Hybrid Wind Power Forecasting for Turbine Clusters: Integrating Spatiotemporal WGANs with Extreme Missing-Data Resilience
Abstract
1. Introduction
- To capture complex spatiotemporal correlations caused by atmospheric system inertia, we construct a power-enhanced adjacency matrix based on wind turbines’ relative coordinates. Spatial features are extracted via GCN, followed by temporal feature extraction from meteorological and power data using CNN-BiLSTM. This hybrid architecture improves spatiotemporal modeling.
- WGAN is trained to generate missing data, with optimization guided by mean difference, standard deviation difference, Wasserstein distance, mutual information score, and KL divergence evaluations. This yields an enhanced WGAN generator.
- Model efficacy was validated with 30–90% missing data simulations. Predictions for 134 turbines across six time steps show superior accuracy and reduced error margins compared to other deep learning models.
2. Methods
2.1. Modeling of Spatial and Temporal Correlations
2.1.1. Convolutional Neural Networks
- Local Receptive Fields (LRF): Neurons connect only to restricted input regions, focusing exclusively on local features;
- Weight Sharing (WS): Identical filters apply across spatial dimensions, drastically lowering parameters while promoting translational invariance;
- Pooling: Down sampling operation that:
- (a)
- Retains critical information
- (b)
- Reduces feature map size/computation
- (c)
- Increases model robustness
- (d)
- Mitigates overfitting.
2.1.2. Bidirectional Long Short-Term Memory
2.1.3. Graph Convolutional Networks
2.2. Wasserstein Generating Adversarial Networks
3. Framework and Innovations in Research Methodology
- Data preprocessing: filters operational data from 134 turbines, including power outputs, meteorological variables (wind speed, temperature, direction), and geographic coordinates;
- Spatio-temporal modeling: employs CNN-BiLSTM for temporal feature extraction and GCN with enhanced power-correlation adjacency matrices for spatial correlation mining. The integrated model is then trained and validated;
- WGAN training: constructs generators/discriminators optimized through adversarial learning to ensure high-quality data synthesis;
- Prediction phase: simulates random missing-data scenarios (30%, 50%, 70%, 90%), executing hybrid predictions via the spatio-temporal model and WGAN;
- Evaluation: benchmarks results against established models using standard metrics.
