Great Power Competition, Technology Substitution and Industrial Policy Coopetition: An Analysis Based on a Two-Country Game
Abstract
1. Introduction
2. Literature Review
3. Problem Description and Model Setup
3.1. Problem Description
3.2. Parameter Settings
3.3. Model Construction
4. Analysis of the Equilibrium Mechanism of Industrial Policy Game Among Major Powers
4.1. Short-Run Equilibrium Analysis of the Interaction Between Industrial Policies and Strategies
4.2. Long-Term Equilibrium and Stability Path of Industrial Policy Interaction
4.2.1. Analysis of the Equilibrium Mechanism Based on the Tit-for-Tat Strategy
4.2.2. Analysis of the Equilibrium Mechanism Based on the Trigger Strategy
- (1)
- The case of a permanent punishment ()
- (2)
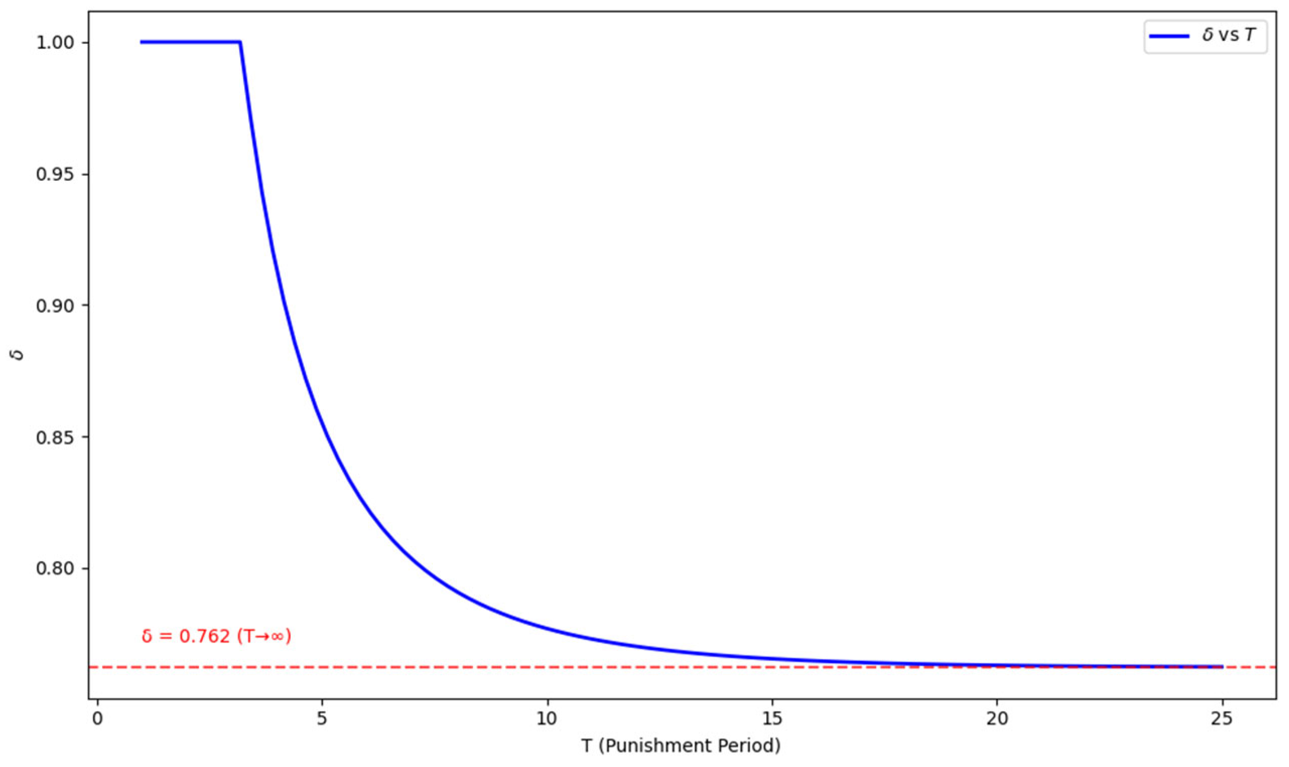
- The case of finite punishment (punishment for periods only)
4.3. Numerical Simulation Analysis
4.3.1. Parameter Initialization Settings
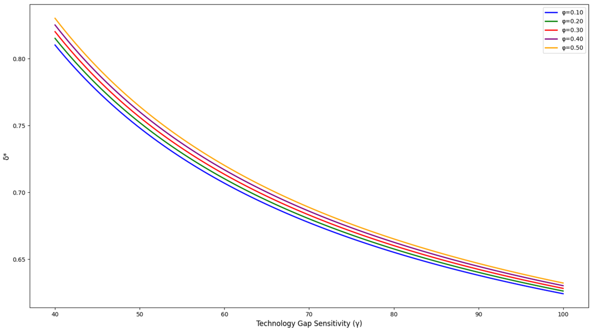
4.3.2. Numerical Simulation and Sensitivity Analysis
5. Further Analysis and Research on Limitations
5.1. Practically Analysis of Industrial Policy Game Theory
5.2. Research Limitations
6. Conclusions
Author Contributions
Funding
Institutional Review Board Statement
Informed Consent Statement
Data Availability Statement
Conflicts of Interest
References
- Kalouptsidi, M. Detection and Impact of Industrial Subsidies: The Case of Chinese Shipbuilding. Rev. Econ. Stud. 2018, 85, 1111–1158. [Google Scholar] [CrossRef]
- Rotunno, L.; Ruta, M. Trade Spillovers of Domestic Subsidies; International Monetary Fund (IMF): Washington, DC, USA, 2024; pp. 1–61. [Google Scholar]
- Li, G.; Branstetter, L.G. Does “Made in China 2025” Work for China? Evidence from Chinese Listed Firms. Res. Policy 2024, 53, 105009. [Google Scholar] [CrossRef]
- Lei, S.H. Beyond Geopolitics: Industrial Policy and Great Power Competition. World Econ. Polit. 2019, 5, 131–154. [Google Scholar]
- Huang, Q.H.; He, J. The Industrial Development Model and Industrial Policy Paradigms in the Later Period of Catching-Up. Econ. Perspect. 2023, 8, 3–18. [Google Scholar]
- Evenett, S.; Jakubik, A.; Martín, F.; Ruta, M. The Return of Industrial Policy in Data. World Econ. 2024, 47, 2762–2788. [Google Scholar] [CrossRef]
- Wang, Y.; Zhao, C.W.; Jiang, S.Z. Technological Containment and Counter-containment in Great Power Competition. Soc. Sci. China 2024, 6, 100–121. [Google Scholar]
- Helpman, E.; Krugman, P.R. Trade Policy and Market Structure, 1st ed.; MIT Press: Cambridge, MA, USA, 1989. [Google Scholar]
- Acemoglu, D.; Aghion, P.; Zilibotti, F. Distance to Frontier, Selection, and Economic Growth. J. Eur. Econ. Assoc. 2006, 4, 37–74. [Google Scholar] [CrossRef]
