Next Article in Journal
Sediment Quality in an Anthropogenically Disturbed Shallow Lake: A Case Study of Baiyangdian Lake
Next Article in Special Issue
Sustainable Innovation Through University–Industry Collaboration: Exploring the Quality Determinants of AI Patents
Previous Article in Journal
A New Tool for the Sustainable Use of Marine Space
Previous Article in Special Issue
Exploring Digital Economy, Industrial Structure Upgrading, and Regional Green Development in the Five Provinces of Northwest China
 
 
Font Type:
Arial Georgia Verdana
Font Size:
Aa Aa Aa
Line Spacing:
Column Width:
Background:
Article

How Data-Driven Synergy Between Digitalization and Greening Reshapes Industrial Structure: Evidence from China (2012–2022)

School of Economics and Management, North University of China, Taiyuan 030051, China
*
Author to whom correspondence should be addressed.
Sustainability 2025, 17(22), 10183; https://doi.org/10.3390/su172210183
Submission received: 15 September 2025 / Revised: 10 November 2025 / Accepted: 11 November 2025 / Published: 14 November 2025

Abstract

Digitalization and greening are two fundamental forces shaping the current technological revolution and industrial transformation, serving as key pathways for nations to achieve sustainable development goals. Drawing on panel data from 30 Chinese provinces from 2012 to 2022, this study constructs indicators of digitalization and greening from the perspectives of data empowerment and technological efficiency improvement and examines how their synergistic development influences industrial structure optimization. The findings reveal the following: (1) although the overall synergy between digitalization and greening has steadily increased, regional disparities persist, displaying an “East strong–West weak” pattern, with inter-regional differences being the primary source of overall imbalance; (2) through the mediating role of environmental regulation, the coordinated advancement of digitalization and greening exerts a significant positive effect on industrial structure optimization; (3) heterogeneity analysis indicates a gradient empowerment effect, showing that the impact of digitalization–greening synergy on industrial structure optimization follows a “West > Central > East” pattern. These results provide both theoretical and empirical evidence for understanding how digitalization and greening jointly drive sustainable development. The study offers practical insights for guiding traditional industries to integrate into circular economy systems through “digitalization + greening” transformation and recommends that governments adopt differentiated strategies tailored to local conditions, enhance digital infrastructure, promote green initiatives, deepen reforms, and innovate regulatory frameworks to foster the synergistic advancement of digitalization and greening.

1. Introduction

Amid the global wave of technological innovation and the green low-carbon transition, the deep integration of digitalization and greening is profoundly reshaping industrial structures and development paradigms worldwide [1]. This dual transformation has emerged as a vital pathway for countries to achieve their sustainable development goals [2]. In the era of the digital economy, technologies such as big data, artificial intelligence, cloud computing, and the Internet of Things are advancing rapidly, fundamentally transforming production organization, industrial systems, and social operation models, thereby injecting new momentum into economic growth [3]. Meanwhile, as China’s economy continues to expand, the resource and environmental constraints of traditional extensive development models have become increasingly pronounced. Confronted with a complex international environment and stringent ecological requirements, China has resolutely implemented innovation-driven and sustainable development strategies. It seeks to integrate the national visions of “Digital China,” “Green China,” and high-quality development, explicitly emphasizing the acceleration of coordinated progress between digitalization and greening. In recent years, China has continuously promoted the “dual transformation coordination”. In April 2024, the Cyberspace Administration of China, together with the National Development and Reform Commission and eight other ministries, issued the Implementation Guidelines for Coordinated Digitalization and Greening, outlining a comprehensive plan for the dual transformation. In April 2025, the Cyberspace Administration and nine additional departments jointly released the Key Tasks for Coordinated Digitalization and Greening Development in 2025, specifying twenty-two key tasks across four areas: low-carbon digital industries, digital technologies empowering greening, green initiatives driving digital industry growth, and integrated policy coordination. These actions mark a new stage in the systematic implementation of China’s “dual transformation coordination”. Globally, many countries have also introduced policy frameworks and moved into substantive implementation to promote the synergistic advancement of digitalization and greening. Over a decade ago, the European Union launched its European Industrial Digital Transformation strategy, advocating the application of next-generation information technologies to empower industries and accelerate the transition from traditional manufacturing to digital and green production models [4]. Concurrently, the European Green Deal and the European Circular Economy Action Plan were launched to further decouple resource use from economic growth. Similarly, the United Kingdom’s Modern Industrial Strategy emphasized investment in R&D and innovation to drive industrial digitalization and green upgrading [5]. Japan has likewise prioritized leveraging digital technologies to connect equipment, personnel, and departments, thereby strengthening the foundations for industrial digitalization and greening [6].
Nevertheless, the coordinated advancement of digitalization and greening still faces multiple challenges, including industrial inertia, technological gaps, and imbalances in key enabling factors. These challenges contradict the strategic objective of “digitizing green industries and greening digital industries.” On one hand, some sectors remain locked in traditional high-energy and high-emission development paths, where digitalization focuses mainly on improving efficiency while neglecting environmental sustainability. On the other hand, greening efforts are often limited to end-of-pipe solutions, overlooking the potential of digital technologies to drive systemic transformation. Such unilateral approaches constrain the effectiveness of synergistic development. Given the interdependence of digitalization and greening, their integration may produce a “1 + 1 > 2” effect. Therefore, deepening research on their combined impacts holds important theoretical and practical value for avoiding one-sided transition paths and maximizing synergistic benefits.
Existing studies primarily focus on the individual effects of digitalization and greening on industrial structure upgrading. However, few have examined their synergistic effects, and even fewer have analyzed how this synergy influences industrial structure optimization. To fill this research gap, this study employs panel data from 30 Chinese provinces between 2012 and 2022 to construct digitalization evaluation indicators from the perspective of data value transformation. It further investigates the spatiotemporal evolution of their synergistic development and explores the mechanisms through which this synergy promotes industrial structure optimization.

2. Literature Review

Previous research on the effects of synergistic digitalization and greening on China’s industrial structure has focused on three aspects: the relationship between digitalization and industrial structure, the link between greening and industrial structure, and the interaction of digitalization and greening.
First, research on digitalization and industrial structure indicates that digitalization benefits the development of cutting-edge technology industries and propels knowledge-intensive and technology-intensive sectors to become the subjects of industrial departments. It promotes efficient resource utilization and effective allocation [7] and propels the upgrading and transformation of the industrial structure [8]. Simultaneously, with the wide applications of digitalization, new modes and industries keep emerging, fostering the growth of environmentally friendly industries and further promoting industrial structures to higher levels [9]. Digitalization is fundamentally the path of sustainable transformation under a technology-driven production paradigm. Its development relies on the foundational support of data elements, the fundamental driving force of digital technologies, and the overall coordinated development embodied by the digital economy. Consequently, most researchers focus on the impact of data elements, digital technologies, and the digital economy on industrial structure. Regarding the impact of data elements on industrial structure, studies note that data elements exert a significant positive effect on industrial upgrading [10,11], with characteristics such as non-rivalry and positive externalities, and significantly influence shifts in production methods and economic restructuring. Changes in factor structures can promote substitution between industries or between factors, thereby affecting the transformation of industrial structure [12]. Simultaneously, data elements facilitate the deepening of the labor division system and the optimizing of capital and labor allocation, ultimately facilitating industrial upgrading [13]. Regarding the effects of digital technology on industrial structure, previous researchers note that, as a defining characteristic of the information age, the rapid iteration of digital technologies has profoundly reshaped the environment for corporate survival and operational development [14], bringing unprecedented opportunities for economic growth and industrial transformation [15]. Leveraging digital technologies, digital factories enable intelligent monitoring, self-analysis, and decision-making across production line processes, transforming traditional methods of industrial knowledge accumulation [16]. Huang et al. [17] found that digital technologies significantly expand the e-commerce scope, enable innovative applications, and substantially reduce trade barriers across industries. Some researchers have also explored the digital economy’s effects on industrial structure, with a relatively consistent consensus that it promotes industrial restructuring and upgrading [18,19]. By leveraging information technologies, the integration of data and information is enhanced by the digital economy. Through digital technologies, it continuously spawns new industries, business models, and formats, generating new commercial value for traditional industries and fostering novel economic activities [20]. Oloyede et al. [21] found that the digital economy leverages economies of scale and scope to improve resource allocation efficiency and also triggers structural transformation, promotes industrial development, and drives industrial upgrading. Additionally, researchers have extensively discussed how the digital economy drives industrial structure optimization through pathways such as taxation [22], factor substitution [23], and innovation and entrepreneurship [24]. In summary, driven by the integration of digital elements and advancement of digital technologies, traditional industries have achieved digitalization by improving production processes, refining traditional production factors, innovating management mechanisms and integrating digital services. This transformation not only boosts production and resource utilization efficiency but also cuts unnecessary waste. Furthermore, it reshapes traditional industrial value chains and ultimately drives the optimization and upgrading of industrial structures [25,26].
Secondly, the study of the association of greening as well as industrial structure indicates that greening has transformed the traditional industrial mode. It is characterized by an excessive reliance on factor inputs, disregard for environmental costs, and a single pursuit of economic growth [27]. High-pollution and high-energy-consuming industries are forcibly eliminated through stringent environmental standards by greening. As the core driver of industrial structure optimization, greening frees up space and resources for emerging green industries. Simultaneously, greening has given rise to a series of new industries and propelled traditional industries toward low-carbon advanced upgrades. It is also reshaping industrial value chains and driving the optimization and transformation of industrial structures. Additionally, some researchers have discussed the impact of green finance, environmental regulations, and green technological innovation on industrial structures. For instance, Yang [28] empirically demonstrated that green finance provides robust support for industrial upgrading through services such as green credit and green insurance. Wang et al. [29] indicate that environmental regulations can promote industrial optimization, with green innovation serving as an intermediary mechanism. Zhao et al. further explored the synergistic co-evolution between greening and industrial structure optimization [27]. However, the transition toward green industries has by no means been easy, as it confronts numerous challenges and obstacles [30]. In this context, Jakobsen et al. [31] proposed the concept of green industrial resilience in their study and conducted an in-depth analysis of the paths and efficacy through which industries respond to external shocks to sustain or even enhance their green initiatives.
A mutually reinforcing bidirectionally promoting relationship between digitalization and greening has been indicated by previous research. Essentially, digitalization empowers greening, while greening drives digitalization [32]. On the one hand, digitalization provides critical technological support and implementation pathways for industrial greening. On the other hand, greening—as an imperative for sustainable development—charted the course for the application and deepening of digital technologies, propelling the digital industry toward greater energy efficiency and lower carbon emissions [33]. While leveraging the digital economy to drive industrial quality and efficiency improvements, it is also essential to guide continuous innovation in digital technologies, based on an increasingly refined green standards system. This promotes deep integration between digital technologies and green manufacturing and strengthens synergistic linkages between traditional industries and emerging strategic sectors, thereby stimulating a virtuous cycle and resonance effect between the “dual transformations” [34]. However, most studies have only examined the one-sided influence between digitalization and greening, with only a few researchers noting their synergistic, bidirectional, and interactive relationship [30,34,35]. For instance, at the micro level, some researchers utilize listed company data to examine how digitalization drives industrial greening [36]. Ferreira et al. [37] drew on data from 938 Portuguese enterprises, showing that digitalization markedly enhances corporate innovation performance. Goldfarb and Tucker [38] noted that digital technology application not only drastically reduces costs across diverse sectors but also efficiently drives production process innovation. At the macro level, existing research predominantly focuses on digitalization’s empowerment role in greening. Digital technologies mitigate the information asymmetry caused by spatiotemporal mismatches in traditional economic modes, thereby effectively promoting optimal resource allocation and industrial structure upgrading, which in turn accelerates greening and low-carbon transformation [39].
In summary, the existing research findings provide valuable insights and a theoretical foundation for this study’s exploration of how the synergistic advancement of both digitalization and greening affects China’s industrial structure optimization. While there are many studies on the one-sided effects of digitalization and greening on industrial structure optimization, research examining their interactive synergies and the resulting synergistic effects on industrial structure remains relatively scarce. Based on previous discussions, this study’s marginal contributions are as follows: Firstly, from an integrated perspective of data empowerment and technological efficiency enhancement, this study constructs an index system for the synergistic development of digitalization and greening. Secondly, based on the coupling coordination degree model, this study quantifies the synergy degree of digitalization as well as greening across 30 Chinese provinces from 2012 to 2022, while simultaneously examining the evolution trends and divergence characteristics of their synergistic effects from both temporal and spatial dimensions. Thirdly, building upon the exploration of digitalization and greening synergy, this study incorporates industrial structure optimization into the analytical framework to investigate its direct and indirect effects. This broadens the research perspective, offering novel insights and policy references for global sustainable development. Consequently, it assists global enterprises—particularly those in developing countries—in better addressing the multifaceted challenges arising from the synergistic development of digitalization and greening.

