Non-Farm Employment, Agricultural Policies and Cotton Planting Acreage Decline in China’s Yangtze River Basin: 2000–2022
Abstract
1. Introduction
2. Factual Statement of the Sample
3. Method
3.1. Data Source
3.2. Description of Variables
3.2.1. Dependent Variables
3.2.2. Control Variables
- (1)
- Total agricultural machinery power (): Reflects the level of agricultural mechanization, as mechanization affects labor input requirements for cotton cultivation;
- (2)
- Agricultural chemical fertilizer application (): Measured in converted stock quantity, capturing the intensity of agricultural inputs that influence crop yield and planting decisions;
- (3)
- Effective irrigation area (): An indicator that measures the level of water conservancy development and the stability of agricultural production in agricultural units and regions, and it is also an important variable affecting cotton planting area;
- (4)
- Annual precipitation (): As cotton is not tolerant to waterlogging, under conditions of low rainfall and partial drought, sufficient light and heat, coupled with relatively easy manual regulation of soil moisture, enable the full exploitation of light and heat resources to boost yields; whereas under conditions of heavy rainfall and consequent waterlogging, the combination of light, heat, and water is often unfavorable or even harsh [32];
- (5)
- Total grain output (): Since land is a critical scarce factor in agricultural production, farmers necessarily forgo the benefits of planting other crops when they choose a specific crop. As total grain output rises, farmers tend to prefer growing food crops, thereby reducing the cultivation of cash crops such as cotton.
3.3. Research Methodology
4. Results
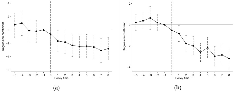
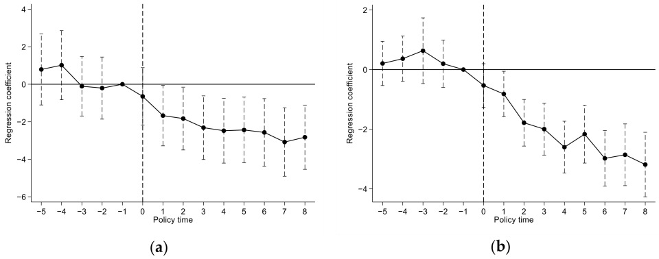
4.1. Baseline Results
4.2. Robustness Analysis
5. Heterogeneity, Mechanisms, and Spatial Effect
5.1. Heterogeneity Analysis
5.1.1. Cotton Planting Acreage Changes in Different Period
5.1.2. Interprovincial Differences in Cotton Planting
5.2. Mechanism Analysis
5.2.1. Rural Labor Outflow
5.2.2. Cotton Yield Ratio
5.3. Spatial Effect Analysis
5.3.1. Spatial Econometric Model
- (1)
- 0–1 adjacency matrix (): This is constructed to capture inter-regional spatial dependencies as it can more intuitively reflect direct spatial linkages between geographically contiguous counties, with if county and county share a common border and otherwise.
- (2)
- Economic distance matrix (): The adjacency matrix focuses on geographic proximity, and to complementarily capture economic connection-driven spatial interactions across regions, we select this economic distance matrix to quantify the intensity of cross-regional links based on economic development gaps. We take the per capita () of county and county as a measure and construct an economic distance matrix by using the reciprocal of the absolute value of the difference between their per capita, which is
5.3.2. Spatial Correlation Test
5.3.3. Spatial Regression
6. Conclusions
- (1)
- Temporally, cotton cultivation shifted from “fluctuating stability” (2000–2010) to “cliff-like decline” (2011–2022), with over 80% of the cotton planting area lost in the latter period, reflecting the long-term impact of structural transformation and policy adjustments;
- (2)
- Non-farm employment is a core driver: it directly reduces agricultural labor supply and generates spatial spillovers; contraction effects are more pronounced in labor-scarce and low-cotton-return counties, highlighting heterogeneous impact across county types;
- (3)
- Differential roles of agricultural policies: The 2005 Reward Policy for Major Grain-Producing Counties drives land and labor reallocation from cotton to grain; the 2014 cotton policy shift (from stockpiling to target price subsidies) fails to offset smallholders’ low returns, exacerbating the decline, which reveals policy-induced resource reallocation dynamics;
- (4)
- Spatial mechanism: Cotton area contraction is a result of the synergistic interaction between non-farm employment-driven labor transformation and policy-guided resource reallocation, with spatial spillovers varying across geographical and economic contexts.
