powder content were selected for subsequent research.
Figure 3. The tensile properties of the composite after solid-phase stretching and the fracture after solid-phase stretching.

3.2. The Effect of Stretching Rate on the Properties of PP/WTB@550 Composites

The solid-state stretching rate is a critical parameter that significantly affects the microstructure and macroscopic properties of polymers. Figure 4 presents the tensile performance of PP/WTB@550 composites at various stretching rates, showing that tensile strength improved with increasing rates. This enhancement occurs because a higher stretching rate hinders the reorientation of PP molecular chain segments that typically results from stress relaxation. However, at a rate of 25 mm/min, the tensile strength slightly decreased, likely due to the excessive rate causing a premature chain fracture before realignment, leading to defect formation in the material.
Figure 4. The tensile properties of PP/WTB composites at different draw rates.

3.3. The Effect of Solid-State Stretching Temperature on the Structure and Properties of PP/WTB@550 Composites

The effect of solid-state stretching temperature on the microstructure of PP/WTB@550-30 composites is shown in Figure 5. At lower solid-state stretching temperatures (Figure 5a), a significant number of polypropylene fibers aligned in situ along the stretching direction, and the glass fibers in the blade powder also oriented themselves due to interfacial interactions with the polypropylene molecular chains. This synergistic alignment of molecular chains and glass fibers contributed to the enhanced mechanical properties of the composites. However, as the solid-state stretching temperature increased, unoriented structures (highlighted in red circles in Figure 5b,e) began to appear, attributed to increased thermal motion of the molecular chains, which partially disrupted their orientation. At a solid-state stretching temperature of 150 °C (Figure 5c,f), the degree of oriented structures decreased further, along with a reduction in the alignment of the glass fibers.
Figure 5. SEM of the cross-section of the composites along the tensile direction at 110 °C (a,d), 130 °C (b,e) (The red circle indicated the non-oriented structure caused by the intensified thermal motion of the molecular chain, which led to the deorientation of some oriented structures), and 150 °C (c,f).
To investigate the effect of solid-state stretching temperature on the crystalline structure of PP/WTB@550-30 composites, two-dimensional small-angle X-ray scattering (SAXS) data for samples stretched at various temperatures are presented in Figure 6. It can be observed that, at a relatively low solid-phase stretching temperature, the spectrum shows obvious scattering rings, indicating an oriented crystalline structure. However, the scattering intensity along the stretching direction gradually decreased with increasing temperature, which implies a gradually disappearing oriented structure. And this result demonstrates that composites stretched at lower temperatures exhibit more distinct oriented structures. Such a phenomenon could be attributed to the enhanced thermal motion of polymer chains as the stretching temperature increases, which may lead to the instability of the orientation structure formed during the stretching process. This decrease suggests that elevated temperatures negatively impact the stability of the material’s oriented structure.
Figure 6. Corresponding SAXS patterns of PP/WTB@550-30 at 110 °C (a), 130 °C (b), and 150 °C (c).
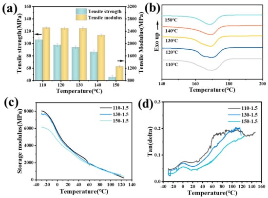
Figure 7a presents the tensile strength and modulus of PP/WTB@550-30 composites at various solid-state stretching temperatures. The results show a decrease in both tensile strength and modulus with increasing solid-state stretching temperature. At 110 °C, the tensile strength and modulus of the composite reached 106 MPa and 2509 MPa, respectively, reflecting increases of 176% and 271% compared to the pre-stretched values. The elevated temperature provided more energy for the molecular chain segments and chains of PP/WTB@550-30, promoting their relative movement and rearrangement, which facilitated the formation of oriented crystalline structures during solid-phase stretching. However, while the initial stages of stretching enhanced chain alignment, the increased random thermal motion of PP molecular chains during continued high-temperature stretching disrupted the oriented structures. As a result, within the temperature range of 110–150 °C, further increases in solid-state stretching temperature led to a steady decline in the composite’s tensile performance. Notably, at 150 °C, the tensile performance of the solid-phase stretched PP/WTB@550-30 significantly deteriorated, with tensile strength dropping to 45 MPa, a reduction of approximately 50% compared to the value at 140 °C.
Figure 7. (a) Tensile properties, (b) DSC curves, and (c,d) dynamic mechanical spectra of composites at different solid-state stretching temperatures.
Figure 7b presents the DSC test results, with the corresponding thermodynamic parameters listed in Table 2. The data show that stretching at 110 °C resulted in the highest melting enthalpy for the composite, indicating increased crystallinity under these conditions. This enhancement is attributed to the stabilization of oriented PP molecular chain structures at lower solid-state stretching temperatures, which promotes the formation of more crystalline structures. As the solid-state stretching temperature increased, the thermal motion of PP chain segments intensified, leading to a significant reduction in crystallinity and a corresponding decrease in the melting point. Compared to the unstretched PP/WTB@550-30, the melting enthalpy of the material stretched at 110 °C (156.43 J·g−1) and increased by 34% from the original value of 116.74 J·g−1, confirming that the solid-phase stretching process significantly enhances crystallinity. Additionally, after solid-phase stretching, the melting point of the composite increased from 167.01 °C to 169.55 °C, indicating improved thermal stability due to the enhanced crystallinity.
Table 2. Thermal parameters of the composite at different temperatures.
Figure 7c,d show the loss factor (tan δ) curves of PP/WTB@550-30 at various solid-state stretching temperatures as a function of test temperature. A peak in tan δ, observed between −20 °C and 20 °C, corresponds to the movement of chain segments in the amorphous regions of the PP matrix. As the solid-state stretching temperature increased, this tan δ peak shifted to lower temperatures. This shift is due to the higher crystallinity of PP/WTB@550-30 composites stretched at lower temperatures, where the crystalline regions restrict the movement of chain segments in the amorphous regions, requiring higher temperatures for molecular chain motion. Additionally, samples stretched at lower temperatures exhibited higher tan δ values, likely due to increased resistance to relative motion between the WTB powder and PP molecular chains, which creates interfacial gaps during stretching and reduces stress transfer. As the test temperature increased, the tan δ values of the samples also increased, reflecting the disruption of oriented structures and crystalline regions. In contrast, the sample stretched at 110 °C, resulting in higher crystallinity and restricting the movement of a larger number of chain segments in the amorphous regions, thus resulting in a broader tan δ peak.

