Next Article in Journal
Sustainability and Stakeholder Engagement in Building Information Modelling-Enabled Construction: A Review of Critical Success Factors in Design and Planning Phases
Next Article in Special Issue
Factors Shaping Sustainability Through Female Entrepreneurship in the GCC: A Systematic Review with Multi-Level and Institutional Perspective
Previous Article in Journal
Productivity and Profitability of Maize-Mungbean and Maize-Chili Pepper Relay Intercropping Systems for Income Diversification and Soil Fertility in Southern Benin
Previous Article in Special Issue
Entrepreneurship and Corporate ESG Performance—A Case Study of China’s A-Share Listed Companies
 
 
Font Type:
Arial Georgia Verdana
Font Size:
Aa Aa Aa
Line Spacing:
Column Width:
Background:
Article

Evaluating the Influence of Environmental, Social, and Governance (ESG) Performance on Green Technology Innovation: Based on Chinese A-Share Listed Companies

1
Business College, Southwest University, Chongqing 400715, China
2
College of Letters & Science, University of Wisconsin, Madison, WI 53706, USA
3
School of Urban Planning and Design, Peking University, Shenzhen 518055, China
4
College of Public Administration, Huazhong University of Science and Technology, Wuhan 430079, China
*
Author to whom correspondence should be addressed.
Sustainability 2025, 17(3), 1085; https://doi.org/10.3390/su17031085
Submission received: 10 December 2024 / Revised: 26 January 2025 / Accepted: 27 January 2025 / Published: 28 January 2025
(This article belongs to the Special Issue Research on Entrepreneurship and Sustainable Economic Development)

Abstract

In the context of the rapid development of the global economy, promoting corporate economic development while taking into account sustainable development has gradually become the focus of attention of countries around the world. The ESG performance reflects the differences in the assessment of enterprises’ sustainable development potential by capital market information intermediaries. These differences affect the internal governance and external financing of enterprises, thereby influencing corporate green innovation. This research is based on 1500 Shanghai-Shenzhen A-share listed companies in China from 2012 to 2022. Using green technology innovation quantity (GINUM) and green technology innovation quality (GICIT) as the measures of corporate green innovation capabilities, and by constructing a DiD model and a benchmark regression model, the dynamic relationship between ESG performance and green innovation is explored. At the same time, the mediation effect model is introduced to examine the impact of ESG performance on corporate green innovation capabilities from three perspectives: financing constraints, management’s green development awareness, and employee innovation efficiency. In addition, endogenous analysis methods and robustness test methods are employed to further ensure the reliability of the research results. The research findings show that ESG performance can significantly promote corporate green innovation capabilities. Heterogeneity analysis reveals that ESG performance significantly enhances the green technology innovation capabilities of enterprises, especially among non-state-owned small and medium-sized enterprises (SMEs) and enterprises in the eastern region. The regression coefficients for GINUM and GICIT are 0.019, 0.021, 0.084, and 0.086, respectively, all of which are statistically significant at the 1% level. The mechanism analysis shows that in terms of alleviating financing constraints, enhancing management’s green development awareness, and improving employee innovation efficiency, the regression coefficients of ESG performance for GINUM and GICIT are −1.559, −1.953, 0.018, 0.011, 0.427, and 0.495, respectively, indicating a certain promoting effect. The results of this study enrich and expand the relevant research on the relationship between ESG and corporate green innovation capabilities to a certain extent. This research is expected to provide some new practical directions for promoting green innovation capabilities within the ESG framework.

1. Introduction

The excessive use of disposable plastic products and irrational waste disposal methods in modern societies have led to a series of severe environmental crises. The escalation of extreme weather occurrences has considerably affected human survival and production operations [1,2]. The ratification of the Paris Climate Agreement in 2015 and the subsequent increase in implementation procedures at COP26 demonstrated the collective determination of countries to cope with the frequent occurrence of extreme weather events, to combat global warming, and to advance the green development process of countries [3,4,5].
The demand for social responsibility stemming from sustainable development is transforming the conventional notion of enterprise development, making the pursuit of sustainable green development an unavoidable option for businesses in the contemporary era. However, it is difficult for enterprises to find a balance between the implementation of sustainable development strategies and economic benefits, so green technological innovation is considered by stakeholders as an important strategy to solve this problem. In order to achieve the goal of coordinated development of environment and economy, enterprises, as the micro-body of economic operation, should actively carry out green innovation and continuously reduce consumption and pollution to promote the green transformation of enterprises, so as to realize the win-win situation of economic growth and environmental protection. Green technological innovation is marked by extended cycles and substantial investment, which do not yield significant short-term benefits for enterprises. Instead, it necessitates sustained long-term investment, diminishing the enthusiasm and innovative capacity of businesses. Therefore, exploring how to incentivize enterprises to promote green technology and improve the efficiency of green innovation is valuable for realizing the synergistic high-quality development of the economy and the environment.
Current research on the determinants of enterprises’ green innovation capacity predominantly emphasizes macro-level aspects such as environmental regulation and bilateral investment, while micro-level factors like environmental protection investment and digital transformation are minimally addressed. As a particularly important type of institutional innovation, sustainability evaluation plays a great role in guiding enterprises to practice sustainability guidelines and realize green transformation to achieve high-quality development [6]. In recent years, an increasing number of investors have incorporated environmental, social responsibility, and corporate governance performance into their analyses and evaluations of enterprises, as illustrated in Figure 1.
In the sixth global institutional investor survey report released by Ernst & Young [7], 90% of the surveyed investors indicated that they would consider the performance of enterprises in ESG when making investment decisions. As the mainstream sustainability evaluation scale, ESG not only brings new ideas for enterprise management but also provides a new path for sustainable investment. Consequently, it is crucial to elucidate the influence mechanism and impact of ESG evaluation on enterprises’ capacity for green technology innovation, to facilitate the green transformation and high-quality economic development, and to achieve the objectives of the “dual-carbon” strategy. At this stage, academics mainly study the impact of ESG performance on enterprises from the following two aspects: ESG performance and financing constraints. Bai et al. [8] argue that good ESG performance is conducive to enterprises alleviating financing constraints and provides stakeholders with evaluation standards, thus more accurately assessing the enterprise’s sustainable development ability. Long et al. [9] utilized the method of quantile regression in evaluating the long-term prospects and resilience of companies and found that stakeholders are attaching increasing importance to the connection between ESG performance and green innovation. In addition, Korzeb et al. [10] argue that since the fulfillment of ESG responsibilities is more in line with the expectations of stakeholders for enterprise development at the current stage, enterprises with good ESG performance can obtain more resources, thus alleviating enterprise liquidity pressure. Darnall et al. [11] contend that enhanced ESG information disclosure by listed companies will bolster stakeholders’ trust in the organization, thereby prompting increased resource investment. Maqsood et al. [12] explored the impact of government regulations on executive compensation and corporate ESG performance in the context of green innovation, as well as the relationship between this compensation regulatory mechanism and the input and output of green innovation. Ahmed et al. [13] explored the positive roles of green innovation, trade, and energy in promoting green economic growth in South Asian countries. Kılıç and Kuzey [14] analyzed the effect of corporate governance structure on ESG disclosure based on the GRI methodology of 17 Turkish companies on the Istanbul Stock Exchange for the years 2013–2016. Zhang et al. [15] used the fixed effects model to empirically analyze the relationship between ESG performance and the green innovation capabilities of enterprises. The results show that ESG performance has a promoting effect on the green technology innovation capabilities. Previous studies by scholars usually centered around the connection between a solitary variable and ESG performance. Moreover, their examinations of ESG and green innovation were frequently conducted from a macro-level standpoint and were rather detached. In contrast, this paper delves deeply into the relationship between ESG and green innovation by integrating prior research findings. It undertakes analyses and verifications from diverse aspects, thereby offering valuable references for future research on the link between the two.
As already mentioned, ESG stands for social responsibility and corporate governance. In the environmental (E) dimension, enterprises with higher environmental awareness often pursue low-carbon production to comply with regulations, especially under China’s “carbon peak carbon neutral” goals. These firms actively engage in green innovation to enhance efficiency and improve their corporate image, which often earns them government support and resources, further encouraging green technology investments. Social responsibility (S) contributes significantly, as companies that emphasize employee welfare and development enhance their capacity for innovation. High-quality talent fosters knowledge sharing, advancing green technology research and development (R&D) and achieving sustainable development [16,17,18]. Companies committed to social responsibility also tend to allocate resources more prudently to maximize green innovation efficiency. Effective governance (G) aligns the interests of management and shareholders, thereby incentivizing long-term, sustainable innovation efforts. Enterprises with robust risk management can also sustain green innovation efforts despite uncertainties, thereby improving green innovation efficiency.
Green technology initiatives are characterized by significant risk and frequently encounter substantial financial limitations owing to their extended timelines and elevated expenses. ESG performance, by enhancing corporate transparency, mitigates information asymmetry, thereby improving trust and financial support from investors and creditors. Additionally, strong ESG performance can reduce operational and debt risks, broadening financing channels and lowering costs, which accelerates green innovation investments [19]. Excellent ESG performance strengthens a company’s reputation, signaling a focus on long-term growth over short-term gains. By improving financial transparency and attracting stakeholder attention, ESG evaluation drives managers to prioritize green innovation in strategic planning. This alignment ensures that companies address environmental and social goals alongside economic benefits, fostering sustainable development and competitive advantage. High ESG performance signals a commitment to social responsibility, which builds trust among stakeholders and enhances the corporate reputation. In such an environment, knowledge sharing and innovation are encouraged, and companies can attract talented personnel, which in turn boosts overall innovation capacity. Moreover, by establishing robust incentive structures, ESG-focused companies enhance innovation motivation among employees [20], thereby sustaining advancements in green technology and productivity improvements.
The main innovation points of this paper are as follows:
  • Focusing on the relationship between ESG and green innovation. Rather than separately exploring ESG performance or corporate green innovation ability like most of the existing studies, this paper concentrates on the connection between them. By comprehensively taking into account these two aspects, it presents a new viewpoint for understanding the interaction mechanism in this area.
  • Analyzing the influence mechanism. This study systematically investigates and verifies the influence mechanism of corporate ESG performance on green innovation ability from three aspects: relieving financing constraints, enhancing management’s awareness of green development, and increasing employee innovation efficiency. It enriches the understanding of the driving factors of green innovation ability and the impact of ESG performance.
  • Exploring the heterogeneous effects. This research explores the heterogeneous effects of ESG on green innovation across different production activities, property rights forms, enterprise sizes, and geographical regions. This provides a more detailed reference for enterprises to formulate their personalized green innovation strategies according to their own characteristics.

2. Materials and Methods

2.1. Sample Selection and Data Sources

This study examines the Chinese A-share listed companies that published ESG reports from 2012 to 2022 to analyze the correlation between corporate ESG performance and the efficiency of green technology innovation. This paper selects ESG ratings, financial data, and corporate governance microdata of listed companies as the subjects of research, based on comprehensive ESG performance indicators. In order to ensure the reliability of the research results, the data were processed as follows: (1) listed companies in the financial and insurance industries and companies with negative net assets were excluded; (2) companies with missing values for the main variables were excluded; (3) all continuous variables were trimmed at the 1% and 99% levels to avoid the influence of outliers. A total of 932 valid observations for 1587 companies were finally obtained. Based on the CSI ESG ratings database, we obtained the data on firms’ ESG performance, and the rest of the financial data were obtained from the CSMAR database. The overall structure of the article is shown in Figure 2 below:

2.2. Definition of Variables

2.2.1. Explanatory Variable

As the explanatory variable, green technology innovation can be subdivided into two dimensions: green technology innovation quantity and green technology innovation quality.
The quantification of green technology innovation entails summing the total of green invention patents and green utility model patents filed by listed companies, thereafter adding 1, and calculating the natural logarithm of this result. This indicator is calculated as:
G I N U M = l n ( N G I P + N G U M P + 1 ) ,
where N G I P is the number of green invention patents and N G U M P is the number of green utility model patents filed by listed companies. By thoroughly mining the patent data from the China National Intellectual Property Administration (CNIPA) and cleaning, filtering, and statistically analyzing it according to the green technology patent classification defined by the World Intellectual Property Organization (WIPO), the green patent application data of the listed companies were finally obtained.
The quality of green technology innovation was assessed by analyzing the citation frequency of each green patent from the listed companies. These data reflect the patents’ influence, technical content, and market value [21]. Following manual sorting and matching [22], we aggregated the citations of green patents filed by the listed companies in the current year, added one, and subsequently included the citations of green patents filed by these companies over the next two years:
G I C I T = l n ( N F C W 2 Y + 1 ) ,
where G I C I T refers to green technology innovation quality, F C W 2 Y refers to the sum of the number of citations of green patents applied for by the listed companies in the subsequent two years, and ln denotes natural logarithm. Given that green patents applied later in the year receive fewer citations within the sample period, we implemented a time decay weighting scheme that allocates greater weights to citations nearer to the application date, thereby emphasizing the significance of recent citations in assessing innovation quality [23], using green patent citation data from the China Research Data Service Platform (CNRDS). Following manual sorting and matching, we compiled the citation counts for green patents filed by the listed companies in the current year and the subsequent two years.