Supplementary Materials
Author Contributions
Funding
Institutional Review Board Statement
Informed Consent Statement
Data Availability Statement
Conflicts of Interest
Appendix A


Appendix B
| W1 | W2 | |||||||
|---|---|---|---|---|---|---|---|---|
| 2000 | 0.096 * (1.230) | 0.029 ** (1.984) | 0.030 ** (2.068) | 0.022 * (1.575) | ||||
| 2001 | 0.147 ** (1.927) | 0.030 ** (2.038) | 0.029 ** (2.016) | 0.087 *** (5.348) | ||||
| 2002 | 0.010 * (0.072) | 0.041 *** (2.688) | 0.030 ** (2.050) | 0.016 * (1.211) | ||||
| 2003 | 0.146 ** (1.910) | 0.055 ** (3.472) | 0.027 * (1.894) | 0.063 *** (3.939) | ||||
| 2004 | 0.145 ** (1.901) | 0.051 *** (3.257) | 0.022 (1.638) | 0.015 (1.180) | ||||
| 2005 | 0.142 ** (1.857) | 0.061 *** (3.822) | 0.128 ** (3.105) | 0.023 * (1.691) | 0.038 ** (2.502) | 0.085 ** (2.736) | ||
| 2006 | 0.144 ** (1.872) | 0.061 *** (3.827) | 0.156 *** (3.521) | 0.038 ** (2.572) | 0.041 *** (2.687) | 0.103 *** (3.012) | ||
| 2007 | 0.141 ** (1.837) | 0.059 *** (3.701) | 0.182 *** (3.897) | 0.028 ** (2.013) | 0.012 * (1.035) | 0.121 *** (3.289) | ||
| 2008 | 0.132 ** (1.708) | 0.045 *** (2.890) | 0.205 *** (4.173) | 0.030 ** (2.569) | 0.033 ** (2.230) | 0.138 *** (3.545) | ||
| 2009 | 0.099 * (1.277) | 0.047 *** (3.028) | 0.227 *** (4.426) | 0.0356 ** (2.420) | 0.047 *** (3.010) | 0.153 *** (3.768) | ||
| 2010 | 0.101 * (1.292) | 0.045 *** (2.906) | 0.243 *** (4.619) | 0.028 * (1.953) | 0.032 ** (2.145) | 0.165 *** (3.924) | ||
| 2011 | 0.029 * (0.454) | 0.036 ** (2.405) | 0.258 *** (4.785) | 0.033 ** (2.243) | 0.089 *** (5.445) | 0.176 *** (4.051) | ||
| 2012 | 0.203 *** (2.521) | 0.033 ** (2.230) | 0.269 *** (4.912) | 0.036 ** (2.385) | 0.032 ** (2.128) | 0.184 *** (4.147) | ||
| 2013 | 0.199 *** (2.474) | 0.037 ** (2.455) | 0.275 *** (5.003) | 0.045 *** (2.944) | 0.033 ** (2.193) | 0.189 *** (4.216) | ||
| 2014 | 0.185 *** (2.291) | 0.023 * (1.680) | 0.052 *** (3.331) | 0.278 *** (5.056) | 0.036 ** (2.430) | 0.041 *** (2.684) | 0.031 ** (2.674) | 0.192 *** (4.259) |
| 2015 | 0.188 *** (2.324) | 0.029 ** (2.0685) | 0.087 *** (3.612) | 0.280 *** (5.082) | 0.035 ** (2.326) | 0.077 *** (4.767) | 0.041 *** (3.015) | 0.194 *** (4.283) |
| 2016 | 0.194 *** (2.408) | 0.036 ** (2.542) | 0.113 *** (3.845) | 0.279 *** (5.071) | 0.042 *** (2.735) | 0.051 *** (3.223) | 0.063 *** (3.287) | 0.193 *** (4.274) |
| 2017 | 0.186 *** (2.303) | 0.034 ** (2.481) | 0.146 *** (4.128) | 0.276 *** (5.035) | 0.036 ** (2.387) | 0.034 ** (2.269) | 0.089 *** (3.542) | 0.190 *** (4.241) |
| 2018 | 0.203 *** (2.515) | 0.030 ** (2.320) | 0.172 *** (4.306) | 0.271 *** (4.982) | 0.034 ** (2.300) | 0.042 *** (2.727) | 0.105 *** (3.716) | 0.186 *** (4.195) |
| 2019 | 0.208 *** (2.588) | 0.029 ** (2.253) | 0.158 *** (3.974) | 0.265 *** (4.908) | 0.035 ** (2.379) | 0.045 *** (2.884) | 0.092 *** (3.408) | 0.181 *** (4.132) |
| 2020 | 0.177 ** (2.188) | 0.024 ** (2.080) | 0.135 ** (3.189) | 0.257 *** (4.815) | 0.035 ** (2.371) | 0.032 ** (2.161) | 0.074 ** (2.753) | 0.175 *** (4.053) |
| 2021 | 0.208 *** (2.586) | 0.054 *** (3.400) | 0.111 ** (2.863) | 0.248 *** (4.706) | 0.036 ** (2.412) | 0.064 *** (3.999) | 0.058 ** (2.439) | 0.168 *** (3.961) |
