Next Article in Journal
Social and Cognitive Factors Influencing Trust and Purchase Intention in Organic E-Commerce: A Gender-Based Analysis
Previous Article in Journal
A Comparative Analysis of Green Building Certification Systems for Schools
 
 
Font Type:
Arial Georgia Verdana
Font Size:
Aa Aa Aa
Line Spacing:
Column Width:
Background:
Article

Why Do Some Cities in the United States Integrate Health into Their Climate Plans More than Others?—Hypotheses and Tests

1
Lyndon B. Johnson School of Public Affairs, The University of Texas at Austin, 2315 Red River St, Austin, TX 78712, USA
2
The Institute for Global Environmental Strategies, 2108-11 Kamiyamaguchi, Hayama, Miura District, Kanagawa 240-0115, Japan
*
Authors to whom correspondence should be addressed.
Sustainability 2025, 17(23), 10492; https://doi.org/10.3390/su172310492 (registering DOI)
Submission received: 29 August 2025 / Revised: 21 October 2025 / Accepted: 11 November 2025 / Published: 23 November 2025
(This article belongs to the Section Health, Well-Being and Sustainability)

Abstract

Many cities have integrated health co-benefits into their climate plans to address cost concerns and build multi-stakeholder support for resilient, net-zero transitions. While some studies have demonstrated that cities vary in how much they link health and climate, few have examined why this is the case. This study fills this gap by using 16 negative binomial regression models to test whether three sets of independent variables—(1) plan attributes, (2) politics, and (3) demographics—are correlated with two different measures of climate–health integration for 50 large cities in the United States. The modeling suggests that plan age is consistently associated with deeper forms of integration (links between key sectoral actions and related health–environmental and social benefits), while plan type (adaptation/mitigation-focused versus integrated) is related to shallower health references. Associations between climate–health integration and the liberal leanings of a city’s population find support in more than half the models; other political and demographic variables lack discernible or predicted relationships with health integration for most models. The study concludes that linking mitigation–adaptation actions can bring more attention to health, but regularly updating urban climate plans is the key to deepening the integration required for a sustainable future.

1. Introduction

Due to their fast-growing contributions and vulnerabilities to climate change, cities are critical to achieving a resilient, net-zero future. In fact, urban areas now account for more than half of the world’s greenhouse gas (GHG) emissions, driven by growing populations, expanding transportation networks, increasing energy demands, and unsustainable patterns of consumption and waste generation [1,2]. Moreover, as cities confront heatwaves and extreme weather, they are making efforts to adapt to the consequences of climate change [3]. Importantly, many of the urban climate plans not only aim to achieve climate goals but also health and related co-benefits [3].
In fact, studies have increasingly underlined ways that cities can pursue these co-benefits in an effort to improve planetary and public health [4]. Some of this research has pointed to specific interventions that cities can adopt to leverage connections between climate and health, such as promoting cycling and nature-based solutions (NBS) [5,6,7]. A related body of work has noted that cities should craft these sectoral interventions by using an integrated lens to identify synergies between mitigation, adaptation, and human health [8]. Indeed, employing such a lens to explicitly recognize climate–health links is consistent with guidance from high-level reports such as the Global Framework for Climate Services—guidance that has the potential to offer urban populations the protections needed for a healthy and sustainable future [9].
Other studies have outlined why local governments are well-positioned to follow this kind of guidance. To illustrate, some have suggested a range of reasons why cities are better placed than central governments to integrate climate and health planning. These reasons include that local governments are typically more agile as well as more aware of the lived realities of populations [10,11]. They also include that this relatively greater flexibility can help cities craft innovative cross-sectoral solutions and build multi-stakeholder coalitions around their implementation [12,13]. Yet, as some studies have observed, there has been variation in how much cities are integrating health into climate plans [4,14].
While research has described differences in how much cities factor health into climate plans, few studies have tested which factors are associated with varying degrees of integration. This article fills this gap in understanding. More concretely, the article uses 16 negative binomial regression models to examine whether three sets of independent variables—(1) plan attributes, (2) politics, and (3) demographics—are correlated with two different measures of climate–health integration for 50 large cities in the United States. The main finding is that plan age correlates with deeper links between key sectoral actions and related health–environmental and social benefits, while plan type (adaptation-focused/mitigation-focused/integrated) is associated with shallower references to health.

2. Literature Review

This finding is not only practically important but also contributes to the significant literature on health co-benefits. Studies on these benefits trace back more than three decades, when modeling research demonstrated that hypothetical carbon taxes could generate ancillary reductions in air pollution and health improvements that could offset climate mitigation costs in developed countries [15,16,17]. By the early 2000s, a similar line of modeling research appeared in developing countries [18,19]. In these less developed contexts, research showed even greater health benefits from relevant policies due to initially poorer air quality and denser populations [20,21]. But even as the concept of co-benefits was gaining traction among researchers, studies were underlining the need to understand what factors could influence whether health and other co-benefits were considered in decision-making processes [22].
Research on co-benefits moved in several directions to facilitate consideration in these processes. One direction involved a sharper focus on specific climate-related sectors and services [19]. For example, studies examined the possible co-benefits of interventions in the transport, buildings, waste, agricultural, and energy sectors [23,24,25,26,27,28,29,30,31,32]. Another direction involved examining co-benefits from adaptation policies and improved climate services—with, for instance, studies noting that the provision of climate-based information can protect urban populations from risks from heatwaves and diseases [33,34]. A third direction involved looking at a wider range of benefits; while early research on co-benefits typically featured complementary reductions in GHGs and air pollution that led to reductions in premature mortality, studies underlined the potential improvements in a broader set of often interconnected benefits [35,36,37,38,39].
Though expanding the scope of benefits and policies held promise, the direction with arguably the greatest potential to impact policy and actions emphasized places where benefits were often concentrated: cities [10,40,41,42]. The potential to leverage co-benefits in cities was partially related to a significant increase in local climate plans over the past decade [43]. It was also related to an awareness that cities might be inherently more concerned with health and local development and therefore more willing to factor relevant analyses of co-benefits into their plans [44,45]. Several studies have, in fact, sought to make their work more useful to policymakers by quantifying the health co-benefits of urban climate actions, often drawing on downscaled versions of the aforementioned co-benefit modeling [39,42]. For instance, research modeling the air quality and health benefits of New York’s 2050 climate plan found the potential to reduce 637 tons of PM2.5 emissions, which could prevent between 160 and 390 deaths and save USD 3.4 billion annually [46]. Others used models to quantify a wider range of policies and benefits in cities [42,47].
A recent line of research comparing how much different cities were drawing on analyses of co-benefits has generated findings that are arguably the most relevant to this study [48]. To illustrate, some comparative studies used systematic literature reviews to demonstrate that cities were missing strong links with SDG 3 (Good health and well-being) [49]. Others assessed how much urban climate action plans (CAPs) in California were factoring health into decisions, finding that only 41% of plans evaluated health benefits, and few monetized or quantified these benefits [50]. A related study evaluated climate action plans for C40 cities and determined that the health benefits of GHG mitigation were often left vague or unaddressed [51].
Arguably the most pertinent subset of comparative studies has moved from assessing “what is” to understanding “why” cities vary in how they approach not only health but the developmental orientation of climate planning. This includes a broadly framed text-mining analysis of 203 cities in the United States that concluded that newer plans from larger cities were taking a more holistic approach to climate planning by, inter alia, making connections to health and equity [14]. The focus on why cities vary also applies to research assessing a wide range of benefits in climate plans that determined that equity and justice considerations were more common in larger cities with Democratic mayors [52,53].
Yet, while there has been some work on why cities differ in their climate plans generally, few studies have looked closely at factors behind the variation in how health is incorporated into climate planning specifically. Moreover, no research has examined how possible correlates found in previous studies are associated with deeper or shallower forms of climate–health integration. This study aims to close that gap by testing hypotheses regarding factors that may be associated with deeper linkages or shallower references to health in a plan. By testing these hypotheses, the present study can provide insights into how cities could center health in their climate actions in the future. The next section outlines three sets of hypotheses on possible factors that could be correlated with varying degrees of integration of health: (1) plan attributes; (2) politics; and (3) demographics.

3. Hypotheses

3.1. Plan Attributes

H1a. 
If the climate action plan focuses on both mitigation and adaptation, then it will have greater integration of health co-benefits.
This hypothesis draws from the literature that suggests that there has been a shift away from mitigation centric planning to a more development-oriented approach with stronger connections to adaptation as well as health [14]. The hypothesis also might reflect the possibility that cities that integrate mitigation and adaptation may be more inclined to integrate other development issues, such as health, into their plans. This is particularly likely in the wake of COVID-19—a crisis that drew more attention to planetary health and its connections to human health. Finally, this hypothesis may be related to the possibility that the inclusion of more adaptation-based sectoral actions also creates opportunities for more linkages to different health and related impacts.
H1b. 
If the climate action plan is newer, then it will have greater integration of health co-benefits.
This hypothesis is related to the shift from mitigation-focused to more development-oriented plans. It could also be traced to evidence suggesting that newer plans are more ambitious in terms of not only action but also possible impacts and benefits, including health. It may further be linked to concerns over health in climate action plans during the pandemic, where health guided many policy decisions [8,14]. Finally it may be connected with efforts to align climate with not only health, more recently, but also health equity as part of a broader push for environmental justice and a just transition [54].

3.2. Politics

H2a. 
If a city’s mayor is liberal, then its climate action plan will have greater integration of health co-benefits.
H2b. 
If a city’s populace leans more liberal, then its climate action plan will have greater integration of health co-benefits.
These two hypotheses are related to the longstanding political divide in climate policy across policymakers and constituents, wherein more liberal leaders and citizens tend to be more committed to environmental and social welfare issues. They also align with evidence that left-leaning cities pay more attention to sustainability efforts and climate planning [55]. They can similarly be traced to research that demonstrated that the political affiliation of local governments can significantly influence climate adaptation efforts, even more so than climatic factors [56,57]. Therefore, the hypotheses infer that more liberal cities will make more efforts to integrate health and climate, congruent with policies that may be more ambitious.

