Next Article in Journal
Groundwater–Surface Water Interactions and Pollution Assessment Using Hydrochemistry and Environmental Isotopes δ18O, δ2H, and 3H in Puebla Metropolitan Area, Mexico
Previous Article in Journal
Farmers’ Digital Literacy and Its Impact on Agricultural Green Total Factor Productivity: Evidence from China
 
 
Font Type:
Arial Georgia Verdana
Font Size:
Aa Aa Aa
Line Spacing:
Column Width:
Background:
Article

How Does the Green Credit Policy Influence Corporate Carbon Information Disclosure?—A Quasi-Natural Experiment Based on the Green Credit Guidelines

1
College of Economics and Management, Fujian Agriculture and Forestry University, Fuzhou 350002, China
2
Fujian Provincial Social Science Research Base Ecological Civilization Research Center, Fuzhou 350002, China
3
Performance Management Research Center, Fuzhou 350002, China
*
Author to whom correspondence should be addressed.
Sustainability 2025, 17(20), 9256; https://doi.org/10.3390/su17209256
Submission received: 11 September 2025 / Revised: 2 October 2025 / Accepted: 14 October 2025 / Published: 18 October 2025

Abstract

The 2012 Green Credit Guidelines (GCG) release is used as a quasi-natural experiment in this study, which employs a sample of Chinese A-share-listed businesses from 2008 to 2023. We use the difference-in-differences method to examine the impact of enacting green credit policies on corporate carbon information disclosure. The findings demonstrate that green credit policies affect carbon information disclosure through several channels: the signal transmission effect, the external pressure effect, and the environmental ethics effect. Furthermore, market competition has exerted a positive influence on the implementation of these policies. The heterogeneity results suggest that the policies’ beneficial impact is more significant in non-state-owned enterprises, firms with substantial financial constraints, and non-high-tech firms. Additionally, the study finds that increased disclosure of carbon information can elevate firm value and reduce audit fees. These findings contribute to theoretical research on green credit policies and carbon information disclosure, offering important guidance for relevant authorities in standardizing green credit operations and promoting carbon information transparency.

1. Introduction

The report from the 20th National Congress of the Communist Party of China explicitly stated that the seamless and systematic advancement of the “Dual Carbon” goal and the facilitation of green development constitute the central strategy for fostering high-quality economic growth in China. In this context, green credit, as a pivotal financial policy instrument, bears the significant responsibility of directing capital flows and motivating enterprises towards green transformation to achieve sustainable socio-economic development [1,2]. However, the effectiveness of transmitting the green credit policy to the micro level of enterprises and stimulating their environmental responsibility disclosure initiative remains a gap in current policy evaluation and academic research. In particular, the level of carbon information disclosure—a crucial measure of corporate environmental transparency—remains notably low, with data from the China Association of Listed Companies showing that the corporate carbon information disclosure rate was only 34% in 2023. This situation not only intensifies information asymmetry between financial institutions and corporations, resulting in resource misallocation [3], but also potentially undermines the overall efficacy of green credit policy.
Most of the existing literature studies the impact of green credit on enterprises’ green technology innovation [4,5,6,7], debt financing costs [8,9,10] and total factor productivity [11,12,13], but rarely pays attention to its direct effect and internal mechanisms of how enterprises disclose carbon information. This research gap makes it difficult for us to comprehensively evaluate the policy effectiveness of green credit. To make up for the above shortcomings, this paper takes the release of the “Green Credit Guidelines” in 2012 as a quasi-natural experiment, selects A-share-listed companies from 2008 to 2023 as samples, and uses the difference-in-difference method to empirically test the impact of green credit policy on corporate carbon information disclosure.
The research in this paper centers on three main aspects: first, the effectiveness of a green credit policy is assessed from the perspective of carbon information disclosure, and the empirical results show that the policy significantly enhances the carbon information disclosure levels of enterprises. In addition, this paper verifies the robustness and reliability of the main findings by implementing various robustness tests, such as the parallel trend test, the placebo test, propensity score matching combined with the difference-in-differences method, shortening the sample years, the triple difference method to exclude other policy interferences, and replacing the experimental group measurement criteria. Second, the mechanism of action is examined in depth, identifying three important paths: signal transmission effect, external pressure effect, and environmental ethics effect. Third, it further examines what role market competition plays in the implementation of green credit policy and whether there are significant differences in the impact of the policy on carbon information disclosure for firms with different property rights, different financing constraints, and different levels of technology. In addition, this paper also extends to an analysis of the impact of carbon information disclosure on firm value and audit fees. The specific research framework is illustrated in Figure 1. The research questions and hypotheses are presented in tabular form in Table 1 for ease of reading.
This paper contributes in three main ways: firstly, it offers systematic empirical evidence demonstrating that green credit influences corporate carbon information disclosure, thereby broadening the research scope regarding the economic implications of green financial policies; secondly, it examines the mechanisms through which green credit impacts corporate carbon information disclosure by developing a framework of multiple mechanisms; finally, the study’s findings yield targeted policy implications for enhancing the design of green credit policies and improving corporate carbon information disclosure.

2. Literature Review

In the face of the increasingly severe challenges of global climate change, carbon information disclosure has attracted considerable attention from scholars at home and abroad. Focusing on this topic, scholars have deeply analyzed the influencing factors of carbon information disclosure from multiple perspectives. Enterprises’ carbon information disclosure impacts both internal management decisions and external stakeholders like investors. From both internal and external perspectives, scholars have studied firm size [14,15,16,17], governance structure [18,19,20,21], financial performance [22,23] and carbon performance and other internal factors [24,25,26] as well as government regulation [17,27], media attention [28,29] and external pressures such as investor demands [16,30] on corporate carbon information disclosure. However, green credit, as a systematic and powerful external policy driver, has received relatively little attention in existing research on the factors influencing carbon information disclosure. In addition, corporate carbon information disclosure practices currently still face serious challenges of insufficient initiative [31,32], low overall disclosure level [33,34], and varying standards [3], which highlights the urgency of exploring effective policy tools to enhance the level of disclosure.
In China, enterprises, as profit-oriented organizations, often lack the intrinsic driving force to actively engage in environmental protection, which makes the promotion of environmental protection largely dependent on the active leadership and advocacy of the government and financial institutions [35]. If we want to achieve significant improvements to the ecological environment, it is obviously not enough to rely only on traditional end-of-pipe management means; we must also use financial means to optimize the allocation of resources to make it more efficient. The efficient use of financial instruments has therefore become an indispensable key link in fundamentally solving the problem of environmental pollution and achieving the goal of environmental governance [36]. Among the many policy tools, green credit has been widely studied for its direct linkage between corporate finance and environmental performance, which plays a key role in promoting green transformation of enterprises and realizing the goal of “Dual Carbon”. At the micro level, scholars have mainly focused on the relationship between green credit policy and enterprises in several dimensions, including technological innovation [4,5,6,7], cost of debt financing [8,9,10], total factor productivity [11,12,13] and investment efficiency [37,38] and others.
Notably, existing research has begun to explore the corporate information dimension, examining how green credit drives environmental information disclosure by enterprises. For instance, Liu et al. (2022) [39] demonstrate that policies compel firms to enhance environmental disclosure by increasing financing constraints and agency costs. Geng et al. (2023) [40] using Chinese-listed new energy companies as their sample, confirmed that the rational use of green credit resources by enterprises can promote environmental information disclosure. Furthermore, the research demonstrates that green credit primarily influences corporate environmental disclosure by alleviating financing constraints and generating economies of scale. While these studies offer new perspectives on examining the policy effects of green credit, most research on green credit and disclosure remains at the broad level of environmental information, failing to precisely focus on “carbon information”—the most critical element for achieving the dual carbon goals. Unlike broad environmental disclosures, carbon information specifically refers to corporate greenhouse gas emissions, carbon footprints, carbon assets, and climate strategies. Its measurement is more standardized and directly linked to financial regulatory tools, such as the national carbon market and carbon tariffs. Consequently, carbon information carries greater technical specificity and strategic significance. Its disclosure motivations and consequences may differ from those of general environmental information. Shifting the focus of research on the impact of green credit policies from broad environmental information to precise carbon information is crucial for understanding how policies drive core corporate emissions reduction actions. Based on this, this paper inquires about whether and through which pathways green credit influences decisions on disclosing corporate carbon information. It addresses the existing literature gap in deepening research from “environmental information” to “carbon information”, providing new micro-level evidence on how green credit policies can precisely advance the realization of the “Dual Carbon” goal.

3. Theoretical Analysis and Research Hypotheses

3.1. Green Credit Policies and Corporate Carbon Information Disclosure

In recent years, green credit policies have become a crucial financial tool for promoting environmental protection and fulfilling social responsibility, prompting substantial academic discussion and thorough investigation [40]. The core of this policy lies in requiring financial institutions to incorporate corporate environmental performance into credit decision-making [41,42] and implementing differentiated credit strategies [43,44]. Specifically, environmentally friendly enterprises receive preferential lending terms, including extended loan periods and reduced interest rates, whereas high-pollution and high-energy-consumption enterprises encounter more stringent approval procedures, elevated lending criteria, and augmented interest rates. This policy allocates capital to environmentally sustainable firms and green projects, diminishes resource consumption and environmental pollution, motivates enterprises to lessen emissions and pollution, and propels green transformation and upgrading [45].
Against this policy backdrop, a company’s environmental performance, environmental risk management capabilities, and level of carbon information disclosure have become critical factors influencing its financing capacity. Research indicates that when companies demonstrate outstanding environmental performance [46], effectively manage environmental risks [47], and fully disclose environmental information [48,49], they often secure substantial, long-term external financing at lower costs. Consequently, to obtain more favorable credit terms, companies have an incentive to improve the environment and enhance carbon information disclosure to meet green credit policy requirements. Additionally, from an investor perspective, policy signals guide external investors to pay greater attention to corporate environmental performance. Green investors, in particular, tend to favor companies with strong environmental performances [50]. This encourages enterprises to proactively disclose carbon information in order to gain investor favor. Finally, to ensure policy implementation, regulators continuously strengthen oversight and scrutiny of corporate disclosures. Companies failing to comply with disclosure requirements may face financing restrictions and administrative penalties [51], further compelling enterprises to enhance their carbon information disclosure standards from a compliance perspective. Moreover, proactive carbon disclosure not only fulfills corporate social responsibility but also fosters a positive corporate image [52] and delivers tangible economic benefits [53]. In summary, green credit policies promote the corporate carbon information disclosure. Consequently, we propose the subsequent hypothesis:
H1: 
Green credit policies can significantly enhance corporate carbon information disclosure.