3. Theoretical Analysis and Research Hypotheses

3.1. The Direct Effects of Synergistic Digitalization and Greening on Industrial Structure Optimization

At present, the synergy between digitalization and greening fuels industrial transformation and efficiency. Leveraging cutting-edge technologies, digitalization effectively transcends traditional spatial-temporal constraints. By providing transparent and accurate information, it reduces information asymmetry between enterprises, governments, and markets [40], offering digitally driven information, resources, and innovation platforms for industrial upgrading and the development of strategic emerging industries [41]. It has also effectively enhanced industrial production efficiency and innovation capabilities [42] and empowered the intelligent enhancement of traditional industries. Accelerated digitalization has also spurred the rise of green emerging industries, enabling green technology development and deployment. [43]. At the technological level, it drives the restructuring of production factors, accelerating the continuous transition of traditional industries toward high-tech and low-energy consumption modes [44]. Simultaneously, green objectives elevate environmental quality standards, as well as drive broader and deeper applications of digital technologies in industrial production and social governance, continuously improving resource efficiency and management effectiveness. This synergistic interaction provides robust support and impetus for industrial structure optimization. Digital technologies and green standards synergistically drive the ecological restructuring of industrial chains. Through intelligent carbon emission management, full-lifecycle green traceability, and flexible resource allocation, they promote vertical carbon reduction and consumption cuts within supply chains while fostering horizontal circular connections. This shifts industrial systems from single-link efficiency gains to full-chain decarbonization, networking, and value optimization, ultimately forming high-efficiency, low-consumption, sustainable, and high-quality production capabilities [45]. Consequently, this research presents the first hypothesis as follows:
H1. 
The coordinated development of digitalization and greening can promote the optimization of industrial structures.

3.2. The Indirect Effects of Synergistic Digitalization and Greening on Industrial Structure Optimization

In the process of synergistically promoting industrial structure optimization through digitalization and greening, environmental regulations play an intermediary role. Existing research indicates that environmental regulations can drive industrial structure optimization and upgrading. By facilitating the efficient allocation of resources, they promote a progressive evolution of the industrial structure, shifting from a primary sector-dominated economy to a secondary and tertiary sector-dominated economy [46]. From a dynamic perspective, a potential “win–win” relationship exists between environmental regulations and industrial upgrading [47]. Specifically, environmental regulations impose stringent standards and restrictions on polluting enterprises within a region, generating a significant “crowding-out effect.” This effect compels pollution-heavy, energy-intensive, and low-efficiency enterprises to gradually exit the market, thereby freeing up space for the growth of green, high-efficiency, and low-carbon emerging industries. Furthermore, environmental regulations encourage existing enterprises to increase innovation input, enhance resource utilization efficiency, and reduce pollutant emissions to meet stricter environmental standards. They also optimize social capital and resource distribution, advancing both emerging industries and traditional sector transformation. Building on this foundation, the synergistic development of digitalization and greening achieves two key achievements. First, it enables more comprehensive information flow, precisely supporting governments in scientifically formulating environmental regulatory policies and strengthening enforcement, thereby avoiding “one-size-fits-all” regulations that restrict economic growth. Furthermore, this synergy drives enterprises to adopt green innovation as their guiding principle. By leveraging data elements to optimize production processes and unlock green development potential; enterprises can remove the constraints of increased costs when complying with environmental regulations. Instead, they achieve cost reduction, efficiency gains, and market expansion through innovation, attaining a balance between environmental regulation and economic development. Simultaneously, as the intensity of government environmental regulations increases, market demand for green products and services grows, thereby creating more business opportunities and competitive advantages for enterprises [48], ultimately promoting industrial restructuring and upgrading. Therefore, the second hypothesis proposed in this study is as follows:
H2. 
The coordinated advancement of digitalization and greening can promote industrial restructuring through environmental regulations.
Based on the above analytical framework, we construct a diagram illustrating the impact mechanism of digitalization and greening synergies on industrial optimization (see Figure 1).

4. Research Design

This study explores the intrinsic logic of synergistic digitalization and greening in optimizing industrial structures, with the primary objective of advancing industries toward high-end, intelligent, and sustainable development. It begins with a systematic literature review covering digitalization, greening, and industrial structures. Building upon the existing literature and identifying gaps, a theoretical framework is constructed to explain how digitalization–greening synergy drives industrial structure optimization. Corresponding research hypotheses are proposed to provide a sound basis for empirical analysis. Building upon this foundation, this study constructs evaluation metrics for digitalization and greening alongside measures of their synergistic development from the perspectives of data elements and technology. It analyzes their spatiotemporal evolution characteristics. Furthermore, employing two-way fixed-effects and mediation analysis, the study performs quantitative examinations to validate the hypotheses, thereby providing robust support for formulating targeted policy recommendations.

4.1. Development of the Indicator System

4.1.1. Digitalization Level Measurement

As in previous discussions, digitalization relies on data as its core driver and value enabler. Data factor allocation, leveraging its intelligent and digital characteristics, efficiently distributes advanced technologies and innovative resources across regions. This approach stimulates innovation and entrepreneurship within traditional productive forces, giving rise to more emerging and future industries. Simultaneously, through continuous integration with the conventional economy, it effectively propels the evolution and progress of conventional industries. Consequently, this research references Li and Wang [49] as well as Fu [50] to develop an assessment metric framework for digitalization levels from the perspective of data value transformation. Furthermore, it employs the entropy weight method for measurement. Specifically, the provincial digitalization level is comprehensively measured across three dimensions—data development and application, data infrastructure, and data configuration scale—using 14 secondary indicators. Table 1 provides the detailed metrics.

4.1.2. Greening Level Measurement

As in previous discussions, green innovation serves as the core engine and fundamental pathway for greening. Its significance lies in providing indispensable technological support, driving forces, and institutional frameworks for the greening of the economy and society. It propels the eco-friendly transformation of conventional industries while fostering the rise of sustainable enterprises. It also optimizes industrial structures, cultivates new economic growth points, and transforms environmental constraints into development opportunities. Based on this, this research references Su and Li [51] and Li [52] to construct a measurement index for greening levels from the perspective of technological empowerment, calculating using the entropy weight method. Specifically, the measurement of greening incorporates a comprehensive evaluation framework comprising three primary indicators and eight secondary indicators. For specific indicators, refer to Table 2.
The entropy weight technique is an entirely objective method for determining weights. Its weight calculations are based solely on the dispersion of indicator data, assigning weights directly to each raw indicator individually without altering the indicator dimensions. This approach fully preserves the independent significance of each indicator. The core computation steps are as follows:
Step 1: Since different indicators vary in terms of units of measurement and value ranges, the raw data must undergo standardization to ensure the subsequent calculations are scientifically sound, reasonable, and comparable. For positive indicators,
(here, yij denotes the jth metric for year ith, xmin represents the minimum value of the jth indicator across all years, xmax denotes the maximum value of the jth indicator across all years, year is denoted by n, and the indicator count is represented by m)
y i j = x ij x min x max x min .
For negative indicators, we perform the following calculation:
y ij = x max x ij x max x min .
Step 2: We calculate the indicator weighting values. First, we normalize the indicators by calculating the jth indicator’s share for the ith year:
P x ij = y ij i = 1 m y ij .
Next, we calculate the entropy for the jth indicator:
e j = 1 ln m i = 1 m P y ij l n   P y ij .
Step 3: We calculate the difference coefficient Dj:
D j = 1   e j .
Step 4: We calculate the weight Wj for each indicator:
W j = D j j = 1 n D j .
Step 5: We calculate the composite evaluation value S for the digitalization level/greening level:
S = j = 1 m W j × y ij .

