Next Article in Journal
Use of Project Management Knowledge Areas in Civil Infrastructure Projects: Implications for Sustainability Assessment and Risk Analysis
Previous Article in Journal
Identifying the Passenger Transport Corridors in an Urban Rail Transit Network Based on OD Clustering
 
 
Font Type:
Arial Georgia Verdana
Font Size:
Aa Aa Aa
Line Spacing:
Column Width:
Background:
Article

Geochemical Baseline, Pollution Evaluation, and Source Apportionment of Topsoil Heavy Metals in Eastern Yongqiao District of Suzhou City, China

1
School of Resources and Civil Engineering, Suzhou University, Suzhou 234000, China
2
The First Exploration Team of Anhui Province Bureau of Coal Geological, Huainan 232001, China
3
School of Earth and Environment, Anhui University of Science & Technology, Huainan 232001, China
4
Anhui Institute of Geological Environment Monitoring (Geological Disaster Emergency Technical Guidance Center of Anhui Province), Suzhou 234000, China
5
School of Environment and Surveying Engineering, Suzhou University, Suzhou 234000, China
*
Author to whom correspondence should be addressed.
Sustainability 2025, 17(20), 9128; https://doi.org/10.3390/su17209128
Submission received: 25 August 2025 / Revised: 26 September 2025 / Accepted: 12 October 2025 / Published: 15 October 2025
(This article belongs to the Section Soil Conservation and Sustainability)

Abstract

Heavy metals constitute a group of toxic environmental contaminants with complex and varied origins. This study provides a comprehensive framework for deciphering soil heavy metal pollution in rapidly developing regions. The geochemical baselines, pollution levels, and sources of ten heavy metals (V, Cr, Mn, Co, Ni, As, Cd, Pb, Cu, and Zn) were analyzed in topsoil from the industrial–agricultural–transportation hub of Eastern Yongqiao District, Suzhou City, Anhui Province, China. Overall, 48 topsoil samples were analyzed using geochemical baseline determination, the geo-accumulation index (Igeo), the Nemerow comprehensive index, and a multiple linear regression model based on absolute principal component scores (APCS-MLR). The geochemical baseline determination indicates that the elevated mean concentrations of Cr (218.51 mg/kg) and Ni (103.19 mg/kg) are significantly associated with anthropogenic activities. Three samples were identified with moderate-to-strong Cr and Ni pollution by the Igeo method, while all other samples had slight-to-moderate pollution levels. The Nemerow comprehensive index showed heavy metal pollution above the moderate level in five samples. The APCS-MLR model identified four pollution sources for heavy metals: industrial sources (40.5%, dominated by Cr, Co, and Ni), traffic-related sources (23.7%, dominated by V, As, Pb, Cu, and Zn), natural sources (12.6%, dominated by Mn), and agricultural sources (9.4%, dominated by Cd). This research provides a scientific basis for the management of heavy metal pollution derived from industrial production, agricultural activities, and transportation.

