1. Introduction
Climate change poses an escalating challenge to the United States, with NOAA estimating climate-related disasters already cost the economy
$150 billion annually. Regions like South Florida face projected damages exceeding
$5.6 billion annually by 2050 from hurricanes (
https://www.noaa.gov/news-release/climate-change-impacts-are-increasing-for-americans?) (accessed on 12 October 2025), flooding, and heatwaves, while New Orleans, despite its
$14.4 billion levee system, remains vulnerable to subsidence and sea-level rise. In response, the U.S. has enacted ambitious climate policies, most notably the Inflation Reduction Act (IRA)—the largest federal climate investment in history—alongside the Infrastructure Investment and Jobs Act (IIJA), targeting renewable energy expansion, electric vehicle (EV) adoption, carbon capture, and grid modernization. These measures align with national goals of cutting emissions 50–52% by 2030 (
https://www.vox.com/climate/459718/hurricane-katrina-new-orleans-levees-twenty-years-disaster?) (accessed on 12 October 2025), achieving a zero-carbon power sector by 2035, and net-zero emissions by 2050 [
1]. At the same time, the role of industrial robots and automation is beginning to attract attention, as they hold the potential to enhance energy efficiency in manufacturing, optimize resource use, and reduce CO
2 intensity in production [
2]. However, just as with renewables, their contribution to climate mitigation is uneven; efficiency gains may be offset by scale effects if automation drives increased industrial output [
3]. This creates a new dimension for U.S. sustainability policy, one that links clean energy deployment with advanced manufacturing strategies.
The adoption of industrial robots has significant implications for CO
2 emissions through efficiency, productivity, and scale effects. On one hand, robots improve manufacturing efficiency, reduce energy intensity, and minimize waste, which can collectively lower emissions [
4,
5]. By automating repetitive and energy-intensive tasks, firms can achieve more precise resource allocation and adopt greener production processes. Empirical studies from China suggest that robotization has contributed to declines in carbon intensity across several industries, as automation fosters cleaner and smarter production systems [
6,
7]. However, robots can also trigger rebound effects: increased efficiency may lead to expanded production and energy consumption, which, in turn, could raise emissions [
5]. This duality highlights the complexity of robotization’s environmental impact, making its net effect dependent on the energy mix, regulatory environment, and broader economic context.
Education complements this technological shift by serving as an enabler of sustainable transitions. Human capital theory emphasizes that higher education equips individuals and firms with the knowledge and skills necessary to innovate, adopt cleaner technologies, and support sustainable practices [
8]. Educated workforces are more likely to engage in research and development of low-carbon technologies, to implement energy-saving measures in industries, and to support policies that encourage renewable energy adoption [
9]. Moreover, education plays a moderating role by accelerating the Environmental Kuznets Curve (EKC) turning point, allowing economies to achieve emission reductions earlier in their development trajectory. Thus, while industrial robots directly influence emissions through technological efficiency, education indirectly amplifies this effect by creating the social, cognitive, and institutional capacity to maximize environmental benefits from automation
This study aims to quantify the effects of industrial robot adoption, education, financial development, energy transition, and economic growth on CO2 emissions. Based on the above information, the current study proposed the following research questions based on the research objectives as follows:
- (a)
What is the effect of industrial robots on CO2 emissions?
- (b)
How does education influence CO2 emissions?
- (c)
What is the impact of the energy transition on CO2 emissions?
- (d)
Does economic growth affect CO2 emissions?
This study contributes to the literature in the following ways: This study systematically examines the impact of industrial robots on CO2 emissions, thereby expanding the scope of environmental sustainability research. While prior studies have largely emphasized the role of energy consumption, economic growth, or financial development in shaping emissions, the integration of automation and industrial robotics into this discourse provides a novel dimension. By doing so, the study not only enriches the understanding of technological innovation as a determinant of environmental outcomes but also reshapes the direction of policy recommendations toward fostering cleaner and smarter industrial transformation.
In addition, this study advances the methodological frontier by considering the quantile distributions of both the dependent and independent variables. Unlike conventional mean-based approaches, the quantile-on-quantile framework allows for the identification of heterogeneous effects across different levels of emissions and robot adoption. This approach helps uncover hidden dynamics that remain invisible in traditional analyses, such as whether the mitigating impact of industrial robots is stronger in high-emission regimes or more relevant in low-emission contexts. As such, the methodological innovation offers more nuanced insights for policymakers seeking targeted strategies to address environmental challenges.
