Ecological Effects of PLES Transformation Along Topographic Gradients in the Yellow River Basin
Abstract
1. Introduction
2. Materials
2.1. Study Area
2.2. Data Sources and Preprocessing
3. Methods
3.1. PLES Transition Analysis
- (1)
- Land use dynamic degree
- (2)
- Transfer matrix
3.2. Ecological Effect Assessment
- (1)
- Landscape pattern analysis based on landscape indices
- (2)
- InVEST model
3.3. Terrain Gradient Effect
3.4. Driving Force Analysis with Geological Detector and Regression Analysis
- (1)
- Geological detector
- (2)
- Regression analysis
4. Results
4.1. Spatiotemporal Dynamics of PLES
4.1.1. Quantitative Changes in the Area of Tach PLES Type
4.1.2. PLES Transfer Analysis
4.2. Ecological Effects of PLES Transition
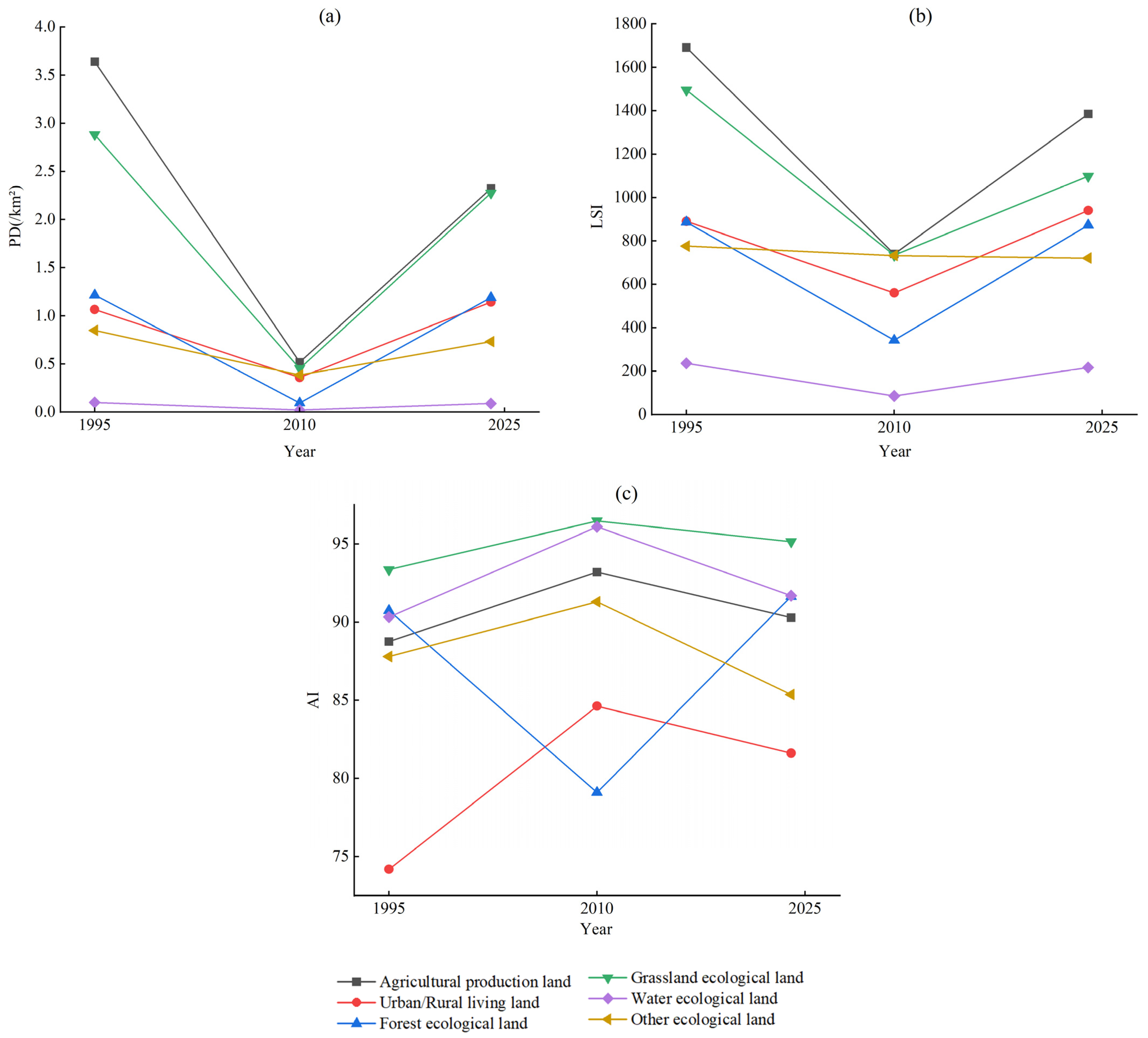
4.2.1. Changes in Landscape Patterns
- (1)
- The temporal variation characteristics of landscape index
- (2)
- Spatial variation characteristics of landscape indices
4.2.2. Changes in Habitat Quality
- (1)
- Temporal variation characteristics of habitat quality
- (2)
- Spatial variation characteristics of habitat quality
4.3. Topographic Gradient Differentiation of Ecological Effects
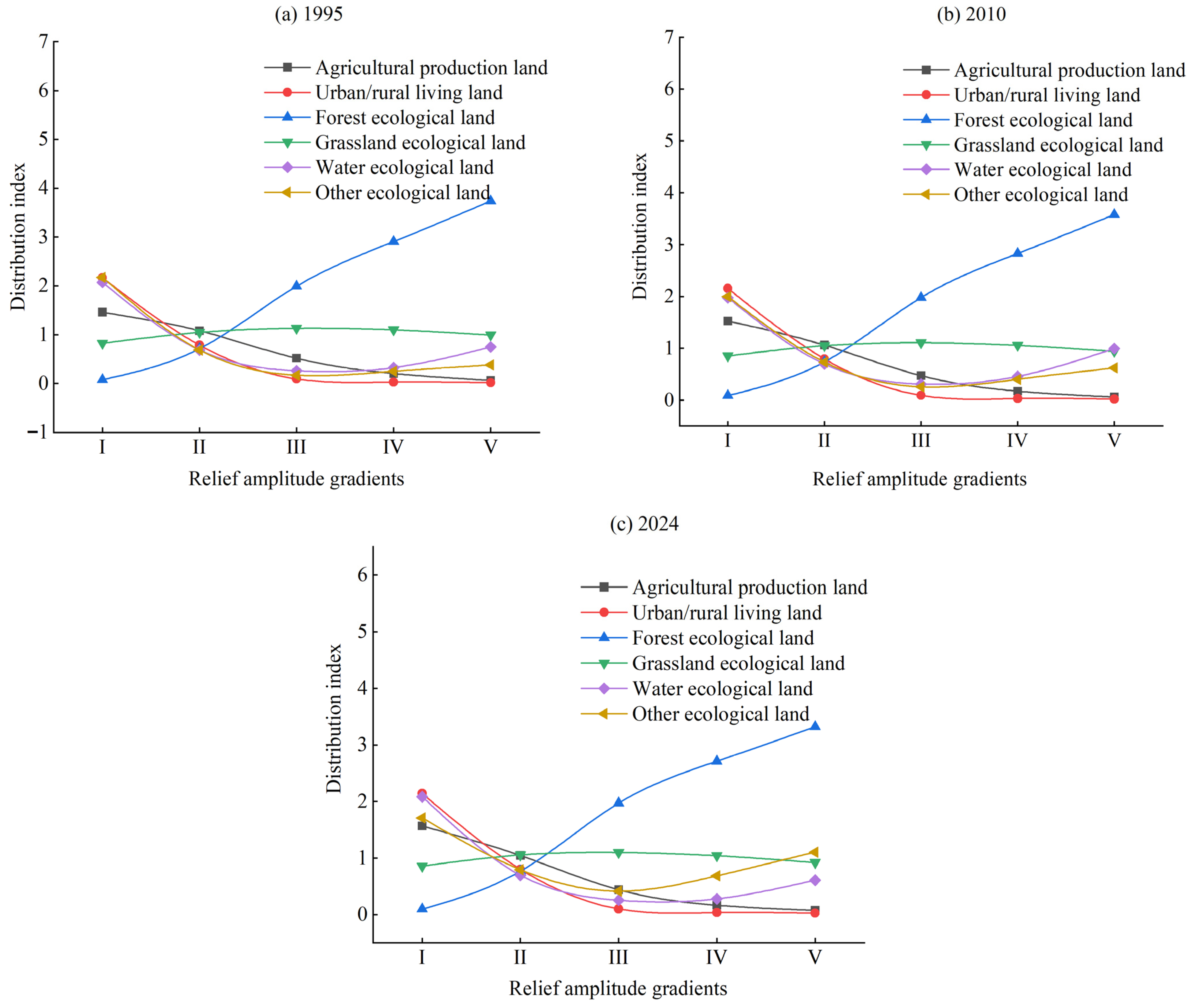
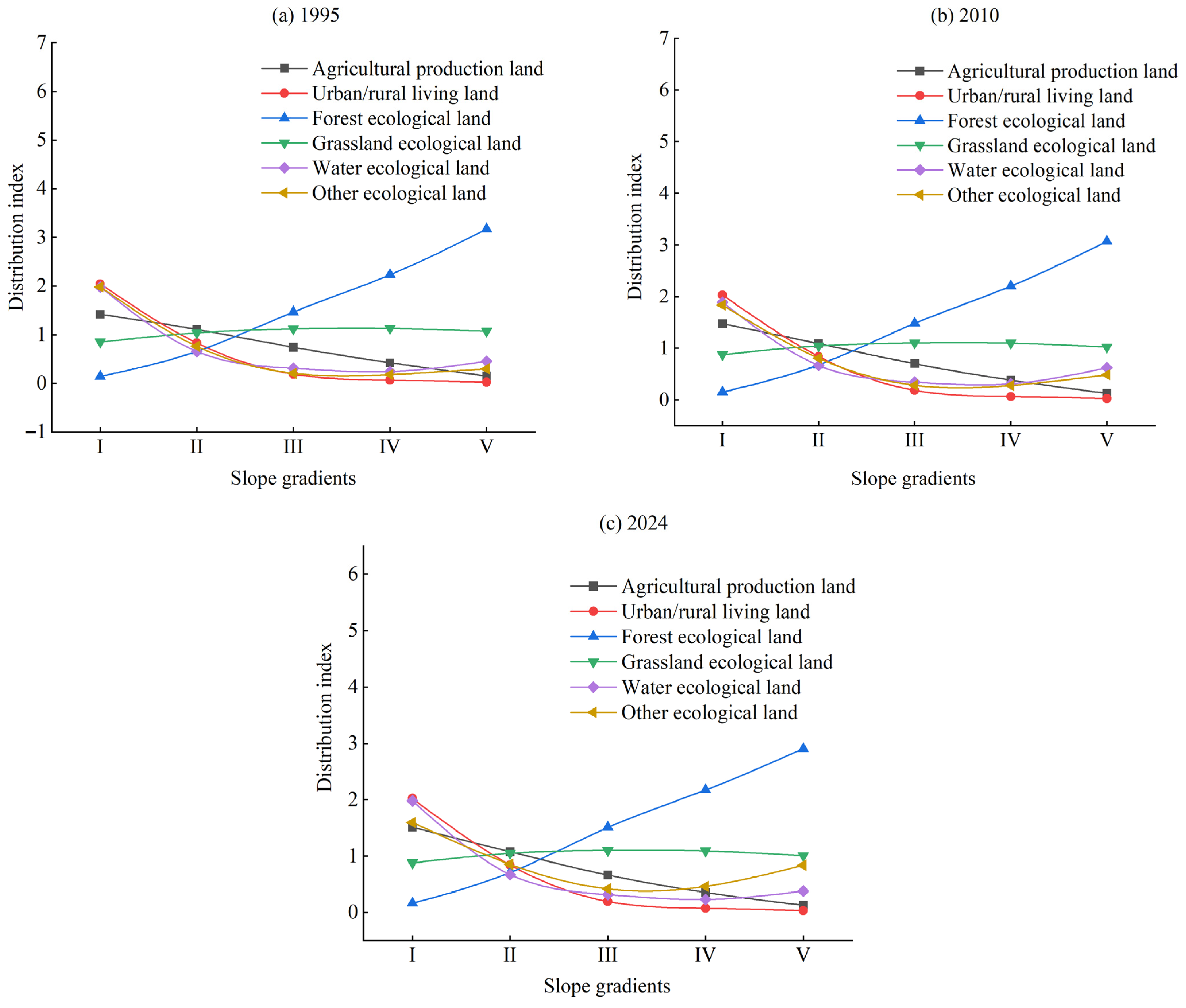
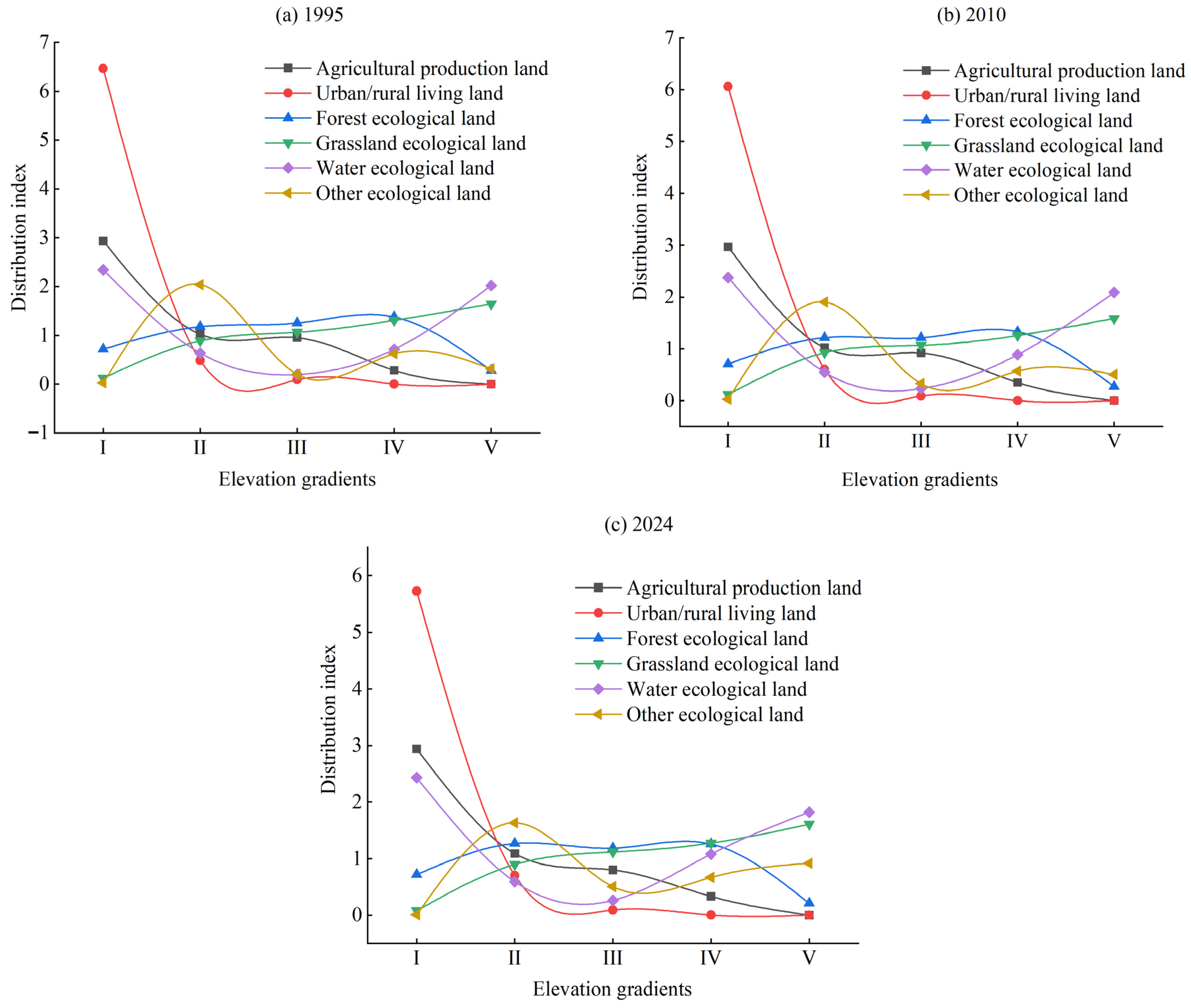
4.3.1. Distribution of PLES Types Across Topographic Gradients
