Advancing Sustainability in Surface Coal Mines Through Real-Time Air Quality Monitoring: Low-Cost IoT Solutions and the Role of Meteorological Factors in PM and GHG Emissions
Abstract
1. Introduction
2. Study Area
3. Methodology
3.1. Working Principle of the IoT Devices and Sensors
3.2. Data Collection, Storage, and Management
3.3. Data Pre-Processing
4. Results and Discussion
4.1. Descriptive Analysis of Air Quality Parameters
4.2. Box Plots and Probability Density Plots
4.3. Spatiotemporal Variations in PM Levels
4.4. Diurnal Variations in PM Concentrations and Meteorological Influences on PM Concentrations
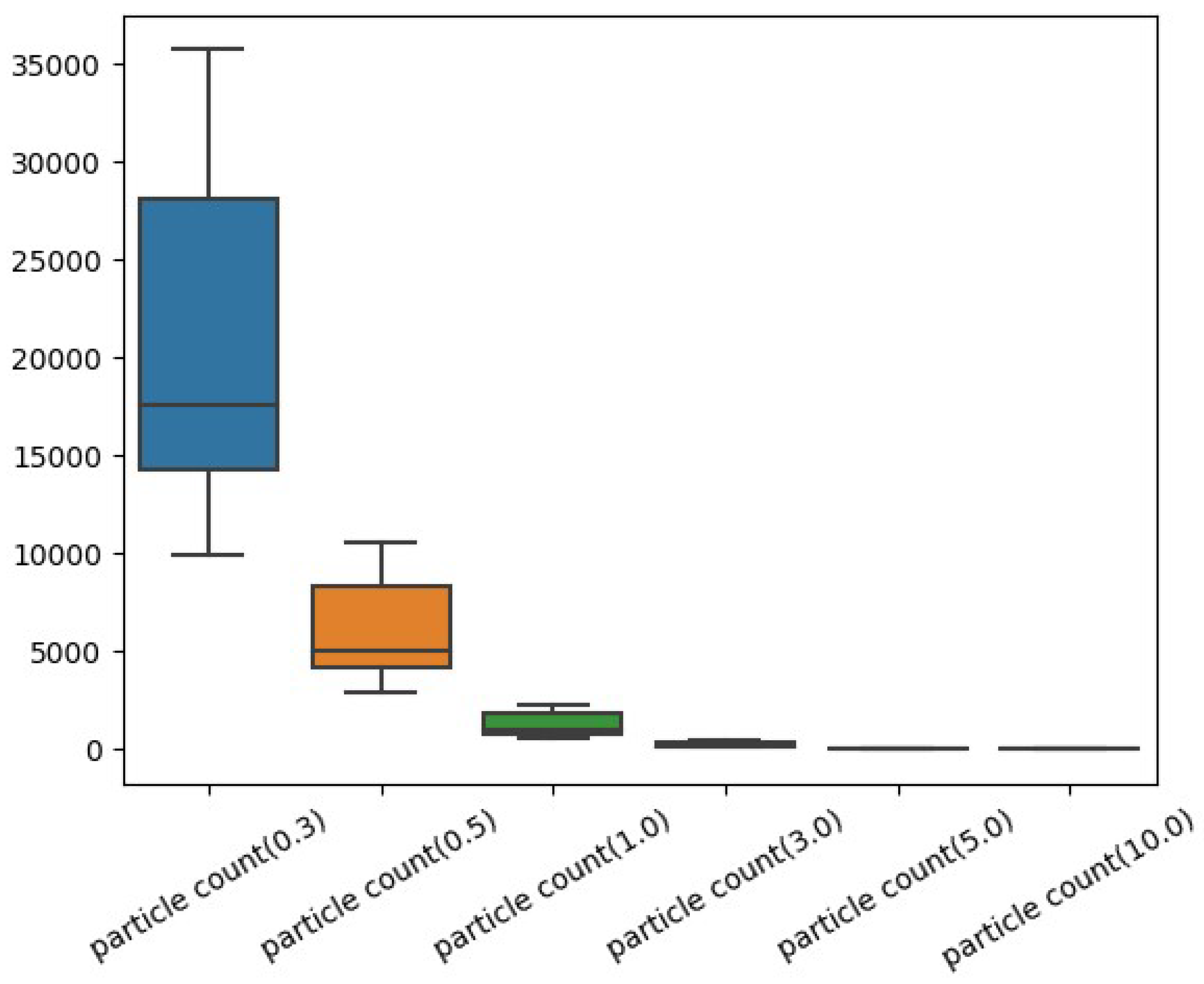
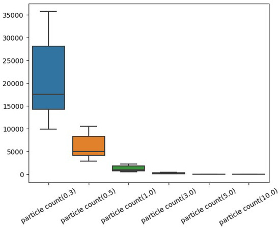
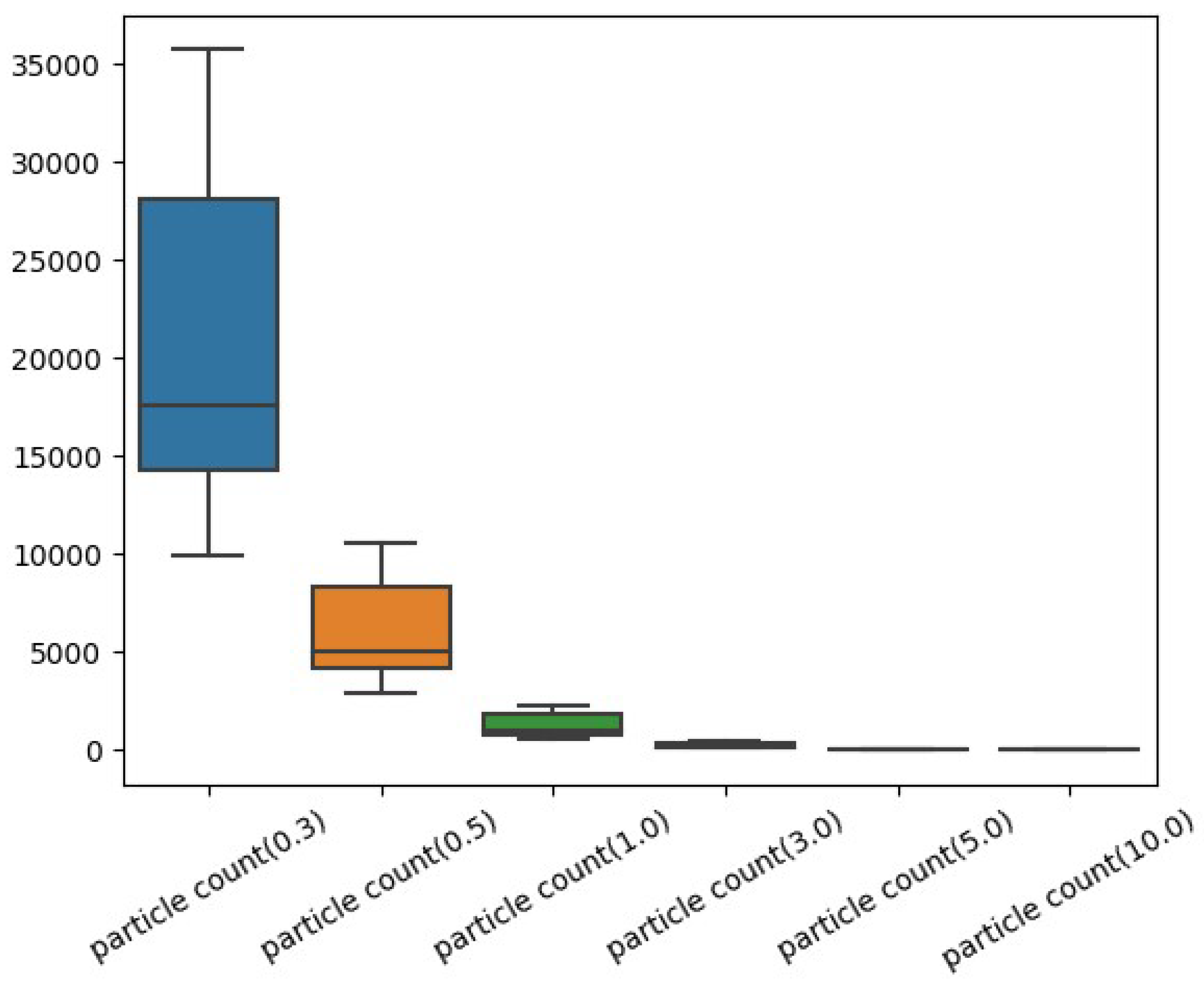
4.5. PM2.5/PM10 Ratio and Particle Size Distribution
4.6. Analysis of Gaseous Air Pollutants
5. Remote Monitoring and Engineering Controls Established
5.1. Web and Mobile Application Development
5.2. Remedial Measures to Reduce Dust Pollution and Improve Air Quality
6. Conclusions
Author Contributions
Funding
Institutional Review Board Statement
Informed Consent Statement
Data Availability Statement
Acknowledgments
Conflicts of Interest
Appendix A

