Quantifying the Scaling Effects of Urban Green Infrastructure on Air Quality and Greenhouse Gas Dynamics: Insights from a Multi-Site Evaluation in Athens, Greece
Abstract
1. Introduction
2. Materials and Methods
2.1. Dataset Context & Spatial Baseline
- Representation of a wide range of vegetation densities to allow gradient-based statistical analysis.
- Diversity in surrounding land use typologies (open green space, academic campus, mixed residential/commercial, and industrial/traffic corridor).
- Proximity to emission sources of varying intensity, particularly high traffic roads and industrial zones.
- Logistical feasibility for repeated, time-specific sampling campaigns.
- Syggrou Grove Park (S.G.P.)—a large urban park in Marousi neighborhood, characterized by mature trees and expansive lawns, isolated from major traffic corridors, representing the upper extreme of the vegetation gradient.
- Agricultural University of Athens (A.U.A.)—a landscaped academic campus with scattered mature trees and lawns, surrounded by moderate traffic activity.
- Pl. Karaiskaki Square (PL.K.S.)—a dense urban square with limited vegetation (few street trees and shrubs), adjacent to mixed-use commercial and residential developments.
- Athens National Road (A.N.R.)—a heavily trafficked industrial corridor with negligible vegetation cover, representing the lower extreme of the gradient.
2.2. Sampling Design
- Meteorological influence—Early summer conditions in Athens are characterized by recurrent high-pressure systems and strong diurnal heating, which produce pronounced day–night variation in boundary-layer structure. Morning and evening stable layers can limit vertical dispersion, while midday mixing layers enhance turbulent transport. This pronounced diurnal contrast provides a suitable framework for examining how vegetation modulates pollutant dispersion under different mixing states. It does not imply that summer boundary-layer heights are uniformly lower than in winter, but rather that diurnal variability is stronger during this period.
- Vegetation status—Urban vegetation is in peak physiological condition during this period, maximizing its capacity for pollutant removal through processes such as deposition, stomatal uptake, and shading-induced microclimatic cooling.
- Representative anthropogenic patterns—Traffic flows, energy consumption, and human outdoor activity follow consistent seasonal patterns, allowing for the isolation of diurnal and weekday–weekend variations without interference from transitional seasonal shifts.
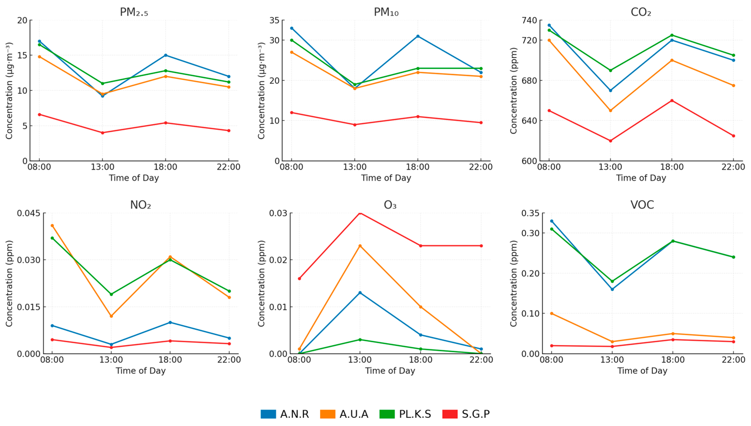
- 08:00 (morning rush hour)—corresponding to peak commuter traffic and typically shallow boundary-layer depths that limit vertical dispersion.
- 13:00 (midday maximum solar radiation)—favoring turbulent mixing and photochemical ozone formation.
- 18:00 (evening rush hour)—a second commuter traffic peak, often coupled with residual atmospheric stability before sunset.
- 22:00 (post traffic night period)—reduced traffic emissions and typically enhanced horizontal dispersion but still limited vertical mixing under stable nighttime conditions.
2.3. Measured Parameters
- Particulate Matter ≤ 2.5 μm (PM2.5)—Fine inhalable particles predominantly originating from combustion processes, including vehicle exhaust, industrial activities, and biomass burning. Due to their small size, PM2.5 can penetrate deep into the alveolar region of the lungs, with established links to cardiovascular and respiratory morbidity [27]. Concentrations were expressed in mg·m−3.
- Particulate Matter ≤ 10 μm (PM10)—Coarse inhalable particles generated from mechanical abrasion, resuspension of road dust, and natural sources such as pollen. Although generally less respirable than PM2.5, they contribute substantially to particulate load and can exacerbate respiratory conditions [28]. Concentrations were expressed in mg·m−3.
- Carbon Dioxide (CO2)—A greenhouse gas emitted mainly from fossil-fuel combustion in vehicles, heating systems, and industrial processes [29]. While CO2 is non-toxic at ambient concentrations, its level serves as a proxy for combustion activity and urban metabolic intensity [30]. Concentrations were expressed in ppm.
- Nitrogen Dioxide (NO2)—A key traffic-related pollutant emitted from high-temperature combustion, particularly in diesel engines; NO2 is both a primary pollutant and an ozone precursor central to urban photochemistry [31]. Concentrations were expressed in ppm.
2.4. Instrumentation and Calibration
- Compatibility with multiple pollutant sensors to reduce logistical complexity.
- Compliance with internationally recognized air quality monitoring standards, EU Air Quality Directive.
- Ease of transport and rapid setup to accommodate frequent daily relocation between sites.
- A.
- Air Quality Monitoring
- Modular sensor heads allowing rapid swapping between pollutant-specific electrochemical and optical modules without recalibration downtime.
- Laser-based optical particle counting for PM2.5 and PM10, ensuring accurate mass-concentration estimates in µg·m−3.
- Electrochemical gas sensors for NO2, O3, and VOCs, providing high sensitivity at low ambient concentrations.
- Non-dispersive infrared (NDIR) detection for CO2, delivering stable, interference-resistant ppm readings.