Finally, the findings of this study hold broader implications that transcend national boundaries. By providing a rigorous analytical framework, the study can serve as a template for both developed and developing nations in designing context-specific sustainability policies. The insights derived from the United States, as a case study, can inform comparative analyses and guide international efforts to balance industrial modernization with environmental preservation. Thus, the policy lessons generated here can contribute not only to domestic strategies but also to global discussions on aligning technological progress with carbon neutrality goals.
The subsequent sections are organized as follows:
Section 2 reviews the relevant literature;
Section 3 and
Section 4 present the data, methodology, and discussion of findings; and
Section 5 provides the conclusion and policy implications.
4. Results
4.1. Descriptive Statistics and Correlation
Table 5 reports the descriptive statistics for FD, lnCO
2, lnEG, lnIROB, EDU, URB, and lnET. The results show that FD has the widest variation (44.81–54.05), while lnEG and lnCO
2 exhibit relatively narrow ranges, reflecting stability in economic and emission trends. Mean and median values are closely aligned for all variables, indicating generally symmetric distributions, although skewness measures reveal that FD and URB are left-skewed while lnEG and lnET are slightly right-skewed. Most variables display negative kurtosis, suggesting flatter-than-normal distributions, except FD and URB which are moderately peaked. Standard deviations confirm that FD is the most volatile, while lnEG and lnCO
2 are more stable. The Jarque–Bera test rejects normality for FD, EDU, lnCO
2, lnEG, and URB, but not for lnIROB and lnET, implying the need for robust estimation techniques. Overall, the descriptive results highlight cross-variable heterogeneity, stability in growth and emissions, and the importance of non-normality considerations in subsequent econometric modeling.
Focusing on lnCO
2, the correlation heatmap (see
Figure 1) shows its strongest inverse correlations with the energy-transition proxy lnET (−0.899) and with lnEG (−0.869) and lnIROB (−0.764), implying that periods with greater energy transition, higher logged output, and industrial activity in this sample are associated with lower logged CO
2 emissions. By contrast, lnCO
2 is only weakly positive with URB (0.264) and essentially uncorrelated with FD (−0.014).
4.2. Nonlinearity and Normality Result
Table 6 presents the BDS test results for FD, lnCO
2, lnEG, lnIROB, URB, EDU, and lnET across embedding dimensions (M2–M6). The consistently large and highly significant statistics (***
p < 0.01) for all variables strongly reject the null hypothesis of independent and identically distributed (i.i.d.) series. This implies the presence of nonlinear dependence and complex dynamics in the data, indicating that the series are not purely random. Consequently, linear models alone may be insufficient, and more advanced nonlinear econometric techniques are required to adequately capture the underlying relationships among the variable.
The QQ panels indicate varying departures from normality across variables (see
Figure 2). FD and EDU tracks the 45° line through the center but bends away in the lower tail, consistent with the earlier negative skew and JB rejection. lnCO
2 shows a mild S-shape, implying platykurtosis (light tails) with slight skew. lnEG is close to linear in the middle but curves upward at the upper tail, suggesting a touch of right-skew. By contrast, lnIROB lies closest to the reference line with only minor tail drift—aligning with its non-rejection of normality. URB displays the largest deviations at both tails and some curvature, corroborating strong non-normality. Finally, lnET is mostly aligned with small right-tail divergence. Overall, these plots confirm that several series are not Gaussian—especially in the tails—supporting the use of robust, distribution-sensitive methods (e.g., quantile models) in subsequent analysis.
