Vehicle-Integrated Photovoltaic (VIPV) for Sustainable Airports: A Flexible Framework for Performance Assessment
Abstract
1. Introduction
2. Methodology
2.1. General PV Power Model
- A curvature factor () to account for reduced effective capture due to curved vehicle surfaces [23];
- A shading loss factor () representing partial obstruction from nearby objects or the vehicle itself.
2.2. Scenario 1: Generalized Approach
2.3. Scenario 2: Data-Driven Approach
2.4. Environmental and Economic Assessment
- Avoided emissions () were calculated as [16]:
- Levelized Cost of Electricity (LCOE) was used to evaluate economic feasibility [30]
3. Case Studies
3.1. Scenario 1
3.2. Scenario 2
4. Results
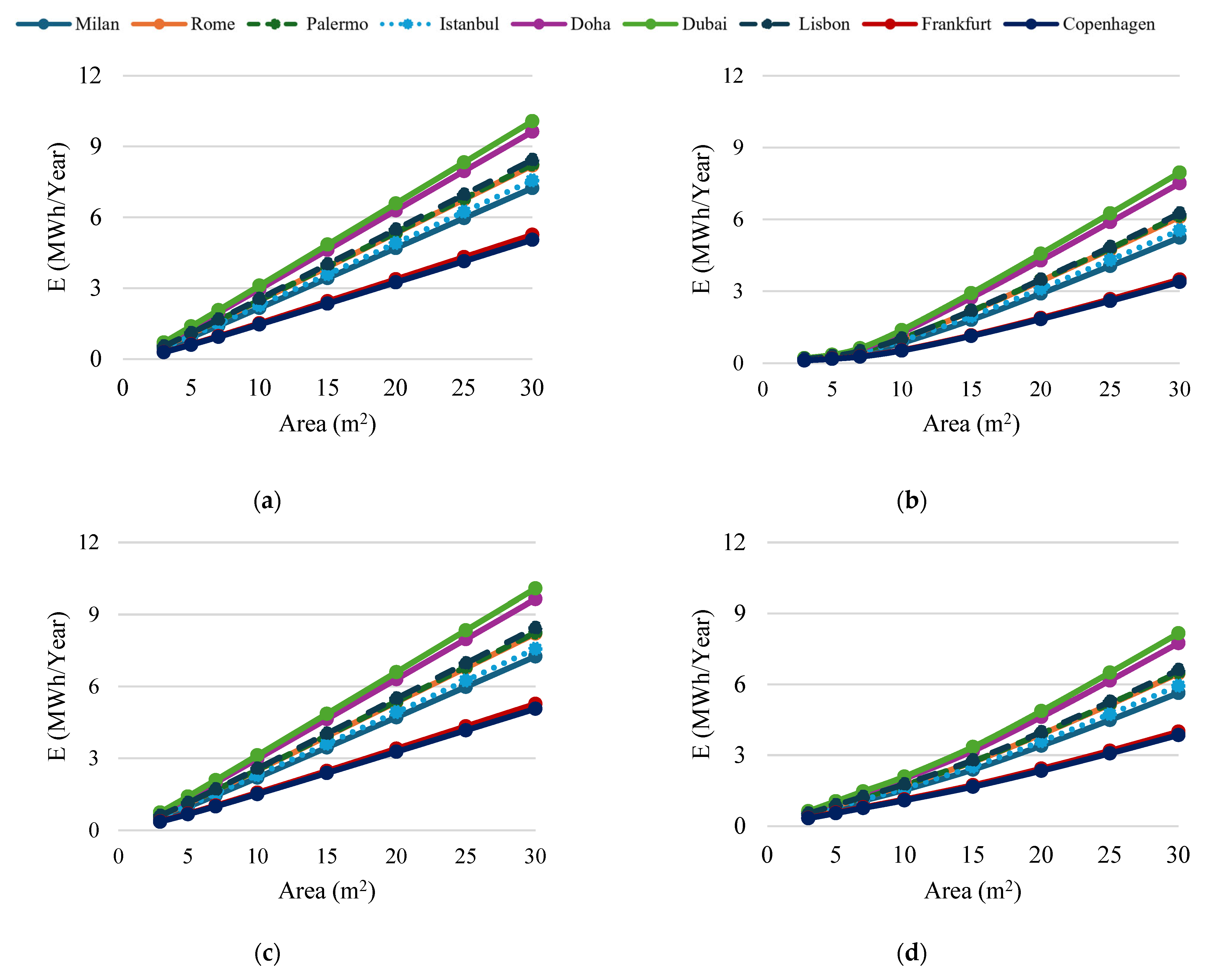
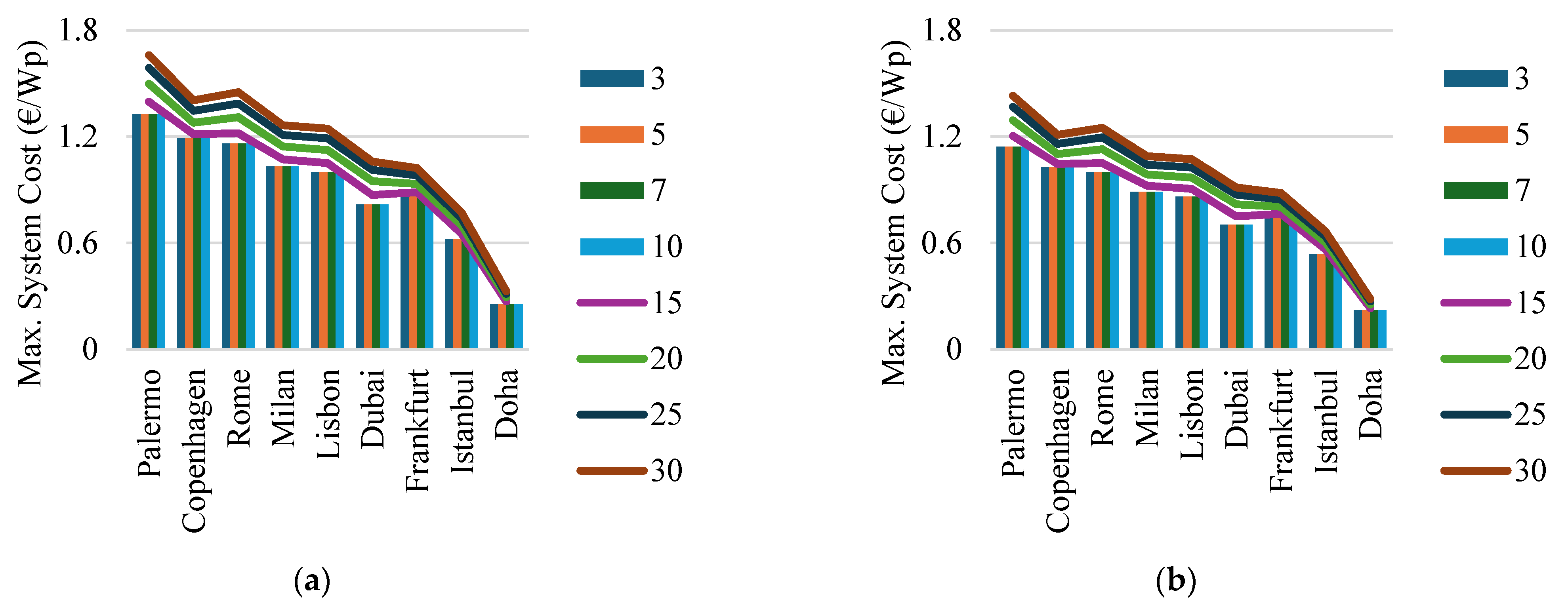
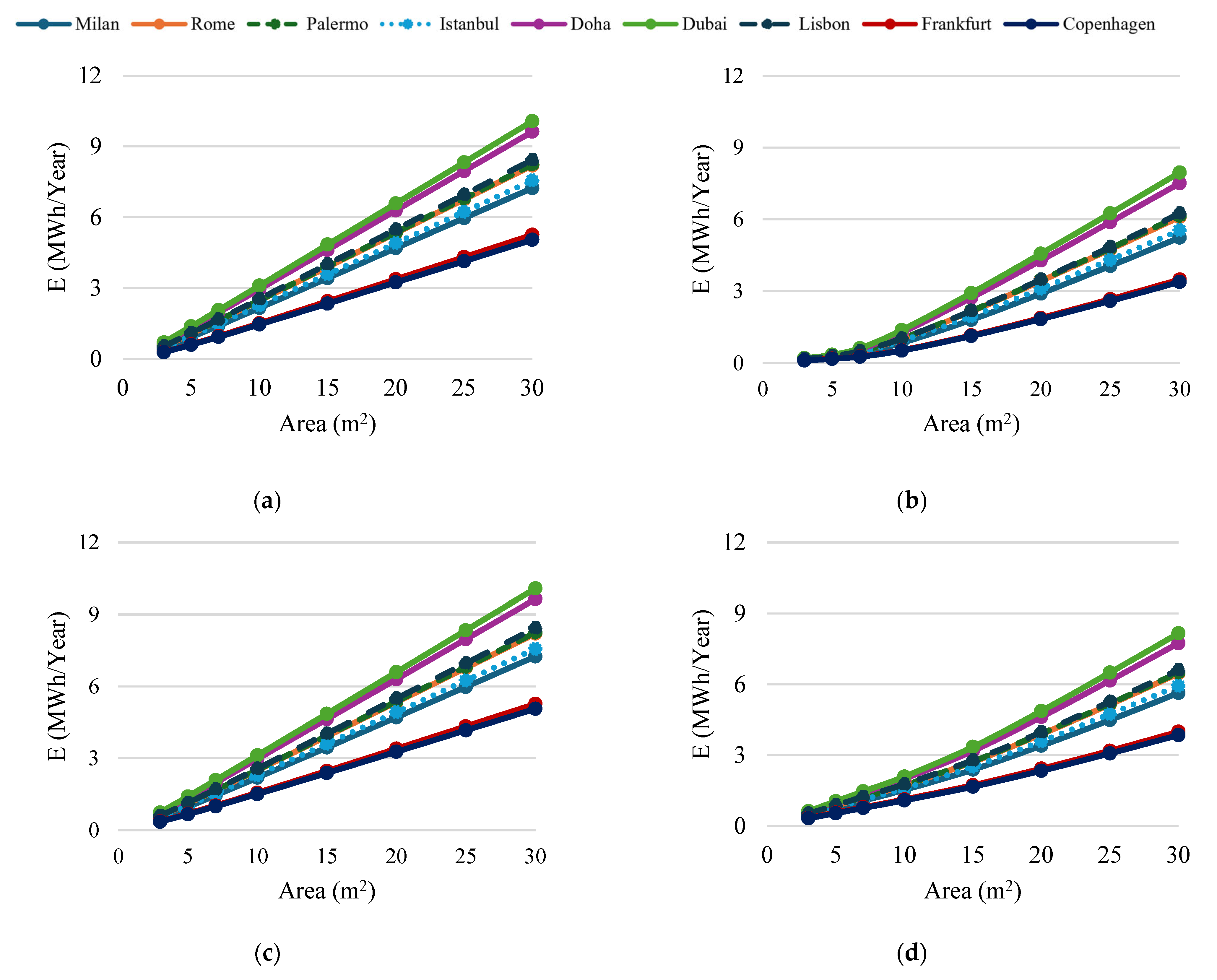
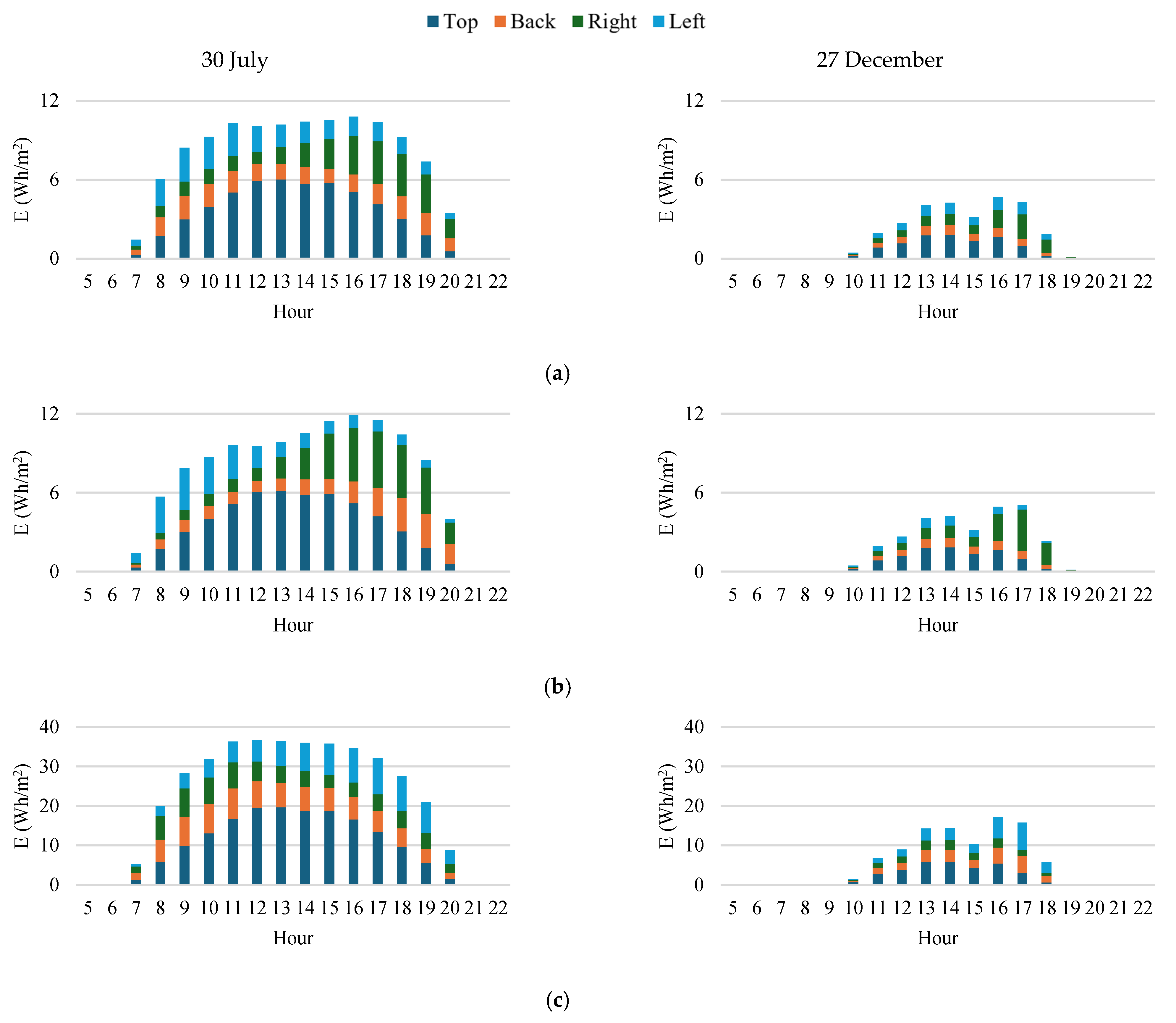
4.1. Scenario 1
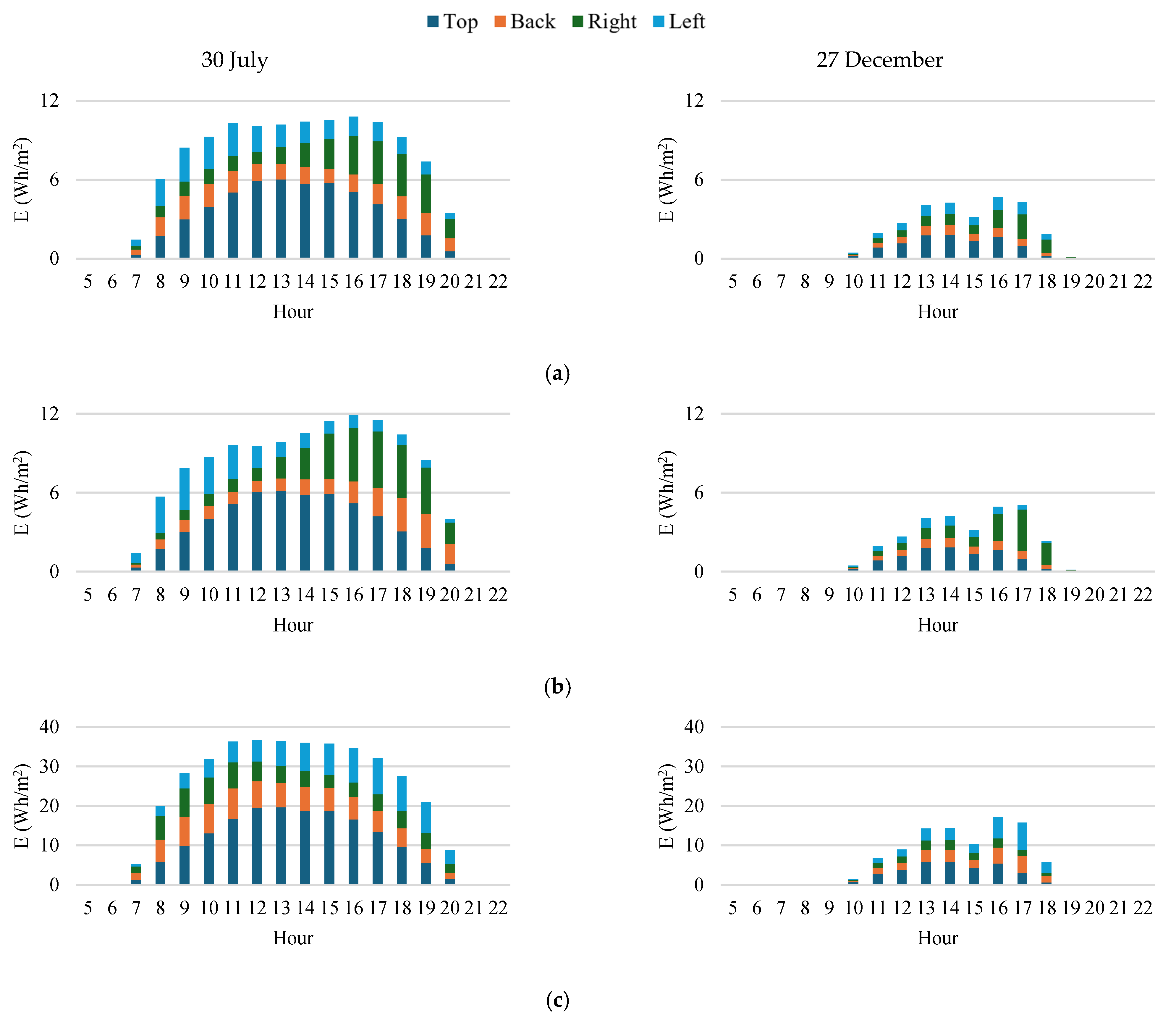
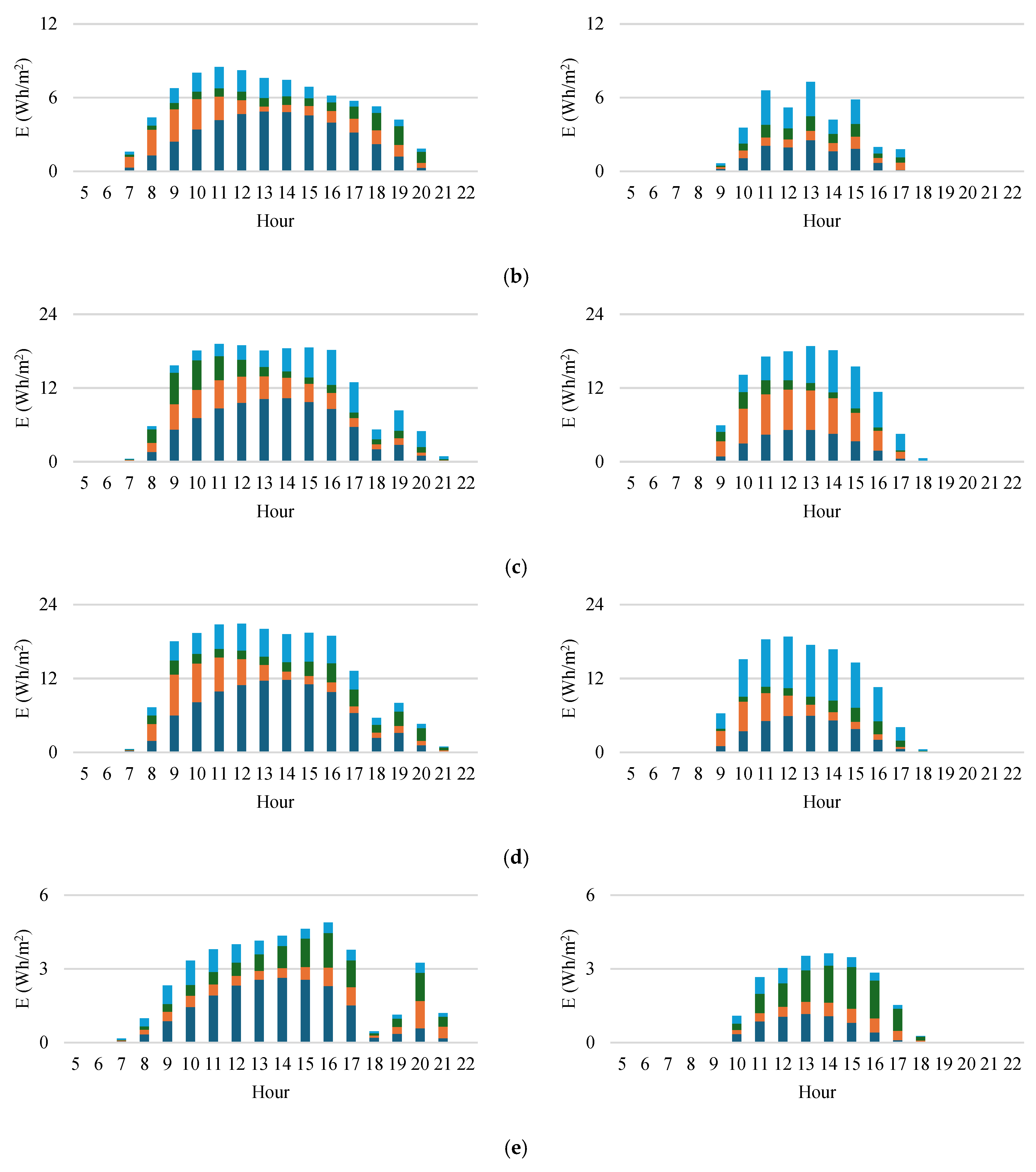
4.2. Scenario 2
5. Conclusions
Author Contributions