- B.
- Meteorological Monitoring
- Integrated temperature and humidity sensors to capture environmental variables influencing pollutant dispersion and chemical transformation.
- Ruggedized field housing suitable for outdoor deployment in variable summer conditions.
- C.
- Calibration Procedures
2.5. Sampling Procedure
- PM2.5 and PM10: stabilized end-interval values.
- CO2: averaged across the sampling interval.
- NO2, O3, VOCs: continuous logging, averaged post hoc.
2.6. Statistical Analysis
3. Results
3.1. Statistical Summary of Monitoring Data
3.1.1. Patterns and Relationships Among Pollutants and Meteorological Variables
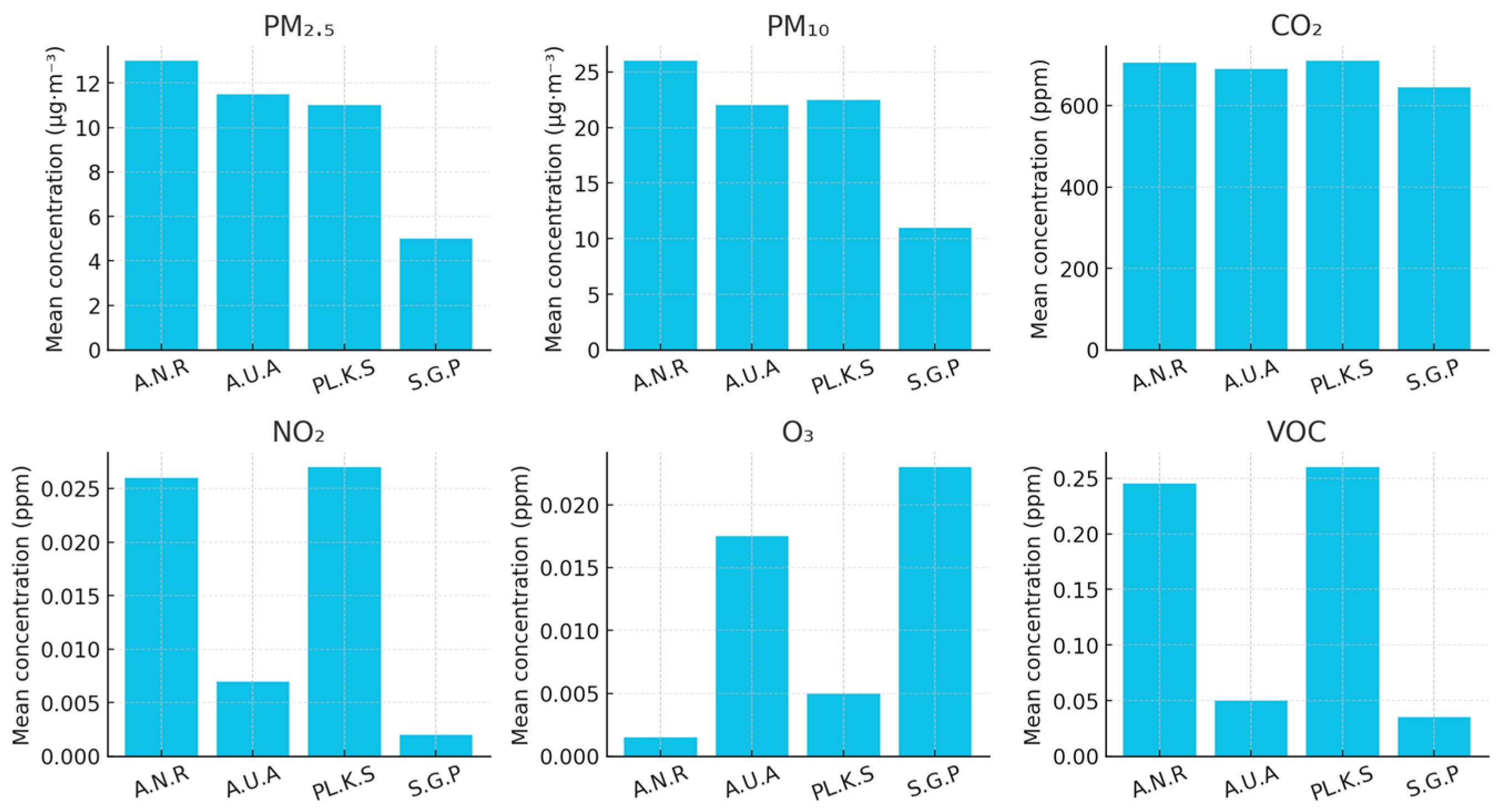
3.1.2. Average Pollutant Levels by Site
3.1.3. Distribution of Pollutant Levels by Site
3.2. Spatial Statistical Significance & Green Infrastructure Links
3.2.1. Effect of Site Location on Pollutant Concentrations (ANOVA)
- PM2.5: F(3, 284) = 22.51, p = 4.19 × 10−13
- PM10: F(3, 284) = 24.60, p = 3.52 × 10−14
- NO2: F(3, 284) = 16.71, p = 5.03 × 10−10
- CO2: F(3, 284) = 24.50, p = 3.96 × 10−14
- VOCs: F(3, 284) = 42.67, p = 8.6 × 10−23
- O3: F(3, 284) = 29.14, p = 1.87 × 10−16
3.2.2. Post Hoc Tukey HSD Comparisons
- PM2.5 (µg·m−3): S.G.P. was lower than A.N.R. (Δ = −8.9, p < 0.001) and PL.K.S. (Δ = −6.2, p < 0.001); A.U.A. was also lower than A.N.R. (Δ = −6.6, p < 0.001).
- PM10 (µg·m−3): S.G.P. was lower than A.N.R. (Δ = −15.5, p < 0.001), A.U.A. (Δ = −11.1, p < 0.001), and PL.K.S. (Δ = −11.6, p < 0.001).