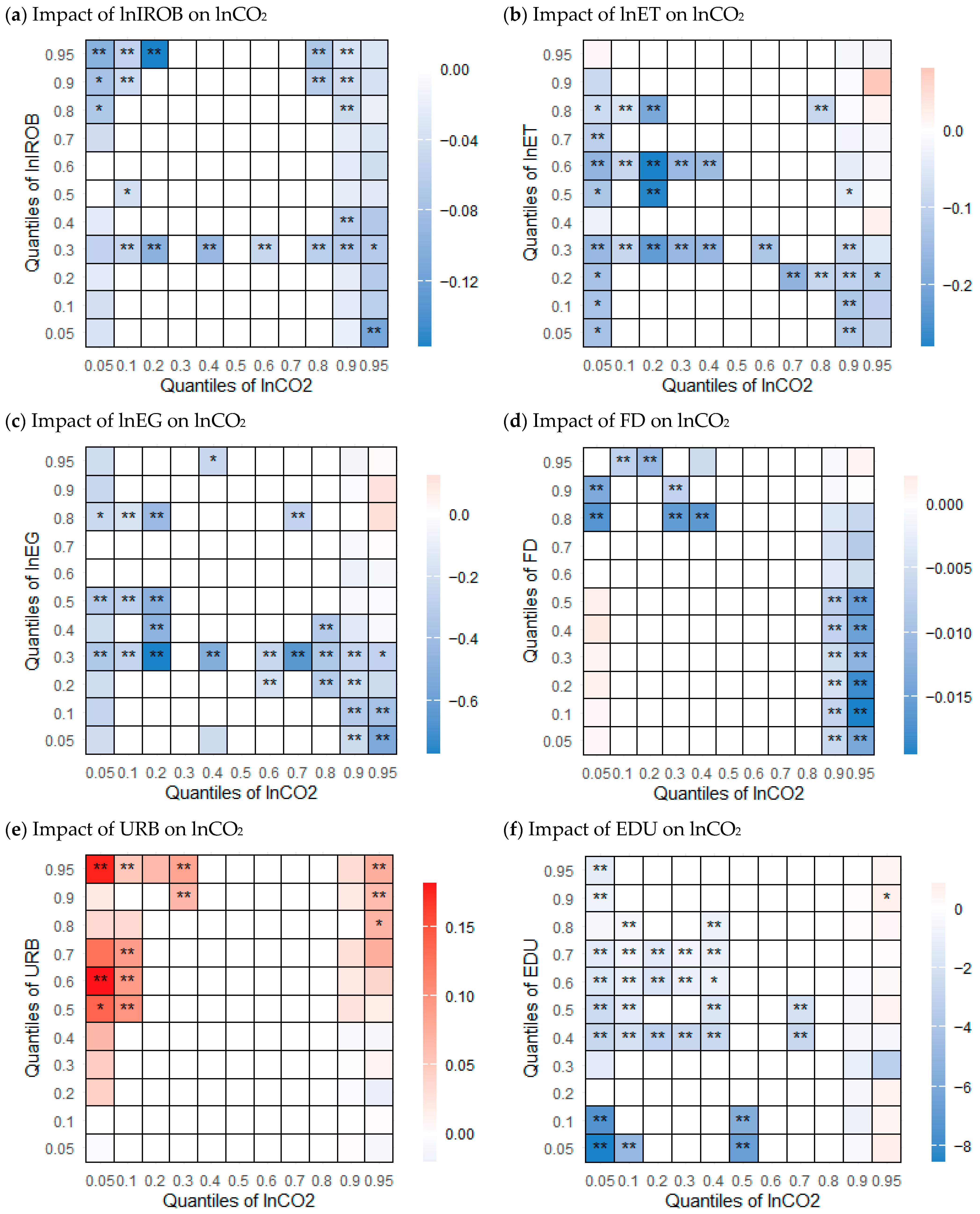
4.3. Quantile-on-Quantile ARDL Long-Run Estimates
The study employs the QQARDL approach to investigate the relationship between CO
2 emissions and its determinants. First, the long-run associations are examined, as illustrated in
Figure 3a–e. Regarding IROB and CO
2 (Panel a) the results show a predominantly negative and often statistically significant relationship across the quantile–quantile map, meaning higher robotization is associated with lower CO
2 in many states of the world. The mitigation is strongest in the tails: when CO
2 sits in its lowest quantiles (0.05–0.20) and robotization is high (0.90–0.95), and again when CO
2 is in the upper tail (0.90–0.95) for a wide range of IROB quantiles. Around the middle quantiles of both variables the effects thin out, suggesting a plateau where efficiency gains and scale effects offset each other. Interpreted economically, diffusion of industrial robots appears to cut emissions—likely via precision, energy efficiency, and process optimization—especially during low-emission or high-stress (high-emission) regimes. The impact of ET of CO
2 is shown in
Panel (b) with the results indicating that a deeper energy transition is linked to CO
2 reductions across most combinations of lnET and CO
2 quantiles as shown. The largest abatement shows up when the energy-transition index lies in the mid–upper quantiles (≈0.50–0.80) and CO
2 is low to mid (≈0.05–0.40)—consistent with clean power and efficiency locking in early gains. A small pink patch in the top-right corner (very high lnET with very high CO
2) hints at a temporary positive association, plausibly reflecting transition frictions (e.g., fossil backup, ramping/storage needs) when systems are simultaneously energy-hungry and rapidly greening. Overall, lnET is the broadest and most robust CO
2 mitigator in the grid.