4.3.2. Distribution of Habitat Quality Across Topographic Gradients
4.4. Driving Forces of Habitat Quality Spatial Heterogeneity
4.4.1. Results of Factor Detector
4.4.2. Results of Interaction Detector
4.4.3. Results of Regression Analysis
5. Discussion
5.1. Interpretation of Major Findings and Underlying Mechanisms
5.1.1. Intrinsic Formation Mechanisms of the Topographic Gradient Effect
- (1)
- Biophysical Constraint Mechanism. Topography fundamentally redistributes natural elements such as light, heat, water, and soil, thereby setting essential boundaries for ecological processes and land use suitability [57,58]. Low-gradient areas (e.g., the mid-lower reaches plains and river valleys) are characterized by high accessibility, flat terrain, and fertile soils. This convergence of favorable conditions makes them ideal for urban construction, agricultural production, and ecological conservation alike, triggering intense spatial competition. Our findings confirm that these areas endure the highest pressure from human activities, exhibit ecological vulnerability, and suffer from more severe habitat degradation and landscape fragmentation. In contrast, high-gradient regions (e.g., the eastern margin of the Tibetan Plateau in the upper reaches) are constrained by steep slopes and harsh climates, resulting in prohibitively high costs for human intervention. Consequently, these areas retain more intact and higher-quality ecological spaces, serving as key ecological barriers for the basin. This observed pattern aligns with the “lowland development-upland conservation” gradient observed in other global mountain-plain systems, such as the front ranges of the North American Rocky Mountains and the European Alps.
- (2)
- Human Activity Cost Mechanism. Topography acts as a cost barrier that profoundly influences the spatial distribution of infrastructure, population, and economic activities, indirectly yet powerfully steering the spatial differentiation of human land use decisions [59]. One of the most prominent changes in the basin is the continuous expansion of living spaces, which is closely linked to rapid urbanization and regional economic growth [60]. The study findings indicate that urban and rural residential land primarily encroaches upon agricultural production land, with a pronounced concentration in low-gradient terrain. This shift toward construction land has directly led to landscape fragmentation and habitat quality degradation in low-elevation and gentle-slope areas, highlighting the inherent conflict between economic development demands and ecological space preservation [61].
