Next Article in Journal
Assessment of the Didactic Potential of Geomorphosites: A Study Case in Spain and Italy
Previous Article in Journal
Development of Sustainable Concrete Using By-Products as a Green Material, and Potential Solutions for Sustainability in Mass Concrete Construction—Comprehensive Review
 
 
Font Type:
Arial Georgia Verdana
Font Size:
Aa Aa Aa
Line Spacing:
Column Width:
Background:
Article

Assessing the Interdependencies Between the Production Environmental and Fiscal Activities of European Union Industrial Enterprises Using Structural Equation Modeling

by
Małgorzata Sztorc
1,* and
Medard Makrenek
2
1
Department of Management and Organization, Faculty of Management and Computer Modelling, Kielce University of Technology, al. Tysiąclecia Państwa Polskiego 7, 25-314 Kielce, Poland
2
Department of Mathematics and Physics, Faculty of Management and Computer Modelling, Kielce University of Technology, al. Tysiąclecia Państwa Polskiego 7, 25-314 Kielce, Poland
*
Author to whom correspondence should be addressed.
Sustainability 2025, 17(22), 9982; https://doi.org/10.3390/su17229982
Submission received: 11 October 2025 / Revised: 31 October 2025 / Accepted: 6 November 2025 / Published: 8 November 2025

Abstract

Today, industrial activity is a significant factor in the economic growth of the European Union countries. It is characterized by complex relationships between economic efficiency, environmental impact, and the social environment. This study aims to identify and analyze the interconnections between the economic, ecological, and social dimensions of the operations of industrial enterprises, with particular emphasis on their importance in the implementation of the principles of sustainable development. This article attempts to create a theoretical model of sustainable development composed of three latent variables: Work, Eco, and Poll, for industrial enterprises from 27 European Union countries, based on statistical data from Eurostat databases. Structural equation modeling was used to analyze complex relationships between variables. The model was verified, estimated, and evaluated using two approaches: Covariance-Based Structural Equation Modeling and Partial Least Squares Structural Equation Modeling. The research confirmed that the intensity of production activity of industrial enterprises promotes the implementation of advanced pro-ecological strategies that contribute to the optimization of fiscal obligations. Implementing a sustainable development strategy not only minimizes negative environmental impacts but also enhances the economic efficiency and competitiveness of industrial enterprises. The results indicate a significant need to integrate the economic, ecological, and fiscal dimensions within a coherent sustainable development strategy.

1. Introduction

Today, the concept of sustainable development (SD), which focuses on maintaining a balance between social, economic, and environmental dimensions, is gaining more recognition in the literature and in business practice. From the perspective of business operations, the implementation of SD principles indicates the need for an integrated management approach that integrates the three identified pillars within the so-called Triple Bottom Line (TBL) model. Therefore, entities, especially in the industrial sector, are currently facing difficulties in transforming their existing business models towards more sustainable ones. The industrial sector of the economy plays a significant role, as it poses the greatest threat to the natural environment and ecological and social challenges. The principles of sustainable development are widely recognized and their goals are implemented within the microeconomic strategies of organizations. Maintaining balance and maximizing benefits according to the SD concept in all three dimensions simultaneously remains a challenging organizational and research challenge.
In the literature on the subject, there is a constant exchange of views on the relationships between the analyzed pillars [1,2]. The potential for synergies and conflicts (so-called trade-offs) is typically noted, especially between economic elements and the social and ecological dimensions. Research conducted to date has focused primarily on examining the connections between pairs of pillars, failing to consider the full scope of interdependencies [3,4]. In the coming years, we have seen a dynamic development of research on the relationship between industrialisation competitiveness, renewable energy, industrialisation, and the importance of artificial intelligence (AI) technologies for development. The diverse nature of the relationships between the factors analysed reflects the growing role of AI in the processes of increasing energy efficiency and reducing carbon dioxide emissions. Accelerated industrialisation, which does not incorporate SD principles, contributes to environmental degradation. Therefore, modern technologies, especially AI, must be integrated with industrial policy in the process of developing a competitive, low-emission, and stable economy. Therefore, special attention is being paid to the need to balance economic progress, energy efficiency and environmental protection [5,6,7,8]. In addition, the impact of information and communication technologies (ICT) on economic development and renewable energy production is also analysed, taking into account the AI-shaping function in robotics and innovative economic systems [9,10,11]. Research aimed at developing clean energy production is also of great importance from the perspective of semiconductor supplies and geopolitical threats that shape the stability of the development of industrial enterprises, taking into account the role of AI [12,13,14]. In turn, previous research taking into account the interconnections between the circular economy, energy consumption and AI confirms their significant impact on the implementation of climate policy assumptions and the reduction of carbon dioxide emissions [15]. The analyses of green energy production and the efficiency of industrial enterprises in developing countries are also a significant research trend. They also point to the importance of technological transformation and SD support programmes [16]. Therefore, the fundamental assumption of the conducted research is to find an answer to the following research question:
RQ: What are the interdependencies between production activity, implementation of pro-ecological solutions, fiscal obligations, and human resources policies of European Union industrial enterprises in the implementation of the sustainable development strategy?
The literature on the subject indicates a strong interdependence between production activities, environmental protection, fiscal and tax policies, and HR policies. However, a coherent causal explanation and mechanisms that link these elements into a unified system are lacking. Understanding these mechanisms is crucial for the effective implementation of SD strategies, as it allows the identification of how decisions and actions in one area influence others. In addition, it also enables optimisation of resource and liability management in industrial settings. In particular, causal dependency analysis involves detecting potential interdependencies or areas of conflict between production activities and environmental and fiscal policies. Such activities have a direct impact on the development and competitiveness of enterprises. Therefore, it is crucial to identify causal dependencies and recognise the mechanisms that allow the interaction and integration of these dimensions in the practice of industrial enterprises.
The main objective of the research is to try to identify and analyze the interrelationships between the economic, ecological, and social dimensions in the activities of industrial enterprises, with particular emphasis on their importance for the implementation of the SD principles.
Based on the above-defined research problem and the research objective, an analysis of statistical data was carried out, obtained from the Statistical Office of the European Communities (Eurostat) for the manufacturing sector for the year 2024. Taking into account the multifaceted and complex nature of the SD concept and the lack of well-established comprehensive theoretical models that present the relationships analyzed, an advanced quantitative methodology will be used to achieve the objective. Therefore, structural equation modeling (SEM) was used to conduct the research process. It is based on two approaches: Partial Least Squares-Structural Equation Modeling (PLS-SEM), which applies to complex models and small research samples, and Covariance-Based Structural Equation Modeling (CB-SEM), which evaluates the model’s fit to the variance-covariance matrix. The following sections of this article will present a review of the literature on the concept of SD, its dimensions, and the principles of sustainability in relation to industrial enterprises. Subsequent chapters will then provide a detailed discussion of the research methods and characterize the research sample. The next step will be to present the SEM results. Finally, the final section will present conclusions and their practical and theoretical implications resulting from the identification and analysis of the relationships between SD dimensions.

2. Literature Review

2.1. Dimensions of Sustainable Development

The dynamic process of economic development, coupled with the increasing globalization, internationalization, and industrialization of manufacturing enterprises, has contributed to the devastation of the natural environment. Furthermore, ongoing climate change, resulting from the intensive release of carbon dioxide and other greenhouse gases, adversely affects the functioning of social order and the economic growth of the countries of the European Union (EU). The response to this situation is the implementation of the assumptions and goals of the SDG concept.
Development trends in the research on SD among industrial enterprises and the low-carbon economy have gained importance following the adoption of strategic EU goals. These particularly concerned the European Green Deal (EGD) and the Sustainable Development Goals (SDGs) established within the 2030 Agenda. The period 2021–2025 saw a dynamic expansion of SDG research, which has become a priority among industrial entities. These activities stem from the EDGs, adopted by the European Commission in 2019. Their goal is to achieve climate neutrality within the EU by 2050.
Empirical research conducted so far in the industrial sector indicates that the implementation of sustainable technologies and environmental innovations is considered a factor in creating competitive advantage and shaping the value of an entity. Therefore, legal requirements and the intensive development of green technologies have a synergistic effect on the transformation of companies that supports decarbonisation [17,18,19]. In addition, SD reporting mechanisms, supported by environmental innovations, play an important role in building and strengthening the reputation of an organisation on the market [20].
Analytical methods based on structural equation modelling (SEM, PLS-SEM, CB-SEM) enable a comprehensive analysis of interactions between economic, social, and environmental factors. To date, research conducted in this area indicates that SD in enterprises is the result of integrating educational policies, ecological investments, and fiscal mechanisms that support the development of pro-ecological competitiveness [21,22].
In the industrial sector, the implementation of advanced technologies, including automation, digitisation, and intelligent production systems, is crucial. Consequently, implementing circular economy (CE) solutions along with Industry 4.0 and 5.0 technologies contributes to waste reduction, increased energy efficiency, and increased business innovation [23,24,25].
In turn, research conducted among industrial enterprises in China, involving ecological innovations and legal regulations, indicates the role of media and environmental factors in accelerating the implementation of SD strategies [26,27,28].
Furthermore, research conducted to date indicates that the literature on the subject demonstrates a coherent concept that combines economic and ecological dimensions. This approach supports the development of embedded sustainability management strategies, in which the SD goals, practices and values are integrally incorporated into the core functions, processes and culture of the organisation [29,30,31,32]. New research directions focus on assessing key success factors in SD reporting, risk management, and open innovation models [33,34,35,36,37].
The literature on the subject for the years 2021–2025 indicates a significant internationalisation of research on the pro-ecological transformation of industrial enterprises. Furthermore, it demonstrates the connexion resulting from combining quantitative methods (SEM, bibliometric analysis) with qualitative analyses of SD goals and principles. At the same time, it emphasises the importance of sustainable management, which contributes to strengthening the systemic resilience of enterprises to environmental and economic factors.
According to the traditional definition adopted in the World Commission for Environment and Development (WCED) report, it meets the needs of the present generation without compromising the ability of future generations to meet their own needs [38]. The next level of evolution of the SD program was conditioned by the requirement to effectively counteract the climate crisis [39]. Nowadays, it is considered from the perspective of a paradigm and at the same time a concept that requires improving living standards without endangering the earth’s ecosystems or causing environmental problems related to deforestation, water and air pollution, which can cause climate change and the extinction of species [40]. Consequently, SD refers to an economy characterized by competitiveness and low emissions, rational management of non-renewable resources, the reduction of carbon dioxide emissions, the use of pro-ecological production methods, the implementation of more efficient power systems, and the promotion of environmental protection. Therefore, the essence of this approach is to minimize the consumption of non-renewable resources in favor of renewable resources and to manage them rationally to ensure access to them for future generations.
Previous research indicates that the SD concept does not have universally applicable terminology and appropriate implementation procedures [41]. Such circumstances hurt the possibility of its operationalization, especially in enterprises [42,43]. Therefore, despite more than 300 valid definitions, there is still no precise and uniform definition of this category [44].
However, the fundamental goal of SD is to reduce the disparities between economic growth, social development, and the natural environment. Therefore, it should be recognized that the aforementioned assumptions of this concept are interdependent and necessary to achieve sustainable balance, taking into account the perspective of three components: economic, social, and environmental [45].
The essence of the economic dimension focuses on the ability to generate profits and sustainable economic growth, which are created through the use of environmentally friendly technological solutions. It also encompasses generating added value, ensuring the organization’s financial independence, responsible employment practices, ensuring appropriate working conditions, and creating new employment opportunities [46,47]. Enterprises pursue economic goals by investing in innovation, streamlining production processes, implementing circular economy principles, and reporting financial results in terms of sustainable development. SD’s goal in this area is to ensure that the organization’s economic development is achieved while maintaining social justice and environmental protection [48]. In the literature, the key SD indicators for the economic dimension usually include economic growth, profit, income, and turnover, which are necessary to assess economic efficiency.
The social dimension of SD, on the other hand, involves taking actions that impact the well-being of employees, local communities, and stakeholders. It is achieved by ensuring appropriate working conditions, equal opportunities, respect for social rights, and adherence to ethical standards within enterprises [49,50]. This dimension also includes the creation of new jobs, active participation of society in decision-making processes, and initiatives aimed at improving the quality of life of current and future generations [51].
In turn, the environmental dimension includes actions aimed at protecting natural resources by limiting the negative impact of human activity and businesses on the ecosystem [52]. The projects undertaken within the perspective analyzed focus on the waste management process, energy efficiency, biodiversity protection, and reduction in pollutant emissions [53]. The literature on the subject emphasizes the need to include ecological issues in development programs in accordance with the “polluter pays” principle.
The contemporary concept of SD, which focuses on maintaining a balance between social, economic, and environmental dimensions, is gaining more recognition in the literature and in business practice. One of the most frequently used models that details and operationalises this concept is the TBL model. It is based on the three dimensions that are inextricably linked. As such, it provides a framework for assessing SD in corporate operations [54,55,56].
Industrialisation processes and their accompanying environmental challenges, including harmful emissions and the intensive use of natural resources, create a platform for the operation of the three dimensions of SD. Simultaneously, they create areas of contradiction and the synergistic application of innovative instruments [57,58].
Furthermore, digital technologies and the circular economy enable industrial companies to practically implement SD principles. This process is achieved by increasing resource management efficiency and reducing waste and losses [59,60]. The theoretical framework constructed in this way enables a comprehensive analysis of the interactions between TBL dimensions while taking into account the specific challenges and opportunities of the studied industrial enterprises.
Production processes in industrial enterprises are a key element in the implementation of a sustainable development strategy that combines economic, environmental, and social dimensions. Pro-ecological initiatives implemented in the industrial sector enable the integration of environmental solutions into individual stages of product production. Such initiatives drive positive changes in the enterprise’s value chain [61]. Moreover, optimal use of production capacity, taking into account applicable environmental regulations, supports the development of industry aimed at lasting and sustainable development [62].
Ecological technologies adopted by industrial enterprises operating in the EU enable the reduction in raw material use and greenhouse gas emissions. These initiatives support the implementation of the SD objectives. Using appropriate procedures, production activities become significantly more environmentally friendly. As a result, industrial enterprises strengthen their profitability and competitiveness [63].
The implementation of environmentally friendly technologies is based on a combination of economic and ecological dimensions. This approach supports sustainable economic development and environmental protection [64]. In turn, fiscal policy instruments are of key importance in the process of activating the green transformation of the industrial sector by encouraging investments in pro-ecological technologies [65]. Creating green jobs and developing social awareness are key determinants that guarantee long-term SD of industrial enterprises [66]. An integrated economic and ecological approach is crucial to adapting industry to environmental policy assumptions and global climate challenges. Such actions simultaneously support the competitiveness and economic efficiency of companies and the implementation of the SDGs in the process of industrial transformation in the EU. For industrial enterprises, the economic dimension focusses on improving operational efficiency and profitability. The ecological dimension focusses on minimising the negative impact of such activities on natural resources and ecosystems. The social dimension, on the other hand, focusses on managing relationships with employees, stakeholders and local communities [67,68,69]. Based on this, a hypothesis was formulated:
H1. 
The production activities of industrial enterprises operating in EU countries contribute to the implementation of sustainable development programs.
Consolidating the economic, social, and environmental dimensions is strategically important for the effective implementation of the principles and the achievement of the SDGs. They were established on 25 September 2015 in New York during the next United Nations summit. During the meeting, 193 member states ratified the directive on “Transforming our world: the 2030 Agenda for Global Action” with a planned 15-year implementation deadline by 2030 [70,71]. This document takes into account the 17 SDGs and the resulting 169 tasks implemented in five strategic SD areas, the so-called 5xP (people, planet, prosperity, peace, partnership) [72].
In the process of defining the goals, actions were taken to take into account the social dimension [73], the economic dimension [74] and the safe limits of the functioning of the planet [75].
The 2030 Agenda goals ensure the maintenance of the actions specified in the Millennium Development Goals (MDGs), which were established in 2000 with the perspective of implementation by 2015. At that time, eight guidelines were formulated and accepted, which have not yet been fully implemented [76].
The 17 goals currently in place focus on leveraging untapped social potential, economic growth, and meeting fundamental human needs while simultaneously respecting environmental protection and mitigating climate change. Among these, goals 8, 9, 12, and 13 are key because they directly reflect SD in the industrial sector.
Modern, environmentally friendly solutions implemented by industrial enterprises facilitate the rationalization of operating costs and the profitable optimization of fiscal obligations through the use of environmental incentives. Subsidies and grants support green innovation by reducing tax liabilities related to environmental protection and transport. At the same time, they contribute to the dissemination of pro-ecological solutions [65,77].
Environmentally friendly technologies minimize environmental fees and fiscal expenses, ensuring the economic profitability of undertaken projects [78]. Tax exemptions accelerate the development of pro-ecological technologies. Environmental taxes, on the other hand, stimulate the implementation of environmentally neutral innovations [79,80]. In turn, the financial support received encourages industrial enterprises to adopt environmentally friendly solutions. By implementing environmental management programs, these entities strengthen their financial standing [81,82]. Thus, fiscal regulations constitute a tool that motivates enterprises to make pro-ecological investments.
A significant dimension of such initiatives is improving financial efficiency and streamlining fiscal processes. Nevertheless, implemented solutions significantly contribute to reducing the harmful impact of business on the natural environment. Therefore, the economic dimension is considered key in this comparison, as the most important results concern actions aimed at rational financial and fiscal management. However, modern technologies implemented for the protection of the environment also have a significant ecological dimension because they limit the negative consequences of the actions carried out by companies. Therefore, the hypothesis was formulated that
H2. 
Implementation of modern pro-ecological solutions in industrial enterprises results in optimization of tax liabilities in the field of energy, environment, and transport.
Increasing production capacity is associated with the need to incur investment expenses for modern, environmentally friendly technologies, which result in lower tax costs [83,84]. The implementation of innovative eco-friendly solutions contributes to improving the efficiency of industrial production and reducing fiscal burdens. Integrated environmental management systems contribute to the optimization of financial outlays in conditions of increased production [85,86]. Thus, the intensification of industrial production results in the obligation to make investments consistent with the SD policy. Furthermore, they reduce tax liabilities and strengthen the competitiveness of industrial enterprises [61,87]. Given the above-mentioned results, it should be concluded that industrial enterprises operate in accordance with the economic dimension of SD. However, the ecological dimension, which concerns investments in technologies that minimize harmful environmental impact, is also crucial. Based on the literature review, the following hypothesis was defined:
H3. 
Increasing the scope of production is associated with the intensification of pro-ecological activities, which contribute to the reduction in fiscal liabilities in industrial enterprises.
Hypotheses H1, H2, and H3 focus on analysing the direct relationships between production activity and environmental initiatives and the fiscal obligations of industrial enterprises. Hypothesis H1 indicates a positive impact of the production scale on the intensification of environmental protection activities. Such activities stem from the need to comply with legal regulations and the pursuit of efficiency by the entities studied. H2, in turn, concerns the relationship between the implementation of pro-environmental solutions and the optimisation of fiscal burdens, emphasising the role of innovation in reducing environmental costs. H3, in turn, considers the indirect impact of the production scale on fiscal obligations through the intensification of environmental initiatives. This reflects the complexity and multidimensionality of the interactions between the dimensions analysed.
In the case of industrial enterprises, the implementation of SD principles and the TBL model requires adaptation to the specificity of their sector of operation, which is characterized by high resource utilization, compliance with environmental requirements and the need to implement technological innovations [88,89,90]. Therefore, in the analyzed area, the TBL model should be considered not from the perspective of a general conceptual framework, but as a practical mechanism for harmonizing economic goals combined with SD requirements and adapted to the specificity of production processes of industrial entities [90,91]. Industrial companies utilise the three dimensions of the TBL, typically as a tool to align the economic, social, and environmental dimensions of their business model. This approach is essential to ensure sustainable development and competitiveness in the global market [92,93]. The indicated theoretical framework constitutes the basis for the analysis and interpretation of the interrelationships between production activities, pro-ecological initiatives, and fiscal burdens of the surveyed enterprises.