Funding
Institutional Review Board Statement
Informed Consent Statement
Data Availability Statement
Acknowledgments
Conflicts of Interest
List of Symbols and Parameters
| Effective PV area () | Power output of the PV system (W) | ||
| Available geometric surface area of the vehicle () | Performance ratio | ||
| Total life cycle cost (€) | Specific photovoltaic power output () | ||
| Curvature factor | Driving-to-standby ratio | ||
| Carbon intensity of the regional grid () | PV module temperature (°C) | ||
| Diffuse horizontal irradiance () | Air temperature (°C) | ||
| Direct normal irradiance () | Reference temperature (°C) | ||
| Energy generation () | Constant heat transfer component () | ||
| Total lifetime energy production () | Convective heat transfer component () | ||
| Circumsolar component | Wind speed () | ||
| Horizon brightness factor | Greek Symbols | ||
| Incident solar irradiance () | PV coverage ratio | ||
| Direct (beam) irradiance () | Surface tilt angle (°) | ||
| Diffuse irradiance () | Overall system efficiency | ||
| Reflected irradiance () | Power converter efficiency | ||
| Global tilted irradiance at the optimum angle () | PV module efficiency | ||
| Standard test condition irradiance () | Shading efficiency | ||
| Height of the vehicle roof () | Solar zenith angle (°) | ||
| Temperature coefficient (%/°C) | Surface azimuth angle (°) | ||
| Standby charging losses (W) | Solar azimuth angle (°) | ||
| Levelized Cost of Electricity () | |||
References
- Parhamfar, M. Towards green airports: Factors influencing greenhouse gas emissions and sustainability through renewable energy. Next Res. 2024, 1, 100060. [Google Scholar] [CrossRef]
- Sreenath, S.; Sudhakar, K.; Yusop, A.F. Airport-based photovoltaic applications. Prog. Photovolt. Res. Appl. 2020, 28, 833–853. [Google Scholar] [CrossRef]
- Ajayi, A.; Luk, P.C.-K.; Lao, L.; Khan, M.F. Energy Forecasting Model for Ground Movement Operation in Green Airport. Energies 2023, 16, 5008. [Google Scholar] [CrossRef]