3.2. The Impact of Green Credit Policies on Corporate Carbon Information Disclosure

3.2.1. The Signal Transmission Effect of Green Credit Policies

Signalling Theory [54] posits that in markets characterized by information asymmetry, firms have incentives to proactively disclose information to external investors as a positive signal. This reduces information asymmetry, enhances investors’ understanding of the firm, and improves their assessment of the firm’s prospects and investment decisions. Ultimately, this mitigates adverse selection issues and strengthens investor confidence [55]. In the realm of environmental disclosure, voluntary carbon information disclosure enables companies to communicate their commitment to low-carbon transformation and environmental responsibility fulfillment to stakeholders. Such disclosure helps shape a green image, enhance reputation, and secure greater resource support [17,56]. Especially in China’s current capital markets, the issue of carbon information asymmetry is particularly prominent. Despite environmental investments by many firms, inadequate disclosure hinders green investors from accurately identifying genuinely committed companies, thereby dampening investment enthusiasm.
The implementation of green credit policies signifies that banking institutions incorporate environmental factors into their loan approval processes [41]. Such behavior sends a clear signal to the market: enterprises that prioritize environmental protection and proactively assume social responsibilities often gain a competitive edge in accessing loan resources and demonstrate stronger long-term resilience [48,49]. Specifically, when evaluating corporate loan applications, banks examine environmental metrics such as a company’s environmental compliance record and emission-reduction measures. Enterprises meeting environmental standards gain easier access to loans and may receive preferential terms regarding interest rates and credit limits [45]. This demonstrates to the market that enterprises with strong environmental performance exhibit lower operational risks and greater sustainable development potential, thereby reducing information costs for green investors in identifying and evaluating environmentally friendly enterprises. As key advocates for socially responsible investment, green investors prioritize both corporate economic interests and environmental and social performance [57,58]. The signals conveyed by green credit policies provide crucial clues for green investors to identify enterprises meeting environmental standards. Green investors can more effectively screen companies with strong environmental performances by analyzing banks’ lending preferences and cross-referencing them with corporate disclosures. For instance, green investment funds specializing in environmental industries may prioritize investments in companies that receive bank green loans and demonstrate excellence in carbon disclosure, guided by green credit policies. These policy signals direct green investors to allocate capital more efficiently, thereby increasing their equity holdings in such companies.
As the shareholding proportion of green investors increases, their influence in corporate governance also grows accordingly. The expansion of their holdings enhances their voice in board meetings and shareholder assemblies, empowering them to exercise voting rights on ESG and sustainability-related issues. The result drives companies to integrate social responsibility into their core operations [59]. This facilitates the integration of green principles and environmental awareness into the operations, governance, and strategic decisions of investee companies [57], enhancing corporate green governance capabilities from an internal governance perspective and thereby promoting carbon information disclosure. Furthermore, as shareholders, green investors possess the legal right to demand environmental information disclosure from companies. Their increased shareholding proportion also strengthens their bargaining power in negotiations with companies, compelling firms to prioritize environmental factors in their decision-making and proactively enhance carbon information transparency. Consequently, we propose the subsequent hypothesis:
H2:  
Green credit policies increase the holdings of green investors through the signal transmission effect, thereby promoting carbon information disclosure.

3.2.2. The External Pressure Effect of Green Credit Policies

According to legitimacy theory [60], the survival and development of enterprises depend on aligning their actions with socially accepted norms, values, and belief systems—that is, gaining legitimacy. An enterprise’s legitimacy faces threats when its operations, particularly its environmental performance, deviate from societal expectations. These events may lead to the loss of critical resource support, leading to developmental challenges [60]. Therefore, firms have strong incentives to acquire, maintain, and restore legitimacy through a series of management behaviors. Carbon information disclosure is one of the key tools for enterprises to manage legitimacy in environmental aspects [3]. It is not always a manifestation of enterprises’ voluntary assumption of responsibility but often a direct response to external public pressure [61]. This pressure stems from the persistent attention paid to environmental issues by stakeholders, including the public, media, regulators, and community groups [62]. The greater the pressure faced by a firm, the higher the risk of legitimacy loss (e.g., reputational damage, regulatory penalties) associated with non-disclosure, while the cost of disclosure becomes relatively lower. Consequently, the likelihood of a firm choosing to disclose increases [63].
The implementation of green credit policies requires banking institutions to strictly enforce environmental standards during loan approvals, making compliance a significant constraint that determines whether enterprises can obtain financing and reduces their borrowing costs [41]. The result significantly increases the economic costs and legitimacy risks of non-compliance for enterprises, directly exposing those with poor environmental performance to the existential threat of restricted financing [64]. Thus, by linking environmental compliance to bank lending decisions, green credit policies create a novel form of coercive external pressure. Under this external pressure, firms possess strong incentives to strategically enhance carbon information disclosure to maintain operational legitimacy and secure critical resources. Such behavior serves to signal environmental compliance and green transformation to banks, regulators, and the public [65], thereby proactively engaging in legitimacy management [62].
Based on legitimacy theory, green credit policies have not altered the fundamental motivation of enterprises to pursue legitimacy, but they have significantly transformed the external pressure environment in which enterprises operate. By linking corporate environmental performance to access to financial resources, green credit policies substantially increase the costs of environmental non-compliance [9], compelling enterprises to strengthen environmental management and enhance carbon information disclosure to demonstrate compliance to stakeholders in order to secure the legitimacy essential for survival and development. Consequently, we propose the subsequent hypothesis:
H3:  
Green credit policies strengthen environmental legitimacy pressure on companies through the external pressure effect, thereby promoting their disclosure of carbon information.

3.2.3. The Environmental Ethics Effect of Green Credit Policies

Garriga and Melé’s (2004) [66] theoretical framework for social responsibility offers a multifaceted perspective on corporate behavior. Within this framework, ethical theory posits that the relationship between enterprises and society inherently carries ethical value, advocating that enterprises should regard social responsibility as an ethical obligation transcending economic interests. Green credit policies, by implementing a differentiated allocation of credit resources [45], essentially establish an external incentive and constraint mechanism that guides enterprises to re-evaluate their environmental behavior, fostering a profound recognition of the environmental impacts of their operations [67]. This process strengthens corporate environmental ethical identity, meaning that under policy influence, enterprise management is more likely to internalize environmental protection as an ethical responsibility that must be fulfilled [66] rather than merely an instrumental consideration for economic gain [68]. As Bowen (2013) [69] argued, corporate decisions and actions should align with societal goals and values, and green credit is driving the realization of this alignment.
This heightened environmental ethical identity elevates corporate environmental attention. Corporate environmental attention refers to the degree of emphasis placed on environmental issues and the management resources allocated to them during a company’s operations and development. Driven by ethical motivations, corporate management’s sense of social responsibility is stimulated, prompting a shift from potentially symbolic greenwashing toward substantive environmental management actions. These include intensifying carbon reduction efforts [70] and developing low-carbon products and technologies [45,71], among others. Voluntary carbon information disclosure serves as a critical component of such substantive environmental management actions. According to social responsibility theory, corporate management with a strong sense of social responsibility possesses greater motivation to demonstrate sincerity and transparency in fulfilling their duties through proactive environmental information disclosure [72]. Therefore, green credit policies strengthen corporate awareness of environmental ethics and enhance their attention to environmental issues by transmitting the effects of environmental ethics, ultimately driving companies to adopt carbon information disclosure as a crucial means of fulfilling social responsibility. Consequently, we propose the subsequent hypothesis:
H4: 
Green credit policies enhance corporate environmental attention through the environmental ethics effect, thereby increasing the voluntary disclosure of carbon information.

3.3. Moderating Effect of Market Competition

Market competition, as a significant external environmental factor, strongly impacts business strategic decisions [73]. This article contends that market competition enhances the positive effect of green credit policies on corporate carbon information disclosure. Market competition largely has this moderating influence via two pathways: affecting corporate financing costs and aiding firms in establishing distinct competitive advantages.
First, from the perspective of financing needs, intense market competition on one hand compresses corporate profit margins and weakens endogenous financing capabilities [74,75]. On the other hand, to expand new businesses and mitigate operational risks, enterprises face increasingly urgent demands for external capital [76,77]. Against this backdrop, firms become significantly more sensitive to financing costs, making the preferential interest rates and other conditions offered by green credit policies highly attractive. To gain an edge in credit competition, firms have strong incentives to improve their carbon information disclosure. This allows them to signal to banking institutions that they have low environmental risk and promising development prospects, thereby securing crucial financial support [73].
Looking further, under the immense pressure of intense market competition, corporate carbon information disclosure for financing purposes has evolved into a strategic initiative to proactively build differentiated competitive advantages. As product and service homogeneity intensifies, fulfilling environmental responsibilities to establish a “green competitive advantage” emerges as an effective strategy [78,79]. As Jones (1995) [80] noted, environmental investments are not merely costs but strategic resources that shape unique competitive capabilities. Carbon information disclosure serves as a key channel for enterprises to showcase their green image and win stakeholder favor [52]. Therefore, under green credit policies, high-level carbon information disclosure serves not only as a stepping stone to access financing but also as a strategic tool for firms to demonstrate their green competitiveness and achieve a brand premium in the market. The more intense the market competition, the stronger the intrinsic motivation for firms to differentiate themselves through outstanding environmental performance, and the greater their willingness to respond to policies and disclose carbon information.
In summary, market competition not only drives enterprises to obtain financing through carbon information disclosure at the survival level but also stimulates them to build long-term green competitive advantages at the development level. Consequently, we propose the subsequent hypothesis:
H5: 
In the process of green credit policy affecting corporate carbon information disclosure, market competition plays a positive moderating role.

4. Research Design

4.1. Data Source

This research focuses on Chinese A-share-listed corporations from 2008 to 2023. The original sample was processed as follows: (1) financial and insurance companies, as well as companies marked as ST and *ST, were excluded; (2) any samples with missing data for key variables were removed; and (3) the data were trimmed to remove the top 1% and bottom 1% of observations. The final valid sample consists of 34,521 observations. The corporate carbon information disclosure data and other variable data included in this study were sourced from the China Stock Market and Accounting Research Database (CSMAR).

4.2. Variable Definitions

4.2.1. Dependent Variable

The dependent variable in this paper is Carbon Information Disclosure (CID), and the data is obtained from the CSMAR database, which constructs a carbon information disclosure scoring system from 8 dimensions and 22 specific scoring items. Each scoring item is assigned an independent value and score, which are then summed to calculate the total CID score. This total score assesses the extent of carbon information disclosure by corporations. The maximum CID score is 50 points. Detailed content and scoring criteria for the items are provided in Table 2.
Additionally, this paper uses sample data to generate a heat map illustrating the average disclosure rate for each disclosure item, as shown in Figure 2. The color green indicates better disclosure, while red signifies poorer disclosure. Overall, companies have performed reasonably well in qualitative management items, but there is a significant lack of disclosure regarding quantitative emissions data. Specifically, within the “Targets” category, “Other climate targets” (63.38%), “Emission reduction actions” (50.75%), and “Business transition progress” (46.59%) achieved relatively high scores, indicating preliminary implementation in strategic planning and emissions reduction actions. Additionally, “Board oversight” (40.65%) and “Risk identification and assessment” (48.03%) also indicate that companies have established a certain foundation in disclosing these aspects. However, in stark contrast, quantitative disclosures involving specific emissions and breakdowns remain extremely low. The average disclosure rate for “Scope 1 and 2 GHG emissions” is merely 3.93%, “Scope 3 GHG emissions” at 1.21%, and “Scope 1 and 2 emission breakdown” at a mere 0.06%. These extremely low scores for critical quantitative indicators not only do not diminish their value but, by accurately reflecting current disclosure weaknesses, become even more representative. The variation in scores across items closely aligns with the actual difficulty of disclosure, demonstrating that this indicator system reliably measures companies’ actual performance in carbon information disclosure.

4.2.2. Explanatory Variable

The explanatory variable in this paper is the Difference-in-Differences (DID). It is created by combining two dummy variables: a policy dummy variable, referred to as Time, and a group dummy variable, known as Treat. In this context, Time is designated as 1 for the year the policy was enacted (2012) and for all subsequent years, while it is designated as 0 for the years preceding adoption. Treat is designated a value of 1 for firms categorized as heavily polluting industries (the treatment group) and 0 for those categorized as non-heavily polluting industries (the control group). The classification of heavily polluting and non-heavily polluting industries according to Pan (2019) [81].

4.2.3. Control Variables

To minimize the influence of omitted factors on the research results, and in line with previous studies, we selected the following variables as control variables: firm size (Size), debt-to-equity ratio (Lev), return on assets (ROA), revenue growth rate (Growth), board size (Board), proportion of independent directors (Indep), dual role of chairman and CEO (Dual), shareholding ratio of the largest shareholder (Top1), and firm listing duration (ListAge). A detailed description of these variables can be found in Table 3.

4.3. Model Construction

This paper investigates the implementation of green credit policies as a quasi-natural experiment and constructs model (1) to assess the specific influence of these policies on corporate carbon information disclosure behavior.
CIDi,t = α0 + α1DIDi,t + α2Controlsi,t + μt + νi + Ɛi,t
In this model, “Controls” denotes a collection of control variables, while Ɛ denotes the stochastic error term. Additionally, μ and ν are used to capture fixed effects at the time and individual dimensions. Furthermore, this paper also performs cluster adjustment on the standard errors at the company level.