2.2.2. Core Explanatory Variable

In the field of corporate sustainability evaluation, the ESG performance score is used as an important indicator of corporate sustainability. This paper uses the authoritative Bloomberg ESG scoring data released earlier to evaluate the ESG performance of enterprises and takes the evaluation results as the core explanatory variable. This rating system covers the fulfillment of corporate environmental, social, and governance responsibilities to different stakeholders and is therefore widely used in international studies. It provides a comprehensive perspective to assess the overall performance of companies in terms of sustainability. Nonetheless, there exists some discord regarding the present ESG rating system. In order to enhance the robustness of the study, this paper also introduces the China Securities Index (CSI) ESG rating data for testing [24]. The CSI ESG rating system comprises nine grades: C, CC, CCC, B, BB, BBB, A, AA, and AAA, each assigned a value from 1 to 9 in that order. This rating system is also able to reflect the performance of companies in terms of ESG and forms an effective complement and validation with Bloomberg ESG score data.

2.2.3. Intermediary Variable

Management’s Green Development Perception (MEPA) is obtained by analyzing the annual reports of listed firms that were meticulously analyzed using text analysis methods to quantify indicators based on the frequency of keywords associated with green development. Let the set of listed companies be S = S 1 ,   S 2 ,   S 3 ,   S n , the set of years be Y = y 1 ,   y 2 ,   y 3 ,   y m , the set of keywords related to green development be K = k 1 ,   k 2 ,   k 3 ,   k p , and the set of keyword weights be W = W 1 ,   W 2 ,   W 3 ,   W p . For company S i in year y i , its MEPA index is calculated as:
M E P A i j = l = 1 p w l × n i j l k A i j ,
where n i j l refers to the number of occurrences of keyword K l in the annual report A i j of company S i in year Y i .
Employee innovation efficiency (IE) is obtained by calculating the ratio of the total number of applications for invention patents, utility model patents and design patents to the number of employees of an enterprise was used as a proxy indicator. This indicator is calculated as:
I E = A + U + D E ,
where A is the number of applications for invention patents of an enterprise, U is the number of applications for utility model patents, D is the number of applications for design patents, and E is the number of employees of the enterprise.

2.2.4. Control Variable

To examine the influence of ESG performance on green technology innovation more comprehensively, we also accounted for various firm characteristics that may impact green technology innovation, as illustrated in Table 1. The data related to enterprise characteristics are obtained from the CSMAR Database.

2.3. Modeling

This paper takes the behavior of enterprises participating in ESG rating as an event shock and tests its promoting effect on enterprise green technological innovation. The multi-period DiD model is constructed as follows:
GINUM i , t = α 0 + α 1 E S G i , t + α 2 X i , t + α 3 C o n t r o l s + Year t + Industry i + ε i , t GICIT i , t = β 0 + β 1 ESG i , t + β 2 X i , t + β 3 C o n t r o l s + Year t + Industry i + ε i , t ,
where i stands for the listed companies in the sample, and t stands for the year. GINUM and G I C I T ,   respectively , denote the quantity and quality of enterprise green technology innovation. E S G i , t represents the participation status of enterprise i in ESG rating in year t . If the enterprise participates, then E S G i , t = 1 ; otherwise E S G i , t = 0 .   X i , t represents a series of control variables. Controls is a set of control variables. Although they are not the core variables of this study, they will exert an influence on the dependent variables. Year represents the year’s fixed effect, which is employed to capture the factors specific to different years and not varying with individual enterprises. Industry represents the industry’s fixed effect, which is used to control the inherent differences among different industries. Parameter ε is the random error term, encompassing the impacts of all other factors that are not explicitly incorporated into the model on the dependent variables.

3. Results

3.1. Descriptive Statistics

For the explained variables in Table 2, the mean of GINUM is 0.112, indicating that the average level of the enterprise green technology innovation quantity-related index is relatively low. The standard deviation is 0.289, showing that there are significant differences among enterprises in terms of the green technology innovation quantity, and the data distribution is relatively dispersed. The mean of GICIT is 0.117, suggesting that the average level of the enterprise green technology innovation quality-related index is not high. The standard deviation is 0.273, indicating that there are significant differences among enterprises in terms of the green technology innovation quality, and the performance of each enterprise varies. For the core explanatory variable, the mean of ESG is 0.120, reflecting that the average participation degree or performance level of the sample enterprises in ESG is relatively low. The standard deviation is 0.335, meaning that there are large differences in the performance of enterprises in ESG, and the distribution is relatively discrete. Among the control variables, the mean of Age is 0.734, indicating that the average “age” of the sample enterprises is at a specific level. The standard deviation is 0.628, showing that there are large differences among enterprises in terms of “age”. The mean of Lev is 0.428, indicating that the average asset-liability ratio of the sample enterprises is at a medium level. The standard deviation is 0.217, showing that there are certain differences among enterprises in terms of the asset-liability ratio, but relatively small. The mean of cash is 0.042, reflecting that the average cash flow status of the sample enterprises is relatively low. The standard deviation is 0.065, indicating that the differences among enterprises in terms of cash flow are relatively small. The mean of size is 22.138, indicating that the average scale of the sample enterprises is at a specific magnitude. The standard deviation is 1.273, showing that there are certain differences in the scale of enterprises. The mean of Rd is 1.932, indicating that the average level of R&D investment of the sample enterprises is at a specific state. The standard deviation is 0.524, showing that there are certain differences among enterprises in terms of R&D investment, and the degree is moderate. The mean of Bd is 2.122, reflecting the average situation of the board of directors of the sample enterprises. The standard deviation is 0.189, indicating that the differences among enterprises in terms of the board of directors are relatively small. The mean of Nm is 0.337, indicating that the average level of the sample enterprises in this index is relatively low. The standard deviation is 0.052, showing that the differences among enterprises in this aspect are small, and the performance is relatively concentrated. Generally speaking, these descriptive statistical results provide basic information for further analyzing the relationships among various variables and their impacts on the explained variables and help to understand the basic characteristics and distribution of the sample data.

3.2. Benchmark Regression Results

Table 3 presents the results of the benchmark regression analysis on the impact of ESG performance on green technology innovation. Regarding the quantity of green technology innovation, the regression coefficient of ESG is positive at the 1% significance level, clearly indicating a strong positive correlation between an enterprise’s ESG performance and the quantity of green technology innovation. That is, the better the enterprise’s ESG performance, the greater the quantity of its green technology innovation. Further exploring the three constituent dimensions of ESG, the regression coefficients of environmental information disclosure and social responsibility disclosure are both positive at the 1% significance level, strongly proving their positive promoting effects on the quantity of green technology innovation. However, the impact of corporate governance in this regard does not reach a significant level.
Turning to the quality of green technology innovation, the ESG coefficient is significantly positive at the 1% level, demonstrating that an enterprise’s ESG score correlates positively with the quality of its green technology innovation. It is worth noting that all three ESG dimensions exhibit significant positive effects on the quality of green technology innovation, with the marginal impact of the social responsibility dimension being particularly prominent. The possible reasons for this are as follows: In the current ESG evaluation system, the indicators of the social dimension cover a wider range of stakeholder groups and have closer connections with the internal and external stakeholders. The expectations and pressures of these stakeholders will have an important impact on the enterprise’s decision-making and strategic direction, prompting enterprises to pay more attention to social factors when carrying out green technology innovation, thereby improving the innovation quality. Moreover, during the transition from traditional social responsibility information disclosure to ESG information disclosure, numerous firms exhibit flaws in the disclosure of environmental information, resulting in generally low scores. Nonetheless, the indicators of the social dimension significantly coincide with traditional social responsibility data, and the disclosure is rather comprehensive, serving as a crucial factor in enhancing the ESG score. Thus, excellent social performance is more likely to garner stakeholder recognition and support, which is crucial for boosting green technology innovation’s funding and other resources.
At the same time, the regression results also reveal the impacts of other factors on green technology innovation. The regression coefficient of firm size is positive and significant in most cases, showing that larger enterprises may have more resources and advantages in green technology innovation and perform better in both quantity and quality. The regression coefficient of R&D intensity is positive and highly significant in all columns, highlighting it as a key factor in promoting green technology innovation. Higher R&D investment can directly improve the quantity and quality of green technology innovation. The regression coefficient of the asset–liability ratio is negative and significant in some cases in terms of the quality of green technology innovation, suggesting that a higher asset–liability ratio may bring financial pressure to enterprises, thereby exerting a certain inhibitory effect on the quality of green technology innovation. The regression coefficient of cash holdings is positive and significant in some columns in terms of the quality of green technology innovation, indicating that sufficient cash reserves help enterprises improve the quality of green technology innovation, while the impact on the quantity of green technology innovation is relatively small. The regression coefficients of the board size and management shareholding ratio are small and not significant, indicating that these two factors have no obvious impact on green technology innovation in the current model.
The year’s and the industry’s fixed effects are effectively controlled in all regressions, which helps exclude the interference of factors such as macroeconomic environment, policy and regulation changes, and inherent industry differences on green technology innovation, making the research results more accurately reflect the impact of the enterprise’s own characteristics on green technology innovation. Given the R2 value, the model can well explain green technology innovation quantity and quality. In addition, the regression results also show that enterprise size, R&D intensity, etc., have a significant positive impact on enterprise green innovation.
Figure 3 illustrates a forest plot of the regression results and a boxplot of variables with mean markers. Figure 3a exhibits the distribution of the key variables involved in the research. The median values of the overall ESG score and its three dimensions (environment E, society S, and governance G) are all close to 0, suggesting that the ESG performance of the majority of companies in the sample is at a median level. However, the outliers in the environmental dimension are relatively prominent, indicating that a small number of companies have outstanding performance in terms of environmental responsibility. The median of enterprise size is greater than 0, and the distribution range is relatively wide, signifying that the sample encompasses enterprises of various sizes. The median of solvency is close to 0, indicating that the solvency level of most companies is relatively low. The distributions of cash flow level and R&D investment reveal that some enterprises have significant inputs in these aspects, especially in R&D investment, which is closely related to the innovation ability of the enterprises.
The forest plot in Figure 3b presents the regression coefficients of different variables on the GINUM and GICIT of green technology innovation. The regression coefficients of the overall ESG and its environmental and social dimensions are significantly positive, demonstrating that these factors have a positive promoting effect on green technology innovation. Particularly, the impact of the environmental dimension is especially significant, and its regression coefficient is much higher than those of other dimensions, which is in line with the promotion effect of ESG on corporate innovation in terms of environmental responsibility as mentioned in the paper. The regression coefficient of enterprise size is also significantly positive, suggesting that larger enterprises are more likely to make progress in green technology innovation due to possessing more resources. The positive regression coefficients of cash flow level and R&D investment further emphasize the importance of sufficient funds and R&D investment in promoting green technology innovation.
Based on the comprehensive analysis of Figure 3, we can draw the conclusion that ESG performance, especially in the environmental dimension, has a significant positive impact on enhancing the green technology innovation ability of China’s A-share listed companies. Enterprise size, cash flow level, and R&D investment are the key factors in promoting green technology innovation. These findings emphasize that, in the pursuit of economic advantages, firms must also prioritize the incorporation of environmental, social, and governance elements to attain sustainable growth and enhance innovative capacity.