3.3. Demographics

H3a. 
If a city has a higher GDP per capita, then its climate action plan will have greater integration of health co-benefits.
This hypothesis relates to the changing dynamics of climate policy and economic differences across the United States. While GDP has not been explicitly linked to health and climate policy in the past, cities with a higher GDP per capita may have more resources to invest in climate policy and action. It has been shown, for instance, that cities with more economic inequities may pay more attention to justice in climate action plans, which may also have implications for health and vice versa [54]. This hypothesis is further consistent with studies that suggest that cities with larger economies have more time and resources to craft more comprehensive and holistic climate policies [45]. Finally, it has some support from claims that wealthier individuals will be more inclined to support post-materialist values that could translate to stronger climate polices [57].
H3b. 
If a city is more racially diverse, then its climate action plan will have greater integration of health co-benefits.
This hypothesis follows the previously established line of thinking that health often accompanies equity and justice planning. Cities with more diverse populations engage more with justice and equity in their climate action plans [54]. Health impacts of climate change are often felt disproportionately by minorities and people of color, so this hypothesis makes the connection that more diverse cities are more likely to pay closer attention to the intersection of climate policy and health [58].
H3c. 
If a city has a higher population, then its climate action plan will have greater integration of health co-benefits.
This hypothesis centers on the legacy of cities with higher populations tending to be leaders in climate planning. It is connected to the fact that larger cities are likely to have more resources to dedicate to climate planning—and may be more likely to have a sustainability office that can help forge these connections. This hypothesis also aligns with research claiming that larger cities produce longer CAPs that address the links between health and climate action more often than less populous cities [14].

3.4. Controls

While not formally used for hypothesis testing, the article also includes controls for annual average precipitation and temperatures, as well as seven climate subregions in the United States that might influence the health-integration variables. It might be the case that cities that have more rain or hotter weather or are located in climate-vulnerable regions (such as the Southeast) integrate health co-benefits. A failure to control for these possibilities could lead to inflated estimates and flawed inferences.

4. Methods

To test the above hypotheses, the study used a negative binomial regression model. Regression is a commonly used data analytic technique for testing whether correlations exist between a dependent variable and one or more independent variables. Regression can help shed light on whether proposed independent variables are related to the integration of health across a sample of cities, mirroring the above hypotheses. Negative binomial regression is a variant of that technique and is commonly used to examine these associations when the dependent variable is count data with a high level of dispersion (variance is greater than the sample mean).
One of the keys to regression is measuring the dependent variable—in this case, climate–health integration. To measure and operationalize this admittedly abstract construct, the authors relied on two methods. The first, more robust technique involved developing and applying a science-based coding system to determine whether cities were making connections between six sets of key sectoral actions/interventions and clusters of health, environmental, and social benefits in climate action plans. The selection of types of benefits that underpinned this coding drew from natural language processing (NLP) of several authoritative climate- and health-related publications and an extensive coding of possible connections between frequently referenced health and potentially related benefits (the process for selecting the keywords is described in Appendix A).
The coding process involved working with a set of six researchers as part of a class at The University of Texas at Austin wherein each researcher would perform a keyword search for “health” and then review the surrounding text to see whether it was associated with the selected set of sectoral actions, as well as health and related environmental/social benefits in a given city’s climate plan. In an initial two-week trial coding period, two to three researchers coded the same plans and compared results to ensure reliability, robustness, and consistency in coding practices. The second phase involved researchers coding plans individually but collaboratively comparing results and challenges over a semester of weekly meetings. In a third follow-up phase, a single coordinating researcher then reviewed the results and re-coded the plans to ensure greater consistency. This third phase focused on plans where there appeared to be a high number of coded links but few references to “health”; this applied to 20% of the 50 coded plans that were linked to one set of coding (see Figure 1 for coding process and Appendix B for coding instructions). This third phase helped to improve the inter-coding reliability; a test of the intraclass correlation (ICC) between the second-phase (extracting the above coding that seemed inflated) and revised third-phase coding suggests that there is statistically significant agreement between the two sets of codes (F(38,20.3) = 3.8, p = 0.00109). In addition to coding the plans, an additional straightforward method for assessing a shallower form of health integration was a simple count of the word “health” in the plans.
Another key to running the regression was identifying variables that were consistent with the possible correlates in the hypotheses. As illustrated in Table 1 and the description of the models that follows, this was easier than developing the “integration” dependent variable because, by and large, data on the plan’s attributes and the city’s political and demographic conditions could be generated by the research team and/or accessed from publicly available data sources.
The models had the following structure. A baseline model accounted for two variables related to plan attributes: first, whether a plan integrated both mitigation and adaptation strategies, as determined by researchers based on the stated purpose of the climate action plan and accompanying strategies; second, plan age, as determined by the age of the plan in years based on the city’s adoption date. A second model then incorporated the mayoral party affiliation and Republican margin in the 2024 presidential election, found by calculating the difference in percentage of Republican Party votes minus percentage of Democratic Party votes in the county that contained the greatest proportion of each city [60,61]. A third model then incorporated demographic variables, including a natural log for the city’s GDP per capita; the proportion of the non-white population; and the natural log of population (the natural log of both the income and population as the data was right-skewed, and pulling in outlying values to create a more normal distribution can improve the performance of regression models) [62,63]. The fourth and most comprehensive model brought in climatic controls, namely, average temperature and precipitation data, along with geographical location based on climatic subregions according to an annually averaged temperature as a dummy variable (see Equations (1) and (2) for the structure of model 4, noting that the other three models are simpler versions of model 4) [64].
Climate-Health Int = β 0 + Integrated + Plan Age + Is_Democrat + Per_Point Diff + LnGDP + Non-White + LNPop + Temp + Precip + Northwestern + Northern Great Plains + Southwest + Southeast + Southern Great Plains + Midwest + ε
Health Word Count = β 0 + Integrated + Plan Age + Is_Democrat + Per_Point Diff + LnGDP + Non-White + LNPop + Temp + Precip + Northwestern + Northern Great Plains + Southwest + Southeast + Southern Great Plains + Midwest + ε
Before running the models, a test for multicollinearity was run to see whether there were possible relationships between the explanatory variables that could affect results. The only explanators where this was problematic were precipitation and the Southwest variable, likely reflecting the lower levels of rain in that region of the United States. The two variables were nonetheless kept in the model, as they are controls and are unlikely to affect the main variables of interest. The variable inflation factors (VIFs) were all below 5 for the other explanators.
The above models were run on a sample of 50 key cities in the United States. The determination of which cities to include in the sample was based chiefly on population—that is, the research team sought to review the plans of the 50 most populated cities. However, there were also two other considerations. One was whether the city has a climate plan; some highly populated cities, such as Fort Worth, Rapid City, and Colorado Springs, did not have a climate plan and were omitted from the analysis due to a lack of the dependent variable; the implication of this decision is discussed more in the Conclusion. Another consideration was the climate region; to address concerns that there was underrepresentation of cities in the Great Plains climate region, three additional cities were added to the sample that were not among the most populated sets of cities in the entire United States but were so in that region. A list of the cities with the plan names (as well as population and per capita income data) is included in Appendix C. Figure 2 illustrates the locations of the 50 cities. While focusing on 50 relatively large cities made it possible to review plans carefully, it can also limit the generalizability of the findings; this point is also discussed in greater depth in the Conclusion.