5. Empirical Results

5.1. Descriptive Statistics

Table 4 presents the descriptive statistics for the main variables. Regarding carbon information disclosure (CID), the mean value is 11.567, with a minimum of 0 and a maximum of 45. The standard deviation is 9.317, indicating substantial variation in carbon information disclosure levels among enterprises. The mean for the group dummy variable (Treat) is 0.216, suggesting that approximately 21.6% of the sample consists of heavily polluting enterprises. The mean for the policy dummy variable (Time) is 0.884, indicating that 88.4% of the sample data is from the period after 2012. Moreover, the statistical properties of the other control variables correspond with the existing literature, showing no significant anomalies.

5.2. Benchmark Regression Analysis

Table 5 displays the benchmark regression results about the effect of green credit policies on corporate carbon information disclosure. Column (1) represents the basic model, which does not include control variables, time, or individual fixed effects. Column (2) represents the model that only incorporates control variables, omitting time and individual fixed effects. Column (3) represents the complete model, which includes control variables, time, and individual fixed effects. The regression results indicate that the coefficients of the explanatory variable, DID, are all significantly positive at the 1% significance level. In column (3), the results reveal that heavily polluting enterprises have a carbon information disclosure score that is 175.7% higher than that of non-heavily polluting enterprises. This finding strongly suggests that green credit policies enhance corporate carbon information disclosure, thereby supporting hypothesis H1.

5.3. Robustness Testing

5.3.1. Parallel Trend Test

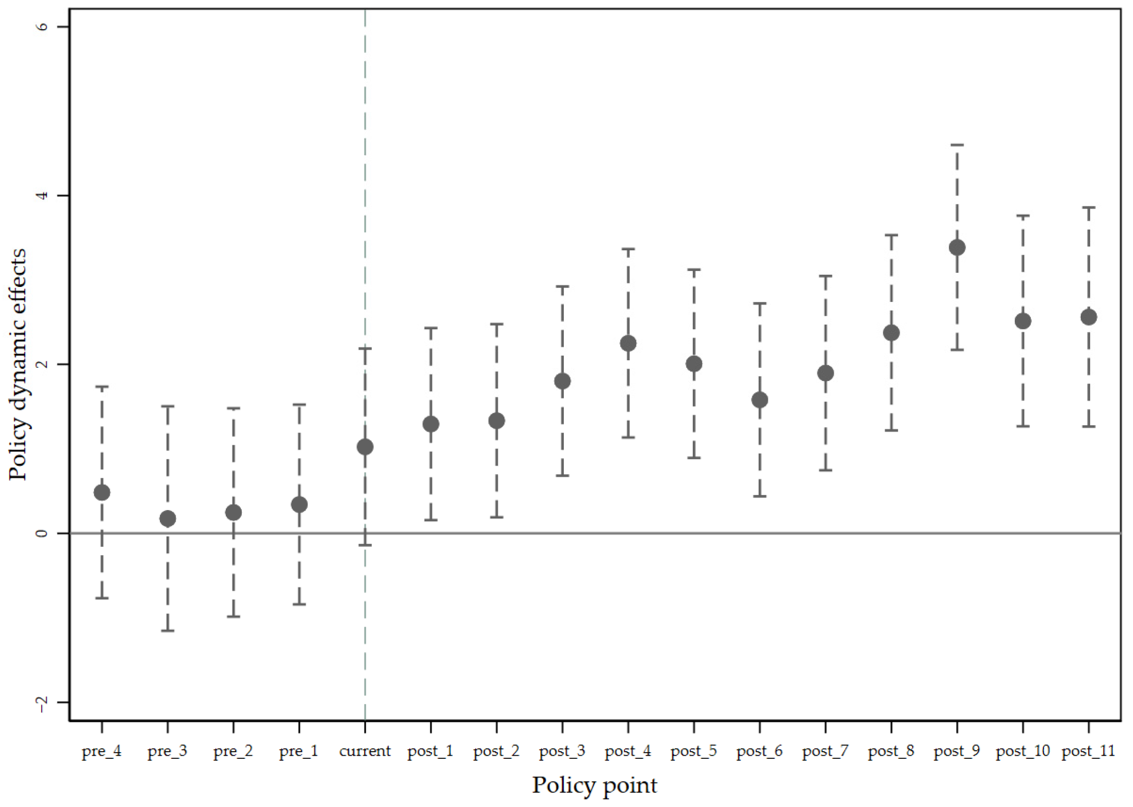
The effectiveness of the difference-in-differences method depends on a fundamental assumption: before the policy’s execution, the experimental group and the control group must satisfy the “parallel trend assumption.” It means that the behavioral patterns and trend changes of the two groups should be fundamentally consistent before the policy intervention. In this study, it implies that before the introduction of the green credit policy, the carbon information disclosure indices of heavily polluting enterprises (the treatment group) and non-heavily polluting enterprises (the control group) should display similar temporal variation characteristics.
This study conducted an annual dynamic effect analysis to test the parallel trend assumption. Using 2012 as the base year, we constructed a time (Time) dummy variable and multiplied it by the treatment variable (Treat), subsequently conducting regression analysis with model (1). The test results are presented in Figure 3, with the vertical axis showing the DID regression coefficients. The results of the regression analysis indicate that prior to the implementation of the policy, the regression coefficients fell within the 95% confidence interval and were not significantly different from zero. This finding suggests that there were no marked differences in carbon information disclosure levels between the experimental group and the control group before the policy was enacted. After the policy’s implementation, the regression coefficients showed significant positive values, indicating that the policy positively impacted firms’ carbon information disclosure behavior. This outcome supports the earlier-mentioned parallel trend assumption.

5.3.2. Placebo Test

The benchmark regression findings indicate that green credit policies substantially enhance corporate carbon information disclosure. However, these results may be affected by random factors. To account for this, this study employs the method of randomly shuffling the independent variables and conducting 1000 random shuffles and reallocations to create a virtual policy effect. Figure 4 presents the distribution of the estimated coefficients of the virtual policy effect after these 1000 random operations. The findings reveal that the estimated coefficients of the virtual policy effect follow a normal distribution, with most coefficients concentrated around zero. It shows a significant difference from the projected value of the actual policy effect, which is 1.757. This finding suggests that random factors do not drive the results of the benchmark regression but are statistically robust, further supporting the significant effect of green credit policies on the enhancement of corporate carbon information disclosure.

5.3.3. PSM-DID

In order to guarantee the reliability of results derived from the difference-in-differences (DID) model, it is important not only to validate the parallel trend assumption but also to demonstrate that the basic condition of random grouping is validly established. In this study, heavily polluting enterprises were set as the experimental group, while non-heavily polluting enterprises were set as the control group. However, systematic differences may exist in the characteristics of the enterprises between these groups. To enhance comparability between the enterprises in the different groups and to eliminate potential sample selection bias, this study combines propensity score matching with the difference-in-differences method for robustness testing. First, the nearest neighbor matching method was employed to match the experimental group and the control group in a 1:1 ratio, using covariates selected from earlier control variables. Subsequently, regression analysis was performed on the matched samples. The specific outcomes are detailed in Table 6, column (1). The estimated coefficient on DID is significantly positive at the 1% level, further providing robust support for the conclusions drawn earlier in the study.

5.3.4. Shortening the Sample Period

Although the difference-in-differences approach employed in the main regression model can control for confounding factors that do not vary over time or across individuals to some extent, the extended time span of the selected sample in this study may be influenced by other significant policy events occurring during the same period. For instance, the revised Environmental Protection Law of the People’s Republic of China implemented in 2015 and the Paris Agreement effective in 2016 may have influenced corporate carbon information disclosure by strengthening environmental regulation or altering market expectations. To eliminate these potential confounders, this study narrows the sample period to 2010–2014. This time window ensures that the policy evaluation period (2012) remains entirely unaffected by subsequent policies, providing a relatively clean identification environment for assessing the effects of green credit policies. As shown in column (2) of Table 6, the DID coefficient remains significantly positive even after sample reduction. This indicates that the core findings of this study are robust and unaffected by other major environmental policy changes after 2014.

5.3.5. Triple Difference Test

To isolate the impact of other environmental policies on corporate carbon information disclosure during the same period, it is important to note that green credit policies primarily affect companies through credit supply channels, in contrast to other environmental policies. Therefore, this study builds upon Lu et al. (2021) [82] by introducing differences in corporate external financing needs as the third-difference variable based on model (1). Then, it constructs a triple difference model that mitigates the impact of concurrent environmental policies on the experimental results. Theoretically, other environmental policies do not immediately influence the supply of corporate credit. Under constant conditions, these policies do not create significant differences among polluting firms with varying external financing needs, unlike green credit policies. Specifically, the greater a polluting firm’s external financing needs, the more sensitive it is to green credit policies. To measure commercial credit constraints, this research employs the ratio of net accounts receivable to total assets. A lower value signifies an increased requirement for external finance from the company, suggesting a greater impact from green credit policies. Conversely, a larger value indicates the opposite. The triple difference model constructed based on model (1) is presented below.
CIDi,t = σ0 + σ1DIDi,t + σ2Treati × Crediti + σ3Timet × Crediti + σ4Treati × Timet × Crediti + σ5Controlsi,t + μt + νi + Ɛi,t
In model (2), the variable “Credit” is a dummy variable representing commercial credit constraints. The sample is divided into three quantiles based on the average value of commercial credit constraints before the execution of green credit. Values below the lower third percentile are assigned a value of 1, indicating that the company’s commercial credit constraints are tight and its external financing demand is high. Values above the upper third percentile are assigned a value of 0, indicating that the company’s commercial credit constraints are relaxed and its external financing demand is low. The regression findings are presented in column (3) of Table 6, with fewer observations in the sample due to the inclusion of only enterprises with either high or low financing needs. The regression coefficient for Treat × Time × Credit is 1.537, which is significantly positive at the 5% significance level, indicating that the green credit policy promotes carbon disclosure among highly polluting enterprises with substantial external financial requirements more significantly, which verifies the robustness of the benchmark regression findings.

5.3.6. Replacement of Measurement Standards for the Experimental Group

According to Wang and Wang (2021) [36], the definition of whether a company belongs to a restricted industry for green credit is based on the industry of the company, which is classified under environmental and social risk type A as indicated in the “Key Evaluation Indicators for the Implementation of Green Credit Policies”. Specifically, the industries categorized as Class A include nuclear power generation, hydroelectric power generation, water conservancy, inland port engineering and construction, coal mining and washing, oil and gas extraction, ferrous metal mining and selection, non-ferrous metal mining, non-metallic mining, and other mining sectors. Enterprises in these nine industries are classified as the experimental group, while those in other industries make up the control group. Building on this classification, this paper constructs a new virtual variable to represent enterprise pollution attributes. It creates an interaction term by combining this new variable with the time dummy variable, naming it DID_Robust. This term is subsequently incorporated into the benchmark regression model for robustness assessment. The outcomes are presented in column (4) of Table 6. The regression coefficient for DID_Robust is statistically significantly positive, indicating that even after reclassifying the experimental and control groups, the core research findings remain stable. It strongly confirms the dependability of the regression outcomes presented in this research.

6. Mechanism Testing

6.1. Testing the Signal Transmission Effect

The extent of green investors’ investment in a company can be measured by the number and proportion of shares they hold, which are critical indicators. According to Jiang et al. (2021) and Wang et al. (2022) [57,83], this study selects two quantitative indicators to assess the shareholding status of green investors: the green investor holding ratio (GIH) and the market value share of green investors’ holdings (GIM). For data acquisition, the raw green investor data is derived from the CSMAR database. Specifically, green investors are identified following the method of Jiang et al. (2021) [57], and their shareholding ratios and market value ratios are calculated based on this identification.
Stakeholder theory suggests that green investors, as significant shareholders of a company, have the capacity to oversee corporate decision-making processes effectively. Their proportion of shareholding not only reflects their influence within the corporate governance structure but also affects the extent of an enterprise’s environmental information disclosure. Furthermore, Jiang et al. (2021) [57] found that companies with participation from green investors tend to demonstrate stronger tendencies toward green actions. These companies not only invest more in sustainable resources but also achieve notable improvements in their green governance performance. This enhanced capacity for green governance promotes corporate carbon information disclosure. According to the mechanism testing method of Jiang (2022) [84], if the execution of green credit policies results in a rise in green investor shareholding, it indirectly indicates that green investor shareholding is a key mechanism by which green credit policies promote corporate carbon information disclosure. Columns (1) and (2) of Table 7 show the impact of green credit policies on green investor shareholding, with coefficients of 0.061 for GIH and 0.064 for GIM, both significant at the 1% level. It suggests that green credit policies promote green investor shareholding, which in turn drives corporate carbon information disclosure, thereby validating hypothesis H2.