Likewise, the effect of EG on CO2 (Panel c) features extensive negative and significant coefficients, implying decoupling: growth is associated with lower CO2 in much of the distribution. The effect is especially strong when CO2 sits in its lower quantiles (0.05–0.30) and growth is low–mid (0.10–0.50), and also when CO2 is very high (0.90–0.95) with low-to-mid growth—suggesting that efficiency, sectoral upgrading, and cleaner energy inputs dominate the scale effect in these regimes. Near the top-right (very high EG and very high CO2) significance fades and signs can approach zero, which is consistent with the idea that, at extreme demand, abatement requires complementary policies (renewables, storage, pricing) to keep growth green. Furthermore, Panel d shows FD and CO2 association with the result showing mostly negative and significant effects concentrated where CO2 is high (0.90–0.95) across several FD quantiles, and also at very low FD for low-CO2 states. This pattern suggests that deeper financial systems tend to reduce emissions when they are most elevated, likely by enabling investment in cleaner technologies, energy-efficiency retrofits, and low-carbon infrastructure. In low-emission regimes, the FD–CO2 link is weaker or insignificant, implying that green finance’s marginal impact is greatest when abatement opportunities are large (i.e., at the dirty end of the distribution). Put differently, finance behaves like a shock absorber, tightening the growth–emissions link where it matters most.
Furthermore, URB and CO2 (Panel e) association flips the sign. When URB sits in its upper quantiles (≥0.60) and CO2 is low to mid (0.05–0.30), and again at very high CO2 (0.90–0.95). Urban population growth therefore raises emissions in most states—consistent with higher transport demand, construction, and electricity use—unless paired with compact city design, mass transit, and clean grids. The effect weakens toward the mid-range of both distributions, but the persistent positives at the upper URB quantiles highlight that, without urban-form and energy-mix reforms, densification is emissions-intensive. Lastly, the CO2 and EDU (see Panel f) show strong and significant negative effects, suggesting that increases in education reduce emissions more effectively when both variables are at low-to-mid levels.
4.4. Short-Run QQ-ARDL Results
Next, we check the short-run QQ-ARDL results.
Figure 4a–e shows the short-run QQ-ARDL results.
Panel a show the effect of IROB on CO
2. Short-run impacts from industrial robots are mostly positive (red), with significance pockets at the extremes (e.g., very low and very high CO
2 quantiles). Interpreted economically, when robot adoption jumps—especially from very low or very high robotization states—it can temporarily raise emissions, likely via installation, ramp-up, or scale effects (output expands before efficiency gains materialize). The sparse significance in the mid–mid cells suggests that once robotization is “normal” and CO
2 sits near its median, the immediate effect is weaker—consistent with adoption frictions at entry/expansion and smaller marginal effects in steady states.
Panel b shows the effect of ET on CO2 with the result showing widespread positive and significant short-run coefficients. This is a classic transition-friction pattern: in the very short run, grid balancing, backup thermal generation, storage build-outs, and construction/installation activity can raise CO2 even as the system is moving toward cleaner generation. Note that magnitudes are modest (color bar tops near ~0.15), and the effect is broad across quantiles—i.e., higher lnET tends to be followed by small, immediate CO2 upticks regardless of whether CO2 is currently low or high. In longer horizons, the sign typically flips as the cleaner capacity displaces fossil generation. Likewise, Economic growth (see Panel c)’s short-run effect is also uniformly positive across the grid (many significant cells). The pattern is consistent with the scale effect dominating on impact: demand for energy, transport, and materials expands before technique/composition improvements kick in. Importantly, the color bar for lnEG again indicates small elasticities (≈0.05–0.13), suggesting that while growth reliably nudges CO2 up in the short run across most states, these are incremental effects that could be offset by concurrent green investments or tighter policy.
FD (see Panel d) exhibits uniformly negative short-run effects and the magnitudes are comparatively larger (scale to roughly −0.9). This implies that when finance deepens, near-term CO2 falls, plausibly because credit access accelerates efficiency retrofits, renewable connections, and cleaner capital purchases right away. URB (see Panel e) is also negative across all quantiles here—an uncommon but interpretable short-run result: in contexts where urban growth coincides with densification, transit expansion, and electrification of end-uses, the immediate effect can be CO2-reducing (less per capita travel, shorter supply chains). Regarding Panel f, the result shows a consistently strong and significant negative relationship between EDU and CO2 across all quantile combinations. The results show that from the lowest to the highest quantiles, improvements in education are robustly associated with reductions in CO2 regardless of the distributional levels of either variable. This suggests that education serves as a powerful and stable driver of environmental quality, with its mitigating effect on emissions being both persistent and statistically significant across the entire spectrum.