| Parameters | Range | Resolution | Accuracy |
|---|---|---|---|
| PM10 | 0–2000 µg/m3 | 1 µg/m3 | +/−10%(1–150 µg/m3) |
| PM2.5 | 0–2000 µg/m3 | 1 µg/m3 | +/−15% (>150 µg/m3) |
| PM1 | 0–2000 µg/m3 | 1 µg/m3 | +/−15% (>150 µg/m3) |
| CO2 | 1 ppm | 0–10,000 ppm | +/−3.0% |
| SO2 | 10 ppb | 0–20 ppm | +/−3.0%, 50 ppm |
| NO2 | 10 ppb | 0–20 ppm | +/−3.0% |
| O3 | 10 ppb | 0–20 ppm | +/−3.0% |
| CO | 10 ppb | 0–1000 ppm | +/−3.0% |
| Temperature | 20–60 °C | 1 °C | +/−3.0% |
| Humidity | 0–99% | 1% | +/−3.0% |
Spearman’s Rank Analysis


References
- Singh, K.; Meena, R.S.; Kumar, S.; Dhyani, S.; Sheoran, S.; Singh, H.M.; Pathak, V.V.; Khalid, Z.; Singh, A.; Chopra, K.; et al. India’s renewable energy research and policies to phase down coal: Success after Paris agreement and possibilities post-Glasgow Climate Pact. Biomass Bioenergy 2023, 177, 106944. [Google Scholar] [CrossRef]
- Srikanth, R.; Bhatt, J.R. Why India Needs Coal to Achieve Its Sustainable Development Goals (No. f6dhe); Center for Open Science: Charlottesville, VA, USA, 2023. [Google Scholar]
- Mishra, A.; Das, N.; Chhetri, P. Sustainable strategies for the Indian coal sector: An econometric analysis ap-proach. Sustainability 2023, 15, 11129. [Google Scholar] [CrossRef]