6.2. Testing the External Pressure Effect

Legitimacy theory proposes that the primary aim of enterprises disclosing social responsibility and environmental information is to gain recognition and respect from the public while ensuring compliance within social, political, and environmental domains. The environmental compliance demands placed on companies are closely tied to their investments in environmental protection. Consequently, the extent of an enterprise’s environmental protection investments can significantly reflect the environmental legitimacy pressures it experiences. This study builds on the research conducted by Yu et al. (2021) [85], selecting environmental investment (EI) as a proxy variable to measure the company’s environmental legitimacy pressure. To eliminate potential interference from company size on the research findings, this study processes the environmental investment data and constructs three variables: EI1 = ln(1 + EI), EI2 = EI/Revenue, and EI3 = (EI/Total Assets) × 100. This study aims to examine whether corporate environmental legitimacy pressure serves as an intermediary factor in the relationship between green credit policies and corporate carbon information disclosure. To achieve this, the research utilizes the recursive equation framework proposed by Wen and Ye (2014) [86] and employs the Bootstrap method, conducting 1000 repeated samples for empirical testing. The following is the structure of the mediation effect model:
EIi,t = δ0 + δ1DIDi,t + δ2Controlsi,t + μt + νi + Ɛi,t
CIDi,t = φ0 + φ1DIDi,t + φ2EIi,t + φ3Controlsi,t + μt + νi  +  Ɛi,t
Table 8 displays the results of the mediation mechanism tests for EI1, EI2, and EI3 based on models (3) and (4). The regression coefficients for the Difference-in-Differences (DID) in columns (1), (3), and (5) are 1.387, 0.072, and 0.111, respectively. They are all markedly positive at the 1% significance level, suggesting that the pressure for corporate environmental legitimacy has intensified after the implementation of green credit policies. Furthermore, the regression coefficients for EI1, EI2, and EI3 in columns (2), (4), and (6) are 0.167, 1.866, and 1.058, respectively. They are also significantly positive at the 1% level. These regression outcomes demonstrate that the mediating effect of corporate environmental legitimacy pressure is significant. To further substantiate the strength of these conclusions, a Bootstrap method was applied, involving 1000 samples, which confirmed the presence of the intermediary effect. Overall, these findings suggest that green credit policies can enhance environmental legitimacy pressure on firms, encouraging them to disclose carbon information, thereby supporting hypothesis H3.

6.3. Testing the Environmental Ethics Effect

The level of government emphasis on environmental protection can be gauged by how often terms like “environment” and “ecology” appear in government work reports [87,88]. Based on this observation, it is reasonable to use a similar approach to assess a corporation’s degree of concern for environmental issues. However, due to the polysemy of Chinese vocabulary and the various ways of expressing ideas, relying solely on the frequency of these two terms to measure corporate environmental attention (CEA) may overlook significant information. To address this, this study draws on the research method developed by Zor (2023) [89] and utilizes a neural network-based Word2Vec model. This approach expands the vocabulary related to “environment” and “ecology,” allowing for a more comprehensive extraction of relevant content from company annual reports. The process outlined in this paper consists of several key steps. First, we extracted various sections of the Management Discussion and Analysis (MD&A) text from 2008 to 2023, compiling them into a list of sentences to serve as the input layer. Next, we employed the Continuous Bag of Words (CBOW) and Skip-Gram models for training, applying negative sampling to enhance training efficiency. It was accomplished using the jieba and gensim libraries in Python 3.8. Following the training, we aggregated the vocabulary data from the output layer obtained through different neural network methods. We then selected a total of 23 words that accurately represent ecological and environmental concepts, including both the original input words and their expanded words. The frequency of these selected words in the MD&A text was counted, divided by the total word count, and subsequently standardized. To facilitate observation, we multiplied the result by 100 to calculate the company’s environmental attention index. To examine whether corporate environmental attention mediates the relationship between green credit policies and corporate carbon information disclosure, this study employs the recursive equation framework proposed by Wen and Ye (2014) [86] in conjunction with the Bootstrap method, utilizing 1000 repeated samples for empirical testing. The following is the structure of the mediation effect model:
CEAi,t = β0 + β1DIDi,t + β2Controlsi,t + μt + νi + Ɛi,t
CIDi,t = θ0 + θ1DIDi,t + θ2CEAi,t + θ3Controlsi,t + μt  + νi + Ɛi,t
Table 9 displays the regression outcomes derived from models (5) and (6) in columns (1) and (2). In column (1), the Difference-in-Differences (DID) coefficient is 0.044, which is markedly positive at the 1% significance level. It signifies that the execution of green credit policies has elevated enterprises’ environmental awareness. In column (2), the Corporate Environmental Attention (CEA) coefficient is 1.987, also markedly positive at the 1% significance level. When combining the regression results from these two columns with those from column (3) in Table 5, it becomes clear that the mediating effect of corporate environmental attention is significant. To further validate the reliability of the research findings, a Bootstrap method was employed, sampling 1000 times, which confirmed the presence of the intermediary effect. These findings suggest that green credit policies can enhance corporate environmental attention, leading companies to improve their carbon information disclosure, thereby supporting hypothesis H4.
This study examines how green investor shareholding, environmental legitimacy pressure, and corporate environmental attention mediate the effects of green credit policies on the disclosure of corporate carbon information. To ensure the accuracy of the above effect tests, this study employs the Bootstrap method for repeated sampling (1000 times). Table 10 displays the test results. The results indicate that the mediation effect of the external pressure pathway accounts for 13.15%, the highest among the three pathways. This suggests that legitimacy pressure is the core mechanism through which green credit policies drive corporate carbon information disclosure, as firms tend to use it as a strategic tool to maintain operational legitimacy. The signalling pathway’s mediating effect accounted for 7.74%, ranking it as intermediate. It suggests that while policies can influence carbon information disclosure by guiding green investors’ choices, this channel’s impact remains relatively limited. The environmental ethics pathway’s mediating effect is only 5.05%, the lowest among the three, reflecting overall weak environmental ethics awareness among enterprises. Their internal motivation to proactively fulfill social responsibilities through carbon information disclosure remains insufficient. Overall, the results confirm that green credit policies influence corporate carbon information disclosure through three mediating pathways: signal transmission, external pressure, and environmental ethics, which further support the research hypothesis.

7. Further Analysis

7.1. The Role of Market Competition

The empirical results presented earlier indicate that green credit policies positively influence corporate carbon information disclosure. In order to better understand the effects of these policies, this paper further analyzes the problem from the standpoint of market competition, aiming to explore how to enhance the policy’s effectiveness. The Herfindahl-Hirschman Index (HHI), also known as market concentration, measures the concentration level within an industry’s market structure. It reflects the composition of the market, business behavior, and competitive strength. Therefore, this study employs the HHI to quantify the level of market competition. The HHI is determined by aggregating the squared ratios of each enterprise’s revenue relative to the total industry revenue. Additionally, this study also calculates the HHI based on company assets as a substitute variable for market competition, used for a robustness test. A higher HHI number signifies a greater level of market concentration and lower competition in the industry where the firm operates. Before analyzing the moderating influence of market competition on the benchmark regression model, this study performed centering on the explanatory variable and the moderator variable to improve the interpretability of the regression coefficients. Additionally, the interaction term between the explanatory and moderator variables was included in the regression equation. In this context, C_DID and C_HHI represent the centered results of the green credit policy data and the market competition data, respectively. At the same time, C_DID × C_HHI denotes the interaction term between these centered explanatory and moderator variables. Consequently, this study developed model (7) to examine the moderating influence of market competition.
CIDi,t = ω0 + ω1C_DIDi,t + ω2C_HHIi,t + ω3C_DIDi,t × C_HHIi,t + ω4Controlsi,t + μt + νi  +  Ɛi,t
Table 11 displays the relevant test results. Column (1) presents the regression results for the interaction term between HHI1, calculated based on operating revenue, and DID after centering. Column (2) displays the regression results for the interaction term between HHI2, calculated based on assets, and DID after centering. In both columns, the regression coefficients for the interaction terms are significantly negative. It indicates that as market competition intensifies, the positive impact of green credit policies on enterprise carbon information disclosure becomes stronger. Therefore, a certain level of market competition plays a significant moderating role in the relationship between green credit policies and corporate carbon information disclosure. In other words, the impact of green credit policies is more noticeable in markets with more fierce competition, thus validating hypothesis H5.

7.2. Heterogeneity Analysis

7.2.1. Analysis of Heterogeneity in Property Rights Nature

Enterprises with different property rights may exhibit variations in their fulfillment of environmental responsibilities and other aspects. This study categorizes the sampled companies into two groups, state-owned enterprises and non-state-owned enterprises, for regression analysis. As shown in columns (1) and (2) of Table 12, the regression coefficients for both non-state-owned and state-owned enterprises are significantly positive. However, it is notable that the regression coefficients for non-state-owned enterprises are substantially higher than those for state-owned enterprises, and the difference between the two groups is statistically significant. It indicates that green credit policies significantly enhance carbon information disclosure among non-state-owned enterprises. The reason for this heterogeneity may be that state-owned enterprises typically have stronger capital resources and more diversified financing channels, leading to a lower reliance on bank loans. Additionally, due to their close relationships with government entities, they may benefit from policy protections that result in weaker enforcement and oversight of green credit policies. In contrast, non-state-owned enterprises often depend more on bank loans for their operational activities and expansion strategies, facing stricter regulatory requirements and market pressures. Consequently, to secure loans and remain competitive in the market, non-state-owned enterprises have a greater motivation to enhance their carbon information disclosure.

7.2.2. Analysis of Heterogeneity in Financing Constraints

This study utilizes the research method developed by Whited and Wu (2006) [90] to construct the WW index, which quantifies the degree of financing constraints experienced by firms. A larger WW index number signifies that a company encounters severe financing constraints. Utilizing this index, we classify the sample firms into two categories: enterprises with a WW index over the median are designated as high financing constraint enterprises. In contrast, those below the median are designated as low financing constraint enterprises. Following this classification, we performed regression analysis using model (1) for both subsamples. As demonstrated in columns (1) and (2) of Table 13, the regression coefficients for both groups are significantly positive. However, the coefficient for the high financing constraint group is notably higher than that for the low financing constraint group. Additionally, the between-group difference test reveals that the regression coefficients for the two groups are significantly distinct. It indicates that green credit policies significantly enhance carbon information disclosure for enterprises with high financing constraints. This heterogeneity may arise from the fact that high financing constraint firms often experience greater financial pressure and have a more urgent need for funding. To obtain green credit support, these firms are likely to be more proactive in meeting policy requirements, thereby facilitating greater carbon information disclosure. In contrast, low financing constraint firms generally have more substantial financial reserves and lower demand for financing, which may reduce their incentive to promote carbon information disclosure.