3.4. The Effect of Stretching Ratio on the Properties of PP/WTB@550 Composites

Figure 8a shows the tensile strength and modulus of PP/WTB@550-30 composites at various stretching ratios. It is evident that both tensile strength and modulus increased with the stretching ratio. A higher stretching ratio prolonged the exposure of the material to external forces, allowing more PP molecular chains to align and more glass fibers in the WTB powder to orient, significantly enhancing the strength and modulus in the stretching direction. At a stretching ratio of 3, the tensile strength exceeded 140 MPa, and the tensile modulus approached 4000 MPa, reflecting increases of over 268% and 471%, respectively, compared to the pre-stretched values. However, at a stretching ratio of 3.5, the tensile strength declined, likely due to the sliding or breaking of some PP molecular chains from excessive stretching. Additionally, prolonged stretching may have increased interfacial gaps between the WTB powder and PP molecular chains, reducing mechanical strength.
Figure 8. (a) Tensile properties and (b,c) dynamic mechanical spectra of composites with different draw ratios.
The influence of stretching ratio on the dynamic mechanical properties of PP/WTB@550-30 was further analyzed, as shown in Figure 8b,c. Figure 8b illustrates that the storage modulus of PP/WTB@550-30 increased with the stretching ratio, surpassing that of lower-stretching-ratio samples across the entire test temperature range. This suggests that samples with higher stretching ratios exhibited greater crystallinity, allowing their crystalline regions to respond more effectively to periodic stress. Figure 8c shows the variation in the loss factor (tan δ) with temperature for the different samples. A tan δ peak corresponding to the glass transition of the PP matrix was observed in the −20 to 20 °C range. As the stretching ratio increased, this peak became more gradual, indicating a less pronounced glass transition. This effect is attributed to the higher stretching ratio, which enhanced the crystallinity of the sample and significantly restricted the chain segments in the amorphous regions. Furthermore, at higher temperatures, all samples exhibited a broader, new tan δ peak, consistent with the aforementioned changes in crystallinity.