- Ministry of Coal Press Information Bureau, India’s Coal Production Targets and Achievements, Ministry of Coal, Government of India. 2023. Available online: https://pib.gov.in/PressReleaseIframePage.aspx?PRID=1984997 (accessed on 11 December 2023).
- Singh, N.P.; Seervi, V.; Kishore, N.; Verma, A.K. Impact of Surface Miner Utilisation on Production Efficiency in Opencast Coal Mines Using Least Squares Method: A Case Study. J. Inst. Eng. Ser. D 2024, 105, 567–580. [Google Scholar] [CrossRef]
- Chen, X.H.; Tee, K.; Elnahass, M.; Ahmed, R. Assessing the environmental impacts of renewable energy sources: A case study on air pollution and carbon emissions in China. J. Environ. Manag. 2023, 345, 118525. [Google Scholar] [CrossRef]
- Sofia, D.; Gioiella, F.; Lotrecchiano, N.; Giuliano, A. Mitigation strategies for reducing air pollution. Environ. Sci. Pollut. Res. 2020, 27, 19226–19235. [Google Scholar] [CrossRef]
- World Health Organization. WHO Global Air Quality Guidelines: Particulate Matter (PM2.5 and PM10), Ozone, Nitrogen Dioxide, Sulfur Dioxide and Carbon Monoxide; World Health Organization: Geneva, Switzerland, 2021.