1. Introduction

Soil is a fundamental component of ecosystems, a foundational material for human survival, and an indispensable resource for socioeconomic development. Soil environmental quality not only directly impacts economic development and ecological security but is also intrinsically linked to agricultural product safety and human health [1]. It is essential to consider not only the total concentration of these pollutants but also their mobility within the soil environment [2]. Heavy metals have the potential to build up in soil and move through the food chain, exhibiting traits like toxicity, long-term persistence, and the ability to accumulate in living organisms [3].
Current research on soil heavy metals focuses primarily on pollution assessment methodologies, health risk evaluation frameworks, and source apportionment techniques [4,5,6,7]. The pathways through which heavy metals enter the soil include excessive fossil fuel combustion, excessive use of agricultural chemicals, improper disposal of solid waste, and uncontrolled discharge of industrial wastewater [8,9]. Heavy metal pollution assessment requires comparing concentrations to natural background level [10,11]. Values exceeding natural background levels can be primarily attributed to anthropogenic activities, while values within the range reflect natural sources [12,13].
Existing studies integrate single and composite indices to assess the level of heavy metal pollution. The single-factor pollution index (SFPI), geo-accumulation index (Igeo), and Nemerow comprehensive index are prioritized due to their high precision [10,14]. These metrics effectively prevent the averaging effects that dilute the importance of individual pollutants [15,16]. Geochemical baseline concentrations (GBCs) represent the background levels of heavy metals in soils or sediments within a defined local study area, serving as a reference when interpreting the dataset collected from that region [17,18]. GBCs are typically used as reference benchmarks in the evaluation of heavy metal pollution [19,20].
Spatial heterogeneity in anthropogenic activity types and intensities directly influences heavy metal pollution variations [21]. The heavy metals in soil mainly come from the weathering of parent materials and soil formation processes, with anthropogenic inputs largely from industrial emissions, mining, agriculture, and vehicle exhaust [22,23]. Quantifying pollution contribution levels from specific anthropogenic activities is critical for targeted soil remediation. Analytical methods including correlation analysis (CA), principal component analysis (PCA), and absolute principal component score–multiple linear regression (APCS-MLR) are widely applied for source identification [10,24]. The APCS-MLR model is a reverse traceability method that avoids the need to establish the spectra of pollution source components and offers much higher efficiency [15,25].
As Yongqiao District plays a critical role in agricultural development, many scholars have studied soil heavy metal pollution and risk assessment in this area [26]. Gao et al. analyzed six heavy metals in Suzhou’s topsoil, using normalization and cumulative frequency methods to establish geochemical baselines and assess pollution through cumulative indices. Most samples showed no pollution, with only a few at moderate levels [27]. Su et al. used the metal pollution and pollution load indexes to assess heavy metal levels in agricultural soils near Suzhou’s mining areas, characterizing pollution gradients and ecological risks [28]. Coal mining production is the main cause of heavy metal pollution, and Cd and Hg have higher rates of contribution to soil ecosystem pollution in the Suzhou city mining area. These studies mainly focused on new methods, but each study area had a dominant source of pollution, and the results were obvious. However, their discussion on guidance for pollution control strategies was rather weak. To address practical environmental protection requirements, it is essential to select study areas characterized by complex pollution sources.
This study aims to address the complex pollution sources present in the urban-rural interface of Suzhou City. GBCs are used to calibrate the pollution background values of the study area. The pollution grades of each heavy metal were classified using the Igeo method, and the pollution level of the sampling points was classified using the Nemerow comprehensive index. The contribution of each pollution source was quantified using APCS-MLR. Through stratified sampling of 48 topsoils, spatial heterogeneity patterns were analyzed using geospatial mapping while quantifying anthropogenic contributions. This study provides a robust theoretical and practical framework for identifying sources and assessing risks associated with heavy metal pollution in soils, thereby supporting the formulation of comprehensive remediation strategies in similar rapidly developing economic regions.

2. Materials and Methods

2.1. Study Area

The study area is located in the eastern Yongqiao District of Suzhou City, northern Anhui Province, with geographical coordinates of 117°3′ to 117°7′ E and 33°37′ to 33°40′ N, as shown in Figure 1. The primary soil types found in this area include brown soil, tidal soil, and Shajiang black soil. The crops suitable for growth include corn, millet, oilseed, naked oats, beans, and potatoes. There are large areas of farmland in the study area, where pesticide use is intensive, with this being one of the potential sources of heavy metal pollution. There are multiple equipment manufacturing enterprises within the study area, located close to coal mines, meaning they could also be potential pollution sources. The southern area within the study zone is an urban expressway with heavy traffic flow, so it may also contribute to heavy metal pollution. The research area is characterized by a relatively flat landscape that gently inclines from the northwest to the southeast, while the riverbank displays a curve along the river stretch. Suzhou belongs to a warm temperate semi-humid monsoon climate zone, characterized by a mild climate, four distinct seasons, rain and heat in the same season, sufficient sunshine, and moderate rainfall. However, the distribution of precipitation in each season is extremely uneven, with summer precipitation being highly concentrated, accounting for 50% to 60% of the annual precipitation. The rivers within the territory of Suzhou belong to the Huai River system and are near Xinbian River and Tuo River. The groundwater in the region is relatively shallow and belongs to the Quaternary loose rocks in the hydrogeological area of the Huaibei Plain. The aquifer rock formations are distributed throughout the entire area, and the Holocene aquifer rock formations are the most widely distributed. The average annual recoverable coefficient of the 0~40 m shallow aquifer is 0.65, with rainwater accounting for the majority.