7.2.3. Analysis of Heterogeneity in Technological Levels

This paper is based on the newly revised “Measures for the Administration of the Recognition of Hi-tech Enterprises,” issued jointly by the Ministry of Science and Technology, the Ministry of Finance, and the State Taxation Administration. It refers to the major categories outlined in the 2012 revision of the “Guidelines for the Industry Classification of Listed Companies” by the China Securities Regulatory Commission. Using this framework, the article categorizes industries as high-tech or non-high-tech, classifying companies in high-tech industries as high-tech enterprises and those in non-high-tech industries as non-high-tech enterprises. Subsequently, regression analysis was conducted using model (1) for these two subsamples. As detailed in columns (1) and (2) of Table 14, the regression coefficients for both high-tech and non-high-tech enterprises are markedly positive. However, the regression coefficient for non-high-tech enterprises is considerably larger than that for high-tech enterprises, and the difference between the two groups is notable. It indicates that, compared to high-tech enterprises, green credit policies have a greater promotional influence on carbon information disclosure for non-high-tech enterprises. A plausible explanation for this is that high-tech enterprises generally have superior technological advantages and innovation skills, which give them a competitive edge in accessing loans. Consequently, the impact of green credit policies on carbon information disclosure is comparatively diminished for high-tech enterprises. Conversely, non-high-tech enterprises generally produce more carbon emissions during their production processes, leading to a larger environmental impact. Consequently, they are more likely to face loan restrictions under green credit policies. To reduce financing costs, these enterprises are more likely to actively report carbon information to exhibit their compliance with environmental protection standards. In summary, high-tech companies may be less responsive to green credit policies than non-high-tech companies.

7.3. The Economic Consequences of Corporate Carbon Information Disclosure

Previous research findings have confirmed that green credit policies can actively encourage enterprises to increase carbon information disclosure. In light of this, this paper delves into the economic implications arising from the growth of carbon information disclosure, analyzing it in two dimensions. Firstly, we examine whether increasing carbon information disclosure enhances corporate value. Enhancing carbon information disclosure levels sends positive signals to investors, demonstrating a company’s commitment to green and low-carbon transformation. This establishes a favorable corporate image and fosters investor confidence in the company’s prospects, thereby positively impacting corporate value. Furthermore, proactive carbon information disclosure helps reduce information asymmetry between companies and stakeholders, strengthening investor trust. It can effectively lower financing costs, improve financing capabilities, and ultimately elevate overall corporate value. Secondly, we analyze whether increased carbon information disclosure can reduce audit fees. Enhanced carbon information disclosure indirectly reflects improved financial transparency. Under such circumstances, auditors gain a more comprehensive understanding of a company’s financial condition and operational performance. This reduces the risk of material misstatements encountered during the auditing process. Furthermore, diminished information asymmetry allows auditors to allocate fewer resources to the audit, thereby improving efficiency and potentially lowering audit fees.
This paper employs Tobin’s Q ratio as an indicator of firm value and measures audit fees using the logarithm of audit fees (AuditFee). The following model is constructed based on this approach.
TobinQi,t = η0 + η1CIDi,t + η2Controlsi,t + μt + νi + Ɛi,t
AuditFeei,t = λ0 + λ1CIDi,t + λ2Controlsi,t + μt + νi + Ɛi,t
Columns (1) and (2) in Table 15 show the results of regressing the level of carbon disclosure on firm value and audit fees, respectively. In column (1), the coefficient of CID is markedly positive at the 1% significance level, indicating that corporate carbon information disclosure increases firm value. Conversely, in column (2), the coefficient for CID is markedly negative at the 1% significance level, indicating that increased corporate carbon information disclosure results in a decrease in audit fees.

8. Conclusions and Recommendations

8.1. Research Findings

Green credit policies optimize the allocation of credit resources, directing capital toward environmentally friendly enterprises and green projects. This encourages companies to focus on their environmental performance and proactively improve the environment, guiding them to more actively assume environmental responsibilities and disclose carbon information. This study treats the issuance of the 2012 Green Credit Guidelines as a quasi-natural experiment, selecting A-share-listed companies from 2008 to 2023 as the research sample. A difference-in-differences model is established to examine the relationship between green credit policies and corporate carbon disclosures, further analyzing potential mechanisms and moderating effects. Heterogeneity analysis and economic consequence studies are also conducted, aiming to provide useful references for accelerating the achievement of the “Dual Carbon” goal and promoting the development of environmental sustainability systems through green finance policies. The findings indicate the following.
First, green credit policies implement differentiated lending strategies that, on one hand, provide financing convenience for enterprises while, on the other hand, increasing the cost of environmental violations. This encourages enterprises to focus on their environmental performance, actively disclose carbon information, and fulfill their social responsibilities. The benchmark regression results indicate that green credit policies significantly promote corporate carbon information disclosure. This conclusion withstands parallel trend tests and placebo tests. Furthermore, the robustness of the findings is confirmed through multiple validation methods, including propensity score matching combined with the difference-in-differences approach, changing the measurement criteria for the experimental group, shortening the sample period, and employing the triple difference method to eliminate interference from other policies.
Second, green credit policies influence corporate carbon information disclosure through three pathways: the signal transmission effect, the external pressure effect, and the environmental ethics effect. The signal transmission effect demonstrates that, based on signalling theory, the implementation of green credit policies sends positive signals to the market, helping green investors identify companies with strong environmental performances. This signal prompts enterprises to enhance their carbon information disclosure levels, thereby reducing information asymmetry with investors and boosting investor confidence. Simultaneously, the external pressure effect indicates that the implementation of green credit policies exerts enormous pressure on enterprises. Based on legitimacy theory, enterprises proactively elevate carbon information disclosure as a strategic choice for legitimacy management to maintain operational legitimacy and secure critical resources. Furthermore, the environmental ethics effect reveals that under social responsibility theory, enterprises view social responsibility as an ethical obligation transcending economic interests. This heightens environmental awareness, increases corporate attention to environmental issues, and drives substantive environmental management actions, positioning carbon information disclosure as a key avenue for fulfilling social responsibilities. These findings reveal that green credit policies incentivize corporate carbon information disclosure not through a single mechanism but via three distinct pathways: signal transmission, external pressure, and environmental ethics.
Third, market competition exerts a positive regulatory effect on the implementation of green credit policies. In a fiercely competitive market environment, enterprises face the dual challenge of declining internal financing capacity and urgent external funding needs. To cultivate green competitive advantages and enhance market competitiveness, enterprises tend to elevate their standards for disclosing carbon information to secure financing support and establish a green image. Consequently, market competition further amplifies the effectiveness of green credit policies.
Fourth, the impact of green credit policies on corporate carbon information disclosure varies significantly across different enterprises. Non-state-owned enterprises rely more heavily on bank loans than state-owned enterprises and face stricter policy regulation, thereby creating greater incentives to enhance carbon information disclosure levels. Furthermore, enterprises facing higher financing constraints experience greater funding pressure and greater resource dependency than those with lower constraints. Consequently, they respond more actively to policies and exhibit higher levels of carbon information disclosure. High-tech enterprises possess greater technological advantages and stronger innovation capabilities than non-high-tech enterprises while also exerting a lesser impact on the environment. Thus, green credit policies exert a lesser impact on high-tech enterprises.
Fifth, the implementation of green credit policies enhances corporate carbon information disclosure, yielding positive economic impacts. On one hand, corporate carbon information disclosure reduces the information asymmetry between companies and investors, conveys positive signals, strengthens investor trust, establishes a favorable corporate image, and lowers financing costs, thereby positively influencing firm value. On the other hand, enhanced carbon information disclosure enables auditors to gain a more comprehensive understanding of a company’s financial condition and operational performance. This helps mitigate the risk of material misstatement, reduces the necessary audit effort, and lowers audit costs. The dual benefits of increased firm value and reduced audit fees demonstrate that carbon information disclosure is not only an expression of environmental responsibility but also a crucial tool for companies to gain market trust and optimize resource allocations.

8.2. Research Suggestions and Prospects

As a core component of the green finance system, green credit policies play a pivotal role in enhancing standards for corporate carbon information disclosure. The topic holds profound significance for promoting corporate carbon reduction efficiency and supporting China’s achievement of its dual carbon goal. To further optimize policy implementation outcomes, this paper offers the following recommendations.
First, strengthen risk identification and precise resource allocation to enhance policy effectiveness. The in-depth implementation of green credit policies improves corporate environmental performance and imposes higher demands on corporate information disclosure. To this end, efforts should focus on enhancing banking institutions’ capabilities to identify and analyze major environmental and social risks in enterprises, improving risk prevention and control systems, and implementing more differentiated and dynamic credit management strategies. By optimizing mechanisms for allocating credit resources, more financial resources can be directed toward enterprises with high environmental governance standards, strong information disclosure practices, and significant ecological benefits. By strengthening the endogenous motivation for corporate green transformation, this approach will further enhance the environmental benefits and overall effectiveness of green credit policies.
Second, improve the incentive mechanisms of green credit policies to strengthen corporate environmental ethics awareness. Mechanism test results indicate that green credit policies enhance corporate carbon information disclosure levels by increasing environmental attention. To further amplify policy effectiveness, governments should refine the incentive mechanisms of green credit policies. For instance, governments can directly motivate enterprises to adopt clean production technologies through tax incentives, environmental protection subsidies, and other policies. Simultaneously, diversified financial instruments such as green bonds and ESG financial products should be vigorously developed and promoted. Institutional investors should be encouraged to prioritize their allocations to these instruments, enabling enterprises with outstanding environmental performance to access market-based financing that is significantly more accessible and cost-effective than traditional credit. This would fundamentally strengthen their motivation for transformation. Additionally, it is recommended that regulatory authorities or industry associations take the lead in organizing systematic environmental training for corporate managers. This would enhance enterprises’ environmental responsibility awareness and drive a shift from passive compliance to proactive fulfillment of environmental obligations.
Third, leverage market competition mechanisms to amplify the impact of green credit policies. Research indicates that market competition positively moderates the effectiveness of green credit policy implementation. To effectively translate this positive moderating effect into policy momentum, it is recommended that the central bank and financial regulatory authorities take the lead in formulating and mandating the standardized disclosure of key environmental information (such as carbon emissions and carbon reduction pathways) by enterprises. Establishing a corporate carbon information disclosure system would provide the market with a clear and consistent benchmark, enabling financial institutions and the public to readily assess the environmental performance of enterprises. This would allow green performance to be directly translated into financing costs and brand reputation within competitive markets.
Fourth, establish a fast-track process for green credit and improve environmental ratings to foster a level playing field for financing. Non-state-owned enterprises typically rely heavily on bank loans, are sensitive to policy signals, and may occupy a relatively disadvantaged position in the credit market. To transform this sensitivity into an endogenous driver for continuous environmental performance improvement, policies should focus on creating a fair and transparent financing environment. First, encourage financial institutions to establish green credit fast-track channels for non-state-owned enterprises with high carbon information disclosure levels and continuously improving environmental performance. Implement dedicated approval processes, prioritize credit lines, offer more favorable interest rates, and streamline financial services. Second, fully integrate the quality of corporate carbon disclosure into environmental credit rating systems and implement incentive linkage for enterprises with excellent ratings. Beyond offering greater preferential treatment in credit financing, link their rating outcomes to eligibility for government project bidding and applications for environmental subsidies, thereby establishing a cross-departmental, multidimensional positive incentive mechanism.
Fifth, implement tiered pricing based on carbon information disclosure to transform financing constraints into disclosure incentives. Empirical evidence shows that enterprises with high financing constraints have the most urgent capital needs and thus respond most actively to green credit policies. Policies should leverage this dynamic by positioning enhanced carbon information disclosure as an effective pathway to securing financial support. Specifically, implement a tiered pricing mechanism linking financing costs to levels of carbon information disclosure. When evaluating high-financing-constraint enterprises, financial institutions should prioritize the completeness, accuracy, and timeliness of their carbon information disclosures as key credit assessment criteria, establishing clear disclosure grading standards. Each tier of improved disclosure corresponds to a specific interest rate discount, reducing financing costs while incentivizing continuous enhancements to the transparency of carbon information disclosure.
Sixth, impose rigid constraints while providing transformational support to precisely drive the green transition of non-high-tech enterprises. Research indicates that green credit policies have elevated carbon information disclosure standards among non-high-tech firms. For these enterprises, policies must balance firmness with flexibility—applying pressure while offering pathways to facilitate their green transformation. First, establish clear compliance thresholds to create transformational pressure. It is recommended to mandate carbon information disclosure requirements for non-high-tech enterprises and establish a clear roadmap specifying that their disclosure scope must progressively expand from Scope 1 and 2 emissions to Scope 3 emissions within a defined timeframe, thereby setting explicit compliance thresholds and transition expectations. Second, provide targeted financial support to inject momentum for transformation. For enterprises with transparent carbon information disclosure and scientifically credible emission reduction pathways, long-term, low-interest transition loans should be provided to specifically support their energy-saving technological upgrades and green, low-carbon transformation, thereby achieving a parallel approach to “pressure and pathways”.