- Alhajeri, N.S.; Alrashidi, A.M.; Yassin, M.F.; Al-Awadi, L. Optimizing indoor air quality: Investigating particulate matter exposure in household kitchens and source identification. Environ. Qual. Manag. 2024, 34, 22198. [Google Scholar] [CrossRef]
- Roy, A.A.; Adams, P.J.; Robinson, A.L. Air pollutant emissions from the development, production, and processing of Marcellus Shale natural gas. J. Air Waste Manag. Assoc. 2014, 64, 19–37. [Google Scholar] [CrossRef]
- Hosseini, S.H.; Taghizadeh-Alisaraei, A.; Ghobadian, B.; Abbaszadeh-Mayvan, A. Performance and emission char-acteristics of a CI engine fuelled with carbon nanotubes and diesel-biodiesel blends. Renew. Energy 2017, 111, 201–213. [Google Scholar] [CrossRef]
- Zhaglovskaya, A.V.; Savon, D.Y.; Safronov, A.; Sidorova, E. Production activity analysis methodology for open pit coal mines (in terms of Shestaki open pit mine). Eurasian Min. 2017, 1, 27. [Google Scholar] [CrossRef]
- Roy, S.; Adhikari, G.R.; Singh, T.N. Development of Emission Factors for Quantification of Blasting Dust at Surface. J. Environ. Prot. 2010, 1, 346–361. [Google Scholar] [CrossRef]
- Pandey, V.C.; Ahirwal, J.; Roychowdhury, R.; Chaturvedi, R. Eco-Restoration of Mine Land; John Wiley & Sons: Hoboken, NJ, USA, 2022. [Google Scholar]
- Chaulya, S.; Chowdhury, A.; Kumar, S.; Singh, S.; Singh, R.; Prasad, G.; Mandal, S.; Banerjee, G. Fugitive dust emission control study for a developed smart dry fog system. J. Environ. Manag. 2021, 285, 112116. [Google Scholar] [CrossRef] [PubMed]
- Lashgari, A.; Kecojevic, V. Comparative analysis of dust emission of digging and loading equipment in surface coal mining. Int. J. Min. Reclam. Environ. 2015, 30, 181–196. [Google Scholar] [CrossRef]
- Mondal, S.; Singh, G.; Jain, M.K. Spatio-temporal variation of air pollutants around the coal mining areas of Jharia Coalfield, India. Environ. Monit. Assess. 2020, 192, 405. [Google Scholar] [CrossRef] [PubMed]
- Carlson, C.L.; Adriano, D.C. Environmental Impacts of Coal Combustion Residues. J. Environ. Qual. 1993, 22, 227–247. [Google Scholar] [CrossRef]
- Honscha, L.C.; Penteado, J.O.; Gama, V.D.S.; Bonifácio, A.d.S.; Aikawa, P.; dos Santos, M.; Baisch, P.R.M.; Muccillo-Baisch, A.L.; Júnior, F.M.R.d.S. Health impact assessment of air pollution in an area of the largest coal mine in Brazil. Environ. Sci. Pollut. Res. 2021, 29, 14176–14184. [Google Scholar] [CrossRef]
- Chadwick, M.J.; Lindman, N. (Eds.) Environmental Implications of Expanded Coal Utilization: A Study by; The Beijer Institute the United Nations Environment Programme the USSR Academy of Sciences: Stockholm, Sweden; Elsevier: Amsterdam, The Netherlands, 2013. [Google Scholar]
- Chakraborty, M.; Ahmad, M.; Singh, R.; Pal, D.; Bandopadhyay, C.; Chaulya, S. Determination of the emission rate from various opencast mining operations. Environ. Model. Softw. 2002, 17, 467–480. [Google Scholar] [CrossRef]
- Huertas, J.; Huertas, M.; Cervantes, G.; Díaz, J. Assessment of the natural sources of particulate matter on the opencast mines air quality. Sci. Total Environ. 2014, 493, 1047–1055. [Google Scholar] [CrossRef]
- Oliveira, M.L.; Akinyemi, S.A.; Nyakuma, B.B.; Dotto, G.L. Environmental impacts of coal nanoparticles from rehabilitated mine areas in Colombia. Sustainability 2022, 14, 4544. [Google Scholar] [CrossRef]
