Next Article in Journal
Carbon–Water Coupling in Forest Ecosystems Under Climate Change: Advances in Water Use Efficiency and Sustainability Perspectives
Previous Article in Journal
Unveiling and Evaluating Residential Satisfaction at Community and Housing Levels in China: Based on Large-Scale Surveys
 
 
Font Type:
Arial Georgia Verdana
Font Size:
Aa Aa Aa
Line Spacing:
Column Width:
Background:
Article

Comparative Analysis of Battery and Thermal Energy Storage for Residential Photovoltaic Heat Pump Systems in Building Electrification

1
Department of Multidisciplinary Engineering, Texas A&M University, College Station, TX 77843-0200, USA
2
The Center for Energy Systems Design (CESD), International Institute for Carbon-Neutral Energy Research (WPI-I2CNER), Kyushu University, Fukuoka 819-0395, Japan
3
Department of Architecture, Graduate School of Engineering, The University of Tokyo, Tokyo 113-8654, Japan
*
Author to whom correspondence should be addressed.
Sustainability 2025, 17(21), 9497; https://doi.org/10.3390/su17219497
Submission received: 7 October 2025 / Revised: 21 October 2025 / Accepted: 23 October 2025 / Published: 25 October 2025

Abstract

Buildings with electrified heat pump systems, onsite photovoltaic (PV) generation, and energy storage offer strong potential for demand flexibility. This study compares two storage configurations, thermal energy storage (TES) and battery energy storage (BESS), to evaluate their impact on cooling performance and cost savings. A Model Predictive Control (MPC) framework was developed to optimize system operations, aiming to minimize costs while maintaining occupant comfort. Results show that both configurations achieve substantial savings relative to a baseline. The TES system reduces daily operating costs by about 50%, while the BESS nearly eliminates them (over 90% reduction) and cuts grid electricity use by more than 65%. The BESS achieves superior performance because it can serve both the controllable heating, ventilation, and air conditioning (HVAC) system and the home’s broader electrical loads, thereby maximizing PV self-consumption. In contrast, the TES primarily influences the thermal load. These findings highlight that the choice between thermal and electrical storage greatly affects system outcomes. While the BESS provides a more comprehensive solution for whole-home energy management by addressing all electrical demands, further techno-economic evaluation is needed to assess the long-term feasibility and trade-offs of each configuration.

1. Introduction

Buildings are central to the global energy transition due to their high and growing share of energy consumption and greenhouse gas emissions. In the United States, buildings account for about 40% of total energy use and 74% of electricity consumption [1]. Within this sector, the residential subsector is undergoing rapid change, driven by two major trends: (i) electrification of space heating and cooling via heat pumps, and (ii) accelerating adoption of distributed photovoltaic (PV) systems. Together, these shifts create opportunities for emission reduction and renewable integration while also making homes active participants in grid operation. However, electrification also intensifies peak demand challenges. Residential air conditioning is already a dominant contributor to summer evening peaks, and widespread use of heat pumps could heighten this effect. At the same time, rooftop PV introduces a mismatch between supply and demand: generation peaks at midday, while household thermal loads and grid demand typically peak in late afternoon and evening. This misalignment, commonly illustrated by the “duck curve”, creates steep net-load ramps that complicate grid operations [2,3,4]. For homeowners, it reduces the economic value of PV because midday surplus is exported at low rates, while costly electricity must still be purchased during evening peaks. Energy storage is therefore essential to shift excess solar generation to later hours, enabling higher self-consumption, cost savings, and demand-side flexibility [5].
Two energy storage options are particularly relevant to residential homes. The first is Battery Energy Storage Systems (BESS), typically lithium-ion, which provide high efficiency, fast response, and can serve any household load. Their drawbacks include high upfront costs, finite cycle life, and concerns over material supply and end-of-life disposal. The second is Thermal Energy Storage (TES), especially well-suited to buildings with large heating and cooling loads. Among TES options, latent heat storage using Phase Change Materials (PCMs) has gained attention for its high energy density and reliance on safe, abundant materials [6]. TES offers lower capital costs and long lifespans, though with lower efficiency, slower response, and application-specific limitations, since it can only address thermal demands. A more detailed discussion of these technologies will be provided in the literature review section.

1.1. Literature Review

1.1.1. Building Energy Transition and the “Duck Curve” Problem

The “duck curve” has emerged as a defining challenge in modern grid operations, particularly in regions such as California where solar generation is rapidly expanding and demand patterns are shifting. Evidence from the California Independent System Operator (CAISO) and other studies demonstrates that the sharp increase in distributed photovoltaic output during midday results in substantial reductions in net load, followed by a steep rise in net demand during the evening hours, which forms the characteristic “neck” of the duck curve. CAISO’s 2016 and 2017 reports emphasize that as solar penetration grows, the depth of the midday valley and the evening ramp become increasingly severe, requiring flexible resources and demand-side interventions to reliably balance the grid [7,8]. Further analysis by the U.S. Energy Information Administration (EIA) shows this effect has intensified over recent years, with deeper net-load troughs and sharper ramps observed in California’s grid data, underscoring the need for enhanced flexibility and load-shifting solutions [9]. The National Renewable Energy Laboratory (NREL) tracks a decade of duck curve analysis, revealing that this mismatch between solar supply and residential/cooling demand is now fundamental to high-renewables grid management in the U.S. and internationally [10]. Although the duck curve has been extensively documented at the utility and system scale, a significant research gap remains in addressing demand-side flexibility within residential buildings. Existing studies acknowledge the importance of storage technologies, load shifting, and advanced control strategies for aligning building demand profiles with variable rooftop PV supply. However, practical strategies and detailed building-level quantitative analyses are still limited, underscoring the need for further investigation.

1.1.2. Thermal Energy Storage for Grid-Responsive Heating and Cooling

TES has been increasingly recognized as an important strategy for demand-side management and flexible building operation. By decoupling energy generation from consumption, TES enables residential loads to be more closely aligned with variable renewable supply [11] TES in buildings is generally categorized into sensible, latent, and thermochemical storage, each offering distinct material properties and operational advantages [12,13]. Among these, latent heat storage using PCM has received particular attention due to its compact design, high energy density, and ability to maintain stable indoor temperatures during charging and discharging cycles.
Recent literature emphasizes both the technical potential and field demonstrations of TES in residential buildings, showing that integration with electrified HVAC systems, particularly heat pumps, can support load shifting, reduce operational costs, and improve energy efficiency under time-of-use pricing schemes. Specifically, Arteconi et al. [14] indicated that TES in residential buildings, especially when integrated with electrified HVAC systems such as heat pumps, offers significant technical potential for supporting load shifting, reducing operational costs, and improving energy efficiency under time-of-use pricing schemes. Inkeri et al. [15] demonstrated through field and simulation results that active PCM-based TES systems, when coupled with heat pumps, can be dynamically charged or discharged in response to electricity prices or weather forecasts, thereby enhancing operational flexibility and better matching energy demand to grid conditions. Yang et al. confirmed that MPC-based control, compared to conventional rule-based strategies, enables greater flexibility and efficiency by utilizing TES and heat pumps in response to predicted energy demands and price signals [16]. However, despite the maturity of TES technology reviews and some promising simulation results, existing literature points to several research gaps. Most existing studies focus on TES system design, modeling methodologies, and simulation-based performance under idealized conditions [17,18] that there is limited direct comparative evaluation between TES and other storage mechanisms like electrical batteries in real residential environments, especially with optimized controls and consideration of lifecycle economics.

1.1.3. Model Predictive Control for HVAC Operation

MPC has emerged as a cutting-edge approach for optimizing the operation of HVAC systems integrated with thermal storage in buildings [19]. Drgoňa et al. indicated that MPC has become a leading strategy for optimizing HVAC operation in buildings, offering the ability to minimize energy costs and maintain occupant comfort while accounting for system dynamics and operational constraints. Serale et al. explained that economic MPC continually adapts system settings over a prediction horizon, leveraging forecasts of loads, weather, and energy prices to improve performance beyond conventional rule-based methods [20]. Afram & Janabi-Sharifi provided a thorough review of MPC design and applications, showing that the approach is well-suited to managing combined HVAC and TES systems where multi-variable optimization and flexibility are crucial [8].
Recent studies demonstrated that integrating MPC with TES-equipped HVAC systems enables advanced scheduling of heating and cooling operations, strategic load shifting, and dynamic response to time-of-use electricity tariffs. Yao and Shekhar [21] found that MPC controllers can handle complex constraints, maintain comfort, and exploit latent storage by pre-charging or discharging TES to match price signals, resulting in substantial operating cost and peak load reductions. Hlanze et al. highlighted that multi-stage heat pump systems controlled via MPC, when integrated with phase-change TES, achieved over 27% reduction in energy costs in residential field demonstrations [22]. Despite proven effectiveness, Schwenzer et al. observed that most MPC implementations rely on highly detailed system models and forecasts that may not reflect real-world uncertainty and variability, indicating a need for robust, practical controller designs suitable for field deployment [23]. Additionally, Tang and Wang noted that while MPC is capable of coordinating demand response with TES, future research should focus on simplified algorithms, data-driven models, and validations across a wider range of climates and building types [24]. Overall, the previous studies demonstrated that MPC is essential for unlocking the flexibility potential of advanced HVAC and TES systems, while practical deployment requires advances in model simplification, forecasting accuracy, and integration with sensors and field data.