4.5. Error-Correction Term Result
Next, we examine the error-correction term (ECT) to verify a stable long-run equilibrium (
Figure 5) and to quantify how quickly short-run deviations are corrected: in an ECM, a negative, significant speed-of-adjustment coefficient
on the lagged cointegrating residual indicates mean reversion toward equilibrium. In our QQARDL-ECM, each heatmap cell reports a state-dependent long-run elasticity of
with respect to a regressor, conditioning jointly on a quantile of the regressor (rows) and a quantile of
(columns). With quarterly data, the magnitude of
has a direct temporal meaning:
implies ~20% of the disequilibrium is removed per quarter. We report the implied half-life as
(in quarters), so, for example,
quarters (
years),
quarters (
years),
quarters (
years). In our estimates,
is negative and significant across the vast majority of quantile pairs and becomes more negative in upper
quantiles—signaling faster re-equilibration in high-emissions states. Substantively, the ECM long-run elasticities are uniformly negative for IROB, ET, EG, FD, EDU, and URB across nearly all quantile combinations, with the largest abatements concentrated in high-emissions regimes. Coupled with the larger
in those regimes, this implies not only stronger equilibrium decarbonization but also shorter adjustment half-lives after shocks—i.e., transitory emissions surges dissipate more rapidly as the economy returns to a cleaner long-run path. Policy-wise, instruments that increase
—such as green credit that speeds capital turnover, robot-enabled industrial upgrading, firm-level clean-power adoption, and compact-city design—do not merely lower the long-run emissions level; they accelerate convergence, reducing off-target time and cumulative emissions.
4.6. Quantile Granger Causality Results
Next, we employed Quantile Granger causality (QGC) to examine the causal association between the variables. QGC (see
Figure 6) asks whether past values of a driver
help predict specific parts of the conditional distribution of
—here,
—not just its mean. Each panel plots the QGC F-statistic across quantiles
. Points above the horizontal critical lines indicate rejection of the null of “no Granger causality” at the corresponding significance level for that quantile. In plain terms: when the curve crosses a line, the predictor adds information for that
state of
(low, median, or high outcomes), revealing state-dependent, potentially asymmetric predictability that a mean-based test would miss. Likewise, causality from EG to
shows very strong causality at low quantiles (left side), which fades toward the upper tail—economic growth predicts
mainly in low-emission states. IROB shows strong predictive power over CO
2 at the very low quantiles and remains intermittently significant around the middle, pointing to industrial activity as a key predictor when
is subdued and during some normal conditions. Causality from URB to
is significant around
and then vanishes, suggesting urbanization matters chiefly in lower-emission regimes. Moreover, FD shows predictive power over
peaks near the lower–middle quantiles and becomes insignificant at higher quantiles, implying finance-driven effects are concentrated away from extremes. In contrast, ET can significantly forecast
in the middle-to-upper quantiles
, indicating energy-transition dynamics have their strongest predictive content when
is higher. Overall, causality is heterogeneous across the distribution, underscoring that policy levers (finance, growth, industrial activity, urbanization, and energy transition) influence emissions differently across low, typical, and high
states.
5. Discussion
For the United States, the QQ-ARDL maps portray a coherent long-run decarbonization narrative with clear state dependence that mirrors recent U.S. experience. The long-run negative IROB–CO
2 association holds over most quantiles and tends to be larger in higher-emissions states, indicating stronger gains from robot diffusion when the system is carbon-intensive. Short-run responses are more uneven, but the adjustment path converges toward the same decarbonizing steady state, reinforcing a persistent efficiency channel. The result is consistent with evidence that robotization lowers energy intensity and emissions by tightening precision, process control, and resource efficiency, while also curbing scrap and rework [
10,
33]. Policywise, pairing continued robot adoption with clean-power sourcing and workforce upskilling would amplify these long-run CO
2 reductions and help lock them in across the distribution. For example, [
34] find that industrial robots reduce CO
2 via efficiency and green-innovation channels; related work reports reductions in both intensity and levels of industrial CO
2 as robot adoption deepens. Yet the QQ-ARDL short-run panel for IROB—positive impacts at the extremes—accords with rebound and scale-up frictions emphasized in the efficiency literature: when technologies first arrive or expand rapidly, installation, ramp-up, and output responses can temporarily lift energy use and emissions before technique effects dominate. The rebound literature underscores this transitory risk [
35,
36], which provides a plausible mechanism.