4.2. Measuring the Synergistic Development of Digitalization and Greening

4.2.1. Coupling Coordination

This study utilizes a coupling coordination model to assess the synergy. The computation approach is detailed below:
C i t = 2 U d i g i t a l U g r e e n U d i g i t a l + U g r e e n ,
D i t = C i t T i t ,
T i t = α U d i g i t a l + β U g r e e n .
Among these, Udigital and Ugreen represent the levels of digitalization and greening, C denotes the coupling degree between digitalization and greening, T represents the comprehensive coordination index, and D signifies the coupling coordination degree between digitalization and greening. Since both play equally important roles in this study, the weights α and β are both assigned a value of 0.5 [53]. D ranges between 0 and 1, with numbers near 1 signifying increased coupling and coordination between digitalization and greening. This study further references the research by Zhang and Jiang [54] to classify the coupling coordination types. For the specific classification criteria, see Table 3.

4.2.2. Three-Dimensional Kernel Density Model

This section employs kernel density estimation for in-depth analysis of the evolving characteristics. Kernel density estimation serves as an effective tool for measuring spatial non-equilibrium states by constructing kernel density functions and utilizing kernel density curves. This method can reflect spatial–temporal trends in quantitative indicators and polarization phenomena. The detailed equation appears below:
f ( x ) = 1 N h i = 1 n y i y h ,
where N represents the quantity of observations, yi denotes the synergy index for the i-th area, y indicates the average value of this metric, and h specifies the bandwidth. The Gaussian kernel density function is
k ( x ) = 1 2 π e x p x 2 2 .

4.2.3. Dagum Gini Coefficient Method

The research utilizes the Dagum Gini coefficient to assess disparities in the harmonious progression of digitalization and greening across and among regions. The overall disparity is primarily composed of contributions from intra-regional differences, inter-regional differences, and super-variability density [55]. Equations (6)–(12) detail the specific computational formulas:
G = ( i = 1 k j = 1 k i = 1 k h = 1 n i r = 1 n j y i h y j r ) / 2 n 2 y ¯ ,
G i i = ( 1 2 y ¯ h = 1 n i r = 1 n i y i h y i r ) / n 2 ,
G w = i = 1 k G i i P i s i ,
G i j = ( h = 1 n i r = 1 n i y i h y i r ) / n i n j ( y ¯ i + y ¯ j ) ,
D i j = ( d i j p i j ) / ( d i j + p i j ) ,
G n b = i = 2 k j = 1 i 1 G i j ( p i s j + p j s i ) D i j ,
G t = i = 2 k j = 1 i 1 G i j ( p i s j + p j s i ) ( 1 D i j ) ,
where a higher overall Gini coefficient G indicates greater overall disparity; Gw represents intra-regional disparity contribution; Gnb represents inter-regional disparity contribution; Gt represents hyper-variability density’s contribution, G = Gw + Gnb + Gt. Equation (6) defines the overall Gini coefficient. Equations (7) and (8) denote the Gini coefficient (Gii) for region i and the variation contribution (Gw) within region i, respectively. Equations (9) and (11) express the Gini coefficient (Gij) between regions i and j and the net variation contribution (Gnb) between regions i and j, respectively. The super-variation density contribution (Gt) is given by Equation (12). Equation (10) delineates the comparative impact of the coupling synergy. Here, yih(yjr) denotes the coupling coordination of province h(r) within region i(j), y ¯ represents the average coupling coordination across provinces, n represents the province count, and k represents the region count. ni(nj) denotes provinces in region i(j), while y ¯ i ( y ¯ j ) represents the mean coupling coordination degree across provinces within region i(j).

4.3. Baseline Regression Model

To investigate the impact of synergistic digitalization and greening on industrial structure optimization, this study constructs the following model:
c y j g i t = α 0 + α 1 D i t + α 2 X i t + δ i + μ t + ε i t .
Here, the subscript i denotes the region, t denotes the time, and cyjg represents the industrial structure optimization, while D represents the degree of coupling coordination. Citing the study of Zhou et al. [13], the study applies the industrial structure level coefficient, a figure that encompasses the ratio of the total output value from the three industrial sectors compared to the GDP, to gauge the extent of regional industrial structure refinement. This calculation method is as follows:
c y j g = S 1 + 2 S 2 + 3 S 3 .
Here, S represents the GDP share contributed by the three industrial sectors, where a greater cyjg value reflects an enhanced industrial structure optimization. Xit denotes control variables, encompassing other factors that may influence industrial structure optimization. Therefore, drawing on existing research, the research employs these control variables: economic advancement level (GDP), degree of government intervention (zfgy), degree of openness (dwkf), and financial development status (jr). Specifically: the economic development level is determined through the per capita GDP’s logarithmic calculation; the government intervention level is assessed as the ratio of regional public spending to the regional GDP; the degree of openness is assessed as the ratio of the combined total of imported and exported goods, adjusted by the USD-to-RMB exchange rate, to the regional GDP; the financial development status is measured by taking the logarithm of the ratio of the outstanding balance of loans from financial institutions to GDP. δi represents the time fixed effect, μt represents the individual fixed effect, and εit is the random error term.

4.4. Mediation Effect Model

To corroborate the mediating impact, environmental regulation is incorporated into the baseline regression analysis. Building upon the research by He and Qin [56], the benchmark regression model is extended in Equations (15) and (16):
h j g z i t = β 0 + β 1 D i t + β 2 X i t + δ i + μ t + ε i t ,
c y j g i t = θ 0 + θ 1 D i t + θ 2 h j g z i t + θ 3 X i t + δ i + μ t + ε i t
In the equation, hjgz represents environmental regulation, β1 and θ1 denote the impact coefficients of coupling coordination, θ2 represents the impact coefficient of environmental regulation, β2 and θ3 represent the control variable effects, and the other variables align with Equation (13). Equation (15) evaluates the coupling coordination’s effect on environmental regulation. Equation (16) integrates coupling coordination, environmental regulation, and industrial structure optimization into one regression model. Environmental regulation is quantified as the ratio of the government spending on ecological protection to the local GDP.

4.5. Data Source

Based on data availability, data from 30 Chinese provinces and districts (excluding Tibet, Hong Kong, Macao, and Taiwan) spanning 2012 to 2022 were chosen. The relevant data were sourced from the China Statistical Yearbook, China Science and Technology Statistical Yearbook, China High-Tech Industry Statistical Yearbook, China Environmental Statistical Yearbook, China Internet Network Information Center, and provincial statistical yearbooks. These data underwent rigorous statistical surveys and review processes, ensuring high credibility and authority. Missing values were partially imputed using linear interpolation. Table 4 sets out the descriptive statistics. Among these, the mean value of D is 0.30169, with a minimum value of 0.13669 and a maximum value of 0.89913. This indicates that there are significant differences in the level of coordinated development between digitalization and greening across various regions within the sample.

5. Empirical Analysis of the Synergistic Development of Digitalization and Greening

5.1. Analysis of Spatiotemporal Evolution Characteristics

To better illustrate the trend changes in this coupling coordination, the research presents the outcomes for every East, Center, and West locale as well as the national average across a line graph (see Figure 2).
From a temporal perspective, it can be observed that between 2012 and 2022, the nationwide coupling coordination of digitalization and greening increased steadily. However, the coordination level remained weak from the overall perspective. Referencing the coupling coordination classification thresholds proposed by Zhang and Jiang [54], the national coupling coordination level was in a moderately imbalanced stage from 2012 to 2017. Between 2018 and 2022, the coupling coordination index enhanced, entering a mildly imbalanced stage. Spatially assessing the synergy levels between digitalization and greening, they exhibit distinct regional variations, generally following an eastern > central > western spatial pattern. Regarding the eastern region, it has overcome the moderately imbalanced state between the two since 2013, showing a continuous upward trend. The coupling coordination level has reached the near-imbalanced stage, with a positive upward trajectory. For the central region, its development trajectory lags behind the national average. Coupling coordination levels were in a severely imbalanced stage in 2012. After 2012, the imbalance gradually eased, demonstrating favorable advancement with potential for enhanced outcomes. The western region exhibits a relatively low coupling coordination level. While its coupling coordination level steadily increased from 2012 to 2020, the development trends in 2021 and 2022 indicate a certain decline, placing them in a moderately imbalanced phase. Owing to a robust economic base built during China’s reform and opening-up period, the eastern region has poured significant resources into developing digital infrastructure while creating the conditions for businesses to allocate resources for green innovation R&D and talent attraction. Simultaneously, leveraging its resource endowments, industrial foundations, and research capabilities, the region focuses on disruptive and cutting-edge technologies in fields such as biotechnology and new energy vehicles. While developing new markets, the eastern region is also upgrading traditional industries. Furthermore, the high data dependency and strong green innovation momentum within the digital economy and high-tech industries have further promoted the synergy between digitalization and greening. The central area possesses sufficient investment capacity for sustained economic development, yet its traditional industries exhibit slow digitalization and greening, with relatively dispersed research resources and weak talent attraction. For the western region, economic weakness and funding constraints prevail. Traditional resource-based and agricultural industries play a predominant role in the western region, featuring limited data application scenarios and innovation challenges. Weak research capabilities and difficulties in policy implementation hinder the creation of a favorable development environment, resulting in significant regional imbalances in coupling and coordination.
To further intuitively present the development disparities across regions, this study further employed ArcGIS10.7 software to spatially visualize the coordinated effects of digitalization and greening across China’s 30 provinces. Due to space limitations, the analysis centers on the first and last years of the study period (see Figure 3). As shown in 2012 (see Figure 3a), most provinces exhibited severe or moderate levels of coordination imbalance, reflecting China’s overall early stage of economic transformation during this period. From a macro perspective, digitalization remained in its infancy and exploratory phase, with a significant lag in cultivating data factor markets. This hindered the ability to effectively support greening. Simultaneously, provinces in the severely imbalanced category were predominantly western regions like Gansu, Qinghai, and Yunnan. Traditional industries dominated these areas, and their extensive development models hindered their own greening, preventing them from providing robust support for digitalization. Consequently, the coordination between the two remained weak. In 2022 (see Figure 3b), most provinces present a significant improvement in their coupling coordination levels. Coastal regions, including Guangdong, Jiangsu, and Zhejiang, maintained leading positions, while areas like Qinghai and Ningxia showed stagnant progress. In essence, there is still a large gap between different regions, as past studies have indicated. The east is faring better than the central and western regions, with the west lagging behind in terms of inter-regional collaboration.