- Alruwaili, M.; Cipcigan, L. Airport electrified ground support equipment for providing ancillary services to the grid. Electr. Power Syst. Res. 2022, 211, 108242. [Google Scholar] [CrossRef]
- Xiang, Y.; Cai, H.; Liu, J.; Zhang, X. Techno-economic design of energy systems for airport electrification: A hydrogen-solar-storage integrated microgrid solution. Appl. Energy 2021, 283, 116374. [Google Scholar] [CrossRef]
- Samadi, H.; Ala, G.; Brano, V.L.; Romano, P.; Viola, F. Investigation of Effective Factors on Vehicles Integrated Photovoltaic (VIPV) Performance: A Review. World Electr. Veh. J. 2023, 14, 154. [Google Scholar] [CrossRef]
- Samadi, H.; Ala, G.; Brano, V.L.; Romano, P.; Viola, F.; Miceli, R. Potential and Methods of Integrating Solar Cells into Vehicles. In Proceedings of the 2023 International Conference on Clean Electrical Power (ICCEP), Terrasini, Italy, 27–29 June 2023; pp. 715–720. [Google Scholar]
- Yadav, B.K.; Yadav, R.; Jahangiri, M.; Priya, S.S.; Bajracharya, T.R.; Sudhakar, K. Decarbonizing airport using solar and wind farm: A case of Biratnagar, Nepal. e-Prime 2024, 8, 100583. [Google Scholar] [CrossRef]
- Ollas, P.; Sigarchian, S.G.; Alfredsson, H.; Leijon, J.; Döhler, J.S.; Aalhuizen, C.; Thiringer, T.; Thomas, K. Evaluating the role of solar photovoltaic and battery storage in supporting electric aviation and vehicle infrastructure at Visby Airport. Appl. Energy 2023, 352, 121946. [Google Scholar] [CrossRef]
- Araki, K.; Ota, Y.; Nishioka, K. Testing and rating of vehicle-integrated photovoltaics: Scientific background. Sol. Energy Mater. Sol. Cells 2024, 280, 113241. [Google Scholar] [CrossRef]
- Peibst, R.; Fischer, H.; Brunner, M.; Schiessl, A.; Wöhe, S.; Wecker, R.; Haase, F.; Schulte-Huxel, H.; Blankemeyer, S.; Köntges, M.; et al. Demonstration of Feeding Vehicle-Integrated Photovoltaic-Converted Energy into the High-Voltage On-Board Network of Practical Light Commercial Vehicles for Range Extension. Sol. RRL 2021, 6. [Google Scholar] [CrossRef]
- Pochont, N.R.; Sekhar, Y.R.; Brito, M.C.; Rao, V.T. Assessing the scope of vehicle integrated photovoltaics in urban driving conditions—Case study of a Tier-II city in southern India. Sustain. Energy Technol. Assess. 2024, 72, 104040. [Google Scholar] [CrossRef]
- Wetzel, G.; Salomon, L.; Krügener, J.; Bredemeier, D.; Peibst, R. High time resolution measurement of solar irradiance onto driving car body for vehicle integrated photovoltaics. Prog. Photovolt. Res. Appl. 2021, 30, 543–551. [Google Scholar] [CrossRef]
- Araki, K.; Ota, Y.; Nagaoka, A.; Nishioka, K. 3D Solar Irradiance Model for Non-Uniform Shading Environments Using Shading (Aperture) Matrix Enhanced by Local Coordinate System. Energies 2023, 16, 4414. [Google Scholar] [CrossRef]
- Kutter, C.; Alanis, L.E.; Neuhaus, D.H.; Heinrich, M. Yield Potential of Vehicle Integrated Photovoltaics on Commercial Trucks and Vans 2021. Available online: https://www.researchgate.net/publication/355126708 (accessed on 20 July 2025).