5. Results

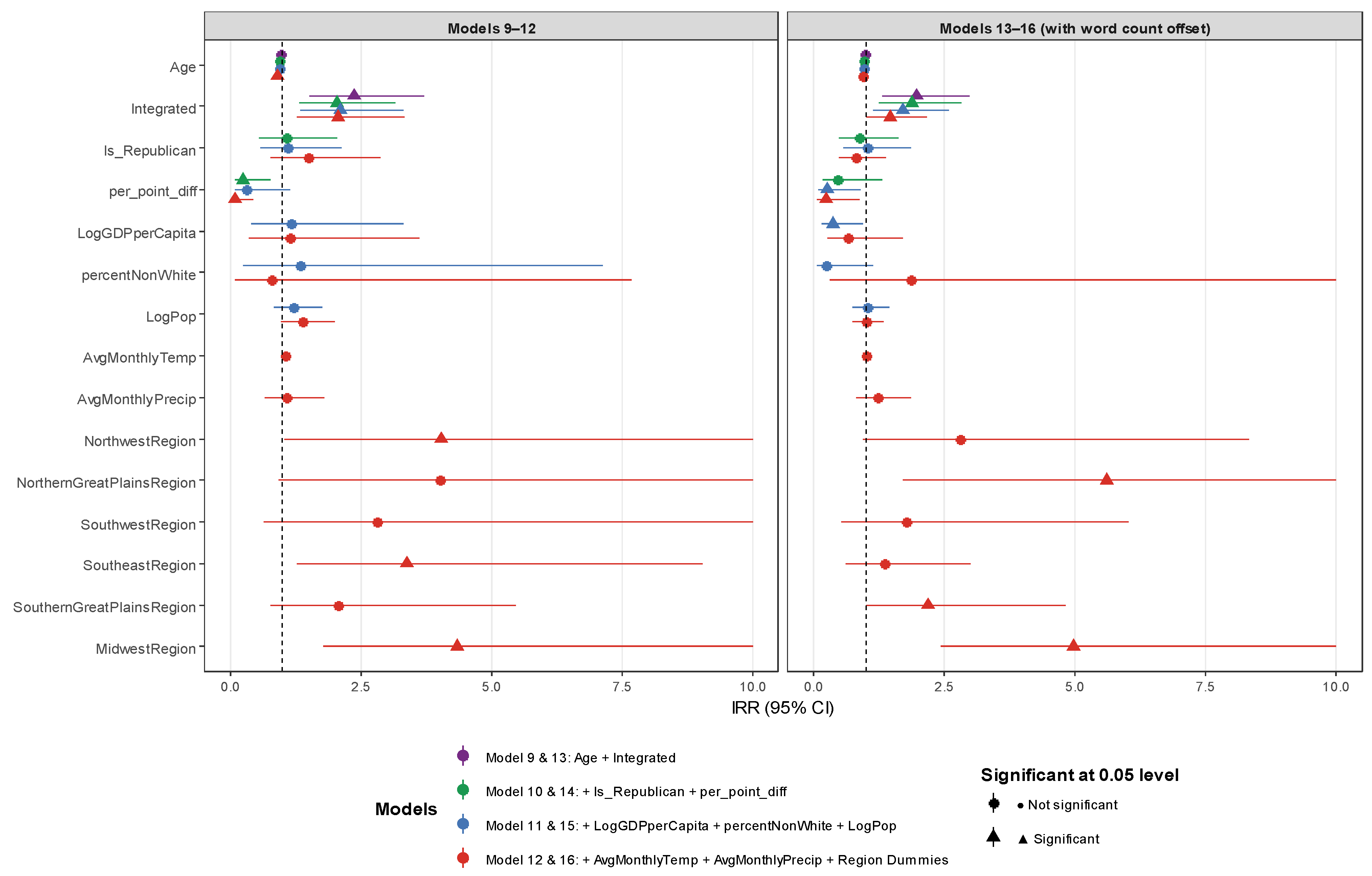
The results from the models for the two sets of dependent variables are presented in plots of exponentiated coefficients in Figure 3 and Figure 4. Figure 3 shows the results for the health-integration variable based on the coding of the plans, while Figure 4 presents results based on the simple word count. Both Figure 3 and Figure 4 include modeling runs without (models 1–4 and 6–9) and with offsets for the total number of words (models 5–8 and 12–16) in the plans to check whether the results are influenced by plan length. Finally, the results follow the ordering of the hypotheses, with the first set of models covering plan attributes (models 1, 5, 9, and 13), followed by models that add in politics (models 2, 6, 10, and 14), demographics (models 3, 7, 11, and 15), and climate and regional controls (models 4, 8, 12, and 16). The decision to use coefficient plots as opposed to tabular results was intended to ease the presentation of results. Nonetheless, tables with the estimated coefficients, standard errors, and goodness-of-fit statistics such as the Akaike Information Criterion (AIC) are included in Appendix D for further reference.
The main finding from the results in Figure 3 involving the coded plans is that plan age is negatively correlated with the health-integration variable across all the models. In fact, the percentage of climate–health links decreases by approximately 10% every year for older plans (a result based on exponentiating the coefficients). In contrast, there does not appear to be an association with the integrated nature of the plan or the number of coded climate–health links. For the politics variables, the vote-differential variable has its anticipated negative relationship in four out of six possible models, suggesting modest support for claims that left-leaning populations reside in cities with more integration of health; the mayoral variable is insignificant for all models. As for the demographic variables, GDP and population are significant in one model each; however, their signs differ from expectations. In terms of the controls, neither rainfall nor temperature appears to be associated with the variable of interest. Meanwhile, arguably the most climate-vulnerable region in the United States, the Southeast, has a moderately surprising negative relationship with health integration in one model, while the Northeast region has an equally surprising positive relationship in one model. Finally, using the AIC as a goodness-of-fit measure suggests that the second model (with only politics and no consideration of length) and the full model (when length is considered) appear to fit the data better than the base model. Some of the observed improvement in fit for model 8 may nonetheless be due to fitting noise in the data, given the surprising signs of coefficients.
The results from the health count models presented in Figure 4 tell a slightly different story. As for the plan attribute variables, plan type has a consistently positive, statistically significant relationship with the number of times health is mentioned in the plans. Across all specifications, a more integrated plan was likely to lead to an approximately 50% to 100% increase in references to health. One of the six possible models shows a positive relationship with plan age. The results for the other regressors are less robust or differ from hypothesized expectations in some instances. In terms of the politics variables, the political orientation of the city (as measured by support for Kamala Harris) is statistically significant in a little more than half of the models, again implying a possible positive connection between living in a more liberal city and the number of references to health. At the same time, the party affiliation of the mayor does not present as significant at the 0.05 level in any of the specifications. In terms of the demographic variables, the results do not show a statistically significant relationship between health count and a larger minority population or per capita GDP. As for controls, the temperature and precipitation variables are insignificant across the models, whereas the Midwest, Northern Great Plains, Southern Great Plains, and Northwest regional controls are significant for some models, though there are not necessarily strong reasons for those connections. Finally, using the AIC suggests that the model with the best fit is the simplest, model 9, without factoring in word count, and the fullest model when word count is considered. Again, improvements in the overall fit for model 16 should be interpreted with caution, given some of the results for the regional controls.
Arguably the most important result—the difference between the possible effects of age and having an integrated plan on different measures of climate–health integration—can also be found by looking at Table 2 and Table 3. Table 2, which lists the top 10 cities based on the health linkage variables as well as the plan age, shows that all of the high-scoring cities have developed a plan within the past five years, while the average age of these top 10 plans is three years. Table 3, which includes the 10 cities with the most references to health and indicates whether they are integrated or focused only on mitigation or adaptation, shows that 9 out of 10 are integrated. Table 2 and Table 3 also show which specific cities registered the highest health-integration scores or health counts. More detailed discussions of some of the specific cities, such as Fresno, are offered in the Discussion section.

6. Discussion

Among the most important results from the regressions are that the models consistently show that plan attributes are statistically significant predictors of health integration for the reviewed climate plans. More concretely, the health count variable was positively related to plan type, supporting hypothesis H1a, and the number of health linkages was associated with plan age, supporting hypothesis H1b. The finding involving a greater number of deeper health linkages in more recent plans is likely indicative of a trend in climate planning to strengthen connections between sectoral actions and issues beyond emissions, such as equity and health, as they become more ambitious [14]. The finding that the health count is higher in integrated plans suggests that these connections are being made when plans cover both mitigation and adaptation, but they are not necessarily linked to particular sectoral actions. Hence there appears to be a shift in terms of how plans are framed as they move from a more mitigation- to development-centric framing, but not necessarily a concrete link to actions or beneficiaries of those actions.
A related finding is the contrast between cities that had the highest number of references to health and those with the highest number of deeper linkages, which could be explained by plan attributes. Most plans acknowledge the importance of understanding health and climate change, with many having sections dedicated to the health impacts of climate change and associated hazards. However, discrepancies between health mentions and linkages are most likely due to this gap between addressing health in general and integrating health implications into specific strategies or specific communities. For newer plans, there appears to be a push to move beyond shallower and more general language to the aforementioned concrete connections with strategies and possible beneficiaries. Integrated plans may acknowledge health more frequently than adaptation- or mitigation-only plans, but in a more general sense. It may be the case that, although drafters of these plans are aware that these benefits exist, they do not have access to the tools or resources to make these linkages more concrete. There is extensive scientific and policy research demonstrating the health impacts of climate change, but research on direct connections between strategies and mitigating such impacts may be less accessible to policymakers [65].
Another set of notable results pertains to other variables in the models. In this case, there appears to be a correlation between democratic leanings and health integration in about half of the models. The same cannot be said for the party affiliation of the mayor. This finding is consistent with studies that point to greater support for the environment and social welfare in more left-leaning locales [55,56,57], though the relative weakness of the finding comports with similar analyses that found that partisan orientation did not significantly influence how ambitious a city’s climate action plan was based on stated net-zero goals [66]. At the same time, there are a few weaker links between demographic variables and health integration, but they run counter to expectations. The latter may suggest that these sentiments may not necessarily apply to contexts with more resources and/or greater minority populations.
Another, albeit more speculative, point pertains to some of the factors that may be behind the age variable’s correlation with the health linkage variable. Although this study is centered on cities, it merits noting that changes in federal government policy may have also influenced the results. The Inflation Reduction Act, signed into law by the Biden administration in 2022, sought to provide funding, programs, and incentives toward climate resilience and clean energy [67]. The Justice40 initiative built on this act to make sure that 40% of such investments in climate were allocated to disadvantaged communities [68]. Section 60,114 of the Inflation Reduction Act allocated USD 5 billion to the Environmental Protection Agency to support efforts to reduce greenhouse gases (GHGs) on the state, regional, and local scales [67]. These actions provided funding and resources for investments in municipal climate action and are possibly related to the increase in ambition and health connections in newer plans. Many top-scoring plans, such as those of Milwaukee, Fresno, Nashville, and Kansas City, cited the supplementary funding from the Inflation Reduction Act as a significant financial source for their plan [69,70,71,72]. This funding gave cities that may not have historically been at the cutting edge of climate action the resources to create stronger plans with stronger health connections. At the same time, because of the rollbacks and funding freezes under the current United States federal government, such funding may be more limited in the future, which could have implications for not only the integration of health but also the overall framing and implementation of city climate plans.
A deeper dive into specific cities also helps explain the regression results in a more nuanced manner. For instance, the Fresno Priority Climate Action Plan, published in 2024, ranks fourth for health linkages, with 38 linkages, and is the highest-ranking city for linkages in California [71] (Table 3). California has historically been a leader in climate policy; many of its cities, such as San Francisco and Los Angeles, are known for cross-sectoral approaches to climate and health [50]. Interestingly, the fact that Fresno scored above other cities in not only California but also the United States in terms of health linkages does not align with many of the study’s expectations—Fresno elected a Republican mayor, the populace leans slightly conservative, and it has one of the lowest GDPs per capita in the city sample [61]. However, every strategy has a detailed section for direct and indirect benefits for low-income and disadvantaged communities (LIDACs) that highlights specific environmental benefits, health benefits, and outcomes for impacted groups. This approach, rather than applying a general “public health benefit” flag or vague scoring system, resulted in a much higher health linkage number. It also may be attributable to the fact that it was funded in part by the Inflation Reduction Act and utilized resources created by the Justice40 initiative, such as the Climate Justice and Equity Screening Tool (CJEST). Examples like Fresno offer further evidence that newer plans are making more linkages to health and equity, and that the shifting landscape in plan priorities may determine more about the quality of a plan.
An additional set of findings that sheds more textured light on the regression results involves cities with high levels of health integration. To illustrate, Long Beach, California, had the third highest health keyword count across all plans, with 235 mentions [73] (Table 3). Consistent with the hypothesis on the relationship between plan type and health count, the Long Beach Climate Action Plan is an integrated climate action plan. Although many of the plans in the sample had some level of integration, Long Beach explicitly includes sections on both “adaptation actions” and “mitigation actions”, and adaptation targets center on explicit public health goals, such as “improve public health and safety in the face of extreme health events” and ensuring all communities have “clean air and improved public health” (p. 20). Like some of the other integrated plans, there is a section on existing challenges with climate change, public health, and health equity. While other plans acknowledge these concerns, truly integrated plans like Long Beach’s use adaptation strategies to directly address health concerns and co-benefits, and this likely relates to more health references in the plan.
A final notable point is that there is no consistent way that plans are addressing health. Some plans with significant health connections, such as the Memphis Area Climate Action Plan, PlaNYC: Getting Sustainability Done, and Oakland 2030 Equitable Climate Action Plan, implemented a health or health equity icon or tag for each strategy [74,75,76]. Although flagging strategies that have health impacts is a good first step, many plans that scored well went beyond icons and discussed health implications in paragraph form. The presence of the aforementioned LIDAC analysis for strategies showed up in many top-scoring plans, such as the Fresno Priority Climate Action Plan and the Kansas City Regional Climate Action Plan [71,73]. These plans went a step further in terms of linking health impacts, affected communities, and climate action strategies. Some plans, such as the Philadelphia Climate Action Playbook and the Austin Climate Equity Plan, had a scoring system for assessing applicable health benefits to each strategy, but may have scored slightly lower because there was a lack of definition of specific health benefits [77,78]. These discrepancies are a testament not only to the range of approaches to assessing connections between health and climate but also to the variability across cities in terms of climate planning.