5.2. Analysis of the Spatial Autocorrelation of Synergistic Development of Digitalization and Greening

To quantify the global Moran index of the coupling coordination between digitalization and greening, a spatial weight matrix was constructed using neighboring data. Table 5 shows that the global Moran index estimates for coupling coordination consistently exceeded 0 between 2012 and 2022, passing the 10% significance level test. The global Moran index maintained a highly significant positive spatial correlation throughout the period, increasing from 0.199 in 2012 to 0.202 in 2022, which reveals a considerable positive association in the spatial layout of the digitalization–greening level synergy across provinces. Notably, the global Moran index declined between 2017 and 2020. This may be attributed to diverging paces of synergistic development across provinces during this period, driven by differences in industrial foundations and policy priorities, which temporarily weakened spatial agglomeration. Simultaneously, the COVID-19 pandemic in 2019 inflicted temporary disruptions on provincial economic development and daily operations, partially diminishing the spatial interaction efficiency of digitalization and greening synergistic development. However, since 2021, with the normalization of pandemic control measures, the gradual resumption of cross-regional collaboration, and the further release of synergistic policy effects, the global Moran index has continued to rebound.

5.3. Distribution Dynamics Evolution Trends Based on Kernel Density Estimation

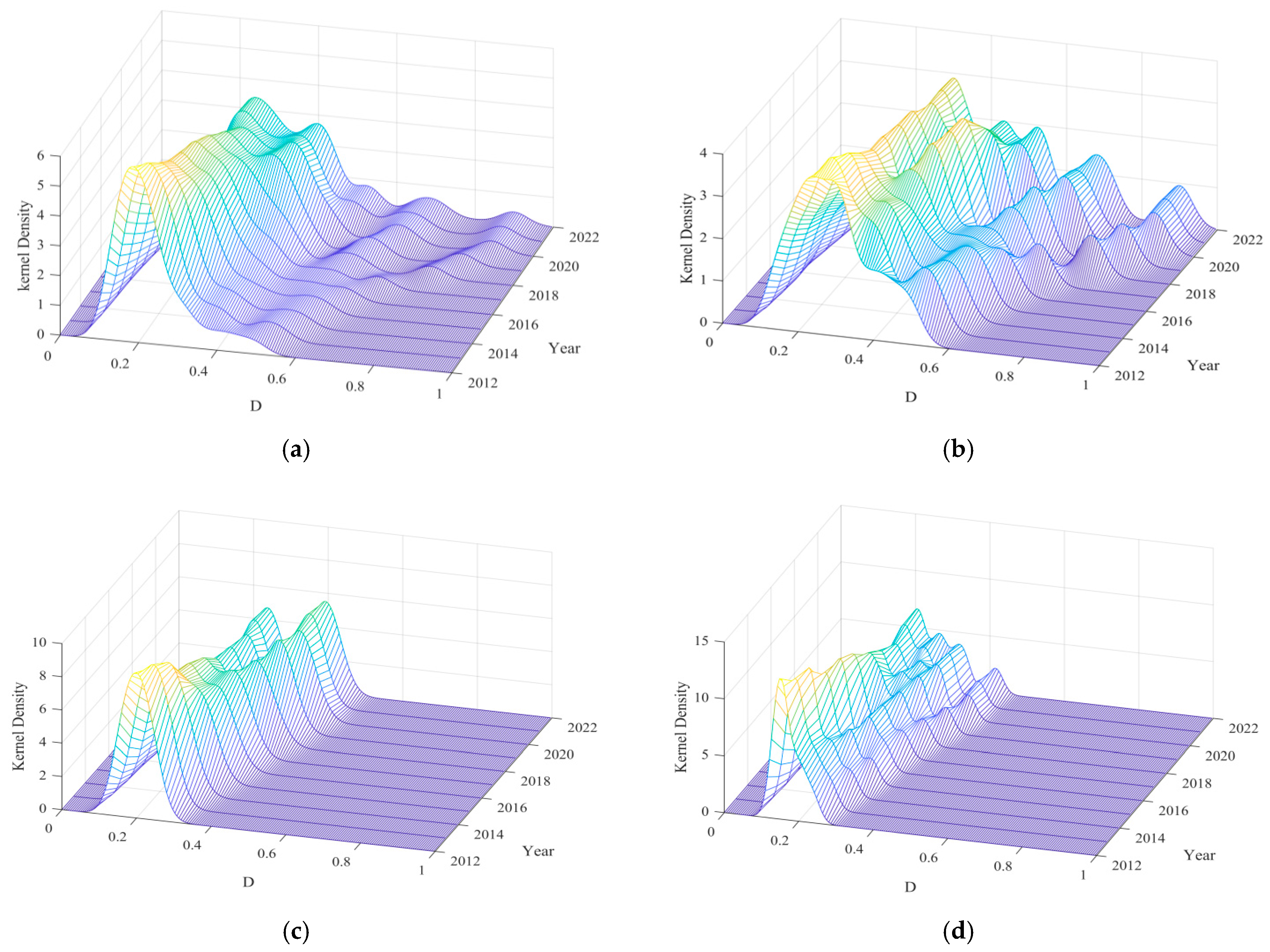
As shown in Figure 4, three-dimensional kernel density distribution curves mapped digitization–greening coordination nationwide and across eastern, central, and western regions. Simultaneously, referencing the research by Cui and Liu [53], coupling coordination data from 2012, 2017, and 2022 were selected for analysis. The national overall coupling coordination exhibits the following characteristics: First, based on the main peak distribution range and offset degree, the kernel density curve’s primary peak location for national overall coupling coordination shows a continuous rightward shift. This indicates a sustained increase in national overall coupling coordination during the study period, with significant improvement. Second, the kernel density curve’s distribution illustrates an ongoing decrease in the primary peak of the nation’s coordination level. This shows a steady decline in the national coupling coordination degree, alongside growing disparities between provinces. Third, regarding the number of peaks and the level of extension, no multi-peak phenomenon was observed throughout the investigation. However, the kernel density plot displayed strong overall extension, showing a pronounced right-tailing phenomenon with the tail lengthening annually. This indicates that throughout the study period, certain provinces and municipalities consistently maintained higher levels of coupling coordination, significantly exceeding the national average and developing at a faster pace. Overall, however, the vast majority of provinces and municipalities exhibited relatively consistent coupling coordination levels, with high alignment in both growth rates and directions. This may stem from initial regional development disparities, where some areas lag. Subsequently, policies such as the Regional Coordinated Development Strategy and major regional initiatives guided proactive advancement across regions, promoting more balanced resource allocation. Consequently, the previously uncoordinated polarization gradually diminished as overall synergy improved.
Across eastern, central, and western zones, coupling coordination follows the national pattern but shows localized differences. Eastern regions show a pronounced rightward shift in kernel density distribution, featuring diminished peak height and an extended rightward tail. This indicates sustained improvement in coordination, coupled with widening internal disparities, where certain provinces and municipalities demonstrate prominent leading advantages. This arises due to the unique economic benefits, industrial composition, supportive policies, and skilled workforce concentration of advanced regions. Leveraging these strengths, cities in high-level regions can more effectively drive corporate digitalization and foster favorable conditions for green innovation and development. In the central area, the peak similarly trended rightward, with a smaller decrease in peak value and a more concentrated distribution pattern, indicating steady growth in coordination with relatively smaller disparities among provinces. The western region’s curve moved rightward at a marginally slower rate compared to the eastern and central zones. Despite the decline, the trailing effect was not pronounced, reflecting that although coordination has improved, the overall level remains low. Compared with the national level, the widening trend of disparities is more pronounced in the eastern region, while the central and western regions lag relatively behind. Overall, this highlights the uneven progress in China’s regional digitalization–greening synergy.