3.3. Endogeneity Analysis

Endogeneity analysis is an important method used to address the complex causal relationships among variables in economic research. In this study, when exploring the relationship between corporate ESG performance and green technology innovation, endogeneity issues mainly stem from two aspects. On the one hand, there is a reverse causality relationship. That is, the achievements of a company’s green technology innovation may affect its ESG performance, and at the same time, the company’s ESG performance may also promote green technology innovation. This two-way causal connection makes it difficult to determine the true direction of influence between the two. On the other hand, there is the problem of omitted variables. Even though a series of variables such as firm size, industry, and R&D investment have been controlled in the benchmark regression, there may still be some factors that have not been observed or included in the model. These omitted variables may simultaneously affect ESG performance and green technology innovation, thus interfering with the accuracy of the research results.
To solve these endogeneity problems, this study introduces the instrumental variables. By searching for variables that are highly correlated with corporate ESG performance but do not directly affect the decision-making of green technology innovation as instrumental variables, the pure influence of ESG performance on green technology innovation can be separated, so as to more accurately assess the causal relationship between the two, ensure the reliability and validity of the research results, and provide a more convincing basis for corporate strategic decision-making and policy formulation. Therefore, the social responsibility index in the professional evaluation system of social responsibility reports of the listed companies on ssrdata.com was selected. This index is evaluated by secondary indicators such as the proportion of enterprise income tax in the total profit and the amount of public welfare donations. From the perspective of correlation, the social responsibility index is closely related to enterprise ESG performance. Enterprises that actively fulfill their social responsibilities tend to prioritize ESG construction. From the perspective of exogeneity, a single social responsibility indicator, such as public welfare donations, is unlikely to directly affect the decision-making of green technology innovation. Although green technology innovation reflects social responsibility, it has little correlation with public welfare donations and the like.
Table 4 shows the estimation results of the two-stage instrumental variable method. In the second stage, the ESG coefficient is significantly positive, indicating that ESG still significantly promotes green technology innovation after considering endogeneity. The Kleibergen–Paap rk LM statistic value of the instrumental variable identification test is 24.839, and the p-value is 0.000, which rejects the null hypothesis of non-identifiability and proves that the instrumental variable is effective. The Kleibergen–Paap rk Wald F statistic value of the weak instrumental variable test is 25.531, which is greater than the critical value at the 10% significance level. This signifies that the instrumental variable is not weak, can forecast ESG performance, and guarantees the reliability of the outcomes. The benchmark regression results indicate that ESG performance greatly enhances enterprise green technology innovation, offering a substantial foundation for both corporate practice and related research.
Figure 4 presents the regression coefficients and their confidence intervals for the impact of ESG performance on GINUM and GICIT. The regression coefficient for ESG on GINUM is 0.55, with a relatively narrow confidence interval, indicating a significant positive correlation between ESG performance and the number of green technology innovations. This suggests that as ESG performance improves, there is a corresponding increase in the quantity of green technology innovations within firms. The regression coefficient for GICIT is 0.5, also showing a positive correlation, but with a wider confidence interval compared to GINUM. This implies that while the certainty of the impact is somewhat lower relative to GINUM, the overall significance remains substantial.

3.4. Parallel Trend Tests

In this study, the parallel trend test plays a crucial role in accurately revealing the relationship between corporate ESG performance and green technology innovation. Since methods such as the DiD model are used to explore the causal relationship, verifying the parallel trend assumption is a core step in ensuring the reliability of the research results.
In accordance with the fundamental assumptions of the DiD estimation approach, no significant disparities are supposed to exist between the control group and the treatment group. Hence, prior to the policy shock, the trends of variation in the two groups of samples should be identical. Based on this premise, this study employs the event study method to discern the trends of change in both the control and treatment groups. The specific model is presented as follows:
GINUM i , t = α 0 + 3 3 α m D i , t m + α 2 X i , t + α 3 C o n t r o l s + Year t + Industry i + ε i , t GICIT i , t = β 0 + 3 3 β m D i , t m + β 2 X i , t + β 3 C o n t r o l s + Year t + Industry i + ε i , t ,
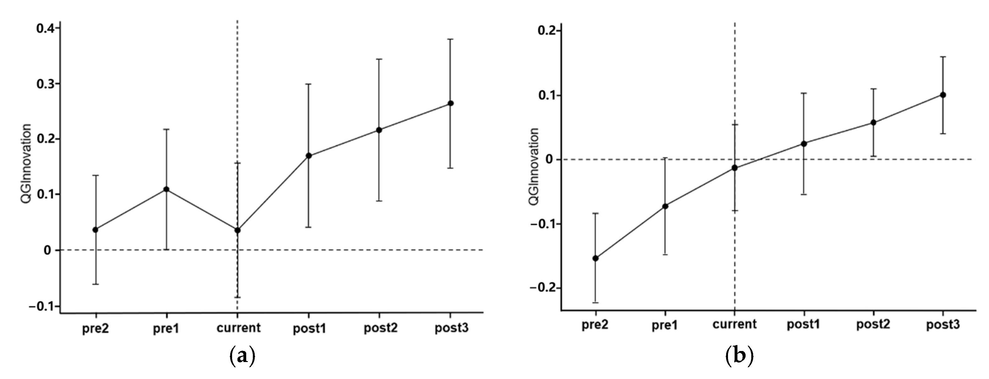
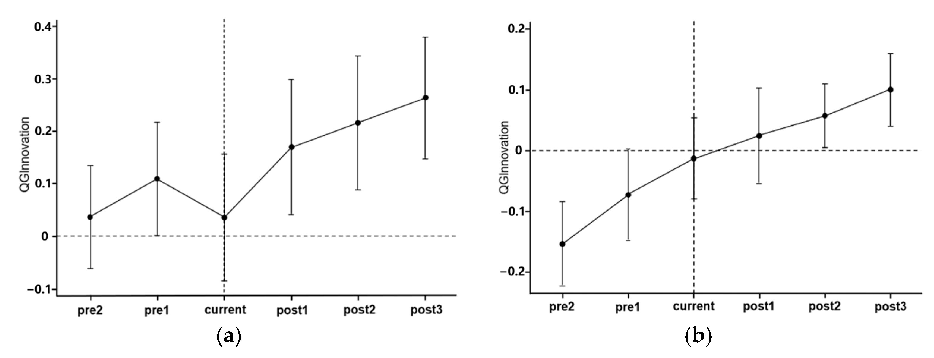
where D i , t m is a time dummy variable, indexing the trend changes in the sample from 3 years before joining the ESG rating to 3 years after joining the ESG rating. The meanings of other variables are the same as those in Equation (5). Before the implementation of the ESG rating, the green technology innovation trends of the experimental group and the control group should be basically similar. Only when this condition is met can the differences in the innovation performance of the two groups of enterprises be reasonably attributed to the ESG rating; otherwise, it will interfere with the accurate assessment of the impact of ESG performance. To this end, this study collected and integrated the data of the GINUM and GICIT of the two groups of enterprises in multiple time periods before and after the ESG rating, drew a time trend chart, and used statistical analysis techniques to quantitatively test the data before the ESG rating, so as to verify the parallel trend assumption.
As shown in Figure 5, before the ESG rating, there are no significant differences in either the quantity or the quality of green-technology innovation of enterprises in both the experimental group and the control group, further supporting the parallel trend assumption of the experimental group and the control group. Following the ESG rating, the coefficients of the policy dummy variables depicted in Figure 5a,b exhibit an increasing trajectory and progressively attain significance in the first and second years subsequent to the rating. This indicates that the impact of ESG rating on corporate green-technology innovation has a lag and presents a trend effect. The reasons are as follows. On the one hand, green-technology innovation is characterized by large-scale upfront capital investment and unpredictable risks, and enterprises need a certain period of time to accumulate for green-technology innovation. Conversely, certain heavily polluting firms may exhibit path dependence in technical innovation, necessitating considerable effort and expense to transition to green, low-carbon technologies. Therefore, it can be considered that the DiD model in this paper satisfies the parallel-trend assumption.

3.5. Placebo Test

To ensure the accuracy of the robustness analysis, this paper conducts a placebo test by randomly selecting one year from the sample period as the ESG rating year. Moreover, in order to enhance the effectiveness of the placebo test, the above experimental process is repeated 1000 times.
As shown in Figure 6, the estimated coefficients are basically around 0, and most of them are not significant at the 10% level. At the same time, the actual estimated coefficients are independent of the distribution of the simulated estimated coefficients, which effectively excludes the influence of other unobservable factors on the empirical results.

3.6. Robustness Tests

3.6.1. Variable Substitution and Poisson Regression

Initially, we modified the measurement of the dependent variable. We employed the quantity of granted green patents (GINUM_2) to evaluate the quantity of green technological innovations and utilized the frequency with which green patents filed in the current year were cited over the subsequent three years to assess the quality of green technological innovations (CICIT_2). Based on the results shown in columns (1) to (2) in Table 5, we found that the coefficient of ESG remains significantly positive. This indicates that the performance of ESG exhibits a significant green technology innovation effect, both in terms of the number of patents filed and the number of patents granted, thus verifying the robustness of the regression results. Second, we replaced the core explanatory variables. Given that ESG ratings were still in an exploratory stage, in order to avoid the divergence of ESG ratings due to the differences between different rating agencies in terms of indicator settings, institutional culture, etc., we adopted the CSI ESG ratings, which are widely recognized in both the industry and academia, to replace the original Bloomberg ESG scores as the core explanatory variables. From columns (3) to (4) of Table 5, we can see that the ESG coefficients are still significantly positive, which further proves the robustness of the benchmark regression results. The findings from columns (5) to (6) of Table 5 demonstrate that the ESG coefficient remains significantly positive, suggesting that our regression results are unaffected by specific policies. Finally, we also performed a Poisson regression analysis to further verify the robustness of the results [26]. When addressing the explanatory variables, we applied the natural logarithm after adding 1, which may introduce estimation bias. The results of columns (7) to (8) in Table 5 show that the coefficients of the core explanatory variables are still significantly positive, which again proves that our baseline regression conclusions are robust.

3.6.2. PSM-DID Test

Although the DID method can effectively identify the impact of ESG performance on corporate green innovation capabilities, there are still selection biases in practical operations. The decision of a company to adopt ESG practices is not completely exogenous. Companies that are already more innovative in green technology may be more inclined to participate in ESG initiatives. This self-selection bias may exaggerate the positive impact of ESG on green innovation. Secondly, data collection may be biased towards larger and more well-known companies. Due to unique resource constraints and market positions, small enterprises may have a different relationship between ESG and green innovation and may be underrepresented. To address this issue, this paper uses the PSM-DID method for robustness testing. After 1:1 nearest neighbor matching, the distribution map of standardized deviations of covariates shown in Figure 7 is obtained. It can be seen that there are large deviations among the covariates before matching, and the standardized deviations of the covariates significantly decrease and approach 0 after matching, indicating that the matching significantly weakens the characteristic differences between the two groups of samples. Therefore, it further examines the promoting effect of ESG performance on corporate green technology innovation. Subsequently, this study performs a DID test on the samples with the unmatched ones excluded. The specific outcomes are reported in columns (9) to (10) of Table 5. It can be observed that the estimated coefficients are significantly positive, which is in line with the conclusion of the benchmark regression, further validating the promoting effect of participating in ESG rating on the green technology innovation of enterprises.