2.2. The Concept of a Sustainable Organization

Today, industrial enterprises operate in a hyperdynamic environment characterized by volatility, uncertainty, complexity, and ambiguity (VUCA). This environment is shaped by global crises, intensified digital transformation, dynamic technological progress, decarbonization, changes in legal regulations, and increasing stakeholder demands [94]. These conditions imply the need to redefine organizations’ business models and implement SD principles. Consequently, agile management methods constitute a strategic solution that allows enterprises to flexibly adapt to the changing conditions of the VUCA environment, effectively implement the SDGs and create a competitive advantage [95,96]. Thus, the agile approach is an important method for shaping sustainable enterprises.
SD is viewed from the perspective of a coherent concept of enterprise management, the aim of which is to improve competitive advantage and economic efficiency [97]. Such plans are implemented as a result of the sustainable generation of shared value through the cooperation and participation of stakeholders and the integration of the areas of E—environmental, S—social responsibility, and G—corporate governance in the decision-making process [98].
Today, a fundamental premise for effective business competition is developing a development strategy that incorporates multifaceted pro-ecological initiatives. These primarily focus on reducing the consumption of natural resources and energy, limiting gas and dust emissions into the atmosphere, and reducing the amount of waste generated [99].
As a result of implementing these activities, a sustainable enterprise is being formed, which is able to effectively meet both economic and non-economic (including environmental) requirements of stakeholders in the long term [100]. It is characterized by the ability to maintain relative operational stability in a changing environment and adapt to changing environmental conditions. A sustainable organization is focused on generating value in the long term, taking into account economic, social, and environmental dimensions [101]. It rationally uses resources, manages the potential of responsible and committed employees, and utilizes low-emission, environmentally friendly technologies. To achieve a competitive advantage, it implements environmental protection strategies [102]. It performs its functions in accordance with the SD principles, which are reflected in the redefined business model of this type of entity.
From the perspective of an industrial enterprise, SD should be viewed as a method for implementing projects related to recycling, reducing the consumption of non-renewable raw materials, and utilizing energy resources to reduce the negative impact of economic activity on the environment. Implementing the above-mentioned practices is an important element of a company’s strategic approach to SD [103,104]. Therefore, entities that adopt the assumptions of this concept make modifications to all operational processes, strategic goals, and the value creation system [105,106].
Sustainable companies focus on business processes that not only reduce emissions, but also contribute to the reuse of renewable energy sources and secondary raw material resources [107,108]. There are also significant additional benefits resulting from the operation of a sustainable enterprise, which are characterized by a strong correlation with above-average rates of return on equity [109,110].
Industrial companies should also optimize their strategic actions related to employee compensation to more effectively integrate SD with business goals. A high level of SD is considered an instrument for fostering social solidarity [111]. In turn, the minimum wage level prevents the achievement of social goals. Furthermore, it leads to frequent staff turnover and insufficient employee competencies, which limit the development of industrial enterprises’ production capacity and improve environmental efficiency [112].
The literature on the subject indicates a significant positive correlation between the level of remuneration and the optimization of operational processes in enterprises [113]. This type of relationship shapes the principle of streamlining the production cycle, consolidated with environmental strategies [114].
For this reason, the remuneration framework in industrial enterprises is a fundamental element of the process of shaping the structure that supports the implementation of environmental strategies. As a result, it results in a significant production scale, taking into account the SD principles. Thus, the remuneration framework serves as a crucial component integrating the social and environmental dimensions. At the same time, it determines the growth of the production scale by supporting the achievement of the SDG goals or undesirable actions resulting from increased external impacts in terms of emissions, waste and noise [115]. It can be concluded that the remuneration policy constitutes an effective system that integrates social and environmental objectives with the economic dimension of operations. Therefore, the following hypothesis was formulated:
H4. 
The range of remuneration of employees of industrial enterprises contributes to the impact of the scale of production on the implementation of environmental strategies consistent with the concept of sustainable development.
Hypothesis H3 focusses on the direct impact of the production scale on the intensity of pro-environmental activities, while hypothesis H4 analyses the role of the remuneration policy as a factor influencing this impact. Such elements determine the scope of the environmental strategies implemented. This distinction allows for a clearer interpretation of the results and a more comprehensive understanding of the mechanisms that occur in industrial enterprises.
The above-mentioned effects of sustainable enterprises result from the development or change of a business model based on the TBL [116,117,118].
According to the TBL assumptions, sustainable development of an organization takes place only if the social, environmental and economic dimensions are taken into account equally and within the same time horizon [119,120]. Entities should report their implementation in the same way as they present their economic results.
Environmental initiatives undertaken by industrial companies within the TBL concept significantly reduce tax burdens. These initiatives result from the use of fiscal instruments and tax relief to implement the best available techniques (BAT) for pollutant emissions and to implement the principles of a circular economy [121]. Such investments also provide noticeable economic benefits due to reduced operating costs and optimized resource utilization [122]. In the environmental dimension, comprehensive actions that go beyond the applicable legal regulations contribute to a significant minimization of pollutant emissions, rational use of energy, and optimal use of natural resources [123,124].
From a social perspective, the creation of stable working conditions requiring higher qualifications and an increased level of employee participation is observed, which directly implements the social and person dimension of TBL [125,126]. As a result, stable jobs and improved employee competences support the implementation of pro-ecological strategies and contribute to strengthening the social responsibility of industrial enterprises [127,128].
Compared to the implementation of the core market activities of the enterprises, the synergistic effect occurring between the three dimensions analyzed demonstrates a significant advantage of the TBL-based strategy. This assumption justifies the key role of this concept in creating competitive advantage for industrial enterprises [129,130]. Concentrating TBL dimensions results in a synergistic effect, in which the value of the enterprise is higher than the sum of the values of the individual components. Consequently, the organization creates a market advantage based on SD [131]. Therefore, it should be recognized that investing in advanced pro-ecological technologies is an effective tool for achieving the SDGs, which address all three dimensions of the TBL. Based on previous research, the following hypothesis was formulated:
H5. 
Ecological undertakings of industrial enterprises, in line with the triple bottom line concept, significantly reduce tax burdens and support sustainable economic, environmental, and social development, going beyond the effects of basic market activities related to environmental protection.

3. Materials and Methods

The analysis of relationships and identification of interconnections between SD dimensions was conducted based on indicators presenting the economic and environmental activity of industrial enterprises operating in the EU. The research process utilized data collected from the Eurostat database for 2024 on market activity, employment, labor conditions and costs, the impact of the industrial sector on the environment, and the tax burden associated with their operation. The research subject was all economically active industrial enterprises operating in the 27 EU countries, regardless of size, measured by the number of employees. The surveyed companies operated in Belgium, Bulgaria, the Czech Republic, Denmark, Germany, Estonia, Ireland, Greece, Spain, France, Croatia, Italy, Cyprus, Latvia, Lithuania, Luxembourg, Hungary, Malta, the Netherlands, Austria, Poland, Portugal, Romania, Slovenia, Slovakia, Finland, and Sweden. Their total number in 2024 was 2164.748 entities.
Variables on the number of industrial enterprises were collected for micro, small, medium and large enterprises in the industrial sector. Data were taken from the enterprise demographics section, broken down by dimensional characteristics, classes, and activities according to NACE Rev. 2 classification. This classification refers to the statistical classification of economic activities used in the EU. It groups companies by type of primary activity. This classification is necessary for statistical, registration, and economic analysis purposes. Data collected by Eurostat are in accordance with the guidelines and methodology applicable to European statistics, including standardised procedures for collection through surveys, administrative registers, and aggregation of data from individual Member States.
The choice of indicators for analysis was determined by the criterion of consistency and universality for all EU countries in which the industrial enterprises studied are located. Their detailed characteristics are presented in Appendix A. For missing data, imputation methods were used, which involved forecasting their values based on trends and results from previous years. This method allowed maintaining data continuity and consistency throughout the analysed period. Furthermore, the purpose and scope of the study, as well as the time period, were taken into account when selecting variables. Data were collected between 30 June and 10 July 2025. Three research methods were used to explore the variables: Confirmatory Factor Analysis (CFA), PLS-SEM, and CB-SEM. Analysis of the collected data was preceded by the Z-score method, which involves standardizing variables by transforming their values to a mean of 0 and a standard deviation of 1, according to the formula [132]
Z = X x ¯ s
where x ¯ —asymmetric mean, s—standard deviation.
The applied normalization enables the comparison of the influence of measured variables expressed by different measurement scales and the comparison of the strength of their impact [133]. Normalization also improves the numerical stability of the estimation algorithms used in SEM. In the case of latent variables, it facilitates the interpretation of factor loadings and path coefficients.
The research model considers key mechanisms that underlie the interrelationships between production activity, the implementation of environmental programmes, fiscal commitments, and HR policies in industrial enterprises. These mechanisms include regulatory and environmental requirements that encourage companies to invest in pro-environmental technologies, economies of scale that influence production efficiency and cost optimisation, and HR strategies that foster employee engagement in achieving sustainability goals. Considering these factors allows an understanding of causal relationships and the construction of a coherent and logical model that reflects the actual conditions under which enterprises operate in the industrial sector.

3.1. Confirmatory Factor Analysis

In the first stage of the study, CFA was used, which is a subset of structural equation modeling (SEM) and focuses primarily on measurement models. It concerns the relationships between observed variables and latent factors. The purpose of this method is to assess the phenomenon being studied [134]. Therefore, CFA attempts to align the data with the theoretical assumptions developed. Furthermore, it provides an estimate of a latent variable model and a comparison of alternative types of latent variables [135].
In the synthetic dimension, the interdependencies between independent variables are determined on the basis of an arbitrary decision, representing measurement indica-tors relative to the dependent variable defined by the applied formula. In the CFA model, such relationships are identified and quantified, while the value of the dependent variable is a linear model based on estimated factors. The model parameters define the extent to which the latent variable is expressed using a fixed set of indicators, taking into account the stochastic component, according to the following formula:
X i = λ i F + ε i
where F—latent variable acting as a positioning criterion; X i —an observable variable that represents a latent variable F, λ i —factor loading coefficient between the latent variable F and the indicator X i ; ε i —the random component related to the error in estimating the latent variable F using the indicator X i .
The data collected were analyzed according to the following stages of the CFA method: 1. Construction of the measurement model; 2. Preliminary model evaluation; 3. Establishing the model estimation method; 4. Verification of the quality of the model fit; 5. Testing the model parameters. Identifies the causal relationship between latent variables and the components of the residual variance. The CFA model is defined by the formula [136]
x i = a i 0 + a i 1 y 1 + a i 2 y 2 + + a i p y p + ε i ( i = 1 , , p )
where x i —i-th variable; a i 0 , ,   a i p —common factor loadings, y 1 ,   ,   y p —vector of latent variables, p—observation number, ε i —random component.
In the presented pattern, it is assumed that the random variable is characterized by a standard normal distribution with a mean value of 0 and a variance of σ i 2 . However, latent variables are independent and follow the normal distribution y j ~N (0, 1) for each element j.
The process of selecting a method for estimating model parameters depends on the range of measurement of measurable variables and the dispersion of their values, as well as the sample size. The classification of estimation methods includes the maximum likelihood method (ML Maximum Likelihood, where variables are continuous values distributed according to a multivariate normal distribution), the generalized least squares method (GLS Generalized Least Squares), where the distribution is not normal but the kurtosis is small), and the asymptotically distribution-free method (ADF) [137].
The primary tool used to determine the number of factors is the chi-square test ( χ 2 ) , which assesses the fit of the theoretical model. The CFA method guarantees the highest reliability of the conclusions regarding the conceptual model being tested.