Author Contributions

X.C. and J.P. wrote the original draft and reviewed and edited it together. All authors have read and agreed to the published version of the manuscript.

Funding

Major project funding for the social science research base in Fujian province social science planning (FJ2022JDZ037); Project funding for Fujian Agriculture and Forestry University budget performance management research base (KZK19M01A; SKXJ2207A); Project funding for Fujian Provincial University Humanities and Social Sciences Research Base-Rural Tourism Research Center (KXJD1819A; KCXUG010S).

Institutional Review Board Statement

Not applicable.

Informed Consent Statement

Not applicable.

Data Availability Statement

The raw data supporting the conclusions of this article will be made available by the authors on request.

Conflicts of Interest

The authors declare no conflict of interest.

References

  1. Hong, H.; Wang, N.; Yang, J. Welfare consequences of sustainable finance. Rev. Financ. Stud. 2023, 36, 4864–4918. [Google Scholar] [CrossRef]
  2. Lee, C.-C.; Lee, C.-C. How does green finance affect green total factor productivity? Evidence from China. Energy Econ. 2022, 107, 105863. [Google Scholar] [CrossRef]
  3. Zhang, Y.-J.; Liu, J.-Y. Overview of research on carbon information disclosure. Front. Eng. Manag. 2020, 7, 47–62. [Google Scholar] [CrossRef]
  4. Li, Z.; Liao, G.; Wang, Z.; Huang, Z. Green loan and subsidy for promoting clean production innovation. J. Clean. Prod. 2018, 187, 421–431. [Google Scholar] [CrossRef]
  5. Hong, M.; Li, Z.; Drakeford, B. Do the green credit guidelines affect corporate green technology innovation? Empirical research from China. Int. J. Environ. Res. Public Health 2021, 18, 1682. [Google Scholar] [CrossRef] [PubMed]
  6. Fang, X.; Liu, M.; Li, G. Can the green credit policy promote green innovation in enterprises? Empirical evidence from China. Technol. Econ. Dev. Econ. 2024, 30, 899–932. [Google Scholar] [CrossRef]
  7. Xu, B.; Lin, B. How does green credit effectively promote green technology innovation? Int. Rev. Financ. Anal. 2025, 102, 104089. [Google Scholar] [CrossRef]
  8. Liu, X.; Wang, E.; Cai, D. Green credit policy, property rights and debt financing: Quasi-natural experimental evidence from China. Financ. Res. Lett. 2019, 29, 129–135. [Google Scholar] [CrossRef]
  9. Cai, H.; Wang, X.; Tan, C. Green credit policy, incremental bank loans and environmental protection effect. Acc. Res 2019, 3, 88–95. [Google Scholar]
  10. Xu, X.; Li, J. Asymmetric impacts of the policy and development of green credit on the debt financing cost and maturity of different types of enterprises in China. J. Clean. Prod. 2020, 264, 121574. [Google Scholar] [CrossRef]
  11. Wang, C.; Wang, L. Green credit and industrial green total factor productivity: The impact mechanism and threshold effect tests. J. Environ. Manag. 2023, 331, 117266. [Google Scholar] [CrossRef]
  12. Li, B.; Zhang, J.; Shen, Y.; Du, Q. Can green credit policy promote green total factor productivity? Evidence from China. Environ. Sci. Pollut. Res. 2023, 30, 6891–6905. [Google Scholar] [CrossRef]
  13. Li, G.; Jia, X.; Khan, A.A.; Khan, S.U.; Ali, M.A.S.; Luo, J. Does green finance promote agricultural green total factor productivity? Considering green credit, green investment, green securities, and carbon finance in China. Environ. Sci. Pollut. Res. 2023, 30, 36663–36679. [Google Scholar] [CrossRef]
  14. Freedman, M.; Jaggi, B. Global warming, commitment to the Kyoto protocol, and accounting disclosures by the largest global public firms from polluting industries. Int. J. Account. 2005, 40, 215–232. [Google Scholar] [CrossRef]
  15. Rankin, M.; Windsor, C.; Wahyuni, D. An investigation of voluntary corporate greenhouse gas emissions reporting in a market governance system: Australian evidence. Account. Audit. Account. J. 2011, 24, 1037–1070. [Google Scholar] [CrossRef]
  16. Cotter, J.; Najah, M.M. Institutional investor influence on global climate change disclosure practices. Aust. J. Manag. 2012, 37, 169–187. [Google Scholar] [CrossRef]
  17. Luo, L.; Lan, Y.C.; Tang, Q. Corporate incentives to disclose carbon information: Evidence from the CDP Global 500 report. J. Int. Financ. Manag. Account. 2012, 23, 93–120. [Google Scholar] [CrossRef]
  18. Amran, A.; Periasamy, V.; Zulkafli, A.H. Determinants of climate change disclosure by developed and emerging countries in Asia Pacific. Sustain. Dev. 2014, 22, 188–204. [Google Scholar] [CrossRef]
  19. Liao, L.; Luo, L.; Tang, Q. Gender diversity, board independence, environmental committee and greenhouse gas disclosure. Br. Account. Rev. 2015, 47, 409–424. [Google Scholar] [CrossRef]
  20. Jaggi, B.; Allini, A.; Macchioni, R.; Zagaria, C. The factors motivating voluntary disclosure of carbon information: Evidence based on Italian listed companies. Organ. Environ. 2018, 31, 178–202. [Google Scholar] [CrossRef]
  21. He, P.; Shen, H.; Zhang, Y.; Ren, J. External pressure, corporate governance, and voluntary carbon disclosure: Evidence from China. Sustainability 2019, 11, 2901. [Google Scholar] [CrossRef]
  22. Prado-Lorenzo, J.M.; Rodríguez-Domínguez, L.; Gallego-Álvarez, I.; García-Sánchez, I.M. Factors influencing the disclosure of greenhouse gas emissions in companies world-wide. Manag. Decis. 2009, 47, 1133–1157. [Google Scholar] [CrossRef]
  23. Faisal, F.; Andiningtyas, E.D.; Achmad, T.; Haryanto, H.; Meiranto, W. The content and determinants of greenhouse gas emission disclosure: Evidence from Indonesian companies. Corp. Soc. Responsib. Environ. Manag. 2018, 25, 1397–1406. [Google Scholar] [CrossRef]
  24. Luo, L.; Tang, Q. Does voluntary carbon disclosure reflect underlying carbon performance? J. Contemp. Account. Econ. 2014, 10, 191–205. [Google Scholar] [CrossRef]
  25. Guenther, E.; Guenther, T.; Schiemann, F.; Weber, G. Stakeholder relevance for reporting: Explanatory factors of carbon disclosure. Bus. Soc. 2016, 55, 361–397. [Google Scholar] [CrossRef]
  26. Qian, W.; Schaltegger, S. Revisiting carbon disclosure and performance: Legitimacy and management views. Br. Account. Rev. 2017, 49, 365–379. [Google Scholar] [CrossRef]
  27. He, R.; Cheng, Y.; Zhou, M.; Liu, J.; Yang, Q. Government regulation, executive overconfidence, and carbon information disclosure: Evidence from China. Front. Psychol. 2021, 12, 787201. [Google Scholar] [CrossRef]
  28. Li, L.; Liu, Q.; Tang, D.; Xiong, J. Media reporting, carbon information disclosure, and the cost of equity financing: Evidence from China. Environ. Sci. Pollut. Res. 2017, 24, 9447–9459. [Google Scholar] [CrossRef]
  29. Li, D.; Huang, M.; Ren, S.; Chen, X.; Ning, L. Environmental legitimacy, green innovation, and corporate carbon disclosure: Evidence from CDP China 100. J. Bus. Ethics 2018, 150, 1089–1104. [Google Scholar] [CrossRef]
  30. Cohen, S.; Kadach, I.; Ormazabal, G. Institutional investors, climate disclosure, and carbon emissions. J. Account. Econ. 2023, 76, 101640. [Google Scholar] [CrossRef]
  31. Kolk, A.; Levy, D.; Pinkse, J. Corporate responses in an emerging climate regime: The institutionalization and commensuration of carbon disclosure. Eur. Account. Rev. 2008, 17, 719–745. [Google Scholar] [CrossRef]
  32. Dragomir, V.D. The disclosure of industrial greenhouse gas emissions: A critical assessment of corporate sustainability reports. J. Clean. Prod. 2012, 29, 222–237. [Google Scholar] [CrossRef]
  33. Stanny, E. Voluntary disclosures of emissions by US firms. Bus. Strategy Environ. 2013, 22, 145–158. [Google Scholar] [CrossRef]
  34. Peng, J.; Sun, J.; Luo, R. Corporate voluntary carbon information disclosure: Evidence from China’s listed companies. World Econ. 2015, 38, 91–109. [Google Scholar] [CrossRef]
  35. Zhang, D.; Mohsin, M.; Rasheed, A.K.; Chang, Y.; Taghizadeh-Hesary, F. Public spending and green economic growth in BRI region: Mediating role of green finance. Energy Policy 2021, 153, 112256. [Google Scholar] [CrossRef]
  36. Wang, X.; Wang, Y. The impact of environmental governance policy on green innovation: Evidence from China’s quasi-natural experiment. J. Financ. Res. 2021, 10, 134–152. [Google Scholar]
  37. He, L.; Zhang, L.; Zhong, Z.; Wang, D.; Wang, F. Green credit, renewable energy investment and green economy development: Empirical analysis based on 150 listed companies of China. J. Clean. Prod. 2019, 208, 363–372. [Google Scholar] [CrossRef]
  38. Li, L.; Qiu, L.; Xu, F.; Zheng, X. The impact of green credit on firms’ green investment efficiency: Evidence from China. Pac. Basin Financ. J. 2023, 79, 101995. [Google Scholar] [CrossRef]
  39. Liu, Y.; Yang, C.; Zhou, S.; Zhang, Y. Research on the impact of green credit policy on environmental information disclosure. Stat. Res. 2022, 39, 73–87. [Google Scholar]
  40. Geng, L.; Yin, W.; Wu, X.; Lu, X.; Zhang, C. How green credit affects corporate environmental information disclosure: Evidence from new energy listed companies in China. Front. Ecol. Evol. 2023, 11, 1301589. [Google Scholar] [CrossRef]
  41. Thompson, P.; Cowton, C.J. Bringing the environment into bank lending: Implications for environmental reporting. Br. Account. Rev. 2004, 36, 197–218. [Google Scholar] [CrossRef]
  42. Zhang, B.; Yang, Y.; Bi, J. Tracking the implementation of green credit policy in China: Top-down perspective and bottom-up reform. J. Environ. Manag. 2011, 92, 1321–1327. [Google Scholar] [CrossRef]
  43. Yao, S.; Pan, Y.; Sensoy, A.; Uddin, G.S.; Cheng, F. Green credit policy and firm performance: What we learn from China. Energy Econ. 2021, 101, 105415. [Google Scholar] [CrossRef]
  44. Zhang, S.; Wu, Z.; Wang, Y.; Hao, Y. Fostering green development with green finance: An empirical study on the environmental effect of green credit policy in China. J. Environ. Manag. 2021, 296, 113159. [Google Scholar] [CrossRef]
  45. Xing, C.; Zhang, Y.; Tripe, D. Green credit policy and corporate access to bank loans in China: The role of environmental disclosure and green innovation. Int. Rev. Financ. Anal. 2021, 77, 101838. [Google Scholar] [CrossRef]
  46. Chen, Z.; Zhang, Y.; Wang, H.; Ouyang, X.; Xie, Y. Can green credit policy promote low-carbon technology innovation? J. Clean. Prod. 2022, 359, 132061. [Google Scholar] [CrossRef]
  47. Sharfman, M.P.; Fernando, C.S. Environmental risk management and the cost of capital. Strateg. Manag. J. 2008, 29, 569–592. [Google Scholar] [CrossRef]
  48. Bharath, S.T.; Sunder, J.; Sunder, S.V. Accounting quality and debt contracting. Account. Rev. 2008, 83, 1–28. [Google Scholar] [CrossRef]
  49. John, K.; Reisz, A.S. Temporal resolution of uncertainty, disclosure policy, and corporate debt yields. J. Corp. Financ. 2010, 16, 655–678. [Google Scholar] [CrossRef]
  50. Donghua, Z.; Hua, Z. Do Green Bonds Attract Investor Preference? From the Perspective of Credit Spreads. Foreign Econ. Manag. 2023, 45, 19–34. [Google Scholar]
  51. Ding, X.; Qu, Y.; Shahzad, M. The impact of environmental administrative penalties on the disclosure of environmental information. Sustainability 2019, 11, 5820. [Google Scholar] [CrossRef]
  52. Sengupta, P. Corporate disclosure quality and the cost of debt. Account. Rev. 1998, 73, 459–474. [Google Scholar]
  53. He, Y.; Tang, Q.; Wang, K. Carbon performance versus financial performance. China J. Account. Stud. 2016, 4, 357–378. [Google Scholar] [CrossRef]
  54. Connelly, B.; Certo, S.; Ireland, R.; Reutzel, C. Signaling theory: A review and assessment. J. Manag. 2010, 37, 39–67. [Google Scholar] [CrossRef]
  55. Li, S.; Zhao, Y.; Tong, J. Can corporate social responsibility report reduce cost of equity capital? Evidence from Chinese stock market. Account. Res. 2013, 9, 64–70. [Google Scholar]
  56. Ben-Amar, W.; Chang, M.; McIlkenny, P. Board gender diversity and corporate response to sustainability initiatives: Evidence from the carbon disclosure project. J. Bus. Ethics 2017, 142, 369–383. [Google Scholar] [CrossRef]
  57. Jiang, G.; Lu, J.; Li, W. Do green investors play a role? Empirical research on firms’ participation in green governance. J. Financ. Res. 2021, 5, 117–134. [Google Scholar]
  58. Cheng, H.; Cao, A.; Hong, C.; Liu, D.; Wang, M. Can green investors improve the quality of corporate environmental information disclosure? Int. Rev. Econ. Financ. 2025, 98, 103901. [Google Scholar] [CrossRef]
  59. Dyck, A.; Lins, K.V.; Roth, L.; Wagner, H.F. Do institutional investors drive corporate social responsibility? International evidence. J. Financ. Econ. 2019, 131, 693–714. [Google Scholar] [CrossRef]
  60. Suchman, M.C. Managing legitimacy: Strategic and institutional approaches. Acad. Manag. Rev. 1995, 20, 571–610. [Google Scholar] [CrossRef]
  61. Gray, R.; Kouhy, R.; Lavers, S. Corporate social and environmental reporting: A review of the literature and a longitudinal study of UK disclosure. Account. Audit. Account. J. 1995, 8, 47–77. [Google Scholar] [CrossRef]
  62. Cho, C.H.; Patten, D.M. The role of environmental disclosures as tools of legitimacy: A research note. Account. Organ. Soc. 2007, 32, 639–647. [Google Scholar] [CrossRef]
  63. Verrecchia, R.E. Essays on disclosure. J. Account. Econ. 2001, 32, 97–180. [Google Scholar] [CrossRef]
  64. Zhao, S.; Wu, Q.; Zhou, X. Impact of green credit on financing constraints of energy-consuming firms. Financ. Res. Lett. 2025, 74, 106801. [Google Scholar] [CrossRef]
  65. Sun, X.; Che, T.; Ma, X. Catering behavior of firms’ carbon information disclosure: Identification, premium loss and mechanisms. China Ind. Econ. 2023, 1, 132–150. [Google Scholar]
  66. Garriga, E.; Melé, D. Corporate social responsibility theories: Mapping the territory. J. Bus. Ethics 2004, 53, 51–71. [Google Scholar] [CrossRef]
  67. Su, C.-W.; Umar, M.; Gao, R. Save the environment, get financing! How China is protecting the environment with green credit policies? J. Environ. Manag. 2022, 323, 116178. [Google Scholar] [CrossRef]
  68. Liu, H. Sustainable development of Dayong denim garment industry cluster from the perspective of environmental social responsibility. Wool Text. J. 2019, 47, 95–100. [Google Scholar]
  69. Bowen, H.R. Social Responsibilities of the Businessman; University of Iowa Press: Iowa City, IA, USA, 2013. [Google Scholar]
  70. Sun, C.; Zeng, Y. Does the green credit policy affect the carbon emissions of heavily polluting enterprises? Energy Policy 2023, 180, 113679. [Google Scholar] [CrossRef]
  71. Yi, X.; Bai, C.; Lyu, S.; Dai, L. The impacts of the COVID-19 pandemic on China’s green bond market. Financ. Res. Lett. 2021, 42, 101948. [Google Scholar] [CrossRef]
  72. Li, L.; Liu, Q. The Impact of News and Government Supervising on Enterprise Carbon Information Disclosure. J. Guizhou Univ. Financ. Econ. 2016, 34, 30. [Google Scholar]
  73. Tan, X. Industry competition, ownership and disclose of corporate society responsibility information: Based on signaling theory. Ind. Econ. Res. 2017, 3, 15–28. [Google Scholar]
  74. Clayton, M.J. Debt, investment, and product market competition: A note on the limited liability effect. J. Bank. Financ. 2009, 33, 694–700. [Google Scholar] [CrossRef]
  75. Yi, Z.; Jiang, F.; Qin, Y. The market competition in products, the corporate governance and the quality of information disclosure. Manag. World 2010, 1, 133–141. [Google Scholar]