- Trechera, P.; Moreno, T.; Córdoba, P.; Moreno, N.; Zhuang, X.; Li, B.; Li, J.; Shangguan, Y.; Dominguez, A.O.; Kelly, F.; et al. Comprehensive evaluation of potential coal mine dust emissions in an open-pit coal mine in Northwest China. Int. J. Coal Geol. 2021, 235, 103677. [Google Scholar] [CrossRef]
- Candeias, C.; Ávila, P.; Coelho, P.; Teixeira, J.P. Mining activities: Health impacts. In Reference Module in Earth Systems and Environmental Sciences; Springer: Berlin/Heidelberg, Germany, 2018; pp. 1–21. [Google Scholar]
- Patra, A.K.; Gautam, S.; Kumar, P. Emissions and human health impact of particulate matter from surface mining operation—A review. Environ. Technol. Innov. 2016, 5, 233–249. [Google Scholar] [CrossRef]
- Hendryx, M.; Islam, M.S.; Dong, G.-H.; Paul, G. Air Pollution Emissions 2008–2018 from Australian Coal Mining: Implications for Public and Occupational Health. Int. J. Environ. Res. Public Health 2020, 17, 1570. [Google Scholar] [CrossRef] [PubMed]
- Gautam, S.; Prasad, N.; Patra, A.K.; Prusty, B.K.; Singh, P.; Pipal, A.S.; Saini, R. Characterization of PM2.5 generated from opencast coal mining operations: A case study of Sonepur Bazari Opencast Project of India. Environ. Technol. Innov. 2016, 6, 1–10. [Google Scholar] [CrossRef]
- Wang, J.; Ogawa, S. Effects of meteorological conditions on PM2.5 concentrations in Nagasaki, Japan. Int. J. Environ. Res. Public Health 2015, 12, 9089–9101. [Google Scholar] [CrossRef] [PubMed]
- Manisalidis, I.; Stavropoulou, E.; Stavropoulos, A.; Bezirtzoglou, E. Environmental and health impacts of air pollution: A review. Front. Public Health 2020, 8, 14. [Google Scholar] [CrossRef] [PubMed]
- Li, G.; Koomson, D.A.; Huang, J.; Amponsah, E.I.; Darkwah, W.K.; Miwornunyuie, N.; Li, K.; Dong, X. A review from environmental management to environmental governance: Paradigm shift for sustainable mining practice in Ghana. Environ. Dev. Sustain. 2021, 23, 9710–9724. [Google Scholar] [CrossRef]
- Hansen, J.; Sato, M.; Russell, G.; Kharecha, P. Climate sensitivity, sea level and atmospheric carbon dioxide. Philos. Trans. R. Soc. A Math. Phys. Eng. Sci. 2013, 371, 20120294. [Google Scholar] [CrossRef]
- Zhou, S.; He, H.; Zhang, L.; Zhao, W.; Wang, F. A Data-Driven Method to Monitor Carbon Dioxide Emissions of Coal-Fired Power Plants. Energies 2023, 16, 1646. [Google Scholar] [CrossRef]
- Erhan, L.; Ndubuaku, M.; Di Mauro, M.; Song, W.; Chen, M.; Fortino, G.; Bagdasar, O.; Liotta, A. Smart anomaly detection in sensor systems: A multi-perspective review. Inf. Fusion 2021, 67, 64–79. [Google Scholar] [CrossRef]
- Nižetić, S.; Šolić, P.; González-de-Artaza, D.L.-D.I.; Patrono, L. Internet of Things (IoT): Opportunities, issues and challenges towards a smart and sustainable future. J. Clean. Prod. 2020, 274, 122877. [Google Scholar] [CrossRef]
- Liu, X.; Bai, S.; Yuan, J.; Sun, H. Intelligent Monitoring and Management System for Coal Mines Using Internet of Things Technology. In Proceedings of the Innovative Computing, Taichung, Taiwan, 23–26 January 2024; Pei, Y., Ma, H.S., Chan, Y.-W., Jeong, H.-Y., Eds.; Springer: Singapore, 2024. [Google Scholar]
- Kim, S.-M.; Choi, Y.; Suh, J. Applications of the Open-Source Hardware Arduino Platform in the Mining Industry: A Review. Appl. Sci. 2020, 10, 5018. [Google Scholar] [CrossRef]
- Sharma, R.; Kumar, A. Analysis of seasonal and spatial distribution of particulate matters and gaseous pollutants around an open cast coal mining area of Odisha, India. Environ. Sci. Pollut. Res. 2023, 30, 39842–39856. [Google Scholar] [CrossRef] [PubMed]
