A Real-World Case Study of Solar Pv Integration for Ev Charging and Residential Energy Demand in Ireland
Abstract
1. Introduction
- It presents a full real-world implementation of a residential solar PV system combined with a smart EV charger, moving beyond simulation to include actual installation, real-time operation, and measured performance.
- It provides empirical evidence on system behavior under Irish weather conditions, addressing a gap in the literature dominated by simulation-based studies.
- It quantifies the impact on energy independence, grid interaction, and cost savings over a seasonal cycle, achieving 67% reduction in grid electricity use and full summer self-sufficiency.
- It integrates mobile application-based monitoring and control, demonstrating the importance of user interaction and live energy management in optimizing system performance.
- It offers a region-specific case study with practical relevance to similar low-to-moderate irradiance climates, informing design strategies, policy directions, and adoption models.
2. Literature Review
3. Methodology
3.1. Site Selection and Consumption Overview
3.2. Study Design
- Site Setup: The user’s address (Eircode D13 RFC1) was entered into OpenSolar, which automatically retrieved high-resolution satellite imagery and 3D roof structure data.
- Roof Mapping: The roof’s geometry was traced and segmented into individual planes. Orientation, tilt angles (40°), azimuth directions (115° and 294°), and shading analysis were computed automatically using built-in solar irradiation models.
- Component Selection: The platform’s component database was used to select the Jinko Tiger 435 W panels, SoFar 4 kW hybrid inverter, WeCo 5.3 kWh battery, and myenergi Zappi EV charger. These selections were based on real product Stock Keeping Units (SKUs) available to the installer.