3.2. The Process of Shaping PLS-SEM and CB-SEM Models

SEM was used to analyze the cause-and-effect relationships of the adopted research model and to achieve the research objective and verify the research hypotheses. This research aims to identify and refine the concept and perspective for predicting the behavior of industrial enterprises in selecting components for the SD concept based on model predictions. Therefore, the PLS-SEM and CB-SEM methodologies were adopted for this study. The solutions used differ in terms of, among other things, initial criteria, diagnostic features, population size, estimation process, and verification stage. Consequently, they produce similar results. Therefore, these currently indicated approaches are considered complementary rather than competitive [138,139].
The first method used is an alternative to SEM [140]. During the research process, all variants of partial regression models are estimated using iterative procedures of the PLS-SEM algorithm [141,142]. Moreover, the method adopted in the research enables the verification of models that demonstrate mediation of variables [143]. Input data within the models are considered as latent variables. PLS-SEM is an optimization-based approach to interpreting the variance distribution of latent dependent variables.
The PLS-SEM method is used to assess and interpret the relationships between observable and latent variables. Furthermore, it allows one to define cause-and-effect relationships between the analyzed indicators [144]. The model has a mathematical form expressed by the formula [145]:
Y = X ×   B + E
where Y—defines a matrix of results of size n number of observations on m number of variables; X—indicates a matrix of predictors with a dimension of n number of observations by p number of explanatory variables; B—symbolizes a matrix with regression coefficient values of size p by m; E—means error matrix.
PLS-SEM analysis is most often performed in two basic stages. The first involves verifying the external (reflective) model based on assessing the quality of measurement indicators related to the latent construct [146]. The next level of model analysis involves testing the fit of the internal (structural) model using parameter estimation. This involves determining path coefficients and identifying mediation effects. The explanatory power measures R2 and adjusted R2 are used to evaluate the model [147]. The structural model is used to diagnose the relationships between latent variables using a system of simultaneous equations.
The process of assessing the fit of a structural model to a data set uses a measure of collinearity between the latent explanatory variables (Collinearity Assessment), which is estimated using the Variance Inflation Factor (VIF). Another measure is predictive power (Predictive Power), measured using the coefficients of determination (R2 and adjusted R2). In turn, the Q2 value of the Stone-Geisser test is used to measure prediction accuracy (Predictive Relevance). In turn, the significance of path coefficients (Significance of Path Coefficients) is examined using the bootstrap method and the significance tests based on it (most often the t-statistic and the p-value), as well as mediation effects.
The fit of the models to the empirical data results from the identification of, among others, SMRS (Standardized Root Mean Squared Residual), RMS-theta (Root Mean Square), and NFI (Normed Fit Index) measures.
Therefore, the verification of the measurement (external) model is based on the analysis of the significance and reliability of the indicators. The next step is to assess the quality of fit of the structural (internal) model, in which path coefficients and R2 values are calculated, which serve as basic indicators of the model’s predictive power. Thus, the PSL-SEM algorithm simultaneously estimates the parameters of the internal model (path coefficients) and the external model (weights and factor loadings) and assigns values to all unobservable variables in the model [148].
CB-SEM aims to precisely reproduce the theoretical covariance matrix in the model [146]. The described method is a second-generation statistical tool that creates analytical potential that cannot be generated using traditional statistical methods [149]. The fundamental task of CB-SEM is to assess the degree of fit between the observed covariance matrix and the theoretical covariance matrix. This approach aims to verify the extent to which the proposed conceptual model confirms the reliability of the analyzed structure. Thus, the analyzed method is focused on researching and verifying existing concepts and assessing alternative theoretical models, bypassing exploratory generation [150,151]. CB-SEM combines the dimensions of confirmatory factor analysis (CFA) and multiple regression analysis, allowing the simultaneous diagnosis of observable and latent variables [152].
Identifying the model is a crucial step during which the data set is verified, allowing the calculation of all estimated parameters. The criteria for correct model identification include: overidentified, just-identified, and under identified. Only the first type, overidentified, provides indicators of the model’s fit quality, allowing for a comprehensive assessment of its fit. However, before estimating the model, one-dimensionality must be established. This indicates that the set of observed variables is only explained by a single underlying construct [138].
The basic method for parameter estimation is the ML method. Its key task is to stepwise search for a set of parameter values that minimizes the differences between the observed covariance matrix and the covariance matrix determined by the model. Although ML requires the multivariate normal distribution of data, failure to adhere to this assumption can result in incorrect parameter estimation and incorrect chi-square statistical results. In cases of non-standard distributions or small sample sizes, it is recommended to use alternative estimation methods. They include weighted least squares (WLS), asymptotically distribution-free (ADF), and generalized least squares (GLS).
The validation of the CB-SEM model involves the use of a set of assessment measures. These measures enable verification of the fit of the theoretical model to the empirical data. In addition, they contribute to the diagnosis of the reliability and validity of the constructs studied and the relationships between them. These assessment measures can be classified into three basic categories: (1) measures of overall model fit, (2) measures of measurement model evaluation, and (3) measures of structural model evaluation.
For this research, structural equation modeling was used, following the PLS-SEM and CB-SEM procedures. The PLS-SEM approach does not make strong assumptions regarding the variable distribution, sample size, or measurement category. Therefore, it represents a flexible exploratory procedure compared to the confirmatory approach, which uses the CB-SEM covariance matrix. The final results obtained by these methods are nearly identical because they complement each other. However, the discrepancy is due solely to the purpose of using a specific method.
To conduct the research, it was possible to use the indicated methods simultaneously, especially if one intends to compare the results or combine the benefits of these approaches. Therefore, PLS-SEM is applicable in predictive analysis. CB-SEM, on the other hand, serves as a tool to assess model consistency with observations and to verify theoretical concepts.
To ensure a comprehensive and reliable interpretation of the relationships that occur in the studied model, the complementary approaches outlined above were used. CB-SEM enabled the assessment of the model’s fit to the collected data and the verification of theoretical assumptions while meeting the requirements of normality and a larger sample size. PLS-SEM, on the other hand, is a significantly flexible model in terms of sample size and data distribution. Furthermore, it focuses on the model’s predictive ability, which is particularly important when analysing complex relationships and data mining. This combination enables a comprehensive evaluation of the model because it combines robust theoretical validation with predictive capability, providing an advantage over using a single method alone. Current research indicates that the use of both methods is recommended in the scientific literature, especially in fields involving complex theoretical models and a large number of latent variables [150,153].
For this research, the statistical packages RStudio version 4.5.1 and Matlab&Simulink version R2025b were used.

3.3. CB-SEM Model Specification and Hypothesis Evaluation

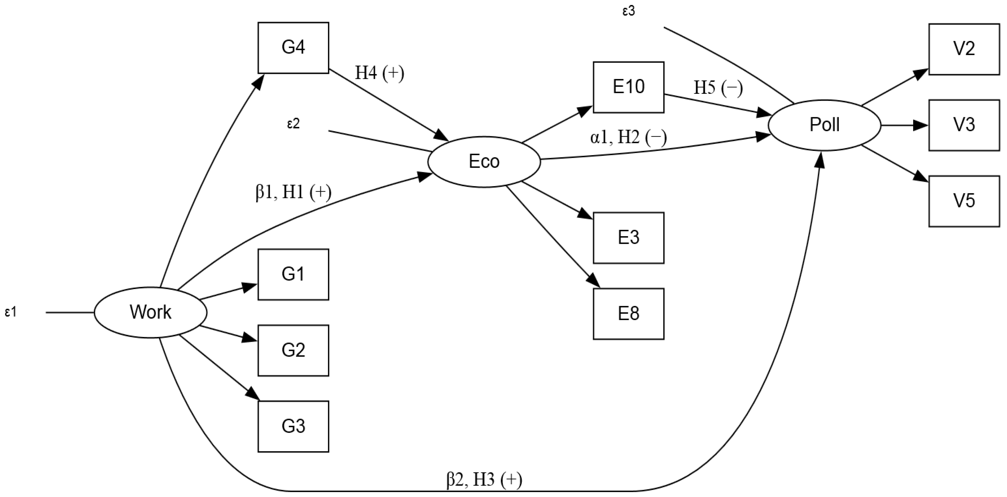
In the structural analysis of CB-SEM, a model was developed consisting of three latent construct variables. They represent the relationships between economic activity, pro-environmental activities, and the scope of environmental and fiscal obligations related to the industrial activities of enterprises operating in the 27 EU member states. The model was formulated according to selected observable indicators, which were adopted using the reflective methodology.
Among the latent variables and their measurement indicators, Work (production activity) was distinguished, reflecting the scope, level of economic activity, and human resources of the industrial enterprises studied. This parameter was determined based on four indicators: G1, G2, G3, and G4. These indicators simultaneously represent the scale of production and human capital, allowing for a synthetic assessment of the operational potential and economic situation of industrial enterprises. The explanation of this variable focuses on diagnosing the impact of production volume and employment on the implementation of SD strategies, without taking into account the prospects for technological advancement of the entities.
The next latent variable analyzed concerns the pro-ecological activities undertaken by the surveyed organizations (Eco). It is composed of three indicators: E3, E8, and E10. This structure represents the implementation of environmental strategies and pro-innovation initiatives in enterprises [62,65].
The third latent construct, Poll (pollution and environmental burdens), concerns tax and environmental liabilities resulting from the industrial activities of the surveyed enterprises. In the CB-SEM model, this variable is measured using indicators V2, V3, and V5. They highlight the diverse dimensions of environmental and fiscal impacts that en-courage entities to undertake innovative actions [154,155].
In the structural model, based on the variables analyzed, relationships were established that are consistent with the research hypotheses (see Section 2) justified by the literature review (see Section 2). The relationships assumed in the model are as follows (see Figure 1):
  • H1: Implementation of SD programs ← production activities of industrial enterprises.
  • H2: Optimization of tax liabilities ← implementation of pro-ecological solutions.
  • H3: Pro-ecological activities ← increasing production capacity; Optimization of tax liabilities ← increasing production capacity.
  • H4: Production scale × remuneration range → implementation of environmental strategies.
  • H5: Optimization of tax liabilities ← advanced environmental projects.
Where ← influencing factor, → the pointer to which the arrow points is the cause or determinant of the variable from which the arrow emanates.
The structural model assumes directional (causal) influences of latent variables, in which the production activity and production potential of the studied enterprises determine the implementation of pro-environmental measures and innovations. These variables, in turn, influence economic efficiency through the minimization of tax liabilities. Another variable concerns the regulations governing employee remuneration. This can regulate the strength of these influences, particularly in the implementation of pro-environmental strategies. In turn, advanced environmental projects increase the effect of reducing fiscal liabilities and contribute to the achievement of ecological, environmental, and social goals according to the TBL principle.
Based on the reactions that occur, a structural model was built, which was defined by regression equations:
Poll = β1 × Eco + β2 × Work + ε2
where α1, β1, β2 model parameters, ε1, ε2 random ingredients.
For this research, a visualization of the structural model CB-SEM for 2024 was pre-pared to compare and determine the dynamics of the changes occurring between the variables analyzed and the direction of their impact. The graphical presentation of the model highlights discrepancies in the values of path indicators and factor loadings of individual parameters.

3.4. PLS-SEM Model Specification and Hypothesis Evaluation

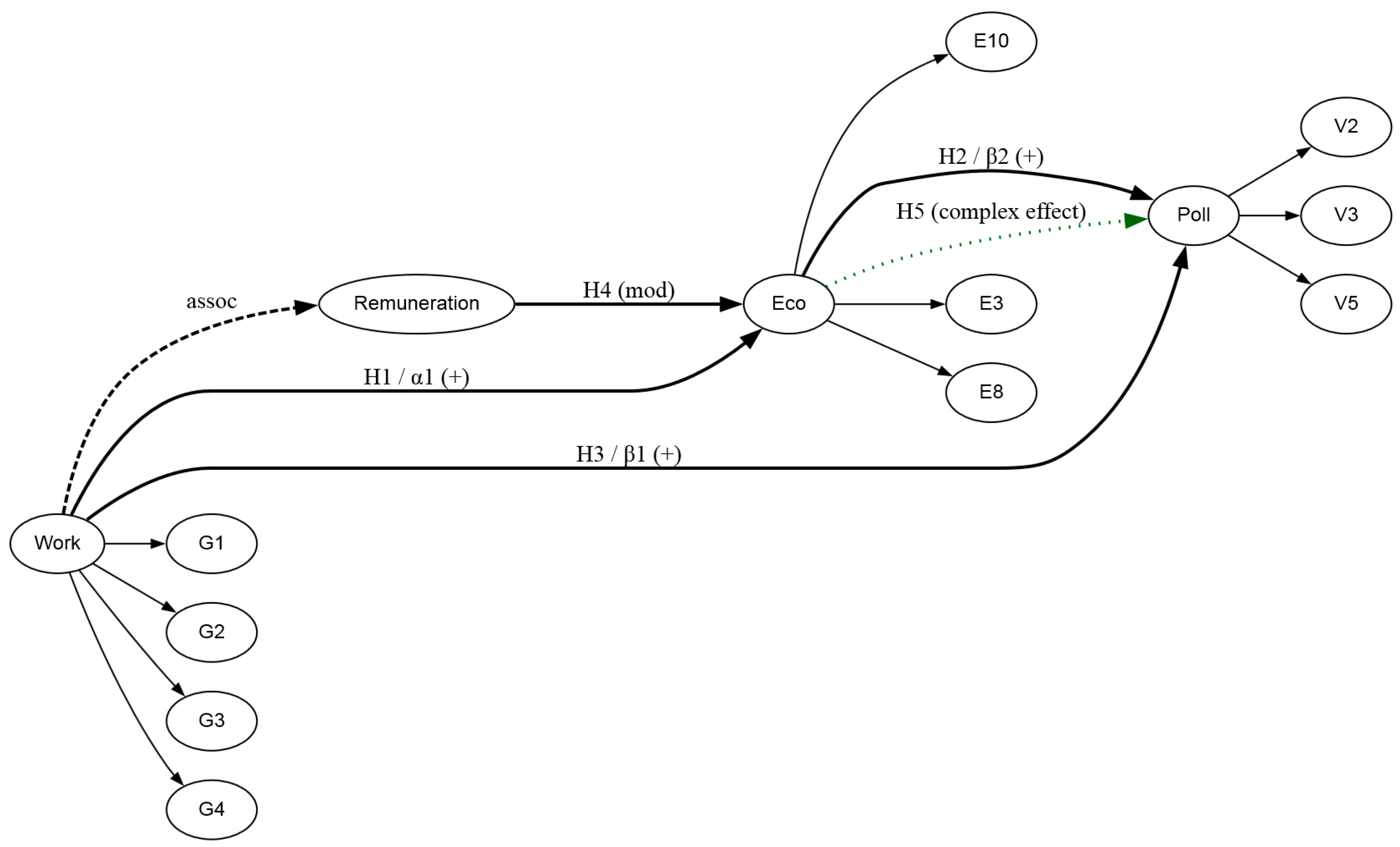
For this research, a PLS-SEM model was also used. This model also consists of three latent variables that represent the interactions between the productive, environmental, and fiscal activities of industrial enterprises operating in the 27 EU countries. The model uses a reflexive approach to determine latent variables using measurable indicators.
The designed PLS-SEM framework takes into account three identified scopes of industrial enterprise activity (see Figure 2). The production dimension, called Work, represents the scope and intensity of the production activities. These are defined by revenues, the number of employees and hours worked by employees, and their remuneration. The ecological dimension (Eco), in turn, considers the participation of the surveyed entities in SD and environmental protection activities. It is reflected in comprehensive projects related to environmental protection and ecological market activities. The third dimension (fiscal—Poll) reflects tax liabilities related to operational and environmental activities, including energy, environmental, and transportation taxes. The model adopts a remuneration policy that supports the impact of the production dimension on the ecological dimension, thus highlighting the social prospects for implementing the SD strategy.
PLS-SEM presents directed relationships between the dimensions analyzed, enabling empirical verification of hypotheses characterizing causal relationships between latent variables. Thus, the model simultaneously represents the influence of dimensions and the role of factors that enhance the relationships analyzed. Consequently, research hypotheses are presented that characterize its structure and indicate the assumed directions of relationships:
  • H1: Increased industrial production (Work) → intensification of environmental activities (Eco).
  • H2: Implementation of pro-ecological solutions (Eco) → reduction in environmental and fiscal burdens (Poll).
  • H3: Increasing production capacity (Work) → strengthening environmental activities (Eco), and reducing environmental and fiscal burdens (Poll).
  • H4: Impact of industrial production scale (Work) and remuneration policy → effectiveness of environmental strategy implementation (Eco).
  • H5: Advanced environmental activities (Eco) → significant reduction in environmental and fiscal burdens (Poll) and SD support.
Based on theoretical assumptions and the literature review, the PLS-SEM model assumed relationships between latent variables, which were formulated in a system of structural equations:
  P o l l = β 1   ×   E c o +   β 2   ×   W o r k +   ε 2
where Work, Eco, Poll—latent variables, G4—variable moderating the influence, α 1 , α 2 ,   β 1 , β 2 —impact coefficients (positive and statistically significant), ε 1 , ε 2 —random ingredients.
The PLS-SEM model collects data on production activity, environmental actions undertaken, and fiscal burdens of industrial enterprises operating in the EU. It creates conditions for analyzing and assessing the impact of production activity on pro-environmental behavior and tax liabilities, taking into account the importance of wage levels as a parameter intensifying environmental actions. It comprehensively presents the multifaceted dynamics of SD. This approach enables a detailed assessment of the significant interdependencies of dimensions in the implementation of the SD strategy in industrial enterprises. The model was prepared based on data for the year 2024.