- NO2 (ppm): S.G.P. was lower than A.N.R. (Δ = −0.024, p < 0.001) and PL.K.S. (Δ = −0.025, p < 0.001); A.N.R. was lower than A.U.A. (Δ = −0.0188, p = 0.001); A.U.A. and S.G.P. did not differ (n.s., p = 0.617).
- O3 (ppm): S.G.P. exceeded A.N.R. (Δ = +0.0225, p < 0.001); greener sites (S.G.P., A.U.A.) generally exceeded traffic-dominated locations, consistent with reduced NO titration.
- CO2 (ppm): S.G.P. was lower than A.N.R. (Δ = −80.1, p < 0.001), A.U.A. (Δ = −49.2, p < 0.001), and PL.K.S. (Δ = −72.6, p < 0.001).
- VOCs (ppm): Lowest at S.G.P., differing from A.N.R. (Δ = −0.218, p < 0.001) and PL.K.S. (Δ = −0.230, p < 0.001); the contrast with A.U.A. was not significant (Δ = −0.024, n.s.).
- Day-type (Weekday − Weekend): PM2.5 (µg·m−3) Δ = −2.7, p = 0.042; NO2 (ppm) Δ = −0.0098, p = 0.035; O3 (ppm) Δ = −0.0072, p = 0.040; PM10, CO2, and VOCs: n.s.
3.2.3. Meteorology-Normalized Mean Concentrations of Air Pollutants by Site
- PM2.5 (µg·m−3): S.G.P. 6.90; Δ(A.N.R.) +4.80, Δ(A.U.A.) +5.20, Δ(PL.K.S.) +3.81.
- PM10 (µg·m−3): S.G.P. 14.17; Δ(A.N.R.) +8.58, Δ(A.U.A.) +8.75, Δ(PL.K.S.) +7.49.
- CO2 (ppm): S.G.P. 655.14; Δ(A.N.R.) +42.97, Δ(A.U.A.) +37.08, Δ(PL.K.S.) +50.55.
- NO2 (ppm): S.G.P. 0.00837; Δ(A.N.R.) +0.00990, Δ(A.U.A.) +0.00143, Δ(PL.K.S.) +0.01644.
- O3 (ppm): S.G.P. 0.01803; Δ(A.N.R.) −0.01096, Δ(A.U.A.) −0.00315, Δ(PL.K.S.) −0.01217.
- VOCs (ppm): S.G.P. 0.08467; Δ(A.N.R.) +0.09716, Δ(A.U.A.) −0.00079, Δ(PL.K.S.) +0.15664.
3.2.4. Green Cover–Pollutant Relationships and Quantification of the Green Infrastructure Effect
- PM2.5 (µg·m−3): −0.450 (95% CI −0.639, −0.261), R2 = 0.508.
- PM10 (µg·m−3): −0.840 (95% CI −1.20, −0.483), R2 = 0.584.
- NO2 (ppm): −0.00155 (95% CI −0.00220, −0.00090), R2 = 0.579.
- CO2 (ppm): −4.93 (95% CI −7.02, −2.84), R2 = 0.688.
- VOCs (ppm): −0.0155 (95% CI −0.022, −0.0090), R2 = 0.575.
- O3 (ppm): +0.00144 (95% CI +0.00098, +0.00190), R2 = 0.845.
3.3. Temporal Dynamics & Combined Spatio-Temporal Visualizations
3.3.1. Diurnal Patterns of Pollutant Concentrations by Site
3.3.2. Spatio-Temporal and Hourly Variations in Pollutant Concentrations Across Sites
3.3.3. Weekday–Weekend Contrasts
4. Discussion
4.1. Overview of Key Findings
4.2. Mechanistic Interpretation
4.2.1. Physical and Chemical Pathways
- Dry deposition and surface capture: Foliage intercepts particles (impaction, interception, sedimentation) and absorbs gases on leaf surfaces. Deposition efficiency increases with leaf area index, surface roughness, and microstructure; species with hairy or waxy leaves—common in Mediterranean flora—exhibit enhanced particulate capture [39,40]. The negative PM2.5/PM10 slopes with green cover and the damped diurnal amplitudes at greener sites are consistent with strengthened deposition and surface trapping.
- Stomatal uptake (gas exchange): Gaseous pollutants (NO2, O3, CO2) enter through stomata during photosynthetic gas exchange. Uptake rates vary with physiology and environment; high summer photosynthetic activity maximizes CO2 assimilation and contributes to NO2 and O3 removal [41,42]. Midday reductions in NO2 at greener sites align with periods of higher stomatal conductance.
- Dispersion and microclimate: Vegetation alters near-surface flow by increasing aerodynamic roughness and generating canopy-scale turbulence, which enhances dilution and vertical mixing in open parks and setbacks; concurrently, shading and evapotranspiration lower air and surface temperatures and can increase relative humidity, modifying boundary-layer stability and, indirectly, reaction rates [43]. The consistently lower primary-pollutant means at high-cover sites and the weaker morning/evening peaks indicate more effective dispersion in vegetated environments, and the combination of cooler, more humid microclimates with enhanced daytime mixing is consistent with the observed midday minima in primary pollutants at greener locations.
- Dust resuspension and source buffering: Vegetated ground cover and porous surfaces suppress mechanical resuspension of road dust and provide physical separation from traffic lanes, decreasing local PM10 and PM2.5 exposure. The stronger PM10 response along the green-cover gradient is compatible with reduced coarse-particle resuspension near vegetated buffers.
- NO titration and the ozone trade-off: Higher O3 at greener, lower-NO sites reflects reduced NO titration rather than increased precursor supply. In traffic-dense areas, fresh NO rapidly depletes O3; where NO is lower, midday photochemistry maintains higher background O3. The weekend O3 enhancement and the positive O3–green-cover slope are both consistent with this NOx-rich regime. These dynamics underline the need to pair GI expansion with NOx management, so that PM and NO2 benefits are realized without unintended O3 increases.