4. Experiments and Results
4.1. Data Preprocessing
4.2. Spatio-Temporal Model Training and Complete Data Forecasting
4.3. Wasserstein Generative Adversarial Network Model Training and Validation
4.4. Hybrid Wind Power Forecasting
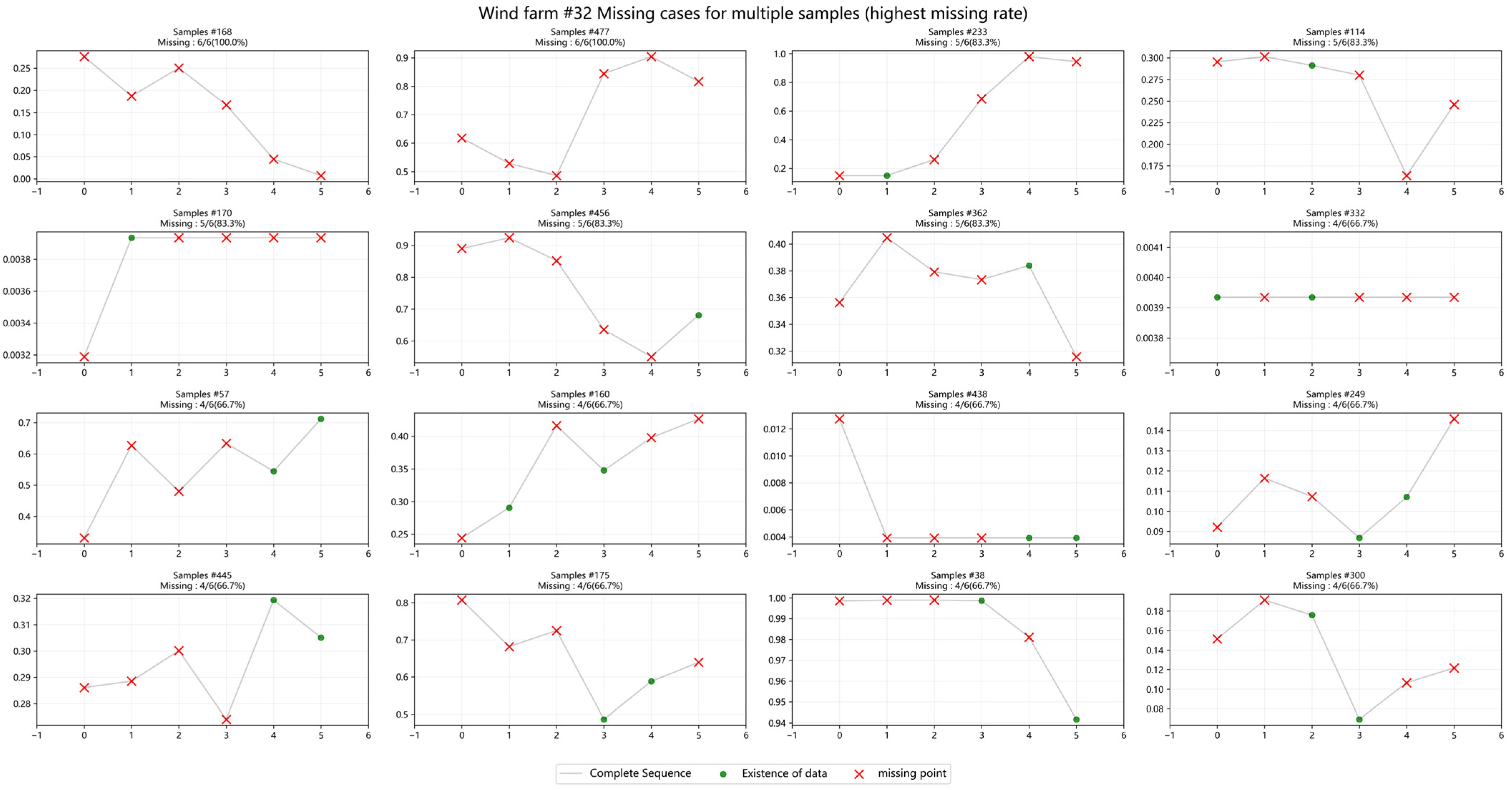
4.4.1. Situation of Missing Data
4.4.2. Hybrid Wind Power Prediction with Different Missing Rates
5. Discussion of Results and Future Prospects
- Spatial Correlation Validation: This study develops a prediction model for 134 wind turbines using 245-day data, integrating meteorological characteristics and spatial correlations. Figure 7 displays turbine positions showing logical spatial distribution. The adjacency matrix effectively strengthens spatial correlations, as evidenced in Figure 9 where actual power curves demonstrate high similarity—confirming significant spatial interdependence. Crucially, Figure 9 also verifies the model’s consistently strong performance across varying seasonal conditions under full data mode.
- Our spatio-temporal model architecture demonstrates two key advantages. Trained on complete datasets, it integrates convolutional neural networks (CNNs), bidirectional long short-term memory (BiLSTM) networks, and graph convolutional networks (GCNs). This hybrid configuration achieves dual innovations: first, enabling simultaneous power prediction for all 134 wind turbines; second, effectively capturing inter-turbine spatio-temporal correlations. Comparative analysis against five benchmark models (Figure 9 and Table 2) reveals two performance gains: (1) consistent improvements in error metrics, including reduced root mean square error (RMSE), lower mean absolute percentage error (MAPE), and slight mean absolute error (MAE) reductions; (2) enhanced robustness under noisy conditions, evidenced by narrower confidence intervals indicating high prediction consistency. Although architectural complexity increases for feature extraction, computational costs remain manageable while delivering demonstrated predictive advantages.
- WGAN Data Generation Quality: Using 536 feature dimensions, WGAN-generated data distributions closely match real data. Minimal discrepancies in mean and standard deviation are observed, with Wasserstein distance and KL divergence confirming distributional alignment. Mutual information analysis further verifies retention of meteorological and power data characteristics.