2.2. Sample Collection and Testing

A total of 48 samples were collected in the study area. The sampling sites were divided by the average distribution method, with a distance interval of about 1 km. Our selection of sampling sites took into account environmental settings that are closely related to residents’ production and daily living activities. These settings encompass industrial facilities, agricultural fields, roadside areas, river systems, residential zones, and educational institutions, ensuring our research was comprehensive. Figure 1 shows the positions of the sampling sites. Samples were gathered and examined in October 2023. During this time, industrial output and transportation operations in the study region continued under typical conditions, and this period is not a period of high use of agricultural pesticides and fertilizers. Therefore, it adequately can represent the overall conditions for various pollution sources. The sampling procedure took into account various traffic conditions to ensure comprehensive representation. The soil samples of 0~20 cm surface farmland were collected by spade. The soil was broken, and sundries such as straw, the root system, and stone were picked out. In addition, 1.0~1.5 kg was reserved and put into a sample bag for treatment after full mixing. Following drying and grinding, the soil samples were sieved through a 200-mesh standard sieve prior to storage and subsequent analysis.
Sample analysis was conducted at the Engineering Center Laboratory of Suzhou University, following the technical specifications for eco-geochemical assessment. The concentrations of heavy metal elements in filtered and acid-preserved samples were measured using a high-resolution inductively coupled plasma mass spectrometer (HR-ICP-MS, Thermo Fisher Element II, manufacturer: Thermo Fisher Scientific, Shanghai, China). The sample digestion procedure was analyzed in strict accordance with the national environmental protection standard HJ 832-2017 [29,30]. A 0.5 g soil powder sample was transferred into a polytetrafluoroethylene (PTFE) digestion vessel. The sample was wetted with ultrapure water, then treated with a mixture of 8 mL nitric acid (HNO3) and 2 mL hydrogen peroxide (H2O2) as the digestion solution. A three-phase temperature gradient protocol was implemented to gradually increase the reaction temperature to 180 °C within 45 min, ensuring thorough thermal equilibration. The microwave digestion system operated at 1150 W for 25 min. The resulting digestate was diluted twice with ultrapure water to a final volume of 50 mL. After settling, the supernatant was aliquoted for subsequent elemental analysis. The preparation of the standard curve used standard substances provided by the National Standard Center of Beijing, China, diluted to 0, 10, 100, 500, 1000, and 5000 ng/L. To ensure data quality, water quality standards were measured once every 10 samples, with the accuracy of the standard substances ranging from 85% to 110%.