- Cherif, R.; Hasanov, F. The Return of the Policy That Shall Not Be Named: Principles of Industrial Policy; International Monetary Fund (IMF): Washington, DC, USA, 2019; Volume 79. [Google Scholar]
- Girma, S.; Görg, H.; Stepanok, I. Subsidies, Spillovers and Exports. Econ. Lett. 2020, 186, 108840. [Google Scholar] [CrossRef]
- Bown, C.P. Modern Industrial Policy and the WTO; Peterson Institute for International Economics Working Paper: Washington, DC, USA, 2023; No. 23-15. [Google Scholar]
- Juhász, R.; Steinwender, C. Industrial Policy and the Great Divergence. Annu. Rev. Econ. 2023, 16, 27–54. [Google Scholar] [CrossRef]
- Schumpeter, J.A. The Theory of Economic Development, 1st ed.; Harvard University Press: Cambridge, MA, USA, 1934. [Google Scholar]
- Criscuolo, C.; Martin, R.; Overman, H.G.; Van Reenen, J. Some Causal Effects of an Industrial Policy. Am. Econ. Rev. 2019, 109, 48–85. [Google Scholar] [CrossRef]
- Aggarwal, V.K.; Reddie, A.W. The Strategic Options of Middle Powers in the Asia-Pacific, 1st ed.; World Scientific Press: Singapore, 2022. [Google Scholar]
- Ilyina, A.; Pazarbasioglu, C.; Ruta, M. Industrial Policy Is Back but the Bar to Get It Right Is High; IMF Blog: Washington, DC, USA, 2024. [Google Scholar]
- Gupta, S. The Biden Administration’s Emerging Economic Approach on China: Trade, Technology, and Strategic Industrial Policy in the Age of Extreme Competition; Initiatives in Critical Agrarian Studies (ICAS): The Hague, The Netherlands, 2022; pp. 1–47. [Google Scholar]
- Wu, X. Technology, Power, and Uncontrolled Great Power Strategic Competition between China and the United States. China Int. Strategy Rev. 2020, 2, 99–119. [Google Scholar] [CrossRef]
- Yao, Y. The New Cold War: America’s New Approach to Sino-American Relations. China Int. Strategy Rev. 2021, 3, 20–33. [Google Scholar] [CrossRef]
- Tucker, J.B. Partners and Rivals: A Model of International Collaboration in Advanced Technology. Int. Organ. 1991, 45, 83–120. [Google Scholar] [CrossRef]
- Posner, M.V. International Trade and Technical Change. Oxf. Econ. Pap. 1961, 13, 323–341. [Google Scholar] [CrossRef]
- Grossman, G.M.; Helpman, E. Trade Wars and Trade Talks. J. Polit. Econ. 1995, 103, 675–708. [Google Scholar] [CrossRef]
- Fourçans, A.; Warin, T. Tax Harmonization Versus Tax Competition in Europe: A Game Theoretical Approach; Centre for Research into Economic Fluctuations and Employment: Montréal, QC, USA, 2001; pp. 1–21. [Google Scholar]
- Wang, T.T. Game Theoretical Analysis on Currency Internationalization Process: A Two-Country Game Model and Its Implication to Renminbi Internationalization. J. Financ. Res. 2014, 5, 80–95. [Google Scholar]