- Missing Data Robustness: Under 30–90% missing data scenarios, six-step predictions using WGAN imputation outperform alternatives (Figure 11, Figure 12 and Figure 13). While MAE increases with missing data proportion (Figure 12), our hybrid approach maintains high accuracy in the presence of missing data compared to benchmark models.
Author Contributions
Funding
Institutional Review Board Statement
Informed Consent Statement
Data Availability Statement
Acknowledgments
Conflicts of Interest
Abbreviations
| CNN | Convolutional Neural Network |
| Bi-LSTM | Bidirectional Long Short-Term Memory |
| GCN | Graph Convolutional Network |
| WGAN | Wasserstein Generative Adversarial Network |
| GAN | Generative Adversarial Network |
| ST-ResNet | Spatio-Temporal Residual Network |
| KNN | k-Nearest Neighbors |
| MAE | Mean Absolute Error |
| KL | Kullback–Leibler Divergence |
| EM | Earth-Mover Distance |
| LRF | Local Receptive Field |
| WS | Weight Sharing |
| SCADA | Supervisory Control and Data Acquisition |
References
- Moodley, P. 1—Sustainable Biofuels: Opportunities and Challenges. In Sustainable Biofuels; Ray, R.C., Ed.; Applied Biotechnology Reviews; Academic Press: Cambridge, MA, USA, 2021; pp. 1–20. ISBN 978-0-12-820297-5. [Google Scholar]
- Wu, B.; Wang, L. Two-Stage Decomposition and Temporal Fusion Transformers for Interpretable Wind Speed Forecasting. Energy 2024, 288, 129728. [Google Scholar] [CrossRef]
- Wang, X.; Li, X.; Su, J. Distribution Drift-Adaptive Short-Term Wind Speed Forecasting. Energy 2023, 273, 127209. [Google Scholar] [CrossRef]
- Wang, Y.; Xu, H.; Song, M.; Zhang, F.; Li, Y.; Zhou, S.; Zhang, L. A Convolutional Transformer-Based Truncated Gaussian Density Network with Data Denoising for Wind Speed Forecasting. Appl. Energy 2023, 333, 120601. [Google Scholar] [CrossRef]
- Liu, H.; Chen, C. Data Processing Strategies in Wind Energy Forecasting Models and Applications: A Comprehensive Review. Appl. Energy 2019, 249, 392–408. [Google Scholar] [CrossRef]
- Zhao, W.; Wei, Y.-M.; Su, Z. One Day Ahead Wind Speed Forecasting: A Resampling-Based Approach. Appl. Energy 2016, 178, 886–901. [Google Scholar] [CrossRef]
- Wang, Y.; Wang, D. Wind Power Prediction Based on the Clustered Combination of ARMA and PSO-SVM Methods. In Proceedings of the 2019 IEEE Sustainable Power and Energy Conference (iSPEC), Beijing, China, 21–23 November 2019; pp. 1508–1513. [Google Scholar]
- Liu, Y.; Guan, L.; Hou, C.; Han, H.; Liu, Z.; Sun, Y.; Zheng, M. Wind Power Short-Term Prediction Based on LSTM and Discrete Wavelet Transform. Appl. Sci. 2019, 9, 1108. [Google Scholar] [CrossRef]
- Wang, Y.; Zou, R.; Liu, F.; Zhang, L.; Liu, Q. A Review of Wind Speed and Wind Power Forecasting with Deep Neural Networks. Appl. Energy 2021, 304, 117766. [Google Scholar] [CrossRef]
- Guan, L.; Zhou, B.; Wen, B.; Xu, Q.; Zhan, X.; Wu, L.; Zhuo, Y. Spatiotemporal Correlation Statistic Modeling and Simulation in Multiple Wind Farm Power Sequence. Power Syst. Technol. 2021, 45, 30–39. [Google Scholar] [CrossRef]