7. Conclusions

Cities are at the frontline of the war on climate change. One of the ways cities are making progress in this fight is by integrating health into local climate action plans. There has been extensive research on the co-benefits of climate action and health—for instance, linking actions like emission reduction with improved air quality and subsequent health benefits such as reduction in respiratory disease. A few studies have taken this a step further and compared how cities are integrating health into their plans, but there is a lack of systematic evaluation and testing of hypotheses on the plan qualities and contextual factors that may be responsible for this variation.
This study has filled this gap by evaluating how climate action plans in the United States are integrating health into their plans and making health linkages to sectoral actions through a systematic coding of said plans. These results were evaluated with a series of hypotheses intended to help predict whether plan attributes, politics, and demographics influenced how much a city integrated health into its climate plans. The study found that plan attributes, including plan age and the type of plan (mitigation, adaptation, or integrated), are related to how much a plan incorporates health. Mentions of health were closely correlated with whether (or not) the plan was integrated with adaptation and mitigation, and deeper health linkages to specific strategies were linked to plan age, with newer plans having more and arguably stronger linkages. While cities may face structural constraints (fiscal capacities, shifts in national policies) and may need to be mindful of political leanings of their residents, the evidence also suggests that cities are not necessarily beholden to factors beyond their control to forge climate–health linkages. In fact, cities may have agency to craft and update the substance of plans by integrating adaptation and mitigation strategies and regularly updating plan contents to deepen health connections.
While the above summarizes the most illuminating findings, it is important to bear in mind possible limitations of the study. The largest such limitation is arguably the operationalization of the health linkage variable through subjective coding. While extensive efforts were made to compare interpretations across researchers and keep coding consistent across plans, the variety of circumstances under which health shows up may lead to some discrepancies. There could have been some linkages that were not covered by the coding system, leading to underrepresentation in some plans. For example, some cities may place a greater emphasis on sectoral interventions such as tourism that are not featured in the coding scheme used herein. Further efforts to work toward more objective definitions of health linkages supplemented by machine learning could help address these issues.
A second limitation is that coding often sacrifices more nuanced reading of the plans; long-form, small-n comparative case studies could help in this regard. Yet another set of limitations is that the hypotheses and the way they were tested may have omitted some connections, such as the fiscal and administrative capacity of city sustainability offices. While locating data on capacities may be challenging, a qualitative analysis of a smaller sample of cities may prove useful in future research. Additionally, as noted previously, the sample of 50 cities excluded less populated cities, perhaps leading to inferences that may not be as applicable to smaller cities. Future iterations of this work may look at a broader cross section of cities and determine whether, for instance, the trends revealed through this analysis apply to less populated locales. A similar weakness involves the decision to exclude three cities that did not have a climate plan; while it is impossible to know how much those omitted cities would bring health into their climate plans, future versions of this work could check whether those cities developed plans or conduct interviews with staff in excluded cities to assess how much health is considered in climate planning. Other limitations involve the measurement of some of the independent variables; for instance, relying on county-level election data to assess the political orientation of a city may cover suburban areas that may have different political dynamics than the city in question.
This study also points to other areas for future research. For instance, future studies could include a larger sample size of cities in the United States and explore how countries outside of the United States are approaching climate–health integration. Another possible extension is employing hypothesis testing with more qualitative methods on a wider range of factors, such as the aforementioned presence of a sustainability office, the presence of a university, funders or partners of the plan, level of collaboration with other cities or a public health office, existing climate services for health, and a reliance on tourism, among other possible factors. Plan coding could be supplemented with interviews from city staff who worked on the plans or further exploration of supplemental materials provided by some cities that may help to capture the nuances of the drafting and adoption process. Any additions to the literature on the current state of health integration into climate action plans and driving factors behind plan factors would be vital to the small but growing body of health co-benefit research.
For city planners and developers of climate action plans, there are many takeaways from this study. According to the current landscape of health and climate action, many plans are not making linkages to health at the same speed and scope as the existing literature and evidence. While many plans may address the health impacts of climate change, plans should do more to integrate health co-benefits into tangible strategies across both mitigation and adaptation and develop climate services for health. This does come with many costs and institutional barriers, but cities are encouraged to collaborate with existing resources, such as public health departments. As demonstrated by increased linkages in more recent plans, cities should update their plans more frequently and attempt to collaborate with and learn from cities on the climate and health frontier. As new plans are developed, it would be most efficient to create and promote tools that facilitate the systematic integration of health and environmental benefits with an accompanying monitoring framework to assess progress of goals and changing needs. Overall, plans should seek to find a sense of consistency while adapting to their unique city’s needs. While there may not be one right way to integrate health into climate action strategies, the consideration of health in climate planning is essential and will continue to become more universal as addressing climate change becomes more urgent.

Author Contributions

Conceptualization, E.Z., D.E., M.H. and X.Z.; methodology, E.Z. and X.Z.; investigation, F.W., A.M., B.S., K.K., C.B., R.S.G. and C.C.W.; resources, E.Z. and D.E.; data curation, F.W., A.M., B.S., K.K., C.B., R.S.G. and C.C.W.; writing—original draft preparation, F.W., A.M., B.S., K.K., C.B., R.S.G. and C.C.W.; writing—review and editing, F.W., A.M., B.S., K.K., C.B., R.S.G., C.C.W., E.Z., D.E. and M.H.; project administration, E.Z.; funding acquisition, E.Z. and D.E. All authors have read and agreed to the published version of the manuscript.

Funding

This research was funded by the Wellcome Trust for a project entitled “Leveraging Co-benefits for Healthy Net-zero Transitions in Japanese and Other G7 Cities: A Scalable Approach for Transformative Change”. Some of the research performed by Eric Zusman is based on funding from the Environment Research and Technology Development Fund S-20-3 [JPMEERF21S12013 and JPMEERF21S12030] of the Environmental Restoration and Conservation Agency with resources provided by the Ministry of Environment of Japan.

Institutional Review Board Statement

Not applicable.

Informed Consent Statement

Not applicable.

Data Availability Statement

Data used for this study can be accessed by contacting the corresponding author.

Acknowledgments

The authors have reviewed and edited the output and take full responsibility for the content of this publication.

Conflicts of Interest

The authors declare no conflicts of interest.

Abbreviations

The following abbreviations are used in this manuscript:
CAPsClimate action plans
CJESTClimate Justice and Equity Screening Tool
GDPGross Domestic Product
LIDACsLow-income and disadvantaged communities
MSAMetropolitan Statistical Area
NBSNature-based solutions
NLPNatural language processing
OLSOrdinary least squares

Appendix A. Description of the Selection of Keywords

One of the keys to evaluating the integration of health and related co-benefits into urban climate plans was developing a framework that would help systematize that assessment. In this study, the authors used the following approach to determine the keywords that would support that assessment. The selection was based on possible relationships among climate actions, environmental changes, health outcomes, and vulnerable populations. To understand these possible relationships, the authors conducted a systematic review of a wide range of the relevant literature, including peer-reviewed articles and key policy reports, such as those by the World Health Organization (WHO), the Intergovernmental Panel on Climate Change (IPCC), and the Lancet Countdown. Leveraging natural language processing (NLP) techniques, the authors first identified two distinct sets of keywords: one related to climate action, derived from the IPCC AR climate action glossaries, and another encompassing health-related terms that were extracted from the reviewed literature. These keyword sets served as the foundation for targeted content extraction.
The authors then applied sentence-level filtering to isolate content in which both climate action and health keywords co-occurred, capturing instances where direct or indirect relationships are discussed. Within these extracted sentences, the authors further analyzed the contextual content to identify intermediate concepts that help explain the pathways linking climate action to health outcomes. These intermediaries include environmental change factors (e.g., air pollution, heatwaves, water quality) and references to vulnerable groups (e.g., children, elderly, low-income communities). By systematically mapping these elements, the authors developed a knowledge framework that connects climate action, environmental impacts, health consequences, and affected populations. This approach provides a structured and evidence-based foundation for understanding the multidimensional linkages that could serve as the basis for not only a more integrated approach to climate and health planning but also for evaluating how cities are progressing in making those connections.