4.2.2. Pollutant-Specific Dynamics
- Particulate Matter (PM2.5, PM10): The reductions observed with increasing vegetation are consistent with leaf-surface capture mechanisms, particularly effective for coarse and fine particles. The greater slope for PM10 than PM2.5 suggests that coarse particles, with higher deposition velocities, benefit more from interception, whereas PM2.5 removal also depends on longer-term diffusion processes.
- Nitrogen Dioxide (NO2): The strongest negative slope across pollutants indicates that NO2 removal benefits greatly from both stomatal uptake and dilution in vegetated areas. NO2’s short lifetime makes it particularly sensitive to local emission-removal balances; reduced concentrations in green areas imply efficient mitigation of nearby traffic emissions.
- Volatile Organic Compounds (VOCs): While vegetation can emit biogenic VOCs (BVOCs) [44], the observed negative relationship suggests that, in this context, traffic-related VOCs dominate the ambient VOC budget. In this study, VOCs were measured as total VOCs (TVOC; ppm) using a non-speciated sensor, i.e., the instrument reports aggregate VOC burden rather than individual compounds. Accordingly, the decline in TVOC with increasing green cover indicates that vegetation acts more as a sink than a source under these urban conditions. It is also plausible that prevalent plant species emit comparatively low levels of highly reactive BVOCs, mitigating any enhancement of O3 formation potential.
- Carbon Dioxide (CO2): The reductions in CO2 with green cover reflect both photosynthetic assimilation and improved mixing, with the latter likely dominating during nighttime hours when photosynthesis ceases but dispersion remains more efficient in open, green areas.
- Ozone (O3): The positive slope reflects a classic NO titration effect, in traffic-dense, low-vegetation areas, NO from combustion scavenges O3, reducing its concentration. In greener sites, lower NO emissions allow O3 formed through VOC–NO photochemistry to accumulate. This is reinforced by midday peaks at vegetated sites, coinciding with high temperatures (>30 °C) and maximum photolysis rates.
4.3. Integrating Findings with Existing Literature
- Meteorological control: By applying ANCOVA-based normalization, short-term weather influences were statistically removed, enabling direct estimation of the vegetation (green-cover) effect independent of temperature and humidity fluctuations.
- Urban gradient coverage: Site selection spanned a near-complete vegetation gradient (≈5–100% cover) and diverse urban morphologies, revealing a consistent scaling relationship rather than a simple binary contrast between “green” and “non-green” locations.
- Temporal resolution: Hourly sampling at fixed times captured diurnal structure and identified critical exposure windows (commuting peaks) while quantifying the extent to which vegetation dampens peak amplitudes, a feature often missed in studies with coarser temporal resolution.
4.4. Public Health and Urban Planning Implications
- Incremental greening is effective. Based on the Table 3 slopes, a +10% increase in green cover is modeled to change concentrations by approximately PM2.5 −0.00045 mg·m−3 (≈−0.450 µg·m−3), PM10 −0.00084 mg·m−3 (≈−0.840 µg·m−3), NO2 −0.00155 ppm (≈−2.92 µg·m−3 at 25 °C, 1 atm), VOCs −0.0155 ppm, and CO2 −4.93 ppm, with O3 +0.00144 ppm (≈+2.83 µg·m−3). For context, the WHO (2021) [26] annual guidelines are PM2.5 = 5 µg·m−3, PM10 = 15 µg·m−3, NO2 = 10 µg·m−3, and O3 (warm-season, 8-h) = 60 µg·m−3; the EU AAQD (2030 revisions) adopts PM2.5 = 10 µg·m−3 and NO2 = 20 µg·m−3 annual limit values. Thus, a +10% greening corresponds to roughly ~9% of the WHO PM2.5 annual guideline, ~6% of the WHO PM10 guideline, ~29% of the WHO NO2 annual guideline (and ~15% of the EU NO2 limit), and ~5% of the WHO O3 warm-season guideline—indicating that even modest greening can yield population-relevant gains.
- Site-specific design is critical. In narrow street canyons, poorly configured vegetation may impede ventilation. Planting should favor porous, well-spaced canopies, setback vegetated buffers, and continuous ground cover to enhance dispersion while providing deposition surfaces. Preference for lower-BVOC-emitting species is advisable to avoid adding reactive precursors.
- O3 requires co-controls. Because O3 increased with green cover (consistent with reduced NO titration), GI expansion should be paired with NOx mitigation (e.g., low-emission transport corridors, fleet electrification, flow-smoothing signal timing) so that PM/NO2 gains are realized without unintended O3 increases.
- Target exposure hotspots. Priority should be given to school routes, bus corridors, transit nodes, and pedestrian approaches to intersections, where diurnal peaks and footfall coincide, maximizing population-level exposure reduction.