| 2022 | 0.245 *** (3.056) | 0.042 *** (2.757) | 0.093 ** (2.577) | 0.237 *** (4.582) | 0.054 *** (3.465) | 0.047 *** (3.013) | 0.045 * (2.091) | 0.159 *** (3.854) |
| W1 | W2 | |||||
|---|---|---|---|---|---|---|
| Spatial error: LM test | 18.760 *** | 2.969 ** | 19.228 *** | 2.313 ** | 0.142 ** | 4.130 ** |
| Spatial error: robust LM test | 0.897 ** | 0.714 * | 1.569 * | 3.177 * | 1.235 ** | 4.008 *** |
| spatial lag: LM test | 24.855 *** | 4.616 ** | 26.308 *** | 0.343 ** | 1.624 ** | 1.074 * |
| spatial lag: robust LM test | 6.992 *** | 2.360 * | 8.649 *** | 1.207 * | 2.717 *** | 0.952 * |
| Spatial lag: LR test | 101.330 *** | 17.130 *** | 89.940 *** | 228.500 *** | 54.110 *** | 231.120 *** |
| Spatial error: LR test | 137.140 *** | 16.960 *** | 116.940 *** | 237.490 *** | 51.310 *** | 244.950 *** |
| Hausman χ2 | 22.060 *** | 28.070 *** | 56.750 *** | 67.570 *** | 168.100 *** | 153.700 *** |
References
- Meng, H.Y.; Qian, L.; Duan, K. Evaluating the impacts of flooding on crop yields by different meteorological indices: A regional case study in the middle-lower reach of the Yangtze River, China. Ecol. Indic. 2024, 162, 112068. [Google Scholar] [CrossRef]
- Su, Y.X.; Wang, J.; Li, J.H.; Wang, L.Z.; Wang, K.F.; Li, A.; Gao, L.; Wang, Z.; Wang, Z. Spatiotemporal changes and driving factors of reference evapotranspiration and crop evapotranspiration for cotton production in China from 1960 to 2019. Front. Environ. Sci. 2023, 11, 1251789. [Google Scholar] [CrossRef]
- Saseendran, S.A.; William, T.P.; Krishna, N.R.; Ma, L.; Fisher, D.K.; Sui, R. Climate-Optimized Planting Windows for Cotton in the Lower Mississippi Delta Region. Agronomy 2016, 6, 46. [Google Scholar] [CrossRef]
- Sanzidur, R. Impacts of climate change, agroecology and socio-economic factors on agricultural land use diversity in Bangladesh (1948–2008). Land Use Policy 2016, 50, 169–178. [Google Scholar] [CrossRef]
- Yuan, R.; Wang, K.; Ren, D.; Chen, Z.; Guo, B.; Zhang, H.; Li, D.; Zhao, C.; Han, S.; Li, H.; et al. An Analysis of Uncertainties in Evaluating Future Climate Change Impacts on Cotton Production and Water Use in China. Agronomy 2025, 15, 1209. [Google Scholar] [CrossRef]
- Zhang, X.; Zhou, X.; Liu, H.; Zhang, J.; Zhang, J.; Wei, S. The Impact of Factor Price Change on China’s Cotton Production Pattern Evolution: Mediation and Spillover Effects. Agriculture 2024, 14, 1145. [Google Scholar] [CrossRef]
- Bita, M. Assessing crop coefficient variability in arid and semi-arid regions: A meta-analytic approach. Field Crops Res. 2025, 333, 110101. [Google Scholar]
- Ram, A.J.; Dinesh, J.; Anita, K.; Kar, S.K.; Rawat, I.; Kumar, S.; Paramesh, V.; Meena, V.S.; Kaushal, R.; Kumar, K.; et al. Integrated watershed management for transforming dryland livelihoods: A climate-smart strategy for sustainable dryland agriculture in India. Watershed Ecol. Environ. 2025, 7, 159–177. [Google Scholar] [CrossRef]
- Singh, B.; Ehsan, M.A.; Robertson, A.W. Calibrated probabilistic sub-seasonal forecasting for Pakistan’s monsoon rainfall in 2022. Clim. Dyn. 2024, 62, 3375–3393. [Google Scholar] [CrossRef]