Appendix B. Overview of Coding Guidance

Please conduct a keyword search on the word “health.” Then record the number of times that health is mentioned in the plan in question. Then review the text around the word health; in reviewing the surrounding text, look at the following:
  • Does the plan make a link between six given sectoral actions (transport, waste, energy, industry, and buildings for mostly mitigation and then nature-based solutions, awareness-raising/lifestyle change, and resilient infrastructure) and health?
  • If not, then answer “no” and then skip to the next sectoral action.
  • If yes, then please code “yes” and place an “x” in the appropriate box based on the following:
    1.
    if the plan makes a link to one or more specific/narrower intervention(s) under that sectoral action.
    2.
    if the plan references one or more environmental impacts that are affected by that action that would impact health.
    3.
    if the plan references one or more health impacts.
    4.
    if the plan references one or more impacted groups.
In essence, the number of health connections is based on clusters of text around health and key sectoral actions, specific interventions in those sectors, specific environmental problems, and specific impacted groups.

Appendix C. List of Cities, Corresponding Plan Titles, Populations, and per Capita GDP

Table A1. List of Cities, Plan Titles, Populations, and Per Capita GDP.
Table A1. List of Cities, Plan Titles, Populations, and Per Capita GDP.
CityPlan TitlePopulationPer Capita GDP
AlbuquerqueOne Albuquerque Climate Action Plan 560,27464,304
AtlantaCity of Atlanta Climate Action Plan510,82390,067
AustinAustin Climate Equity Plan979,88299,538
BaltimoreBaltimore Climate Action Plan Update413,38161,397
BostonCity of Boston Climate Action Plan 2019 Update565,23991,193
Chicago2022 Climate Action Plan653,833122,902
ClevelandCleveland Climate Action Plan Update (Draft)2,664,45295,832
ColumbusColumbus Climate Action Plan362,65679,923
DallasDallas Comprehensive Environmental and Climate Action Plan913,17582,955
DenverDenver 80 × 50 Climate Action Plan1,302,86891,188
DetroitDetroit Climate Strategy716,577103,245
El PasoEl Paso Priority Climate Action Plan633,21875,827
FresnoFresno Priority Climate Action Plan678,95855,343
HoustonHouston Climate Action Plan 545,71650,833
IndianapolisThrive Indianapolis2,314,15791,734
JacksonvilleResilient Jacksonville879,29392,729
Kansas CityKansas City Regional Climate Action Plan985,84374,916
Las VegasLas Vegas-Henderson-Paradise MSA Priority Climate Action Plan510,70483,341
Lincoln2021–2027 Climate Action Plan660,92975,772
Long BeachLong Beach Climate Action Plan294,75780,808
Los Angeles2045 Climate Action Plan 449,468100,522
LouisvilleLouisville KY-IN MSA Priority Climate Action Plan3,820,914100,522
MemphisMemphis Area Climate Action Plan622,98170,951
MesaMesa, AZ—Climate Action Plan for a Sustainable Community618,63976,791
MiamiMiami—Dade Climate Action Strategy511,64878,034
MilwaukeeClimate & Equity Plan—Milwaukee455,92484,249
MinneapolisMinneapolis Climate Action Plan561,38583,460
NashvilleMetro Nashville Climate Adaptation and Resilience Plan425,11594,214
New OrleansClimate Action for a Resilient New Orleans687,78896,908
New York CityPlaNYC: Getting Sustainability Done8,258,035116,535
Oklahoma CityPriority Climate Action Plan Oklahoma City Metropolitan Statistical Area436,504168,974
OaklandOakland 2030 Equitable Climate Action Plan702,76756,000
OmahaOmaha Climate Action & Resilience Plan483,33593,396
PhiladelphiaPhiladelphia Climate Action Playbook1,550,54288,777
PhoenixCity of Phoenix Climate Action Plan NEW1,650,07066,365
PortlandPortland Climate Action Plan630,49886,805
RaleighRaleigh Community Climate Action Plan482,29587,390
SacramentoCity of Sacramento Climate Action & Adaptation Plan526,38477,892
San AntonioSA Climate Ready: A Pathway for Climate Action and Adaptation1,495,29567,069
San DiegoOur Climate, Our Future- City of San Diego Climate Action Plan1,388,32095,847
San FranciscoSan Francisco’s Climate Action Plan808,988168,974
San JoseClimate Smart San Jose969,655215,122
SeattleSeattle Climate Action Plan755,078138,947
Sioux FallsSustainable Sioux Falls 2023193,43798,942
TampaTampa Climate Action & Equity Plan403,36472,099
TucsonTucson Resilient Together Climate Action Plan547,23958,180
TulsaTulsa Metropolitan Area Climate Pollution Reduction Grant Primary Climate Action Plan411,89464,402
Virginia BeachIt’s Our Future: A Choice City, City of Virginia Beach Comprehensive Plan453,64971,269
Washington DCClimate-Ready DC678,972112,622
WichitaWichita Climate Action and Adaptation Plan (DRAFT)396,11970,952

Appendix D. Regression Results: Models 1–16

Table A2. Regression results: Models 1–4.
Table A2. Regression results: Models 1–4.
TermModel 1Model 2Model 3Model 4
Age0.929 (0.027) **0.895 (0.028) ***0.901 (0.028) ***0.851 (0.033) ***
Integrated1.056 (0.153)0.932 (0.146)1.027 (0.148)1.035 (0.164)
Is_Republican 1.299 (0.217)1.29 (0.214)1.299 (0.222)
per_point_diff 0.309 (0.371) **0.256 (0.432) **0.265 (0.551) *
LogGDPperCapita 0.797 (0.346)0.929 (0.399)
percentNonWhite 2.129 (0.543)2.596 (0.757)
LogPop 1.014 (0.12)0.988 (0.121)
AvgMonthlyTemp 1.014 (0.018)
AvgMonthlyPrecip 1.188 (0.174)
NorthwestRegion 2.765 (0.475) *
NorthernGreatPlainsRegion 1.239 (0.505)
SouthwestRegion 1.231 (0.512)
SoutheastRegion 1.004 (0.326)
SouthernGreatPlainsRegion 0.845 (0.326)
MidwestRegion 1.101 (0.298)
LogLik−187.951−183.971−182.235−177.624
AIC383.901379.943382.469389.248
BIC391.549391.415399.677421.752
Deviance52.72352.70552.48751.102
Note: Exponentiated coefficients (IRR) are shown with standard errors in parentheses. Significance levels: *** p < 0.001, ** p < 0.01, * p < 0.05, p < 0.1.
Table A3. Regression results: Models 5–8.
Table A3. Regression results: Models 5–8.
TermModel 5Model 6Model 7Model 8
Age0.927 (0.036) *0.907 (0.04) *0.919 (0.038) *0.9 (0.041) **
Integrated0.848 (0.208)0.795 (0.213)0.772 (0.206)0.731 (0.209)
Is_Republican 1.091 (0.313)1.255 (0.296)0.842 (0.285)
per_point_diff 0.563 (0.544)0.219 (0.611) *0.594 (0.724)
LogGDPperCapita 0.267 (0.478) **0.482 (0.526)
LogPop 0.822 (0.168)0.655 (0.157) **
percentNonWhite 0.374 (0.76)3.856 (0.98)
AvgMonthlyTemp 0.988 (0.023)
AvgMonthlyPrecip 1.216 (0.228)
NorthwestRegion 1.305 (0.605)
NorthernGreatPlainsRegion 1.025 (0.658)
SouthwestRegion 0.517 (0.683)
SoutheastRegion 0.332 (0.422) **
SouthernGreatPlainsRegion 0.573 (0.425)
MidwestRegion 0.886 (0.386)
LogLik−205.533−204.978−200.256−191.823
AIC419.066421.955418.512417.646
BIC426.714433.427435.72450.151
Deviance57.91357.80756.11554.765
Note: Exponentiated coefficients (IRR) are shown with standard errors in parentheses. Significance levels: *** p < 0.001, ** p < 0.01, * p < 0.05, p < 0.1.
Table A4. Regression results: Models 9–12.
Table A4. Regression results: Models 9–12.
TermModel 9Model 10Model 11Model 12
Age0.972 (0.039)0.935 (0.042)0.943 (0.042)0.892 (0.047) *
Integrated2.374 (0.227) ***2.039 (0.224) **2.118 (0.23) **2.064 (0.245) **
Is_Republican 1.066 (0.333)1.11 (0.335)1.497 (0.333)
per_point_diff 0.254 (0.567) *0.307 (0.673)0.086 (0.829) **
LogGDPperCapita 1.161 (0.534)1.138 (0.592)
percentNonWhite 1.342 (0.853)0.797 (1.156)
LogPop 1.214 (0.19)1.385 (0.187).
AvgMonthlyTemp 1.045 (0.027)
AvgMonthlyPrecip 1.086 (0.256)
NorthwestRegion 4.042 (0.697) *
NorthernGreatPlainsRegion 4.028 (0.747)
SouthwestRegion 2.818 (0.762)
SoutheastRegion 3.382 (0.502) *
SouthernGreatPlainsRegion 2.064 (0.496)
MidwestRegion 4.342 (0.456) **
LogLik−265.011−262.394−261.584−254.969
AIC538.021536.788541.168543.937
BIC545.669548.26558.376576.442
Deviance54.58454.22754.08953.058
Note: Exponentiated coefficients (IRR) are shown with standard errors in parentheses. Significance levels: *** p < 0.001, ** p < 0.01, * p < 0.05, p < 0.1.
Table A5. Regression results: Models 13–16.
Table A5. Regression results: Models 13–16.
TermModel 13Model 14Model 15Model 16
Age0.99 (0.035)0.962 (0.039)0.97 (0.038)0.936 (0.038).
Integrated1.977 (0.208) **1.877 (0.21) **1.718 (0.208) **1.472 (0.196) *
Is_Republican 0.883 (0.312)1.032 (0.302)0.813 (0.269)
per_point_diff 0.467 (0.532)0.271 (0.61) *0.234 (0.671) *
LogGDPperCapita 0.362 (0.483) *0.667 (0.481)
LogPop 1.032 (0.171)1 (0.149)
percentNonWhite 0.25 (0.774).1.862 (0.927)
AvgMonthlyTemp 1.005 (0.022)
AvgMonthlyPrecip 1.231 (0.209)
NorthwestRegion 2.796 (0.557).
NorthernGreatPlainsRegion 5.616 (0.607) **
SouthwestRegion 1.771 (0.626)
SoutheastRegion 1.367 (0.402)
SouthernGreatPlainsRegion 2.198 (0.402) *
MidwestRegion 4.978 (0.365) ***
LogLik−260.617−259.239−256.267−242.894
AIC529.234530.477530.535519.789
BIC536.882541.949547.743552.293
Deviance56.0755.51554.80152.42
Note: Exponentiated coefficients (IRR) are shown with standard errors in parentheses. Significance levels: *** p < 0.001, ** p < 0.01, * p < 0.05, p < 0.1.