2.3. Evaluation Method

2.3.1. Assessment Method of Geochemical Baseline

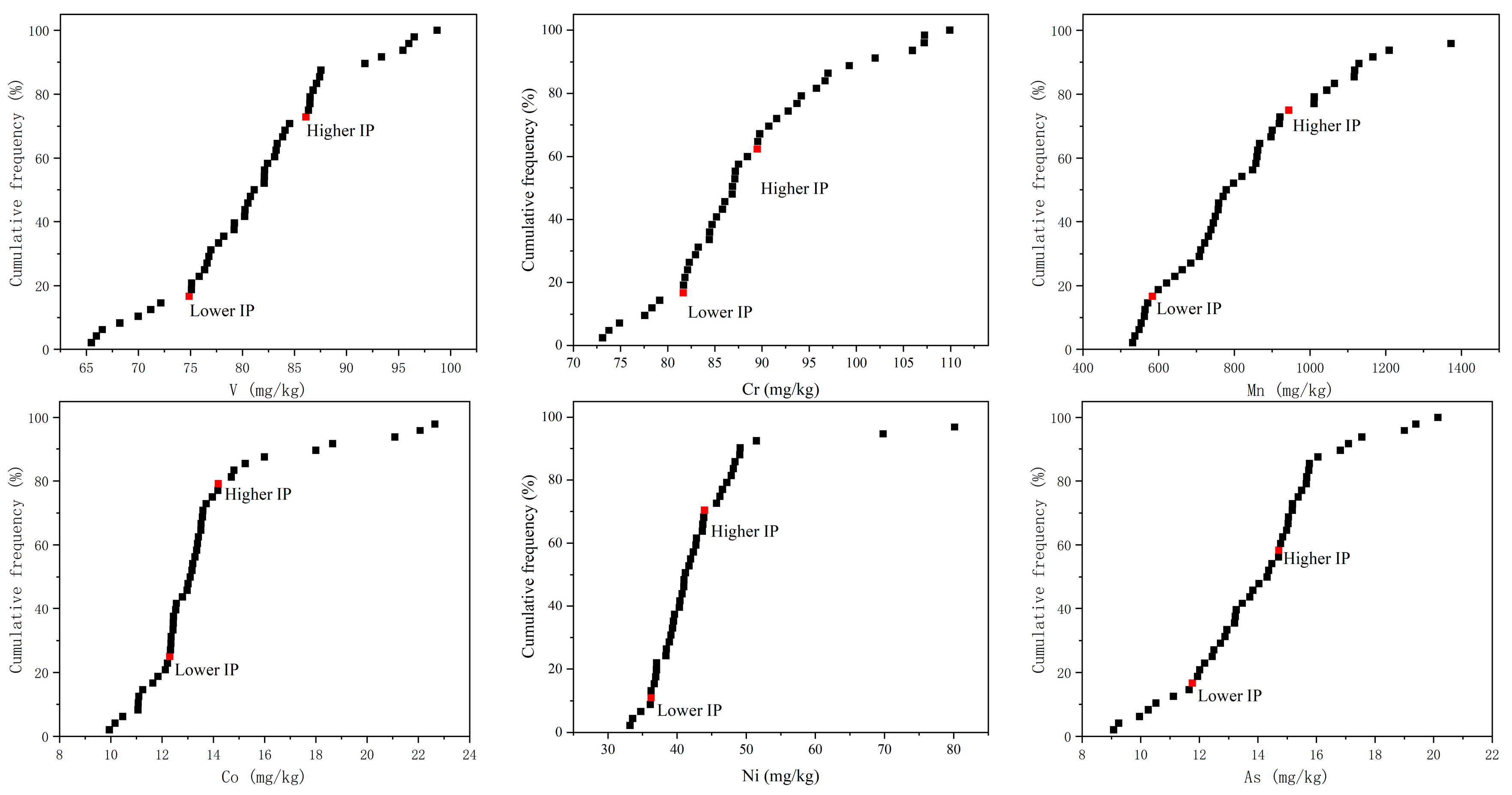
The relative cumulative frequency curve is commonly used to determine the background concentrations of heavy metals. A relative cumulative frequency curve was constructed by plotting heavy metal concentrations on the horizontal axis and their respective relative cumulative frequencies on the vertical axis.
Pollution Assessment of Heavy Metals Based on Igeo
The geo-accumulation index (Igeo) is a measure used to assess the pollution level of individual heavy metal elements in sediments or soils [31,32]. For each heavy metal in estuarine sediment samples, the Igeo value can be determined using the formula presented in Equation (1):
I g e o = l o g 2 C n 1 . 5 B n
Here, C n represents the measured concentration of a specific heavy metal, while B n denotes the estimated geochemical baseline level of that element in the study region. The coefficient of 1.5 is the impact of background value fluctuations. The Igeo values and their associated pollution levels can be categorized into seven distinct classes was shown in Table 1.
Geostatistical Analysis by Cumulative Frequency Curves
There are two inflection points on this curve. The lower inflection point (IP) indicates the upper limit of the natural concentration, while the higher IP represents the lower limit of the concentration affected by human activities [33]. If the distribution curve approximates a straight line, the measured sample concentrations may inherently represent the background range.

2.3.2. Nemerow Comprehensive Index

In order to reflect the present situation of heavy metal pollution and the different contribution of various heavy metals to compound pollution, the Nemerow comprehensive index can be adopted [34]. The single-factor pollution index ( P i ) directly reflects the level of soil pollution caused by a certain factor (Equation (2)). The comprehensive pollution index ( P s u m ) can comprehensively reflect the different effects of various pollutants in soils (Equation (3)).
P i = C i S i
In the above, P i is the single-factor pollution index, C i is the measured value of metal element i , and S i is the reference value of metal element i . In terms of measuring heavy metal content, GBC values lower than the IP were used as background values. P i can be divided into four levels according to P s u m .
P s u m = a v e P i 2 + max P i 2 2
Here, P s u m is the Nemerow comprehensive index, ave ( P i ) is the average value of the single-factor pollution index, and max ( P i ) is the maximum value of the single-factor pollution index. P s u m can be divided into five levels, as shown in Table 2.