- Performance Simulation: OpenSolar calculated monthly and annual energy production using Typical Meteorological Year (TMY) data for the Howth region. It estimates system losses, panel degradation, and inverter clipping effects.
- Load Matching and Self-Consumption: The client’s historical energy usage (as seen in Table 2) was imported to compare production versus load. The software evaluated expected self-consumption ratios and export potential.
- Economic Modeling: Using local electricity tariffs, SEAI grants, and the Clean Export Guarantee (CEG) rate, the platform generated a 20-year cashflow, estimated payback period, annual bill savings, and cumulative environmental benefits.
- Proposal Generation: A PDF report with technical specifications, simulation charts, carbon offset projections, and visual renderings of the PV layout was generated and reviewed with the client prior to installation.
3.2.1. Solar Panel Specifications
3.2.2. Details of the Hybrid Inverter
3.2.3. Battery Selection
3.2.4. MG4 Electric Vehicle
3.2.5. Electric Vehicle Charger (Zappi) Specifications
4. Results and Discussion
4.1. Energy Production
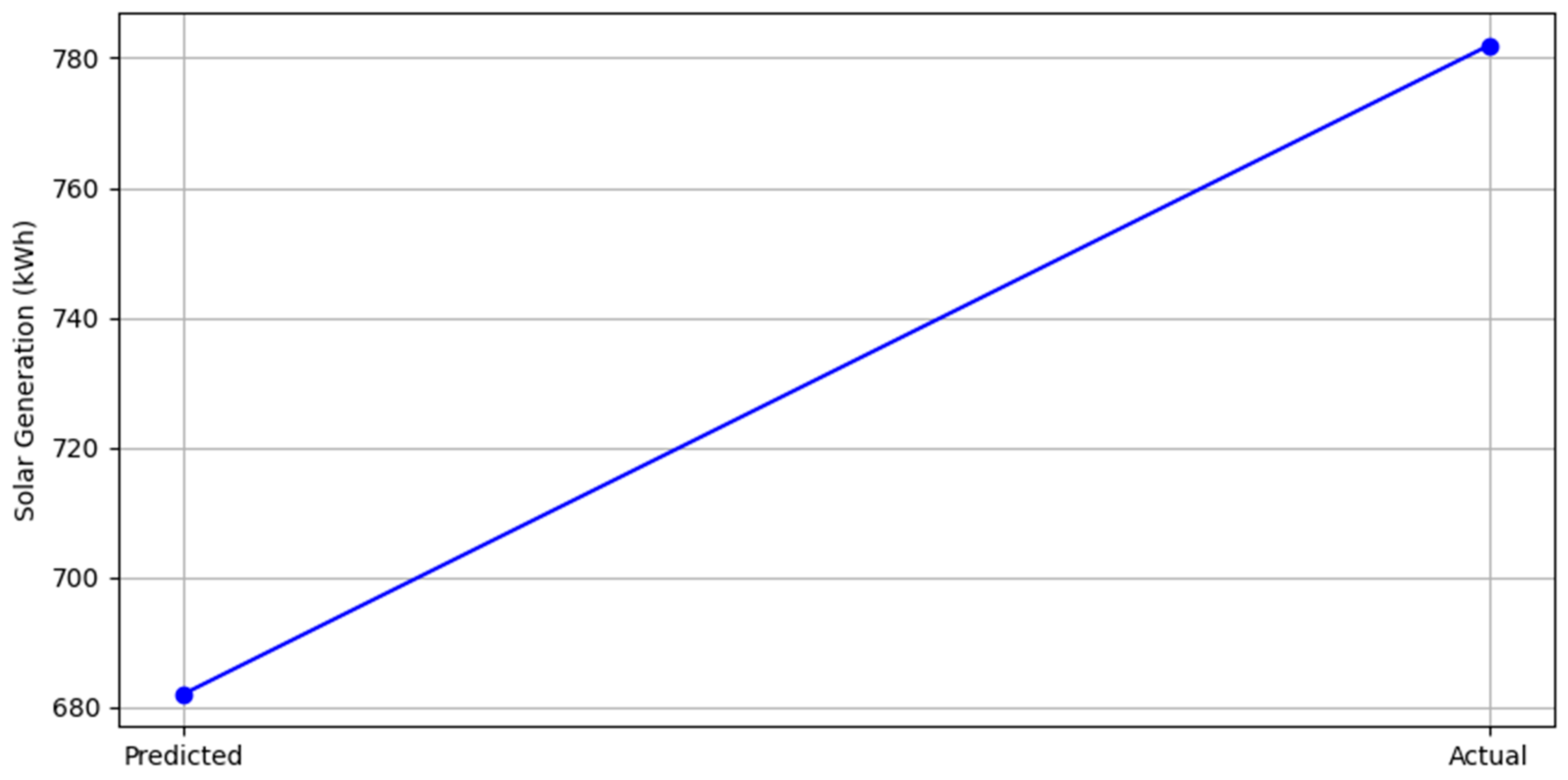
4.1.1. Predicted Energy
4.1.2. Real-Time Energy
4.1.3. Actual Energy for July 2024
Consumption
Generation
Imported and Exported (Grid)
Consumed Generation
Solar Generation and Consumption
Zappi Charging
4.2. Financial Analysis
4.3. Environmental Impact
4.4. Discussion
5. Conclusions
Author Contributions
Funding
Institutional Review Board Statement
Informed Consent Statement
Data Availability Statement
Acknowledgments
Conflicts of Interest
References
- Vamsi, U.; SaiKrishna, C.; Swapna, G. PV based bidirectional converter for various DC loads and EV battery charging. In Proceedings of the 2022 IEEE 2nd Mysore Sub Section International Conference (MysuruCon), Mysuru, India, 16–17 October 2022; pp. 1–7. [Google Scholar] [CrossRef]
- International Energy Agency (IEA). Solar PV. Available online: https://www.iea.org/energy-system/renewables/solar-pv (accessed on 26 October 2024).