1.1.4. Comparative Storage Studies: BESS vs. TES

As building operators aim to enhance flexibility, manage peak loads, and improve renewable integration, both BESS and TES have emerged as prominent solutions for grid-interactive buildings. Sarbu and Sebarchievici [25] noted that while both technologies contribute to flexibility and demand response, their operational principles, optimal applications, and impacts on building energy management differ considerably. Mitali et al. reviewed the underlying principles, strengths, and limitations of both storage types, highlighting that BESS typically offers rapid, direct electrical load shifting and is well-suited for short-duration balancing, while TES provides high energy density and economy in managing long-duration thermal loads through technologies such as sensible and latent heat storage [26]. Specifically, Bao et al. demonstrated that hybrid deep-learning approaches integrating Transformer and LSTM architectures can substantially enhance state-of-charge (SOC) estimation accuracy for lithium-ion batteries. By combining the Transformer’s ability to capture long-range dependencies with the LSTM’s strength in modeling short-term temporal dynamics, their collaborative framework achieved higher robustness across varying temperatures and driving conditions, offering improved reliability for battery management and energy storage applications [27]. Sadeghi et al. observed that, despite the technical promise of BESS for integrating rooftop photovoltaics, widespread deployment is still constrained by system lifespan, fire risk, and recycling challenges, while TES continues to face practical barriers in real-time monitoring and verifiable state-of-charge assessment but generally features simpler siting and safety requirements [28]. Beyond individual TES or BESS, recent research has explored hybrid systems that leverage the complementary strengths of both. Chen et al. [29] studying a hybrid PV-BESS-Cooling storage system, found that integrating a BESS was vital for managing PV intermittency, achieving total cost savings of up to 27.3%. Similarly, Guo et al. [30] investigated a hybrid Carnot TES and electrical battery system, demonstrating that prioritizing the BESS via an optimized control strategy significantly improved performance. Their hybrid approach boosted energy coverage to over 90%, highlighting the growing trend toward hybrid solutions for enhanced cost-effectiveness and operational flexibility.
In summary, the literature indicated that both BESS and TES offer complementary pathways for enhancing building flexibility, yet each presents distinct advantages and challenges. BESS provides versatility and fast response for electrical load shifting, while TES offers cost-effective solutions for managing thermal loads. Despite these insights, direct field comparisons in residential home settings remain limited.

1.2. Research Gap, Objectives and Contribution of This Study

Although both BESS and TES have been studied as demand-side flexibility measures, few works directly compare their operation dynamics in PV-integrated residential systems with heat pumps using predictive control. Most prior studies examine each technology in isolation or rely on simplified assumptions that overlook building dynamics, time-of-use (TOU) tariffs, and comfort requirements. This study addresses these gaps with three objectives: (1) Develop and simulate dynamic models for two configurations: PV-HP-TES and PV-HP-BESS; (2) Design a customized economic MPC (eMPC) framework, including a specialized formulation for the active PV-HP-latent TES system that explicitly handles mutually exclusive operating modes and; (3) Evaluate and compare system performance using metrics such as daily cost savings, thermal comfort, PV curtailment, and grid electricity usage reduction.
The contribution of this work is twofold. First, it proposes an HP-active latent TES–targeted eMPC formulation that captures the nonlinear switching behavior of phase-change-based storage under realistic operating conditions. Second, data-driven framework that quantifies trade-offs between PV-HP-BESS and PV-HP-TES integration under identical supervisory control logic and realistic operating scenarios. By integrating dynamic building simulations with optimized control, this research identifies pathways to cost-effective, grid-responsive residential operation. The findings have important implications for homeowners and utilities developing incentives for decarbonized, grid-interactive homes.

2. Methodology

2.1. Overview of System Configurations

This study investigates two advanced, active energy storage systems integrated with a heat pump and PV panel: a TES system using PCM and a BESS. The primary objective is to compare their effectiveness in reducing operating costs, enhancing energy flexibility, and improving grid interactivity in a residential setting. Unlike passive storage, which buffers thermal loads through the building envelope, these active storage systems enable dispatchable and controllable charging and discharging. While both TES and BESS have shown potential for load management, this study addresses the need for a direct comparison to understand the operational tradeoffs between these two distinct storage pathways when managed by an advanced controller.
Both systems are modeled for integration with a conventional residential air-based HVAC system. Dynamic inputs for the analysis, including building loads, weather data, and PV power availability, form the basis for evaluating the performance of each storage strategy.
System A: PV-HP with latent TES
The first configuration, denoted as System A, couples a variable speed heat pump with a PCM-based TES unit [31]. Water source heat pumps were used in this study because their detailed performance data are open source and can represent high-efficiency systems including geothermal applications [32]. Although air-source units are more sensitive to outdoor conditions, the proposed configuration is broadly applicable across different heat pump technologies.
As shown in Figure 1, the system employs a parallel configuration where a water-to-air heat pump operates with a PCM-based storage tank through a secondary water loop that includes a water–air heat exchanger and circulating pump. Airflow is managed by three-way dampers and fans, enabling four operating modes: (i) direct cooling, where the heat pump conditions return air directly; (ii) TES charging, where the cooled air charges the PCM via the water loop; (iii) TES discharging, where stored cold energy is delivered through the water to air coil without heat pump operation; and (iv) idle mode. To clarify the control logic and functional differences, the operating modes are summarized in Table 1, which outlines the status of the heat pump, airflow paths, and the corresponding role of each mode in system operation.
System B: PV-HP with BESS
The second configuration, System B shown in Figure 2, integrates the same variable speed heat pump with a BESS. In contrast to the TES system, which requires a secondary water loop and air dampers, the BESS is integrated directly into the building’s electrical system. This configuration typically requires less invasive retrofitting and provides greater operational flexibility.
Unlike the TES system’s mutually exclusive operating modes, the BESS can perform its functions in parallel with the heat pump’s operation. This allows for numerous simultaneous actions, such as cooling the space while charging the battery with surplus PV, powering the heat pump with stored energy from the battery during peak hours, and charging or discharging the battery to either store solar energy or power other home loads even when the heat pump is idle. In addition, by storing excess PV electricity generation or off-peak grid electricity, the BESS enables direct management of the home’s entire electrical load, not just the thermal load.