- Shwetha, M.N.; Devi, I.S.; Lavanya, T.; Meena, A. Comparative economic analysis of cotton cultivation in Adilabad and Nalgonda districts of Telangana, India: Insights for sustainable farming practices. Arch. Curr. Res. Int. 2024, 9, 309–316. [Google Scholar] [CrossRef]
- Nguyen, N.H.; Nguyen, T.T.T. Assuring Social Equity and Improving Income from an Assessment of Government’s Supports in a Pandemic and Migrant Workers’ Integration in Vietnam. Economies 2022, 10, 94. [Google Scholar] [CrossRef]
- Wang, X.; Ding, S.; Cao, W.; Fan, D.; Tang, B. Research on Network Patterns and Influencing Factors of Population Flow and Migration in the Yangtze River Delta Urban Agglomeration, China. Sustainability 2020, 12, 6803. [Google Scholar] [CrossRef]
- Wang, X.Y.; Li, D.; Yu, Y. Current situation and optimization countermeasures of cotton subsidy in China based on WTO rules. Agriculture 2022, 8, 1245. [Google Scholar] [CrossRef]
- Hao, W.; Hu, X.; Wu, G.; Zhang, Z.; Cai, M.; Zhou, H.; Liu, X. The impact of plot size and farm size on crop production: Evidence from mechanization and labor input perspectives. Energy Nexus 2025, 19, 100530. [Google Scholar] [CrossRef]
- Zhu, Y.; Wang, G.; Du, H.; Liu, J.; Yang, Q. The Effect of Agricultural Mechanization Services on the Technical Efficiency of Cotton Production. Agriculture 2025, 15, 1233. [Google Scholar] [CrossRef]
- Yu, G.; Lu, Z. Rural credit input, labor transfer and urban–rural income gap: Evidence from China. China Agric. Econ. Rev. 2021, 13, 872–893. [Google Scholar] [CrossRef]
- Hashmi, M.S.; Kamran, M.A.; Bakhsh, K.H.; Bashir, M.A. Role of socio-economic factors on scale efficiency of cotton farms. Bulg. J. Agric. Sci. 2016, 22, 358–367. [Google Scholar]
- Zhang, J.; Yang, T.; Deng, M. Ecosystem Services’ Supply–Demand Assessment and Ecological Management Zoning in Northwest China: A Perspective of the Water–Food–Ecology Nexus. Sustainability 2024, 16, 7223. [Google Scholar] [CrossRef]
- Zhang, P.; Hu, S.; Li, W.; Zhang, C. Parcel-level mapping of crops in a smallholder agricultural area: A case of central China using single-temporal VHSR imagery. Comput. Electron. Agric. 2020, 175, 105581. [Google Scholar] [CrossRef]
- Chrysomallidis, C.; Doukas, Y.E. Building Networks in the Agri-Food Chain: EU as Facilitator Toward Digital Transformation and “Greening” of Agricultural Sector. J. Int. Food Agribus. Mark. 2024, 36, 47–67. [Google Scholar] [CrossRef]
- Reshma, S.; Smitha, B. Minimum Support Price and Procurement Mechanism for Smallholder Paddy Farmers: An Effective Tool for Farm Price Risk Mitigation. J. Exp. Agric. Int. 2025, 47, 95–104. [Google Scholar] [CrossRef]
- Yao, L.; Si, W.; Si, R. Evaluating the Effects of the ‘Pilot Zone’ Policy on China’s Agricultural Green Development. Sustainability 2024, 16, 5149. [Google Scholar] [CrossRef]
- Elahi, E.; Zhu, M.; Khalid, Z.; Wei, K. An empirical analysis of carbon emission efficiency in food production across the Yangtze River basin: Towards sustainable agricultural development and carbon neutrality. Agric. Syst. 2024, 218, 103994. [Google Scholar] [CrossRef]