References

  1. Crippa, M.; Guizzardi, D.; Pisoni, E.; Solazzo, E.; Guion, A.; Muntean, M.; Florczyk, A.; Schiavina, M.; Melchiorri, M.; Hutfilter, A.F. Global Anthropogenic Emissions in Urban Areas: Patterns, Trends, and Challenges. Environ. Res. Lett. 2021, 16, 074033. [Google Scholar] [CrossRef]
  2. Lwasa, S.; Seto, K.C.; Bai, X.; Blanco, H.; Gurney, K.R.; Kilkiș, S.; Lucon, O. Urban Systems and Other Settlements. In IPCC, 2022: Climate Change 2022: Mitigation of Climate Change. Contribution of Working Group III to the Sixth Assessment Report of the Intergovernmental Panel on Climate Change; Cambridge University Press: Cambridge, UK, 2022. [Google Scholar]
  3. Hu, J.; Zhou, Y.; Yang, Y.; Chen, G.; Chen, W.; Hejazi, M. Multi-City Assessments of Human Exposure to Extreme Heat during Heat Waves in the United States. Remote Sens. Environ. 2023, 295, 113700. [Google Scholar] [CrossRef]
  4. Ickovics, J.R.; Astbury, K.; Campbell, M.; Carrión, D.; James, H.; Sinha, N.; Ong, A.; Dubrow, R.; Seto, K.C.; Vlahov, D. Indicators from The Lancet Countdown on Health and Climate Change: Perspectives and Experience of City Leaders from 118 Cities. J. Urban Health 2025, 102, 201–209. [Google Scholar] [CrossRef]
  5. Dinh, N.T.T.; Tran, J.; Hensher, M. Measuring and Valuing the Health Co-Benefits of Climate Change Mitigation: A Scoping Review. Lancet Planet. Health 2024, 8, e402–e409. [Google Scholar] [CrossRef] [PubMed]
  6. Moosburger, R.; Manz, K.; Richter, A.; Mensink, G.B.M.; Loss, J. Climate Protection, Health and Other Motives for Active Transport–Results of a Cross-Sectional Survey in Germany. BMC Public Health 2024, 24, 1505. [Google Scholar] [CrossRef]
  7. Sommese, F. Nature-Based Solutions to Enhance Urban Resilience in the Climate Change and Post-Pandemic Era: A Taxonomy for the Built Environment. Buildings 2024, 14, 2190. [Google Scholar] [CrossRef]
  8. Aboagye, P.D.; Sharifi, A. Post-Fifth Assessment Report Urban Climate Planning: Lessons from 278 Urban Climate Action Plans Released from 2015 to 2022. Urban Clim. 2023, 49, 101550. [Google Scholar] [CrossRef]
  9. Becvarik, Z.A.; White, L.V.; Lal, A. The Health and Wellbeing Co-Benefits of Policies and Programs to Address Climate Change in Urban Areas: A Scoping Review. Environ. Res. Lett. 2024, 19, 113001. [Google Scholar] [CrossRef]
  10. Creutzig, F.; Urge-Vorsatz, D.; Takeuchi, K.; Zusman, E.; Aderinto, I.; Sörgel, B.; Ortiz Moya, F.; Mitra, B.K.; Sukhwani, V.; Salehi, P. Seeking Synergy Solutions: How Cities Can Act on Both Climate and the SDGs. Expert Group on Climate and SDG Synergy; UNDESA: New York, NY, USA, 2024; Available online: https://sdgs.un.org/sites/default/files/2024-07/Thematic%20Report%20on%20Cities-061824.pdf (accessed on 28 August 2025).
  11. Betsill, M.M.; Bulkeley, H. Cities and the Multilevel Governance of Global Climate Change. Glob. Gov. 2006, 12, 141–159. [Google Scholar] [CrossRef]
  12. Pereverza, K.; Rohracher, H.; Kordas, O. Fostering Urban Climate Transition Through Innovative Governance Coordination. Environ. Policy Gov. 2025, 35, 631–646. [Google Scholar] [CrossRef]
  13. Yadav, A.; Anwer, N.; Mahapatra, K.; Shrivastava, M.K.; Khatiwada, D. Analyzing the Role of Polycentric Governance in Institutional Innovations: Insights from Urban Climate Governance in India. Sustainability 2024, 16, 10736. [Google Scholar] [CrossRef]
  14. Debbage, N.; Atasoy, M.; Mitra, C.; Byahut, S. Urban Climate Action Plans in the United States: A Textual Content Analysis and Evaluation. Sustain. Cities Soc. 2025, 120, 106095. [Google Scholar] [CrossRef]
  15. Ayres, R.; Walter, J. The Greenhouse Effect: Damages, Costs and Abatement. Environ. Resour. Econ. 1991, 1, 237–270. [Google Scholar] [CrossRef]
  16. Doran, P.T.; Zimmerman, M.K. Examining the Scientific Consensus on Climate Change. Eos Trans. Am. Geophys. Union 2009, 90, 22–23. [Google Scholar] [CrossRef]
  17. Elkins, P. How Large a Carbon Tax Is Justified by the Secondary Benefits of CO2 Abatement? Environ. Resour. Econ. 1996, 18, 161–187. [Google Scholar] [CrossRef]
  18. Aunan, K.; Fang, J.; Vennemo, H.; Oye, K.; Seip, M.H. Co-Benefits of Climate Policy-Lessons Learned from a Study in Shanxi, China. Energy Policy 2004, 32, 567–581. [Google Scholar] [CrossRef]
  19. Bussolo, M.; O’Connor, D. Clearing the Air in India: The Economics of Climate Policy with Ancillary Benefits; OECD: Paris, France, 2001; Available online: https://www.oecd.org/content/dam/oecd/en/publications/reports/2001/11/clearing-the-air-in-india_g17a162a/088226224463.pdf (accessed on 28 August 2025).
  20. Nemet, G.F.; Holloway, T.; Meier, P. Implications of Incorporating Air-Quality Co-Benefits into Climate Change Policymaking. Environ. Res. Lett. 2010, 5, 014007. [Google Scholar] [CrossRef]
  21. Pearce, D. Policy Frameworks for the Ancillary Benefits of Climate Policies; CSERGE working paper GEC 2000-11; Centre for Social and Economic Research on the Global Environment: Norwich, UK, 2000. [Google Scholar]
  22. Mayrhofer, J.P.; Gupta, J. The Science and Politics of Co-Benefits in Climate Policy. Environ. Sci. Policy 2016, 57, 22–30. [Google Scholar] [CrossRef]
  23. Anenberg, S.C.; Schwartz, J.; Shindell, D.; Amann, M.; Faluvegi, G.; Klimont, Z.; Janssens-Maenhout, G.; Pozzoli, L.; Van Dingenen, R.; Vignati, E.; et al. Global Air Quality and Health Co-Benefits of Mitigating Near-Term Climate Change through Methane and Black Carbon Emission Controls. Environ. Health Perspect. 2012, 120, 831–839. [Google Scholar] [CrossRef]
  24. Dhar, S.; Pathak, M.; Shukla, P.R. Electric Vehicles and India’s Low Carbon Passenger Transport: A Long-Term Co-Benefits Assessment. J. Clean. Prod. 2017, 146, 139–148. [Google Scholar] [CrossRef]
  25. Dhar, S.; Shukla, P.R. Low Carbon Scenarios for Transport in India: Co-Benefits Analysis. Energy Policy 2015, 81, 186–198. [Google Scholar] [CrossRef]
  26. Dirgahayani, P. Environmental Co-Benefits of Public Transportation Improvement Initiative: The Case of Trans-Jogja Bus System in Yogyakarta, Indonesia. J. Clean. Prod. 2013, 58, 74–81. [Google Scholar] [CrossRef]
  27. Kanada, M.; Fujita, T.; Fujii, M.; Ohnishi, S. The Long-Term Impacts of Air Pollution Control Policy: Historical Links between Municipal Actions and Industrial Energy Efficiency in Kawasaki City, Japan. J. Clean. Prod. 2013, 58, 92–101. [Google Scholar] [CrossRef]
  28. Kapshe, M.; Kuriakose, P.N.; Srivastava, G.; Surjan, A. Analysing the Co-Benefits: Case of Municipal Sewage Management at Surat, India. J. Clean. Prod. 2013, 58, 51–60. [Google Scholar] [CrossRef]
  29. Menikpura, S.N.M.; Sang-Arun, J.; Bengtsson, M. Integrated Solid Waste Management: An Approach for Enhancing Climate Co-Benefits through Resource Recovery. J. Clean. Prod. 2013, 58, 34–42. [Google Scholar] [CrossRef]
  30. Ürge-Vorsatz, D.; Herrero, S.T.; Dubash, N.K.; Lecocq, F. Measuring the Co-Benefits of Climate Change Mitigation. Annu. Rev. Environ. Resour. 2014, 39, 549–582. [Google Scholar] [CrossRef]
  31. Van Vliet, O.; Krey, V.; McCollum, D.; Pachauri, S.; Nagai, Y.; Rao, S.; Riahi, K. Synergies in the Asian Energy System: Climate Change, Energy Security, Energy Access and Air Pollution. Energy Econ. 2012, 34, S470–S480. [Google Scholar] [CrossRef]
  32. Zhang, R.; Hanaoka, T.; Liu, J.; Li, Z.; Sun, L. Air Pollution Reduction Co-Benefits Associated with Low-Carbon Transport Initiatives for Carbon Neutrality in China by 2060. Energy 2024, 313, 134090. [Google Scholar] [CrossRef]
  33. Lowe, R.; Stewart-Ibarra, A.M.; Petrova, D.; García-Díez, M.; Borbor-Cordova, M.J.; Mejía, R.; Regato, M.; Rodó, X. Climate Services for Health: Predicting the Evolution of the 2016 Dengue Season in Machala, Ecuador. Lancet Planet. Health 2017, 1, e142–e151. [Google Scholar] [CrossRef]
  34. Sharifi, A. Co-Benefits and Synergies between Urban Climate Change Mitigation and Adaptation Measures: A Literature Review. Sci. Total Environ. 2020, 750, 141642. [Google Scholar] [CrossRef]
  35. Jensen, H.T.; Keogh-Brown, M.R.; Smith, R.D.; Chalabi, Z.; Dangour, A.D.; Davies, M.; Edwards, P.; Garnett, T.; Givoni, M.; Griffiths, U.; et al. The Importance of Health Co-Benefits in Macroeconomic Assessments of UK Greenhouse Gas Emission Reduction Strategies. Clim. Change 2013, 121, 223–237. [Google Scholar] [CrossRef]
  36. Karlsson, M.; Alfredsson, E.; Westling, N. Climate Policy Co-Benefits: A Review. Clim. Policy 2020, 20, 292–316. [Google Scholar] [CrossRef]
  37. Kingsley, M.; EcoHealth Ontario. Commentary-Climate Change, Health and Green Space Co-Benefits. Health Promot. Chronic Dis. Prev. Can. 2019, 39, 131–135. [Google Scholar] [CrossRef]
  38. Moutet, L.; Bernard, P.; Green, R.; Milner, J.; Haines, A.; Slama, R.; Temime, L.; Jean, K. The Public Health Co-Benefits of Strategies Consistent with Net-Zero Emissions: A Systematic Review. Lancet Planet. Health 2025, 9, e145–e156. [Google Scholar] [CrossRef]
  39. Wolkinger, B.; Haas, W.; Bachner, G.; Weisz, U.; Steininger, K.W.; Hutter, H.-P.; Delcour, J.; Griebler, R.; Mittelbach, B.; Maier, P.; et al. Evaluating Health Co-Benefits of Climate Change Mitigation in Urban Mobility. Int. J. Environ. Res. Public Health 2018, 15, 880. [Google Scholar] [CrossRef]
  40. Meehan, L.A.; Whitfield, G.P. Integrating Health and Transportation in Nashville, Tennessee, USA: From Policy to Projects. J. Transp. Health 2017, 4, 325–333. [Google Scholar] [CrossRef]
  41. Puppim De Oliveira, J.A.; Doll, C.N.H.; Kurniawan, T.A.; Geng, Y.; Kapshe, M.; Huisingh, D. Promoting Win–Win Situations in Climate Change Mitigation, Local Environmental Quality and Development in Asian Cities through Co-Benefits. J. Clean. Prod. 2013, 58, 1–6. [Google Scholar] [CrossRef]
  42. Whitfield, G.P.; Meehan, L.A.; Maizlish, N.; Wendel, A.M. The Integrated Transport and Health Impact Modeling Tool in Nashville, Tennessee, USA: Implementation Steps and Lessons Learned. J. Transp. Health 2017, 5, 172–181. [Google Scholar] [CrossRef] [PubMed]
  43. Cohen, M.; Baker, M.; Bush, M.; Ospina, A.; Powell, A. A Review of U.S. City Climate Action Plans. Clim. Change 2025, 178, 61. [Google Scholar] [CrossRef]
  44. Jokiaho, J.; Vanhuyse, F. The Co-Impacts of Climate Action in Cities; Stockholm Environment Institute: Stockholm, Sweden, 2025; Available online: https://www.sei.org/publications/co-impacts-climate-action-cities/ (accessed on 28 August 2025).
  45. Ulpiani, G.; Vetters, N.; Thiel, C.; Florio, P. Cities towards Zero Emissions: A Reality Check on the Assessment of Co-Benefits and Trade-Offs. Sustain. Cities Soc. 2025, 133, 106835. [Google Scholar] [CrossRef]
  46. Johnson, S.; Haney, J.; Cairone, L.; Huskey, C.; Kheirbek, I. Assessing Air Quality and Public Health Benefits of New York City’s Climate Action Plans. Environ. Sci. Technol. 2020, 54, 9804–9813. [Google Scholar] [CrossRef]
  47. Creutzig, F.; Niamir, L.; Bai, X.; Callaghan, M.; Cullen, J.; Díaz-José, J.; Figueroa, M.; Grubler, A.; Lamb, W.F.; Leip, A.; et al. Demand-Side Solutions to Climate Change Mitigation Consistent with High Levels of Well-Being. Nat. Clim. Change 2022, 12, 36–46. [Google Scholar] [CrossRef]
  48. Ozawa-Meida, L.; Ortiz-Moya, F.; Painter, B.; Hengesbaugh, M.; Nakano, R.; Yoshida, T.; Zusman, E.; Bhattacharyya, S. Integrating the Sustainable Development Goals (SDGs) into Urban Climate Plans in the UK and Japan: A Text Analysis. Climate 2021, 9, 100. [Google Scholar] [CrossRef]