2.2. MPC Centered Optimization Framework

In this study, the reduced order models for the building, heat pump, and TES and BESS systems are integrated into a comprehensive framework for control optimization and performance evaluation. As shown in Figure 3, this framework combines disturbance forecasting, the MPC controller, and a high-fidelity virtual testbed. Implemented in the Julia programming language for its computational efficiency, the MPC controller leverages forecasts for weather, occupancy, and grid price signals to inform its decisions. By solving the optimization problem detailed in the preceding sections, the MPC controller generates an optimal sequence of actions over the prediction horizon, enabling cost saving strategies like precooling and demand shifting. The performance of the MPC is evaluated in a high-fidelity virtual testbed, as detailed in Section 2.4. This co-simulation environment links the detailed component models developed in Modelica with the building envelope model in EnergyPlus, using the Spawn of EnergyPlus framework [33].
Problem formulation
MPC is an advanced strategy that uses system models to forecast future states and determine optimal control actions over a prediction horizon. At each interval, it solves an optimization problem to minimize a cost function, such as energy cost, while respecting system constraints and accounting for disturbances. This predictive capability is highly effective for building HVAC systems, enabling load shifting strategies like precooling to reduce peak demand and save costs, an advantage not achievable with conventional reactive controllers.
The proposed MPC framework relies on explicit dynamic representations of the integrated home energy systems to predict future trajectories and determine optimal control inputs. The state-space model-based formulation is adopted to capture both the thermodynamic interactions (cooling output, thermal storage, building loads) and the electrical power flows (PV power generation, grid exchange, battery storage). In addition, the MPC controller integrates key disturbance forecasts, including solar irradiance, outdoor temperature, occupancy schedules, and time-varying electricity tariffs. Based on this information and the current measured state, the prediction model estimates the system’s future response to a sequence of control actions.
System-level constraints are explicitly incorporated to ensure that optimized control strategies remain feasible and tailored to each specific configuration. These constraints include shared limits, such as the acceptable indoor comfort range and the operational limits of the variable-speed heat pump. Crucially, they also include constraints unique to each energy storage pathway:
  • For the TES system, constraints include the thermal storage capacity, the latent energy state (i.e., liquid fraction), and charging/discharging heat transfer rates.
  • For the BESS system, constraints include the battery’s state-of-charge (SOC) limits, maximum charging/discharging power, and round-trip efficiency.
By enforcing these distinct sets of constraints, MPC ensures that operational targets are achieved without violating the unique physical requirements of either the thermal or electrical storage system. The optimization problem is formulated to satisfy these constraints, which are derived from reduced order models of the system components. In addition, to prevent infeasibility, slack variables are introduced to permit minor, penalized deviations from the comfort setpoints. It is noted that, for evaluating the MPC framework’s theoretical performance, both the TES and BESS SOC predictions were assumed to be deterministic and noise-free. This assumption isolates the controller’s decision-making capability from sensing and forecasting errors.
The following two subsections present the detailed MPC problem formulation for each system configuration, focusing on the specific state variables, dynamics, and constraints between the control of the PV-HP-TES system and the PV-HP-BESS system.
MPC formulation for PV-HP-TES system
The MPC formulation for the PV-HP-TES system is structured to co-optimize the building’s thermal state with the thermal energy stored in the PCM, leveraging PV generation to shift cooling loads. The objective function J is to minimize a weighted sum of four key performance costs over the prediction horizon: (1) the total cost of electricity imported from the grid, (2) penalties for deviations from the thermal comfort bounds, (3) costs associated with frequent equipment mode switching, and (4) the cost of PV curtailment. The inclusion of this third cost term is a critical feature. It is explicitly designed to address the practical challenge of frequent mode switching, which can reduce equipment lifespan and cause performance degradation due to physical response delays. By penalizing frequent changes in operational mode, the MPC is disincentivized from making erratic control decisions and is instead encouraged to find strategies with more stable operational modes.
The optimization is achieved by manipulating a control vector, u, tailored to thermal energy management. This vector contains mutually exclusive commands for the system operating mode (direct cooling, TES charging, TES discharging, or idling), as well as the heat pump compressor speed (ω) and PV power generation (Upv).
The formulation’s core constraints center on thermal energy management. The state of the thermal storage is tracked by its liquid fraction (fliquid), which represents the amount of latent heat stored. The dynamics ensure that the liquid fraction decreases when the heat pump actively charges the TES and increases when the TES discharges to cool the zone. A key distinction of this system is the HVAC cooling balance (qHVAC), where the net cooling delivered to the zone is the sum of direct cooling from the heat pump and thermal energy released from the TES. Consequently, the electrical power balance is more straightforward than in the BESS system, requiring only that the grid and utilized PV power meet the electrical demand of the heat pump, the fan, and other uncontrollable loads. These constraints are integrated with the building thermal model and comfort requirements to ensure holistic optimization.
J = min u t + k k = 0 N 1 w 1 p t + k P t + k Δ t + w 2 σ T t + k 2 + w 3 Δ u t + k 1 2 + w 4 S t + k 1 p v Δ t
u t + k = [ b c o l t + k , b c h g t + k , b d i s t + k , b i d l t + k , ω t + k , U p v t + k ]
s.t.
T z t + k + 1 = g T z t + k , q H V A C t + k , q s o l a r t + k , q i n t e r n a l t + k
f l i q u i d t + k + 1 = g f l i q u i d t + k , T z t + k
q H V A C t + k = b c o l t + k q h p t + k + b d i s t + k q t e s t + k
q h p t + k = g T s o u t + k , T z t + k , ω t + k
q t e s t + k = g T m e l t i n g t + k , T z t + k
P p v t + k = g q s o l a r t + k
U p v t + k + S p v t + k = P p v t + k
P h p , c o o l t + k + P h p , c h g t + k + P f a n t + k + P u n c t + k = P g r i d t + k + U p v t + k
T ¯ z t + k ε T t + k T z t + k T ¯ z t + k + ε T t + k
MPC formulation for PV-HP-BESS system
Similarly to the TES configuration, the objective function J for the PV-HP-BESS system remains consistent, aiming to minimize the same weighted costs for grid electricity, discomfort, equipment switching, and PV curtailment. This ensures a direct comparison of the two storage technologies’ abilities to meet a common economic and comfort goal.
However, the control strategy to achieve this objective is fundamentally different, shifting from thermal energy management to electrical power flow management. The BESS control vector, u, does not contain discrete thermal operating modes, like charging or discharging the TES. Instead, its decision variables directly manipulate electrical power, including commands for battery charging and discharging, the heat pump’s operation (ω), and the power exchanged with the grid and PV system. This shift from a thermal to an electrical focus fundamentally alters the core constraints of the optimization problem:
  • Storage Dynamics: Instead of tracking the thermal storage’s liquid fraction, the key state variable is the battery’s State of Charge (SOC). Its dynamics are governed by charging (Pch) and discharging (Pdis) power flows and their associated efficiencies (ηch, ηdis).
  • Power Balance: Consequently, the electrical power balance is more comprehensive than in the TES system. The battery itself is introduced as both an electrical load (when charging) and a source (when discharging). The constraint must therefore balance all building loads (HP, fan, and uncontrollable loads) against all available sources, including the grid, utilized PV, and power from the discharging battery.
These electrical dynamics and constraints are then coupled with the same building thermal model and comfort requirements used in the TES formulation, allowing the MPC to use electrical storage as a flexible tool to ultimately manage the building’s thermal environment.
J = min u t + k k = 0 N 1 w 1 p t + k P t + k Δ t + w 2 σ T t + k 2 + w 3 Δ u t + k 1 2 + w 4 S t + k 1 p v Δ t
u t + k = [ b c h t + k , b d i s t + k , b c o l t + k , ω t + k , U p v t + k ]
s.t.
T z t + k + 1 = g T z t + k , q H V A C t + k , q s o l a r t + k , q i n t e r n a l t + k
S O C t + k + 1 = S O C t + k + Δ t η ch P c h t + k P d i s t + k η dis
q H V A C t + k = q h p t + k = g T s o u t + k , T z t + k , ω t + k
P p v t + k = g q s o l a r t + k
U p v t + k + S p v t + k = P p v t + k
P h p , c o o l t + k + P f a n t + k + P u n c t + k + P c h g t + k = P g r i d t + k + U p v t + k + P d i s t + k
T ¯ z t + k ε T t + k T z t + k T ¯ z t + k + ε T t + k

2.3. Components Modeling for Optimization

On the building side, to ensure computational tractability for online MPC, this study employs a low order, grey box model to represent the building’s thermal behavior. We selected a first order resistance capacitance (1R1C) network, a common approach that effectively balances predictive accuracy with the low computational overhead required for online optimization.
The model is structured as a state space formulation with the indoor zone air temperature (Tz) as the single state variable. The dynamics of this state are governed by Equation (14) and are influenced by four external factors: the ambient outdoor temperature (Toa), incident solar radiation (qsolar), internal gains from occupants and equipment (qinternal), and the thermal output from the HVAC system (qhvac). The model’s parameters include the building’s effective thermal resistance (R1) and capacitance (C1), along with several coefficients (α1, α2, α3) that quantify the impact of the external disturbances.
These parameters were identified using a data driven methodology. Simulation data was generated using an EnergyPlus model of the U.S. Department of Energy (DOE) prototype single family home configured for Atlanta, GA [34]. To excite the system dynamics for robust identification, the HVAC system’s operation was modulated using a pseudo random binary sequence input signal. This procedure produced a dataset with a 15-min time resolution, which was then partitioned into separate one week sets for model training and validation. The prediction accuracy R2 and Coefficient of Variation in the Root Mean Square Error (CVRMSE) of the obtained model reached 92% and 3.9%, as shown in Figure 4.
C 1 d T z d t = T o a T z R 1 + α 1 q H V A C + α 2 q s o l a r + α 3 q i n t e r n a l
The supervisory control problems for the proposed PV-HP-TES and BESS systems are formulated as Mixed Integer Programming (MIP). This mathematical framework is necessary to address the hybrid dynamic nature of the system, which requires the simultaneous optimization of both continuous variables (e.g., compressor speeds, temperatures) and discrete actions (e.g., the operational state of the equipment). Adopting an MIP formulation within the MPC allows for the explicit representation of these dynamics, ensuring that overall system performance is optimized while satisfying all operational constraints.
Therefore, the performance of the variable speed heat pump is characterized by distinct models for its thermal capacity (Qhp,k) and its electrical power consumption (Php,k) in this study. Both models at any time step k are modeled as functions of three key operating variables: the normalized compressor speed (ωk), the evaporator secondary fluid inlet temperature (Teva,k), and the condenser secondary fluid inlet temperature (Tcon,k) under constant flow rate conditions. Specifically, the thermal capacity (Qhp,k) of the heat pump during active operation is expressed as Equation (22). In this model, the coefficients correspond to distinct effects: b0 represents the intercept, while b1, b2, and b3 quantify the linear influence of the evaporator inlet temperature, condenser inlet temperature, and compressor speed, respectively.
Q h p , k = b 0 + b 1 T e v a , k + b 2 T c o n , k + b 3 ω k
Meanwhile, a separate polynomial model is used to characterize the heat pump’s electrical power consumption Php,k via Equation (23). This model expresses power consumption as a function of the compressor speed (ωk) and the condenser secondary fluid inlet temperature (Tcon,k). The model’s coefficients, c0 through c5, are determined through an empirical curve fit to performance data. These parameters are structured to capture the intercept (c0), as well as the linear, quadratic, and cross interaction effects of speed and temperature, allowing for a detailed representation of the heat pump’s nonlinear power consumption. Figure 5 summarizes the performance of the fitted reduced-order heat pump model in terms of cooling capacity and power consumption prediction.
P h p , k = c 0 + c 1 ω k + c 2 T c o n , k 2 + c 3 T c o n , k ω k + c 4 ω k 2 + c 5 T c o n , k
The TES is the key to enable energy flexibility, here the thermal dynamics of the latent thermal energy storage tank are characterized using a heat transfer focused approach, based on the effectiveness-NTU principles common for heat exchangers [35]. This provides a state space model that is both computationally efficient and physically meaningful. The physical relationships governing heat transfer are captured by the primary dynamic equation for the storage system (Equation (24)). This equation describes the rate of change in the liquid fraction (fliquid), the model’s key state variable. The rate of phase change is driven by the temperature difference between the heat transfer fluid and the PCM’s melting point, moderated by the total thermal resistance, latent heat of fusion (Hfusion) and mass of PCM (mpcm), and accounting for ambient heat losses (qloss).
The total thermal resistance (Rtotal) is a critical parameter and is calculated as the sum of three series resistances, as detailed in Equation (25): the convective resistance of the heat transfer fluid (RHTF), the conductive resistance of the tube wall (Rwall), and the conductive resistance of the PCM itself (RPCM). This calculation incorporates the system’s thermophysical properties and key geometric parameters. Finally, the overall thermal effectiveness (ϵ) of the PCM tank, functioning as a heat exchanger, is determined using the relationship shown in Equation (26). This effectiveness is a function of the total thermal resistance and the properties of the heat transfer fluid, providing a direct link between the component’s physical design and its thermal performance.
This detailed PCM tank model was implemented using Modelica language, more comprehensive descriptions of the model and its experimental validation are documented in the literature [35].
m p c m H f u s i o n d f l i q u i d d t = T H T F T m e l t i n g R t o t a l + q l o s s
R t o t a l = R H T F + R w a l l + R P C M = 1 2 π r i L h f + ln ( r o / r i ) ( 2 π k w L ) + ln ( { [ δ ( r max 2 r o 2 ) + r o 2 ] 1 / 2 } / r o ) ( 2 π L k P C M )
ε = 1 e ( 1 m ˙ H T F c p , H T F R t o t a l )
Additionally, in PV-HP-BESS system, the PV power generation is model using an explicit efficiency model [36]. As shown in Equation (32), the electrical power produced by the PV array (Ppv) is determined as a function of the global solar irradiance (qsolar). The model incorporates several parameters that are treated as constants within the MPC’s prediction horizon, including the panel’s surface area (Asurf), active fraction (factiv), and the efficiencies of the solar cells (ηcell) and the inverter (ηinvert).
P p v = A s u r f f a c t i v q s o l a r η c e l l η i n v e r t
The BESS is modeled by a continuous time dynamic model that describes the evolution of its SOC. As expressed in Equation (33), the rate of change in the SOC is determined by the net power flowing into and out of the battery. The nominal capacity of the battery energy storage system (Ebess) refers to the maximum amount of electricity that can be stored. This net power flow is calculated as the power used for charging (Pch), adjusted by the charging efficiency (ηch), minus the power delivered during discharging (Pdis), adjusted by the discharging efficiency (ηdis). In MPC, this model is subject to several operational constraints, including minimum and maximum SOC limits, upper bounds on the charging and discharging power, and a constraint ensuring that charging and discharging cannot occur simultaneously.
E B E S S d S O C d t = η c h P c h P d i s η d i s