- Wu, B.; Yu, S.; Peng, L.; Wang, L. Interpretable Wind Speed Forecasting with Meteorological Feature Exploring and Two-Stage Decomposition. Energy 2024, 294, 130782. [Google Scholar] [CrossRef]
- Wu, B.; Lin, J.; Liu, R.; Wang, L. A Multi-Dimensional Interpretable Wind Speed Forecasting Model with Two-Stage Feature Exploring. Renew. Energy 2026, 256, 124028. [Google Scholar] [CrossRef]
- Zhang, G.; Zhang, Y.; Wang, H.; Liu, D.; Cheng, R.; Yang, D. Short-Term Wind Speed Forecasting Based on Adaptive Secondary Decomposition and Robust Temporal Convolutional Network. Energy 2024, 288, 129618. [Google Scholar] [CrossRef]
- Wu, Z.; Xiao, L. A Secondary Decomposition Based Hybrid Structure with Meteorological Analysis for Deterministic and Probabilistic Wind Speed Forecasting. Appl. Soft Comput. 2019, 85, 105799. [Google Scholar] [CrossRef]
- Xue, Y.; Chen, N.; Wang, S.; Wen, F.S.; Lin, Z.Z.; Wang, Z. Review on Wind Speed Prediction Based on Spatial Correlation. Autom. Electr. Power Syst. 2017, 40, 161–169. [Google Scholar]
- Chen, J.; Zhu, Q.; Shi, D.; Li, Y.; Zhu, L.; Duan, X.; Liu, Y. A Multi-Step Wind Speed Prediction Model for Multiple Sites Leveraging Spatio-Temporal Correlation. Proc. CSEE 2019, 39, 2093–2106. [Google Scholar]
- Ye, X.; Lu, Z.; Qiao, Y.; Min, Y.; O’Malley, M. Identification and Correction of Outliers in Wind Farm Time Series Power Data. IEEE Trans. Power Syst. 2016, 31, 4197–4205. [Google Scholar] [CrossRef]
- Zhang, J.; Zheng, Y.; Qi, D.; Li, R.; Yi, X.; Li, T. Predicting Citywide Crowd Flows Using Deep Spatio-Temporal Residual Networks. Artif. Intell. 2018, 259, 147–166. [Google Scholar] [CrossRef]
- Fan, H.; Zhang, X.; Mei, S.; Yang, Z. Ultra-Short-Term Wind Speed Prediction Model for Wind Farms Based on Spatiotemporal Neural Network. Autom. Electr. Power Syst. 2021, 45, 28–35. [Google Scholar]
- Shih, S.-Y.; Sun, F.-K.; Lee, H. Temporal Pattern Attention for Multivariate Time Series Forecasting. Mach Learn 2019, 108, 1421–1441. [Google Scholar] [CrossRef]
- Bogaerts, T.; Masegosa, A.D.; Angarita-Zapata, J.S.; Onieva, E.; Hellinckx, P. A Graph CNN-LSTM Neural Network for Short and Long-Term Traffic Forecasting Based on Trajectory Data. Transp. Res. Part C Emerg. Technol. 2020, 112, 62–77. [Google Scholar] [CrossRef]
- An, J.; Guo, L.; Liu, W.; Fu, Z.; Ren, P.; Liu, X.; Li, T. IGAGCN: Information Geometry and Attention-Based Spatiotemporal Graph Convolutional Networks for Traffic Flow Prediction. Neural Netw. 2021, 143, 355–367. [Google Scholar] [CrossRef]
- Song, Y.; Tang, D.; Yu, J.; Yu, Z.; Li, X. Short-Term Forecasting Based on Graph Convolution Networks and Multiresolution Convolution Neural Networks for Wind Power. IEEE Trans. Ind. Inf. 2023, 19, 1691–1702. [Google Scholar] [CrossRef]
- Almeida, R.J.; Kaymak, U.; Sousa, J.M.C. A New Approach to Dealing with Missing Values in Data-Driven Fuzzy Modeling. In Proceedings of the International Conference on Fuzzy Systems, Barcelona, Spain, 18–23 July 2010; pp. 1–7. [Google Scholar]
- Silva, L.O.; Zárate, L.E. A Brief Review of the Main Approaches for Treatment of Missing Data. IDA 2014, 18, 1177–1198. [Google Scholar] [CrossRef]