  49. Sharifi, A.; Allam, Z.; Bibri, S.E.; Khavarian-Garmsir, A.R. Smart Cities and Sustainable Development Goals (SDGs): A Systematic Literature Review of Co-Benefits and Trade-Offs. Cities 2024, 146, 104659. [Google Scholar] [CrossRef]
  50. Mendez, M.A. Assessing Local Climate Action Plans for Public Health Co-Benefits in Environmental Justice Communities. Local Environ. 2015, 20, 637–663. [Google Scholar] [CrossRef]
  51. Johnson, L.; Krisko, P.; Malik, M.; O’Donnell, C.; Pendleton, N.; Ahn, D.; Bizberg, A.; Chafe, Z.A.; Kim, D.; McCormick, S.; et al. Environmental, Health, and Equity Co-Benefits in Urban Climate Action Plans: A Descriptive Analysis for 27 C40 Member Cities. Front. Sustain. Cities 2022, 4, 869203. [Google Scholar] [CrossRef]
  52. Caggiano, H.; Kocakuşak, D.; Kumar, P.; Tier, M.O. U.S. Cities’ Integration and Evaluation of Equity Considerations into Climate Action Plans. npj Urban Sustain. 2023, 3, 50. [Google Scholar] [CrossRef]
  53. Diezmartínez, C.V.; Short Gianotti, A.G. US Cities Increasingly Integrate Justice into Climate Planning and Create Policy Tools for Climate Justice. Nat. Commun. 2022, 13, 5763. [Google Scholar] [CrossRef] [PubMed]
  54. Hess, D.J.; McKane, R.G. Making Sustainability Plans More Equitable: An Analysis of 50 U.S. Cities. Local Environ. 2021, 26, 461–476. [Google Scholar] [CrossRef]
  55. Gurney, R.M.; Meng, S.; Rumschlag, S.; Hamlet, A.F. The Influences of Political Affiliation and Weather-Related Impacts on Climate Change Adaptation in U.S. Cities. Weather Clim. Soc. 2022, 14, 919–931. [Google Scholar] [CrossRef]
  56. Patterson, J.J. More than Planning: Diversity and Drivers of Institutional Adaptation under Climate Change in 96 Major Cities. Glob. Environ. Change 2021, 68, 102279. [Google Scholar] [CrossRef]
  57. Arndt, C.; Halikiopoulou, D.; Vrakopoulos, C. The Centre-Periphery Divide and Attitudes towards Climate Change Measures among Western Europeans. Environ. Polit. 2023, 32, 381–406. [Google Scholar] [CrossRef]
  58. Berberian, A.G.; Gonzalez, D.J.X.; Cushing, L.J. Racial Disparities in Climate Change-Related Health Effects in the United States. Curr. Environ. Health Rep. 2022, 9, 451–464. [Google Scholar] [CrossRef] [PubMed]
  59. The United States Conference of Mayors Meet the Mayors. Available online: https://www.usmayors.org/mayors/meet-the-mayors/ (accessed on 4 April 2025).
  60. McGovern, T. Presidential Election Results: Trump Wins. The New York Times. 5 March 2025. Available online: https://www.nytimes.com/interactive/2024/11/05/us/elections/results-president.html (accessed on 4 April 2025).
  61. Federal Reserve Bank of St. Louis. Gross Domestic Product by Metropolitan Statistical Area 2023; Federal Reserve Bank of St. Louis: St. Louis, MO, USA, 2023; Available online: https://fred.stlouisfed.org/tags/series?t=gdp%3Bmsa (accessed on 4 April 2025).
  62. United States Census Bureau. Metropolitan and Micropolitan Statistical Areas Population Totals 2025; United States Census Bureau: Suitland, MD, USA, 2025. Available online: https://www.census.gov/data/tables/time-series/demo/popest/2020s-total-metro-and-micro-statistical-areas.html (accessed on 4 April 2025).
  63. National Oceanic and Atmospheric Administration City Time Series. 2025. Available online: https://www.ncei.noaa.gov/access/monitoring/climate-at-a-glance/city/time-series/USW00013893/tavg/1/0/1950-2025 (accessed on 4 April 2025).
  64. Thomas, K.; Koss, W.J. Regional and National Monthly, Seasonal, and Annual Temperature Weighted by Area, 1875–1983. 1984. Available online: https://repository.library.noaa.gov/view/noaa/10238 (accessed on 4 April 2025).
  65. Rocque, R.J.; Beaudoin, C.; Ndjaboue, R.; Cameron, L.; Poirier-Bergeron, L.; Poulin-Rheault, R.-A.; Fallon, C.; Tricco, A.C.; Witteman, H.O. Health Effects of Climate Change: An Overview of Systematic Reviews. BMJ Open 2021, 11, e046333. [Google Scholar] [CrossRef]
  66. Bery, S.; Haddad, M.A. Walking the Talk: Why Cities Adopt Ambitious Climate Action Plans. Urban Aff. Rev. 2023, 59, 1385–1407. [Google Scholar] [CrossRef]
  67. Inflation Reduction Act 2022. Available online: https://www.irs.gov/inflation-reduction-act-of-2022 (accessed on 4 April 2025).
  68. The White House. Justice40; The White House: Washington, DC, USA, 2023. Available online: https://bidenwhitehouse.archives.gov/environmentaljustice/justice40/ (accessed on 4 April 2025).
  69. City of Milwaukee. Climate and Equity Plan; City of Milwaukee: Milwaukee, WI, USA, 2023. Available online: https://city.milwaukee.gov/ImageLibrary/Groups/cityGreenTeam/images/ECO_Climate_and_Equity_Plan_2023_web.pdf (accessed on 4 April 2025).
  70. Fresno Council of Governments. Fresno Priority Climate Action Plan; Fresno Council of Governments: Fresno, CA, USA, 2024; Available online: https://www.fresnocog.org/wp-content/uploads/2024/07/Fresno-COG-PCAP_030124_-FINAL-reduced-size-file.pdf (accessed on 4 April 2025).
  71. Metropolitan Government of Nashville and Davidson County. Climate Adaptation and Resilience Plan; Metropolitan Government of Nashville and Davidson County: Nashville, TN, USA, 2024. Available online: https://www.nashville.gov/sites/default/files/2024-09/Climate_Adaptation_Resilience_Plan_Final.pdf?ct=1727730408 (accessed on 4 April 2025).
  72. Mid-America Regional Council. Kansas City Regional Priority Climate Action Plan; Mid-America Regional Council: Kansas City, MO, USA, 2021; Available online: https://kcmetroclimateplan.org/wp-content/uploads/2024/02/Priority-Climate-Action-Plan.pdf (accessed on 4 April 2025).
  73. City of Long Beach. Long Beach Climate Action Plan; City of Long Beach: Long Beach, CA, USA, 2022. Available online: https://www.longbeach.gov/globalassets/lbcd/media-library/documents/planning/lb-cap/adopted-lb-cap_-aug-2022 (accessed on 4 April 2025).
  74. City of Oakland. Oakland 2030 Equitable Climate Action Plan; City of Oakland: Oakland, CA, USA, 2020; Available online: https://cao-94612.s3.us-west-2.amazonaws.com/documents/Oakland-ECAP-07-24.pdf (accessed on 28 August 2025).
  75. Shelby County Government. Memphis Area Climate Action Plan; Shelby County Government: Memphis, TN, USA, 2020; Available online: https://www.shelbycountyosr.com/cap (accessed on 4 April 2025).
  76. The City of New York. PlaNYC: Getting Sustainability Done; The City of New York: New York, NY, USA, 2023; Available online: https://climate.cityofnewyork.us/wp-content/uploads/2023/06/PlaNYC-2023-Full-Report.pdf (accessed on 4 April 2025).
  77. City of Austin. Austin Climate Equity Plan; City of Austin: Austin, TX, USA, 2021. Available online: https://www.austintexas.gov/sites/default/files/files/Sustainability/Climate%20Equity%20Plan/Climate%20Equity%20Plan%20Full%20Document__FINAL.pdf (accessed on 4 April 2025).
  78. City of Philadelphia Office of Sustainability. Philadelphia Climate Action Playbook; City of Philadelphia Office of Sustainability: Philadelphia, PA, USA, 2021. [Google Scholar]
Figure 1. Steps for the coding systems for health linkages to sectoral actions, specific interventions, and associated environmental, health, and social benefits under each sector (see also the coding guidance in Appendix B).
Figure 1. Steps for the coding systems for health linkages to sectoral actions, specific interventions, and associated environmental, health, and social benefits under each sector (see also the coding guidance in Appendix B).
Sustainability 17 10492 g001
Figure 2. Map with 50 cities.
Figure 2. Map with 50 cities.
Sustainability 17 10492 g002
Figure 3. Health linkage regression models 1–8.
Figure 3. Health linkage regression models 1–8.
Sustainability 17 10492 g003
Figure 4. Health count regression models 9–16.
Figure 4. Health count regression models 9–16.
Sustainability 17 10492 g004
Table 1. Independent variables.
Table 1. Independent variables.
Independent Variable/(Listing in the Regression Models)Anticipated Influence on Dependent VariableDescription
Plan Type
(Integrated)
PositiveType of climate-focused strategies proposed in each city’s plan: mitigation only, or integrated (combination of adaptation and mitigation strategies).
Plan Age
(Plan Age)
NegativeAge of the plan in years, based on local city adoption date.
Mayoral Party
Affiliation
(Is_Republican)
PositivePolitical party affiliation of each city’s mayor: Democrat, Republican, Independent, or Libertarian. [59]
Percentage Votes for Democratic Party in 2024 Presidential Election
(Per_Point Diff)
NegativeDifference by county in percentage of Republican Party votes minus percentage of Democratic Party votes (e.g., a value of −0.32 represents 65% of total votes in that county went to the Democratic Party, while 33% went to the Republican Party). Applied to cities based on which county contained the greatest proportion of each city. [60]
GDP per Capita
(LnGDP)
PositiveThe natural log of 2023 GDP (Gross Domestic Product) by MSA (Metropolitan Statistical Area), divided by 2020 US Census population by MSA. Applied in the model as the natural log in order to account for differences in scale. [61]
Percent Non-White
(Non-White)
PositivePercentage of non-white residents by MSA according to 2020 US Census. [62]
Population Size
(LNPop)
PositiveThe natural log of the population size of MSA according to 2020 US Census. Applied in the model as the natural log in order to account for differences in scale. [62]
Average Monthly Temperature
(Temp)
PositiveAverage monthly temperature by city 1950–2023. Range of data varied based on availability for each city. [63]
Average Monthly Precipitation
(Precip)
PositiveAverage monthly temperature by city 1950–2023. Range of data varied based on availability for each city. [63]
Climate Region
(Northwestern, Northern Great Plains, Southwest, Southeast, Southern Great Plains, and Midwest)
Positive for more vulnerable regions (Southeast, coastal region)Description of the climate region of each city based on seven broad climate regions according to annually averaged temperatures. Applied in the model as dummy variables. [64]
Table 2. Cities with the highest number of health linkages in relation to plan age (top 10).
Table 2. Cities with the highest number of health linkages in relation to plan age (top 10).
CityHealth LinkagesPlan Age
1 Memphis535
2 New York City482
3 Milwaukee392
4 Fresno381
5 Baltimore361
6 Kansas City344
7 Oakland345
8 Philadelphia344
9 Austin333
10 Long Beach333
Table 3. Cities with the highest health count in relation to plan type (top 10).
Table 3. Cities with the highest health count in relation to plan type (top 10).
CityHealth CountPlan Type
1 San Francisco335Integrated
2 Sacramento286Integrated
3 Long Beach235Integrated
4 Kansas City230Integrated
5 New York City229Integrated
6 Portland201Integrated
7 Austin186Mitigation
8 Nashville184Integrated
9 Dallas151Integrated
10 Jacksonville144Adaptation
Disclaimer/Publisher’s Note: The statements, opinions and data contained in all publications are solely those of the individual author(s) and contributor(s) and not of MDPI and/or the editor(s). MDPI and/or the editor(s) disclaim responsibility for any injury to people or property resulting from any ideas, methods, instructions or products referred to in the content.