2.4. Development of Virtual Testbed

The building model used in this study is the U.S. Department of Energy (DOE) residential prototype single family home, a standard benchmark for energy analysis that complies with the 2021 IECC baseline [34]. As shown in Figure 6, the model represents a two story, three-bedroom house with 220 m2 of conditioned floor area. The internal heat gains and occupancy schedules follow the Building America House Simulation Protocols for a typical three-person household.
On equipment side, to accurately capture the performance of the heat pump, the virtual testbed adopts the water-air heat pump model based on the performance curve published in the literature [37], which has been validated. The model shown in Equations (29) and (30), implemented in the Modelica language, calculates the heat pump’s total cooling capacity (Q) and its Energy Input Ratio (EIR) as a function of its operating conditions.
This model uses a series of polynomial modifier functions that adjust the nominal performance based on deviations in key variables. These variables include the inlet temperatures on the source and load sides (θsou,in, θloa,in), the normalized mass flow rates, and the compressor speed ratio (speRat). As reported in the literature [37], this process ultimately resulted in a high-fidelity model with CVRMSEs of 4.89% for cooling capacity and 3.96% for EIR, ensuring that the simulation results accurately reflect the behavior of the actual equipment.
Q ( T l o a , i n , T s o u , i n , f f l o a , f f s o u ) = c a p θ ( T l o a , i n , T s o u , i n ) × c a p f f ( f f l o a ) × c a p f f ( f f s o u ) × c a p s p e ( S p e R a t ) × Q n o m
E I R ( T l o a , i n , T s o u , i n , f f l o a , f f s o u ) = E I R θ ( T l o a , i n , T s o u , i n ) × E I R f f ( f f l o a ) × E I R f f ( f f s o u ) × E I R s p e ( s p e R a t ) / C O P n o m
In addition to heat pump, a model for the latent thermal energy storage system was developed in the Modelica language for this study based on literature [38]. The model represents the shell and tube storage tank using the apparent heat capacity method [39], where the latent heat effect is captured as an increased specific heat during the phase transition. The heat transfer dynamics are characterized using the epsilon-NTU (ε-NTU) method. The total thermal resistance between the heat transfer fluid and the PCM is calculated as the sum of three series resistances, assuming one dimensional radial heat transfer. By combining this resistance calculation with the heat exchanger effectiveness formulas (Equations (25) and (26)), the model provides a high-fidelity representation of the shell and tube TES tank’s performance.
c p T = d h T d T 1 ξ T c p , s T + ξ T c p , l T + d ξ T d T h l T h s T
The virtual testbed uses the same PV array and BESS models as those used in the MPC algorithm, as shown in Equations (27) and (28). This approach is taken because the battery energy balance model has explicit and well-defined properties. It is acknowledged that this method differs from the TES configuration, where distinct models are used for optimization and virtual testbed. While using a perfect model for the BESS may introduce a limited deviation in comparative analysis with the TES system, it provides a clear baseline for evaluating the battery’s performance under MPC. Future work will evaluate the controller’s robustness by using a more detailed BESS model.

2.5. Performance Evaluation Metrics

To provide a comprehensive evaluation of the MPC strategy, a set of key performance indicators (KPIs) is used, covering thermal comfort, economic performance, and demand flexibility. Standard metrics are used to assess thermal comfort, including the total hours of discomfort, and economic performance measured by the total daily operating cost. In addition to these, two specific KPIs are defined:
Unmet Degree Hour (UDH): To capture both the severity and duration of any comfort violations, the UDH is calculated. As defined in Equation (32), this metric integrates the temperature deviation outside the prescribed comfort bounds (Tmax and Tmin) over each time step.
U D H = k max ( 0 , T z , k T m a x ) + max ( 0 , T m i n T z , k ) × Δ t
Demand Flexibility: The controller’s ability to provide demand flexibility is quantified by its peak load shifting capability (Eshift). This KPI measures the total reduction in energy consumption during peak pricing periods when comparing the MPC controlled system to the baseline case, as shown in Equation (33).
E s h i f t = k = t p e a k , s t a r t t p e a k , e n d ( P b a s e l i n e , k P c o n t r o l , k ) × Δ t

3. Case Study Setup

3.1. Exogenous Inputs: Building, Weather Conditions and TOU Price

A case study was conducted for Atlanta, Georgia, to evaluate the performance of the proposed MPC strategies in operating the PV-HP-TES and BESS systems for residential cooling applications. Atlanta is in ASHRAE Climate Zone 3A [40] and has a moderate cooling load profile, making it an ideal testing location to evaluate system performance and flexibility under summer conditions. To capture a range of operating conditions, two representative days were selected from the TMY3 dataset, as shown in Figure 7. 26 August was selected as a typical summer day, exhibiting moderate solar irradiance and typical cooling demand, whereas 8 July captures an extreme condition marked by elevated temperatures and strong solar gains that drive peak cooling loads. Testing the MPC scheme under these contrasting days allows for a comprehensive evaluation of its ability to sustain occupant comfort and shift loads effectively across normal and high-demand conditions in a cooling-dominated climate.
The Time-of-Use (TOU) electricity pricing adopted in this work, illustrated in Figure 7c, is based on the regional utility’s published tariff schedule [41]. TOU pricing establishes a critical economic constraint within the MPC formulation, shaping how the controller schedules load shifting and energy storage operations. As indicated by the green curve, the adopted three-level tariff differentiates distinct cost periods to represent realistic grid dynamics. The off-peak rate ($0.02/kWh) applies during 00:00–07:00 and 19:00–24:00, corresponding to low-demand hours. The mid-peak rate ($0.1/kWh) covers 07:00–14:00, and the peak rate ($0.3/kWh) occurs between 14:00 and 19:00, when grid stress is highest. This tiered structure incentivizes demand-responsive operation by encouraging pre-cooling and strategic TES and BESS charging during low-cost hours, thus reducing operating expenses during peak-price periods.
To ensure a realistic representation of building operation, this study employs standard occupancy schedules and internal heat gain profiles derived from the U.S DOE residential prototype building model. These profiles are based on the Building America House Simulation Protocols [42] and represent the typical daily rhythm of a three-occupant household. The internal heat gains from lighting, plug loads (appliances), and metabolic activity are shown in Figure 7d.