5.4. Spatial Variations and Sources of Synergistic Development in Digitalization and Greening

Traditional ways of measuring inequality, like the Gini coefficient and the Theil index, can have problems like cross-overlap, sub-sample distribution, and regional differences. This means they do not always work well for obtaining useful sub-index decompositions in economic research [57]. The Dagum Gini index enhances the conventional Gini measure. It not only clearly identifies the sources of variation within and between regions but also resolves the problem of cross overlap among sub-samples, effectively addressing the constraints of conventional Gini and Theil measures. Based on this, this study employs Dagum’s (1997) [58] decomposition method for the Gini coefficient to calculate the Gini coefficients of the coordination levels between digitalization and greening in China’s 30 provinces from 2012 to 2022. To further investigate the sources of variation, the 30 sample provinces were categorized into three principal areas—eastern, central, and western. These breakdowns appear in Table 6.
Overall, the Gini coefficient for digitalization–greening coupling coordination has demonstrated a rising trend over recent years, rising from 0.1947 in 2012 to 0.2337 in 2022. This indicates that from 2012 to 2022, as regions continued to develop, the overall disparity in their digitalization–greening coupling coordination levels gradually widened. Regional analysis shows the eastern area leads with a 0.2140 Gini coefficient, ahead of the west (0.1301) and central zones (0.1071). This suggests the eastern area shows the most significant variance within its region in digitalization–greening coupling coordination, with the western area coming in second. In contrast, the central region demonstrates the most consistent performance, showing the least variation among the three. Regarding inter-regional Gini coefficients, the average inter-regional coefficient between eastern and western regions was the highest at 0.2914, while the average between central and western regions was the lowest at 0.1456. When it comes to contribution rates, regional variations had the highest average at 58.8191%, while differences within regions followed closely behind at 28.5903%, and hyper-variability density brought up the rear with just 12.5904%. Overall, the inter-regional contribution rate has declined annually by 13.7243%, indicating that inter-regional disparities are the key factor driving variations in synergistic progress between digitalization and greening.

6. Analysis of the Impact of the Synergistic Development of Digitalization and Greening on Industrial Structure Optimization

6.1. Benchmark Regression

Columns (1)–(3) in Table 7 display the benchmark regression outcomes. Column (1) shows that, without controlling for other factors, the regression coefficient for the coupling coordination degree between digitalization and greening is 0.4183, passing the 1% significance test. This indicates the combined advancement of digitalization and greening enhances industrial structural enhancement. This may stem from the effective coupling and coordination between digitalization and greening, which facilitates more efficient information flow and integration. This, in turn, provides more innovative and sustainable approaches and models for industrial development, thereby driving the industrial structure toward a more optimized direction. Columns (2) and (3) additionally account for control variables, individual, and temporal fixed effects. The coupling coordination coefficient’s direction and significance level persist unchanged. Based on this, Hypothesis 1 is validated.

6.2. Mediation Effect Test

Columns (4) and (5) of Table 7 present the mediation effect outcomes. Column (4) examines the impact of coupling coordination levels on environmental regulation. The coefficient for coupling coordination is 0.0144, significant at the 1% level, suggesting that the synergy between digitalization and greening can drive environmental regulation. On one hand, precise data allocation enables regions to identify environmental issues, providing scientific grounds for development and enforcement of environmental policies. On the other hand, green technological innovations directly serve environmental governance, thereby enhancing the efficiency of environmental regulation enforcement. Digitalization and greening complement each other, driving continuous optimization of overall environmental regulation. Column (5) reports the impact effects of coupling coordination and environmental regulation on industrial structure optimization, with coefficients at 0.1580 and 1.9153; both pass the 1% significance test. Compared to the model without the mediating variable, the impact coefficients have decreased. This suggests that environmental regulation acts as a bridge: the synergy between digitalization and greening enhances the industrial structure optimization, driven by progress in environmental regulation. Based on this, Hypothesis 2 is validated.

6.3. Endogeneity Test

The core explanatory variable is lagged by one period. Each period step mentioned in this article is one year. Synergistic digitalization and greening can promote industrial structure optimization, while the optimization of industrial structure can, in turn, drive the synergy. Therefore, to eliminate potential endogeneity issues in the model, this study adopts the approach of Li and Zhang [59] by introducing the lagged explanatory variable into the regression model. This lagged treatment effectively reduces the simultaneous correlation between the dependent and independent variables, thereby mitigating endogeneity bias. As presented in Table 8, Column (1), the lagged digitalization–greening coordination level still exerts a significant positive influence on industrial structure.
Instrumental Variables Method. To further ensure the reliability of the core conclusions, this paper employs a two-stage instrumental variable approach for estimation. Given that the data consist of provincial panel data, following the methodology of Xie and Zhu [60], the number of internet broadband users (IV) in each province is utilized as the instrumental variable. The primary reasons are as follows: On one hand, this instrumental variable satisfies the requirements related to digitalization. The number of broadband internet users directly reflects a region’s digital infrastructure development level, thereby indicating the progress of regional digitalization and closely aligning with digitalization. On the other hand, industrial structure optimization and upgrading represent economic-level improvements in industrial quality and efficiency, with their core being functional upgrades of the industrial system—an aspect not directly linked to regional broadband internet user numbers. The test results are presented in Table 8, columns (2) and (3). The combined advancement of digitalization and greening continues to profoundly enhance the industrial structure positively. The Kleibergen–Paap rk Wald F value is 37.23, and the C-D Wald F value is 518.84. These values significantly exceed the weak IV threshold of 16.38 (10% significance). They satisfy both the “unidentifiability test” and the “weak IV test,” validating the instrument’s suitability.

6.4. Robustness Test

To further validate the robustness of the preceding conclusions, this study conducts comprehensive robustness tests. First, the municipal-level samples are excluded. Due to the distinctive economic and political features of centrally administered municipalities, their impact on industrial structure optimization through digitalization–greening coupling coordination differs from other samples. Therefore, this study conducted regression analysis after excluding municipal samples. The results are displayed in Table 9, Column (1). This coupling coordination coefficient of 0.2073 is significant at 1%, aligning with prior findings.
Second, we conducted trimmed-tail processing. Given socioeconomic disparities among China’s provinces, this study applied 5% bilateral trimmed-tail processing to further test the robustness of conclusions. Table 9, Column (2), displays the regression findings. The processed regression data corroborate the baseline regression findings, reinforcing the study’s conclusions.
Third, we replaced the coupling model metric. Following Wang et al. [61], this paper uses a modified coupling degree model. The regression outcomes appear in Table 9, Column (3). The regression coefficient for the adjusted coupling coordination level is 0.0199, significant at the 1% level. In summary, these robustness tests collectively support the research hypothesis that synergistic digitalization and greening promote industrial structure optimization, while also affirming the reliability of the regression outcomes.

6.5. Heterogeneity Analysis

Given the considerable disparities in economic development, industrial structure, and resource endowments across China’s eastern, central, and western regions, this paper delves into the varied impacts of coupling coordination on industrial structure optimization in different areas. Table 10 displays the findings. The data clearly show that the promotional effect of digitalization–greening coupling coordination on industrial structure optimization is most pronounced in the western region, closely followed by the central region. However, the influence on the eastern region is somewhat negligible. This could result from the eastern region’s mature industrial framework, marked by dense clusters of technology and service sectors. The deep integration of digitalization and greening leaves a limited scope for industrial transformation and upgrading, resulting in less-pronounced marginal changes from coupling coordination. Conversely, the central region is in an accelerated phase of industrial structure optimization and upgrading. Traditional industries possess strong momentum to advance toward digitalization and greening, thereby injecting robust development impetus. For the western region, where resource-based and agricultural industries dominate and the industrial structure is relatively backward, the synergy between digitalization and greening has energized industrial transformation, granting it a late-mover advantage and yielding the most pronounced effects.

7. Conclusions and Recommendations

This study employs provincial-level data from China from 2012 to 2022 and applies coupling coordination models, the Dagum Gini coefficient method, kernel density estimation, and econometric analysis to examine the spatiotemporal characteristics and evolutionary trends of the synergy between digitalization and greening. Fixed-effects and mediation-effect models are further used to assess how this synergy influences the optimization of China’s industrial structure. The main findings are as follows.
First, the spatiotemporal coupling analysis shows that the level of digitalization–greening coordination in China improved steadily from moderate imbalance to mild coordination between 2012 and 2022. Spatial correlation analysis reveals strong spatial dependence, significant spillover effects, and close interprovincial linkages. The spatial distribution pattern demonstrates pronounced regional disparities, with coordination levels ranked as eastern > central > western regions.
Second, the Dagum Gini coefficient results indicate that the eastern region exhibits the largest internal disparity in digitalization–greening coordination, followed by the western and central regions. Among inter-regional comparisons, disparities are greatest between the eastern and western regions and smallest between the central and western regions, confirming that inter-regional differences are the main driver of overall disparities.
Third, environmental regulation plays a crucial mediating role in how digitalization and greening jointly promote industrial structure optimization. The results are robust to endogeneity tests. Moreover, the synergistic impact on industrial restructuring varies significantly across regions, showing a gradient pattern of western > central > eastern regions.
Therefore, this study proposes the following policy measures:
First, it is important to strengthen digital infrastructure and implement green initiatives. One should continuously improve digital infrastructure development, accelerate comprehensive digitalization across industrial chains, and establish an open and orderly digital governance system. Simultaneously, it is important to advance green-oriented strategies by enhancing pollution source control, promoting low-carbon lifestyles, and systematically conducting ecological restoration and conservation efforts. Furthermore, we should improve technological support. By increasing research investment, optimizing the innovation ecosystem, and strengthening policy guidance, we will improve intellectual property protection and technology transfer systems to elevate regional technological innovation capabilities systematically. In cultivating multidisciplinary talent, we will leverage industry–academia–research collaboration platforms to develop a cross-disciplinary talent pipeline equipped with both technical application skills and sustainable development thinking.
Second, it is important to adopt differentiated development strategies tailored to local conditions. Given that the synergy in western regions most effectively promotes industrial restructuring, the government should increase support for these areas to establish them as key hubs for green innovation. Central regions should capitalize on their geographical advantage to strengthen cooperation and exchange with eastern regions, thereby elevating their overall development level. For the eastern areas, the government should guide accelerated industrial transformation and upgrading to advance high-quality development. Building on this foundation, eastern regions should be encouraged to transfer technologies and industries to central and western areas, thereby fostering coordinated regional development.
Finally, the government should advance digitalization–greening synergy by reforming policies and fostering regulatory innovation. First, it must continue to deepen market-oriented reforms of production factors, reduce institutional transaction costs, and focus on dismantling administrative monopolies and hidden market entry barriers to stimulate corporate vitality and innovation capabilities. While ensuring fair market competition, the government should appropriately reduce direct intervention in the dual transformation process to avoid distorting market mechanisms. Finally, a collaborative governance system involving government, market, and society should be established to ensure the market forces determine resource distribution.