| Variables | Description |
|---|---|
| s | Technological substitution rate |
| Expected technological substitution rate | |
| Proportion of strategic industries | |
| Total economic output | |
| International trade gains weight | |
| Policy security gains weight | |
| Technological gap gains weight |
| Country 2 | |||
|---|---|---|---|
| Dove | Hawk | ||
| Country 1 | Dove | , ) | , ) |
| Hawk | (, ) | , ) | |
| Strategy | Country 1 | Country 2 |
|---|---|---|
| , ) | ||
| , ) | ||
| (, ) | ||
| , ) |
| Country 2 | |||
|---|---|---|---|
| Dove | Hawk | ||
| Country 1 | Dove | ||
| Hawk | |||
| Country 2 | |||
|---|---|---|---|
| Dove | Hawk | ||
| Country 1 | Dove | , Welfare losses = 0 | , |
| , Welfare losses = 0 | , | ||
| Hawk | , | , | |
| , | , | ||
| Parameter | a | b | |||||||||||
|---|---|---|---|---|---|---|---|---|---|---|---|---|---|
| Value | 0.87 | 0.77 | 0.21 | 0.31 | 1 | 56 | 55 | 2 | 1 | 42 | 44 | −0.1 | 0.2 |
Disclaimer/Publisher’s Note: The statements, opinions and data contained in all publications are solely those of the individual author(s) and contributor(s) and not of MDPI and/or the editor(s). MDPI and/or the editor(s) disclaim responsibility for any injury to people or property resulting from any ideas, methods, instructions or products referred to in the content. |
© 2025 by the authors. Licensee MDPI, Basel, Switzerland. This article is an open access article distributed under the terms and conditions of the Creative Commons Attribution (CC BY) license (https://creativecommons.org/licenses/by/4.0/).
Share and Cite
Wang, K.; Lam, T.H.; Chen, B.; Song, Y.; Wang, C. Great Power Competition, Technology Substitution and Industrial Policy Coopetition: An Analysis Based on a Two-Country Game. Sustainability 2025, 17, 10635. https://doi.org/10.3390/su172310635
Wang K, Lam TH, Chen B, Song Y, Wang C. Great Power Competition, Technology Substitution and Industrial Policy Coopetition: An Analysis Based on a Two-Country Game. Sustainability. 2025; 17(23):10635. https://doi.org/10.3390/su172310635
Chicago/Turabian StyleWang, Kaixuan, Thanh Ha Lam, Bo Chen, Yimiao Song, and Chengzhang Wang. 2025. "Great Power Competition, Technology Substitution and Industrial Policy Coopetition: An Analysis Based on a Two-Country Game" Sustainability 17, no. 23: 10635. https://doi.org/10.3390/su172310635
APA StyleWang, K., Lam, T. H., Chen, B., Song, Y., & Wang, C. (2025). Great Power Competition, Technology Substitution and Industrial Policy Coopetition: An Analysis Based on a Two-Country Game. Sustainability, 17(23), 10635. https://doi.org/10.3390/su172310635