- Jiang, Y.; Chen, W.; Zhang, X.; Zhang, X.; Yang, G. Real-Time Monitoring of Underground Miners’ Status Based on Mine IoT System. Sensors 2024, 24, 739. [Google Scholar] [CrossRef] [PubMed]
- Medina, F.; Ruiz, H.; Espíndola, J.; Avendaño, E. Deploying IIoT Systems for Long-Term Planning in Underground Mining: A Focus on the Monitoring of Explosive Atmospheres. Appl. Sci. 2024, 14, 1116. [Google Scholar] [CrossRef]
- Molaei, F.; Rahimi, E.; Siavoshi, H.; Afrouz, S.G.; Tenorio, V. A Comprehensive Review on Internet of Things (IoT) and its Implications in the Mining Industry. Am. J. Eng. Appl. Sci. 2020, 13, 499–515. [Google Scholar] [CrossRef]
- Zhang, H.; Li, B.; Karimi, M.; Saydam, S.; Hassan, M. Recent Advancements in IoT Implementation for Environmental, Safety, and Production Monitoring in Underground Mines. IEEE Internet Things J. 2023, 10, 14507–14526. [Google Scholar] [CrossRef]
- Kundu, S.; Pal, A.K. Application of AERMOD model in air quality (PM10) impact assessment of selected opencast mines in The Jharia Coalfield, Jharkhand, India. Environ. Prot. Eng. 2018, 44, epe180401. [Google Scholar] [CrossRef]
- Naik, A.S.; Reddy, S.K.; Raj, M.G. RTEPMS: Real Time Environmental Parameters Monitoring System using IoT based LoRa 868 MHz Wireless Communication Technology in Underground Mines. IEEE Access 2024, 12, 3350429. [Google Scholar] [CrossRef]
- Giordano, M.R.; Malings, C.; Pandis, S.N.; Presto, A.A.; McNeill, V.; Westervelt, D.M.; Beekmann, M.; Subramanian, R. From low-cost sensors to high-quality data: A summary of challenges and best practices for effectively calibrating low-cost particulate matter mass sensors. J. Aerosol Sci. 2021, 158, 105833. [Google Scholar] [CrossRef]
- Alfano, B.; Barretta, L.; Del Giudice, A.; De Vito, S.; Di Francia, G.; Esposito, E.; Formisano, F.; Massera, E.; Miglietta, M.L.; Polichetti, T. A Review of Low-Cost Particulate Matter Sensors from the Depvelopers’ Perspectives. Sensors 2020, 20, 6819. [Google Scholar] [CrossRef]
- Ayele, T.W.; Mehta, R. Air pollution monitoring and prediction using IoT. In Proceedings of the 2018 Second International Con-Ference on Inventive Communication and Computational Technologies (ICICCT), Coimbatore, India, 20–21 April 2018; IEEE: Piscataway, NJ, USA, 2018; pp. 1741–1745. [Google Scholar]
- Manikandan, S.V.; Abilash, Y.; Prasanth, S.H.; Daniel, J.A.; Santhosh, R. Internet of things enabled ml for air quality assessment: Systematic review. In Proceedings of the 2023 7th International Conference on Intelligent Computing and Control Systems (ICICCS), Madurai, India, 17–19 May 2023; IEEE: Piscataway, NJ, USA, 2023; pp. 1509–1514. [Google Scholar]
- Tsiompra, M. Early Warning System for Monitoring Air Pollution Using an IoT Platform. Ph.D. Thesis, Aristotle University of Thessaloniki, Thessaloniki, Greece, 2023. [Google Scholar]
- NAAQS_2019, National Ambient Air Quality Standards (NAAQS) Annual Report 2019. Central Pollution Control Board. Available online: http://www.cpcb.nic.in/ (accessed on 18 October 2024).
- Ghose, M.K.; Majee, S.R. Air Pollution due to Opencast Coal Mining and It’s Control in Indian Context. J. Sci. Ind. Res. 2001, 60, 786–797. [Google Scholar]
- Bulletin of Ambient Air Quality National Ambient Air Quality Monitoring Programme (NAMP)-Manual Monitoring System. Central Pollution Control Board Ministry Of Environment, Forests & Climate Change. 2016. Available online: http://www.cpcb.nic.in/ (accessed on 18 October 2024).