3.2. System Parameters and Conditions

The component specifications for the two energy storage configurations are defined to facilitate a comparative analysis of their operational characteristics under MPC. To ensure the controller’s full potential could be assessed without being constrained by hardware limits, both storage systems were intentionally sized generously. This approach, which may result in oversizing for typical operation, is crucial for assessing the system’s full potential for energy flexibility, as the goal is not to find the optimal economic sizing, which is left for future work. The latent TES utilizes a commercial PCM product, Rubitherm RT11HC [43], which is suitable for summer cooling due to its 11 °C melting point and 200 kJ/kg latent heat of fusion. The TES tank’s capacity was sized to align with the U.S. DOE’s four-hour peak load reduction target for the Atlanta climate, resulting in a total storage capacity of 18 kWh. For the electrical storage configuration, a BESS with a usable capacity of 25 kWh was selected [44]. This system is capable of a maximum charging and discharging rate of 5 kW and operates with a round-trip efficiency of 95%. This difference in capacity reflects real-world design practices rather than an attempt to equalize nominal storage energy. Accordingly, the comparison focuses on operational flexibility and controller behavior, while future work will incorporate normalized analyses (per cost and per kWh) to provide a balanced economic comparison.
Both configurations are integrated with an onsite PV system. The PV array consists of a 25 m2 total panel area with a cell efficiency of 20% and an active fraction of 95%. The system’s DC to AC power conversion is handled by an inverter with an efficiency of 98%. A complete list of the essential design parameters for the unique storage components and the shared equipment, such as the heat pump and PV array, is outlined in Table 2. In addition, for MPC optimization setup, the control interval is set to 15 min, the same as the rule-based control in the baseline system.

3.3. Baseline Configuration and Control Strategy

A baseline system was developed to serve as a benchmark for evaluating the MPC’s performance. This baseline represents a standard residential setup, using the same variable speed heat pump model as the MPC scenarios but without any integrated energy storage. The system is managed by a Rule Based Control (RBC) strategy that mimics a conventional thermostat and operates on a 15 min time step. This controller maintains a deadband of ± 0.5 °C relative to the temperature setpoint. Based on this simple rule set, the cooling system is activated when the indoor temperature rises above the upper bound of the deadband, and it remains on until the temperature is brought down to the lower bound.

4. Simulation Results

Figure 8 compares the operational dynamics of the PV-HP-TES and PV-HP-BESS systems under the proposed MPC framework for the typical normal summer day. For both systems, three prediction horizons (PH24, PH36, PH48) are analyzed to demonstrate the impact of prediction horizon length on the control strategy. Each subplot shows the zone temperature, storage state of charge (TES solid fraction or battery SOC), used PV power, operating modes, and TOU electricity prices.
Under normal summer conditions, the MPC maintains the zone temperature within the prescribed comfort bounds in both systems. However, the control behavior differs by storage type and prediction horizon. A consistent trend is that, with longer prediction horizons, the MPC exhibits more proactive planning. For the TES system, the controller intensifies TES charging during the mid-peak period preceding the afternoon price peak and then strategically discharges part of the stored cooling during the following mid-peak hours after the peak period. Because of concurrent PV generation during the peak, the MPC also uses direct cooling from the heat pump rather than relying entirely on TES discharging, effectively balancing PV utilization and stored energy use to minimize total cost. The BESS system shows a similar trend in charging behavior, where battery charging during the mid-peak hours before the TOU peak increases as the prediction horizon lengthens, leveraging PV generation to offset grid consumption later. A notable strategy unique to the BESS system is a more aggressive form of pre-cooling: with a longer prediction horizon, the MPC charges the BESS earlier and drives the indoor temperature toward the lower comfort limit during off-peak hours. This occurs because the BESS supplies electricity not only to the heat pump but also to the building’s uncontrollable loads, giving the controller a strong incentive to store free or inexpensive electricity as thermal energy, via overcooling, to reduce total electricity consumption later. Overall, both systems benefit from longer prediction horizons that enable more proactive energy shifting.
Figure 9 compares the operational dynamics of the PV-HP-TES and PV-HP-BESS systems under extreme summer conditions, characterized by elevated outdoor temperatures and significantly higher cooling demand. Both systems again operate under three prediction-horizon cases. The MPC maintains indoor comfort but adapts its strategy to the more demanding load. For the TES configuration, longer prediction horizons lead to more aggressive pre-charging early in the morning and during the mid-peak period preceding the afternoon price peak, followed by full utilization of stored cooling from the peak to the mid-peak period afterward. This behavior highlights the TES’s role as a thermal buffer, enabling effective load shifting and reducing direct cooling demand during high-price hours. For the BESS configuration, the controller similarly prioritizes charging during low-price hours, while its flexibility allows partial battery support even when the heat pump operates continuously. Under extreme conditions, the MPC uses the BESS not only as an economic optimizer but also as a critical peak-shaving resource, fully discharging during the most expensive hours to minimize grid imports.
This behavior is consistent across both weather scenarios, though the control strategy adapts to the load intensity. Under normal conditions, longer prediction horizons enable proactive battery charging during the cheapest hours, offsetting most peak-period grid consumption. Under extreme conditions, the substantially higher cooling load forces the heat pump to operate at or near maximum capacity for extended periods. In response, the MPC becomes even more aggressive with its storage strategy: both the TES and BESS are charged to high levels, and their stored energy is fully dispatched to mitigate peak costs. Overall, these results highlight the robustness of the MPC strategy, which dynamically adjusts its operation to storage type and load severity, and is further discussed in the next section in relation to its KPIs.

5. Discussion and Comparison Across Two Systems

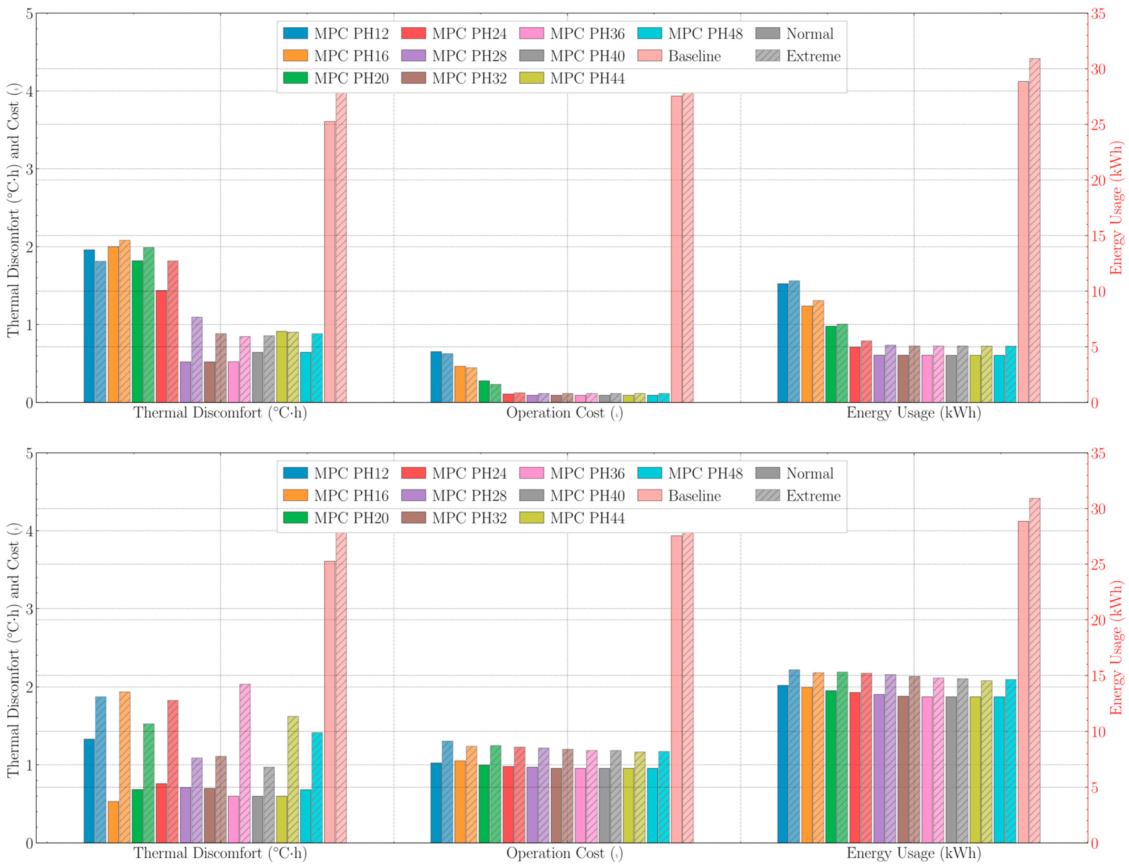
Figure 10 shows the comparison of the baseline system with the MPC controlled PV-HP-TES and PV-HP-BESS systems. Compared with the thermal unsuitability defined by UDH, the results show that the performance of MPC depends on the prediction horizon, especially for the PV-HP-BESS system. For both TES and BESS systems, the controllers for all prediction horizons show improved thermal comfort compared to the baseline. This results in a further reduction in thermal discomfort, demonstrating that a longer forecast leads to smoother temperature regulation.
Regarding the operation cost, the primary MPC objective, both storage systems achieve significant savings over the baseline. The BESS system, however, demonstrates a substantially greater and more continuous cost reduction. For example, the TES system reduces the operating cost by approximately 50%, with the savings showing only slight improvement as the horizon extends. The BESS system’s savings. In contrast, increase from around 75% with a short horizon to nearly 90% with a long horizon. This highlights a key difference: the economic performance of the BESS is highly sensitive to the prediction horizon length, unlocking greater savings with more foresight. A striking example of this sensitivity is a counter-intuitive anomaly observed at very short horizons (e.g., PH12). Under these myopic conditions, the controller paradoxically achieves lower operating costs and discomfort in extreme weather than in normal weather. This is because the moderate load on a normal day “fools” the short-sighted controller into being unprepared for the afternoon peak price. In contrast, the high load on an extreme day forces the controller to charge the BESS more proactively to maintain comfort and control cost, which incidentally serves as an effective, though accidental, peak-avoidance strategy. This behavior disappears as the horizon lengthens, allowing the controller to properly optimize for the peak in both scenarios. The main reason is believed to be that BESS can satisfy HVAC and uncontrollable electrical loads simultaneously, thereby maximizing the use of PV to achieve greater energy self-sufficiency. Finally, energy usage in this case is defined as the energy obtained from the power grid. Both systems reduce their dependency on the grid compared to the baseline thanks to on-site PV generation. As the prediction horizon lengthens, the BESS configuration shows a more pronounced and continuous reduction, cutting grid energy consumption by more than half in some cases. As previously mentioned, the BESS’s greater flexibility in serving uncontrollable loads, particularly when PV is unavailable, enables it to rely less on grid power.
In summary, while both systems improve performance, they exhibit different characteristics. The PV-HP-TES system offers robust and reliable savings that are less dependent on long forecasts. The PV-HP-BESS offers a higher potential for economic savings and grid independence, but realizing this full potential is more dependent on the quality and length of the predictive horizon available to the controller. It should be noted that the reported cost savings represent operational electricity cost reduction under predictive control, excluding capital, maintenance, and depreciation costs. These results therefore reflect the systems’ control and flexibility potential rather than their full economic performance. Future work will extend this framework to include techno-economic evaluation, quantifying investment cost, lifetime, and payback period to provide a complete picture of cost-effectiveness.
A comparison of the daily energy flows and maximum SOC for both systems reveals how the prediction horizon influences their operational strategies. For both the BESS and TES systems, the maximum SOC achieved during the day generally increases with the forecast length, as shown by the line plots in Figure 11. This is because a longer forecast allows the MPC to more effectively plan the pre charging of storage during low cost, off and mid peak periods.
However, the two systems show different sensitivities to the prediction horizon length. For the TES system, the maximum thermal SOC stabilizes after the horizon reaches 36 steps (9 h). For the BESS system, the maximum battery SOC reaches its plateau earlier, after the horizon reaches 28 steps (7 h). In both cases, neither the PV generation nor the energy storage capacity is fully utilized, even under extreme conditions. This suggests that a moderate reduction in current system capacity could be acceptable for this climate without significantly impacting performance. A key difference is also observed in solar energy utilization; the TES system often leads to higher PV curtailment, whereas the BESS more effectively utilizes excess solar power due to the presence of uncontrollable loads, resulting in minimal curtailment at longer prediction horizons. Table 3 and Table 4 summarizes the performance metrics of both systems with different MPC prediction horizon lengths under extreme and normal conditions, separately.