3.7. Validation of Impact Mechanisms

3.7.1. Enterprise Financing Constraints

To explore how corporate ESG performance affects green technology innovation, we introduced corporate F C as a key indicator. Based on the previous studies, we constructed a specific financing constraint index using two exogenous variables, namely firm size ( S i z e ) and firm age ( A g e ) [27], which is calculated as:
F C = 0.737 × S i z e + 0.043 × S i z e 2 0.04 × A g e .
To test whether ESG performance has an impact on corporate financing constraints, we used the logarithm of the absolute value of the corporate financing constraint index as a measure. In columns (1)–(3) of Table 6, we show the results of the test for the financing constraint channel. First, the results in column (1) show that firms’ ESG performance has a significant negative effect on financing constraints. To put it another way, the ability to overcome financial limitations is directly proportional to the organization’s ESG score. Then, the results in Column (2) and Column (3) further show that the coefficients of financing constraints are −1.559 and −1.953, respectively, and both coefficients are significant at the 1% level. This implies that when the financing constraints of enterprises are alleviated, both the quantity and quality of their green technological innovations are significantly enhanced. Therefore, we can conclude that financing constraints are an important channel through which ESG performance affects green technology innovation. Enhanced ESG performance significantly amplifies both the quantity and quality of green technology innovation by facilitating enterprises in surmounting their financial limits.

3.7.2. Management Perception of Green Development

Management’s awareness of green development reflects the understanding and awareness of sustainable development and green practices by corporate managers, which determines the company’s actions in sustainable development. ESG evaluation, as an important indicator for investors to assess a company’s development potential, may encourage management to engage in green innovation in order to enhance the company’s competitiveness and social reputation, thereby promoting the company’s green transformation. This paper uses text analysis to measure executive cognition. By conducting word frequency statistics on relevant keywords in the annual reports of listed companies, a cognitive indicator for corporate executives’ understanding of green environmental protection is constructed. In columns (4)–(6) of Table 6, we present the results of this channel’s test. Column (4) shows that there is a clear positive correlation between management’s green development awareness and the company’s ESG performance, while columns (5) and (6) show that the improvement of management’s environmental awareness has a significant positive impact on the quantity of green innovation but does not have a significant impact on the quality of green innovation. This may be because improving the quality of green innovation requires deeper technological breakthroughs and innovation, which not only involves complex R&D processes and high technical difficulties but is also limited by the company’s R&D capabilities and technical level. In addition, the short-term performance pressure faced by management may lead them to prefer green innovation projects that can show results in the short term, which are often of relatively low quality.

3.7.3. Innovative Efficiency of Enterprise Employees

The efficiency of innovation can be assessed by examining the relationship between inputs and outputs, using either total-factor efficiency metrics or single-factor efficiency metrics. Employee innovation efficiency is one of the critical factors driving green technological innovation in enterprises, and it is closely linked to the level of human capital within the company. Strong ESG performance can effectively boost employees’ enthusiasm for innovation and attract top talent, thereby enhancing the quality of human capital and overall productivity. To verify the impact mechanism of employee innovation efficiency, we have drawn on established research methods and employed the ratio of the total number of patent applications (including invention patents, utility model patents, and design patents) to the number of employees as a proxy for innovation efficiency, based on single-factor efficiency measurement. In columns (7) to (9) of Table 6, we present the results of this channel’s test. The results in column (7) indicate that a firm’s ESG performance significantly increases employee innovation efficiency [28]. This may be because companies with good ESG performance place greater emphasis on building corporate culture and creating a positive work environment, which helps cultivate employees’ sense of mission and responsibility. When employees identify with the company’s ESG goals and internalize them as their own behavioral standards, they become more proactive in seeking innovation and improvement. The impact of innovation efficiency on the output of innovation is supported by the correlation evidence in the results of columns (8) and (9), showing that when a company’s innovation efficiency improves, its output of innovation also increases accordingly. This confirms that effective resource utilization and management in the innovation process can significantly enhance the quality and quantity of innovation outcomes.
In the process of enterprise green technology innovation, three mediating mechanisms, namely financing constraints, management’s awareness of green development, and employee innovation efficiency, are closely intertwined. The alleviation of financing constraints provides a financial foundation for enterprise green innovation, enabling management to be more confident when planning green development strategies and increasing resource investment in innovation. Management with a high level of awareness not only actively seeks ways to improve financing but also enhances employee innovation efficiency by creating an innovative culture and organizing training and ensures the high efficiency of R&D through rational allocation of resources. Moreover, the improvement of employee innovation efficiency can be transformed into practical achievements, enhancing the competitiveness and reputation of the enterprise, attracting more investment, and in turn further alleviating financing constraints.

3.8. Heterogeneity Analysis

3.8.1. Analysis of the Heterogeneity of Firms’ Production Activities

Due to the diverse production activities of enterprises, there are significant differences in their production efficiency, resource utilization, and innovation capabilities. This results in diverse difficulties and opportunities for them in market rivalry and sustainable development [29,30]. To gain a deeper understanding of these differences, we specifically examine the heterogeneous performance of production activities across different industries. We classified 16 industries, including coal and mining, as extremely polluting based on industry features and corporate instances, while others are designated as non-heavily polluting industries. Since pollution emission behavior is closely related to environmental performance, we selected the environmental dimension of ESG for in-depth analysis, as shown in columns (1)–(4) of Table 7. Compared to heavily polluting industries, the performance of environmental disclosure has a more pronounced impact on the quantity and quality of green technological innovations in non-heavily polluting industries. This suggests that ESG, as a sustainable evaluation method, does not exert strong binding power over all industries and thus requires further refinement. Although non-heavily polluting industries have lower pollution levels, they still face scrutiny and demands from the public, regulatory authorities, and the market, which may lead to a higher emphasis on environmental disclosure. In contrast, heavily polluting industries often face larger investments and longer payback periods in this area, resulting in lower enthusiasm. Furthermore, such differences among industries will have far-reaching knock-on effects in the long-term economic development and environmental governance process. In industries with minimal pollution, the strong positive correlation between environmental disclosure and green technology innovation incentivizes enterprises to allocate resources towards green innovation research and development, thereby attracting more investors and consumers who prioritize environmental protection. This not only contributes to the sustainable development of the enterprises themselves but also forms a good exemplary effect within the industry, driving the entire industry to move towards higher green standards and further enhancing the overall competitiveness and social image of the industry. For example, some emerging environmental technology enterprises, by continuously improving the transparency and quality of environmental disclosure and demonstrating their leading achievements in green technology innovation, such as highly efficient solar conversion technology and advanced waste classification and treatment technology, have obtained a large amount of investment and market share, promoting the vigorous development of the entire environmental technology industry.
For heavily polluting industries, if they cannot effectively solve the current ESG dilemmas they face, they may fall into a vicious cycle. The low enthusiasm for ESG practices leads to continuous backwardness in environmental performance, facing increasingly strict regulatory penalties and public opinion pressure, which further increases the operating costs and market risks of enterprises. From an economic perspective, this may affect the profitability and long-term development prospects of enterprises and may even lead to some enterprises being phased out of the market because they cannot adapt to the new environmental requirements. Taking the steel industry as an example, if enterprises cannot increase their investment in research and development of green smelting technology and waste gas and wastewater emission reduction technology, with the continuous improvement of environmental standards, their production and operation will be extremely restricted, and they will be at a disadvantage in international market competition.
Therefore, in view of the current situation of heavily polluting industries, in addition to the efforts of the government and industry associations, enterprises themselves also need to change their views and recognize that green technology innovation is not just a cost burden but a key opportunity for transformation, upgrading, and sustainable development. Enterprises can enhance their green technology innovation capabilities by strengthening the construction of internal R&D teams and carrying out industry-university-research cooperation with universities and scientific research institutions. Financial institutions should also provide preferential loans and green bonds to heavily polluting enterprises that are actively undergoing green transformation to relieve financial pressure and reduce the costs and risks of green technology innovation and jointly promote the green transformation of heavily polluting industries to achieve coordinated economic and environmental benefits.
Industries with differing pollutant emission levels demonstrate considerable variability in the influence of ESG performance on green technological innovation. For the heavily polluting industries, enhancing the binding force of ESG, improving the incentive mechanism, and stimulating enterprises’ motivation for green technological innovation are crucial challenges that need to be addressed.

3.8.2. Analysis of the Heterogeneity of Enterprise Property Rights

The nature of an enterprise’s ownership has a profound impact on its capacity and performance in all aspects. As the strong backbone of the national economy, state-owned enterprises (SOEs) carry not only economic functions but also political missions. Their unique strategic position, macroeconomic regulation function, and close ties with the government not only expose them to stricter government regulation but also bring them policy preferences and financial support. Nonetheless, SOEs experience more significant principal–agent dilemmas, and management frequently hesitates to embrace innovation risks due to promotion pressures and political factors [31]. In contrast, private enterprises are in a more competitive position in the market. In order to stand out in the market, private enterprises are more inclined to invest a lot of money in substantive R&D, focusing on improving the “gold content” of innovation, rather than just pursuing the superficial prosperity of innovation quantity. In order to investigate the differential impact of ESG performance on green technology innovation of enterprises with different ownership characteristics, we subdivided the total sample into two groups: SOEs and non-state-owned enterprises (NSOEs). The results of the regression analysis are shown in columns (5)–(8) of Table 7. The ESG regression coefficients for NSOEs are significantly positive regarding the quantity of green technological innovation, indicating that ESG performance positively influences the quantity of such innovation. Conversely, the ESG regression coefficients for NSOEs exhibit higher values concerning the quality of green technological innovation, underscoring the substantial role of ESG performance in enhancing the quality of green technology innovation among NSOEs. On the whole, compared with SOEs, the ESG performance of NSOEs has a more prominent incentive effect on their green technological innovation.
To enhance the role of ESG in advancing green technology innovation, SOEs must intensify internal reforms, refine the decision-making process, and implement a more adaptable and efficient innovation management system. Market-oriented incentive mechanisms can be introduced to encourage employees to actively participate in green technology innovation. At the same time, cooperation with private enterprises and scientific research institutions should be strengthened to make full use of external innovation resources and improve the efficiency and quality of innovation. NSOEs possess benefits in innovative vitality, yet they may be comparatively deficient in securing resources and policy support. The government should improve relevant policies to provide a fair competition environment and more support channels for NSOEs, such as subsidies for green technology research and development and tax preferences, to encourage NSOEs to continuously improve their green technology innovation capabilities under the ESG framework and promote the common development of enterprises with different ownership in green technology innovation.

3.8.3. Heterogeneity Analysis of Firm Size

Considering the significant differences in the inputs and outputs of enterprises of different sizes, this paper adopts the natural logarithm of the total assets of an enterprise as a measure of enterprise size and divides them based on the median of the sample enterprises [32]. Firms that surpass the median size are classified as large organizations, and those below the median are considered small and medium-sized enterprises. The results of the grouping regression are shown in columns (9) to (12) of Table 7. The results show that large firms contribute more significantly to the quantity and quality of green technological innovations in terms of ESG performance compared to small and medium-sized firms. This is mainly attributed to the following factors: First, large firms are more comfortable investing in environmental, social, and governance-related improvements due to their stronger resources and capital reserves. They have the ability to invest more in the development and application of cleaner production technologies and to enforce stricter environmental protection standards, thus contributing more effectively to the improvement of new quality productivity. Secondly, large enterprises usually have stronger brand influence and public attention and therefore pay more attention to maintaining corporate image and responding to public opinion. In order to maintain a favorable corporate image and reputation, large enterprises are more inclined to adopt positive ESG practices, which further enhance their role in promoting green technological innovation. Conversely, SMEs frequently encounter the dual limitations of resources and financing, hindering their ability to execute extensive environmental enhancement initiatives or meet diverse social obligations [33]. At the same time, they also need to cope with more intense market competition and survival pressure and therefore focus more on controlling operating costs, expanding market share, and satisfying customer needs in their daily operations while placing ESG performance on the relative back burner, which to a certain extent restricts their potential for green technological innovation and the impact of their ESG performance. However, SMEs also have certain unique advantages and potentials. Due to their superior flexibility and adaptability, they can swiftly respond and adjust to market fluctuations and the demands of emerging green technologies. Some SMEs focusing on niche fields may achieve breakthroughs in local green technology innovation with their unique technical expertise and innovative thinking. For example, some small environmental protection material enterprises have developed degradable materials with special properties. Although their scale and influence are limited, they have provided new ideas and directions for the development of green materials in the entire industry. For the deficiencies of SMEs in ESG practice and green technology innovation, the government and relevant institutions should provide more targeted support. In addition to the existing policy support, specialized green technology innovation guidance centers can be established to provide SMEs with services such as technical consultation, personnel training, and project matchmaking. Financial institutions should also innovate financial products and service models. For example, they can develop green micro-loans and green credit guarantee mechanisms suitable for SMEs, lower the financing threshold and cost of SMEs, stimulate the vitality of SMEs in green technology innovation, and promote enterprises of different sizes to jointly promote the progress of green technology under the ESG framework.