8. Discussion

The research constructs an index system to evaluate the degrees of digitalization and greening from the perspectives of data-driven empowerment and technology-driven efficiency gains, thereby enriching research on the synergistic development of digitalization and greening. Building upon this, the framework further incorporates industrial structure to reveal the positive impact of synergistic digitalization–greening on industrial structure optimization. However, certain limitations exist. (1) This study primarily examines the provincial level in China, potentially limiting the results’ applicability to prefecture-level cities or firms. (2) The evaluation framework focuses on data-driven empowerment and technological innovation, leaving room for further exploration of non-technological synergies and dimensions like environmental sustainability and low-carbon attributes. (3) This study primarily relies on fixed-effects models and mediation models, focusing on the mediating role of environmental regulations. Other potential influence pathways and modeling approaches require further investigation.
Future research can be expanded in multiple directions: (1) The scope of study can be broadened to prefecture-level cities, listed companies, or sectors such as manufacturing and services or even different countries, enabling more targeted assessments of the synergistic effects between digitalization and greening. (2) The evaluation framework for digitalization and greening can be enriched and refined by incorporating multidimensional indicators such as environmental regulations and sociocultural factors, enabling a more comprehensive assessment of synergistic effects. (3) Future studies may adopt interdisciplinary empirical methods like simulation modeling to enhance the robustness and reliability of research conclusions through diverse empirical approaches.

Author Contributions

Conceptualization, Y.Y. and S.L.; Data curation, Y.Y. and S.L.; Formal analysis, Y.Y. and S.L.; Funding acquisition, Y.Y. and S.L.; Investigation, Y.Y. and S.L.; Methodology, Y.Y. and S.L.; Project administration, Y.Y. and S.L.; Resources, Y.Y. and S.L.; Software, Y.Y. and S.L.; Supervision, Y.Y. and S.L.; Validation, Y.Y. and S.L.; Visualization, Y.Y. and S.L.; Writing—original draft, Y.Y. and S.L.; Writing—review and editing, Y.Y. and S.L. All authors have read and agreed to the published version of the manuscript.

Funding

The project was supported by the National Natural Science Foundation of China (71874119) and the Shanxi Provincial Science and Technology Strategy Research Special Program (202204031401018).

Institutional Review Board Statement

Not applicable.

Informed Consent Statement

Not applicable.

Data Availability Statement

The original contributions presented in this study are included in the article. Further inquiries can be directed to the corresponding author.

Acknowledgments

The authors thank the reviewers and editors for their helpful comments and suggestions.

Conflicts of Interest

The authors declare no conflicts of interest.