- Samadi, H.; Ala, G.; Imburgia, A.; Licciardi, S.; Romano, P.; Viola, F. Evaluating the Role of Vehicle-Integrated Photovoltaic (VIPV) Systems in a Disaster Context. World Electr. Veh. J. 2025, 16, 190. [Google Scholar] [CrossRef]
- Oh, M.; Kim, S.-M.; Park, H.-D. Estimation of photovoltaic potential of solar bus in an urban area: Case study in Gwanak, Seoul, Korea. Renew. Energy 2020, 160, 1335–1348. [Google Scholar] [CrossRef]
- Kim, H.; Ku, J.; Kim, S.-M.; Park, H.-D. A new GIS-based algorithm to estimate photovoltaic potential of solar train: Case study in Gyeongbu line, Korea. Renew. Energy 2022, 190, 713–729. [Google Scholar] [CrossRef]
- Abdelhamid, M.; Pilla, S.; Singh, R.; Haque, I.; Filipi, Z. A comprehensive optimized model for on-board solar photovoltaic system for plug-in electric vehicles: Energy and economic impacts. Int. J. Energy Res. 2016, 40, 1489–1508. [Google Scholar] [CrossRef]
- Mallon, K.R.; Assadian, F.; Fu, B. Analysis of On-Board Photovoltaics for a Battery Electric Bus and Their Impact on Battery Lifespan. Energies 2017, 10, 943. [Google Scholar] [CrossRef]
- Faiman, D. Assessing the outdoor operating temperature of photovoltaic modules. Prog. Photovolt. Res. Appl. 2008, 16, 307–315. [Google Scholar] [CrossRef]
- Duffie, J.A.; Beckman, W.A. Solar Engineering of Thermal Processes; Wiley and Sons: Hoboken, NJ, USA, 2013. [Google Scholar] [CrossRef]
- Ota, Y.; Araki, K.; Nagaoka, A.; Nishioka, K. Facilitating vehicle-integrated photovoltaics by considering the radius of curvature of the roof surface for solar cell coverage. Clean. Eng. Technol. 2022, 7, 100446. [Google Scholar] [CrossRef]
- Global Solar Atlas. Available online: https://globalsolaratlas.info/map (accessed on 6 April 2025).
- Thiel, C.; Amillo, A.G.; Tansini, A.; Tsakalidis, A.; Fontaras, G.; Dunlop, E.; Taylor, N.; Jäger-Waldau, A.; Araki, K.; Nishioka, K.; et al. Impact of climatic conditions on prospects for integrated photovoltaics in electric vehicles. Renew. Sustain. Energy Rev. 2022, 158, 112109. [Google Scholar] [CrossRef]
- Perez, R.; Ineichen, P.; Seals, R.; Michalsky, J.; Stewart, R. Modeling daylight availability and irradiance components from direct and global irradiance. Sol. Energy 1990, 44, 271–289. [Google Scholar] [CrossRef]
- King, D.; Kratochvil, J.; Boyson, W. Measuring solar spectral and angle-of-incidence effects on photovoltaic modules and solar irradiance sensors. In Proceedings of the Conference Record of the Twenty Sixth IEEE Photovoltaic Specialists Conference — 1997, Anaheim, CA, USA, 29 September–3 October 1997. [Google Scholar]
- VIPVLIB. Available online: https://github.com/hamidsmd/VIPVLIB (accessed on 5 July 2025).