3.8.4. Analysis of Regional Heterogeneity of Enterprises

Due to the extensive terrain of China, cities in various regions exhibit considerable disparities in resource distribution, economic advancement, and governmental policies. This study investigates regional disparities in the influence of ESG performance on the quantity and quality of green technological innovation by categorizing the sample firms into three primary regions—eastern, central, and western—based on their geographic locations. A regional heterogeneity analysis is conducted, with specific results presented in columns (13) to (18) of Table 7. The regression results for the eastern region are illustrated in columns (13) to (14) of Table 7. We found that the ESG regression coefficients exhibit a positive significance level, indicating that ESG performance significantly enhances the new quality productivity of eastern firms. Secondly, the regression results for the central region, illustrated in columns (15) to (16) of Table 7, indicate that the ESG regression coefficients are minimal. This suggests that ESG performance in this region does not significantly enhance firms’ new-quality productivity. This may be attributed to the industrial structure in the central region, which is predominantly centered on traditional or basic industries, resulting in lower ESG factor requirements that affect firms’ motivation to engage in ESG practices. Finally, the regression results for the western region, as shown in columns (17) to (18) of Table 7, show that the ESG regression coefficients are lower than those in the east but much larger than those in the center.
A further in-depth analysis shows that the eastern region has formed a favorable ecosystem for green technology innovation with its developed economic and social infrastructure. There are numerous advanced scientific research institutions and universities, providing enterprises with rich technological and talent resources. For example, in the Yangtze River Delta and Pearl River Delta regions, many well-known universities and research institutes closely cooperate with enterprises to carry out industry-university-research joint projects, accelerating the transformation process of green technology from theoretical research to practical applications. At the same time, strict environmental supervision and sound policy support prompt enterprises to actively invest in green technology innovation, forming a powerful driving force for innovation. In such an environment, the competition among enterprises is also more intense, further promoting the iterative upgrading of green technology.
While the industrial framework in the central region, primarily consisting of classic or foundational industries, currently exhibits no substantial impact of ESG on improving the new-quality productivity of firms, it possesses enormous transformation potential. With the advancement of the national strategy of the rise in the central region, the central region is in a critical period of industrial structure adjustment. Traditional industries can achieve green upgrading and transformation with the help of the ESG concept. For example, firms such as those in the steel and chemical industries can improve their environmental performance and innovation capabilities by introducing advanced energy conservation and emission reduction technologies and circular economy models. The government can increase policy guidance and financial support for the industrial transformation in the central region, encourage enterprises to transform into green, high-end manufacturing and emerging green industries, gradually increase the importance of ESG factors in enterprise development, and stimulate the innovation vitality of enterprises.
The rich natural resources in the western region are originally an advantage for development, but there are many challenges in the process of balancing resource development and environmental protection. On the one hand, some enterprises rely too much on resource development and relatively lack investment in green technology innovation. On the other hand, the relatively backward infrastructure construction and technological innovation limit the promotion and application of green technology. In order to give full play to the enabling role of ESG performance, the western region should strengthen infrastructure construction, especially in the fields of transportation, communication, and energy improve regional connectivity and resource allocation efficiency. The government can also create special funds for green industry development to attract external green technology and investment, help local enterprises cooperate with developed eastern enterprises, introduce advanced green technology and management experience, and promote green development of local characteristic industries. For example, exploring the potential in fields such as new energy development and ecological agriculture, gradually improving the ESG performance and green technology innovation capabilities of enterprises, narrowing the gap with the eastern region, and achieving sustainable development of the regional economy could be mentioned.

4. Discussion

4.1. The Impact of ESG on Green Innovation of Chinese A-Share Companies

This study investigates the influence of ESG performance on green technology innovation among China’s A-share listed companies. By analyzing data from 2012 to 2022, the study explores the mechanisms through which ESG performance enhances green innovation capabilities. We demonstrated that ESG performance substantially improves the green innovation capabilities of the Chinese A-share listed companies, elucidating the direct and indirect mechanisms involved. The results correspond with the current literature demonstrating that elevated ESG scores are associated with enhanced innovation, particularly in sustainability-oriented technologies [34]. Our findings confirm that the environmental, social, and governance dimensions of ESG facilitate green innovation through various mechanisms, such as mitigating financing constraints, augmenting management’s sustainability awareness, and enhancing employee innovation efficiency. The results are explained in more detail for each aspect below.
From an environmental standpoint, firms with elevated ESG ratings typically exhibit a robust commitment to diminishing carbon emissions and implementing sustainable practices to adhere to regulatory standards, particularly in relation to China’s “carbon peak carbon neutral” objectives [35]. This proactive approach not only conforms to governmental expectations but also secures backing from regulatory agencies, facilitating companies’ access to essential resources for sustainable innovation. The study’s results align with previous research, demonstrating that environmentally responsible companies are more prone to obtaining government support and public trust, both of which are essential for enhancing green technological capabilities [36,37]. In the realm of social responsibility, organizations that prioritize employee welfare and development are likely to cultivate a culture of innovation, as employees in such settings exhibit heightened motivation and collaboration. The findings of this study underscore the significance of high-caliber talent and efficient knowledge-sharing networks in fostering green innovation, corroborating earlier research that indicates employee engagement and development are vital for sustainable innovation initiatives [38]. The integration of corporate social responsibility with innovation efficiency indicates that responsible companies are more inclined to implement long-term strategies for sustainable development, reconciling environmental and economic objectives. The governance aspect is essential for promoting green innovation by establishing a strong internal framework that enhances transparency and aligns managerial objectives with shareholder interests. By mitigating agency issues via robust governance practices, companies are more adept at prioritizing sustainable and environmentally friendly innovations over immediate profits [39]. Robust governance mechanisms ensure stability and reduce risks, allowing firms to invest in long-term green technology initiatives that might otherwise be considered excessively uncertain or resource-intensive [6,40]. The study’s findings substantiate the assertion that firms with elevated ESG ratings typically exhibit enhanced governance practices, which directly and indirectly facilitate green innovation results.
The study’s findings reveal diversity in the effects of ESG contingent upon specific firm characteristics, with NSOEs being larger organizations. The corporations situated in eastern regions exhibit more significant impacts. This indicates that the impact of ESG is not consistent but rather contingent on the context, corroborating studies that emphasize how firm-specific elements like ownership structure and geographical location can influence ESG’s function in innovation [41,42]. NSOEs are motivated by the need to sustain a competitive advantage, leading to a heightened dedication to ESG, whereas larger corporations generally have the financial and managerial capabilities to execute effective ESG strategies [43]. Conversely, enterprises in the economically advanced eastern region enjoy superior infrastructure, stricter regulations, and enhanced market access, fostering a more conducive atmosphere for ESG-oriented green innovation [44,45].
This work enriches the literature by integrating ESG characteristics into the analysis of green innovation mechanisms and providing empirical evidence on the impact of ESG on the promotion of corporate innovation [46,47,48]. These findings highlight the necessity for companies to incorporate ESG principles into their strategic planning to attain sustainable growth and for policymakers to advocate for transparent ESG practices to enhance firms’ innovation capacity [49,50,51,52]. Future research may need to investigate the enduring effects of ESG practices on green innovation and assess the efficacy of governmental policies in facilitating these initiatives across various industries and regions.

4.2. Suggestions for Enterprises to Improve ESG Performance and Green Innovation Capabilities

From the environmental aspect, enterprises must thoroughly examine their production processes to precisely determine the connections between their operations and environmental impacts. By identifying energy-intensive or highly polluting stages, they can formulate highly targeted green technology R&D plans. For instance, chemical firms can identify high-carbon-emission stages in chemical reactions and subsequently allocate research resources to develop new catalysts or optimize reaction conditions, therefore significantly diminishing carbon emissions. Moreover, it is extremely important for enterprises to actively participate in establishing industry-wide green technology standards. This can enable them to lead in innovation and guide the green development path of the whole industry, significantly enhancing their innovation advantages and environmental performance. In the area of resource management, enterprises should build a comprehensive life-cycle resource management system. This requires ensuring efficient recycling of resources throughout the process from raw material procurement to production and processing and then to product recycling, reducing resource consumption and environmental burdens. In turn, this brings new profit opportunities and innovative business models, ultimately enhancing the environmental dimension performance and innovation capabilities within the ESG framework.
From the social dimension, enterprises need to set up a comprehensive employee green innovation empowerment system. Besides traditional training methods, advanced technologies like virtual reality can be used to create an immersive green innovation training environment. This enhanced approach can significantly improve the training effect. In addition, establishing an employee green innovation project incubator is essential. The incubator should provide all-round support, including funds, equipment, and guidance, which can accelerate the transformation of innovative achievements into practical applications. In terms of community and stakeholder cooperation, enterprises should take the initiative to form a green industry ecosystem alliance with multiple parties. By integrating available resources and coordinating different demands, collaborative green innovation projects can be successfully launched. Through such cooperation, enterprises can enhance their social influence and innovation capabilities and optimize the synergy between social dimension performance and innovation within the ESG context.
From the governance dimension, the board of directors and management team need to fundamentally restructure the decision-making architecture. ESG factors must be firmly embedded in the core of the strategic decision-making model. To achieve this goal, advanced technologies such as big data and artificial intelligence can be used for ESG scenario simulation and decision analysis. This can make decision-making more scientific. Also, a multi-level ESG performance evaluation and supervision mechanism should be established. This mechanism should cover the board of directors, the board of supervisors, internal audit functions, and external third-party institutions to ensure the effective implementation of the ESG strategy. At the same time, enterprises should comply with international advanced standards and adopt technologies such as blockchain to ensure the authenticity, integrity, and immutability of ESG information disclosure. Through these means, enterprises can enhance market trust, improve governance standards and innovation reputation, and promote a positive interaction between ESG governance performance and innovation capabilities.
In summary, if enterprises proactively implement measures across environmental, social, and governance dimensions and thoroughly integrate the ESG concept into all facets of their operations, they will undoubtedly attain significant improvements in their ESG performance and green innovation capabilities. This will not only help enterprises achieve sustainable development and enhance their competitiveness in the global market but also make important contributions to addressing global environmental challenges and promoting the green transformation of the social economy. Enterprises will then gain an advantageous position in future business development and achieve a win–win situation of economic, environmental, and social benefits.