4. Results

4.1. CFA Model of Industrial Enterprises

The commitment of industrial enterprises operating in the EU to implementing SD strategies is largely determined by capital resources. These resources influence not only production efficiency but also the ability to implement modern pro-ecological solutions and rationalize tax liabilities. The CFA model is a key analytical tool in this regard. It allowed for the identification of key factors relating to production revenues, employment, and the tax burden on the environment, transport, and energy. Individual components represent the individual dimensions of the functioning of the studied industrial enterprises and are closely linked to the tested research hypotheses. These concern the impact of industrial production on the implementation of SD programs, the effectiveness of pro-ecological activities, and their fiscal implications.
In the study, CFA enabled the identification of relationships between production, ecological, and economic dimensions in industrial enterprises operating in the EU. This approach not only provided a theoretical justification for the relationships but also pro-vided a practical explanation of the mechanisms that determine the implementation of SD goals in the industrial sector.
The results of CFA performed using the generalized least squares (GLS) method confirm the excellent fit of the model to the data χ 2 (32) = 23.052, p = 0.877. Moreover, the remaining indicators of this type are at the level CFI = 0.998, TLI = 0.881, RMSEA = 0.000 (90% CI 0.000–0.075), SRMR = 0.192 (see Table 1 and Table 2).
The main indicators of the statistical analysis and the adopted concept justify that the specific configuration of three factors (Work, Eco, Poll) is appropriately adapted to present the complex relationships occurring in the studied entities. Consequently, the CFA model provides a reliable tool for analyzing the impact of operational and ecological factors on the fiscal burden of industrial enterprises (see Figure 3).
The significance and convergent validity of the measurement model are justified by factor loading values, which are in the range of 0.448 (G1) to 1.471 (G4). In turn, the z-value for them is in the range of 2.016 to 9.402 (p < 0.05) (see Table 3).
In addition, the quality assessment parameter for the AVE measurement for the extracted factors and the analysis of the latent factor covariance matrix confirm the discriminant reliability of the model (see Table 4). Therefore, it should be concluded that the components are clearly differentiated and represent characteristic aspects of the functioning of industrial enterprises.
It should be concluded that the structure of the CFA model is consistent with the SD assumptions, which emphasize the importance of an integrated approach to the economic, environmental, and fiscal dimensions of enterprises. Data analysis confirms that the strategies of the surveyed entities are consistent with the SD objectives adopted by the EU, which concern environmental protection and economic efficiency. Furthermore, the companies’ activity in this area results in minimizing tax burdens and is a fundamental factor in shaping their competitiveness.
Therefore, based on the research results obtained, H1 should be confirmed because the factor loadings of the variables range from 1.000 to 1.471, and the z-values for these loadings range from 2.969 to 3.343 and indicate a significant impact on the latent factor of production (p < 0.001). Based on the CFA results, H2 can also be confirmed because the correlation coefficients between the variable and the factor range from 0.798 to 1.035, and the z-value from 6.574 to 9.402, confirming a strong and significant influence on the ecological construct (p < 0.001). The research also allowed the verification of H3 in the field of energy and environmental taxes; variables have factor loadings whose values are in the range of 0.448–1.179, with statistics of z-values up to 5.310, and as a result, confirm the existence of links with economic and ecological dimensions (p < 0.05). Furthermore, the study showed that the impact of remuneration (G4 with factor loadings of 1.471, z-value 3.343) and related indicators of production and environmental activity of industrial enterprises are significant. Therefore, the results of CFA support hypothesis H4 regarding their impact on the implementation of environmental strategies consistent with the SD concept. Advanced ecological activities, on the other hand, are characterized by high values of factor loadings E8—1.035 and E10—0.798 and significant z-values of 9.402, 6.574, respectively (p < 0.001). The measures mentioned above also reflect statistically significant negative correlations with tax burdens, which indicate their connection with the reduction in fiscal burdens on industrial enterprises. Consequently, the CFA results confirm the significant impact of advanced pro-environmental projects on the optimization of tax liabilities, which is consistent with H5.

4.2. CB-SEM Model of Dimensions of Sustainable Development of Industrial Enterprises

The results of the CB-SEM model for industrial enterprises in EU countries present detailed relationships between latent variables. They also provide a basis for verifying the quality of the measurement and structural model. The latent variables in the model were identified and described using three key indicators that combine economic, ecological, and fiscal dimensions. The first of them (Work) concerns the economic activity of enterprises. It was defined using measurable indicators G1, G2, G3, and G4. The values of the explained variance indices for G1 and G2 are 0.143 and 0.283, respectively, indicating a lower correlation with the construct (see Table 5). For the G4 variables, the result obtained was 0.779, which is a high result and shows the significant precision of the measurement of this indicator.
The convergence validity of the Work variable was verified based on the AVE value exceeding the 0.5 level (see Table 6). This indicates that the latent variable explains a significant part of the variability in the observed indicators.
The variables related to pro-ecological activities (Eco) generate indicators with a high coefficient of determination (R2), which is 0.894 for E3, 0.858 for E8, and 0.913 for E10. The results indicate the strong representativeness of these indicators in relation to the latent construct and confirm the reliability of the measurement. In turn, the AVE value for the Eco variable, at 0.890, significantly exceeds the minimum threshold of 0.5, confirming the convergent validity of the construct. As a result, the variable analyzed is characterized by reliable measurement and operationalization, providing a credible reflection of the participation of manufacturing companies in ecological activities. Therefore, it significantly influences further research on the structural and pragmatic application of SD strategies in ecological, economic, and social dimensions.
The parameters related to environmental and tax burdens (Poll) refer to indicators with a coefficient of determination value of V2—0.771, V3—0.224, and V5—0.791. Factor loadings indicate a moderate degree of correlation, especially in the case of environmental taxes (V3). They reveal the diverse fiscal conditions and specific characteristics of the surveyed enterprises. The AVE value for the latent variable Poll, on the other hand, is 0.596, which confirms that this construct is characterized by acceptable convergent validity. This shows that the analyzed construct is characterized by moderate coherence and reliably reflects the fiscal and environmental burdens of industrial enterprises. Although individual indicators differ in terms of the strength of their relationship with the latent construct.
The CB-SEM model fit was assessed using commonly used indices that confirm its reliability and good fit to the data. The obtained CFI value of 0.954 suggests a very good model fit to the actual observations. Similarly, the TLI of 0.926 and the IFI of 0.959 confirm the stability and consistency of the model structure. The RMSEA value of 0.062 indicates a borderline, but acceptable, model fit, considering its complexity. The NFI and RFI fit indices of 0.830 and 0.727 suggest incomplete model optimization. However, they do not negatively impact its overall reliability. The PNFI of 0.516 signals a compromise between the model’s complex structure and simplicity. This situation is typical for models with many latent and observable variables (see Table 7).
The research carried out confirms the stability and reliability of the proposed CB-SEM model. This enables a reliable analysis of the complex relationships between the economic activity of industrial enterprises in the EU, pro-environmental activities, and fiscal burdens.
All relationships and indicators analyzed were presented in a structural model (see Figure 4).
Analysis of the results of the CB-SEM model confirms all five research hypotheses because they reflect theoretical assumptions about the relationships between latent variables. Hypothesis H1 was positively verified because the Work construct provides significant and positive support for the development of ecological initiatives (Eco). Therefore, the larger scale and intensity of the production activities of industrial enterprises favor the implementation of SD strategies. Hypothesis H2 was reflected in the negative impact of ecological initiatives (Eco) on the level of environmental pollution and fiscal burdens (Poll). As a result, the intensive implementation of ecological innovations contributes to the effective optimization of tax liabilities and the minimization of the environmental impact of manufacturing companies. Hypothesis H3, which considers the direct impact of the companies studied (Work) on the tax and environmental burdens (Poll) and the indirect impact on pro-ecological initiatives (Eco), was also confirmed. Indicates the complex nature of activities and the need for a comprehensive and multifaceted approach to examining the impact of production activities on the SDGs. Similarly, hypothesis H4, related to the role of remuneration as a factor influencing the implementation of pro-ecological activities, taking into account the scale of production, was also positively verified. In addition, it indicates the importance of this moderating factor. This circumstance justifies the need to create employee motivation systems that support the adoption of pro-ecological solutions. The final, fifth hypothesis, H5, indicating advanced environmental initiatives that enable a significant reduction in tax burdens, exceeding the results of traditional environmental protection activities, was also confirmed. Highlights the significant impact of these activities on the reduction in fiscal and environmental barriers for industrial enterprises.
The results obtained are consistent with the values of the path coefficients and the level of statistical significance determined in the CB-SEM analysis and constitute strong evidence confirming the correctness of the research assumptions.

4.3. Modeling the Dimensions of Sustainable Development of Industrial Enterprises Using the PLS-SEM Method

The purpose of the study was to verify the relationships between ecological activity (Eco), economic activity (Work), and environmental and tax burdens (Poll) of industrial enterprises in the EU.
The research carried out defines the latent variable Eco using indicators related to market activity (E3 with a factor loading of 1.066), total environmental protection activities (E8 with a factor loading of 0.882), and total environmental protection activities (E10 with a factor loading of 1.1014). High factor loadings indicate the convergence validity of the analyzed variable. Furthermore, these indicators clearly reveal the latent consequences of the industrial activity of the surveyed enterprises operating in the 27 EU countries. The latent variable Work, in turn, characterizes the production activity of enterprises, taking into account indicators related to turnover (G1, with a factor loading of 0.488), employment (G2—0.022, a low loading value indicates a weak correlation), and wages (G4—0.750). The last latent variable examined, Poll, representing the scope of tax burden on industrial enterprises, was defined by energy taxes (V2, with a factor loading of 0.896), environmental taxes on pollution (V3, 0.454), and taxes related to transport (V5, 0.887) (see Table 8).
Some indicators, notably G2, exhibit very low factor loadings (≈0.022). Despite this, the indicator was retained because its removal substantially altered other loadings and the overall structure of the model, including the AVE and discriminant validity, thus reducing the conceptual and statistical coherence of the model. Values slightly exceeding 1.0 (e.g., E3 = 1.066) can occur when the variance of the indicator is low relative to the latent construct or when unstandardised loads are reported. These characteristics reflect the aggregated, cross-national nature of the dataset rather than the misspecification of the model. Retaining all theoretically justified indicators ensures that the model remains conceptually coherent while adequately representing the multidimensional nature of industrial sustainability across EU countries.
All theoretically justified indicators, including those with low factor loadings, were retained to preserve conceptual coherence of the model and accurately capture the relationships among the latent constructs G (Work), E (Eco), and V (Poll).
The measurement reliability of the latent variables studied is confirmed by the high Cronbach’s alpha test value for Eco—0.948, Work—0.744, and Poll—0.779 (see Table 9). Therefore, the results confirm the measurement accuracy and reliability of the indicators that shape the construction and provide the basis for a further detailed analysis of the structural model PLS-SEM.
In the prepared PLS-SEM model, analysis of path coefficients confirmed a significant and clear impact of production activity on tax burdens (β = 0.697, p < 0.001) and thus positively verified hypothesis H1. However, the relationship between pro-ecological activities undertaken by industrial enterprises and the level of fiscal burdens was weaker, but statistically significant (β = 0.077). Based on this, hypothesis H2 can also be confirmed. Furthermore, the research results indicate that the latent variable Eco is effectively assessed using indicators related to market activity (E3) and environmental activities (E8). The high values of their factor loadings demonstrate the logical coherence of these constructs in the model. Therefore, they indirectly confirm the relationship between economic activity and pro-ecological activities undertaken by industrial enterprises. Therefore, hypothesis H3 is confirmed in this respect from the perspective of a credible theoretical assumption, and the model allows for further research on this relationship.
The structural model PLS-SEM confirms that both pro-environmental activity (β = 0.697, p < 0.001) and industrial activity (Work β = 0.077, p < 0.05) influence the environmental and tax burdens of enterprises (see Table 10). This assumption justifies the influence of both variables on the fiscal burdens. Consequently, it clearly confirms hypothesis H4.
In turn, the high value of Cronbach’s α for the Eco construct (0.948), relatively high for Work (0.744) and Poll (0.779) (see Table 9), and the moderate level of explanatory power of the test ( R 2 ) confirm the validity and reliability of the measurement tools used. Additionally, the SRMR index, which is at the level of 0.158, indicates a relatively good model fit (see Table 11). Based on this, it can be concluded that the proposed set of indicators is appropriate to verify the relationships between the ecological, economic, and social dimensions of manufacturing enterprises operating in the EU. Therefore, hypothesis H5 can be confirmed.
Although SRMR values below 0.08–0.10 are considered a good fit, the result obtained indicates a sufficient fit to the model. This result is typical of research conducted in the social sciences and indicates the possibility of optimizing the model without questioning its validity.
All relationships and indicators analyzed are presented in a structural model that reflects key paths and estimated β (see Figure 5).
All main research assumptions were empirically verified for their reliability and validity. Therefore, it is important to emphasize the consistency of the PLS-SEM model with the observed variables.

5. Discussion

The research results are crucial for the development of management practices and understanding the functioning of industrial enterprises. In addition, they are particularly useful because SD currently plays a significant role in decision-making at both the strategic and operational levels. This article analyzes the activities of industrial entities operating in the EU within three interconnected spheres: economic, environmental, and fiscal. In the organizations studied, the integration of these dimensions results from the conscious combination of goals related to production efficiency, environmental protection, and optimal tax management. Therefore, pro-environmental activities are not considered from the perspective of a financial burden or legal obligation, but rather as a strategic element supporting cost reduction and fostering a company’s competitive advantage.
The results of the conducted research are consistent with the main research on the implementation of the SD principles in industrial enterprises. At the same time, they provide a significant contribution to the discussion by presenting new concepts and solutions. The research conducted so far indicates that the process of integrating economic, environmental, and fiscal dimensions is the foundation for the effective implementation of the assumptions of the SD strategy [156]. Our empirical analyses confirm the validity of this thesis. They also provide innovative conclusions that the favorable financial condition of an industrial enterprise and the proper utilization of human capital are key factors in the development and implementation of pro-ecological innovations.
The literature pays particular attention to the importance of green innovations in the process of improving the competitiveness of organizations [157], as well as the positive impact of pro-ecological activities on financial and fiscal results [158]. Our research findings confirm this relationship, but also expand upon it with additional conclusions. They demonstrate that industrial companies in the EU are taking pro-ecological actions not only in response to external regulations. In addition, they are the result of a conscious approach that integrates synergies between production activities, environmental protection policies, and fiscal obligations.
Another innovative element of our study is the use of CFA modeling, PLS-SEM, and CB-SEM methods, which allowed for a more precise identification of the significant determinants of the implementation of the SD strategy in the industrial enterprises studied. Additionally, the advanced statistical methods used also contributed to the assessment of the impact of these factors on three key areas of the entities’ activities: production, ecological, and fiscal. Compared to previous studies, which typically focused on a single selected dimension (for example, exclusively environmental or economic) [159,160] the conducted analysis takes into account a multifaceted perspective on the functioning of mechanisms and their interconnections.
The clear role of human capital in the results of our analyses confirms previous research [126,161]. Furthermore, research indicates that employee motivation and remuneration levels are strongly correlated with the effectiveness of implementing pro-ecological initiatives and innovations. This constitutes an important element of the discussion, as it highlights the crucial role of investing in human capital and ensuring favourable working conditions, a key component of the SD strategy.
In turn, the results on the economic security of enterprises that support the implementation of pro-ecological activities are consistent with previous findings [162,163,164]. However, our research goes beyond this basic framework and indicates that financial sustainability is becoming a foundation for long-term investments in environmental technologies. This understanding is crucial for policy makers and strategic managers.
The analyses conducted using PLS-SEM, despite the typical limitations of the model fitting of this method, confirmed the statistical significance of the proposed relationships in line with existing studies on SEM [165]. The results obtained provide a basis for further analysis. Their goal should be to expand the model to include a social dimension and a multi-year analysis of the results of SD strategy implementation, drawing on the TBL model [166,167], and the vision of sustainable development [168].
In turn, the CB-SEM model confirms that the increase in production activity among industrial enterprises operating in the EU favors the implementation of SD strategies. These results are consistent with previous studies that emphasize the beneficial impact of production volume on the development of modern pro-ecological solutions [169]. Implementing innovative ecological solutions significantly reduces the environmental and fiscal burdens on industrial enterprises. Ecological tax and environmental fee systems play a key role in stimulating green investments and limiting the negative impact of industrial activity on the environment [170]. In turn, remuneration plays a key role in motivating the implementation of environmental protection strategies. The literature emphasizes the importance of motivational systems as a factor in increasing the effectiveness of implementing pro-environmental activities [171]. Advanced ecological solutions offer advantages over standard conservation measures. They contribute to a more effective implementation of the SDGs in economic, environmental and social dimensions [172]. The results of the study indicate the need for an integrated management of production and environmental activities in industrial enterprises. This approach should consider aspects of economic development, environmental protection, and fiscal cost optimization. Furthermore, implementing this mechanism in accordance with the CB-SEM model effectively reduces the negative impact of operations on the natural environment. At the same time, it helps to maintain the competitiveness and stable economic position of the enterprise.
This study presents a novel methodology for assessing SD in industrial enterprises in the EU. Incorporates economic, environmental, and fiscal dimensions into a comprehensive analytical model. It also summarizes and expands existing knowledge, emphasizing the crucial importance of economic stability and human resources in determining the success of the implementation of the SD strategy. The presented results are relevant to both theoretical concepts and practical applications in management and public policy regarding SD in industrial enterprises operating in the EU.