- Come Zebra, E.I.; van der Windt, H.J.; Nhumaio, G.; Faaij, A.P.C. A review of hybrid renewable energy systems in mini-grids for off-grid electrification in developing countries. Renew. Sustain. Energy Rev. 2021, 144, 111036. [Google Scholar] [CrossRef]
- Østergaard, P.A.; Duic, N.; Noorollahi, Y.; Mikulcic, H.; Kalogirou, S. Sustainable development using renewable energy technology. Renew. Energy 2020, 146, 2430–2437. [Google Scholar] [CrossRef]
- Berna-Escriche, C.; Vargas-Salgado, C.; Alfonso-Solar, D.; Escriv´a-Castells, A. Can a fully renewable system with storage cost-effectively cover the total demand of a big scale standalone grid? Analysis of three scenarios applied to the Grand Canary Island, Spain by 2040. J. Energy Storage 2022, 52, 104774. [Google Scholar] [CrossRef]
- Seljak, T.; Baleta, J.; Mikulčić, H. Integration of energy systems, circular economy and efficiency measures. Clean. Chem. Eng. 2023, 5, 100088. [Google Scholar] [CrossRef]
- Vargas-Salgado, C.; Díaz-Bello, D.; Alfonso-Solar, D.; Lara-Vargas, F. Validations of HOMER and SAM tools in predicting energy flows and economic analysis for renewable systems: Comparison to a real-world system result. Sustain. Energy Technol. Assess. 2024, 69, 103896. [Google Scholar] [CrossRef]
- Jaidass, N.; Krishna Moorthi, C.; Mohan Babu, A.; Reddi Babu, M. Luminescence properties of Dy3+ doped lithium zinc borosilicate glasses for photonic applications. Heliyon 2018, 4, e00555. [Google Scholar] [CrossRef]
- Spandana, K.; Rao, V.R.S. Internet of Things (Iot) Based smart water quality monitoring system. Int. J. Eng. Technol. 2018, 7, 259–262. [Google Scholar] [CrossRef]
- Kumari, C.U.; Dakshina Murthy, A.S.; Prasanna, B.L.; Prasad Reddy, M.P.; Panigrahy, A.K. An automated detection of heart arrhythmias using machine learning technique: SVM. Mater. Today Proc. 2021, 45, 1393–1398. [Google Scholar] [CrossRef]
- Goud, J.S.; Srilatha, R.; Varun Kumar, R.S.; Kumar, T.K.; Khan, U.; Raizah, Z.; Gill, H.S.; Galal, A.M. Role of ternary hybrid nanofluid in the thermal distribution of a dovetail fin with the internal generation of heat. Case Stud. Therm. Eng. 2022, 35, 102113. [Google Scholar] [CrossRef]
- Lalitha, G.; Kaliyaperumal, G.; Nijhawan, G.; Praveen; Tyagi, L.K.; Abood, A.S. Integration Challenges and Solutions for Solar-Powered Electric Vehicle Charging Infrastructure: From Panel to Battery. E3S Web Conf. 2024, 505, 02001. [Google Scholar] [CrossRef]
- Napoli, G.; Polimeni, A.; Micari, S.; Andaloro, L.; Antonucci, V. Optimal allocation of electric vehicle charging stations in a highway network: Part 1. Methodology and test application. J. Energy Storage 2020, 27, 101102. [Google Scholar] [CrossRef]
- Elma, O. A dynamic charging strategy with hybrid fast charging station for electric vehicles. Energy 2020, 202, 117680. [Google Scholar] [CrossRef]
- Met Éireann. The Irish Meteorological Service, Monthly Data—Athenry. Available online: https://www.met.ie/climate/available-data/monthly-data (accessed on 4 March 2025).
- The Future of Solar Panels in Ireland: Problems, Opportunities and Incentives. 1 December 2023. Available online: https://caldorsolar.ie/caldor-solar-blog/the-future-of-solar-panels-in-ireland-problems-opportunities-and-incentives/ (accessed on 29 October 2024).
- The Irish Meteorological Service. Sunshine, Sunshine and Solar Radiation. Available online: https://www.met.ie/climate/what-we-measure/sunshine (accessed on 29 October 2024).
- Malone, M. Solar Energy Editor. How Much Roof Space do Solar Panels Need? 17 July 2024. Available online: https://energyefficiency.ie/blog/how-much-roof-space-do-solar-panels-need/ (accessed on 30 October 2024).
- SolarSmart Energy Ltd. Available online: https://solarsmart.ie/about-us/ (accessed on 4 August 2025).
- OpenSolar. The World’s Leading Solar Design and Proposal Software. Available online: https://www.opensolar.com/ (accessed on 4 August 2024).
- Myenergi Products. Available online: https://www.myenergi.com/shop/myenergi-products/ (accessed on 4 September 2024).
- Zappi. The Smart EV Charger That Uses Grid Power, The Sun or The Wind. Available online: https://www.myenergi.com/nl/en/zappi-ev-lader/ (accessed on 4 September 2024).