References

  1. Zheng, K. Exploration of the collaborative transformation of greening and digitalization in my country's manufacturing industry. Co-Oper. Econ. Sci. 2025, 17, 61–64. [Google Scholar]
  2. Li, Y.; Xie, H.; Liu, C. Research on Synergy Measurement and Digital Finance Driving Mechanism of Enterprise Digital Transformation and Greening Upgrade: An Empirical Analysis Based on the Complex System Coordination Degree Model. Sustainability 2025, 17, 4886. [Google Scholar] [CrossRef]
  3. Liu, W.; Ouyang, X.; Wang, T.; Chen, Y.; Qi, H. Perception of Economic Policy Uncertainty, Digital Transformation, and Corporate R&D Investment: A Collaborative Perspective. J. Technol. Econ. 2025, 44, 80–95. [Google Scholar]
  4. Axenbeck, J.; Berner, A.; Kneib, T. What drives the relationship between digitalization and energy demand? Exploring heterogeneity in German manufacturing firms. J. Environ. Manag. 2024, 369, 122317–122346. [Google Scholar] [CrossRef]
  5. Ang, B.W.; Choong, W.L.; Ng, T.S. Energy security: Definitions, dimensions and indexes. Renew. Sustain. Energy Rev. 2015, 42, 1077–1093. [Google Scholar] [CrossRef]
  6. Narula, K.; Reddy, B.S.; Pachauri, S.; Dev, S.M. Sustainable energy security for India: An assessment of the energy supply sub-system. Energy Policy 2017, 103, 127–144. [Google Scholar] [CrossRef]
  7. Wu, H.; Hao, Y.; Ren, S.; Yang, X.; Xie, G. Does internet development improve green total factor energy efficiency? Evidence from China. Energy Pol. 2021, 153, 112247. [Google Scholar] [CrossRef]
  8. Lee, S.J.; Kim, M.S.; Park, Y.T. ICT Co-evolution and Korean ICT Strategy: An Analysis Based on Patent Data. Telecommun. Policy 2009, 33, 253–271. [Google Scholar] [CrossRef]
  9. Hao, X.; Li, Y.; Ren, S.; Wu, H.; Hao, Y. The role of digitalization on green economic growth: Does industrial structure optimization and green innovation matter? J. Environ. Manag. 2023, 325, 116504. [Google Scholar] [CrossRef]
  10. Wang, Y. The development of data elements empowers the transformation and upgrading of industrial structure: Theoretical mechanism and empirical test. Commer. Res. 2024, 4, 13–22. [Google Scholar]
  11. Li, J. Digital economy, marketization of factors and transformation and upgrading of industrial structure. J. Stat. Inf. 2024, 39, 31–44. [Google Scholar]
  12. Guo, K.; Wang, Y.; Hang, J. Data factor scale effect, industrial structure transformation and productivity improvement. China Ind. Econ. 2024, 8, 5–23. [Google Scholar]
  13. Zhou, M.S.; Zhao, S.S.; Zhang, T.T. Digital economy, factor mismatch and industrial structure upgrading. Stat. Decis. 2024, 40, 113–118. [Google Scholar]
  14. Cicchiello, A.F.; Pietronudo, M.C.; Perdichizzi, S.; Cheng, Y. Does a rising tide lift all boats? An empirical analysis of the relationship between country digitalization and low-tech SMEs performance. Technol. Forecast. Soc. Change 2024, 207, 123632. [Google Scholar] [CrossRef]
  15. Guo, A.J.; Xu, Y.G.; Yang, C.L. The nonlinear relationship between digital technology, industrial structure and urban innovation quality: An empirical study based on 282 cities in China. Inq. Into Econ. Issues 2025, 4, 90–106. [Google Scholar]
  16. Sun, K.; Wang, H.; Ye, S. How does digital transformation enhance industrial chain resilience? Evidence from China. Financ. Res. Lett. 2025, 75, 106896. [Google Scholar] [CrossRef]
  17. Huang, S.; Ye, W.; Han, F. Does the Digital Economy Promote Industrial Collaboration and Agglomeration? Evidence from 286 Cities in China. Sustainability 2023, 15, 14545. [Google Scholar] [CrossRef]
  18. Zhang, S.; Wang, X.B. An empirical test of the impact of digital economy on industrial structure upgrading. Stat. Decis. 2023, 39, 15–20. [Google Scholar]
  19. Chen, K.; Ma, Z.; Hong, Y.; Zhu, Z. Exploring Digital Economy, Industrial Structure Upgrading, and Regional Green Development in the Five Provinces of Northwest China. Sustainability 2025, 17, 6338. [Google Scholar] [CrossRef]
  20. Zheng, Y.; He, R.Y. Research on the impact of digital cultural industry on promoting industrial structure upgrading. On. Econ. Probl. 2025, 3, 51–58. [Google Scholar]
  21. Oloyede, A.A.; Faruk, N.; Noma, N.; Tebepah, E.; Nwaulune, A.K. Measuring the impact of the digital economy in developing countries: A systematic review and meta-analysis. Heliyon 2023, 9, e17654. [Google Scholar] [CrossRef]
  22. Hou, S.F.; Zhu, D.G. Digital economy, tax incentives and industrial structure upgrading. Jianghan Trib. 2025, 6, 5–14. [Google Scholar]
  23. Li, C.S.; Lu, L.L. Digital economy, factor substitution elasticity and industrial structure upgrading. Stat. Decis. 2025, 41, 117–122. [Google Scholar]
  24. Wu, Z.J.; Shu, X.J.; Kong, X.Z. The spatiotemporal evolution of digital economy-driven urban industrial structure upgrading. Econ. Geogr. 2025, 45, 77–86. [Google Scholar]
  25. Edquist, H.; Henrekson, M. Do R&D and ICT affect total factor productivity growth differently? Telecommun. Policy 2017, 41, 106–119. [Google Scholar] [CrossRef]
  26. Vial, G. Understanding digital transformation: A review and a research agenda. J. Strateg. Inf. Syst. 2019, 28, 118–144. [Google Scholar] [CrossRef]
  27. Zhao, J.L.; Liu, S.N.; Wang, J.Y. Study on the Co-evolutionary Relationship between Green Development and Industrial Structure Optimization—A Case Study of Resource-based Cities in the Yellow River Basin. Macroeconomics 2025, 4, 49–64+111. [Google Scholar]
  28. Yang, N.N. Green finance, industrial structure upgrading and green total factor productivity in circulation industry. J. Commer. Econ. 2025, 12, 37–40. [Google Scholar]
  29. Wang, F.Y.; He, Z.L. Environmental regulation, green innovation and industrial structure upgrading. Stat. Decis. 2022, 38, 73–76. [Google Scholar]
  30. Chlebna, C.; Mattes, J. The fragility of regional energy transitions. Environ. Innov. Soc. Transit. 2020, 37, 66–78. [Google Scholar] [CrossRef]
  31. Jakobsen, S.E.; Bækkelund, N.G.; Sjøtun, S.G.; Wiig, H. Green to stay? Mechanisms explaining green industrial resilience during an external shock. Reg. Stud. 2025, 59, 2520597. [Google Scholar] [CrossRef]
  32. Jia, X.L.; Zhang, X.X.; Li, Y.X. Digitalization, greening and the new quality productivity of manufacturing enterprises. J. Shanxi Univ. Financ. Econ. 2025, 47, 116–126. [Google Scholar]
  33. Dai, X.; Yang, S.Z. Digital empowerment, digital investment sources and green transformation of manufacturing. China Ind. Econ. 2022, 9, 83–101. [Google Scholar]
  34. Liu, Y.; Liang, D.; Zhang, S. How the coordinated transformation of digitalization and greening can empower high-quality development: Evidence from Chinese listed companies. China Bus. Mark. 2025, 39, 25–38. [Google Scholar]
  35. Zhou, M.; Qiao, Y.R. Regional differences and internal mechanisms of integrated development of urban greening and digitalization. Urban. Probl. 2023, 8, 4–14. [Google Scholar]
  36. Cao, Y.; Li, X.; Hu, H.L.; Wan, G.Y.; Wang, S.Y. How does digitalization promote green transformation in manufacturing enterprises?—An exploratory case study from the perspective of resource orchestration theory. J. Manag. World 2023, 39, 96–112+126+113. [Google Scholar]
  37. Ferreira, J.J.M.; Fernandes, C.I.; Ferreira, F.A.F. To be or not to be digital, that is the question: Firm innovation and performance. J. Bus. Res. 2019, 101, 583–590. [Google Scholar] [CrossRef]
  38. Goldfarb, A.; Tucker, C. Digital economics. J. Econ. Lit. 2019, 57, 3–43. [Google Scholar] [CrossRef]
  39. Li, J.C.; Lian, G.H.; Xu, A.T. A breakthrough in corporate green transformation under the “dual carbon” vision: An empirical study on digital-driven greening. J. Quant. Technol. Econ. 2023, 40, 27–49. [Google Scholar]
  40. Zhao, Y.; Xin, L. Research on green innovation countermeasures of supporting the circular economy to green finance under big data. J. Enterp. Inf. Manag. 2021, 35, 1305–1322. [Google Scholar] [CrossRef]
  41. Xu, A.T.; Chen, J.R. New quality productivity improvement: Digital economy and technological innovation synergistically support. J. Shanxi Univ. Financ. Econ. 2024, 46, 1–15. [Google Scholar]
  42. Cai, J.M.; Liu, Y.; Gao, H.; Chen, C. The way data elements participate in value creation: General equilibrium analysis based on generalized value theory. J. Manag. World 2022, 38, 108–121. [Google Scholar]
  43. Wang, K.D.; Liu, Y.; Wang, S.Y. Data elements and green innovation: From the perspective of new quality productivity. Res. Financ. Econ. Issues 2024, 9, 18–33. [Google Scholar]
  44. Sun, M.; Wang, M.X. Analysis on the mechanism and effect of digital economic development on ecological resilience. Environ. Sci. 2025, 46, 4602–4614. [Google Scholar]
  45. Ren, B.P.; Gong, Y.H. The mechanism and path of digital new quality productivity to promote the new quality of traditional industries. J. Lanzhou Univ. Soc. Sci. 2024, 52, 13–22. [Google Scholar]
  46. Zheng, F.Y.; Ding, S. Can Environmental Regulation Force Industrial Structure Upgrading?—An Empirical Analysis Based on China’s “Low-Carbon City” Construction. Dongyue Trib. 2025, 46, 103–114. [Google Scholar]
  47. Guan, H.L.; Zhang, J. Research on the spatial spillover effect and mechanism of environmental regulation on industrial structure upgrading. Tax. Econ. 2024, 5, 74–83. [Google Scholar]
  48. Zhao, J.G.; Wang, X.L.; Li, X.T. The impact mechanism of green technology innovation and environmental regulation on green development of cities in the Yellow River Basin. China Popul. Resour. Environ. 2024, 34, 132–141. [Google Scholar]
  49. Li, Z.G.; Wang, J. Digital economy development, data factor allocation and manufacturing productivity improvement. Economist 2021, 10, 41–50. [Google Scholar]
  50. Fu, Z. Can data element allocation improve the level of new quality productivity?—A mechanism test based on the innovation empowerment effect and resource integration effect. J. Yunnan Univ. Financ. Econ. 2024, 40, 1–13. [Google Scholar]
  51. Su, Y.; Li, D. Research on the spatial effects of energy industry agglomeration and green innovation performance. Sci. Res. Manag. 2022, 43, 94–103. [Google Scholar]
  52. Li, H.Y. Industrial Collaborative Agglomeration and Regional Green Innovation Capabilities: Theoretical Mechanisms and Spatial Empirical Evidence. J. Tech. Econ. Manag. 2024, 2, 62–68. [Google Scholar]
  53. Cui, M.S.; Liu, R.Q. Research on the Coupling Coordination Degree between Digital Economy and Green Innovation——Taking Cities in the Yangtze River Delta as an Example. East. China Econ. Manag. 2024, 38, 25–37. [Google Scholar]
  54. Zhang, J.; Jiang, C.Y. Research on the coupling coordination and interactive relationship between digital economy and environmental performance. Mod. Econ. Res. 2024, 11, 35–47. [Google Scholar]
  55. Liu, T.; Xu, Z.Y. Coupling and coordination between China's green finance and low-carbon economy and their spatiotemporal characteristics. Stat. Decis. 2024, 40, 144–149. [Google Scholar]
  56. He, F.; Qin, H. Research on Impact of Digital Economy on Real Economy Based on Perspective of Coupling and Coordination of Manufacturing and Service Industries. Sustainability 2025, 17, 729. [Google Scholar] [CrossRef]
  57. Cui, H.R.; Zhang, F.Y. Analysis of Spatiotemporal Evolution, Regional Differences and Influencing Factors of China's Carbon Unlocking Efficiency—From the Perspective of the Eight Comprehensive Economic Zones. Ecol. Econ. 2025, 41, 13–23. [Google Scholar]
  58. Dagum, C. A new approach to the decomposition of the Gini income inequality ratio. Empir. Econ. 1997, 22, 515–531. [Google Scholar] [CrossRef]