- Ba, X.; Wang, X.; Luo, X.; Zhong, Y. Assessment of the effect of the reward policy for major grain-producing counties on county governments’ incentives to support grain production. Front. Sustain. Food Syst. 2025, 9, 1600573. [Google Scholar] [CrossRef]
- Shi, M. The reduction of cotton cultivation in Shandong Province of China. China Agric. Econ. Rev. 2017, 4, 607–622. [Google Scholar] [CrossRef]
- Yan, W.; Huang, K. The effect of China’s domestic public storage on world market prices: The case of cotton. China Agric. Econ. Rev. 2021, 13, 756–780. [Google Scholar] [CrossRef]
- Yu, Z.; Yang, Y. Carbon footprint of global cotton production. Resour. Environ. Sustain. 2025, 20, 100214. [Google Scholar] [CrossRef]
- Sall, I.; Tronstad, R. Simultaneous Analysis of Insurance Participation and Acreage Response from Subsidized Crop Insurance for Cotton. J. Risk Financ. Manag. 2021, 14, 562. [Google Scholar] [CrossRef]
- Singh, A. Better Water and Land Allocation for Long-term Agricultural Sustainability. Water Resour. Manag. 2022, 36, 3505–3522. [Google Scholar] [CrossRef]
- Chen, L.L.; Peng, J.Q.; Zhang, W.B. Research on the Impact of Rural Land Transfer on Non-Farm Employment of Farm Households: Evidence from Hubei Province, China. Int. J. Environ. Res. Public Health 2022, 19, 15587. [Google Scholar] [CrossRef]
- Li, F.; Feng, S.Y.; Lu, H.L.; Qu, F.T.; Marijke, D.H. How do non-farm employment and agricultural mechanization impact on large-scale farming? A spatial panel data analysis from Jiangsu Province, China. Land Use Policy 2021, 107, 105517. [Google Scholar] [CrossRef]
- Han, W.; Liu, S.; Lei, Y.; Zhang, Y.; Han, Y.; Wang, G.; Feng, L.; Li, X.; Li, Y.; Wang, Z. Climate warming accelerates cotton growth while cultivar shifts extend the growth period. Field Crops Res. 2023, 293, 108850. [Google Scholar] [CrossRef]
- Maertens, M. Horticulture exports, agro-industrialization, and farm–nonfarm linkages with the smallholder farm sector: Evidence from Senegal. Agric. Econ. 2009, 2, 219–229. [Google Scholar] [CrossRef]
- Callaway, B.; Sant’Anna, P.H.C. Difference-in-Differences with multiple time periods. J. Econom. 2020, 225, 200–230. [Google Scholar] [CrossRef]
- Goldsmith-Pinkham, P.; Sorkin, I.; Swift, H. Bartik Instruments: What, When, Why, and How. Am. Econ. Rev. 2020, 110, 2586–2624. [Google Scholar] [CrossRef]
- Zhang, L.X.; Dong, Y.Q.; Liu, C.F.; Bai, Y.L. Off-farm employment over the past four decades in rural China. China Agric. Econ. Rev. 2018, 10, 190–214. [Google Scholar] [CrossRef]
- Chen, L.; Huang, Y.F.; Qin, X.Z.; Xu, W.P.; Qin, Y.W.; Li, X. Return migration and in-situ urbanization of 79 migrant sending counties in China: Characteristic and driving factors. J. Rural. Stud. 2023, 104, 103155. [Google Scholar] [CrossRef]
- Wang, Y.; Peng, S.; Huang, J.; Zhang, Y.; Feng, L.; Zhao, W.; Qi, H.; Zhou, G.; Deng, N. Prospects for cotton self-sufficiency in China by closing yield gaps. Eur. J. Agron. 2022, 133, 126437. [Google Scholar] [CrossRef]
- Sriram, J.; Kannan, S.V.; Ragavan, T.; Sheeba, S.; Sivasankari, B. Mechanization in cotton farming: Addressing labor shortages and enhancing productivity in India. J. Sci. Res. Rep. 2024, 10, 617–630. [Google Scholar] [CrossRef]