- Eddi Product Information. Available online: https://www.myenergi.com/nl/en/product/eddi/ (accessed on 5 September 2024).
- Harvi Product Information. Available online: https://www.myenergi.com/product/harvi/ (accessed on 5 September 2024).
- The Myenergi App Is Your Central Control Panel and a Must-Have for Anyone Using Our Eco-Smart Products. Available online: https://www.myenergi.com/nl/en/app-energie-monitor/ (accessed on 5 September 2024).
- Department of Climate, Energy and the Environment, Government of Ireland. Accelerating Renewable Electricity Taskforce. 2025. Available online: https://www.gov.ie/en/department-of-climate-energy-and-the-environment/publications/accelerating-renewable-electricity-taskforce/ (accessed on 14 August 2025).
- Department of Climate, Energy and the Environment, Government of Ireland. Climate Action Plan 2024. 2024. Available online: https://assets.gov.ie/static/documents/climate-action-plan-2024-8ccbde73-e288-4241-8b26-6b4922389f25.pdf (accessed on 21 August 2025).
- Sustainable Energy Authority of Ireland. Solar Energy. Available online: https://www.seai.ie/renewable-energy/solar-energy (accessed on 30 October 2024).
- Sustainable Energy Authority of Ireland. Solar Electricity Grant. Available online: https://www.seai.ie/grants/home-energy-grants/individual-grants/solar-electricity-grant (accessed on 14 August 2025).
- Sustainable Energy Authority of Ireland. Electric Vehicle Home Charger Grant. Available online: https://www.seai.ie/grants/electric-vehicle-grants/electric-vehicle-charging/electric-vehicle-home-charger-grant. (accessed on 14 August 2025).
- Department of Climate, Energy and the Environment, Government of Ireland. Micro-Generation. 2023. Available online: https://www.gov.ie/en/department-of-climate-energy-and-the-environment/publications/micro-generation/ (accessed on 14 August 2025).
- Department of Housing, Local Government and Heritage, Government of Ireland. Solar Planning Exemptions. 2022. Available online: https://www.gov.ie/en/department-of-housing-local-government-and-heritage/publications/solar-planning-exemptions/ (accessed on 14 August 2025).
- Singla, P.; Boora, S.; Singhal, P.; Mittal, N.; Mittal, V.; Gared, F. Design and simulation of 4 kW solar power-based hybrid EV charging station. Sci. Rep. 2024, 14, 7336. [Google Scholar] [CrossRef]
- Soczówka, P.; Lasota, M.; Franke, P.; Żochowska, R. Method of Determining New Locations for Electric Vehicle Charging Stations Using GIS Tools. Energies 2024, 17, 4546. [Google Scholar] [CrossRef]
- Shafiq, A.; Iqbal, S.; Rehman, A.U.; Elbarbary, Z.M.S.; Kotb, H.; Selim, A.; Kamel, S. Integration of solar based charging station in power distribution network and charging scheduling of EVs. Front. Energy Res. 2023, 11, 1086793. [Google Scholar] [CrossRef]
- Bi, H.; Gu, Y.; Lu, F.; Mahreen, S. Site selection of electric vehicle charging station expansion based on GIS-FAHP-MABAC. J. Clean. Prod. 2025, 507, 145557. [Google Scholar] [CrossRef]
- Mhana, K.H.; Awad, H.A. An ideal location selection of electric vehicle charging stations: Employment of integrated analytical hierarchy process with geographical information system. Sustain. Cities Soc. 2024, 107, 105456. [Google Scholar] [CrossRef]
- Kassem, Y.; Gokcekus, H.; Aljatlawe, A. Utilization of Solar Energy for Electric Vehicle Charging and the Energy Consumption of Residential Buildings in Northern Cyprus: A Case Study. Eng. Technol. Appl. Sci. Res. 2023, 13, 11598–11607. [Google Scholar] [CrossRef]