6. Conclusions

This study demonstrates that buildings can provide significant demand-side flexibility through advanced control of electrified systems integrating heat pumps (HP), onsite photovoltaics (PV), and thermal energy storage (TES)/Battery Energy Storage System (BESS). A customized economic MPC (eMPC) framework was developed and applied to two configurations: PV-HP-latent TES and PV-HP-BESS, to evaluate their flexibility performance under identical supervisory control logic. The framework incorporates a specialized eMPC formulation tailored for the active HP–TES system, explicitly managing its mutually exclusive operating modes to capture realistic storage switching and coupling dynamics. Simulation results show that both systems enhanced performance relative to the baseline, but their operational characteristics and benefits differed notably. The BESS configuration achieved greater cost and energy reductions by supporting both heating, ventilation, and air conditioning (HVAC) and household electrical loads, maximizing PV self-consumption and reducing grid reliance. In contrast, the TES configuration effectively shifted thermal loads and stabilized comfort but had limited impact on total energy use since its benefits were confined to HVAC operations.
While this study provides a detailed comparative analysis of PV-HP-TES and PV-HP-BESS performance under MPC for residential cooling application, there are certain limitations in the present study that highlight directions for future work. Future research must address the optimal sizing of these systems. The current study’s findings, which suggest the components are generously sized for typical operation (e.g., 55% BESS state of charge (SOC) utilization), highlight this as a critical next step. A comprehensive techno-economic analysis is required that focuses on the co-optimization of component sizing for both TES and BESS configurations. This analysis should account for capital cost, maintenance, and component lifespan to assess long-term financial viability and payback. Furthermore, the influence of incentive structures, such as demand response programs and tax credits, should be explored to understand their role in promoting different storage types. Finally, experimental validation using a physical testbed is essential to evaluate controller performance under real-world uncertainties. These include forecast errors, physical response delays from real-world equipment, and SOC estimation. While this study qualitatively acknowledges these uncertainties, future work should explicitly quantify their impact on controller robustness. Key sources include TES SOC estimation errors from sensor and phase-change modeling simplifications, and BESS uncertainties from PV and load forecasts. In addition, future work should incorporate sensitivity analysis to assess the robustness of the proposed framework. This includes evaluating the effects of parameter uncertainty (e.g., PCM properties), climate variation, and user behavior on the controller’s performance and economic outcomes. Such analyses will help generalize the findings across diverse building types and operational scenarios. Additionally, future research will also expand the analysis by investigating the impact of latent loads and humidity control, and by developing normalized performance metrics, such as savings per investment cost, to enable a fairer techno-economic comparison between the two storage technologies.
Overall, the findings confirm that the effectiveness of advanced control strategies for home energy management is strongly tied to the operational flexibility of the storage system. This paper quantifies this operational performance, providing the necessary benefit data for the critical trade-off between dispatch flexibility and lifecycle cost. While the generous sizing methodology used in this study was crucial for exploring the full operational characteristics of each system, it also highlights the need for economic optimization. The developed MPC framework therefore offers a foundation for future techno-economic studies required to advance smart, grid-interactive residential energy systems.

Author Contributions

Conceptualization, M.L. and W.-A.C.; methodology, M.L.; formal analysis, W.-A.C. and Y.G.; investigation, M.L. and Z.H.; resources, M.L.; data curation, M.L.; writing—original draft preparation, M.L. and W.-A.C.; writing—review and editing, M.L. and Y.G.; visualization, M.L. and Z.H.; supervision, M.L. and W.-A.C. All authors have read and agreed to the published version of the manuscript.

Funding

This research received no external funding.

Data Availability Statement

Data generated and acquired for the project will be provided upon request.

Conflicts of Interest

The authors declare no conflicts of interest.

Abbreviations

The following abbreviations are used in this manuscript:
ASHRAEAmerican society of heating, refrigerating and air-conditioning engineers
BESSBattery energy storage systems
CAISOCalifornia independent system operator
CVRMSECoefficient of Variation in the Root Mean Square Error
DOEDepartment of Energy
EIREnergy input ratio
HPHeat pump
HVACHeating, ventilation, and air conditioning
IECCInternational energy conservation code
KPIKey performance indicator
MIPMixed integer programming
MPCModel predictive control
PCMPhase change material
PHPrediction horizon
PVPhotovoltaic
SOCState of charge
TESThermal energy storage
TOUTime of use
UDHUnmet degree hour