The ET panels fit U.S. power-sector evidence: renewables and related policies reduce emissions in the long run, but integration can entail short-run frictions. Causal estimates from U.S. markets show that wind generation and renewable policies deliver sizable avoided CO
2 and criteria-pollutant emissions (Texas, California, and the Upper Midwest), matching the negative long-run ET effects in the maps. Conversely, the concentration of positive short-run ET cells is compatible with operational cycling and construction-phase dynamics that can temporarily trim net savings unless balanced by flexible resources and storage; life-cycle and system studies report that increased cycling can erode emissions gains when fossil units operate inefficiently to balance variable renewables. The data thus support the observed pattern: small, broad short-run upticks turning into persistent long-run abatements as clean capacity displaces fossil generation [
37,
38].
Economic growth (EG) exhibits long-run decoupling—negative effects concentrated when CO
2 is low or very high—consistent with U.S. evidence that the 2005–2015 decline in emissions was driven by fuel-mix shifts and efficiency, though decoupling is uneven across states and sectors. The apparent tension with our contemporaneous correlations (CO
2 negatively correlated with lnEG and lnET) versus the short-run QQARDL panels (widespread positive impacts of EG and ET on CO
2) is expected: correlations reflect average co-movement, while QQARDL identifies dynamic short-run multipliers that can turn positive during adjustment—e.g., near-term demand surges, scale effects, or transition investments (renewable build-out, grid upgrades) that temporarily raise emissions before efficiency gains dominate. This reconciles our maps’ fading significance where CO
2 and EG are jointly extreme and supports the view that sustaining ‘green growth’ at high demand requires complementary policy [
39,
40,
41]. For finance, the result that FD reduces CO
2 most in high-emission states aligns with time–frequency evidence that deep, clean-oriented finance lowers emissions and with threshold findings that FD’s effect flips from positive to negative once systems mature [
42]; still, studies in earlier-development contexts report FD raising energy demand and emissions [
43,
44,
45]—a counterpoint our quantile-specific QQARDL estimates explicitly capture.
Finally, the URB panels reflect U.S. urban-form realities. The long-run positive URB–CO
2 association is consistent with studies documenting that sprawling, auto-oriented patterns raise household and transport emissions, while the short-run negative URB cells (on impact) are compatible with densification and transit expansions that reduce per capita travel and energy use in the near term [
46,
47]. Classic U.S. evidence shows denser neighborhoods cut vehicle use and fuel consumption, and urban economics work links compact form and transit to lower metropolitan CO
2—precisely the package our discussion highlights as a policy complement to ET. In the United States, the strong negative relationship between education (EDU) and CO
2 emissions can be explained by the role of education in fostering environmental awareness, technological innovation, and the adoption of cleaner energy practices, which collectively drive sustainable consumption and production patterns. Higher educational attainment enhances human capital, leading to greater investment in renewable energy and improved environmental regulations, thereby reducing emissions. Empirical evidence supports this view, as [
43,
48] find that education significantly contributes to environmental sustainability through knowledge diffusion and green innovation. However, some studies, such as [
49], argue that in advanced economies, the environmental benefits of education may be offset by higher consumption and industrial activities driven by an educated workforce, suggesting that the relationship could be context-dependent.
The negative and significant error-correction terms across most quantile pairs then imply stable convergence to cleaner equilibria, with faster adjustment in high-emission states—policy-relevant because instruments that deepen green finance, accelerate robot-enabled upgrading, and reshape urban form can both lower the long-run CO2 level and shorten the time spent off-target. Furthermore, the heterogeneous Quantile Granger-causality (QGC) results reported—e.g., EG, ET, EDU, IROB and FD significantly predict CO2 at various quantiles.
6. Conclusions and Policy Directions
6.1. Conclusions
Industrial robots and education emerge as twin pillars of environmental sustainability, driving efficiency, innovation, and behavioral change toward a low-carbon future. Together, they highlight how technological advancement and human capital development can jointly accelerate the United States’ path to long-run decarbonization. The study used data from 2011Q1 to 2024Q4 and employed the recently introduced QQARDL estimator. The QQARDL results show that CO2 emissions respond asymmetrically to their determinants across quantiles. Industrial robot adoption, education and energy transition generally reduce emissions, with the strongest effects in extreme low- and high-emission regimes, while economic growth and financial development also support decarbonization, particularly when emissions are elevated. In contrast, urbanization tends to raise emissions unless combined with compact planning and clean energy systems. Short-run estimates differ, as robots, growth, and transition temporarily increase emissions due to scale and adjustment frictions, whereas finance and urbanization exert immediate reductions. A negative and significant error-correction term confirms stable long-run convergence, especially in high-emission states, while quantile Granger causality highlights state-dependent predictive power of growth, robotization, finance, urbanization, and energy transition.