- Ghose, M.K.; Majee, S.R. Assessment of Dust Generation Due to Opencast Coal Mining—An Indian Case Study. Environ. Monit. Assess. 2000, 61, 257–265. [Google Scholar] [CrossRef]
- Sinha, S.; Banerjee, S. Characterization of haul road dust in an Indian opencast iron ore mine. Atmos. Environ. 1997, 31, 2809–2814. [Google Scholar] [CrossRef]
- Sastry, V.R.; Chandar, K.R.; Nagesha, K.V.; Muralidhar, E.; Mohiuddin, M.S. Prediction and analysis of dust dispersion from drilling operation in opencast coal mines. Procedia Earth Planet. Sci. 2015, 11, 303–311. [Google Scholar] [CrossRef]
- Hernandez, G.; Berry, T.A.; Wallis, S.; Poyner, D. Temperature and humidity effects on particulate matter concentrations in a sub-tropical climate during winter. Int. Proc. Chem. Biol. Environ. Eng. 2017, 102, 41–49. [Google Scholar]
- Liu, L.Y.; Ji, H.G.; Lü, X.F.; Wang, T.; Zhi, S.; Pei, F.; Quan, D.L. Mitigation of greenhouse gases released from mining activities: A review. Int. J. Miner. Metall. Mater. 2021, 28, 513–521. [Google Scholar] [CrossRef]
- Ministry of Coal. Annual Report 2023–2024; Ministry of Coal: New Delhi, India, 2024. [Google Scholar]
- Tripathi, A.K.; Aruna, M.; Gowripathi Rao, N.R.N.V.; Ray, S. Design and Development of an IoT-Based Gas Monitoring System for Underground Coal Mines. In Recent Trends in Mechanical Engineering: Select Proceedings of PRIME 2021; Springer: Berlin/Heidelberg, Germany, 2023; pp. 489–495. [Google Scholar]
- Kirešová, S.; Guzan, M. Determining the correlation between particulate matter PM10 and meteorological factors. Eng 2022, 3, 343–363. [Google Scholar] [CrossRef]
- Onuorah, C.U.; Leton, T.G.; Momoh, Y.O.L. Influence of Meteorological Parameters on Particle Pollution (PM2.5 and PM10) in the Tropical Climate of Port Harcourt, Nigeria. Arch. Curr. Res. Int. 2019, 19, 1–12. [Google Scholar] [CrossRef]
- Vaishali; Verma, G.; Das, R.M. Influence of Temperature and Relative Humidity on PM2.5 Concentration over Delhi. MAPAN 2023, 38, 759–769. [Google Scholar] [CrossRef]



























| Months | Coal Production (T) | Overburden (M3) | Overburden (T) (Density × Volume) | Total Excavation (T) |
|---|---|---|---|---|
| January | 91,875 | 230,471 | 502,426.8 | 594,301.8 |
| February | 63,735 | 205,340 | 447,641.2 | 511,376.2 |
| March | 26,965 | 213,991 | 466,500.4 | 493,465.4 |
| April | 32,909 | 187,735 | 409,262.3 | 442,171.3 |
| PM1 | PM2.5 | PM10 | Temp (Cel.) | Hum | AQI-IN | |
|---|---|---|---|---|---|---|
| Count | 172,800 | 172,800 | 172,800 | 172,800 | 172,800 | 172,800 |
| Mean | 129.55 | 159.11 | 180.48 | 23.81 | 59.68 | 258.97 |
| SD | 75.07 | 91.14 | 103.22 | 5.25 | 11.75 | 113 |
| Min. | 26.81 | 33.46 | 37.54 | 12.27 | 30 | 56.35 |
| 25% | 72.54 | 88.82 | 101.64 | 19.65 | 50.84 | 172.98 |
| 50% | 110.33 | 136.12 | 154.29 | 23.92 | 60.42 | 244.65 |
| 75% | 165.68 | 203.38 | 230.8 | 27.55 | 69.31 | 311.49 |
| Max. | 358.82 | 437.99 | 496.27 | 34.97 | 83.08 | 575.38 |
| PM1 | PM2.5 | PM10 | Temp (Cel.) | Hum | AQI-IN | |
|---|---|---|---|---|---|---|
| Count | 172,800 | 172,800 | 172,800 | 172,800 | 172,800 | 172,800 |
| Mean | 109.52 | 134.75 | 153.0 | 24.81 | 54.76 | 234.71 |
| SD | 63.37 | 77.34 | 88.24 | 5024 | 14.3 | 101.56 |
| Min. | 30.65 | 38.21 | 43.4 | 11.35 | 23.39 | 67.63 |
| 25% | 67.73 | 83.5 | 94.79 | 21.39 | 43.09 | 166.08 |
| 50% | 89.29 | 109.88 | 125.86 | 25.17 | 55.02 | 208.42 |