6. Conclusions

The research carried out confirmed the active participation of industrial enterprises in achieving SD goals, determined by capital constraints that impact production efficiency, the implementation of environmentally friendly solutions, and the optimization of tax liabilities. The evaluation of the structural model demonstrated its compliance with SD principles, which emphasize an integrated approach to the economic, ecological, and fiscal dimensions in the enterprises studied. The SD concept, contained in the TBL concept, requires an integrated combination of economic, social, and environmental goals. The research results showed that financial security has a noticeable positive impact on the implementation of SD principles, particularly in the industrial enterprise sector.
Furthermore, the conducted research confirmed the importance of interconnections between production activity, pro-environmental activities, and fiscal burdens in EU industrial enterprises, in line with the assumptions of the TBL model. The results indicate the potential for integrating economic, environmental, and social dimensions into management practices that support the implementation of the SDGs.
Based on the research conducted, all five research hypotheses were positively verified. Therefore, it can be concluded that they reflect the complex interactions of individual SD dimensions in the operation of industrial enterprises. Therefore, it can be concluded that the scope of industrial activity of the entities studied is a key factor influencing fiscal burdens. At the same time, within the latent structure of the Work variable (production activity), a low factor loading was observed for employment (G2—0.022). Therefore, the analysis indicates that financial measures, including remuneration (G4 with a factor loading of 0.750), in the PLS-SEM model were a key predictor of the latent construct Work. The research also confirmed that pro-environmental strategies have a significant relationship with fiscal effects. Therefore, it should be noted that the relationship between pro-environmental activities (Eco) and fiscal burdens (Poll) is statistically significant. Furthermore, the CFA results clearly confirm the significant impact of advanced pro-environmental initiatives on improving tax liabilities. The indicators of environmental activity analyzed demonstrate statistically significant negative relationships with fiscal burdens. In turn, the activities of industrial enterprises that meet SD goals (environmental protection and economic efficiency) result in tax reductions.
The significant factor loadings for the indicators of market activity (E3—1.066) and environmental activities (E8—0.882) indicate a coherent and logical structure of these constructs, indicating an indirect relationship between economic activity and environmental activities. This type of activity reduces operating costs and provides a basis for increasing the competitiveness of the entities studied. The research results also confirmed that the pay (G4), which is a component of human capital, is significant for the implementation of environmental strategies consistent with SD.
The research results confirm that SD strategies are not only a burden, but an important strategic element. Therefore, with the use of advanced pro-environmental activities, they bring fiscal and economic benefits, particularly in terms of tax optimization for industrial enterprises. The set of indicators proposed in the study should be considered adequate for analyzing the relationships between ecological, economic, and social dimensions in manufacturing enterprises in the EU. The PLS-SEM model, with an SRMR of 0.158, is assessed as sufficiently well-suited and justified for use, according to standards adopted in social research. The research conclusions indicate that SD is an important strategic element for the surveyed enterprises. The use of advanced pro-environmental activities contributes to achieving fiscal and economic benefits resulting from the optimization of tax liabilities. Such activities are consistent with the SD objectives established by the EU, which include environmental protection and economic efficiency. Therefore, industrial enterprises that pursue these objectives strive to achieve a competitive advantage.
The analysis confirmed the adequacy and consistency of the proposed CB-SEM model. The study provided a reliable framework for capturing and assessing the complex interactions between the model’s main latent variables: economic activity (Work), pro-environmental activities (Eco), and environmental-fiscal burdens (Poll). High fit indices (CFI = 0.954, TLI = 0.926, IFI = 0.959) indicate that the model is well-adapted to the empirical data, with RMSEA = 0.062 indicating moderate but acceptable fit. Furthermore, the research findings indicate that the intensification of production activities of industrial enterprises in the EU promotes pro-environmental activities, which play a key role in implementing the SD strategy. Pro-environmental activities, in turn, contribute significantly to reducing pollution and environmental burdens. Simultaneously, they enable the optimization of energy, environmental protection, and transportation costs. The scale of production directly influences the level of these burdens. Based on this, it can be concluded that there is a need to balance economic growth with environmental protection. Research also confirms that employee remuneration levels are a significant driver of the implementation of the SD strategy in industrial enterprises in the EU. Furthermore, the CB-SEM model indicates advanced ecological measures that not only reduce fiscal bur-dens but also contribute to SD in economic, environmental, and social dimensions, in line with the goals adopted by the EU.
Based on empirical results, it should be concluded that advanced pro-ecological activities (Eco) contribute significantly to the optimization of tax liabilities (Poll) of industrial enterprises. Therefore, public policy should strengthen appropriate economic and regulatory incentives, including tax breaks or flexible regulations, which will motivate entities to invest in ecological innovations and clean and green technologies. Furthermore, industrial enterprises should strategically implement SD as a comprehensive TBL strategy. This requires the transformation of business and operating models, not just the implementation of individual, dispersed, or philanthropic initiatives. Due to the significant impact of human capital and remuneration (Work) on the implementation of environmental strategies, organizations should implement educational and training programs that raise employees’ environmental and social awareness. Furthermore, they should implement motivational and bonus systems that support the development of pro-ecological competencies. It is also recommended to strive for full balance by systematically increasing the scope and depth of changes in the SD model. This enables a harmonious adaptation of the transformation to the financial resources and environment of industrial enterprises. The designed and tested model (PLS-SEM) should be used by industrial companies as a consistent and reliable tool for continuous monitoring and analysis of SD dimensions. In addition, it should enable the detection of areas for improvement and support the process of achieving a competitive advantage.
However, the limitations of the study should be noted. The use of Eurostat data from 2024, although comprehensive and up-to-date, requires further development in terms of indicator descriptions, data collection methods, and addressing missing data. Second, potential limitations of the analytical model related to matching may affect the stability of the estimates. Finally, the study primarily focuses on industrial companies operating in the EU, thus limiting the generalizability of the results to other sectors or geographic areas.
From a practical perspective, the research results point to the need to develop public policies and corporate strategies. The proposed solutions will support investments in pro-ecological technologies. Furthermore, they can also serve as a motivator for industrial companies, leading to the implementation of comprehensive SD strategies that also take into account the social aspect, including remuneration policies and employee engagement.
Future research should focus on deepening the analysis of the mechanisms driving the linkages between the model’s dimensions, taking into account sectoral diversity and changes over time. Furthermore, interdisciplinary research should combine economic, ecological, and social analyses with a change and innovation management perspective. Such an approach will not only enable a better understanding of the complex conditions of enterprise SD but also the development of more effective and practice-oriented tools to support sustainable development.

Author Contributions

Conceptualization, M.S.; methodology, M.S. and M.M.; validation, M.S.; formal analysis, M.S. and M.M.; investigation, M.S. and M.M.; data curation, M.S.; writing—original draft preparation, M.S.; writing—review and editing, M.S.; visualization, M.S.; supervision, M.S.; project administration, M.S. All authors have read and agreed to the published version of the manuscript.

Funding

This research received no external funding.

Institutional Review Board Statement

Not applicable.

Informed Consent Statement

Not applicable.

Data Availability Statement

The data presented in this study are available on request from the corresponding author.

Conflicts of Interest

The authors declare no conflicts of interest.

Abbreviations

The following abbreviations are used in this manuscript:
SDSustainable Development
TBLTriple Bottom Line
SEMStructural Equation Modeling
PLS-SEMPartial Least Squares-Structural Equation Modeling
CB-SEMCovariance-Based Structural Equation Modeling
EUEuropean Union
SDGsSustainable Development Goals
WCEDWorld Commission on Environment and Development
MDGsMillennium Development Goals
VUCAThe environment is variable, uncertain, complex, and ambiguous
BATBest Available Techniques
CFAConfirmatory Factor Analysis
MLMaximum Likelihood
GLSGeneralized Least Squares
ADFAsymptotically Distribution-Free
VIFVariance Inflation Factor
SMRSStandardized Root Mean Squared Residual
RMS-thetaRoot Mean Square
NFINormed Fit Index
WLSWeighted Least Squares
CFIComparative Fit Index
TLITucker–Lewis Index
RMSEARoot mean square error of approximation
SRMRStandardized root mean square residual
CEcircular economy

Appendix A

Table A1. Diagnostic variables used in CFA, PLS-SEM, and CB-SEM studies.
Table A1. Diagnostic variables used in CFA, PLS-SEM, and CB-SEM studies.
DesignationVariable DescriptionDescription of IndicatorsData Sources
Total environmental protection and resource management activities
E3Market activitiesThe indicator refers to the market activity of the companies involved in the production of goods. It includes the value of sold production, added value and export of products used in environmental protection and the circular economy.https://ec.europa.eu/eurostat/databrowser/view/env_ac_egss2/default/table?lang=en (accessed on 30 June 2025)
E8Total environmental goods and services sectorThis indicator measures the total value of production, value added, and exports in the sector of environmental goods and services of industrial enterprises. It encompasses all economic activities related to the production of goods that are aimed at environmental protection, improving environmental quality, preventing pollution, and conserving natural resources. Such activities include, among others, purification technologies, the use of renewable energy sources, waste management, emission control activities, and environmental services.https://ec.europa.eu/eurostat/databrowser/view/env_ac_egss2/default/table?lang=en (accessed on 30 June 2025)
E10Total environmental protection activitiesThis indicator measures the total value of production, value added, and exports of environmental protection activities in industrial enterprises. This includes all economic activities carried out by enterprises that aim to protect the environment, such as air and water purification, waste disposal, emission reduction technologies, and environmental monitoring and management.https://ec.europa.eu/eurostat/databrowser/view/env_ac_egss2/default/table?lang=en (accessed on 30 June 2025)
Industrial activity
G1Turnover in the industryThis indicator represents the total value of sales (turnover) in the industrial sector for a given year. Include the value of production sold, production-related services, and all other revenues generated by enterprises operating in the industry. This indicator considers all sales without distinction between domestic and foreign markets, providing a snapshot of the industry’s overall economic activity.https://ec.europa.eu/eurostat/databrowser/view/sts_intv_a/default/table?lang=en (accessed on 2 July 2025)
G2Labour input in industryAn annual indicator of the total labor input (in terms of number of employees and hours worked) in the industrial sector, essential for assessing the sector’s labor input and efficiency. It includes, among other things, the number of people employed, the number of hours worked, and a measure of the amount of labor used in industrial production.https://ec.europa.eu/eurostat/databrowser/view/sts_inlb_a/default/table?lang=en (accessed on 3 July 2025)
G3Hours worked by employeesThis indicator measures the number of hours actually worked by employees during a given period. It includes the sum of all hours spent on direct and ancillary activities related to industrial production. This indicator includes standard working hours and overtime, both paid and unpaid. However, meal breaks, commute time, and absences such as vacation and sick leave are excluded. This is an important indicator for analysing labour utilisation in industrial enterprises and for assessing the effectiveness of the labour market and its structure in an economic context.https://ec.europa.eu/eurostat/databrowser/view/lc_nnum1_r2/default/table?lang=en
(accessed on 5 July 2025)
G4Wages and salariesThe indicator covers all gross wages and salaries paid to employees by employers in cash or in kind during the reference period. This includes basic wages, overtime pay, bonuses, allowances (e.g., for shift work), commissions, and other additional payments. Wages and salaries are gross amounts, i.e., before deductions of taxes and social security contributions paid by the employee. These wages and salaries are part of the total labour costs borne by the employer and constitute the main source of income for employees. Eurostat collects these data to monitor the level and structure of wages in EU countries.https://ec.europa.eu/eurostat/databrowser/view/lc_nnum1_r2/default/table?lang=en (accessed on 7 July 2025)
Environmental taxes by economic activity
V2Energy taxesThe environmental tax subcategory indicator covers taxes levied on energy consumption. These include taxes on fuels such as gasoline, diesel, gas, energy carriers, and electricity, where the tax base is based on the amount of energy or fuel consumed.https://ec.europa.eu/eurostat/databrowser/view/env_ac_taxind2/default/table?lang=en (accessed on 8 July 2025)
V3Pollution taxesThis indicator refers to taxes levied on environmental pollutants, such as greenhouse gas emissions, air, water, or soil pollution, resulting from industrial activities. These taxes aim to reduce the negative environmental impact of industrial activities by providing economic incentives to reduce emissions or pollution. Examples include carbon dioxide (CO2) taxes, water or soil pollution fees, and other specific environmental taxes related to pollution.https://ec.europa.eu/eurostat/databrowser/view/env_ac_taxind2/default/table?lang=en (accessed on 9 July 2025)
V5Transport taxesThis indicator covers taxes related to transport activities that have an environmental impact. This category includes taxes on vehicle use, vehicle fuel, road tolls, vehicle emissions taxes, and fees for using transport infrastructure. The purpose of these taxes is both to generate budget revenue and to motivate businesses to adopt more environmentally friendly transport solutions, such as the use of low-emission vehicles or alternative energy sources.https://ec.europa.eu/eurostat/databrowser/view/env_ac_taxind2/default/table?lang=en (accessed on 10 July 2025)