- Fang, C.; Wang, C. Time Series Data Imputation: A Survey on Deep Learning Approaches. arXiv 2020, arXiv:2011.11347. [Google Scholar] [CrossRef]
- Zhang, S. Nearest Neighbor Selection for Iteratively kNN Imputation. J. Syst. Softw. 2012, 85, 2541–2552. [Google Scholar] [CrossRef]
- Luo, X.; Zhou, M.; Leung, H.; Xia, Y.; Zhu, Q.; You, Z.; Li, S. An Incremental-and-Static-Combined Scheme for Matrix-Factorization-Based Collaborative Filtering. IEEE Trans. Automat. Sci. Eng. 2016, 13, 333–343. [Google Scholar] [CrossRef]
- Goodfellow, I.; Pouget-Abadie, J.; Mirza, M.; Xu, B.; Warde-Farley, D.; Ozair, S.; Courville, A.; Bengio, Y. Generative Adversarial Networks. Commun. ACM 2020, 63, 139–144. [Google Scholar] [CrossRef]
- Yoon, J.; Jordon, J. GAIN: Missing Data Imputation Using Generative Adversarial Nets. In Proceedings of the 35th International Conference on Machine Learning, Stockholm, Sweden, 10–15 July 2018. [Google Scholar]
- Zhang, W.; Luo, Y.; Zhang, Y.; Srinivasan, D. SolarGAN: Multivariate Solar Data Imputation Using Generative Adversarial Network. IEEE Trans. Sustain. Energy 2021, 12, 743–746. [Google Scholar] [CrossRef]
- Xu, D.; Peng, H.; Wei, C.; Shang, X.; Li, H. Traffic State Data Imputation: An Efficient Generating Method Based on the Graph Aggregator. IEEE Trans. Intell. Transport. Syst. 2022, 23, 13084–13093. [Google Scholar] [CrossRef]
- Liao, Z.; Coimbra, C.F.M. Hybrid Solar Irradiance Nowcasting and Forecasting with the SCOPE Method and Convolutional Neural Networks. Renew. Energy 2024, 232, 121055. [Google Scholar] [CrossRef]
- Kiranyaz, S.; Avci, O.; Abdeljaber, O.; Ince, T.; Gabbouj, M.; Inman, D.J. 1D Convolutional Neural Networks and Applications: A Survey. Mech. Syst. Signal Process. 2021, 151, 107398. [Google Scholar] [CrossRef]
- Hochreiter, S.; Schmidhuber, J. Long Short-Term Memory. Neural Comput. 1997, 9, 1735–1780. [Google Scholar] [CrossRef]
- Abdel-Nasser, M.; Mahmoud, K. Accurate Photovoltaic Power Forecasting Models Using Deep LSTM-RNN. Neural Comput. Appl. 2019, 31, 2727–2740. [Google Scholar] [CrossRef]
- Shahid, F.; Zameer, A.; Muneeb, M. A Novel Genetic LSTM Model for Wind Power Forecast. Energy 2021, 223, 120069. [Google Scholar] [CrossRef]
- Bashir, T.; Wang, H.; Tahir, M.; Zhang, Y. Wind and Solar Power Forecasting Based on Hybrid CNN-ABiLSTM, CNN-Transformer-MLP Models. Renew. Energy 2025, 239, 122055. [Google Scholar] [CrossRef]
- Kipf, T.N.; Welling, M. Semi-Supervised Classification with Graph Convolutional Networks. arXiv 2017, arXiv:1609.02907. [Google Scholar] [CrossRef]
- Zhou, J.; Cui, G.; Hu, S.; Zhang, Z.; Yang, C.; Liu, Z.; Wang, L.; Li, C.; Sun, M. Graph Neural Networks: A Review of Methods and Applications. AI Open 2020, 1, 57–81. [Google Scholar] [CrossRef]
- Arjovsky, M.; Chintala, S.; Bottou, L. Wasserstein Generative Adversarial Networks. In Proceedings of the 34th International Conference on Machine Learning, Sydney, Australia, 6–11 August 2017. [Google Scholar]
- Engelmann, J.; Lessmann, S. Conditional Wasserstein GAN-Based Oversampling of Tabular Data for Imbalanced Learning. Expert Syst. Appl. 2021, 174, 114582. [Google Scholar] [CrossRef]













| Model Component | Configuration | Purpose |