- Gönül, Ö.; Duman, A.C.; Güler, Ö. A comprehensive framework for electric vehicle charging station siting along highways using weighted sum method. Renew. Sustain. Energy Rev. 2024, 199, 114455. [Google Scholar] [CrossRef]
- Patel, M.K.; Mathur, M.; Sharma, S. Modelling and Simulation of Solar Pv & Csp Based E.V Charging Station. Int. J. Technol. Res. Eng. 2021, 8, 4. [Google Scholar]
- Zhao, H.; Gao, J.; Cheng, X. Electric Vehicle Solar Charging Station Siting Study Based on GIS and Multi-Criteria Decision-Making: A Case Study of China. Sustainability 2023, 15, 10967. [Google Scholar] [CrossRef]
- Fretzen, U.; Ansarin, M.; Brandt, T. Temporal city-scale matching of solar photovoltaic generation and electric vehicle charging. Appl. Energy 2021, 282, 116160. [Google Scholar] [CrossRef]
- Zhang, Y.; Teoh, B.K.; Zhang, L. Integrated Bayesian networks with GIS for electric vehicles charging site selection. J. Clean. Prod. 2022, 344, 131049. [Google Scholar] [CrossRef]
- Ji, D.; Lv, M.; Yang, J.; Yi, W. Optimizing the Locations and Sizes of Solar Assisted Electric Vehicle Charging Stations in an Urban Area. IEEE Access 2020, 8, 112772–112782. [Google Scholar] [CrossRef]
- Kong, Z.; Cui, N.; Li, P. Energy management strategy coordinating lithium-ion battery and ultra-capacitor for electric vehicle. In Proceedings of the 2017 36th Chinese Control Conference (CCC), Dalian, China, 26–28 July 2017; pp. 9291–9296. [Google Scholar] [CrossRef]
- Fathabadi, H. Novel solar powered electric vehicle charging station with the capability of vehicle-to-grid. Sol. Energy 2017, 142, 136–143. [Google Scholar] [CrossRef]
- Mouli, G.R.C.; Bauer, P.; Zeman, M. System design for a solar powered electric vehicle charging station for workplaces. Appl. Energy 2016, 168, 434–443. [Google Scholar] [CrossRef]
- Nunes, P.; Figueiredo, R.; Brito, M.C. The use of parking lots to solar-charge electric vehicles. Renew. Sustain. Energy Rev. 2016, 66, 679–693. [Google Scholar] [CrossRef]
- Solar Resource Map, Photovoltaic Electricity Potential, Ireland. Available online: https://solargis.com/resources/free-maps-and-gis-data?locality=ireland (accessed on 10 September 2024).
- OpenSolar Support, Featured Figures in the Proposal, Technical Metrics. Available online: https://support.opensolar.com/hc/en-us/articles/13092835119759-Featured-Figures-in-the-Proposal (accessed on 11 August 2025).
- Jinko Solar. Tiger Neo N-type 54HL4R-B 425-445 Watt Datasheet, JKM435N-54HL4R-B Solar Panel. Available online: www.jinkosolar.com (accessed on 4 October 2024).
- Hybrid Inverter SOFAR HYD-Series 3-4.6 kW 1-Phase. Available online: https://www.effekta.com/en/produkt/hybrid-inverter-sofar-hyd-series-3-4-6-kw-1-phase/ (accessed on 4 October 2024).
- WeCo Batteries, 5K3-XP Dual Voltage Modules. Available online: https://wecobatteries.com/dual-voltage/ (accessed on 4 October 2024).
- MG MG4 Electric 64 kWh. Available online: https://ev-database.org/car/1708/MG-MG4-Electric-64-kWh (accessed on 5 October 2024).
- What Are the Zappi Charging Modes? © MYENERGI LTD 2024—Registration No. 10261262—VAT No. GB248171011. Available online: https://support.myenergi.com/hc/en-gb/articles/360020720298-What-are-the-zappi-charging-modes (accessed on 5 October 2024).
- Official Journal of the European Union. Directive 2012/19/EU of the European Parliament and of the Council of 4 July 2012 on Waste Electrical and Electronic Equipment (WEEE). 2012. Available online: https://eur-lex.europa.eu/legal-content/EN/TXT/?uri=CELEX:32012L0019 (accessed on 16 August 2025).