References

  1. Pabian, A. Zrównoważone przedsiębiorstwo jako rezultat zmian organizacyjnych, (A sustainable enterprise as a result of organizational change). Przeg. Org. 2017, 11, 11–16. [Google Scholar] [CrossRef]
  2. Schaltegger, S.; Lüdeke-Freund, F.; Hansen, E.G. Business cases for sustainability: The role of business model innovation for corporate sustainability. Int. J. Innov. Sustain. Dev. 2012, 6, 95–119. [Google Scholar] [CrossRef]
  3. Alexopoulos, I.; Kounetas, K.; Tzelepis, D. Environmental and financial performance. Is there a win-win or a win-loss situation? Evidence from the Greek manufacturing. J. Clean. Prod. 2018, 197, 1275–1283. [Google Scholar] [CrossRef]
  4. Aslam, S.; Elmagrhi, M.H.; Rehman, R.U.; Ntim, C.G. Environmental management practices and financial performance using data envelopment analysis in Japan: The mediating role of environmental performance. Bus. Strat. Environ. 2021, 30, 1655–1673. [Google Scholar] [CrossRef]
  5. Rasheed, M.Q.; Yuhuan, Z.; Haseeb, A.; Ahmed, Z.; Saud, S. Assessing green energy production and industrial excellence in Asian emerging economies in the context of industrial transformation and sustainable development. Environ. Dev. Sustain. 2024, 6, 1123–1146. [Google Scholar] [CrossRef]
  6. Jiao, A.; Lu, J.; Ren, H.; Wei, J. The role of AI capabilities in environmental management: Evidence from USA firms. Energy Econ. 2024, 134, 107653. [Google Scholar] [CrossRef]
  7. Gandía, J.A.G.; Ancillo, A.L.; del Núñez, M.T.V. The Role of Artificial Intelligence and Knowledge in Enhancing Corporate Sustainability. J. Innov. Knowl. 2025, 10, 100792. [Google Scholar] [CrossRef]
  8. Toderas, M. Artificial Intelligence for Sustainability: A Systematic Review and Critical Analysis of AI Applications, Challenges, and Future Directions. Sustainability 2025, 17, 8049. [Google Scholar] [CrossRef]
  9. Kim, S. The Effects of Information and Communication Technology, Economic Growth, Trade Openness, and Renewable Energy on CO2 Emissions in OECD Countries. Energies 2022, 15, 2517. [Google Scholar] [CrossRef]
  10. Rasheed, M.Q.; Yuhuan, Z.; Ahmed, Z.; Haseeb, A.; Saud, S. Information communication technology, economic growth, natural resources, and renewable energy production: Evaluating the asymmetric and symmetric impacts of artificial intelligence in robotics and innovative economies. J. Clean. Prod. 2024, 447, 141466. [Google Scholar] [CrossRef]
  11. Adebayo, T.S.; Özkan, W.; Uzun Ozsahin, D.; Eweade, B.S.; Gyamfi, B.A. Exploring the role of ICT adoption technologies and renewable energy consumption in achieving a sustainable environment in the United States: An SDGs-based policy framework. Environ. Sci. Eur. 2025, 37, 20. [Google Scholar] [CrossRef]
  12. Rasheed, M.Q.; Yuhuan, Z.; Nazir, M.; Ahmed, Z.; Yu, X. How do semiconductors, artificial intelligence, geopolitical risk, and their moderating effects shape renewable energy production in leading semiconductor manufacturing countries? Technol. Soc. 2025, 80, 102761. [Google Scholar] [CrossRef]
  13. Wang, Q.; Li, X.; Li, R. Geopolitical risk and environmental footprints: Exploring the moderating roles of AI and energy transition. Energy Environ. 2025, 1, 1–19. [Google Scholar] [CrossRef]
  14. Iqbal, A.; Zhang, W.; Jahangir, S. Building a Sustainable Future: The Nexus Between Artificial Intelligence, Renewable Energy, Green Human Capital, Geopolitical Risk, and Carbon Emissions Through the Moderating Role of Institutional Quality. Sustainability 2025, 17, 990. [Google Scholar] [CrossRef]
  15. Rasheed, M.Q.; Zhao, Y. Exploring the Impact of Technology Related to Artificial Intelligence, Circular Economy, and Energy Intensity on Sustainable Development Goal 13. Sustain. Dev. 2025, 4, 1–21. [Google Scholar] [CrossRef]
  16. Rasheed, M.Q.; Yuhuan, Z.; Haseeb, A.; Ahmed, Z.; Saud, S. Asymmetric relationship between competitive industrial performance, renewable energy, industrialization, and carbon footprint: Does artificial intelligence matter for environmental sustainability? Appl. Energy 2024, 367, 123346. [Google Scholar] [CrossRef]
  17. Lu, Z.; Li, H. Does environmental information disclosure affect green innovation? Econ. Anal. Policy 2023, 80, 47–59. [Google Scholar] [CrossRef]
  18. Naseer, M.M.; Guo, Y.; Bagh, T.; Zhu, Z. Sustainable investments in volatile times: Nexus of climate change risk, ESG practices, and market volatility. Int. Rev. Financ. Anal. 2024, 95, 103492. [Google Scholar] [CrossRef]
  19. Anton, C.E.; Baba, C.M.; Bucșoiu, O.-A. Perspectives on Integrating Risk Management and Sustainability for Financial Performance: A Systematic Literature Review. Sustainability 2025, 17, 3456. [Google Scholar] [CrossRef]
  20. Aini, S.; Mutmainah, S. Sustainability Reporting and Environmental Innovation in Enhancing Corporate Reputation: A Systematic Literature Review. Eduvest-J. Univers. Stud. 2025, 5, 12489–12497. [Google Scholar] [CrossRef]
  21. Schubert, I.; Weber, S.; Martinez-Cruz, A.L.; Burger, P.; Farsi, M. Structural Equation Modeling as a Route to Inform Sustainable Policies: The Case of Private Transportation. Front. Sustain. 2022, 3, 837427. [Google Scholar] [CrossRef]
  22. Furlan, M.; Filho, W. When access to education matters more than income inequality: A structural equation modelling analysis of climate adaptation and mitigation. Environ. Dev. 2025, 57, 101309. [Google Scholar] [CrossRef]
  23. Ali, K.; Johl, S. Driving sustainability in industry 5.0 through sociotechnical approach of quality management. Total Qual. Manag. Bus. Excel. 2024, 35, 1567–1592. [Google Scholar] [CrossRef]
  24. Czvetko, T.; Sebestyén, V.; Abonyi, J. Key factors of industry 5.0-based organizational sustainability. Technol. Soc. 2025, 83, 102966. [Google Scholar] [CrossRef]
  25. Ronaghi, M.H.; Scorsone, E. Industry 5.0: The effect of technological innovation on sustainability in manufacturing companies. J. Manag. Anal. 2025, 12, 450–463. [Google Scholar] [CrossRef]
  26. Dong, X. Research on the Impact of Media Attention on Corporate ESG Performance-based on the Mediating Effect of Green Innovation. Acad. J. Manag. Soc. Sci. 2024, 6, 1–6. [Google Scholar] [CrossRef]
  27. Zheng, X.; Bu, Q. Enterprise ESG Performance, Digital Transformation, and Firm Performance: Evidence from China. SAGE Open 2024, 14, 1–19. [Google Scholar] [CrossRef]
  28. Huang, W.H. The determinants of household electricity consumption in Taiwan: Evidence from quantile regression. Energy 2015, 87, 120–133. [Google Scholar] [CrossRef]
  29. Marczewska, M.; Kostrzewski, M. Sustainable Business Models: A Bibliometric Performance Analysis. Energies 2020, 13, 6062. [Google Scholar] [CrossRef]
  30. Bota-Avram, C. Bibliometric analysis of sustainable business performance: Where are we going? A science map of the field. Econ. Res.-Ekon. Istraz. 2023, 36, 2137–2176. [Google Scholar] [CrossRef]
  31. Adam, H.; Achsani, N.A.; Sembel, R.H.M.; Sari, L.K. Bibliometric analysis of business performance dynamics in the infrastructure sector. Edelweiss Appl. Sci. Technol. 2024, 8, 6335–6359. [Google Scholar] [CrossRef]
  32. Bekisz, A.; Sus, A.; Trzaska, R. Bibliometric analysis of categories of sustainable development. e-mentor 2023, 101, 28–38. [Google Scholar] [CrossRef]
  33. Schaltegger, S.; Christ, K.L.; Wenzig, J.; Burritt, R.L. Corporate sustainability management accounting and multi-level links for sustainability—A systematic review. Int. J. Manag. Rev. 2022, 24, 480–500. [Google Scholar] [CrossRef]
  34. Rahi, F.; Johansson, J.; Fagerström, A.; Blomkvist, M. Sustainability Reporting and Management Control System: A Structured Literature Review. J. Risk Financ. Manag. 2022, 15, 562. [Google Scholar] [CrossRef]
  35. Lippolis, S.; Ruggieri, A.; Leopizzi, R. Open Innovation for sustainable transition: The case of Enel “Open Power”. Bus. Strat. Environ. 2023, 32, 4202–4216. [Google Scholar] [CrossRef]
  36. Robertsone, G.; Lapiņa, I. Digital Transformation as a Catalyst for Sustainability and Open Innovation. J. Open Innov. Technol. Mark. Complex. 2023, 9, 100017. [Google Scholar] [CrossRef]
  37. Rivo-López, E.; Villanueva-Villar, M.; Pardo-López, C.; Cortés-García, M. Environmental sustainability reporting: A systematic and bibliometric review of two decades of research. Future Bus. J. 2025, 11, 165. [Google Scholar] [CrossRef]
  38. Brundtland, G.H. Our Common Future—Call for Action. Environ. Conserv. 1987, 1, 291–294. [Google Scholar] [CrossRef]
  39. Singh, A.; Pope, F.D.; Radcliffe, J.; Luiu, C.; Bakare, H.; Bartington, S.E.; Bonsu, N.O.; Bryson, J.R.; Cheeseman, N.; Flowe, H.; et al. Delivering sustainable climate action: Reframing the sustainable development goals. npj Clim. Action 2024, 1, 110. [Google Scholar] [CrossRef]
  40. Trusina, I.; Jermolajeva, E. The scientific discourse on the concept of sustainable development. East. J. Eur. Stud. 2021, 2, 298–322. [Google Scholar] [CrossRef]
  41. Limosani, M.; Millemaci, E.; Sauvé, P. Do green policies enhance short-term economic growth? Assessing EU Recovery and Resilience Plans through the lens of Sustainable Development Goals. Econ. Model. 2025, 147, 107044. [Google Scholar] [CrossRef]
  42. Geissdoerfer, M.; Savaget, P.; Bocken, N.M.P.; Hultink, E.J. The Circular Economy—A new sustainability paradigm? J. Clean. Prod. 2017, 143, 757–768. [Google Scholar] [CrossRef]
  43. Vilochani, S.; Borgianni, Y.; McAloone, T.C.; Pigosso, D.C.A. An investigation into the extent to which sustainable product development practices are implemented in manufacturing companies. Sustain. Prod. Consum. 2024, 50, 155–167. [Google Scholar] [CrossRef]
  44. Zimek, M.; Baumgartner, R.J. Systemic sustainability assessment: Analyzing environmental and social impacts of actions on sustainable development. Clean. Prod. Lett. 2024, 7, 100064. [Google Scholar] [CrossRef]
  45. Prashar, A.; Sunder, M.V. A bibliometric and content analysis of sustainable development in small and medium-sized enterprises. J. Clean. Prod. 2020, 245, 118665. [Google Scholar] [CrossRef]
  46. Ermiş, I.S.; Ciuciuc, V.E. Environmental, Social and Corporate Governance and firms’ financial performance: A semi-structured literature review, through the lens of sustainable development. Mod. Manag. Syst. 2022, 14, 43–55. [Google Scholar] [CrossRef]
  47. Shmelev, S.E. Corporate Environmental, Social, and Governance Performance: The Impacts on Financial Returns, Business Model Innovation, and Social Transformation. Sustainability 2025, 17, 1286. [Google Scholar] [CrossRef]
  48. Hussein, M.A.D.; Elobeid, E.; Ahmed, E.M.; Elfaki, K.E.; Bashir, M.S. Sustainable development indicators implications on Saudi Sustainable Economic Growth. Open Innov. Technol. Mark. Complex. 2025, 11, 100587. [Google Scholar] [CrossRef]
  49. Hutchins, M.J.; Richter, J.S.; Henry, M.L.; Sutherland, J.W. Development of indicators for the social dimension of sustainability in a U.S. business context. J. Clean. Prod. 2019, 212, 687–697. [Google Scholar] [CrossRef]
  50. Gian, M.; Obydenkova, S.V.; van der Meer, Y. Key aspects in the social dimension of sustainability for assessment and reporting. Sustain. Prod. Consum. 2025, 57, 183–197. [Google Scholar] [CrossRef]
  51. Purvis, B.; Mao, Y.; Robinson, D. Three pillars of sustainability: In search of conceptual origins. Sustain. Sci. 2019, 14, 681–695. [Google Scholar] [CrossRef]
  52. Quental, N.; Lourenço, J.; da Silva, F. Sustainability: Characteristics and scientific roots. Environ. Dev. Sustain. Multidiscip. Approach Theory Pract. Sustain. Dev. 2011, 13, 257–276. [Google Scholar] [CrossRef]
  53. Caglar, A.E.; Demirdag, I.; Destek, M.A.; Daştan, M. Achieving ecological sustainability in European countries: Does low carbon energy lead to a carbon neutrality pathway? Sci. Total Environ. 2025, 958, 177915. [Google Scholar] [CrossRef]
  54. Jeurissen, R. Review of Cannibals with Forks: The Triple Bottom Line of 21st Century Business. J. Bus. Ethics 2000, 23, 229–231. [Google Scholar] [CrossRef]
  55. Sahu, A.; Agrawal, S.; Kumar, G. Triple bottom line performance of manufacturing Industry: A value engineering approach. Sustain. Energy Technol. Assess. 2023, 56, 103029. [Google Scholar] [CrossRef]
  56. Nogueira, E.; Gomes, S.; Lopes, J.M. Unveiling triple bottom line’s influence on business performance. Discov. Sustain. 2025, 6, 43. [Google Scholar] [CrossRef]
  57. Roberts, C.; Geels, F.W.; Lockwood, M.; Newell, P.; Schmitz, H.; Turnheim, B.; Jordan, A. The politics of accelerating low-carbon transitions: Towards a new research agenda. Energy Res. Soc. Sci. 2018, 44, 304–311. [Google Scholar] [CrossRef]
  58. Marquardt, J.; Pfeiffer, F.; Blum, M.; Daw, T.M.; Dugasseh, F.A.; Heitzig, J.; Hysing, E.; Jensen, I.H.A.; Kulha, K.; Langkjær, F.; et al. Reconciling democracy and sustainability: Three political challenges and the role of democratic innovations. Sustain. Sci. Pract. Policy 2025, 21, 2504239. [Google Scholar] [CrossRef]
  59. Schöggl, J.P.; Rusch, M.; Stumpf, L.; Baumgartner, R.J. Implementation of digital technologies for a circular economy and sustainability management in the manufacturing sector. Sustain. Prod. Consum. 2023, 35, 401–420. [Google Scholar] [CrossRef]
  60. Oghazi, P.; Mostaghel, R.; Hultman, M. International industrial manufacturers: Mastering the era of digital innovation and circular economy. Technol. Forecast. Soc. Change 2024, 201, 123160. [Google Scholar] [CrossRef]
  61. Prashar, A. Towards sustainable development in industrial small and Medium-sized Enterprises: An energy sustainability approach. J. Clean. Prod. 2019, 235, 977–996. [Google Scholar] [CrossRef]
  62. Wang, H.; Li, B. Environmental regulations, capacity utilization, and high-quality development of manufacturing: An analysis based on Chinese provincial panel data. Sci. Rep. 2021, 11, 19566. [Google Scholar] [CrossRef] [PubMed]
  63. Haleem, A.; Javaid, M.; Singh, R.P.; Suman, R.; Qadri, M.A. A pervasive study on Green Manufacturing towards attaining sustainability. Green Technol. Sustain. 2023, 1, 100018. [Google Scholar] [CrossRef]
  64. Ulbrych, M. Progress in Achieving Sustainable Industrial Development–the Case of the Czech Republic and Poland. Comp. Econ. Res. 2020, 23, 109–128. [Google Scholar] [CrossRef]
  65. Shen, Y.; Zhang, X. Study on the Impact of Environmental Tax on Industrial Green Transformation. Int. J. Environ. Res. Public Health 2022, 19, 16749. [Google Scholar] [CrossRef]
  66. Mair, S.; Jones, A.; Ward, J.; Christie, I.; Druckman, A.; Lyon, F. A Critical Review of the Role of Indicators in Implementing the Sustainable Development Goals. In Handbook of Sustainability Science and Research; Leal Filho, W., Ed.; Springer International Publishing: Cham, Switzerland, 2018; pp. 41–56. [Google Scholar] [CrossRef]
  67. Slaper, T.; Hall, T.J. The Triple Bottom Line: What is it and how does it work. Indiana Bus. Rev. 2011, 86, 4–8. [Google Scholar]
  68. Blits, J.; Yegoryan, N.; Mandler, T.; Burmester, A.B. Speaking of Sustainability… The Triple Bottom Line in Firm- and User-Generated Content. Schmalenbach J. Bus. Res. 2025, 77, 557–584. [Google Scholar] [CrossRef]
  69. Mishra, P.; Pandey, V.K. Triple bottom line and environmental sustainability: Evolution of global ESG research—A bibliometric analysis. Environ. Sci. Eur. 2025, 37, 136. [Google Scholar] [CrossRef]
  70. United Nations. Transforming Our World: The 2030 Agenda for Sustainable Development. General Assembly; United Nations: New York, NY, USA, 2015. [Google Scholar]
  71. Elder, M.; Grünewald, S. Insights from Agenda 21 for enhancing the implementation of the SDGs and shaping the Post-2030 sustainable development agenda. Earth Syst. Govern. 2025, 25, 100262. [Google Scholar] [CrossRef]
  72. Assubayeva, A.; Marco, J. Methodological approaches on synergies and trade-offs within the 2030 Agenda. iScience 2024, 27, 111100. [Google Scholar] [CrossRef]
  73. Raworth, K. Defining a Safe and Just Space for Humanity. In State of the World 2013: Is Sustainability Still Possible? Raworth, K., Ed.; Island Press Center for Resource Economics: Washington, DC, USA, 2013; pp. 28–38. [Google Scholar]
  74. Duran, D.C.; Gogan, L.M.; Artene, A.; Duran, V. The Components of Sustainable Development—A Possible Approach. Procedia Econ. Finance 2015, 26, 806–811. [Google Scholar] [CrossRef]
  75. Del Vasto, P.H. The three pillars of sustainability trends: A bibliometric analysis. Eur. Public Soc. Innov. Rev. 2024, 9, 1–18. [Google Scholar] [CrossRef]
  76. Waage, J.; Banerji, R.; Campbell, O.; Chirwa, E.; Collender, G.; Dieltiens, V.; Dorward, A.; Godfrey-Faussett, P.; Hanvoravongchai, P.; Kingdon, G.; et al. The Millennium Development Goals: A cross-sectoral analysis and principles for goal setting after 2015. Lancet 2010, 376, 991–1023. [Google Scholar] [CrossRef]
  77. Lu, Z.; Gou, D.; Yang, L.; Wu, Z.; Feng, H. The impact of environmental tax reform on industrial green development: Evidence from China. Front. Environ. Sci. 2025, 13, 1593549. [Google Scholar] [CrossRef]
  78. Ren, X.; Mia, M.A. The determinants of green innovations in manufacturing industries: A systematic literature review. Futur. Bus. J. 2025, 11, 42. [Google Scholar] [CrossRef]
  79. Wang, J.; Zhang, S. Environmental protection tax, green innovation, and environmental, social, and governance performance. Finance Res. Lett. 2024, 65, 105592. [Google Scholar] [CrossRef]
  80. Shi, Y.; Ge, J. The role of government fiscal and tax incentives in green technology innovation and enterprise development: Implications for human health and hygiene. Front. Public Health 2025, 12, 1502856. [Google Scholar] [CrossRef]
  81. Dechezleprêtre, A.; Kozluk, T.; Kruse, N.D.; de Serres, A. Do Environmental and Economic Performance Go Together? A Review of Micro-level Empirical Evidence from the Past Decade or So. Int. Rev. Environ. Resour. Econ. 2019, 13, 1–118. [Google Scholar] [CrossRef]
  82. Biscione, A.; Boccanfuso, D.; De Felice, A. Regulations and Corporate Environmental Responsibility: Evidence from a panel of firms in Transition economies. Appl. Econ. 2021, 53, 6286–6299. [Google Scholar] [CrossRef]
  83. Xie, B.; Yang, C.; Song, W.; Song, L.; Wang, H. The impact of environmental regulation on capacity utilization of China’s manufacturing industry: An empirical research based on the sector level. Ecol. Indic. 2023, 148, 110085. [Google Scholar] [CrossRef]
  84. Luo, G.; Guo, J.; Yang, F.; Wang, C. Environmental regulation, green innovation and high-quality development of enterprise: Evidence from China. J. Clean. Prod. 2023, 418, 138112. [Google Scholar] [CrossRef]
  85. Duan, Y.; Rahbarimanesh, A. The Impact of Environmental Protection Tax on Green Innovation of Heavily Polluting Enterprises in China: A Mediating Role Based on ESG Performance. Sustainability 2024, 16, 7509. [Google Scholar] [CrossRef]
  86. Valero-Gil, J.; Surroca, J.A.; Tribo, J.A.; Gutierrez, L.; Montiel, I. Innovation vs. standardization: The conjoint effects of eco-innovation and environmental management systems on environmental performance. Res. Pol. 2023, 52, 104737. [Google Scholar] [CrossRef]
  87. van den Bergh, J.C.J.M. Environment versus growth—A criticism of “degrowth” and a plea for “a-growth”. Ecol. Econ. 2011, 70, 881–890. [Google Scholar] [CrossRef]
  88. Jayashree, S.; Reza, M.N.H.; Malarvizhi, C.A.N.; Mohiuddin, M. Industry 4.0 implementation and Triple Bottom Line sustainability: An empirical study on small and medium manufacturing firms. Heliyon 2021, 7, e07753. [Google Scholar] [CrossRef]
  89. Machado, E.A.; Scavarda, L.F.; Caiado, G.G.; Santos, R.S. Industry 4.0 and Sustainability Integration in the Supply Chains of Micro, Small, and Medium Enterprises through People, Process, and Technology within the Triple Bottom Line Perspective. Sustainability 2024, 16, 1141. [Google Scholar] [CrossRef]
  90. Burström, T.; Lahti, T.; Parida, V.; Wincent, J. Industrial ecosystems: A systematic review, framework and research agenda. Technol. Forecast. Soc. Change 2024, 208, 123656. [Google Scholar] [CrossRef]
  91. Girma, L.; Oduro, S.; Cucari, N.; Cristofaro, M. Venturing green: The impact of sustainable business model innovation on corporate environmental performance in social enterprises. Manag. Res. Rev. 2025, 48, 20–44. [Google Scholar] [CrossRef]
  92. Wuni, I.Y. Burden of proof beyond the triple bottom line: Mapping the benefits of circular construction. Sustain. Prod. Consum. 2022, 34, 528–540. [Google Scholar] [CrossRef]
  93. Ferrer-Serrano, M.; Salesa, A. Revisiting the Circular Economy Paradox: A Triple Bottom Line Perspective. Sustain. Dev. 2025, 33, 7526–7545. [Google Scholar] [CrossRef]
  94. Rigby, D.; Elk, S.; Berez, S. The Agile C-Suite: A new approach to leadership for the team at the top. Harv. Bus. Rev. 2020, 3, 66–75. [Google Scholar]
  95. O’Reilly, C.A.; Tushman, M.L. Organizational Ambidexterity: Past, Present, and Future. Acad. Manag. Perspect. 2013, 27, 324–338. [Google Scholar] [CrossRef]