5. Conclusions

5.1. Findings

In the current business landscape, with the escalating global emphasis on sustainable development and the burgeoning interest in ESG ratings, understanding the intricate relationship between ESG and corporate green technology innovation has emerged as a crucial area of research. This study undertakes a comprehensive exploration of how ESG performance impacts the green technology innovation capabilities of the Chinese A-share listed companies. Utilizing a panel dataset from 2012 to 2022 and applying several econometric methods, we rigorously analyzed the direct impact of ESG performance, the mediating processes involved, and the differential effects across various firm attributes.
Our empirical analysis yields several salient findings. Firstly, ESG performance is unequivocally demonstrated to be a potent catalyst for green technology innovation within the corporate realm. From the standpoint of financing constraints, strong ESG performance facilitates enterprises in securing additional external financing avenues and reduces financing costs, mitigating capital shortages and allowing enterprises to allocate more resources towards innovative endeavors, such as green technology research and development. The financing constraint index constructed in this paper showed a significant negative correlation with ESG performance. Improved ESG performance alleviates financial limitations, hence fostering an increase in the number of green technological innovations. This reflects the crucial bridging role of financial support in this process. In terms of management awareness, enterprises with high ESG performance tend to prioritize the concept of sustainable development. The management will actively promote the implementation of the green development strategy and incorporate green innovation into the core decision-making of the enterprise, thus motivating all departments to participate in green technology innovation work collaboratively. For example, they will increase investment in the green R&D team and formulate internal mechanisms to encourage innovation, all of which directly contribute to the improvement of the green technology innovation ability. From the perspective of employee efficiency, enterprises with good ESG performance usually have a more positive corporate culture and a favorable working environment. Employees have a stronger sense of identity and belonging to the enterprise and are more willing to devote more energy to innovation exploration. Moreover, enterprises also pay more attention to the green development training of employees, which improves the efficiency of employees in green technology innovation and finally helps to boost the overall level of green technology innovation. The findings, supported by robustness checks by variable replacement and validated by endogeneity tests using the instrumental variable approach, indicate a statistically significant positive correlation. This implies that companies with higher ESG scores are more likely to exhibit enhanced capabilities in both the quantity and quality of their green technology innovation outputs.
Secondly, heterogeneity analysis uncovers a nuanced pattern. NSOEs manifest a more pronounced responsiveness to ESG initiatives in terms of green innovation, suggesting that they are better positioned to translate ESG imperatives into actionable innovation strategies. Larger corporations, owing to their greater resource endowments and organizational capabilities, also display a stronger propensity to leverage ESG for driving green innovation. Geographically, firms located in China’s economically developed eastern region exhibit a more substantial impact of ESG on their innovation activities, likely attributable to the region’s favorable business environment, advanced technological infrastructure, and heightened market competition.
Finally, there were numerous deficiencies in the research on the field of ESG and green technology innovation in previous studies. However, this study has made improvements from multiple aspects and has contributed positively. In terms of the correlation mechanism, previous studies often analyzed the two aspects in isolation, while this study delved deeper. For example, from the perspective of financing constraints, it empirically demonstrated that there was a significant negative correlation between ESG performance and the financing constraint index. It revealed that good ESG performance could alleviate financing difficulties and thus promote the number of green technology innovation achievements, clarifying the bridging role of financial support. Moreover, in terms of management awareness, it pointed out that the management of enterprises with high ESG performance would promote the implementation of green strategies and motivate departments to collaborate in innovation to enhance innovation capabilities. From the perspective of employee efficiency, it indicated that good ESG performance could create a favorable environment, strengthen employees’ sense of identity, prompt them to invest in innovation, and enterprise training could improve efficiency and help boost the overall level of innovation, thus making up for the deficiencies in the research on the correlation mechanism. At the same time, in terms of heterogeneity analysis, considering that existing literature often overlooked the impact of various differences among enterprises on the relationship between the two aspects, this study meticulously explored the differences in the performance of ESG’s impact on green technology innovation under different circumstances such as the nature of production activities, property rights, enterprise scale, and regions. For instance, non-heavy-polluting industries, NSOEs, large enterprises, and enterprises in the eastern region each had their own characteristics in terms of the impact of ESG on green technology innovation. This provided a basis for formulating targeted strategies, enriched the research on enterprise diversity, expanded the depth and breadth of the research, and changed the limitations of previous homogeneous studies. This study used multi-dimensional indicators to measure innovation capabilities, multiple data to verify ESG performance to ensure reliability, and advanced methods like the mediation effect model to clearly show that previous studies’ use of a single indicator to measure green technology innovation could not fully reflect the real level. It provided a methodological reference for subsequent studies, optimized the analytical means, and improved the previous imperfect situations in variable and model construction.
Overall, through these innovative points, this study effectively filled the gaps in existing literature, contributed to the continuous progress of ESG research from multiple dimensions such as theoretical improvement, practical guidance, and methodological optimization, and provided a reference plan for further exploration in the future.

5.2. Limitations

This study has indeed provided valuable insights into the relationship between ESG performance and green technology innovation among the Chinese A-share listed companies. However, it is essential to recognize that it comes with certain limitations that deserve a more in-depth exploration.
The data utilized in this research is strictly limited to the Chinese A-share listed companies. This narrow confinement in data sourcing significantly restricts the generalizability of our findings to other regions or markets with distinct institutional frameworks, economic structures, and cultural backgrounds. In the global context, different countries possess their own unique regulatory landscapes and market characteristics, which can exert a profound impact on the nature and magnitude of the ESG-green innovation nexus. For instance, take some European countries as an example. In these regions, there are much more stringent environmental regulations in place. Such regulations not only set higher standards for companies in terms of emissions control, waste management, and resource utilization but also create a strong external pressure that compels them to continuously seek innovative ways to meet these requirements. At the same time, the public awareness of sustainability is remarkably higher there. Consumers in these countries tend to have a stronger preference for environmentally friendly products and services, which in turn encourages companies to invest more in green technology innovation to cater to the market demand and enhance their brand image. As a result, the impact of ESG on green innovation in these European countries might manifest itself in a rather different manner compared to the Chinese context. In China, although the importance of ESG and green innovation has been increasingly emphasized in recent years, the specific economic development stage, the regulatory focus, and the cultural perception towards environmental protection and sustainable development are not exactly the same as those in European countries. Therefore, basing our research solely on the Chinese A-share listed companies means that our conclusions might not be able to fully capture the diverse situations and variations that exist in other parts of the world, thereby limiting the broader applicability of our research outcomes.
Our study primarily centered on three key channels through which ESG performance affects green innovation, namely financing constraints, management’s green development awareness, and employee innovation efficiency. While these channels are undoubtedly significant and have provided a solid foundation for understanding part of the relationship between ESG and green innovation, it is quite possible that other potential mediating or moderating factors have been overlooked during the analysis process. For example, industry competition intensity plays a crucial role in shaping the behavior and strategic decisions of companies regarding green innovation. In a highly competitive industry, companies are constantly vying for market share and striving to differentiate themselves from their rivals. Green innovation can serve as a powerful tool for them to achieve this goal. When facing intense competition, companies might be more inclined to allocate more resources to green technology research and development, hoping to introduce innovative green products or services earlier than their competitors. This increased emphasis on green innovation due to competitive pressure can interact with ESG performance in complex ways. A company with better ESG performance might be able to leverage its good reputation and social responsibility image to gain a competitive advantage in the market more easily, which in turn could further motivate it to invest more in green innovation. On the other hand, a weaker ESG performer might be forced to catch up by enhancing its green innovation efforts to remain competitive.
Technological spillovers within the industry also have a significant impact on the relationship between ESG and green innovation. In many industries, technological advancements and innovations are not confined to a single company. When one company develops a new and effective green technology, it is likely that this technology will gradually spread to other companies in the same industry through various channels such as cooperation, imitation, or the movement of personnel. This spillover effect can accelerate the overall pace of green innovation within the industry. For companies with better ESG performance, they might be more proactive in absorbing and applying these spilled-over technologies, integrating them with their own ESG strategies to further enhance their green innovation capabilities. In contrast, those with poor ESG performance might struggle to make full use of these opportunities due to limitations in their internal management or resource allocation.
Moreover, specific government policies targeted at promoting green innovation cannot be ignored. Governments around the world often implement a variety of policies to encourage companies to engage in green innovation, such as providing subsidies for research and development in green technologies, offering tax incentives for companies that adopt environmentally friendly production methods, or imposing regulatory mandates on certain industries to meet specific environmental standards. These policies can have a direct impact on how companies approach green innovation and how ESG performance translates into actual innovation outcomes. For example, a company that receives substantial government subsidies for green innovation might be able to overcome financial barriers more easily and invest more in improving its ESG performance while simultaneously accelerating its green innovation efforts. On the other hand, strict regulatory mandates might force companies to prioritize green innovation regardless of their initial ESG standing. Ignoring these factors may lead to an incomplete understanding of the complex dynamics at play in the relationship between ESG and green innovation, potentially missing out on important aspects that could further enrich and refine our analysis.

5.3. Future Research Avenues

To address the limitations and expand the frontiers of knowledge regarding the relationship between ESG and green innovation from an international perspective, future research should focus on several integrated aspects that together can offer a more comprehensive understanding of this complex area.
Firstly, sample diversification is crucial. Future studies should incorporate a wide variety of companies from different countries and regions, including small and medium-sized enterprises and those from emerging industries with a focus on sustainability. SMEs, despite their resource constraints, can showcase innovative ways of integrating ESG practices into their operations and driving green innovation, perhaps through leveraging local networks or targeting niche markets. Emerging industries such as green biotechnology, eco-friendly construction materials, and renewable energy storage are at the forefront of green innovation and possess unique ESG strategies that can reveal new insights into the relationship between ESG and innovation. Complementing this, longitudinal studies can track how companies’ ESG performance and green innovation evolve over time, considering both internal factors like management shifts and corporate culture changes and external elements like economic cycles, policy reforms, and technological trends. This comprehensive perspective aids in forecasting how corporations will modify their green innovation initiatives across various circumstances and guides policy development.
Secondly, exploring additional factors that influence the ESG-green innovation nexus is essential. Social factors play a significant yet understudied role. For instance, community engagement can not only provide companies with valuable local insights and resources for green innovation but also enhance the social acceptance of their initiatives. Labor policies that emphasize employee welfare, green skills development, and diversity and inclusion can cultivate a more innovative workforce, thereby directly enhancing green innovation. Financial market dynamics also matter. Analyzing financial instruments like green bonds, sustainability-linked loans, and impact investing can show how they facilitate or constrain companies’ green innovation efforts. The way companies utilize green bond funds and the market’s response to these issuances, along with stock market reactions to ESG announcements and innovation achievements, all influence corporate decision-making regarding future green innovation. Moreover, delving deeper into the granular interactions among specific ESG sub-components within companies, such as how environmental waste management relates to energy efficiency and how social and governance aspects interact to drive innovation, can help companies optimize their ESG strategies for better green innovation outcomes.
The role of digitalization cannot be overlooked either. Digital platforms offer a means for companies to disclose ESG data more transparently and standardly, enabling stakeholders to make informed decisions. At the same time, data analytics tools can identify key areas for green innovation, optimize resource allocation for green projects, and predict sustainable technology trends. For example, using big data to analyze energy consumption patterns can guide the development of energy-efficient technologies, thereby enhancing green innovation. Cross-sector collaborations also hold great potential. Partnerships between technology and traditional manufacturing firms can combine technological expertise with industrial knowledge to create smart and green manufacturing solutions. Collaborations between energy providers and agricultural businesses can result in innovative ways of using renewable energy in farming, like solar-powered irrigation systems or carbon-neutral agricultural practices. Studying these collaborations can provide valuable models for other companies and inspire more cross-industry cooperation to drive green innovation.
Finally, the development of standardized metrics and evaluation frameworks for ESG and green innovation analysis is vital. The current lack of uniformity in measurement makes it difficult to compare and benchmark companies across regions and industries. Clear, consistent, and widely acknowledged criteria will enable accurate assessment of how ESG methods foster green innovation, best practices, and evidence-based decision-making for policymakers, investors, and business managers.
In summary, by focusing on these interconnected aspects in future research, a more comprehensive and accurate understanding of the relationship between ESG and green innovation can be achieved. This understanding is fundamental for promoting sustainable development globally and will guide further research efforts in this significant area.

Author Contributions

Conceptualization, K.L.; data curation, K.L. and Z.C.; formal analysis, Z.C. and K.L.; writing—original draft, K.L.; writing—review and editing, S.T., C.H. and M.Z.; validation, K.L., S.T. and C.H.; supervision, M.Z.; project administration, M.Z. All authors have read and agreed to the published version of the manuscript.

Funding

This research received no external funding.

Institutional Review Board Statement

Not applicable.

Informed Consent Statement

Not applicable.

Data Availability Statement

Data supporting reported results are available upon request from the authors.

Conflicts of Interest

The authors declare no conflicts of interest.