- Feng, L.; Wang, G.; Han, Y.; Li, Y.; Zhu, Y.; Zhou, Z.; Cao, W. Effects of planting pattern on growth and yield and economic benefits of cotton in a wheat-cotton double cropping system versus monoculture cotton. Field Crops Res. 2017, 213, 100–108. [Google Scholar] [CrossRef]

| Definitions | Mean | Std. | |
|---|---|---|---|
| Cotton (lint) planting acreage (1000 hectares) | 3.793 | 6.518 | |
| The total number of rural employed persons minus the number of persons employed in agriculture, forestry, animal husbandry, and fisheries (100,000 person) | 2.102 | 1.949 | |
| 1 if the region is covered by the cotton target price subsidy policy, 0 otherwise | 0.348 | 0.476 | |
| 1 if the region implements the reward policy for major grain-producing counties, 0 otherwise | 0.522 | 0.499 | |
| The total power of agricultural machinery (gigawatt) | 0.563 | 0.483 | |
| Fertilizer deposits (10 kiloton) | 3.984 | 3.390 | |
| Effective irrigation area (10,000 hectares) | 4.733 | 4.483 | |
| Annual precipitation (meter) | 1.257 | 0.364 | |
| Total food yield (100 kiloton) | 4.035 | 3.069 |
| (1) | (2) | (3) | (4) | |
|---|---|---|---|---|
| −0.062 * (0.034) | −0.107 *** (0.036) | |||
| −1.843 *** (0.211) | −2.258 *** (0.211) | |||
| −1.732 *** (0.309) | −1.989 *** (0.305) | |||
| −1.204 ** (0.495) | −0.774 * (0.461) | −1.049 ** (0.481) | −0.870 * (0.469) | |
| 0.330 *** (0.063) | 0.319 *** (0.061) | 0.333 *** (0.063) | 0.315 *** (0.061) | |
| −0.367 *** (0.125) | −0.349 *** (0.121) | −0.353 *** (0.121) | −0.357 *** (0.123) | |
| 0.728 *** (0.255) | 0.510 ** (0.250) | 0.570 ** (0.255) | 0.652 *** (0.249) | |
| −0.187 *** (0.056) | −0.132 ** (0.055) | −0.164 *** (0.056) | −0.137 ** (0.055) | |
| 4.858 *** (0.738) | 6.102 *** (0.672) | 5.461 *** (0.664) | 5.493 *** (0.690) | |
| yes | yes | yes | yes | |
| yes | yes | yes | yes | |
| 4186 | 4186 | 4186 | 4186 | |
| 0.711 | 0.714 | 0.713 | 0.712 |
| (1) | (2) | (3) | (4) | (5) | (6) | (7) | |
|---|---|---|---|---|---|---|---|
| Two-Way Fixed | CSDID | Bartik IV | |||||
| −0.185 *** (0.036) | |||||||
| −0.168 ** (0.079) | |||||||
| −0.104 ** (0.045) | |||||||
| −2.600 *** (0.310) | −1.620 *** (0.526) | ||||||
| 4.204 *** (0.287) | |||||||
| −1.556 *** (0.210) | |||||||
| −4.692 *** (0.989) | −4.031 *** (0.199) | −1.558 (2.440) | |||||
| −5.339 *** (1.039) | −4.824 *** (0.214) | −1.980 * (1.153) | |||||
| 214.356 | |||||||
| 203.753 *** | |||||||
| yes | yes | yes | yes | yes | yes | yes | |
| yes | yes | yes | yes | yes | yes | yes | |
| 4186 | 4186 | 4186 | 4186 | 4186 | 4186 | 4186 | |
| 0.261 | 0.287 | 0.284 | — | — | 0.230 | 0.246 | |
| (1) | (2) | (3) | (4) | (5) | (6) | |
|---|---|---|---|---|---|---|
| 2000–2005 | 2006–2010 | 2011–2022 | ||||
| 0.503 *** (0.071) | −0.670 ** (0.296) | −0.248 *** (0.049) | ||||
| 0.131 (0.189) | −3.451 *** (0.555) | −1.667 *** (0.282) | ||||
| yes | yes | yes | yes | yes | yes | |
| yes | yes | yes | yes | yes | yes | |
| 1092 | 1092 | 910 | 910 | 2184 | 2184 | |
| 0.438 | 0.957 | 0.964 | 0.964 | 0.566 | 0.106 | |
| (1) | (2) | (3) | (4) | (5) | (6) | |
|---|---|---|---|---|---|---|
| HAJ | ZJH | |||||
| −0.225 *** (0.067) | −0.047 (0.028) | |||||
| −3.077 *** (0.243) | 0.925 (0.766) | |||||