  96. Kang, A.S.; Hew, S.L. Sustainable ESG practices and smart manufacturing adoption readiness for SME operational agility: The conditional mediating role of financial access. Sustain. Futures 2025, 10, 101081. [Google Scholar] [CrossRef]
  97. Taticchi, P.; Demartini, M. A Modern Definition of Corporate Sustainability. In Management for Professionals, Corporate Sustainability in Practice; Taticci, P., Demartini, M., Eds.; Springer: Cham, Switzerland, 2021; pp. 65–74. [Google Scholar]
  98. Demartini, M.; Taticchi, P. Performance measurement and management. A literature review focussed on the role played by management theories with a deep dive into the industry 4.0 environment. Internat. J. Prod. Perform. Manag. 2021, 71, 1008–1033. [Google Scholar] [CrossRef]
  99. Hilson, G.; Murck, B. Sustainable development in the mining industry: Clarifying the corporate perspective. Resour. Policy 2000, 26, 227–238. [Google Scholar] [CrossRef]
  100. Edgeman, R.; Neely, A.; Eskildsen, J. Paths to sustainable enterprise excellence. J. Model. Manag. 2016, 11, 858–868. [Google Scholar] [CrossRef]
  101. Bajdor, P.; Pawełoszek, I.; Fidlerova, H. Analysis and Assessment of Sustainable Entrepreneurship Practices in Polish Small and Medium Enterprises. Sustainability 2021, 13, 3595. [Google Scholar] [CrossRef]
  102. Ong, T.; Lee, A.; Teh, B. Turning Environmental Strategies into Competitive Advantage in the Malaysian Manufacturing Industry: Mediating Role of Environmental Innovation. Pertanika J. Soc. Sci. Humanit. 2021, 29, 1293–1312. [Google Scholar] [CrossRef]
  103. Gittell, R.; Magnusson, M.; Merenda, M. The Sustainable Business Case Book; Flat World Knowledge: New York, NY, USA, 2013; p. 390. [Google Scholar]
  104. Binder, J.; Haanaes, K. Leading the Sustainable Business Transformation: A Playbook from IMD; Wiley: Hoboken, NJ, USA, 2025; p. 400. [Google Scholar]
  105. Sarfraz, M.; Ivascu, L.; Artene, A.E.; Bobitan, N.; Dumitrescu, D.; Bogdan, O.; Burca, V. The relationship between firms’ financial performance and performance measures of circular economy sustainability: An investigation of the G7 countries. Econ. Res. Istraz. 2023, 36, 2101019. [Google Scholar] [CrossRef]
  106. Binder, J. The Circular Business Revolution: A Practical Framework for Sustainable Business Models; Pearson: Harlow, UK, 2024. [Google Scholar]
  107. Parrish, B.D. Designing the sustainable enterprise. Futures 2007, 39, 846–860. [Google Scholar] [CrossRef]
  108. Brandi, U.; Christensen, P. Sustainable organisational learning—A lite tool for implementing learning in enterprises. Ind. Commer. Train. 2018, 50, 356–362. [Google Scholar] [CrossRef]
  109. Lassala, C.; Orero-Blat, M.; Ribeiro-Navarrete, S. The financial performance of listed companies in pursuit of the Sustainable Development Goals (SDG). Econ. Res. Istraz. 2021, 34, 427–449. [Google Scholar] [CrossRef]
  110. Salimi, N.; Vrauwdeunt, T. Sustainability: Does it contribute to the survival of entrepreneurship? J. Environ. Manag. 2025, 373, 123454. [Google Scholar] [CrossRef] [PubMed]
  111. Stahl, G.K.; Brewster, C.J.; Collings, D.G.; Hajro, A. Enhancing the role of human resource management in corporate sustainability and social responsibility: A multi-stakeholder, multidimensional approach to HRM. Hum. Resour. Manag. Rev. 2020, 30, 100708. [Google Scholar] [CrossRef]
  112. Garcia-Castro, R.; Aguilera, R.V. Incremental Value Creation and Appropriation in a World with Multiple Stakeholders. Strat. Manag. J. 2015, 36, 137–147. [Google Scholar] [CrossRef]
  113. Ullah, M.; Rahman, H.U.; Kaj, S.H.; Zahid, M.; Mirza, M.Z.; Rehman, S. Does firms’ economic performance affect social and environmental performance with the mediation of the green image? Sustain. Futures 2025, 9, 100721. [Google Scholar] [CrossRef]
  114. Berrone, P.; Gomez-Mejia, L.R. The PROS and CONS of rewarding social responsibility at the top. Hum. Resour. Manag. 2009, 48, 959–971. [Google Scholar] [CrossRef]
  115. Dyck, A.; Lins, K.V.; Roth, L.; Wagner, H.F. Do institutional investors drive corporate social responsibility? International evidence. J. Financ. Econ. 2019, 131, 693–714. [Google Scholar] [CrossRef]
  116. Henriques, A.; Richardson, J. The Triple Bottom Line: Does It All Add Up; Routledge: London, UK, 2005. [Google Scholar]
  117. Willard, B. The New Sustainability Advantage: Seven Business Case Benefits of a Triple Bottom Line; New Society Publishers: New York, NY, USA, 2012. [Google Scholar]
  118. Gu, W.; Pan, H.; Hu, Z.; Liu, Z. The Triple Bottom Line of Sustainable Entrepreneurship and Economic Policy Uncertainty: An Empirical Evidence from 22 Countries. Int. J. Environ. Res. Public Health 2022, 19, 7758. [Google Scholar] [CrossRef]
  119. Azmat, F.; Lim, W.M.; Moyeen, A.; Voola, R.; Gupta, G. Convergence of business, innovation, and sustainability at the tipping point of the sustainable development goals. J. Bus. Res. 2023, 167, 114170. [Google Scholar] [CrossRef]
  120. Nica, I.; Chiriță, N.; Georgescu, I. Triple Bottom Line in Sustainable Development: A Comprehensive Bibliometric Analysis. Sustainability 2025, 17, 1932. [Google Scholar] [CrossRef]
  121. Hametner, M.; Kostetckaia, M. Frontrunners and laggards: How fast are the EU member states progressing towards the sustainable development goals? Ecol. Econ. 2020, 177, 106775. [Google Scholar] [CrossRef]
  122. Ambec, S.; Lanoie, P. Does It Pay to Be Green? A Systematic Overview. Acad. Manag. Perspec. 2008, 22, 45–62. [Google Scholar]
  123. Borsatto, J.M.L.S.; Amui, L.B.L. Green innovation: Unfolding the relation with environmental regulations and competitiveness. Resour. Conserv. Recycl. 2019, 149, 445–454. [Google Scholar] [CrossRef]
  124. Aragón-Correa, J.A.; Sharma, S. A Contingent Resource-Based View of Proactive Corporate Environmental Strategy. Acad. Manag. Rev. 2003, 28, 71–88. [Google Scholar] [CrossRef]
  125. Roscoe, S.; Subramanian, N.; Jabbour, C.J.C.; Chong, T. Green human resource management and the enablers of green organisational culture: Enhancing a firm’s environmental performance for sustainable development. Bus. Strat. Environ. 2019, 28, 737–749. [Google Scholar] [CrossRef]
  126. Montalvo-Falcón, J.V.; Sánchez-García, E.; Marco-Lajara, B.; Martínez-Falcó, J. Green human resource management and economic, social and environmental performance: Evidence from the Spanish wine industry. Heliyon 2023, 9, e20826. [Google Scholar] [CrossRef]
  127. Jabbour, C.J.C.; de Sousa Jabbour, A.B.L. Green Human Resource Management and Green Supply Chain Management: Linking two emerging agendas. J. Clean. Prod. 2016, 112, 1824–1833. [Google Scholar] [CrossRef]
  128. AlQershi, N.; Mokhtar, S.S.M.; Abas, Z. The relationship between strategic innovations, human capital and performance: An empirical investigation. Sustain. Futures 2021, 3, 100056. [Google Scholar] [CrossRef]
  129. Silva, G.M.; Gomes, P.J.; Sarkis, J. The role of innovation in the implementation of green supply chain management practices. Bus. Strat. Environ. 2019, 28, 819–832. [Google Scholar] [CrossRef]
  130. Barros, M.V.; Salvador, R.; do Prado, G.F.; de Francisco, A.C.; Piekarski, C.M. Circular economy as a driver to sustainable businesses. Clean. Environ. Syst. 2021, 2, 100006. [Google Scholar] [CrossRef]
  131. Garcia-Torres, S.; Albareda, L.; Rey-Garcia, M.; Seuring, S. Traceability for sustainability–literature review and conceptual framework. Supply Chain Manag. Int. J. 2019, 24, 85–106. [Google Scholar] [CrossRef]
  132. Klopp, E.; Klößner, S. The impact of scaling methods on the properties and interpretation of parameter estimates in structural equation models with latent variables. Struct. Equ. Model. Multidiscip. J. 2021, 28, 182–206. [Google Scholar] [CrossRef]
  133. Kwan, J.L.Y.; Chan, W. Comparing standardized coefficients in structural equation modeling: A model reparameterization approach. Behav. Res. Methods 2011, 43, 730–745. [Google Scholar] [CrossRef] [PubMed]
  134. Brown, T.A. Confirmatory Factor Analysis for Applied Research; The Guilford Press: New York, NY, USA; London, UK, 2015. [Google Scholar]
  135. Roos, J.M.; Bauldry, S. Confirmatory Factor Analysis; SAGE Publications Inc.: Los Angeles, CA, USA, 2022. [Google Scholar]
  136. Schreiber, J.B.; Nora, A.; Stage, F.K.; Barlow, E.A.; King, J. Reporting Structural Equation Modeling and Confirmatory Factor Analysis Results: A Review. J. Educ. Res. 2006, 99, 323–337. [Google Scholar] [CrossRef]
  137. Millar, R.B. Maximum Likelihood Estimation and Inference: With Examples in R, SAS and ADMB; Wiley: Chichester, UK, 2011. [Google Scholar]
  138. Sarstedt, M.; Hair, J.F.; Ringle, C.M.; Thiele, K.O.; Gudergan, P. Estimation issues with PLS and CBSEM: Where the bias lies! J. Bus. Res. 2016, 69, 3998–4010. [Google Scholar] [CrossRef]
  139. Afthanorhan, A.; Awang, Z.; Aimran, A.; Arifin, J. An Extensive Comparison Between CBSEM and Consistent PLS-SEM on Producing the Estimates of Construct Correlation in Applied Research. J. Phys. Conf. Ser. 2021, 1874, 012083. [Google Scholar] [CrossRef]
  140. Hair, J.F., Jr.; Hult, G.T.M.; Ringle, C.M.; Sarstedt, M.; Danks, N.P.; Ray, S. Partial Least Squares Structural Equation Modeling (PLS-SEM) Using R; Springer: Cham, Switzerland, 2021. [Google Scholar]
  141. Sarstedt, M.; Hair, J.F., Jr.; Ringle, C.M. ‘PLS-SEM: Indeed a silver bullet’—Retrospective observations and recent advances. J. Mark. Theory Pr. 2023, 31, 261–275. [Google Scholar] [CrossRef]
  142. Guenther, P.; Guenther, M.; Ringle, C.M.; Zaefarian, G.; Cartwright, S. PLS-SEM and reflective constructs: A response to recent criticism and a constructive path forward. Ind. Mark. Manag. 2025, 128, 1–9. [Google Scholar] [CrossRef]
  143. Carrión, G.C.; Nitzl, C.; Noonan, R. Mediation Analyses in Partial Least Squares Structural Equation Modeling: Guidelines and Empirical Examples. In Partial Least Squares Path Modeling; Latan, H., Noonan, R., Eds.; Springer International Publishing: Cham, Switzerland, 2017; pp. 173–195. [Google Scholar]
  144. Ringle, C.M.; Sarstedt, M.; Sinkovics, N.; Sinkovics, R.R. A perspective on using partial least squares structural equation modelling in data articles. Data Brief 2023, 48, 109074. [Google Scholar] [CrossRef]
  145. Richter, N.F.; Hauff, S.; Ringle, C.M.; Gudergan, S.P. The Use of Partial Least Squares Structural Equation Modeling and Complementary Methods in International Management Research. Manag. Int. Rev. 2022, 62, 449–470. [Google Scholar] [CrossRef]
  146. Hair, J.F.; Ringle, C.M.; Sarstedt, M. PLS-SEM: Indeed a Silver Bullet. J. Mark. Theory Pract. 2011, 19, 139–152. [Google Scholar] [CrossRef]
  147. Astrachan, C.B.; Patel, V.K.; Wanzenried, G. A comparative study of CB-SEM and PLS-SEM for theory development in family firm research. J. Fam. Bus. Strat. 2014, 5, 116–128. [Google Scholar] [CrossRef]
  148. Henseler, J. Partial least squares path modeling: Quo vadis? Qual. Quant. 2018, 52, 1–8. [Google Scholar] [CrossRef]
  149. Flora, D.B.; Crone, G.; Bell, S.M. Effect Size Interpretation in Structural Equation Models. Struct. Equ. Model. A Multidiscip. J. 2025, 41, 1069–1076. [Google Scholar] [CrossRef]
  150. Dash, G.; Paul, J. CB-SEM vs PLS-SEM methods for research in social sciences and technology forecasting. Technol. Forecast. Soc. Chan. 2021, 173, 121092. [Google Scholar] [CrossRef]
  151. Kline, R.B. Principles and Practice of Structural Equation Modeling; The Guilford Press: New York, NY, USA, 2023. [Google Scholar]
  152. Marcoulides, G.A.; Raykov, T. A First Course in Structural Equation Modeling; Psychology Press: Mahwah, NY, USA, 2006. [Google Scholar]
  153. Vuković, M. CB-SEM vs. PLS-SEM comparison in estimating the predictors of investment intention. Croat. Oper. Res. Rev. 2024, 15, 131–144. [Google Scholar] [CrossRef]
  154. Tengfei, L.; Ullah, A. Impact of fiscal policies and green financing on firm innovation and firm value for green economic recovery. Heliyon 2024, 10, e30145. [Google Scholar] [CrossRef]
  155. Liu, M.; Yaacob, M.H.; Ma, Q.; Ding, S. Green Finance and Corporate Green Innovation: A Systematic Literature Review. SAGE Open 2025, 15, 21582440251370800. [Google Scholar] [CrossRef]
  156. Badarau, C.; Chodakowska, A.; Marchewka-Bartkowiak, K.; Paparas, D. New strategies for sustainable growth in European Economies. East. Eur. Econ. 2023, 61, 311–317. [Google Scholar] [CrossRef]
  157. Porter, M.E.; van der Linde, C. Toward a New Conception of the Environment-Competitiveness Relationship. J. Econ. Perspect. 1995, 9, 97–118. [Google Scholar] [CrossRef]
  158. Epstein, M.J.; Roy, M.J. Sustainability in Action: Identifying and Measuring the Key Performance Drivers. Long Range Plan. 2001, 34, 585–604. [Google Scholar] [CrossRef]
  159. Maria, T.A. Sustainable Development, A Multidimensional Concept. Ann. Econ. Ser. 2015, 1, 82–86. [Google Scholar]
  160. Olofsson, K.L.; Fitzgerald, J.B.; Hossain, M.B. Assessing multi-dimensional complexity through sustainability modeling: A whole community approach. Environ. Sci. Pol. 2025, 164, 104002. [Google Scholar] [CrossRef]
  161. del Brío González, J.A.; Fernández, E.; Junquera, B. Management and Employee Involvement in Achieving an Environmental Action-Based Competitive Advantage: An Empirical Study. Int. J. Hum. Res. Manag. 2007, 18, 491–522. [Google Scholar] [CrossRef]
  162. Gómez-Bezares, F.; Przychodzen, W.; Przychodzen, J. Corporate Sustainability and Shareholder Wealth—Evidence from British Companies and Lessons from the Crisis. Sustainability 2016, 8, 276. [Google Scholar] [CrossRef]
  163. Gao, L.; Wan, L. Does corporate environmental responsibility contribute to financial performance? A dual path analysis through operational efficiency and the cost of debt. Corpor. Soc. Resp. Environ. Manag. 2023, 30, 308–323. [Google Scholar] [CrossRef]
  164. Ullah, B. Corporate environmental responsibility and financial constraints for unlisted SMEs. Glob. Financ. J. 2025, 67, 101176. [Google Scholar] [CrossRef]
  165. Hair, J.; Hult, G.T.M.; Ringle, C.M.; Sarstedt, M. A Primer on Partial Least Squares Structural Equation Modeling; SAGE Publications, Inc.: Los Angeles, CA, USA, 2022. [Google Scholar]
  166. Elkington, J. Partnerships from cannibals with forks: The triple bottom line of 21st-century business. Environ. Qual. Manag. 1998, 8, 37–51. [Google Scholar] [CrossRef]
  167. Loviscek, V. Triple Bottom Line toward a Holistic Framework for Sustainability: A Systematic Review. Rev. Admin. Contemp. 2021, 25, e200017. [Google Scholar] [CrossRef]
  168. Sachs, J.D.; Ki-moon, B. The Age of Sustainable Development; Columbia University Press: New York, NY, USA, 2015. [Google Scholar]
  169. Prokop, V.; Gerstlberger, W.; Zapletal, D.; Striteska, M.K. The double-edged role of firm environmental behaviour in the creation of product innovation in Central and Eastern European countries. J. Clean. Prod. 2022, 331, 129989. [Google Scholar] [CrossRef]
  170. Satrovic, E.; Zafar, M.W.; Suntraruk, P. Achieving ecological sustainability in European Union: The role of fiscal decentralization and green innovation. J. Clean. Prod. 2024, 445, 141316. [Google Scholar] [CrossRef]
  171. Tschelisnig, G.; Westerlaken, R. The impact of sustainability at the workplace on the employee’s motivation and satisfaction. Res. Hosp. Manag. 2022, 12, 177–181. [Google Scholar] [CrossRef]
  172. Acciarini, C.; Li, H.; Saleem, S.F.; Mone, F. Balancing Progress and Sustainability: Industrial Innovation’s Impact on Europe’s Emission Management, Economic Expansion, and Financial Growth. J. Econ. Forecast. 2023, 1, 129–147. [Google Scholar]
Figure 1. Framework structure of the CB-SEM model. Source: own study.
Figure 1. Framework structure of the CB-SEM model. Source: own study.
Sustainability 17 09982 g001
Figure 2. The framework structure of the PLS-SEM model. Source: own study. Where: Solid arrow: direct relationship (structural dependence). Dashed arrow: auxiliary relationship (moderation, association).
Figure 2. The framework structure of the PLS-SEM model. Source: own study. Where: Solid arrow: direct relationship (structural dependence). Dashed arrow: auxiliary relationship (moderation, association).
Sustainability 17 09982 g002
Figure 3. CFA Model for manufacturing companies. Source: own study.
Figure 3. CFA Model for manufacturing companies. Source: own study.
Sustainability 17 09982 g003
Figure 4. CB-SEM model estimation results. Source: own study.
Figure 4. CB-SEM model estimation results. Source: own study.
Sustainability 17 09982 g004
Figure 5. PLS -SEM model estimation results. Source: own study.
Figure 5. PLS -SEM model estimation results. Source: own study.
Sustainability 17 09982 g005
Table 1. Chi-square test and other measures of model fit.
Table 1. Chi-square test and other measures of model fit.
Model χ 2 dfp
Baseline model48.83445
Factor model23.052320.877
Note. The standard error method is standard.
Table 2. CFA model goodness-of-fit indices.
Table 2. CFA model goodness-of-fit indices.
Index/MetricValue
Comparative Fit Index (CFI)0.998
Tucker–Lewis Index (TLI)0.881
Bentler-Bonett Non-normed Fit Index (NNFI)4.282
Bentler-Bonett Normed Fit Index (NFI)0.528
Parsimony Normed Fit Index (PNFI)0.375
Bollen’s Relative Fit Index (RFI)0.336
Bollen’s Incremental Fit Index (IFI)1.532
Relative Noncentrality Index (RNI)3.334
Root mean square error of approximation (RMSEA)0.000
RMSEA 90% CI lower bound0.000
RMSEA 90% CI upper bound0.075
RMSEA p-value0.917
Standardized root mean square residual (SRMR)0.192
Hoelter’s critical N (α = 0.05)53.102
Hoelter’s critical N (α = 0.01)61.326
Goodness of fit index (GFI)0.823
McDonald fit index (MFI)1.188
Expected cross validation index (ECVI)2.656
Source: own study.
Table 3. Factor loadings of the CFA model.
Table 3. Factor loadings of the CFA model.
95% Confidence Interval
FactorIndicatorEstimateStd. Errorz-ValuepLowerUpper
PollV51.0000.000 1.0001.000
V21.1490.2165.310<0.0010.7251.573
V30.4480.2222.0160.0440.0130.884
EcoE31.0000.000 1.0001.000
E80.7980.1216.574<0.0010.5601.035
E101.0350.1109.402<0.0010.8191.251
WorkG11.0000.000 1.0001.000
G21.0480.3782.7710.0060.3071.790
G31.1210.4162.6960.0070.3061.935
G41.4710.4403.343<0.0010.6092.334
Source: own study.
Table 4. Factor Covariances of the CFA model.
Table 4. Factor Covariances of the CFA model.
95% Confidence Interval
EstimateStd. Errorz-ValuepLowerUpper
Poll ↔ Eco0.0290.0112.5680.0100.0070.051
Poll ↔ Work0.0050.0070.8050.421−0.0080.019
Eco ↔ Work0.0110.0071.4450.148−0.0040.025
Source: own study.
Table 5. Coefficient of determination values for indicators and latent constructs.
Table 5. Coefficient of determination values for indicators and latent constructs.
IndexValue
G10.143
G20.283
G30.569
G40.779
E30.894
E80.858
E100.913
V20.771
V30.224
V50.791
Source: own study.
Table 6. Interpretation of AVE values.
Table 6. Interpretation of AVE values.
LatentAVE
Work0.732
Eco0.890
Poll0.596
Source: own study.
Table 7. Measures of model fit CB-SEM.
Table 7. Measures of model fit CB-SEM.
IndexValue
Comparative Fit Index (CFI)0.954
Tucker–Lewis Index (TLI)0.926
Bentler-Bonett Non-normed Fit Index (NNFI)0.926
Bentler-Bonett Normed Fit Index (NFI)0.830
Parsimony Normed Fit Index (PNFI)0.516
Bollen’s Relative Fit Index (RFI)0.727
Bollen’s Incremental Fit Index (IFI)0.959
Relative Noncentrality Index (RNI)0.954
Root mean square error of approximation (RMSEA)0.062
Source: own study.
Table 8. PLS-SEM factor loadings.
Table 8. PLS-SEM factor loadings.
ConstructIndicatorEstimate
EcoE31.066
E80.882
E101.014
WorkG10.448
G20.022
G3−0.221
G40.750
PollV20.896
V30.454
V50.887
Source: own study.
Table 9. Reliability Measures of the PLS-SEM Model.
Table 9. Reliability Measures of the PLS-SEM Model.
Latent Cronbach’s αJöreskog’s ρDijkstra-Henseler’s ρ
Eco 0.9481.0761.088
Work0.7440.2390.593
Poll0.7790.8060.593
Source: own study.
Table 10. Regression Coefficients in the PLS-SEM model.
Table 10. Regression Coefficients in the PLS-SEM model.
OutcomePredictorEstimatef2VIF
PollEco0.6970.7641.411
Work0.0770.0091.411
Source: own study.
Table 11. Additional Fit Measures of the PLS-SEM Model.
Table 11. Additional Fit Measures of the PLS-SEM Model.
Index Value
Comparative Fit Index (CFI)0.898
Goodness of fit index (GFI)0.649
Hoelter’s critical N (CN)21.877
Bollen’s Incremental Fit Index (IFI)0.857
Bentler-Bonett Non-normed Fit Index (NNFI)0.764
Bentler-Bonett Normed Fit Index (NFI)0.729
Root mean square error of approximation (RMSEA)0.177
Root mean square residual covariance (RMS theta)0.155
Standardized root mean square residual (SRMR)0.158
Goodness of Fit (GoF)0.553
Geodesic distance0.505
Squared Euclidean distance1.377
Maximum likelihood-based distance2.097
Source: own study.
Disclaimer/Publisher’s Note: The statements, opinions and data contained in all publications are solely those of the individual author(s) and contributor(s) and not of MDPI and/or the editor(s). MDPI and/or the editor(s) disclaim responsibility for any injury to people or property resulting from any ideas, methods, instructions or products referred to in the content.