4. Conclusions

This study introduced a solid-state stretching method to achieve the reinforcement of PP/WTB@550 composites, yielding an ultra-high-strength PP/WTB@550 material with tensile strength and tensile modulus values of 142.6 MPa and 3991.2 MPa, respectively, showing increases of over 268% and 471%. The optimal solid-state stretching temperature was identified as 110 °C. As the solid-state stretching temperature increased beyond this point, the thermal motion of PP molecular chains intensified, resulting in a reduced proportion of oriented structures and crystallinity. The orientation of the glass fibers in the WTB powder also weakened, leading to a decrease in the strength and modulus of the PP/WTB@550 composites, especially at 150 °C, which is near the melting temperature of PP. The stretching ratio extended the duration of external forces, facilitating greater orientation of PP molecular chains and glass fibers, thereby enhancing the mechanical strength of the composites. The increased crystallinity associated with higher stretching ratios also reduced internal losses under cyclic external forces. With the clearly enhanced mechanical properties, intrinsic waterproofing, and corrosion resistance of PP, such PP reinforced with recycled WTBs has great potential to be applied in the field of road engineering, such as in geogrids, and building materials, such as wall panels, floor boards, and floor tiles. This study enhances the mechanical strength and potential applications of blade-powder-reinforced polypropylene composites, offering valuable insights into the recycling and utilization of WTBs.

Author Contributions

Conceptualization, S.Y.; methodology, B.T.; software, X.W. and Z.P.; validation, S.Y., X.W., and M.N.; resources, S.Y.; data curation, Z.P.; writing—original draft preparation, B.T., Z.P., and X.W.; writing—review and editing, S.Y.; project administration, S.Y.; funding acquisition, S.Y. All authors have read and agreed to the published version of the manuscript.

Funding

This project was financially supported by the National Natural Science Foundation of China (No. 52103123), Sichuan Science Technology Program (No. 2022ZHCG0127), the Tianfu Yongxing Laboratory Organized Research Project Funding (No. 2023KJGG11), and the Fundamental Research Funds for the Central Universities (No. 2023SCUH0008).

Data Availability Statement

The datasets presented in this article are not readily available because authors are not allowed to supply research data due to project constraints.

Conflicts of Interest

The authors declare no conflicts of interest.

Abbreviations

The following abbreviations are used in this manuscript:
WTBDecommissioned wind turbine blade
KH550Silane coupling agent
PPPolypropylene
SEMScanning electron microscope
DSCDifferential scanning calorimeter test
SAXSTwo-dimensional small-angle X-ray scattering