References

  1. Jiang, T.; He, X.; Su, B.; Havea, P.H.; Wei, K.; Kundzewicz, Z.W.; Liu, D. COP 28: Challenge of coping with climate crisis. Innovation 2024, 5, 100559. [Google Scholar] [CrossRef] [PubMed]
  2. Iacobuţă, G.I.; Brandi, C.; Dzebo, A.; Duron, S.D.E. Aligning climate and sustainable development finance through an SDG lens. The role of development assistance in implementing the Paris Agreement. Glob. Environ. Change 2022, 74, 102509. [Google Scholar] [CrossRef]
  3. Feng, Z.; Zeng, B.; Ming, Q. Environmental regulation, two-way foreign direct investment, and green innovation efficiency in China’s manufacturing industry. Int. J. Environ. Res. Public Health 2018, 15, 2292. [Google Scholar] [CrossRef] [PubMed]
  4. Barati, A.A.; Pour, M.D.; Sardooei, M.A. Water crisis in Iran: A system dynamics approach on water, energy, food, land and climate (WEFLC) nexus. Sci. Total Environ. 2023, 882, 163549. [Google Scholar] [CrossRef]
  5. Song, M.; Wang, S.; Sun, J. Environmental regulations, staff quality, green technology, R&D efficiency, and profit in manufacturing. Technol. Forecast. Soc. Change 2018, 133, 1–14. [Google Scholar]
  6. Xue, L.; Zhang, Q.; Zhang, X.; Li, C. Can digital transformation promote green technology innovation? Sustainability 2022, 14, 7497. [Google Scholar] [CrossRef]
  7. Atanda, J.O.; Öztürk, A. Social criteria of sustainable development in relation to green building assessment tools. Environ. Dev. Sustain. 2020, 22, 61–87. [Google Scholar] [CrossRef]
  8. Bai, X.; Han, J.; Ma, Y.; Zhang, W. ESG performance, institutional investors’ preference and financing constraints: Empirical evidence from China. Borsa Istanb. Rev. 2022, 22, S157–S168. [Google Scholar] [CrossRef]
  9. Long, H.; Feng, G.; Gong, Q.; Chang, C. ESG performance and green innovation: An investigation based on quantile regression. Bus. Strategy Environ. 2023, 32, 5102–5118. [Google Scholar] [CrossRef]
  10. Korzeb, Z.; Karkowska, R.; Matysek-Jędrych, A.; Niedziółka, P. How do ESG challenges affect default risk? An empirical analysis from the global banking sector perspective. Stud. Econ. Financ. 2024, 42, 89–114. [Google Scholar] [CrossRef]
  11. Darnall, N.; Ji, H.; Iwata, K.; Arimura, T.H. Do ESG reporting guidelines and verifications enhance firms’ information disclosure? Corp. Soc. Responsib. Environ. Manag. 2022, 29, 1214–1230. [Google Scholar] [CrossRef]
  12. Maqsood, U.S.; Li, Q.; Zahid, R.A.; Wang, S. From greed to good: How government regulations of executive compensation impact corporate ESG performance? Asia-Pac. J. Account. Econ. 2024, 31, 1072–1092. [Google Scholar] [CrossRef]
  13. Ahmed, F.; Kousar, S.; Pervaiz, A.; Trinidad-Segovia, J.E.; del Pilar Casado Belmonte, M.; Ahmed, W. Role of green innovation, trade and energy to promote green economic growth: A case of South Asian nations. Environ. Sci. Pollut. Res. 2022, 29, 6871–6885. [Google Scholar] [CrossRef]
  14. Kılıç, M.; Kuzey, C. The effect of corporate governance on carbon emission disclosures: Evidence from Turkey. Int. J. Clim. Change Strateg. Manag. 2018, 11, 35–53. [Google Scholar] [CrossRef]
  15. Zhang, C.; Jin, S. What drives sustainable development of enterprises? Focusing on ESG management and green technology innovation. Sustainability 2022, 14, 11695. [Google Scholar] [CrossRef]
  16. Du, J.L.; Liu, Y.; Diao, W.X. Assessing regional differences in green innovation efficiency of industrial enterprises in China. Int. J. Environ. Res. Public Health 2019, 16, 940. [Google Scholar] [CrossRef]
  17. Wang, Y.; Wang, X. From ratings to action: The impact of ESG performance on corporate innovation. Heliyon 2024, 10, e26683. [Google Scholar] [CrossRef]
  18. Li, J.; Chen, M. Spatiotemporal Evolution and Influencing Factors of Social-Ecological System Vulnerability in the Guangdong–Hong Kong–Macau Greater Bay Area. Land 2023, 12, 924. [Google Scholar] [CrossRef]
  19. Xu, J.; Liu, F.; Shang, Y. R&D investment, ESG performance and green innovation performance: Evidence from China. Kybernetes 2021, 50, 737–756. [Google Scholar]
  20. Zhang, L.; Ni, Z. Scientific and technological talent agglomeration and regional innovation efficiency—Empirical test based on spatial spillover and threshold effect. Soft Sci. 2022, 36, 45–50. [Google Scholar]
  21. Vogel, D. The Market for Virtue: The Potential and Limits of Corporate Social Responsibility; Brookings Institution Press: Washington, DC, USA, 2007. [Google Scholar]
  22. Forcadell, F.J.; Aracil, E. European banks’ reputation for corporate social responsibility. Corp. Soc. Responsib. Environ. Manag. 2017, 24, 1–14. [Google Scholar] [CrossRef]
  23. Bénabou, R.; Tirole, J. Individual and corporate social responsibility. Economica 2010, 77, 1–19. [Google Scholar] [CrossRef]
  24. Ghisetti, C.; Quatraro, F. Green technologies and environmental productivity: A cross-sectoral analysis of direct and indirect effects in Italian regions. Ecol. Econ. 2017, 132, 1–13. [Google Scholar] [CrossRef]
  25. Li, J.; Chen, L.; Chen, Y.; He, J. Digital economy, technological innovation, and green economic efficiency—Empirical evidence from 277 cities in China. Manag. Decis. Econ. 2022, 43, 616–629. [Google Scholar] [CrossRef]
  26. Guo, X.; Li, M.; Liu, Q.; Mao, Z. Impact and Mechanism Analysis of Environmental Protection Fee and Tax Reform on the ESG Performance of Heavy Polluting Enterprises. Sustainability 2024, 16, 10800. [Google Scholar] [CrossRef]
  27. Ju, X.; Lo, D.; Yu, Y. Financial constraints, working capital management, and the sustainability of firm innovation. Jingji Yanjiu (Econ. Res. J.) 2013, 48, 4–16. (In Chinese) [Google Scholar]
  28. Tsang, A.; Wang, K.T.; Liu, S.; Yu, L. Integrating corporate social responsibility criteria into executive compensation and firm innovation: International evidence. J. Corp. Financ. 2021, 70, 102070. [Google Scholar] [CrossRef]
  29. Lahiri, N. Geographic distribution of R&D activity: How does it affect innovation quality? Acad. Manag. J. 2010, 53, 1194–1209. [Google Scholar]
  30. Rong, Z.; Wu, X.; Boeing, P. The effect of institutional ownership on firm innovation: Evidence from Chinese listed firms. Res. Policy 2017, 46, 1533–1551. [Google Scholar] [CrossRef]
  31. Jin, X.; Qi, H.; Huang, X. Green financial regulation and corporate strategic ESG behavior: Evidence from China. Financ. Res. Lett. 2024, 65, 105581. [Google Scholar] [CrossRef]
  32. Tang, H.; Loang, O.K. Does ESG Performance Improve the Financial Performance of Enterprises in China? The Mediating Role of Financial Constraints. In Artificial Intelligence (AI) and Customer Social Responsibility (CSR); Springer Nature: Cham, Switzerland, 2024; pp. 263–289. [Google Scholar]
  33. HuiJun, W.; Erdenebold, T. The Impact of Digital Transformation on Corporate Performance: Based on Shanghai and Shenzhen A-Share Listed Companies. Asia-Pac. J. Bus. 2024, 15, 17–45. [Google Scholar]
  34. Chen, J.; Roth, J. Logs with zeros? Some problems and solutions. Q. J. Econ. 2024, 139, 891–936. [Google Scholar] [CrossRef]
  35. Hadlock, C.J.; Pierce, J.R. New evidence on measuring financial constraints: Moving beyond the KZ index. Rev. Financ. Stud. 2010, 23, 1909–1940. [Google Scholar] [CrossRef]
  36. Amore, M.D.; Schneider, C.; Žaldokas, A. Credit supply and corporate innovation. J. Financ. Econ. 2013, 109, 835–855. [Google Scholar] [CrossRef]
  37. Ma, X.; Zhou, A.; Chi, C. ESG Performance and Green Total Factor Productivity. Financ. Res. Lett. 2024, 73, 106630. [Google Scholar] [CrossRef]
  38. Li, Q.; Maqsood, U.S.; Zahid, R.A. Nexus between government surveillance on executive compensation and green innovation: Evidence from the type of state-owned enterprises. Bus. Ethics Environ. Responsib. 2024, 33, 94–112. [Google Scholar] [CrossRef]
  39. Li, Y.B.; Xia, Y.; Zhao, Z. The relationship between executives’ green perception and firm performance in heavy-pollution industries: A moderated mediating effect model. Sci. Technol. Prog. Policy 2023, 113–123. [Google Scholar]
  40. Wu, L.; Wang, C.; Ren, H.; Zhang, W. How does executive green cognition affect enterprise green technology innovation? The mediating effect of ESG performance. Heliyon 2024, 10, e34287. [Google Scholar] [CrossRef]
  41. Haden, S.S.P.; Oyler, J.D.; Humphreys, J.H. Historical, practical, and theoretical perspectives on green management: An exploratory analysis. Manag. Decis. 2009, 47, 1041–1055. [Google Scholar] [CrossRef]
  42. Pan, A.E.; Guo, Q.S. Government supervision and corporate environmental information disclosure: Based on the moderating role of executive environmental awareness. Soft Sci. 2018, 32, 84–87. [Google Scholar]
  43. Luo, L.W.; Liang, S.R. Green technology innovation efficiency and factor decomposition of China’s industrial enterprises. China Popul. Resour. Environ. 2016, 26, 149–157. [Google Scholar]
  44. He, X. Can esg performance drive firm innovation? The mediating role of ai adoption and digital transformation—Evidence from China. Int. J. Innov. Manag. 2024, 28, 2450019. [Google Scholar] [CrossRef]
  45. Cai, J.; Ma, E.; Lin, J.; Liao, L.; Han, Y. Exploring global food security pattern from the perspective of spatio-temporal evolution. J. Geogr. Sci. 2020, 30, 179–196. [Google Scholar] [CrossRef]
  46. Song, H.; Chen, W. Can two-way foreign direct investment promote green innovation capability in manufacturing? The threshold role of intellectual property protection. J. Clean. Prod. 2023, 425, 139035. [Google Scholar] [CrossRef]
  47. Chen, S.; Sim, J.Y. The Impact of ESG Performance on Debt Default Risk of Heavy Polluter Firms-Study of mediation effects based on financing constraints. Ind. Promot. Res. 2024, 9, 197–205. [Google Scholar]
  48. Huang, Y.; Jiang, M.; Bai, Y.; Zhao, P.; Wang, Q. Coordination or contradiction: Evidence from water and air pollution regulation in China. Energy Econ. 2023, 127, 107048. [Google Scholar] [CrossRef]
  49. Hengjun, H.; Ziyuan, W. The impact of digital inclusive finance on agroecological efficiency-theoretical framework, mechanism analysis and spatial spillover effect. Mod. Financ. Econ. 2024, 44, 3–17. [Google Scholar]
  50. Jun, H.; Xiang, H. Development of circular economy is a fundamental way to achieve agriculture sustainable development in China. Energy Procedia 2011, 5, 1530–1534. [Google Scholar] [CrossRef]
  51. Liu, Q.; Wu, T.Y.; Pu, L.; Sun, J. Comparison of fertilizer use efficiency in grain production between developing countries and developed countries. J. Sci. Food Agric. 2022, 102, 2404–2412. [Google Scholar] [CrossRef]
  52. Zhong, R.; He, Q.; Qi, Y. Digital economy, agricultural technological progress, and agricultural carbon intensity: Evidence from China. Int. J. Environ. Res. Public Health 2022, 19, 6488. [Google Scholar] [CrossRef]
Figure 1. ESG structure.
Figure 1. ESG structure.
Sustainability 17 01085 g001
Figure 2. The overall structure of the article.
Figure 2. The overall structure of the article.
Sustainability 17 01085 g002
Figure 3. Forest plots and box plots for each variable. (a) Forest plot of benchmark regression results (b) Boxplot of Variables with Mean Markers.
Figure 3. Forest plots and box plots for each variable. (a) Forest plot of benchmark regression results (b) Boxplot of Variables with Mean Markers.
Sustainability 17 01085 g003
Figure 4. Endogenous forest map.
Figure 4. Endogenous forest map.
Sustainability 17 01085 g004
Figure 5. Parallel trend test. (a) ESG rating relative time (b) ESG rating relative time.
Figure 5. Parallel trend test. (a) ESG rating relative time (b) ESG rating relative time.
Sustainability 17 01085 g005
Figure 6. Placebo test.
Figure 6. Placebo test.
Sustainability 17 01085 g006
Figure 7. Standardized % bias across covariates.
Figure 7. Standardized % bias across covariates.
Sustainability 17 01085 g007
Table 1. List of variables and their definitions.
Table 1. List of variables and their definitions.
Nature of the VariableTitleAbbreviationVariable Description
explanatory variableNumber of green technology innovationsGINUM [25]Measured by taking the sum of the number of green invention patents and green utility model patents filed by the listed companies, adding 1, and then taking the natural logarithm.
Quality of green technology innovationGICIT [25]The metric is derived by aggregating the citation frequency of green patents from the listed companies over the subsequent two years, adding one, and then applying the natural logarithm.
core explanatory variableCorporate ESG performanceESGAdopting Bloomberg ESG rating data, covering the fulfillment of environmental, social, and corporate governance responsibilities of enterprises to different stakeholders; at the same time, introducing CSI ESG rating data for testing. The CSI ESG rating system comprises nine grades: C, CC, CCC, B, BB, BBB, A, AA, AAA, with corresponding values ranging from 1 to 9, respectively.
intermediary variableManagement’s perception of green developmentMEPAIndicators constructed by analyzing the annual reports of the listed companies in-depth using the text analysis method and counting the frequency of keywords related to green environmental protection.
Employee Innovation EfficiencyIEUsing the ratio of the total number of applications for inventions, utility models, and design patents to the number of employees of an enterprise as a proxy indicator.
control variableBusiness ageAgeCompany age.
solvencyLevMeasured by the ratio of the total liabilities of the enterprise to the total assets.
Cash flow levelsCashMeasured by the proportion of the enterprise’s current assets to the total assets.
Annual fixed effectsYearAssessed by establishing a sequence of annual dummy variables. In this paper, a total of 11 dummy variables are taken from 2012 to 2022.
Industry’s fixed effectIndustryMeasured by classifying enterprises according to their industries and then setting dummy variables.
Enterprise sizeSizeMeasured by taking the natural logarithm of the total assets of the enterprise.
R&D investmentRdMeasured by the ratio of enterprise R&D investment to the total assets.
Board sizeBdMeasured by taking the natural logarithm of the number of directors on the board.
Number of board meetingsNmMeasured using the natural logarithm of the annual count of board meetings conducted.
Table 2. Descriptive statistics of the main variables.
Table 2. Descriptive statistics of the main variables.
Nature of the VariableAbbreviationObservationsMeanStandard Deviation
explanatory variableGINUM64890.1120.289
GICIT64890.1170.273
core explanatory variableESG64890.1200.335
control variableAge64890.7340.628
Lev64890.4280.217
Cash64890.0420.065
Size648922.1381.273
Rd64891.9320.524
Bd64892.1220.189
Nm64890.3370.052
Table 3. Benchmark regression results.
Table 3. Benchmark regression results.
Variables(1)
GINUM
(2)
GINUM
(3)
GINUM
(4)
GINUM
(5)
GICIT
(6)
GICIT
(7)
GICIT
(8)
GICIT
ESG0.021 *** (0.004) 0.028 *** (0.004)
E 0.015 *** (0.003) 0.017 *** (0.003)
S 0.022 *** (0.008) 0.024 *** (0.009)
G 0.013
(0.008)
0.006 **
(0.003)
Size0.372 ***0.380 ***0.373 ***0.383 ***0.363 ***0.376 ***0.384 ***0.398 ***
(0.024)(0.024)(0.024)(0.024)(0.030)(0.030)(0.030)(0.031)
Lev−0.192−0.193−0.194−0.198−0.255 **−0.316 **−0.301 **−0.318 **
(0.120)(0.121)(0.120)(0.121)(0.123)(0.124)(0.124)(0.125)
Cash0.1210.1290.1290.1080.312 **0.321 **0.322 **0.231 *
(0.118)(0.120)(0.118)(0.118)(0.124)(0.125)(0.125)(0.126)
Rd6.746 ***6.659 ***6.761 ***6.446 ***5.674 ***3.873 **6.009 ***6.119 ***
(1.452)(1.457)(1.458)(1.452)(1.553)(1.552)(1.552)(1.555)
Bd0.0720.0760.0760.075−0.072−0.032−0.061−0.061
(0.091)(0.092)(0.092)(0.092)(0.112)(0.114)(0.114)(0.114)
Nm0.0680.0680.0720.0720.0710.0720.0750.077
(0.044)(0.044)(0.044)(0.044)(0.047)(0.047)(0.047)(0.047)
Year’s fixed effectscontrolcontrolcontrolcontrolcontrolcontrolcontrolcontrol
Industry’s fixed effectcontrolcontrolcontrolcontrolcontrolcontrolcontrolcontrol
observed value64896489648964896489648964896489
R20.4980.4980.4980.4950.4010.3920.4010.388
Note: *** p < 0.01, ** p < 0.05, * p < 0.1. Values in parentheses are cluster-robust standard errors, as in the following tables.
Table 4. Endogeneity test results.
Table 4. Endogeneity test results.
Variable(1)
GINUM
(2)
CICIT
ESG0.573 *** 0.449 ***
(0.111)(0.087)
control variablecontrolcontrol
Year’s fixed effectscontrolcontrol
Industry’s fixed effectcontrolcontrol
observed value64896489
R2//
Kleibergen–Paap rk LM24.839
Kleibergen–Paap rk Wald F25.531
Hensan J statistical p-value0.000
Note: *** p < 0.01. Values in parentheses are cluster robust standard errors, as in the following tables.
Table 5. Robustness test results.
Table 5. Robustness test results.
VariableChanges in the Measurement of the Dependent VariableReplacement of Core Explanatory VariablesAdjustment of Sample PeriodPoisson RegressionDiD Test
(1)(2)(3)(4)(5)(6)(7)(8)(9)(10)
GINUM_2CICIT_2GINUMCICITGINUMCICITGINUMCICITGINUMCICIT
ESG0.014 ***0.016 *** 0.016 ***0.019 ***0.016 ***0.014 ***0.013 ***0.015 ***
(0.004)(0.006) (0.004)(0.005)(0.001)(0.002)(0.003)(0.005)
ESG_2 0.083 ***0.086 ***
(0.020)(0.021)
control variableYesYesYesYesYesYesYesYesYesYes
Year’s fixed effectsYesYesYesYesYesYesYesYesYesYes
Industry’s fixed effectYesYesYesYesYesYesYesYesYesYes
observed value6489648964896489548754876489648964896489
R20.4790.3320.5050.3990.4320.3830.1280.1590.1280.148
Note: *** p < 0.01. Values in parentheses are cluster-robust standard errors, as in the following tables.
Table 6. Impact mechanism test.
Table 6. Impact mechanism test.
VariableCorporate Finance ConstraintsManagement’s Perception
of Green Development
Innovative Efficiency
of Enterprise Employees
(1)(2)(3)(4)(5)(6)(7)(8)(9)
FCGINUMCICITMEPAGINUMCICITIEGINUMCICIT
ESG−0.001 ** 0.068 * 0.013 *
(0.000) (0.037) (0.007)
FC −1.559 ***−1.953 ***
(0.527)(0.602)
MEPA 0.018 ***0.011
(0.006)(0.007)
IE 0.427 ***0.495 ***
(0.013)(0.015)
control variableYesYesYesYesYesYesYesYesYes
Year fixed effectsYesYesYesYesYesYesYesYesYes
industry fixed effectYesYesYesYesYesYesYesYesYes
observed value854164896489854164896489854164896489
R20.3530.5070.4010.1090.5070.3970.3830.7020.631
Note: *** p < 0.01, ** p < 0.05, * p < 0.1. Values in parentheses are cluster-robust standard errors, as in the following tables.
Table 7. Results of heterogeneity analysis.
Table 7. Results of heterogeneity analysis.
VariantHeavily Polluting IndustriesNon-Heavily Polluting IndustriesNationalized BusinessNon-State
Enterprise
Major IndustrySmall or Medium Size Enterprise (SME)Eastern
Enterprises
Central
Enterprises
Western
Enterprises
(1)(2)(3)(4)(5)(6)(7)(8)(9)(10)(11)(12)(13)(14)(15)(16)(17)(18)
GINUMGICITGINUMGICITGINUMGICITGINUMGICITGINUMGICITGINUMGICITGINUMGICITGINUMGICITGINUMGICIT
E0.0040.007 *0.009 ***0.013 ***
(0.003)(0.004)(0.003)(0.003)
ESG 0.0050.007 *0.019 ***0.021 ***0.085 **0.089 ***0.028 ***0.011 **0.084 ***0.086 ***0.015 *0.0180.015 **0.010 *
(0.004)(0.004)(0.007)(0.008)(0.045)(0.045(0.004)(0.005)(0.009)(0.009)(0.009)(0.011)(0.006)(0.006)
control variableYesYesYesYesYesYesYesYesYesYesYesYesYesYesYesYesYesYes
Year fixed effectsYesYesYesYesYesYesYesYesYesYesYesYesYesYesYesYesYesYes
industry fixed effectYesYesYesYesYesYesYesYesYesYesYesYesYesYesYesYesYesYes
observed value257325734983498342754275321532153446344652145214385938593379337937983798
R20.4430.3360.5280.4120.5380.4520.4790.3950.8260.7930.7960.6740.7350.6830.8020.7570.8160.742
Note: *** p < 0.01, ** p < 0.05, * p < 0.1. Values in parentheses are cluster-robust standard errors, as in the following tables.
Disclaimer/Publisher’s Note: The statements, opinions and data contained in all publications are solely those of the individual author(s) and contributor(s) and not of MDPI and/or the editor(s). MDPI and/or the editor(s) disclaim responsibility for any injury to people or property resulting from any ideas, methods, instructions or products referred to in the content.