- (3)
- Policy Intervention Response Mechanism. Ecological conservation policies (e.g., the Grain-for-Green Program) have elicited differential responses across topographic gradients. In low-gradient zones, policy focus is on controlling urban sprawl and restoring ecological corridors to mitigate degradation. In mid-gradient zones (typical agro-pastoral ecotones), policies promote sustainable agricultural practices and afforestation to optimize ecological structure. In high-gradient zones, the core policy is strict protection and natural recovery to ensure the provision of key ecosystem services. Our land use transition matrix results clearly reflect these distinct, policy-driven land use transition pathways across different gradient zones.
5.1.2. Nonlinear Coupling Mechanism of Multiple Driving Factors
5.2. Policy Implications for Differentiated Management
5.3. Limitations and Future Research
6. Conclusions
- (1)
- The spatial structure of land use in the Yellow River Basin has undergone systematic restructuring, demonstrating a clear trend of sustained contraction in production space, accelerated expansion of living space, and internal optimization within ecological space.
- (2)
- More importantly, PLES transformation has triggered significant ecological consequences: intensified landscape fragmentation and an overall degradation risk in habitat quality. The ‘why’ behind these effects is fundamentally linked to the intensity of human activities which is, in turn, filtered by topography. These ecological effects demonstrate significant topographic gradient dependence: low-gradient areas, which are hotspots of human activity, suffer from more severe landscape fragmentation and habitat degradation. In contrast, high-gradient regions maintain higher landscape connectivity and habitat quality due to lower accessibility and higher conservation costs, functioning as crucial ecological barriers.
- (3)
- The driving mechanism analysis confirms that habitat quality spatial heterogeneity results from the complex coupling of natural and anthropogenic factors. This is quantitatively validated by multiple linear regression (F = 485.67, p < 0.001; adjusted R2 = 0.325), showing significant positive effects of elevation and slope (p < 0.001) versus negative impacts from population density, nighttime light, and temperature (p < 0.001). The weakly positive GDP effect (p < 0.001) and non-significant relief amplitude and precipitation further demonstrate the nuanced driver interactions.
Author Contributions
Funding
Institutional Review Board Statement
Informed Consent Statement
Data Availability Statement
Acknowledgments
Conflicts of Interest
References
- Lan, H.; Peng, J.; Zhu, Y.; Li, L.; Pan, B.; Huang, Q.; Li, J.; Zhang, Q. Research on geological and surfacial processes and major disaster effects in the Yellow River Basin. Sci. China Earth Sci. 2021, 65, 234–256. [Google Scholar] [CrossRef]
- Wang, R.; Sun, Y.; Zong, J.; Wang, Y.; Cao, X.; Wang, Y.; Cheng, X.; Zhang, W. Remote sensing application in ecological restoration monitoring: A systematic review. Remot Sens. 2024, 16, 2204. [Google Scholar] [CrossRef]
- Liu, Q.; Qiao, J.; Li, M.; Huang, M. Spatiotemporal heterogeneity of ecosystem service interactions and their drivers at different spatial scales in the Yellow River Basin. Sci. Total Environ. 2023, 908, 168486. [Google Scholar] [CrossRef]
- Zhang, K.; Fang, B.; Zhang, Z.; Liu, T.; Liu, K. Exploring future ecosystem service changes and key contributing factors from a “past-future-action” perspective: A case study of the Yellow River Basin. Sci. Tota Environ. 2024, 926, 171630. [Google Scholar] [CrossRef] [PubMed]
- Ren, Z.; Tian, Z.; Wei, H.; Liu, Y.; Yu, Y. Spatiotemporal evolution and driving mechanisms of vegetation in the Yellow River Basin, China during 2000–2020. Ecol. Indic. 2022, 138, 108832. [Google Scholar] [CrossRef]
- Chen, G.; Zuo, D.; Xu, Z.; Wang, G.; Han, Y.; Peng, D.; Pang, B.; Abbaspour, K.C.; Yang, H. Changes in water conservation and possible causes in the Yellow River Basin of China during the recent four decades. J. Hydrol. 2024, 637, 131314. [Google Scholar] [CrossRef]
- Lin, G.; Jiang, D.; Fu, J.; Zhao, Y. A review on the overall optimization of production–living–ecological space: Theoretical basis and conceptual framework. Land 2022, 11, 345. [Google Scholar] [CrossRef]
- Fu, J.; Bu, Z.; Jiang, D.; Lin, G.; Li, X. Sustainable land use diagnosis based on the perspective of production–living–ecological spaces in China. Land Use Policy 2022, 122, 106386. [Google Scholar] [CrossRef]
- Du, L.; Dong, C.; Kang, X.; Qian, X.; Gu, L. Spatiotemporal evolution of land cover changes and landscape ecological risk assessment in the Yellow River Basin, 2015–2020. J. Environ. Manag. 2023, 332, 117149. [Google Scholar] [CrossRef]
- Cheng, Y.; Chen, Y. Spatial and temporal characteristics of land use changes in the yellow river basin from 1990 to 2021 and future predictions. Land 2024, 13, 1510. [Google Scholar] [CrossRef]
- Niu, H.; Xiu, Z.; Xiao, D. Impact of land-use change on ecological vulnerability in the Yellow River Basin based on a complex network model. Ecol. Indic. 2024, 166, 112212. [Google Scholar] [CrossRef]