References

  1. Abbasi, H.; Antunes, M.; Velasco, J.I. Recent advances in carbon-based polymer nanocomposites for electromagnetic interference shielding. Prog. Mater. Sci. 2019, 103, 319–373. [Google Scholar] [CrossRef]
  2. Ahrens, A.; Bonde, A.; Sun, H.; Wittig, N.K.; Hammershøj, H.C.D.; Batista, G.M.F.; Sommerfeldt, A.; Frølich, S.; Birkedal, H.; Skrydstrup, T. Catalytic disconnection of C–O bonds in epoxy resins and composites. Nature 2023, 617, 730–737. [Google Scholar] [CrossRef] [PubMed]
  3. Rani, M.; Choudhary, P.; Krishnan, V.; Zafar, S. A review on recycling and reuse methods for carbon fiber/glass fiber composites waste from wind turbine blades. Compos. Part B Eng. 2021, 215, 108768. [Google Scholar] [CrossRef]
  4. Baturkin, D.; Hisseine, O.A.; Masmoudi, R.; Tagnit-Hamou, A.; Massicotte, L. Valorization of recycled FRP materials from wind turbine blades in concrete. Resour. Conserv. Recycl. 2021, 174, 105807. [Google Scholar] [CrossRef]
  5. Beauson, J.; Lilholt, H.; Brøndsted, P. Recycling solid residues recovered from glass fibre-reinforced composites—A review applied to wind turbine blade materials. J. Reinf. Plast. Compos. 2014, 33, 1542–1556. [Google Scholar] [CrossRef]
  6. Bledzki, A.K.; Seidlitz, H.; Goracy, K.; Urbaniak, M.; Rösch, J.J. Recycling of Carbon Fiber Reinforced Composite Polymers—Review—Part 1: Volume of Production, Recycling Technologies, Legislative Aspects. Polymers 2021, 13, 300. [Google Scholar] [CrossRef]
  7. Borjan, D.; Knez, Ž.; Knez, M. Recycling of Carbon Fiber-Reinforced Composites—Difficulties and Future Perspectives. Materials 2021, 14, 4191. [Google Scholar] [CrossRef]
  8. Braghiroli, F.L.; Passarini, L. Valorization of Biomass Residues from Forest Operations and Wood Manufacturing Presents a Wide Range of Sustainable and Innovative Possibilities. Curr. For. Rep. 2020, 6, 172–183. [Google Scholar] [CrossRef]
  9. Cao, M.-S.; Cai, Y.-Z.; He, P.; Shu, J.-C.; Cao, W.-Q.; Yuan, J. 2D MXenes: Electromagnetic property for microwave absorption and electromagnetic interference shielding. Chem. Eng. J. 2019, 359, 1265–1302. [Google Scholar] [CrossRef]
  10. Chen, C.Y.; Chen, W.H. Co-torrefaction followed by co-combustion of intermediate waste epoxy resins and woody biomass in the form of mini-pellet. Int. J. Energy Res. 2020, 44, 9317–9332. [Google Scholar] [CrossRef]
  11. Chen, J.; Wang, J.; Ni, A. Recycling and reuse of composite materials for wind turbine blades: An overview. J. Reinf. Plast. Compos. 2019, 38, 567–577. [Google Scholar] [CrossRef]
  12. Gonçalves, R.M.; Martinho, A.; Oliveira, J.P. Recycling of Reinforced Glass Fibers Waste: Current Status. Materials 2022, 15, 1596. [Google Scholar] [CrossRef] [PubMed]
  13. Kavaliauskas, Ž.; Kėželis, R.; Grigaitienė, V.; Marcinauskas, L.; Milieška, M.; Valinčius, V.; Uscila, R.; Snapkauskienė, V.; Gimžauskaitė, D.; Baltušnikas, A. Recycling of Wind Turbine Blades into Microfiber Using Plasma Technology. Materials 2023, 16, 3089. [Google Scholar] [CrossRef] [PubMed]
  14. Kumar, R.; Sahoo, S.; Joanni, E.; Singh, R.K.; Tan, W.K.; Kar, K.K.; Matsuda, A. Recent progress on carbon-based composite materials for microwave electromagnetic interference shielding. Carbon 2021, 177, 304–331. [Google Scholar] [CrossRef]
  15. Oliveux, G.; Dandy, L.O.; Leeke, G.A. Current status of recycling of fibre reinforced polymers: Review of technologies, reuse and resulting properties. Prog. Mater. Sci. 2015, 72, 61–99. [Google Scholar] [CrossRef]
  16. Mumtaz, H.; Sobek, S.; Sajdak, M.; Muzyka, R.; Werle, S. An experimental investigation and process optimization of the oxidative liquefaction process as the recycling method of the end-of-life wind turbine blades. Renew. Energy 2023, 211, 269–278. [Google Scholar] [CrossRef]
  17. Pickering, S.J. Recycling technologies for thermoset composite materials—Current status. Compos. Part A Appl. Sci. Manuf. 2006, 37, 1206–1215. [Google Scholar] [CrossRef]
  18. Liu, Y.; Liu, J.; Jiang, Z.; Tang, T. Chemical recycling of carbon fibre reinforced epoxy resin composites in subcritical water: Synergistic effect of phenol and KOH on the decomposition efficiency. Polym. Degrad. Stab. 2012, 97, 214–220. [Google Scholar] [CrossRef]
  19. Marsh, G. Reclaiming value from post-use carbon composite. Reinf. Plast. 2008, 52, 36–39. [Google Scholar] [CrossRef]