Share and Cite

MDPI and ACS Style

Liang, K.; Cao, Z.; Tang, S.; Hu, C.; Zhang, M. Evaluating the Influence of Environmental, Social, and Governance (ESG) Performance on Green Technology Innovation: Based on Chinese A-Share Listed Companies. Sustainability 2025, 17, 1085. https://doi.org/10.3390/su17031085

AMA Style

Liang K, Cao Z, Tang S, Hu C, Zhang M. Evaluating the Influence of Environmental, Social, and Governance (ESG) Performance on Green Technology Innovation: Based on Chinese A-Share Listed Companies. Sustainability. 2025; 17(3):1085. https://doi.org/10.3390/su17031085

Chicago/Turabian Style

Liang, Kun, Zhihong Cao, Sheng Tang, Chunguang Hu, and Maomao Zhang. 2025. "Evaluating the Influence of Environmental, Social, and Governance (ESG) Performance on Green Technology Innovation: Based on Chinese A-Share Listed Companies" Sustainability 17, no. 3: 1085. https://doi.org/10.3390/su17031085

APA Style

Liang, K., Cao, Z., Tang, S., Hu, C., & Zhang, M. (2025). Evaluating the Influence of Environmental, Social, and Governance (ESG) Performance on Green Technology Innovation: Based on Chinese A-Share Listed Companies. Sustainability, 17(3), 1085. https://doi.org/10.3390/su17031085

Note that from the first issue of 2016, this journal uses article numbers instead of page numbers. See further details here.

Article Metrics

Back to TopTop