- Wang, H.; Wu, L.; Yue, Y.; Jin, Y.; Zhang, B. Impacts of climate and land use change on terrestrial carbon storage: A multi-scenario case study in the Yellow River Basin (1992–2050). Sci. Tota Environ. 2024, 930, 172557. [Google Scholar] [CrossRef]
- Ji, X.; Sun, Y.; Guo, W.; Zhao, C.; Li, K. Land use and habitat quality change in the Yellow River Basin: A perspective with different CMIP6-based scenarios and multiple scales. J. Environ. Manag. 2023, 345, 118729. [Google Scholar] [CrossRef]
- Ru, X.; Qiao, L.; Zhang, H.; Bai, T.; Min, R.; Wang, Y.; Wang, Q.; Song, H. Effects of land use and land cover change under shared socioeconomic pathways on future climate in the Yellow River basin, China. Urban Clim. 2024, 55, 101867. [Google Scholar] [CrossRef]
- Ji, P.; Yuan, X.; Jiao, Y. Future hydrological drought changes over the upper Yellow River basin: The role of climate change, land cover change and reservoir operation. J. Hydrol. 2023, 617, 129128. [Google Scholar] [CrossRef]
- Chen, S.; Mehmood, M.S.; Liu, S.; Gao, Y. Spatial pattern and influencing factors of rural settlements in Qinba Mountains, Shaanxi Province, China. Sustainability 2022, 14, 10095. [Google Scholar] [CrossRef]
- Liu, C.; Yang, Q.; Zhou, F.; Ai, R.; Cheng, L. Assessing production–living–ecological spaces and its urban–rural gradients in Xiangyang City, China: Insights from land-use function symbiosis. Environ. Sci. Pollut. Res. 2024, 31, 13688–13705. [Google Scholar] [CrossRef]
- Bole, Y.; Rina, S.; Guga, S.; Na, M.; Fan, S.; Zhang, J. Evaluation of resources, environment, and ecological carrying capacity from the perspective of “production-living-ecology” spaces: A case study of western Jilin Province, China. J. Clean. Prod. 2025, 491, 144770. [Google Scholar] [CrossRef]
- Jiang, Z.; Shao, M.; Wang, J. Simulation of Spatial and Temporal Patterns of Suitable Wintering Habitat for Hooded Crane (Grus monacha) Under Climate and Land Use Change Scenarios. Animals 2024, 15, 6. [Google Scholar] [CrossRef]
- Yang, X.; Wang, J.; Qiao, N.; Bai, Z. Spatiotemporal variation pattern of production-living-ecological space and land use ecological risk and their relationship analysis: A case study of Changzhi City, China. Environ. Sci. Pollut. Res. 2023, 30, 66978–66993. [Google Scholar] [CrossRef]
- Huang, J.; Zhang, Y.; Zhang, J.; Qi, J.; Liu, P. Study on the ecological environment quality and its driving factors of the spatial transformation of production-living-ecological space in Baishan City. Sci. Rep. 2024, 14, 18709. [Google Scholar] [CrossRef]
- Zhang, H.; Chen, M.; Liang, C. Urbanization of county in China: Spatial patterns and influencing factors. J. Geogr. Sci. 2022, 32, 1241–1260. [Google Scholar] [CrossRef]
- Zahura, F.T.; Bisht, G.; Li, Z.; McKnight, S.; Chen, X. Impact of topography and climate on post-fire vegetation recovery across different burn severity and land cover types through random forest. Ecol. Inform. 2024, 82, 102757. [Google Scholar] [CrossRef]
- Li, M.; Luo, G.; Li, Y.; Qin, Y.; Huang, J.; Liao, J. Effects of landscape patterns and their changes on ecosystem health under different topographic gradients: A case study of the Miaoling Mountains in southern China. Ecol. Indic. 2023, 154, 110796. [Google Scholar] [CrossRef]
- Wang, B.; Cheng, W.; Xu, H.; Wang, R.; Song, K.; Bao, A.; Shi, Q. Vegetation differentiation characteristics and control mechanisms in the Altay region based on topographic gradients. Ecol. Indic. 2024, 160, 111838. [Google Scholar] [CrossRef]
- Gxasheka, M.; Gajana, C.S.; Dlamini, P. The role of topographic and soil factors on woody plant encroachment in mountainous rangelands: A mini literature review. Heliyon 2023, 9, e20615. [Google Scholar] [CrossRef]
- Wang, X.; Liu, G.; Xiang, A.; Xiao, S.; Lin, D.; Lin, Y.; Lu, Y. Terrain gradient response of landscape ecological environment to land use and land cover change in the hilly watershed in South China. Ecol. Indic. 2022, 146, 109797. [Google Scholar] [CrossRef]
- Jiang, Y.; Zhou, L.; Wang, B.; Zhang, Q.; Gao, H.; Wang, S.; Cui, M. The impact of gradient expansion of urban–rural construction land on landscape fragmentation in typical mountain cities, China. Int. J. Digit. Earth 2024, 17, 2310093. [Google Scholar] [CrossRef]
- Zhang, H.; Tang, Q.; He, X.; Yang, Q. Land use function changes and trade-offs/synergies across topographic gradients in the Three Gorges Reservoir Area, China. J. Clean. Prod. 2024, 469, 143233. [Google Scholar] [CrossRef]
- Dilts, T.E.; Blum, M.E.; Shoemaker, K.T.; Weisberg, P.J.; Stewart, K.M. Improved topographic ruggedness indices more accurately model fine-scale ecological patterns. Landsc. Ecol. 2023, 38, 1395–1410. [Google Scholar] [CrossRef]
- Wang, Z.; Shi, P.; Shi, J.; Zhang, X.; Yao, L. Research on land use pattern and ecological risk of lanzhou–xining urban agglomeration from the perspective of terrain gradient. Land 2023, 12, 996. [Google Scholar] [CrossRef]
- Qin, Z.; Wang, J.; Lu, Y. Multifractal characteristics analysis based on slope distribution probability in the Yellow River Basin, China. ISPRS Int. J. Geo-Inform. 2021, 10, 337. [Google Scholar] [CrossRef]
- Yang, J.; Huang, X. The 30 m annual land cover and its dynamics in China from 1990 to 2019. Earth Syst. Sci. Data Discuss. 2021, 13, 3907–3925. [Google Scholar] [CrossRef]