| 75% | 120.59 | 148.22 | 169.21 | 28.46 | 64.16 | 275.12 |
| Max. | 355.85 | 436.14 | 496.98 | 34.83 | 84.71 | 563.62 |
| PM1 | PM2.5 | PM10 | Temp (Cel.) | Hum | AQI-IN | |
|---|---|---|---|---|---|---|
| Count | 172,800 | 172,800 | 172,800 | 172,800 | 172,800 | 172,800 |
| Mean | 52.55 | 64.33 | 74.6 | 26.5 | 44.3 | 123.75 |
| SD | 16.57 | 22.43 | 26.18 | 5.2 | 12.54 | 47.53 |
| Min. | 23.02 | 28.42 | 32.21 | 17.21 | 22.04 | 47.79 |
| 25% | 40.93 | 45.39 | 54.68 | 22.17 | 32.6 | 85.63 |
| 50% | 49.62 | 62.34 | 70.07 | 27.01 | 43.93 | 114.29 |
| 75% | 64.05 | 78.66 | 92.91 | 30.61 | 54.98 | 154.32 |
| Max. | 93.57 | 138.05 | 146.2 | 36.48 | 71.41 | 256.01 |
| AQI Value | AQI Category | AQI Color |
|---|---|---|
| 0–50 | Good | Green |
| 51–100 | Moderate | Yellow |
| 101–150 | Unhealthy for sensitive groups | Orange |
| 151–200 | Unhealthy | Red |
| 201–300 | Very unhealthy | Purple |
| 300–500 | Hazardous | Maroon |
| Pollutants | Period of Collection | Coal Mines Regulation Act (CMRA) 2017 | India (NAAQS) | (WHO 2021) AQGs | No of Times Threshold Limit Exceeded at Mine Site Mine Based on CMRA |
|---|---|---|---|---|---|
| PM2.5 (µg/m3) | Annual 24-hr | 215 300 | 40 60 | 5 15 | 23 |
| PM10 (µg/m3) | Annual 24-hr | 215 300 | 40 60 | 5 15 | 21 |
| O3 (µg/m3) | Peak Season 8-hr | 100 180 | 100 180 | 60 100 | 40 |
| NO2 (µg/m3) | Annual 24-hr | 80 120 | 40 80 | 10 25 | 51 |
| SO2 (µg/m3) | Annual 24-hr | 80 120 | 50 80 | 60 40 | 34 |
| CO (µg/m3) | 24-hr | 4 | 4 | 4 | 18 |
Disclaimer/Publisher’s Note: The statements, opinions and data contained in all publications are solely those of the individual author(s) and contributor(s) and not of MDPI and/or the editor(s). MDPI and/or the editor(s) disclaim responsibility for any injury to people or property resulting from any ideas, methods, instructions or products referred to in the content. |
© 2025 by the authors. Licensee MDPI, Basel, Switzerland. This article is an open access article distributed under the terms and conditions of the Creative Commons Attribution (CC BY) license (https://creativecommons.org/licenses/by/4.0/).
Share and Cite
Suresh, V.; Agarwal, S.; Chugh, Y.P.; Jha, P.; Wang, R. Advancing Sustainability in Surface Coal Mines Through Real-Time Air Quality Monitoring: Low-Cost IoT Solutions and the Role of Meteorological Factors in PM and GHG Emissions. Sustainability 2025, 17, 1301. https://doi.org/10.3390/su17031301
Suresh V, Agarwal S, Chugh YP, Jha P, Wang R. Advancing Sustainability in Surface Coal Mines Through Real-Time Air Quality Monitoring: Low-Cost IoT Solutions and the Role of Meteorological Factors in PM and GHG Emissions. Sustainability. 2025; 17(3):1301. https://doi.org/10.3390/su17031301
Chicago/Turabian StyleSuresh, Vislavath, Siddhartha Agarwal, Yoginder P. Chugh, Priyanshu Jha, and Renzhong Wang. 2025. "Advancing Sustainability in Surface Coal Mines Through Real-Time Air Quality Monitoring: Low-Cost IoT Solutions and the Role of Meteorological Factors in PM and GHG Emissions" Sustainability 17, no. 3: 1301. https://doi.org/10.3390/su17031301
APA StyleSuresh, V., Agarwal, S., Chugh, Y. P., Jha, P., & Wang, R. (2025). Advancing Sustainability in Surface Coal Mines Through Real-Time Air Quality Monitoring: Low-Cost IoT Solutions and the Role of Meteorological Factors in PM and GHG Emissions. Sustainability, 17(3), 1301. https://doi.org/10.3390/su17031301