  76. Bates, T.W.; Kahle, K.M.; Stulz, R.M. Why do US firms hold so much more cash than they used to? J. Financ. 2009, 64, 1985–2021. [Google Scholar] [CrossRef]
  77. Hoberg, G.; Phillips, G.; Prabhala, N. Product market threats, payouts, and financial flexibility. J. Financ. 2014, 69, 293–324. [Google Scholar] [CrossRef]
  78. Porter, M.E.; Linde, C.V.D. Toward a new conception of the environment-competitiveness relationship. J. Econ. Perspect. 1995, 9, 97–118. [Google Scholar] [CrossRef]
  79. Brammer, S.; Pavelin, S. Building a good reputation. Eur. Manag. J. 2004, 22, 704–713. [Google Scholar] [CrossRef]
  80. Jones, T.M. Instrumental stakeholder theory: A synthesis of ethics and economics. Acad. Manag. Rev. 1995, 20, 404–437. [Google Scholar] [CrossRef]
  81. Pan, A.-L.; Liu, X.; Qiu, J.-L.; Shen, Y. Can green M&A of heavy polluting enterprises achieve substantial transformation under the pressure of media. China Ind. Econ. 2019, 2, 174–192. [Google Scholar]
  82. Lu, J.; Yan, Y.; Wang, T. The microeconomic effects of green credit policy—From the perspective of technological innovation and resource reallocation. China Ind. Econ. 2021, 1, 174–192. [Google Scholar]
  83. Wang, H.; Lin, W.; Xie, R. Environmental backgrounds of executives and green investor entry. J. Quant. Technol. Econ. 2022, 39, 173–194. [Google Scholar]
  84. Jiang, T. Mediating effects and moderating effects in causal inference. China Ind. Econ. 2022, 5, 100–120. [Google Scholar]
  85. Yu, L.; Zhang, W.; Bi, Q. Can the reform of environmental protection fee-to-tax promote the green transformation of high-polluting enterprises?—Evidence from quasi-natural experiments implemented in accordance with the environmental protection tax law. China Popul. Resour. Environ. 2021, 31, 109–118. [Google Scholar]
  86. Wen, Z.; Ye, B. Analyses of mediating effects: The development of methods and models. Adv. Psychol. Sci. 2014, 22, 731. [Google Scholar] [CrossRef]
  87. Tyteca, D. On the measurement of the environmental performance of firms—A literature review and a productive efficiency perspective. J. Environ. Manag. 1996, 46, 281–308. [Google Scholar] [CrossRef]
  88. Hrouga, M.; Michel, S. Towards a new supply chain manager dashboard under circular economy constraints: A case study on France textile and clothing industry. Bus. Strategy Environ. 2023, 32, 6074–6093. [Google Scholar] [CrossRef]
  89. Zor, S. A neural network-based measurement of corporate environmental attention and its impact on green open innovation: Evidence from heavily polluting listed companies in China. J. Clean. Prod. 2023, 432, 139815. [Google Scholar] [CrossRef]
  90. Whited, T.M.; Wu, G. Financial constraints risk. Rev. Financ. Stud. 2006, 19, 531–559. [Google Scholar] [CrossRef]
Figure 1. Research framework.
Figure 1. Research framework.
Sustainability 17 09256 g001
Figure 2. Heatmap of average score rates for disclosure items.
Figure 2. Heatmap of average score rates for disclosure items.
Sustainability 17 09256 g002
Figure 3. Parallel trend test.
Figure 3. Parallel trend test.
Sustainability 17 09256 g003
Figure 4. Placebo test.
Figure 4. Placebo test.
Sustainability 17 09256 g004
Table 1. Research questions and hypotheses.
Table 1. Research questions and hypotheses.
Research QuestionsCorresponding Hypotheses
RQ1: Does green credit policy influence corporate carbon information disclosure?H1: Green credit policies can significantly enhance corporate carbon information disclosure.
RQ2: Is the signal transmission pathway a mechanism through which green credit policy affects corporate carbon information disclosure?H2: Green credit policies increase the holdings of green investors through the signal transmission effect, thereby promoting carbon information disclosure.
RQ3: Is the external pressure pathway a mechanism through which green credit policy affects corporate carbon information disclosure?H3: Green credit policies strengthen environmental legitimacy pressure on companies through the external pressure effect, thereby promoting their disclosure of carbon information.
RQ4: Is the environmental ethics pathway a mechanism through which green credit policy affects corporate carbon disclosure? H4: Green credit policies enhance corporate environmental attention through the environmental ethics effect, thereby increasing the voluntary disclosure of carbon information.
RQ5: Does market competition affect the implementation effectiveness of green credit policy?H5: In the process of green credit policy affecting corporate carbon information disclosure, market competition plays a positive moderating role.
Table 2. Carbon information disclosure scoring system.
Table 2. Carbon information disclosure scoring system.
Disclosure CategoryDisclosure ItemScoring Criteria
GovernanceBoard oversightScores 1 if the company discloses environmental philosophy, policies, management structure, circular economy development model, or green transition initiatives; otherwise 0.
Management responsibilitiesScores 0 if no information on climate change management at executive level; scores 1 if disclosed.
Employee engagementScores 1 for disclosing mechanisms promoting employee participation in carbon reduction (e.g., training); scores 1 for disclosing participation in environmental initiatives; Max 2 points
Risk and opportunityRisk management systemScores 1 if the company discloses systems for identifying, assessing, and managing climate-related risks and opportunities; otherwise 0.
Risk identification and assessmentScores 0 if climate-related risks affecting financials or business are not disclosed; scores 1 if disclosed.
Opportunity identification and management Scores 0 if climate-related opportunities affecting financials or business are not disclosed; scores 1 if disclosed.
StrategyLow-carbon transition strategyScores 0 if no low-carbon transition strategy; scores 1 if mentioned.
TargetsCarbon reduction targetsScores 0 if no target; 2 points for qualitative disclosure; 4 points for quantitative targets.
Other climate targetsScores 0 if no other climate targets disclosed; 2 points if disclosed.
Emission reduction actionsScores 0 if no actions; 2 points for qualitative disclosure; 4 points for quantitative actions.
Business transition progressScores 0 if no classification of low-carbon products or services; 2 points for qualitative disclosure; 4 points for quantitative disclosure.
EmissionsScope 1 GHG emissionsScores 0 if not reported; 2 points for qualitative disclosure; 4 points for quantitative disclosure.
Scope 2 GHG emissionsScores 0 if not reported; 2 points for qualitative disclosure; 4 points for quantitative disclosure.
Scope 3 GHG emissionsScores 0 if not reported; 2 points for qualitative disclosure; 4 points for quantitative disclosure.
Carbon emission intensityScores 0 if no metric disclosed; 2 points for qualitative disclosure; 4 points for quantitative disclosure.
BreakdownEmission change (Scope 1 + 2)Scores 0 if no disclosure; 2 points for qualitative change; 4 points for quantitative change.
Scope 1 emission breakdownScores 2 points if disaggregated by gas type, geography, or business unit; otherwise 0.
Scope 2 emission breakdownScores 2 points if disaggregated by gas type, geography, or business unit; otherwise 0.
Value chain and supply chainValue chain engagementScores 1 if discloses engagement with value chain partners (e.g., collecting climate data from suppliers and customers); otherwise 0.
Supplier and customer managementScores 1 if discloses management of climate risk behavior of relevant entities in the supply chain, including whether suppliers’ compliance with climate-related requirements is part of the purchasing process; otherwise, 0.
OtherOther climate metricsScores 1 if discloses any other climate-related indicators relevant to the business; otherwise 0.
VerifiabilityScores 1 if emissions data is third-party verified (e.g., ISO 14001 or carbon assurance); otherwise 0.
Table 3. Descriptions of variables.
Table 3. Descriptions of variables.
Types of VariablesVariable NameVariable Description
Dependent variableCIDTotal score for carbon information disclosure index
Explanatory variableDIDThe interaction term between the policy dummy variable Time and the group dummy variable Treat
Control variables SizeNatural logarithm of annual total assets
LevTotal liabilities at year-end divided by total assets at year-end
ROANet profit divided by the average total assets balance
GrowthCurrent year operating revenue divided by previous year operating revenue minus 1
BoardNatural logarithm of the number of board members
IndepNumber of independent directors divided by the total number of directors
DualIf the chairman and the CEO are the same person, the value is 1; otherwise, the value is 0
Top1Number of shares held by the largest shareholder divided by the total number of shares
ListAgeThe natural logarithm of (current year minus listing year plus 1)
Table 4. Descriptive statistics.
Table 4. Descriptive statistics.
VariableNMeanMinMedianMaxS.D.
CID34,52111.5670.0009.00045.0009.317
Treat34,5210.2160.0000.0001.0000.411
Time34,5210.8840.0001.0001.0000.320
Size34,52122.25819.75522.04726.5351.290
Lev34,5210.4090.0330.4050.8870.195
ROA34,5210.043−0.3080.0410.2560.061
Growth34,5210.149−0.6570.1023.2240.334
Board34,5218.5185.0009.00015.0001.679
Indep34,5210.3760.2500.3640.6000.054
Dual34,5210.2910.0000.0001.0000.454
Top134,5210.3410.0780.3190.7580.148
ListAge34,5212.0600.6932.0793.4340.771
Table 5. Benchmark regression results.
Table 5. Benchmark regression results.
(1)(2)(3)
VariableCIDCIDCID
DID5.213 ***4.219 ***1.757 ***
(41.36)(36.74)(6.02)
Size 3.630 ***2.604 ***
(77.83)(16.10)
Lev −3.162 ***−1.964 ***
(−10.79)(−3.59)
ROA −3.305 ***4.136 ***
(−3.90)(4.46)
Growth −1.223 ***−0.455 ***
(−8.63)(−4.34)
Board −0.342 ***−0.050
(−10.51)(−0.81)
Indep −2.528 ***1.049
(−2.60)(0.69)
Dual 0.374 ***−0.175
(3.66)(−1.15)
Top1 −2.611 ***2.853 ***
(−8.37)(2.84)
ListAge −1.018 ***−1.326 ***
(−14.89)(−5.94)
_cons10.602 ***−61.641 ***−44.259 ***
(195.51)(−64.05)(−12.05)
IdNONOYES
YearNONOYES
N34,52134,52134,102
R20.0470.2210.733
Note: The standard errors are in parentheses. *** represents significance at the 1% level.
Table 6. Robustness test results.
Table 6. Robustness test results.
(1)(2)(3)(4)
VariableCIDCIDCIDCID
DID1.480 ***0.853 ***1.207 ***
(3.94)(3.11)(3.22)
Treat ×Time ×Credit 1.537 ***
(2.80)
DID_Robust 1.214 ***
(1.98)
_cons−37.085 ***−14.485 **−44.273 ***−42.919 ***
(−7.22)(−2.13)(−15.97)(−19.36)
ControlsYESYESYESYES
YearYESYESYESYES
IdYESYESYESYES
N11,334720323,51934,102
R20.7630.7750.7450.733
Note: The standard errors are in parentheses. *** and ** represent significance at the 1% and 5% levels.
Table 7. Test results following the signal transmission effect.
Table 7. Test results following the signal transmission effect.
(1)(2)
VariableGIHGIM
DID0.061 ***0.064 ***
(2.67)(2.80)
_cons0.1250.632 ***
(0.54)(2.63)
ControlsYESYES
YearYESYES
IdYESYES
N32,48832,488
R20.3080.307
F23.9924.07
Note: The standard errors are in parentheses. *** represents significance at the 1% level.
Table 8. Test results following the external pressure effect.
Table 8. Test results following the external pressure effect.
(1)(2)(3)(4)(5)(6)
VariableEI1CIDEI2CIDEI3CID
DID1.387 ***1.526 ***0.072 ***1.623 ***0.111 ***1.640 ***
(8.13)(5.37)(9.48)(5.61)(8.99)(5.65)
EI1 0.167 ***
(15.53)
EI2 1.866 ***
(7.52)
EI3 1.058 ***
(7.85)
_cons−1.213−44.057 ***0.126 *−44.494 ***0.097−44.362 ***
(−0.73)(−12.16)(1.93)(−12.14)(0.94)(−12.10)
ControlsYESYESYESYESYESYES
YearYESYESYESYESYESYES
IdYESYESYESYESYESYES
N34,10234,10234,10234,10234,10234,102
R20.3070.7370.2980.7340.2870.734
F12.1857.4411.5839.9310.6740.84
Note: The standard errors are in parentheses. *** and * represent significance at the 1% and 10% levels.
Table 9. Test results following the environmental ethics effect.
Table 9. Test results following the environmental ethics effect.
(1)(2)
VariableCEACID
DID0.044 ***1.636 ***
(4.92)(5.37)
CEA 1.987 ***
(6.67)
_cons−0.059−44.229 ***
(−0.54)(−12.09)
ControlsYESYES
YearYESYES
IdYESYES
N34,04834,048
R20.7780.734
F7.37140.24
Note: The standard errors are in parentheses. *** represents significance at the 1% level.
Table 10. Bootstrap test results.
Table 10. Bootstrap test results.
Effect TypeSignal Transmission PathwayExternal Pressure PathwayEnvironmental Ethics Pathway
Direct effect1.7201.5261.636
Indirect effect0.0060.2310.087
Proportion of mediating effect0.35%13.15%5.05%
Table 11. Market competition test results.
Table 11. Market competition test results.
(1)(2)
VariableCIDCID
C_DID1.773 ***1.768 ***
(6.04)(6.01)
C_HHI1−3.130 ***
(−2.85)
C_HHI1 × C_DID−4.343 *
(−1.76)
C_HHI2 −2.484 **
(−2.29)
C_HHI2 × C_DID −9.367 ***
(−2.89)
_cons−44.040 ***−44.217 ***
(−12.04)(−12.08)
ControlsYESYES
YearYESYES
IdYESYES
N34,06734,067
R20.7340.734
Note: The standard errors are in parentheses. ***, **, and * represent significance at the 1%, 5%, and 10% levels.
Table 12. Results of property rights nature heterogeneity.
Table 12. Results of property rights nature heterogeneity.
(1)(2)
VariableState-Owned EnterprisesNon-State-Owned Enterprises
DID1.078 ***2.245 ***
(2.69)(5.39)
_cons−37.040 ***−49.306 ***
(−6.25)(−9.75)
ControlsYESYES
YearYESYES
IdYESYES
N11,27520,020
R20.7390.734
F8.72921.00
Empirical p-value0.004 ***
Note: The standard errors are in parentheses. *** represents significance at the 1% level. The empirical p-value tests the significance of coefficient differences between groups, calculated. Using Fisher’s combined test with 1000 bootstrap samples. The same applies hereafter.
Table 13. Results of financing constraints heterogeneity.
Table 13. Results of financing constraints heterogeneity.
(1)(2)
VariableLow Financing Constraint EnterprisesHigh Financing Constraint Enterprises
DID0.715 *1.769 ***
(1.69)(4.76)
_cons−48.962 ***−24.778 ***
(−7.40)(−4.77)
ControlsYESYES
YearYESYES
IdYESYES
N14,59514,236
R20.7550.743
F10.8610.02
Empirical p-value0.004 ***
Note: The standard errors are in parentheses. *** and * represent significance at the 1% and 10% levels.
Table 14. Results of technological levels heterogeneity.
Table 14. Results of technological levels heterogeneity.
(1)(2)
VariableNon-High-Tech EnterprisesHigh-Tech Enterprises
DID1.975 ***0.976 *
(5.32)(1.94)
_cons−43.932 ***−48.925 ***
(−7.93)(−10.01)
ControlsYESYES
YearYESYES
IdYESYES
N15,04819,026
R20.7410.739
F17.3724.87
Empirical p-value0.005 ***
Note: The standard errors are in parentheses. *** and * represent significance at the 1% and 10% levels.
Table 15. The economic consequences of carbon information disclosure.
Table 15. The economic consequences of carbon information disclosure.
(1)(2)
VariableTobinQAuditFee
CID0.004 ***−0.003 ***
(3.62)(−6.39)
_cons12.169 ***5.956 ***
(21.40)(22.03)
ControlsYESYES
YearYESYES
IdYESYES
N33,71933,616
R20.6650.912
F109.7119.8
Note: The standard errors are in parentheses. *** represents significance at the 1% level.
Disclaimer/Publisher’s Note: The statements, opinions and data contained in all publications are solely those of the individual author(s) and contributor(s) and not of MDPI and/or the editor(s). MDPI and/or the editor(s) disclaim responsibility for any injury to people or property resulting from any ideas, methods, instructions or products referred to in the content.