- Liu, Y.; Zhou, Y. Territory spatial planning and national governance system in China. Land Use Policy 2021, 102, 105288. [Google Scholar] [CrossRef]
- Zuo, Z.; You, M.; Zhao, W.; Fu, C.; Zhang, W.; He, Z. Changes in the “production-living-ecological space” pattern in the interlocking mountain and river zones of the Yellow River Basin—Taking Xinxiang City as an example. J. Resour. Ecol. 2023, 14, 479–492. [Google Scholar]
- Selmy, S.A.H.; Kucher, D.E.; Mozgeris, G.; Moursy, A.R.A.; Jimenez-Ballesta, R.; Kucher, O.D.; Fadl, M.E.; Mustafa, A.-R.A. Detecting, analyzing, and predicting land use/land cover (LULC) changes in arid regions using landsat images, CA-Markov hybrid model, and GIS techniques. Remot Sens. 2023, 15, 5522. [Google Scholar] [CrossRef]
- Wu, J.; Luo, J.; Zhang, H.; Yu, M. Driving forces behind the spatiotemporal heterogeneity of land-use and land-cover change: A case study of the Weihe River Basin, China. J. Arid. Land 2023, 15, 253–273. [Google Scholar] [CrossRef]
- Wang, J.; Wang, Z.; Cheng, H.; Kang, J.; Liu, X. Land cover changing pattern in pre- and post-earthquake affected area from remote sensing data: A case of Lushan County, Sichuan Province. Land 2022, 11, 1205. [Google Scholar] [CrossRef]
- Kang, J.; Wang, Z.; Cheng, H.; Wang, J.; Liu, X. Remote sensing land use evolution in earthquake-stricken regions of Wenchuan County, China. Sustainability 2022, 14, 9721. [Google Scholar] [CrossRef]
- Xue, Q.; Zhang, Y.; Zhang, Q.; Wu, Q.; Zhang, X.; Lu, L.; Qin, C. Towards ecological security: Two-thirds of China’s ecoregions experienced a decline in habitat quality from 1992 to 2020. Ecol. Indic. 2025, 172, 113275. [Google Scholar] [CrossRef]
- Kang, J.; Yang, F.; Wang, J.; Liu, Y.; Fang, D.; Jiang, C. Spatial-temporal evolution of habitat quality in tropical monsoon climate region based on “pattern–process–quality”–A case study of Cambodia. Open Geosci. 2025, 17, 20220748. [Google Scholar] [CrossRef]
- Fan, X.; Gu, X.; Yu, H.; Long, A.; Tiando, D.S.; Ou, S.; Li, J.; Rong, Y.; Tang, G.; Zheng, Y.; et al. The spatial and temporal evolution and drivers of habitat quality in the Hung River Valley. Land 2021, 10, 1369. [Google Scholar] [CrossRef]
- Tang, J.; Zhou, L.; Dang, X.; Hu, F.; Yuan, B.; Yuan, Z.; Wei, L. Impacts and predictions of urban expansion on habitat quality in the densely populated areas: A case study of the Yellow River Basin, China. Ecol. Indic. 2023, 151, 110320. [Google Scholar] [CrossRef]
- Xu, Y.; Liu, X.; Zhao, L.; Li, H.; Zhu, P.; Liu, R.; Wang, C.; Wang, B. Spatial and Temporal Analysis of Habitat Quality in the Yellow River Basin Based on Land-Use Transition and Its Driving Forces. Land 2025, 14, 759. [Google Scholar] [CrossRef]
- Zhang, H.; Wang, F.; Zhao, H.; Kang, P.; Tang, L. Evolution of habitat quality and analysis of influencing factors in the Yellow River Delta Wetland from 1986 to 2020. Front. Ecol. Evol. 2022, 10, 1075914. [Google Scholar] [CrossRef]
- Sharp, R.; Chaplin-Kramer, R.; Wood, S.; Guerry, A.; Douglass, J. InVEST User’s Guide; The Natural Capital Project: Stanford, CA, USA, 2018. [Google Scholar]
- Zhou, J.; Feng, B.; Wu, H.; Zhang, Z.; Chen, L.; Li, J.; Chen, X.; Kong, Y.; Meng, Z.; Kong, X. Spatio-temporal distribution characteristics and driving factors of forest land in the Da-Xiao Liangshan mountains based on topographic gradient. Sci. Rep. 2025, 15, 7501. [Google Scholar] [CrossRef]
- Wang, J.; Wang, Y.; Li, M.; Qi, Z.; Li, C.; Qi, H.; Zhang, X. Improved landslide susceptibility assessment: A new negative sample collection strategy and a comparative analysis of zoning methods. Ecol. Indic. 2024, 169, 112948. [Google Scholar] [CrossRef]
- Wu, L.; Yang, Y.; Yang, H.; Xie, B.; Luo, W. A comparative study on land use/land cover change and topographic gradient effect between mountains and flatlands of southwest China. Land 2023, 12, 1242. [Google Scholar] [CrossRef]
- Guo, Y.; Cheng, L.; Ding, A.; Yuan, Y.; Li, Z.; Hou, Y.; Ren, L.; Zhang, S. Geodetector model-based quantitative analysis of vegetation change characteristics and driving forces: A case study in the Yongding River basin in China. Int. J. Appl. Earth Obs. Geoinform. 2024, 132, 104027. [Google Scholar] [CrossRef]
- Wang, Z.; Wang, J.; Han, J. Spatial prediction of groundwater potential and driving factor analysis based on deep learning and geographical detector in an arid endorheic basin. Ecol. Indic. 2022, 142, 109256. [Google Scholar] [CrossRef]
- Liu, C.; Li, W.; Zhu, G.; Zhou, H.; Yan, H.; Xue, P. Land use/land cover changes and their driving factors in the northeastern tibetan plateau based on geographical detectors and google earth engine: A case study in gannan prefecture. Remot Sens. 2020, 12, 3139. [Google Scholar] [CrossRef]
- Xixi, X.; Ya, L.; Mengyao, L.; Shuang, Z.; Chunchang, Z.; Xiaoke, L. Land Use Changes and Their Driving Factors in the Liuchong River Basin Based on the Geographical Detector Model. J. Resour. Ecol. 2025, 16, 376–386. [Google Scholar] [CrossRef]
- Eberly, L.E. Multiple linear regression. Top. Biostat. 2007, 404, 165–187. [Google Scholar]