  20. Meira Castro, A.C.; Carvalho, J.P.; Ribeiro, M.C.S.; Meixedo, J.P.; Silva, F.J.G.; Fiúza, A.; Dinis, M.L. An integrated recycling approach for GFRP pultrusion wastes: Recycling and reuse assessment into new composite materials using Fuzzy Boolean Nets. J. Clean. Prod. 2014, 66, 420–430. [Google Scholar] [CrossRef]
  21. Mumtaz, H.; Sobek, S.; Sajdak, M.; Muzyka, R.; Drewniak, S.; Werle, S. Oxidative liquefaction as an alternative method of recycling and the pyrolysis kinetics of wind turbine blades. Energy 2023, 278, 127950. [Google Scholar] [CrossRef]
  22. Zhang, R.H.; Shi, D.; Tjong, S.C.; Li, R.K.Y. Study on the β to α transformation of polypropylene crystals in compatibilized blend of polypropylene/polyamide-6. J. Polym. Sci. Part B Polym. Phys. 2007, 45, 2674–2681. [Google Scholar] [CrossRef]
  23. Zhang, Y.-P.; Zhou, C.-G.; Sun, W.-J.; Wang, T.; Jia, L.-C.; Yan, D.-X.; Li, Z.-M. Injection molding of segregated carbon nanotube/polypropylene composite with enhanced electromagnetic interference shielding and mechanical performance. Compos. Sci. Technol. 2020, 197, 108253. [Google Scholar] [CrossRef]
  24. Zhao, Q.; An, L.; Li, C.; Zhang, L.; Jiang, J.; Li, Y. Environment-friendly recycling of CFRP composites via gentle solvent system at atmospheric pressure. Compos. Sci. Technol. 2022, 224, 109461. [Google Scholar] [CrossRef]
  25. Zhou, J.; Hsu, T.G.; Wang, J. Mechanochemical Degradation and Recycling of Synthetic Polymers. Angew. Chem. Int. Ed. 2023, 62, e202300768. [Google Scholar] [CrossRef]
  26. Zhu, S.; Shi, R.; Qu, M.; Zhou, J.; Ye, C.; Zhang, L.; Cao, H.; Ge, D.; Chen, Q. Simultaneously improved mechanical and electromagnetic interference shielding properties of carbon fiber fabrics/epoxy composites via interface engineering. Compos. Sci. Technol. 2021, 207, 108696. [Google Scholar] [CrossRef]
  27. Pu, Z.; Yang, S.; Wang, Q. Recycling of waste wind turbine blades for high-performance polypropylene composites. J. Appl. Polym. Sci. 2024, 141, e55474. [Google Scholar] [CrossRef]
  28. Pu, Z.; Zhang, C.; Wang, F.; Kang, P.; Yang, S. Exploring the potential of waste carbon fiber reinforced epoxy for high-performance electromagnetic interference shielding. Polym. Compos. 2024, 1–14. [Google Scholar] [CrossRef]
  29. Wang, F.; Kang, P.; Yang, S. Upcycling of carbon fiber reinforced Polymer for Thermal management application. Ind. Eng. Chem. Res. 2024, 63, 7196–7205. [Google Scholar] [CrossRef]
  30. Yang, S.; Li, Y.; Nie, M.; Liu, X.; Wang, Q.; Chen, N.; Zhang, C. Lifecycle management for sustainable plastics: Recent progress from synthesis, processing to upcycling. Adv. Mater. 2024, 36, 2404115. [Google Scholar] [CrossRef]
  31. Zhang, J.-R.; Lin, X.; Lu, Z.-A. Material properties and tensile behaviors of polypropylene geogrid and geonet for reinforcement of soil structures. J. Wuhan Univ. Technol.-Mater. Sci. Ed. 2002, 17, 83–86. [Google Scholar] [CrossRef]
  32. Lou, C.-W.; Huang, C.-L.; Hsing, W.-H.; Tsai, M.-C.; Lin, J.-H. High strength polyester/polypropylene geogrids: Manufacturing techniques and application evaluations. J. Text. Inst. 2016, 108, 735–742. [Google Scholar] [CrossRef]
  33. Bhuiyan, M.A.R.; Darda, M.A.; Ali, A.; Talha, A.R.; Hossain, M.F.; Mohebbullah, M.; Islam, M.A. Heat insulating jute-reinforced recycled polyethylene and polypropylene bio-composites for energy conservation in buildings. Mater. Today Commun. 2023, 37, 106948. [Google Scholar] [CrossRef]
  34. ASTM International. ASTM D618-08; Standard Practice for Conditioning Plastics for Testing. ASTM International: West Conshohocken, PA, USA, 2008.
  35. ASTM International. ASTM D638-10; Standard Test Method for Tensile Properties of Plastics. ASTM International: West Conshohocken, PA, USA, 2010.
Disclaimer/Publisher’s Note: The statements, opinions and data contained in all publications are solely those of the individual author(s) and contributor(s) and not of MDPI and/or the editor(s). MDPI and/or the editor(s) disclaim responsibility for any injury to people or property resulting from any ideas, methods, instructions or products referred to in the content.

Article Metrics

Citations

Article Access Statistics

Multiple requests from the same IP address are counted as one view.