4.5. Limitations and Future Directions
5. Conclusions
5.1. Key Quantitative Outcomes
5.2. Temporal and Spatial Dynamics
5.3. Implications for Urban Air Quality Management
5.4. Broader Significance
Author Contributions
Funding
Institutional Review Board Statement
Informed Consent Statement
Data Availability Statement
Conflicts of Interest
Abbreviations
| GI | Green Infrastructure |
| GHG | Green House Gas |
| PM | Particulate Matter |
| PM2.5 | Particulate Matter ≤ 2.5 μm |
| PM10 | Particulate Matter ≤ 10 μm |
| NO2 | Nitrogen Dioxide |
| CO2 | Carbon Dioxide |
| O3 | Ozone |
| VOCs | Volatile Organic Compounds |
| WHO | World Health Organization |
| S.G.P. | Syggrou Grove Park |
| A.U.A. | Agricultural University of Athens |
| PL.K.S. | Pl. Karaiskaki Square |
| A.N.R. | Athens National Road |
References
- Zhang, R.; Wang, G.; Guo, S.; Zamora, M.L.; Ying, Q.; Lin, Y.; Wang, W.; Hu, M.; Wang, Y. Formation of urban fine particulate matter. Chem. Rev. 2015, 115, 3803–3855. [Google Scholar] [CrossRef] [PubMed]
- Ritz, B.; Hoffmann, B.; Peters, A. The effects of fine dust, ozone, and nitrogen dioxide on health. Dtsch. Arztebl. Int. 2019, 116, 881–886. [Google Scholar] [CrossRef]
- Song, M.; Choe, S.; Song, M.Y.; Shin, S.-K.; Oh, S.-H.; Jeon, H.; Yu, G.-H.; Lee, T.; Bae, M.-S. Identifying sources of atmospheric pollutants in densely populated urban areas from a particle toxicity perspective: A study using PMF model and vehicle flux analysis. Asia-Pac. J. Atmos. Sci. 2024, 60, 95–106. [Google Scholar] [CrossRef]
- Monforti-Ferrario, F.; Crippa, M.; Pisoni, E. Addressing the different paces of climate and air quality combustion emissions across the world. iScience 2023, 26, 108686. [Google Scholar] [CrossRef]
- Wu, Q.; Huang, Y.; Irga, P.; Kumar, P.; Li, W.; Wei, W.; Shon, H.K.; Lei, C.; Zhou, J.L. Synergistic control of urban heat island and urban pollution island effects using green infrastructure. J. Environ. Manag. 2024, 361, 122985. [Google Scholar] [CrossRef]
- Shao, H.; Kim, G. A comprehensive review of different types of green infrastructure to mitigate urban heat islands: Progress, functions, and benefits. Land 2022, 11, 1792. [Google Scholar] [CrossRef]
- Yang, J.; Liu, H.; Sun, J. Evaluation and application of an online coupled modeling system to assess the interaction between urban vegetation and air quality. Aerosol Air Qual. Res. 2017, 17, 3145–3157. [Google Scholar] [CrossRef]
- Paton, E.; Nardi, M.; Churkina, G.; Hoffmann, K.; Joseph, B.; Kluge, B.; Tams, L. Merits, limits and preposition of coupling modelling tools for blue–green elements to enhance the design of future climate-resilient cities. Environ. Res. Lett. 2025, 20, 041012. [Google Scholar] [CrossRef]
- Spyrou, C.; Koukoula, M.; Saviolakis, P.-M.; Zerefos, C.; Loupis, M.; Masouras, C.; Pappa, A.; Katsafados, P. Green roofs as a nature-based solution to mitigate urban heating during a heatwave event in the city of Athens, Greece. Sustainability 2024, 16, 9729. [Google Scholar] [CrossRef]
- Ziliaskopoulos, K.; Laspidou, C. Using remote-sensing and citizen-science data to assess urban biodiversity for sustainable cityscapes: The case study of Athens, Greece. Landsc. Ecol. 2024, 39, 9. [Google Scholar] [CrossRef]
- Liao, J.; Kim, H.-Y. The relationship between green infrastructure and air pollution, history, development, and evolution: A bibliometric review. Sustainability 2024, 16, 6765. [Google Scholar] [CrossRef]
- Azmeer, A.; Tahir, F.; Al-Ghamdi, S.G. Progress on green infrastructure for urban cooling: Evaluating techniques, design strategies, and benefits. Urban Clim. 2024, 54, 102077. [Google Scholar] [CrossRef]
- Naboureh, A.; Li, A.; Bian, J.; Lei, G.; Nan, X.; Zhang, Z.; Shami, S.; Lin, X. Green space coverage versus air pollution: A cloud-based remote sensing data analysis in Sichuan, Western China. Int. J. Digit. Earth 2024, 17, 2383454. [Google Scholar] [CrossRef]
- Janhäll, S. Review on urban vegetation and particle air pollution—Deposition and dispersion. Atmos. Environ. 2015, 105, 130–137. [Google Scholar] [CrossRef]
- Abhijith, K.V.; Kumar, P.; Gallagher, J.; McNabola, A.; Baldauf, R.; Pilla, F.; Broderick, B.; Di Sabatino, S.; Pulvirenti, B. Air pollution abatement performances of green infrastructure in open road and built-up street canyon environments—A review. Atmos. Environ. 2017, 162, 71–86. [Google Scholar] [CrossRef]
- Vitaliano, S.; Cascone, S.; D’Urso, P.R. Mitigating built environment air pollution by green systems: An in-depth review. Appl. Sci. 2024, 14, 6487. [Google Scholar] [CrossRef]
- Anderson, V.; Gough, W. Evaluating the potential of nature-based solutions to reduce ozone, nitrogen dioxide, and carbon dioxide through a multi-type green infrastructure study in Ontario, Canada. City Environ. Interact. 2020, 6, 100043. [Google Scholar] [CrossRef]
- Founda, D.; Katavoutas, G.; Pierros, F.; Mihalopoulos, N. The extreme heat wave of summer 2021 in Athens (Greece): Cumulative heat and exposure to heat stress. Sustainability 2022, 14, 7766. [Google Scholar] [CrossRef]
- Liakakou, E.; Stavroulas, I.; Kaskaoutis, D.G.; Grivas, G.; Paraskevopoulou, D.; Dumka, U.C.; Tsagkaraki, M.; Bougiatioti, A.; Oikonomou, K.; Sciare, J.; et al. Long-term variability, source apportionment and spectral properties of black carbon at an urban background site in Athens, Greece. Atmos. Environ. 2020, 222, 117137. [Google Scholar] [CrossRef]
- Agathangelidis, I.; Cartalis, C.; Santamouris, M. Urban morphological controls on surface thermal dynamics: A comparative assessment of major European cities with a focus on Athens, Greece. Climate 2020, 8, 131. [Google Scholar] [CrossRef]
- Kouklis, G.-R.; Yiannakou, A. The contribution of urban morphology to the formation of the microclimate in compact urban cores: A study in the city center of Thessaloniki. Urban Sci. 2021, 5, 37. [Google Scholar] [CrossRef]
- Macrotrends. Athens, Greece Metro Area Population (1950–2025). Macrotrends LLC 2025. Available online: https://www.macrotrends.net/global-metrics/cities/21113/athens/population (accessed on 20 June 2025).