  59. Li, T.; Zhang, J. Research on the Impact Mechanism of Digital-Green Synergy on Industrial Chain Resilience. J. Jiangxi Univ. Financ. Econ. 2025, 42, 35–46. [Google Scholar]
  60. Xie, X.Y.; Zhu, X.Y. Digital Finance and Technological Innovation of Small and Medium-sized Enterprises (SMEs): Evidence from New Third Board Enterprises. Stud. Int. Financ. 2021, 1, 87–96. [Google Scholar]
  61. Wang, S.J.; Kong, W.; Ren, L.; Zhi, D.D.; Dai, B.T. Misunderstandings and Corrections of Domestic Coupling Coordination Models. J. Nat. Resour. 2021, 36, 793–810. [Google Scholar]
Figure 1. Theoretical mechanism diagram.
Figure 1. Theoretical mechanism diagram.
Sustainability 17 10183 g001
Figure 2. Time trend of coupling coordination in China by region.
Figure 2. Time trend of coupling coordination in China by region.
Sustainability 17 10183 g002
Figure 3. Distribution of coupling coordination by provinces in China, 2012 and 2022. (a) 2012 provincial coupling coordination index distribution map. (b) 2022 provincial coupling coordination index distribution map. Note: This map is based on the standard map from the Map Technical Review Center of the Ministry of Natural Resources (Review No. GS(2024)0650). The base map has not been modified. The white areas indicate regions not covered by the study.
Figure 3. Distribution of coupling coordination by provinces in China, 2012 and 2022. (a) 2012 provincial coupling coordination index distribution map. (b) 2022 provincial coupling coordination index distribution map. Note: This map is based on the standard map from the Map Technical Review Center of the Ministry of Natural Resources (Review No. GS(2024)0650). The base map has not been modified. The white areas indicate regions not covered by the study.
Sustainability 17 10183 g003
Figure 4. Kernel density plot. (a) National digitalization and greening synergy. (b) Synergistic digitalization and greening in eastern regions. (c) Synergistic digitalization and greening in central China. (d) Synergistic digitalization and greening in western regions.
Figure 4. Kernel density plot. (a) National digitalization and greening synergy. (b) Synergistic digitalization and greening in eastern regions. (c) Synergistic digitalization and greening in central China. (d) Synergistic digitalization and greening in western regions.
Sustainability 17 10183 g004
Table 1. Digitalization-level measurement indicators and data sources.
Table 1. Digitalization-level measurement indicators and data sources.
Target LevelLevel 1 IndicatorsLevel 2 IndicatorsUnitIndicator PropertiesWeightsPrimary Index
Weight
Digitalization LevelData development applicationsNumber of high-tech industry organizationsEach+0.1250.520
Number of high-tech industry projectsEach+0.137
R&D funding for high-tech industriesTen thousand CNY+0.136
Income from information technology servicesTen billion CNY+0.122
Data infrastructureNumber of domain namesTen thousand units+0.0740.346
Number of pagesTen thousand units+0.124
Number of internet access portsTen thousand units+0.032
Cell phone penetration rate%+0.013
Fiber optic line lengthKilometers+0.103
Scale of data configurationTotal postal operationsTen billion CNY+0.0680.134
Total telecommunication servicesTen billion CNY+0.034
Integrated population coverage of television programs%+0.002
Combined population coverage of radio programs%+0.002
Science, technology, and education expenditures in public financeTen billion CNY+0.028
Note: “+” indicates that the indicator is a positive attribute indicator, meaning that the larger the indicator value, the more pronounced the target dimension it represents.
Table 2. Greening-level measurement indicators and data sources.
Table 2. Greening-level measurement indicators and data sources.
Target LevelLevel 1 IndicatorsLevel 2 IndicatorsUnitIndicator PropertiesWeightsPrimary Index
Weight
Level of GreeningInnovative inputsR&D expenditure as % of GDP%+0.0660.299
R&D staff full-time equivalentPerson-years+0.233
Innovation outputsPatent grantsIndividuals+0.2430.662
Total new product salesTen thousand CNY+0.419
Innovation environmentTotal energy consumptionTen thousand tons of standard coal-0.0130.038
Total industrial wastewater dischargeTen thousand tons-0.003
Total industrial sulfur dioxide emissionsTen thousand tons-0.012
Industrial fume (dust) emissionsTen thousand tons-0.010
Note: “+” indicates that the indicator is a positive attribute indicator, meaning that the larger the indicator value, the more pronounced the target dimension it represents. “-” indicates the opposite.
Table 3. Classification levels of coupling coordination between digitalization and greening.
Table 3. Classification levels of coupling coordination between digitalization and greening.
Serial NumberDegree of Coupling CoordinationLevel of CoordinationSerial NumberDegree of Coupling CoordinationLevel of Coordination
1[0.000,0.100)Extreme disorder6[0.500,0.600)Barely coordinated
2[0.100,0.200)Severe disorder7[0.600,0.700)Primary coordination
3[0.200,0.300)Moderate disorder8[0.700,0.800)Intermediate level coordination
4[0.300,0.400)Mild disorder9[0.800,0.900)Benign coordination
5[0.400,0.500)On the verge of becoming dysfunctional10[0.900,1.000)Quality coordination
Table 4. Descriptive statistics of variables.
Table 4. Descriptive statistics of variables.
VariableObsMeanS.D.MinMax
D3300.301690.136700.136690.89913
cyjg3302.405820.121942.132292.86879
gdp3309.332280.464288.5984010.80639
zfgy3300.249160.101850.106630.64301
dwkf3300.243040.271320.000261.44086
jr3301.542690.441830.691652.77409
Table 5. Global Moran index of synergistic development of digitalization and greening.
Table 5. Global Moran index of synergistic development of digitalization and greening.
Index20122013201420152016201720182019202020212022
Global Moran index0.1990.1940.1900.2010.2060.2050.1720.1640.1510.1800.202
z value1.9801.9441.8941.9782.0192.0321.8011.7381.6241.8512.019
p value0.0240.0260.0290.0240.0220.0210.0360.0410.0520.0320.022
Table 6. Gini coefficient for the coordination degree of digitalization and greening.
Table 6. Gini coefficient for the coordination degree of digitalization and greening.
YearOverall Gini CoefficientIntra-Regional Gini CoefficientInter-Regional Gini CoefficientContribution (%)
Eastern RegionCentral RegionWestern RegionEast–CentralEast–WestCentral–WestRegionalInterregionalSuper-Changeable
Intensity
20120.19470.19400.07300.09980.22080.28010.115926.869164.05629.0745
20130.19830.19760.07400.10800.22110.28590.120827.104964.24158.6534
20140.20300.19770.08260.11700.22330.29110.131827.119063.45249.4284
20150.20930.20370.10220.13060.22860.29100.140828.040060.458511.5014
20160.21100.20580.10730.12930.23100.29150.142528.144859.620112.2350
20170.21250.21160.10720.13040.23190.29170.142728.517459.041512.4409
20180.21610.22310.12210.12900.23330.28810.148529.560656.585413.8539
20190.21480.22400.12250.13850.22710.28220.156530.015754.770015.2141
20200.21880.22810.12540.14520.22970.28650.161830.160554.092515.7468
20210.23220.23390.12970.15200.24840.30740.167929.504955.427215.0678
20220.23370.23470.13230.15180.24860.30970.172529.456255.264915.2787
Mean0.2131 0.2140 0.1071 0.1301 0.2313 0.2914 0.1456 28.5903 58.819112.5904
Table 7. Benchmark regression and mediation effect results.
Table 7. Benchmark regression and mediation effect results.
(1)(2)(3)(4)(5)
cyjgcyjgcyjghjgzcyjg
D0.4183 ***0.1173 ***0.1855 ***0.0144 ***0.1580 ***
(9.6166)(4.0190)(4.5499)(3.6614)(3.8465)
gdp 0.0000 ***0.00000.0000 **0.0000
(15.2785)(0.6762)(2.1453)(0.2831)
zfgy −0.02810.1137 *0.0232 ***0.0694
(−0.6276)(1.9011)(4.0250)(1.1456)
dwkf −0.01070.01630.00090.0146
(−0.5852)(0.8940)(0.5267)(0.8091)
jr 0.0953 ***0.0398 ***0.0029 ***0.0343 ***
(10.2523)(4.0774)(3.0436)(3.5150)
hjgz 1.9153 ***
(3.1586)
Individual fixed effectNONOYESYESYES
Year fixed effectNONOYESYESYES
_cons2.2796 ***2.1099 ***2.1982 ***−0.0085 ***2.2144 ***
(158.2523)(137.4737)(65.8300)(−2.6446)(66.5420)
N330330330330330
Adj.R20.2180.8240.7980.2120.804
Note: *, **, and *** indicate significance at the 10%, 5%, and 1% levels of statistical significance, respectively. Values in parentheses are t-values.
Table 8. Endogeneity test results.
Table 8. Endogeneity test results.
(1)(2)(3)
Lag One YearPhase IPhase II
cyjgDcyjg
L.D0.1769 ***
(4.0265)
IV 0.0000 ***
(6.1000)
D 0.2973 **
(2.3300)
Control variableYESYESYES
Individual fixed effectYESYESYES
Year fixed effectYESYESYES
N300330
C-D Wald F statistic10% max IV size 518.84 (16.38)
Kleibergen–Paap rk Wald F statistic 37.23
Note: **, and *** indicate significance at the 10%, 5%, and 1% levels of statistical significance, respectively. Values in parentheses are t-values.
Table 9. Robustness test results.
Table 9. Robustness test results.
(1)(2)(3)
cyjgcyjgcyjg
D0.2073 ***0.2765 ***
(4.2387)(4.6482)
Correct_D 0.0199 **
(2.0911)
gdp−0.00000.00000.0000
(−0.5536)(0.0205)(1.0176)
zfgy0.08230.05410.1024 *
(1.1105)(0.8348)(1.6661)
dwkf0.0261−0.0136−0.0097
(0.9330)(−0.6429)(−0.5425)
jr0.0329 ***0.0288 ***0.0402 ***
(3.1224)(2.7503)(4.0087)
Individual fixed effectYESYESYES
Year fixed effectYESYESYES
_cons2.2013 ***2.2287 ***2.2397 ***
(52.5124)(66.5364)(68.5208)
N286330330
Adj.R20.7960.7410.787
Note: *, **, and *** indicate significance at the 10%, 5%, and 1% levels of statistical significance, respectively. Values in parentheses are t-values.
Table 10. Heterogeneity test results.
Table 10. Heterogeneity test results.
The Eastern RegionThe Central RegionThe Western Region
cyjgcyjgcyjg
D0.00680.5244 ***0.7865 ***
(0.1636)(3.9079)(5.7927)
gdp0.00000.0000−0.0000
(0.7525)(0.7522)(−0.2243)
zfgy0.01100.19300.5021 ***
(0.0978)(1.0802)(5.0821)
dwkf0.0469 **−0.2551 **0.0034
(2.1922)(−1.9941)(0.0519)
jr0.01890.02620.0011
(1.3877)(1.2259)(0.0788)
Individual fixed effectYESYESYES
Year fixed effectYESYESYES
_cons2.6061 ***2.1551 ***2.1010 ***
(28.2371)(22.8338)(32.4178)
N1329999
Adj.R20.9890.9470.880
Note: **, and *** indicate significancd at the 10%, 5%, and 1% levels of statistical significance, respectively. Values in parentheses are t-values.
Disclaimer/Publisher’s Note: The statements, opinions and data contained in all publications are solely those of the individual author(s) and contributor(s) and not of MDPI and/or the editor(s). MDPI and/or the editor(s) disclaim responsibility for any injury to people or property resulting from any ideas, methods, instructions or products referred to in the content.

Share and Cite

MDPI and ACS Style

Yan, Y.; Liu, S. How Data-Driven Synergy Between Digitalization and Greening Reshapes Industrial Structure: Evidence from China (2012–2022). Sustainability 2025, 17, 10183. https://doi.org/10.3390/su172210183

AMA Style

Yan Y, Liu S. How Data-Driven Synergy Between Digitalization and Greening Reshapes Industrial Structure: Evidence from China (2012–2022). Sustainability. 2025; 17(22):10183. https://doi.org/10.3390/su172210183

Chicago/Turabian Style

Yan, Ying, and Shujing Liu. 2025. "How Data-Driven Synergy Between Digitalization and Greening Reshapes Industrial Structure: Evidence from China (2012–2022)" Sustainability 17, no. 22: 10183. https://doi.org/10.3390/su172210183

APA Style

Yan, Y., & Liu, S. (2025). How Data-Driven Synergy Between Digitalization and Greening Reshapes Industrial Structure: Evidence from China (2012–2022). Sustainability, 17(22), 10183. https://doi.org/10.3390/su172210183

Note that from the first issue of 2016, this journal uses article numbers instead of page numbers. See further details here.

Article Metrics

Back to TopTop