References

  1. Gao, Y.; Hu, Z.; Matsunami, Y.; Qu, M.; Chen, W.-A.; Liu, M. Optimizing Renewable Energy Systems with Hybrid Action Space Reinforcement Learning: A Case Study on Achieving Net Zero Energy in Japan. Renew. Energy 2025, 256, 124493. [Google Scholar] [CrossRef]
  2. Jones-Albertus, B. Confronting the Duck Curve: How to Address Over-Generation of Solar Energy. Available online: https://www.energy.gov/eere/articles/confronting-duck-curve-how-address-over-generation-solar-energy (accessed on 6 August 2024).
  3. Liu, M.; Ooka, R.; Choi, W.; Ikeda, S. Experimental and Numerical Investigation of Energy Saving Potential of Centralized and Decentralized Pumping Systems. Appl. Energy 2019, 251, 113359. [Google Scholar] [CrossRef]
  4. Chen, W.-A.; Lim, J.; Miyata, S.; Akashi, Y. Methodology of Evaluating the Sewage Heat Utilization Potential by Modelling the Urban Sewage State Prediction Model. Sustain. Cities Soc. 2022, 80, 103751. [Google Scholar] [CrossRef]
  5. Liu, M.; Guo, M.; Fu, Y.; O’Neill, Z.; Gao, Y. Expert-Guided Imitation Learning for Energy Management: Evaluating GAIL’s Performance in Building Control Applications. Appl. Energy 2024, 372, 123753. [Google Scholar] [CrossRef]
  6. Alva, G.; Lin, Y.; Fang, G. An Overview of Thermal Energy Storage Systems. Energy 2018, 144, 341–378. [Google Scholar] [CrossRef]
  7. Wang, H.; Wang, S.; Tang, R. Development of Grid-Responsive Buildings: Opportunities, Challenges, Capabilities and Applications of HVAC Systems in Non-Residential Buildings in Providing Ancillary Services by Fast Demand Responses to Smart Grids. Appl. Energy 2019, 250, 697–712. [Google Scholar] [CrossRef]
  8. Afram, A.; Janabi-Sharifi, F. Theory and Applications of HVAC Control Systems—A Review of Model Predictive Control (MPC). Build. Environ. 2014, 72, 343–355. [Google Scholar] [CrossRef]
  9. U.S. Energy Information Administration. As Solar Capacity Grows, Duck Curves Are Getting Deeper in California—U.S. Energy Information Administration (EIA). Available online: https://www.eia.gov/todayinenergy/detail.php?id=56880 (accessed on 6 August 2024).
  10. Synergy. Everything You Need to Know About the Duck Curve. Available online: https://www.synergy.net.au/Blog/2021/10/Everything-you-need-to-know-about-the-Duck-Curve (accessed on 7 August 2024).
  11. Ma, Z.; Gifford, J.; Wang, X.; Martinek, J. Electric-Thermal Energy Storage Using Solid Particles as Storage Media. Joule 2023, 7, 843–848. [Google Scholar] [CrossRef]
  12. Chen, C.; Guo, H.; Liu, Y.; Yue, H.; Wang, C. A New Kind of Phase Change Material (PCM) for Energy-Storing Wallboard. Energy Build. 2008, 40, 882–890. [Google Scholar] [CrossRef]
  13. Desai, F.; Sunku Prasad, J.; Muthukumar, P.; Rahman, M.M. Thermochemical Energy Storage System for Cooling and Process Heating Applications: A Review. Energy Convers. Manag. 2021, 229, 113617. [Google Scholar] [CrossRef]
  14. Arteconi, A.; Hewitt, N.J.; Polonara, F. State of the Art of Thermal Storage for Demand-Side Management. Appl. Energy 2012, 93, 371–389. [Google Scholar] [CrossRef]
  15. Inkeri, E.; Tynjälä, T.; Nikku, M. Numerical Modeling of Latent Heat Thermal Energy Storage Integrated with Heat Pump for Domestic Hot Water Production. Appl. Therm. Eng. 2022, 214, 118819. [Google Scholar] [CrossRef]
  16. Yang, S.; Oliver Gao, H.; You, F. Model Predictive Control in Phase-Change-Material-Wallboard-Enhanced Building Energy Management Considering Electricity Price Dynamics. Appl. Energy 2022, 326, 120023. [Google Scholar] [CrossRef]
  17. Tawalbeh, M.; Khan, H.A.; Al-Othman, A.; Almomani, F.; Ajith, S. A Comprehensive Review on the Recent Advances in Materials for Thermal Energy Storage Applications. Int. J. Thermofluids 2023, 18, 100326. [Google Scholar] [CrossRef]
  18. Yang, T.; Liu, W.; Kramer, G.J.; Sun, Q. Seasonal Thermal Energy Storage: A Techno-Economic Literature Review. Renew. Sustain. Energy Rev. 2021, 139, 1–22. [Google Scholar] [CrossRef]
  19. Drgoňa, J.; Arroyo, J.; Cupeiro Figueroa, I.; Blum, D.; Arendt, K.; Kim, D.; Ollé, E.P.; Oravec, J.; Wetter, M.; Vrabie, D.L.; et al. All You Need to Know about Model Predictive Control for Buildings. Annu. Rev. Control 2020, 50, 190–232. [Google Scholar] [CrossRef]
  20. Serale, G.; Fiorentini, M.; Capozzoli, A.; Cooper, P.; Perino, M. Formulation of a Model Predictive Control Algorithm to Enhance the Performance of a Latent Heat Solar Thermal System. Energy Convers. Manag. 2018, 173, 438–449. [Google Scholar] [CrossRef]
  21. Yao, Y.; Shekhar, D.K. State of the Art Review on Model Predictive Control (MPC) in Heating Ventilation and Air-Conditioning (HVAC) Field. Build. Environ. 2021, 200, 107952. [Google Scholar] [CrossRef]
  22. Hlanze, P.; Jiang, Z.; Cai, J.; Shen, B. Model-Based Predictive Control of Multi-Stage Air-Source Heat Pumps Integrated with Phase Change Material-Embedded Ceilings. Appl. Energy 2023, 336, 120796. [Google Scholar] [CrossRef]
  23. Schwenzer, M.; Ay, M.; Bergs, T.; Abel, D. Review on Model Predictive Control: An Engineering Perspective. Int. J. Adv. Manuf. Technol. 2021, 117, 1327–1349. [Google Scholar] [CrossRef]
  24. Tang, H.; Wang, S.; Li, H. Flexibility Categorization, Sources, Capabilities and Technologies for Energy-Flexible and Grid-Responsive Buildings: State-of-the-Art and Future Perspective. Energy 2021, 219, 119598. [Google Scholar] [CrossRef]
  25. Sebarchievici, C.; Sarbu, I. Performance of an Experimental Ground-Coupled Heat Pump System for Heating, Cooling and Domestic Hot-Water Operation. Renew. Energy 2015, 76, 148–159. [Google Scholar] [CrossRef]
  26. Mitali, J.; Dhinakaran, S.; Mohamad, A.A. Energy Storage Systems: A Review. Energy Storage Sav. 2022, 1, 166–216. [Google Scholar] [CrossRef]
  27. Bao, G.; Liu, X.; Zou, B.; Yang, K.; Zhao, J.; Zhang, L.; Chen, M.; Qiao, Y.; Wang, W.; Tan, R.; et al. Collaborative Framework of Transformer and LSTM for Enhanced State-of-Charge Estimation in Lithium-Ion Batteries. Energy 2025, 322, 135548. [Google Scholar] [CrossRef]
  28. Sadeghi, G. Energy Storage on Demand: Thermal Energy Storage Development, Materials, Design, and Integration Challenges. Energy Storage Mater. 2022, 46, 192–222. [Google Scholar] [CrossRef]
  29. Chen, Q.; Kuang, Z.; Liu, X.; Zhang, T. Optimal Sizing and Techno-Economic Analysis of the Hybrid PV-Battery-Cooling Storage System for Commercial Buildings in China. Appl. Energy 2024, 355, 122231. [Google Scholar]
  30. Guo, B.; Lemort, V.; Cendoya, A. Control Strategy and Techno-Economic Optimization of a Small-Scale Hybrid Energy Storage System: A Reversible HP/ORC-Based Carnot Battery and an Electrical Battery. Energy 2025, 329, 136508. [Google Scholar]
  31. Jia, W.; Yang, Z.; Liu, M.; Fu, Y.; O’Neill, Z. Model-Based Characterization of Heat Pump—Thermal Energy Storage Systems for Grid-Interactive Services. In Proceedings of the ASHRAE Transactions, Atlanta, GA, USA, 4–8 February 2023; Volume 129, pp. 840–848. [Google Scholar]
  32. Liu, M.; Yang, Z.; O’Neill, Z. Design And Optimization Of The Conventional Heat Pump With Thermal Energy Storage For Grid-Interactive Efficient Buildings. In Proceedings of the 8th International High Performance Buildings Conference, West Lafayette, IN, USA, 15–18 July 2024. [Google Scholar]
  33. Wetter, M.; Benne, K.; Tummescheit, H.; Winther, C. Spawn: Coupling Modelica Buildings Library and EnergyPlus to Enable New Energy System and Control Applications. J. Build. Perform. Simul. 2024, 17, 274–292. [Google Scholar] [CrossRef]
  34. Kneifel, J. Prototype Residential Building Designs for Energy and Sustainability Assessment; US Department of Commerce, National Institute of Standards and Technology: Gaithersburg, MD, USA, 2012.
  35. Tay, N.H.S.; Bruno, F.; Belusko, M. Experimental Validation of a CFD and an ε-NTU Model for a Large Tube-in-Tank PCM System. Int. J. Heat Mass Transf. 2012, 55, 5931–5940. [Google Scholar] [CrossRef]
  36. Crawley, D.B.; Lawrie, L.K.; Winkelmann, F.C.; Buhl, W.F.; Huang, Y.J.; Pedersen, C.O.; Strand, R.K.; Liesen, R.J.; Fisher, D.E.; Witte, M.J.; et al. EnergyPlus: Creating a New-Generation Building Energy Simulation Program. Energy Build. 2001, 33, 319–331. [Google Scholar] [CrossRef]
  37. Zhang, Y.; Liu, M.; Yang, Z.; Calfa, C.; O’Neill, Z. Development and Validation of a Water-to-Air Heat Pump Model Using Modelica. In Proceedings of the American Modelica Conference 2024, Storrs, CT, USA, 14–16 October 2024; pp. 119–126. [Google Scholar]
  38. Yang, S.; Oliver Gao, H.; You, F. Model Predictive Control for Demand- and Market-Responsive Building Energy Management by Leveraging Active Latent Heat Storage. Appl. Energy 2022, 327, 120054. [Google Scholar] [CrossRef]
  39. Mirzaei, P.A.; Haghighat, F. Modeling of Phase Change Materials for Applications in Whole Building Simulation. Renew. Sustain. Energy Rev. 2012, 16, 5355–5362. [Google Scholar] [CrossRef]
  40. Briggs, R.S.; Lucas, R.G.; Taylor, Z.T. Climate Classification for Building Energy Codes and Standards: Part 2-Zone Definitions, Maps, and Comparisons. Ashrae Trans. 2003, 109, 122. [Google Scholar]
  41. Georgia Power. Business Rates & Tariffs. Available online: https://www.georgiapower.com/business/billing-and-rates/business-rates.html (accessed on 24 February 2025).
  42. Hendron, R.; Engebrecht, C. Building America House Simulation Protocols (Revised). Report Numbers: NREL/TP-550-49246; DOE/GO-102010-3141; National Renewable Energy Laboratory (NREL): Golden, CO, USA, 2010; p. 989422. [Google Scholar]
  43. Rubitherm Technologies GmbH 2025. Available online: https://www.rubitherm.eu/en/productcategory/organische-pcm-rt (accessed on 22 October 2025).
  44. Leadbetter, J.; Swan, L. Battery Storage System for Residential Electricity Peak Demand Shaving. Energy Build. 2012, 55, 685–692. [Google Scholar] [CrossRef]
Figure 1. Schematic of the PV-HP-TES system integration in residential buildings. Green solid, blue dashed, and purple dotted lines denote airflow, water flow, and power flow, respectively.
Figure 1. Schematic of the PV-HP-TES system integration in residential buildings. Green solid, blue dashed, and purple dotted lines denote airflow, water flow, and power flow, respectively.
Sustainability 17 09497 g001
Figure 2. Schematic of the PV-HP-BESS system integration in residential buildings. Green solid, blue dashed, and purple dotted lines denote airflow, water flow, and power flow, respectively.
Figure 2. Schematic of the PV-HP-BESS system integration in residential buildings. Green solid, blue dashed, and purple dotted lines denote airflow, water flow, and power flow, respectively.
Sustainability 17 09497 g002
Figure 3. Schematic diagram of the proposed MPC-centric optimization framework, which integrates Julia for optimization modeling and Spawn of the EnergyPlus co-simulation framework for a high-fidelity virtual testbed.
Figure 3. Schematic diagram of the proposed MPC-centric optimization framework, which integrates Julia for optimization modeling and Spawn of the EnergyPlus co-simulation framework for a high-fidelity virtual testbed.
Sustainability 17 09497 g003
Figure 4. R1C1 building model training and testing results.
Figure 4. R1C1 building model training and testing results.
Sustainability 17 09497 g004
Figure 5. Fitting performance of reduced order heat pump model on cooling capacity (left) and compressor power consumption (right).
Figure 5. Fitting performance of reduced order heat pump model on cooling capacity (left) and compressor power consumption (right).
Sustainability 17 09497 g005
Figure 6. Rendering of the DOE’s residential prototype single-family building.
Figure 6. Rendering of the DOE’s residential prototype single-family building.
Sustainability 17 09497 g006
Figure 7. Exogenous inputs used in case study: (a) outdoor conditions; (b) solar irradiation; (c) TOU price; and (d) internal heat gain/uncontrollable load profiles.
Figure 7. Exogenous inputs used in case study: (a) outdoor conditions; (b) solar irradiation; (c) TOU price; and (d) internal heat gain/uncontrollable load profiles.
Sustainability 17 09497 g007
Figure 8. Simulation results of the two systems under three-stage electricity price using the MPC strategy for different prediction horizon lengths and normal summer condition.
Figure 8. Simulation results of the two systems under three-stage electricity price using the MPC strategy for different prediction horizon lengths and normal summer condition.
Sustainability 17 09497 g008
Figure 9. Simulation results of the two systems under three-stage electricity price using the MPC strategy for different pre-diction horizon lengths and extreme summer conditions.
Figure 9. Simulation results of the two systems under three-stage electricity price using the MPC strategy for different pre-diction horizon lengths and extreme summer conditions.
Sustainability 17 09497 g009
Figure 10. Comparison of performance indicators used to evaluate MPC performance of two types of systems: HP-PV-BESS (top) and HP-PV-TES (bottom).
Figure 10. Comparison of performance indicators used to evaluate MPC performance of two types of systems: HP-PV-BESS (top) and HP-PV-TES (bottom).
Sustainability 17 09497 g010
Figure 11. Comparison of energy flow and maximum storage utilization rate of two types of systems: HP-PV-TES (top) and HP-PV-BESS (bottom). The purple solid and dashed lines represent maximum storage utilization.
Figure 11. Comparison of energy flow and maximum storage utilization rate of two types of systems: HP-PV-TES (top) and HP-PV-BESS (bottom). The purple solid and dashed lines represent maximum storage utilization.
Sustainability 17 09497 g011
Table 1. Operating modes of the PV-HP-TES system.
Table 1. Operating modes of the PV-HP-TES system.
ModeHeat Pump StatusAirflow PathFunction
Direct CoolingActiveReturn air → Heat pump → SupplyDelivers cooling directly from heat pump
TES ChargingActiveReturn air → Heat pump → CoilCharges TES by transferring cold energy to TES
TES DischargingInactiveReturn air → Coil → SupplyProvides cooling using stored cold energy in TES
IdleInactiveHeat pump/pump/fans offNo equipment running; minimizes electricity usage
Table 2. System design parameters of key components used in PV-HP-TES and BESS systems.
Table 2. System design parameters of key components used in PV-HP-TES and BESS systems.
System Key ParametersValue
Total PCM mass [kg]280
PCM TES tank heat storage capacity [kWh]18
TES Tank volume [m3]0.68
Heat pump nominal cooling capacity [W]5000
Speed modulation range [–][0.31, 1]
Effectiveness of water-air heat exchanger [–]0.8
Supply air flow rate [m3/s]0.439
Water source flow rate [m3/s]0.00039
Water source temperature [°C]24
BESS capacity [kWh]25
BESS maximum charging/discharging rate [kW]5
Charging/discharging efficiency [–]0.95
PV total panel area [m2]25
PV inverter efficiency [–]0.98
PV cell efficiency [–]0.2
PV active fraction [–]0.95
Table 3. Summary of performance metrics used to evaluate both systems during normal conditions.
Table 3. Summary of performance metrics used to evaluate both systems during normal conditions.
Grid Import [kWh]Operation Cost [$]PV Self-Consumption [%]Peak Energy Usage [kWh]Thermal Discomfort [Kh]
PV-HP-TESPH1214.1271.02538.2430.6211.331
PH1613.9561.05238.4160.7220.53
PH2013.6670.99738.9780.6210.685
PH2413.4970.98139.60.6210.758
PH2813.320.97139.5520.630.709
PH3213.1550.95640.5970.6210.697
PH3613.1030.95540.6830.6210.599
PH4013.1030.95541.7970.6210.598
PH4413.1030.95541.5090.6210.599
PH4813.1030.95541.6420.6210.681
PV-HP-BESSPH1210.6750.65142.25401.96
PH168.6670.46347.99602
PH206.8440.27651.61701.82
PH244.9720.10957.22401.437
PH284.2470.09360.85800.522
PH324.2470.09360.00800.522
PH364.2470.09362.43100.523
PH404.2260.09261.74600.642
PH444.2260.09261.69800.912
PH484.2280.09259.88800.644
Table 4. Summary of performance metrics used to evaluate both systems during extreme conditions.
Table 4. Summary of performance metrics used to evaluate both systems during extreme conditions.
Grid Import [kWh]Operation Cost [$]PV Self-Consumption [%]Peak Energy Usage [kWh]Thermal Discomfort [Kh]
PV-HP-TESPH1215.5021.30536.0081.4221.874
PH1615.2481.23944.2211.2351.936
PH2015.311.24838.1721.231.526
PH2415.1991.22939.1251.2181.828
PH2815.081.21641.8391.231.089
PH3214.9241.241.5831.231.109
PH3614.7711.18540.191.232.035
PH4014.7091.18441.41.2330.971
PH4414.5281.16542.6831.2071.622
PH4814.6321.17143.3431.2071.413
PV-HP-BESSPH1210.9250.62644.68401.813
PH169.1580.44550.00902.082
PH207.0390.23255.31501.989
PH245.5270.12459.93101.816
PH285.1470.11662.52601.095
PH325.0780.11563.44700.882
PH365.0780.11564.13900.846
PH405.0780.11566.79600.857
PH445.0660.11464.31500.902
PH485.0660.11465.19600.882
Disclaimer/Publisher’s Note: The statements, opinions and data contained in all publications are solely those of the individual author(s) and contributor(s) and not of MDPI and/or the editor(s). MDPI and/or the editor(s) disclaim responsibility for any injury to people or property resulting from any ideas, methods, instructions or products referred to in the content.