- Official Journal of the European Union. Regulation (EU) 2023/1542 of the European Parliament and of the Council of 12 July 2023 Concerning Batteries and Waste Batteries. 2023. Available online: https://eur-lex.europa.eu/legal-content/EN/TXT/?uri=CELEX%3A32023R1542 (accessed on 16 August 2025).
- The Irish Meteorological Service, Met Éireann. Climate Statement for July 2024. 2024. Available online: https://www.met.ie/climate-statement-for-july-2024 (accessed on 19 August 2025).
- EN 50160; Voltage Characteristics of Electricity Supplied by Public Distribution Networks. CENELEC: Brussels, Belgium, 2010.
- Walsh, S. ESB Networks, Company Standards, Conditions Governing Connection to the Distribution System, Network Assets, DTIS-250701-BDW, V2. 2019. Available online: https://www.esbnetworks.ie/docs/default-source/publications/conditions-governing-connection-to-the-distribution-system.pdf (accessed on 15 August 2025).
- ESB Networks, Distribution Code, Distribution System Operator, ESB Networks DAC, V8. 2023. Available online: https://www.esbnetworks.ie/docs/default-source/publications/distribution-code-version-8.pdf (accessed on 15 August 2025).
- Markiewicz, H.; Klajn, A. Standard EN 50160: Voltage Characteristics of Public Distribution Systems. 2021. Available online: https://powerquality.blog/2021/07/22/standard-en-50160-voltage-characteristics-of-public-distribution-systems/ (accessed on 15 August 2025).
- ESB Networks, Sustainability, “ESB Networks announces 100,000 microgenerators are now connected to Ireland’s electricity network”. 2024. Available online: https://www.esbnetworks.ie/about-us/newsroom/article/esb-networks-announces-100-000-microgenerators-are-now-connected-to-ireland-s-electricity-network#:~:text=ESB%20Networks%20has%20today%20announced,energy%20onto%20Ireland's%20power%20system (accessed on 15 August 2025).





















| Month | Global Solar Radiation | Mean Temperature | Total Rainfall |
|---|---|---|---|
| January | 7648 | 5 | 61.3 |
| February | 13,095 | 7.3 | 74.3 |
| March | 22,972 | 7 | 115.4 |
| April | 39,426 | 8.5 | 70.2 |
| May | 49,222 | 13 | 36.8 |
| June | 54,882 | 13.1 | 30.4 |
| July | 49,802 | 14.9 | 37.7 |
| August | 44,923 | 15.4 | 36.6 |
| September | 28,076 | 12.2 | 59.6 |
| October | 19,000 | 11.3 | 47.8 |
| November | 7067 | 8.1 | 54.2 |
| December | 5099 | 7.2 | 45.7 |
| Annual | 341,212 | 10.3 | 670 |
| Month | Daily Electricity Consumption (kWh) | Electricity Consumption Every Second Month (kWh) |
|---|---|---|
| January | 22.6 | 1382 |
| February | 24.4 | |
| March | 21.9 | 1255 |
| April | 19.2 | |
| May | 16.6 | 1002 |
| June | 16.3 | |
| July | 15.3 | 936 |
| August | 14.9 | |
| September | 17 | 1078 |
| October | 18.3 | |
| November | 21.6 | 1347 |
| December | 22.5 |
| Nominal maximum power | 435 (W) |
| Maximum power voltage (Vmp) | 32.78 (V) |
| Maximum power current (Imp) | 13.27 (A) |
| Open-circuit voltage (Voc) | 39.36 (V) |
| Short-circuit current (Isc) | 13.72 (A) |
| Rated output power | 4 (kW) |
| Rated output voltage | 230 (V) |
| Efficiency | 97.2% |
| Number of MPPTs | 2 |
| Nominal voltage | 51.2 (V) |
| Total energy | 5.3 (kWh) |
| Max continuous power | 5.72 (kW) |
| Efficiency | 90% |
| Rater power | 7 (kW) (1-phase) |
| Rated supply voltage | 230 (V) |
| Rated current | 32 (A) |
| Protection degree | IP65 (weatherproof) |
| Every 2nd Month | Solar Generation | Electricity Imported After Solar | Electricity Exported After Solar |
|---|---|---|---|
| Jan-Feb | 293 | 1094 | 1 |
| Mar-Apr | 877 | 581 | 183 |