- Jia, J.; Jiang, E.; Tian, S.; Qu, B.; Li, J.; Hao, L.; Liu, C.; Jing, Y. Land-Use Transformation and Its Eco-Environmental Effects of Production–Living–Ecological Space Based on the County Level in the Yellow River Basin. Land 2025, 14, 427. [Google Scholar] [CrossRef]
- Mi, Y.; Li, S.; Wang, Z. Spatial distribution and topographic gradient effects of habitat quality in the Chang-Zhu-Tan Urban Agglomeration, China. Sci. Rep. 2024, 14, 22563. [Google Scholar] [CrossRef]
- Ifeanyi, O.B.; Nkiru, N.C.; Chiebonam, I.V. Geospatial Analysis of Topography, Hydrology, and Land Use Dynamics in Owerri and Environs Region, Southeastern Nigeria. Int. J. Recent Eng. Sci. 2024, 11, 97–112. [Google Scholar] [CrossRef]
- Mirghaed, F.A.; Souri, B. Contribution of land use, soil properties and topographic features for providing of ecosystem services. Ecol. Eng. 2023, 189, 106898. [Google Scholar] [CrossRef]
- Yang, R.; Xu, Q.; Xu, X.; Chen, Y. Rural settlement spatial patterns and effects: Road traffic accessibility and geographic factors in Guangdong Province, China. J. Geogr. Sci. 2019, 29, 213–230. [Google Scholar] [CrossRef]
- Zhou, G.; Zhang, D.; Zhou, Q.; Shi, T. Study on the Spatiotemporal Evolution Characteristics of the “Production–Living–Ecology” Space in the Yellow River Basin and Its Driving Factors. Sustainability 2022, 14, 15227. [Google Scholar] [CrossRef]
- Zhang, R.; Li, S.; Wei, B.; Zhou, X. Characterizing production–living–ecological space evolution and its driving factors: A case study of the chaohu lake basin in China from 2000 to 2020. ISPRS Int. J. Geo-Inform. 2022, 11, 447. [Google Scholar] [CrossRef]
- Wang, L.; Jia, D. Spatiotemporal analysis of habitat quality and driving factors in the middle reaches of the Yellow River Basin. Environ. Monit. Assess. 2025, 197, 1–26. [Google Scholar] [CrossRef]
- Hou, Y.; Wu, J.; Guo, Y. Spatial-temporal evolution and prediction of habitat quality in the Yellow River Basin. Front. Environ. Sci. 2025, 13, 1650777. [Google Scholar] [CrossRef]
- Wang, J.; Sun, Q.; Zou, L. Spatial-temporal evolution and driving mechanism of rural production-living-ecological space in Pingtan islands, China. Habitat Int. 2023, 137, 102833. [Google Scholar] [CrossRef]
- Huang, H.; Xiao, Y.; Ding, G.; Liao, L.; Yan, C.; Liu, Q.; Gao, Y.; Xie, X. Comprehensive evaluation of island habitat quality based on the invest model and terrain diversity: A case study of Haitan Island, China. Sustainability 2023, 15, 11293. [Google Scholar] [CrossRef]
















| Data Type | Data Name | Data Source |
|---|---|---|
| Basic data | Land use data | https://zenodo.org/records/8176941 (accessed on 5 September 2025) |
| Natural factor data | Elevation | https://www.gscloud.cn/ (accessed on 1 September 2025) |
| Slope | Generated by elevation calculation | |
| Relief amplitude | ||
| Mean annual temperature | https://www.resdc.cn/ (accessed on 12 August 2025) | |
| Mean annual precipitation | https://www.resdc.cn/ (accessed on 12 August 2025) | |
| Socioeconomic data | population | https:/www.resdc.cn/ (accessed on 12 August 2025) |
| GDP | https:/www.resdc.cn/ (accessed on 12 August 2025) | |
| Nighttime light | National Earth System Science Data Center (http://www.geodata.cn) (accessed on 1 August 2025) |
| PLES | Land Use Classification | Basic Data—Land Use Classification |
|---|---|---|
| Production space | Agricultural production land | Cropland |
| Living space | Urban/rural living land | Construction land |
| Ecological space | Forest ecological land | Forest, Shrubland |
| Grassland ecological land | Grassland | |
| Water ecological land | Water, Ice/Snow | |
| Other ecological land | Barren, Wetland |
| Threatening Factor | Maximum Stress Distance/km | Weight | Recession Type |
|---|---|---|---|
| Agricultural production land | 5 | 0.7 | Linear |
| Urban/Rural living land | 10 | 0.9 | Exponent |
| Land Use Type | Habitat Suitability | Threatening Factor | |
|---|---|---|---|
| Agricultural Production Land | Urban/Rural Living Land | ||
| Agricultural production land | 0.3 | 0 | 0.8 |
| Urban/Rural living land | 0 | 0 | 0 |
| Forest ecological land | 1.0 | 0.6 | 0.5 |
| Grassland ecological land | 0.9 | 0.4 | 0.4 |
| Water ecological land | 0.9 | 0.3 | 0.7 |
| Other ecological land | 0.2 | 0.2 | 0.4 |
| Terrain Factor | Classification | Area Proportion (%) | |
|---|---|---|---|
| DEM (m) | I | <850 | 12.03 |
| II | 850~1500 | 41.62 | |
| III | 1500~2500 | 20.53 | |
| IV | 2500~3500 | 8.38 | |
| V | >3500 | 17.44 | |
| Slope (°) | I | <7 | 35.19 |
| II | 7~15 | 29.82 | |
| III | 15~20 | 12.39 | |
| IV | 20~30 | 15.39 | |
| V | >30 | 7.21 | |
| Relief amplitude | I | <10 | 30.42 |
| II | 10~25 | 40.71 | |
| III | 25~40 | 18.59 | |
| IV | 40~60 | 8.31 | |
| V | >60 | 1.97 | |
| 1995 | 2010 | 2024 | |||||
|---|---|---|---|---|---|---|---|
| PLES | Type | Area/km2 | Percentage/% | Area/km2 | Percentage/% | Area/km2 | Percentage/% |
| Production space | Agricultural production land | 203,844.99 | 25.62 | 187,672.34 | 23.59 | 183,294.86 | 23.04 |
| Living space | Urban/Rural living land | 10,685.52 | 1.34 | 17,475.16 | 2.20 | 23,542.83 | 2.96 |
| Ecological space | Forest ecological land | 82,426.71 | 10.36 | 88,977.83 | 11.18 | 98,191.05 | 12.34 |
| Grassland ecological land | 456,972.12 | 57.44 | 470,809.32 | 59.18 | 462,637.44 | 58.15 | |