Share and Cite

MDPI and ACS Style

Chen, X.; Peng, J. How Does the Green Credit Policy Influence Corporate Carbon Information Disclosure?—A Quasi-Natural Experiment Based on the Green Credit Guidelines. Sustainability 2025, 17, 9256. https://doi.org/10.3390/su17209256

AMA Style

Chen X, Peng J. How Does the Green Credit Policy Influence Corporate Carbon Information Disclosure?—A Quasi-Natural Experiment Based on the Green Credit Guidelines. Sustainability. 2025; 17(20):9256. https://doi.org/10.3390/su17209256

Chicago/Turabian Style

Chen, Xiuxiu, and Jing Peng. 2025. "How Does the Green Credit Policy Influence Corporate Carbon Information Disclosure?—A Quasi-Natural Experiment Based on the Green Credit Guidelines" Sustainability 17, no. 20: 9256. https://doi.org/10.3390/su17209256

APA Style

Chen, X., & Peng, J. (2025). How Does the Green Credit Policy Influence Corporate Carbon Information Disclosure?—A Quasi-Natural Experiment Based on the Green Credit Guidelines. Sustainability, 17(20), 9256. https://doi.org/10.3390/su17209256

Note that from the first issue of 2016, this journal uses article numbers instead of page numbers. See further details here.

Article Metrics

Back to TopTop