Share and Cite

MDPI and ACS Style

Sztorc, M.; Makrenek, M. Assessing the Interdependencies Between the Production Environmental and Fiscal Activities of European Union Industrial Enterprises Using Structural Equation Modeling. Sustainability 2025, 17, 9982. https://doi.org/10.3390/su17229982

AMA Style

Sztorc M, Makrenek M. Assessing the Interdependencies Between the Production Environmental and Fiscal Activities of European Union Industrial Enterprises Using Structural Equation Modeling. Sustainability. 2025; 17(22):9982. https://doi.org/10.3390/su17229982

Chicago/Turabian Style

Sztorc, Małgorzata, and Medard Makrenek. 2025. "Assessing the Interdependencies Between the Production Environmental and Fiscal Activities of European Union Industrial Enterprises Using Structural Equation Modeling" Sustainability 17, no. 22: 9982. https://doi.org/10.3390/su17229982

APA Style

Sztorc, M., & Makrenek, M. (2025). Assessing the Interdependencies Between the Production Environmental and Fiscal Activities of European Union Industrial Enterprises Using Structural Equation Modeling. Sustainability, 17(22), 9982. https://doi.org/10.3390/su17229982

Note that from the first issue of 2016, this journal uses article numbers instead of page numbers. See further details here.

Article Metrics

Back to TopTop