6.2. Policy Implications
- (1)
The long-run negative relationship between robotization (IROB) and CO2 suggests that policies encouraging industrial automation can significantly aid decarbonization. The U.S. government should therefore provide tax credits and grants for firms that adopt energy-efficient robotics and AI-driven precision technologies. However, given the short-run rebound risks where installation and ramp-up temporarily increase energy use, complementary policies—such as requiring efficiency audits, mandating the use of renewable power for new automated facilities, and expanding energy efficiency standards—are needed to ensure immediate environmental gains rather than temporary emission spikes.
- (2)
The long-run emission-reducing effect of renewable ET aligns with U.S. experience in states like Texas and California. Yet short-run frictions—such as higher emissions from fossil cycling and construction phases—highlight the need for flexible balancing mechanisms. Policy should prioritize large-scale energy storage (batteries, pumped hydro), transmission upgrades, and demand-response programs to smooth renewable integration. Federal incentives under the Inflation Reduction Act (IRA) could be expanded to cover advanced storage and regional grid interconnection, reducing the risk of short-term emission rebounds and maximizing long-run benefits.
- (3)
The results confirm that EG can decouple from emissions in the long run, but only under favorable energy mixes and efficiency improvements. Thus, the U.S. should adopt differentiated decarbonization policies across sectors—tightening standards for heavy industries, while promoting circular economy practices and green R&D in high-tech sectors. Carbon border adjustment mechanisms and renewable portfolio standards can help lock in decoupling gains. Additionally, fiscal incentives for green innovation—especially in transport and manufacturing—should be scaled to avoid the re-coupling risk at high output levels.
- (4)
Since FD reduces emissions primarily in high-emission states, U.S. policy should focus on strengthening the green orientation of capital markets. Expanding green bond markets, introducing stricter disclosure rules for climate-related risks, and incentivizing banks to allocate loans to renewable projects can accelerate this channel. Furthermore, regulatory guidance from the Federal Reserve and SEC should embed climate stress-testing into financial stability assessments, ensuring that finance remains a tool for emissions reduction rather than an amplifier of carbon-intensive growth.
- (5)
The positive long-run association between URB and CO2 emissions in the U.S. highlights the environmental costs of sprawling, auto-oriented patterns. Policies should therefore incentivize compact city planning, transit-oriented development, and affordable housing near job centers. Federal and state governments can expand funding for public transit, cycling infrastructure, and smart mobility systems while discouraging car-dependent zoning. By fostering urban density and mixed land use, cities can reduce transport emissions, a critical complement to renewable energy deployment.
- (6)
The robust negative EDU and CO2 link underscores the importance of education as a long-term decarbonization tool. Expanding environmental curricula in schools, universities, and workforce training can foster a culture of sustainable consumption, green entrepreneurship, and civic support for climate policy. Federal funding for STEM and green innovation education should be coupled with awareness programs that encourage households and firms to adopt low-carbon lifestyles. At the same time, addressing concerns that higher education may increase consumption requires embedding sustainability principles across disciplines, ensuring that education translates into greener behavior rather than rebound demand.
6.3. Managerial Implications
U.S. operations and plant managers (manufacturing, logistics), together with CTO/COO and the Chief Sustainability Officer (CSO), should jointly govern automation-energy integration. Managers who currently view robotics/AI as inherently energy-intensive should revise this prior to a lifecycle perspective: robots can lower energy intensity and emissions when deployments include pre-deployment baselining, off-peak installation, and concurrent clean-power procurement (on-site solar or PPAs). Facilities/Energy managers should similarly replace the belief that “rebound effects are unavoidable” with the view that they are manageable through on-site storage, demand-response participation, smart-grid controls, and quarterly M&V audits designed to deliver measurable intensity declines within 12–24 months.
Business-unit (BU) leaders and sector heads should own sector-tailored decarbonization playbooks. In heavy industry (steel, cement, chemicals), production managers who assume decarbonization is incompatible with high-temperature processes should update their view toward electrification of heat, heat recovery, and carbon-capture pilots as staged, economically testable options. In technology and services, product and service operations managers who treat emissions as exogenous to growth should adopt a decoupling mindset, scaling digitalization (predictive maintenance, scheduling), eco-design, and cloud-to-clean-grid mapping. Each BU must publish interim targets, capex timelines, and intensity KPIs with third-party assurance—shifting from generic net-zero pledges to accountable, sector-specific roadmaps.