| −2.387 *** (0.468) | −0.618 *** (0.096) | |||||
| yes | yes | yes | yes | yes | yes | |
| yes | yes | yes | yes | yes | yes | |
| 2875 | 2875 | 2875 | 1311 | 1311 | 1311 | |
| 0.697 | 0.689 | 0.700 | 0.859 | 0.253 | 0.261 | |
| (1) | (2) | |
|---|---|---|
| −0.499 *** (0.187) | −0.354 *** (0.044) | |
| −0.344 *** (0.117) | ||
| −0.341 *** (0.219) | ||
| yes | yes | |
| yes | yes | |
| 4186 | 4186 | |
| 0.697 | 0.673 |
| W1 | W2 | |||||
|---|---|---|---|---|---|---|
| (1) | (2) | (3) | (4) | (5) | (6) | |
| −0.142 *** (0.042) | −0.402 *** (0.027) | |||||
| −0.342 *** (0.064) | −0.254 *** (0.041) | |||||
| −1.124 *** (0.222) | −0.367 *** (0.027) | |||||
| −0.657 ** (0.329) | −0.180 *** (0.040) | |||||
| −1.762 *** (0.227) | −1.482 *** (0.231) | |||||
| −2.098 *** (0.338) | −2.820 *** (0.462) | |||||
| yes | yes | yes | yes | yes | yes | |
| 0.078 *** (0.019) | 0.051 *** (0.020) | 0.091 *** (0.019) | 0.384 *** (0.041) | 0.091 *** (0.026) | 0.232 *** (0.022) | |
| 12.912 *** (0.282) | 12.446 *** (0.272) | 12.946 *** (0.283) | 12.668 *** (0.277) | 12.349 *** (0.270) | 12.674 *** (0.277) | |
| yes | yes | yes | yes | yes | yes | |
| 4186 | 4186 | 4186 | 4186 | 4186 | 4186 | |
| −0.149 *** (0.042) | −1.158 *** (0.187) | −1.844 *** (0.191) | −0.402 *** (0.029) | −0.365 *** (0.029) | −1.514 *** (0.196) | |
| −0.372 *** (0.066) | −0.789 ** (0.343) | −2.466 *** (0.369) | −0.659 *** (0.113) | −0.230 *** (0.056) | −4.182 *** (0.592) | |
| −0.521 *** (0.068) | −1.947 *** (0.351) | −4.310 *** (0.373) | −1.060 *** (0.122) | −0.595 *** (0.066) | −5.696 *** (0.563) | |
| 0.133 | 0.148 | 0.154 | 0.136 | 0.154 | 0.168 | |
Disclaimer/Publisher’s Note: The statements, opinions and data contained in all publications are solely those of the individual author(s) and contributor(s) and not of MDPI and/or the editor(s). MDPI and/or the editor(s) disclaim responsibility for any injury to people or property resulting from any ideas, methods, instructions or products referred to in the content. |
© 2025 by the authors. Licensee MDPI, Basel, Switzerland. This article is an open access article distributed under the terms and conditions of the Creative Commons Attribution (CC BY) license (https://creativecommons.org/licenses/by/4.0/).
Share and Cite
Wang, Q.; Han, J.; Zhang, J. Non-Farm Employment, Agricultural Policies and Cotton Planting Acreage Decline in China’s Yangtze River Basin: 2000–2022. Sustainability 2025, 17, 10039. https://doi.org/10.3390/su172210039
Wang Q, Han J, Zhang J. Non-Farm Employment, Agricultural Policies and Cotton Planting Acreage Decline in China’s Yangtze River Basin: 2000–2022. Sustainability. 2025; 17(22):10039. https://doi.org/10.3390/su172210039
Chicago/Turabian StyleWang, Quanzhong, Jing Han, and Jinfeng Zhang. 2025. "Non-Farm Employment, Agricultural Policies and Cotton Planting Acreage Decline in China’s Yangtze River Basin: 2000–2022" Sustainability 17, no. 22: 10039. https://doi.org/10.3390/su172210039
APA StyleWang, Q., Han, J., & Zhang, J. (2025). Non-Farm Employment, Agricultural Policies and Cotton Planting Acreage Decline in China’s Yangtze River Basin: 2000–2022. Sustainability, 17(22), 10039. https://doi.org/10.3390/su172210039