| May-Jun | 1410 | 207 | 588 |
| Jul-Aug | 1262 | 196 | 496 |
| Sep-Oct | 649 | 541 | 93 |
| Nov-Dec | 214 | 1135 | 0 |
| Day of the Week | Date | Time of Day | Charging Hour (kWh) |
|---|---|---|---|
| Saturday | 6 July 2024 | ~11:45–14:50 | 17.6 |
| Friday | 12 July 2024 | ~23:30–00:00 | 2 |
| Saturday | 13 July 2024 | ~00:00–05:30 | 38.4 |
| Friday | 19 July 2024 | ~13:55–15:15 | 7.8 |
| Sunday | 21 July 2024 | ~23:20–00:00 | 4 |
| Monday | 22 July 2024 | ~00:55–05:00 | 26.7 |
| Saturday | 27 July 2024 | ~13:45–15:15 | 9.4 |
| Every 2nd Month | Utility Bill Before Solar | Utility Bill After Solar | Estimated Savings |
|---|---|---|---|
| January–February | 805 | 653 | 153 |
| March–April | 741 | 340 | 402 |
| May–June | 607 | 62 | 545 |
| July–August | 574 | 63 | 510 |
| September–October | 647 | 340 | 307 |
| November–December | 790 | 677 | 112 |
| Average | 694 | 356 | 338 |
| Study | Methodology | Strengths | Weaknesses |
|---|---|---|---|
| 33 | Design and simulation of a 4 kW solar power-based hybrid EV charging station using MATLAB and PVsyst. The system uses a three-stage charging strategy with a solar PV, battery bank, and grid connection. |
|
|
| 35 | Designed and optimized a solar-based EV charging station using HOMER Grid and Helioscope software. The system includes a 150 kW PV system, a 118 kW converter, and six charging slots. Analyzed cost, power production, and scheduling. |
|
|
| 38 | Case study on the use of solar energy for EV charging and residential energy needs in Northern Cyprus. Evaluated solar radiation data from NASA and used RETScreen for technical and economic analysis. Focused on GÜNSEL B9 and J9 electric vehicles. |
|
|
| 47 | A MATLAB simulation model was developed using weather data from the Dutch Meteorological Institute to estimate PV output. EV charging was simulated with both fixed and variable profiles to align with PV generation. Grid dependence and the role of battery storage were assessed, along with financial and environmental impacts. |
|
|
Disclaimer/Publisher’s Note: The statements, opinions and data contained in all publications are solely those of the individual author(s) and contributor(s) and not of MDPI and/or the editor(s). MDPI and/or the editor(s) disclaim responsibility for any injury to people or property resulting from any ideas, methods, instructions or products referred to in the content. |
© 2025 by the authors. Licensee MDPI, Basel, Switzerland. This article is an open access article distributed under the terms and conditions of the Creative Commons Attribution (CC BY) license (https://creativecommons.org/licenses/by/4.0/).
Share and Cite
Albaba, M.; Pierce, M.; Yeşilata, B. A Real-World Case Study of Solar Pv Integration for Ev Charging and Residential Energy Demand in Ireland. Sustainability 2025, 17, 9447. https://doi.org/10.3390/su17219447
Albaba M, Pierce M, Yeşilata B. A Real-World Case Study of Solar Pv Integration for Ev Charging and Residential Energy Demand in Ireland. Sustainability. 2025; 17(21):9447. https://doi.org/10.3390/su17219447
Chicago/Turabian StyleAlbaba, Mohammed, Morgan Pierce, and Bülent Yeşilata. 2025. "A Real-World Case Study of Solar Pv Integration for Ev Charging and Residential Energy Demand in Ireland" Sustainability 17, no. 21: 9447. https://doi.org/10.3390/su17219447
APA StyleAlbaba, M., Pierce, M., & Yeşilata, B. (2025). A Real-World Case Study of Solar Pv Integration for Ev Charging and Residential Energy Demand in Ireland. Sustainability, 17(21), 9447. https://doi.org/10.3390/su17219447