|---|---|---|
| Input Layer | 4 features × 6 timesteps | Feature-time matrix |
| Conv1D Blocks | 64/128 filters | Short-term pattern capture |
| Bi-LSTM Layers | 128/64 units | Long-term dependencies |
| GCN Module | Adjacency: Power-correlation | Spatial relationships |
| Dense Layers | 256/128 units | Feature fusion |
| Output Layer | Linear activation | Power prediction |
| Model | Spatial LSTM | Spatial CNN | Conv LSTM | Transformer | Graph Attention | Spatiotemporal | |
|---|---|---|---|---|---|---|---|
| RMSE | 0.080824 | 0.103505 | 0.133975 | 0.122550 | 0.114631 | 0.078216 | |
| MAPE | 24.97% | 27.79% | 34.71% | 33.69% | 30.77% | 20.23% | |
| Original MAE | 0.060581 | 0.063527 | 0.087480 | 0.079424 | 0.074903 | 0.054105 | |
| +5% Noise Robustness | 8.2% | 7.5% | 11.3% | 9.7% | 8.9% | 5.1% | |
| +10% Noise Robustness | 15.7% | 14.9% | 19.8% | 17.6% | 16.3% | 11.8% | |
| +20% Noise Robustness | 28.4% | 32.5% | 33.5% | 30.2% | 29.5% | 24.2% | |
| Statistical Significance 2 | True | True | True | True | True | - | |
| 95% CI Lower Bound | 0.059 | 0.0623 | 0.0861 | 0.0780 | 0.0735 | 0.0525 | |
| 95% CI Upper Bound | 0.0619 | 0.0647 | 0.0889 | 0.0808 | 0.0763 | 0.0585 | |
| Training Time/Epoch (s) | 24.3 | 22.5 | 32.7 | 38.9 | 41.2 | 42.5 | |
| Evaluation Metrics | Value | Unit |
|---|---|---|
| Mean Difference | 0.0720 | kW |
| Standard Deviation Difference | 0.0362 | kW |
| Wasserstein Distance | 0.0574 | kW |
| Mutual Information | 0.7812 | Bits |
| KL Divergence | 0.2450 | nats |
Disclaimer/Publisher’s Note: The statements, opinions and data contained in all publications are solely those of the individual author(s) and contributor(s) and not of MDPI and/or the editor(s). MDPI and/or the editor(s) disclaim responsibility for any injury to people or property resulting from any ideas, methods, instructions or products referred to in the content. |
© 2025 by the authors. Licensee MDPI, Basel, Switzerland. This article is an open access article distributed under the terms and conditions of the Creative Commons Attribution (CC BY) license (https://creativecommons.org/licenses/by/4.0/).
Share and Cite
Su, H.; Du, Y.; Che, Y.; Li, D.; Su, W. Hybrid Wind Power Forecasting for Turbine Clusters: Integrating Spatiotemporal WGANs with Extreme Missing-Data Resilience. Sustainability 2025, 17, 9200. https://doi.org/10.3390/su17209200
Su H, Du Y, Che Y, Li D, Su W. Hybrid Wind Power Forecasting for Turbine Clusters: Integrating Spatiotemporal WGANs with Extreme Missing-Data Resilience. Sustainability. 2025; 17(20):9200. https://doi.org/10.3390/su17209200
Chicago/Turabian StyleSu, Hongsheng, Yuwei Du, Yulong Che, Dan Li, and Wenyao Su. 2025. "Hybrid Wind Power Forecasting for Turbine Clusters: Integrating Spatiotemporal WGANs with Extreme Missing-Data Resilience" Sustainability 17, no. 20: 9200. https://doi.org/10.3390/su17209200
APA StyleSu, H., Du, Y., Che, Y., Li, D., & Su, W. (2025). Hybrid Wind Power Forecasting for Turbine Clusters: Integrating Spatiotemporal WGANs with Extreme Missing-Data Resilience. Sustainability, 17(20), 9200. https://doi.org/10.3390/su17209200