- Voudouris, G. Karaiskaki Square–Metaxourgeio; Wikimedia Commons. 2016. Available online: https://commons.wikimedia.org/wiki/File:%CE%A0%CE%9B%CE%91%CE%A4%CE%95%CE%99%CE%91_%CE%9A%CE%91%CE%A1%CE%91%CE%AA%CE%A3%CE%9A%CE%91%CE%9A%CE%97.jpg (accessed on 12 November 2025).
- Karakatsanis, J. National Road 1 (PATHE) in Athens; Wikimedia Commons. 2008. Available online: https://commons.wikimedia.org/wiki/File:National_Road_1_(PATHE)_in_Athens.jpg (accessed on 12 November 2025).
- Google. Google Maps Platform Terms of Service; Google. 2025. Available online: https://www.google.com/permissions/geoguidelines/ (accessed on 12 November 2025).
- WHO. WHO Global Air Quality Guidelines: Particulate Matter (PM2.5 and PM10), Ozone, Nitrogen Dioxide, Sulfur Dioxide and Carbon Monoxide; World Health Organization: Geneva, Switzerland, 2021; Available online: https://iris.who.int/server/api/core/bitstreams/551b515e-2a32-4e1a-a58c-cdaecd395b19/content (accessed on 12 November 2025).
- Rahman, M.M.; Begum, B.A.; Hopke, P.K.; Nahar, K.; Newman, J.; Thurston, G.D. Cardiovascular morbidity and mortality associations with biomass- and fossil-fuel-combustion fine-particulate-matter exposures in Dhaka, Bangladesh. Int. J. Epidemiol. 2021, 50, 1172–1183. [Google Scholar] [CrossRef] [PubMed]
- Hargrove, M.M.; McGee, J.K.; Gibbs-Flournoy, E.A.; Wood, C.E.; Kim, Y.H.; Gilmour, M.I.; Gavett, S.H. Source-apportioned coarse particulate matter exacerbates allergic airway responses in mice. Inhal. Toxicol. 2018, 30, 405–415. [Google Scholar] [CrossRef] [PubMed]
- Lin, J.C.; Mitchell, L.; Crosman, E.; Mendoza, D.L.; Buchert, M.; Bares, R.; Fasoli, B.; Bowling, D.R.; Pataki, D.; Catharine, D.; et al. CO2 and carbon emissions from cities: Linkages to air quality, socioeconomic activity, and stakeholders in the Salt Lake City urban area. Bull. Am. Meteorol. Soc. 2018, 99, 2325–2339. [Google Scholar] [CrossRef]
- Yang, E.G.; Kort, E.A.; Ott, L.E.; Oda, T.; Lin, J.C. Using space-based CO2 and NO2 observations to estimate urban CO2 emissions. J. Geophys. Res. Atmos. 2023, 128, e2022JD037736. [Google Scholar] [CrossRef]
- Lawrence, J.P.; Anand, J.S.; Vande Hey, J.D.; White, J.; Leigh, R.R.; Monks, P.S.; Leigh, R.J. High-resolution measurements from the airborne Atmospheric Nitrogen Dioxide Imager (ANDI). Atmos. Meas. Tech. 2015, 8, 4735–4754. [Google Scholar] [CrossRef]
- Zhang, J.; Wei, Y.; Fang, Z. Ozone pollution: A major health hazard worldwide. Front. Immunol. 2019, 10, 2518. [Google Scholar] [CrossRef]
- Chung, K.F.; Togbe, D.; Ryffel, B. Editorial: Ozone as a driver of lung inflammation and innate immunity and as a model for lung disease. Front. Immunol. 2021, 12, 714161. [Google Scholar] [CrossRef]
- Wu, W.; Zhao, B.; Wang, S.; Hao, J. Ozone and secondary organic aerosol formation potential from anthropogenic volatile organic compounds emissions in China. J. Environ. Sci. 2017, 53, 224–237. [Google Scholar] [CrossRef]
- Tan, R.; Guo, S.; Lu, S.; Wang, H.; Zhu, W.; Yu, Y.; Tang, R.; Shen, R.; Song, K.; Lv, D.; et al. Characteristics and secondary organic aerosol formation of volatile organic compounds from vehicle and cooking emissions. Atmosphere 2023, 14, 806. [Google Scholar] [CrossRef]
- Gagliardi, R.V.; Andenna, C. Change points detection and trend analysis to characterize changes in meteorologically normalized air pollutant concentrations. Atmosphere 2022, 13, 64. [Google Scholar] [CrossRef]
- Whitehill, A.R.; Long, R.W.; Urbanski, S.P.; Colón, M.; Habel, A.; Landis, M.S. Evaluation of Cairpol and Aeroqual air sensors in biomass burning plumes. Atmosphere 2022, 13, 877. [Google Scholar] [CrossRef]
- McLagan, D.S.; Mitchell, C.P.J.; Huang, H.; Abdul Hussain, B.; Lei, Y.D.; Wania, F. The effects of meteorological parameters and diffusive barrier reuse on the sampling rate of a passive air sampler for gaseous mercury. Atmos. Meas. Tech. 2017, 10, 3651–3660. [Google Scholar] [CrossRef]
- Mo, L.; Ma, Z.; Xu, Y.; Sun, F.; Lun, X.; Liu, X.; Chen, J.; Yu, X. Assessing the capacity of plant species to accumulate particulate matter in Beijing, China. PLoS ONE 2015, 10, e0140664. [Google Scholar] [CrossRef]