Share and Cite

MDPI and ACS Style

Liu, M.; Chen, W.-A.; Gao, Y.; Hu, Z. Comparative Analysis of Battery and Thermal Energy Storage for Residential Photovoltaic Heat Pump Systems in Building Electrification. Sustainability 2025, 17, 9497. https://doi.org/10.3390/su17219497

AMA Style

Liu M, Chen W-A, Gao Y, Hu Z. Comparative Analysis of Battery and Thermal Energy Storage for Residential Photovoltaic Heat Pump Systems in Building Electrification. Sustainability. 2025; 17(21):9497. https://doi.org/10.3390/su17219497

Chicago/Turabian Style

Liu, Mingzhe, Wei-An Chen, Yuan Gao, and Zehuan Hu. 2025. "Comparative Analysis of Battery and Thermal Energy Storage for Residential Photovoltaic Heat Pump Systems in Building Electrification" Sustainability 17, no. 21: 9497. https://doi.org/10.3390/su17219497

APA Style

Liu, M., Chen, W.-A., Gao, Y., & Hu, Z. (2025). Comparative Analysis of Battery and Thermal Energy Storage for Residential Photovoltaic Heat Pump Systems in Building Electrification. Sustainability, 17(21), 9497. https://doi.org/10.3390/su17219497

Note that from the first issue of 2016, this journal uses article numbers instead of page numbers. See further details here.

Article Metrics

Back to TopTop