| Water ecological land | 5335.25 | 0.67 | 6150.58 | 0.77 | 6107.00 | 0.77 | |
| Other ecological land | 36,345.51 | 4.57 | 24,524.78 | 3.08 | 21,836.83 | 2.74 | |
| PLES | Type | 1995–2010 Dynamic (%) | 2010–2024 Dynamic (%) |
|---|---|---|---|
| Production space | Agricultural production land | −0.53 | −0.16 |
| Living space | Urban/Rural living land | 4.24 | 2.31 |
| Ecological space | Forest ecological land | 0.53 | 0.69 |
| Grassland ecological land | 0.20 | −0.12 | |
| Water ecological land | 1.02 | −0.05 | |
| Other ecological land | −2.17 | −0.73 |
| 2010 | ||||||||
|---|---|---|---|---|---|---|---|---|
| Type | 1 | 2 | 3 | 4 | 5 | 6 | Output | |
| 1995 | 1 | 163,212.84 | 5502.47 | 2320.27 | 32,020.16 | 753.66 | 35.49 | 40,632.06 |
| 2 | 33.17 | 10,433.81 | 0.09 | 1.23 | 216.83 | 0.38 | 251.71 | |
| 3 | 809.08 | 17.69 | 80,026.21 | 1572.62 | 0.95 | 0.17 | 2400.50 | |
| 4 | 22,605.36 | 1047.40 | 6613.47 | 421,309.09 | 626.81 | 4770.00 | 35,663.04 | |
| 5 | 593.21 | 231.19 | 9.62 | 175.47 | 4231.23 | 94.52 | 1104.02 | |
| 6 | 418.68 | 242.60 | 8.15 | 15,730.74 | 321.11 | 19,624.23 | 16,721.28 | |
| Input | 24,459.50 | 7041.35 | 8951.62 | 49,500.23 | 1919.35 | 4900.55 | ||
| 2024 | ||||||||
|---|---|---|---|---|---|---|---|---|
| Type | 1 | 2 | 3 | 4 | 5 | 6 | Output | |
| 2010 | 1 | 153,872.15 | 4642.85 | 2387.57 | 26,119.67 | 566.58 | 83.51 | 33,800.19 |
| 2 | 51.47 | 17,191.23 | 0.11 | 3.84 | 226.72 | 1.79 | 283.93 | |
| 3 | 1960.86 | 35.11 | 85,157.85 | 1821.54 | 2.25 | 0.22 | 3819.98 | |
| 4 | 26,498.05 | 1219.59 | 10,636.13 | 425,740.18 | 385.68 | 6329.70 | 45,069.14 | |
| 5 | 524.22 | 238.56 | 8.02 | 245.81 | 4715.76 | 418.20 | 1434.82 | |
| 6 | 388.11 | 215.49 | 1.36 | 8706.41 | 210.00 | 15,003.41 | 9521.37 | |
| Input | 29,422.70 | 6351.60 | 13,033.19 | 36,897.27 | 1391.24 | 6833.42 | ||
| 2024 | ||||||||
|---|---|---|---|---|---|---|---|---|
| Type | 1 | 2 | 3 | 4 | 5 | 6 | Output | |
| 1995 | 1 | 147,277.47 | 10,262.42 | 5102.24 | 40,149.93 | 905.62 | 147.21 | 56,567.43 |
| 2 | 98.72 | 10,335.97 | 0.22 | 3.82 | 246.26 | 0.53 | 349.55 | |
| 3 | 1833.99 | 52.85 | 78,040.26 | 2496.62 | 2.36 | 0.63 | 4386.45 | |
| 4 | 31,841.21 | 2037.05 | 14,994.39 | 400,120.12 | 704.18 | 7275.17 | 56,852.00 | |
| 5 | 634.62 | 353.43 | 24.88 | 200.42 | 3888.92 | 232.98 | 1446.32 | |
| 6 | 1608.85 | 501.12 | 29.05 | 19,666.53 | 359.65 | 14,180.30 | 22,165.20 | |
| Input | 36,017.39 | 13,206.86 | 20,150.78 | 62,517.32 | 2218.08 | 7656.53 | ||
| Grade | 1995 | 2010 | 2024 |
|---|---|---|---|
| Low | 1.34 | 2.20 | 2.96 |
| Relatively low | 4.57 | 3.08 | 2.74 |
| Moderate | 25.62 | 23.59 | 23.04 |
| Relatively high | 58.11 | 59.95 | 58.92 |
| High | 10.36 | 11.18 | 12.34 |
| 2024 | ||||||
|---|---|---|---|---|---|---|
| Low | Relatively Low | Moderate | Relatively High | High | ||
| 1995 | Low | 10,335.97 | 0.54 | 98.72 | 250.08 | 0.22 |
| Relatively low | 501.12 | 14,180.30 | 1608.85 | 20,026.19 | 29.05 | |
| Moderate | 10,262.42 | 147.21 | 147,277.47 | 41,055.55 | 5102.24 | |
| Relatively high | 2390.47 | 7508.15 | 32,475.83 | 404,913.64 | 15,019.27 | |
| High | 52.85 | 0.63 | 1833.99 | 2498.99 | 78,040.26 | |
| Factor | X1 | X2 | X3 | X4 | X5 | X6 | X7 | X8 |
|---|---|---|---|---|---|---|---|---|
| q value | 0.3154 | 0.1487 | 0.1577 | 0.2605 | 0.0974 | 0.2354 | 0.1802 | 0.2137 |
| Variable | X1 | X2 | X3 | X4 | X5 | X6 | X7 | X8 |
|---|---|---|---|---|---|---|---|---|
| Coefficient | 5.49 × 10−5 | 2.88 × 10−6 | 0.0058 | −0.0022 | −9.92 × 10−5 | −6.88 × 10−5 | 6.70 × 10−6 | −0.0001 |
| Std. Error | 9.21 × 10−6 | 1.21 × 10−5 | 0.0002 | 0.0021 | 1.86 × 10−5 | 1.03 × 10−5 | 1.20 × 10−6 | 4.36 × 10−6 |
| p-value | <0.001 | <0.001 | 0.812 | <0.001 | 0.278 | <0.001 | <0.001 | <0.001 |
| Significance | *** | *** | *** | *** | *** | *** |
Disclaimer/Publisher’s Note: The statements, opinions and data contained in all publications are solely those of the individual author(s) and contributor(s) and not of MDPI and/or the editor(s). MDPI and/or the editor(s) disclaim responsibility for any injury to people or property resulting from any ideas, methods, instructions or products referred to in the content. |
© 2025 by the authors. Licensee MDPI, Basel, Switzerland. This article is an open access article distributed under the terms and conditions of the Creative Commons Attribution (CC BY) license (https://creativecommons.org/licenses/by/4.0/).
Share and Cite
Fang, X.; Song, W. Ecological Effects of PLES Transformation Along Topographic Gradients in the Yellow River Basin. Sustainability 2025, 17, 11172. https://doi.org/10.3390/su172411172
Fang X, Song W. Ecological Effects of PLES Transformation Along Topographic Gradients in the Yellow River Basin. Sustainability. 2025; 17(24):11172. https://doi.org/10.3390/su172411172
Chicago/Turabian StyleFang, Xinxin, and Weidong Song. 2025. "Ecological Effects of PLES Transformation Along Topographic Gradients in the Yellow River Basin" Sustainability 17, no. 24: 11172. https://doi.org/10.3390/su172411172
APA StyleFang, X., & Song, W. (2025). Ecological Effects of PLES Transformation Along Topographic Gradients in the Yellow River Basin. Sustainability, 17(24), 11172. https://doi.org/10.3390/su172411172