Share and Cite

MDPI and ACS Style

Wyrtzen, F.; Meza, A.; Snider, B.; Kasyan, K.; Burrow, C.; Guillory, R.S.; Wilkins, C.C.; Zusman, E.; Hengesbaugh, M.; Zhou, X.; et al. Why Do Some Cities in the United States Integrate Health into Their Climate Plans More than Others?—Hypotheses and Tests. Sustainability 2025, 17, 10492. https://doi.org/10.3390/su172310492

AMA Style

Wyrtzen F, Meza A, Snider B, Kasyan K, Burrow C, Guillory RS, Wilkins CC, Zusman E, Hengesbaugh M, Zhou X, et al. Why Do Some Cities in the United States Integrate Health into Their Climate Plans More than Others?—Hypotheses and Tests. Sustainability. 2025; 17(23):10492. https://doi.org/10.3390/su172310492

Chicago/Turabian Style

Wyrtzen, Fiona, Antonio Meza, Ben Snider, Katrina Kasyan, Catherine Burrow, Randall S Guillory, Christopher Carl Wilkins, Eric Zusman, Matthew Hengesbaugh, Xin Zhou, and et al. 2025. "Why Do Some Cities in the United States Integrate Health into Their Climate Plans More than Others?—Hypotheses and Tests" Sustainability 17, no. 23: 10492. https://doi.org/10.3390/su172310492

APA Style

Wyrtzen, F., Meza, A., Snider, B., Kasyan, K., Burrow, C., Guillory, R. S., Wilkins, C. C., Zusman, E., Hengesbaugh, M., Zhou, X., & Eaton, D. (2025). Why Do Some Cities in the United States Integrate Health into Their Climate Plans More than Others?—Hypotheses and Tests. Sustainability, 17(23), 10492. https://doi.org/10.3390/su172310492

Note that from the first issue of 2016, this journal uses article numbers instead of page numbers. See further details here.

Article Metrics

Article metric data becomes available approximately 24 hours after publication online.
Back to TopTop