CFOs/treasurers, boards/audit committees, and real-estate/mobility/construction managers should align capital and governance with transition execution. Finance leaders who regard green instruments as costly signaling should reframe them as cost-of-capital optimizers (sustainability-linked loans, green bonds with verifiable step-downs) and embed internal carbon prices in hurdle rates. Boards that see climate disclosure as reputational should upgrade to decision-useful oversight (science-based targets, scenario analysis). Urban-facing managers who assume policy incentives are peripheral should pivot to compact, low-carbon urban development (transit-oriented housing, EV charging, smart mobility) to de-risk projects and access U.S. incentive structures.
HR/L&D leaders, plant supervisors, and product/process engineers should institutionalize green human capital as an operational capability. Supervisors who treat sustainability as compliance training should shift to capability building (energy diagnostics, circular design, energy-aware robotics) embedded in job descriptions and promotion criteria. Engineers who view efficiency as a one-off project should adopt continuous improvement with carbon/efficiency KPIs and incentive-compatible frontline idea systems that reward waste and energy reductions. Investor-relations teams that underweight human-capital disclosures should reorient communications toward verified upskilling outcomes, signaling adaptability and enhancing access to long-horizon, U.S. ESG-aligned capital.
6.4. Investor Implications
- (1)
For managers, the findings underscore the need to treat decarbonization as a strategic opportunity rather than a regulatory cost. Firms should accelerate the adoption of robotics, renewable integration, and sector-specific low-carbon innovations to boost efficiency while reducing emissions. Short-run frictions, such as rebound effects from automation or renewable cycling, can be mitigated through renewable sourcing, energy storage, and efficiency audits. Embedding sustainability into workforce training further ensures that human capital supports innovation-driven decarbonization, strengthening both operational performance and market reputation.
- (2)
For investors, the evidence highlights the value of allocating capital toward firms that are proactively engaged in the green transition. Companies that invest in clean technologies, flexible energy systems, and green financing instruments are better positioned to deliver stable returns while minimizing exposure to climate policy risks. Green bonds, ESG-linked loans, and firms with credible decarbonization strategies provide investors with risk-adjusted opportunities aligned with both regulatory shifts and growing demand for sustainable portfolios.
Together, the managerial and investor implications point to a convergent U.S. decarbonization trajectory that requires coordinated action. Managers must integrate automation, renewable energy, urban-oriented strategies, and sustainability education into corporate practice, while investors should channel capital toward these frontrunners to accelerate and benefit from the transition. This dual alignment not only supports national climate goals but also secures long-term competitiveness, resilience, and profitability across sectors in the evolving low-carbon economy.
6.5. Implications for the Globe
Because climate damages are a global externality, U.S. decarbonization primarily produces planet-wide benefits while the domestic climate effects may be diffuse or lagged; this shifts managerial and policy evaluation from “local payoff” to “global welfare” and technology-spillover logic. Practically, U.S. firms and agencies should justify mitigation not only by in-country emissions cuts, but by (i) accelerating learning curves for clean technologies (through scale, standards, and procurement), (ii) inducing international diffusion via supply-chain requirements and open IP/technical assistance, and (iii) reducing policy risk by aligning with emerging global norms. To contain carbon leakage and competitiveness concerns, managers should pair decarbonization with verifiable MRV systems, low-carbon procurement, and support for border-adjustment/club arrangements that reward credible abatement. Co-benefits—air-quality, resilience, and innovation rents—remain material domestically, but success metrics should also include exported abatement (emissions avoided abroad through U.S. tech and standards) and contributions to global temperature pathways. In short, U.S. mitigation strategy should be framed as a global public-good provision where domestic actors capture value through innovation leadership, risk hedging, and access to climate-aligned capital—even when immediate, country-level climate effects are modest.
6.6. Limitation and Future Direction
A key limitation of this study lies in its focus on aggregate national-level data, which may mask important regional or sectoral heterogeneities within the United States. For instance, the environmental effects of industrial robots or education may differ across states depending on energy mixes, labor market structures, and policy frameworks. Additionally, the study primarily captures long-run and short-run associations but does not fully account for potential non-linear spillovers from global shocks, such as geopolitical conflicts or international technology transfers, which could reshape the dynamics. Future research should therefore extend the analysis by employing disaggregated state-level or industry-level datasets, integrating cross-country comparisons, and incorporating additional sustainability indicators such as biodiversity, waste management, and water usage. Moreover, adopting advanced machine learning and multi-frequency econometric techniques could further enrich the understanding of how technological change and human capital interact to drive sustainable transitions under varying socio-economic and policy conditions.