- Kwak, M.J.; Lee, J.K.; Park, S.; Kim, H.; Lim, Y.J.; Lee, K.-A.; Son, J.-a.; Oh, C.-Y.; Kim, I.; Woo, S.Y. Surface-based analysis of leaf microstructures for adsorbing and retaining capability of airborne particulate matter in ten woody species. Forests 2020, 11, 946. [Google Scholar] [CrossRef]
- Wang, W.; Ganzeveld, L.; Rossabi, S.; Hueber, J.; Helmig, D. Measurement report: Leaf-scale gas exchange of atmospheric reactive trace species (NO2, NO, O3) at a northern hardwood forest in Michigan. Atmos. Chem. Phys. 2020, 20, 11287–11304. [Google Scholar] [CrossRef]
- Lyu, Y.; Ariura, R.; Li, J.; Matsumoto, M.; Aoki, T.; Kinose, Y.; Yamaguchi, M.; Izuta, T.; Watanabe, M. Effects of ozone on stomatal ozone uptake in leaves of Fagus crenata seedlings grown under different CO2 concentrations. J. For. Res. 2024, 29, 38–45. [Google Scholar] [CrossRef]
- Wright, A.J.; Francia, R.M. Plant traits, microclimate temperature and humidity: A research agenda for advancing nature-based solutions to a warming and drying climate. J. Ecol. 2024, 112, 2462–2470. [Google Scholar] [CrossRef]
- Gagan, S.; Sarang, K.; Rudzinski, K.J.; Liu, R.; Szmigielski, R.; Zhang, Y. Synthetic strategies for oxidation products from biogenic volatile organic compounds in the atmosphere: A review. Atmos. Environ. 2023, 312, 120017. [Google Scholar] [CrossRef]
- Nieuwenhuijsen, M.J.; Gascon, M.; Martinez, D.; Ponjoan, A.; Blanch, J.; Garcia-Gil, M.d.M.; Ramos, R.; Foraster, M.; Mueller, N.; Espinosa, A.; et al. Air pollution, noise, blue space, and green space and premature mortality in Barcelona: A mega cohort. Int. J. Environ. Res. Public Health 2018, 15, 2405. [Google Scholar] [CrossRef]
- Fares, S.; Savi, F.; Fusaro, L.; Conte, A.; Salvatori, E.; Aromolo, R.; Manes, F. Particle deposition in a peri-urban Mediterranean forest. Environ. Pollut. 2016, 218, 1278–1286. [Google Scholar] [CrossRef] [PubMed]
- De Marco, A.; Proietti, C.; Anav, A.; Ciancarella, L.; D’Elia, I.; Fares, S.; Fornasier, M.F.; Fusaro, L.; Gualtieri, M.; Manes, F.; et al. Impacts of air pollution on human and ecosystem health, and implications for the National Emission Ceilings Directive: Insights from Italy. Environ. Int. 2019, 125, 320–333. [Google Scholar] [CrossRef] [PubMed]













| Location | Land Use Category | Vegetation Type | Green Cover (%), Mean ± 95% CI | Latitude | Longitude |
|---|---|---|---|---|---|
| 1. Syggrou Grove Park (S.G.P.) | Open green space | Mature trees & lawn | 95 ± 3% | 38.064064 | 23.823989 |
| 2. Agricultural University of Athens (A.U.A.) | Academic campus | Lawns & scattered trees | 65 ± 4% | 37.986746 | 23.707899 |
| 3. Pl. Karaiskaki Square (PL.K.S.) | Mixed residential/commercial | Few shrubs & street trees | 35 ± 5% | 37.985339 | 23.721774 |
| 4. Athens National Road (A.N.R.) | Industrial/traffic corridor | Minimal vegetation | 8 ± 2% | 38.014500 | 23.718750 |
| Group1 | Group2 | Pollutant | Factor | Δ (Mean Difference) | 95% CI | Sig. |
|---|---|---|---|---|---|---|
| A.N.R. | A.U.A. | PM2.5 | Site | −2.3 | [−5.4, 0.7] | n.s. |
| A.N.R. | PL.K.S. | PM2.5 | Site | −2.7 | [−5.7, 0.4] | n.s. |
| A.N.R. | S.G.P. | PM2.5 | Site | −8.9 | [−12.0, −5.9] | *** |
| A.U.A. | PL.K.S. | PM2.5 | Site | −0.3 | [−3.4, 2.7] | n.s. |
| A.U.A. | S.G.P. | PM2.5 | Site | −6.6 | [−9.6, −3.5] | *** |
| PL.K.S. | S.G.P. | PM2.5 | Site | −6.2 | [−9.3, −3.2] | *** |
| Weekday | Weekend | PM2.5 | Day-Type | −2.7 | [−5.2, −0.1] | * |
| A.N.R. | A.U.A. | PM10 | Site | −4.4 | [−9.5, 0.7] | n.s. |
| A.N.R. | PL.K.S. | PM10 | Site | −3.9 | [−9.0, 1.2] | n.s. |
| A.N.R. | S.G.P. | PM10 | Site | −15.5 | [−20.6, −10.4] | *** |
| A.U.A. | PL.K.S. | PM10 | Site | +0.5 | [−4.6, 5.6] | n.s. |
| A.U.A. | S.G.P. | PM10 | Site | −11.1 | [−16.2, −6.0] | *** |
| PL.K.S. | S.G.P. | PM10 | Site | −11.6 | [−16.7, −6.5] | *** |
| Weekday | Weekend | PM10 | Day-Type | −1.2 | [−5.8, 3.4] | n.s. |
| A.N.R. | A.U.A. | CO2 | Site | −30.9 | [−58.5, −3.36] | * |
| A.N.R. | PL.K.S. | CO2 | Site | −7.5 | [−35.1, 20.1] | n.s. |