- Anderson, K.S.; Hansen, C.W.; Holmgren, W.F.; Jensen, A.R.; Mikofski, M.A.; Driesse, A. pvlib python: 2023 project update. J. Open Source Softw. 2023, 8, 5994. [Google Scholar] [CrossRef]
- Vartiainen, E.; Masson, G.; Breyer, C.; Moser, D.; Román Medina, E. Impact of weighted average cost of capital, capital expenditure, and other parameters on future utility-scale PV levelised cost of electricity. Prog. Photovolt. Res. Appl. 2020, 28, 439–453. [Google Scholar] [CrossRef]
- Electricity Maps. Available online: https://www.electricitymaps.com (accessed on 9 July 2025).
- Electricity Prices for Non-household Consumers (2024-S2). Available online: https://ec.europa.eu/eurostat/databrowser/view/nrg_pc_205__custom_17400202/default/table?lang=en (accessed on 6 June 2025).
- Electricity Prices. Available online: https://www.globalpetrolprices.com/electricity_prices/ (accessed on 13 July 2025).
- US Dollar (USD). Available online: https://www.ecb.europa.eu/stats/policy_and_exchange_rates/euro_reference_exchange_rates/html/eurofxref-graph-usd.en.html (accessed on 13 July 2025).
- Kumar, N.M.; Chopra, S.S.; Malvoni, M.; Elavarasan, R.M.; Das, N. Solar Cell Technology Selection for a PV Leaf Based on Energy and Sustainability Indicators—A Case of a Multilayered Solar Photovoltaic Tree. Energies 2020, 13, 6439. [Google Scholar] [CrossRef]
- B. manufacturer Karsan, ELECTRIC MINIBUS with Zero Emissions, Karsan e-JEST. Available online: https://www.karsan.com/en/e-jest-highlights#e-jest-specs (accessed on 16 September 2024).
- Alke’ Airport Luggage Vehicles. Available online: https://www.alke.com/airport-luggage-vehicles (accessed on 5 May 2025).
- Tous, L.; Govaert, J.; Harrison, S.; Carrière, C.; Barth, V.; Giglia, V.; Buchholz, F.; Chen, N.; Halm, A.; Faes, A.; et al. Overview of key results achieved in H2020 HighLite project helping to raise the EU PV industries’ competitiveness. Prog. Photovoltaics: Res. Appl. 2023, 31, 1409–1427. [Google Scholar] [CrossRef]














| PV Module | Efficiency [%] | k [%/°C] | ] | ] | 
|---|---|---|---|---|
| c-Si | 21.6 | −0.47 | 30.02 | 6.28 | 
| Disclaimer/Publisher’s Note: The statements, opinions and data contained in all publications are solely those of the individual author(s) and contributor(s) and not of MDPI and/or the editor(s). MDPI and/or the editor(s) disclaim responsibility for any injury to people or property resulting from any ideas, methods, instructions or products referred to in the content. | 
© 2025 by the authors. Licensee MDPI, Basel, Switzerland. This article is an open access article distributed under the terms and conditions of the Creative Commons Attribution (CC BY) license (https://creativecommons.org/licenses/by/4.0/).
Share and Cite
Samadi, H.; Ala, G.; Brito, M.C.; Marcon, G.; Romano, P.; Viola, F. Vehicle-Integrated Photovoltaic (VIPV) for Sustainable Airports: A Flexible Framework for Performance Assessment. Sustainability 2025, 17, 9246. https://doi.org/10.3390/su17209246
Samadi H, Ala G, Brito MC, Marcon G, Romano P, Viola F. Vehicle-Integrated Photovoltaic (VIPV) for Sustainable Airports: A Flexible Framework for Performance Assessment. Sustainability. 2025; 17(20):9246. https://doi.org/10.3390/su17209246
Chicago/Turabian StyleSamadi, Hamid, Guido Ala, Miguel Centeno Brito, Giulia Marcon, Pietro Romano, and Fabio Viola. 2025. "Vehicle-Integrated Photovoltaic (VIPV) for Sustainable Airports: A Flexible Framework for Performance Assessment" Sustainability 17, no. 20: 9246. https://doi.org/10.3390/su17209246
APA StyleSamadi, H., Ala, G., Brito, M. C., Marcon, G., Romano, P., & Viola, F. (2025). Vehicle-Integrated Photovoltaic (VIPV) for Sustainable Airports: A Flexible Framework for Performance Assessment. Sustainability, 17(20), 9246. https://doi.org/10.3390/su17209246
 
        






 
       