| A.N.R. | S.G.P. | CO2 | Site | −80.1 | [−107.6, −52.5] | *** |
| A.U.A. | PL.K.S. | CO2 | Site | +23.4 | [−4.14, 51.0] | n.s. |
| A.U.A. | S.G.P. | CO2 | Site | −49.2 | [−76.7, −21.6] | *** |
| PL.K.S. | S.G.P. | CO2 | Site | −72.6 | [−100.1, −45.0] | *** |
| Weekday | Weekend | CO2 | Day-Type | −20.6 | [−44.7, 3.58] | n.s |
| A.N.R. | A.U.A. | NO2 | Site | −0.0188 | [−0.0306, −0.0069] | *** |
| A.N.R. | PL.K.S. | NO2 | Site | +0.0008 | [−0.0110, 0.0127] | n.s |
| A.N.R. | S.G.P. | NO2 | Site | −0.0242 | [−0.0360, −0.0123] | *** |
| A.U.A. | PL.K.S. | NO2 | Site | +0.0196 | [0.0077, 0.0314] | *** |
| A.U.A. | S.G.P. | NO2 | Site | −0.0054 | [−0.0173, 0.0064] | n.s |
| PL.K.S. | S.G.P. | NO2 | Site | −0.0250 | [−0.0368, −0.0132] | *** |
| Weekday | Weekend | NO2 | Day-Type | −0.0098 | [−0.019, −0.0007] | * |
| A.N.R. | A.U.A. | O3 | Site | +0.0167 | [0.0092, 0.0242] | *** |
| A.N.R. | PL.K.S. | O3 | Site | +0.0033 | [−0.0042, 0.0108] | n.s. |
| A.N.R. | S.G.P. | O3 | Site | +0.0225 | [0.0150, 0.0300] | *** |
| A.U.A. | PL.K.S. | O3 | Site | −0.0133 | [−0.0208, −0.0058] | *** |
| A.U.A. | S.G.P. | O3 | Site | +0.0058 | [−0.0017, 0.0133] | n.s. |
| PL.K.S. | S.G.P. | O3 | Site | +0.0192 | [0.0117, 0.0267] | *** |
| Weekday | Weekend | O3 | Day-Type | −0.0072 | [−0.014, −0.0004] | * |
| A.N.R. | A.U.A. | VOCs | Site | −0.193 | [−0.264, −0.122] | *** |
| A.N.R. | PL.K.S. | VOCs | Site | +0.0125 | [−0.0584, 0.0834] | n.s. |
| A.N.R. | S.G.P. | VOCs | Site | −0.218 | [−0.288, −0.147] | *** |
| A.U.A. | PL.K.S. | VOCs | Site | +0.206 | [0.135, 0.277] | *** |
| A.U.A. | S.G.P. | VOCs | Site | −0.0242 | [−0.0951, 0.0468] | n.s. |
| PL.K.S. | S.G.P. | VOCs | Site | −0.230 | [−0.301, −0.159] | *** |
| Weekday | Weekend | VOCs | Day-Type | −0.046 | [−0.123, 0.030] | n.s. |
| Pollutant | Slope per +10% | 95% CI | R2 |
|---|---|---|---|
| PM2.5 | −0.450 | [−0.639, −0.261] | 0.508 |
| PM10 | −0.840 | [−1.20, −0.483] | 0.584 |
| NO2 | −0.00155 | [−0.00220, −0.00090] | 0.579 |
| CO2 | −4.93 | [−7.02, −2.84] | 0.688 |
| VOCs | −0.0155 | [−0.0221, −0.00898] | 0.575 |
| O3 | +0.00144 | [+0.00098, +0.00190] | 0.845 |
Disclaimer/Publisher’s Note: The statements, opinions and data contained in all publications are solely those of the individual author(s) and contributor(s) and not of MDPI and/or the editor(s). MDPI and/or the editor(s) disclaim responsibility for any injury to people or property resulting from any ideas, methods, instructions or products referred to in the content. |
© 2025 by the authors. Licensee MDPI, Basel, Switzerland. This article is an open access article distributed under the terms and conditions of the Creative Commons Attribution (CC BY) license (https://creativecommons.org/licenses/by/4.0/).
Share and Cite
Bani Khalifi, N.; Platymesi, K.; Vlachos, S.; Bartzanas, T.; Avgoustaki, D.D. Quantifying the Scaling Effects of Urban Green Infrastructure on Air Quality and Greenhouse Gas Dynamics: Insights from a Multi-Site Evaluation in Athens, Greece. Sustainability 2025, 17, 10310. https://doi.org/10.3390/su172210310
Bani Khalifi N, Platymesi K, Vlachos S, Bartzanas T, Avgoustaki DD. Quantifying the Scaling Effects of Urban Green Infrastructure on Air Quality and Greenhouse Gas Dynamics: Insights from a Multi-Site Evaluation in Athens, Greece. Sustainability. 2025; 17(22):10310. https://doi.org/10.3390/su172210310
Chicago/Turabian StyleBani Khalifi, Negin, Kleio Platymesi, Stavros Vlachos, Thomas Bartzanas, and Dafni Despoina Avgoustaki. 2025. "Quantifying the Scaling Effects of Urban Green Infrastructure on Air Quality and Greenhouse Gas Dynamics: Insights from a Multi-Site Evaluation in Athens, Greece" Sustainability 17, no. 22: 10310. https://doi.org/10.3390/su172210310
APA StyleBani Khalifi, N., Platymesi, K., Vlachos, S., Bartzanas, T., & Avgoustaki, D. D. (2025). Quantifying the Scaling Effects of Urban Green Infrastructure on Air Quality and Greenhouse Gas Dynamics: Insights from a Multi-Site Evaluation in Athens, Greece. Sustainability, 17(22), 10310. https://doi.org/10.3390/su172210310