2.3.3. Human Health Risk Assessment

To assess health risks for exposed populations, such as adults and children, this study adopted the human health risk evaluation methodology recommended by the U.S. Environmental Protection Agency (USEPA). Consequently, heavy metals detected in reservoir systems were classified into two distinct categories based on their toxicological properties. Chemically carcinogenic heavy metals comprise As, Cd, and Cr. Non-carcinogenic heavy metals include V, Mn, Co, Ni, Pb, Cu, and Zn. Because the population in this area includes local residents, factory workers, and students, pollutants that can be ingested or inhaled were selected for the risk assessment. The daily intake is as shown in Equations (4) and (5).
A D D i n g = C s o i l × I n g R × C F × E F × E D B W × A T n c / c a
A D D i n h = C s o i l × I n h R × E F × E D P E F × B W × A T n c / c a
Here, A D D i n g is the daily intake dose caused by oral intake; A D D i n h is the daily intake dose caused by inhalation. Oral intake and inhalation are two common exposure routes. The exposure parameters for the intake of adults and children are presented in Table 3; these parameters were selected with reference to Jiang et al. and Wu et al. [7,13] and represent the average level of exposure to heavy metals for residents in the study area under their current living conditions.
The equation for calculating non-carcinogenic risk is as follows:
H I = i = 1 n j = 1 m A D D i j R F D i j
The equation for calculating carcinogenic risk is as follows:
R I = i = 1 n j = 1 m S F i × A D D i j
Here, A D D i j is the average daily non-carcinogenic exposure dose of heavy metal i through exposure route j; R F D i j is the non-carcinogenic standard exposure dose of heavy metal i through exposure route j, as defined by USEPA; and S F i is the factor for the carcinogenic risk of each heavy metal. The values of the relevant parameters are shown in Table 4.
When the HI exceeds 1, it indicates that heavy metals present a certain level of non-carcinogenic health risk to nearby populations. An HI below 1 indicates that there is no evident significant non-carcinogenic risk. The accepted range for carcinogenic risk lies between 10−6 and 10−4; if it exceeds 10−4, this indicates a relatively high potential for carcinogenic risk due to contamination in the local soil environment.

2.3.4. Pollution Source Resolution by APCS-MLR

The APCS-MLR model was designed to create a multiple linear regression structure that quantitatively evaluates the impacts of identified pollution sources on receptor-oriented monitoring metrics. This method has been widely applied in source apportionment studies across diverse environmental matrices [35,36].
The first step in the APCS-MLR model involves extracting the principal components of quality indicators for the soil samples, which provide a foundation for identifying and quantifying pollution sources. The principal component scores are computed using Equation (8).
A z k = j = 1 p w j × z k
Here, A z k is the score of the principal component for the k-th observation; w j is the factor coefficient of the j-th principal component, where j represents the sequence number of the principal component obtained during the PCA process; and z k is the standardized value of the pollutant concentration at the k-th observation point.
To evaluate the contribution of principal components (PCs) to pollution indicators, it is necessary to convert the standardized factor scores into non-standardized absolute principal component scores (APCS), as described by Equation (9).
A P C S j k = A z j k A 0 j
Here, A P C S j k is the absolute principal component score for the j-th principal component, A z j k is the score of the j-th principal component, and A 0 j is the principal component score at zero concentration.
A multiple linear regression model was developed, using the observed water quality concentration Ci as the response variable and APCS as the predictor variable according to Equation (10).
C i = m = 1 n a i m × A P C S i m + b i
Here, C i represents the measured concentration of the i-th soil heavy metal element (mg/kg), a i m denotes the regression coefficient associated with pollution source m for the i-th heavy metal element in soil, A P C S i m refers to the absolute principal component score across all samples for the i-th soil heavy metal factor, and bi stands for the constant term.
The impact of pollution source m on the i-th soil heavy metal component can be calculated using Equation (11), whereas the contribution from unidentified sources is estimated using Equation (12).
P C i m = a i m × A P C S i m ¯ b i + m = 1 n a i m × A P C S i m ¯
P C i m = b i b i + m = 1 n a i m × A P C S i m ¯
Here, P C i m represents the contribution ratio of pollution source m to the i-th soil heavy metal factor, while A P C S i m denotes the mean absolute principal component score across all samples for the i-th soil heavy metal factor.
This methodology provides a robust framework for quantifying the contributions of identified and unidentified pollution sources to water quality degradation, facilitating targeted environmental management strategies.

2.4. Data Processing and Analysis

Data processing was performed using Excel 2021, and Igeo and Nemerow comprehensive indexes were determined. We edited the calculation formulas in Excel. The APCS-MLR model was constructed using SPSS 27. We calculated the PCA values step-by-step in SPSS according to the standard method and obtained the final results. Maps were produced using Origin 2024 and ArcGIS 10.8.

3. Results and Discussion

3.1. Descriptive Statistics

Table 5 summarizes the concentrations of heavy metals in soil samples collected across the study area. When ordered by average content from highest to lowest, the metals are ranked as follows: Mn > Cr > Ni > V > Zn > Cu > Pb > Co > As > Cr > Cd. Based on comparative analysis of background values, the mean concentrations of all measured elements, with the exception of V and Pb, exceed regional background levels, indicating that anthropogenic activities have caused significant enrichment of heavy metals in the study area [37,38]. The coefficient of variation (CV) can reflect the average level of variation in various points in the total sample. The larger the coefficient of variation, the more uneven the distribution of elements in the soil and the level of interference by human activities [39]. The large CV values of Ni and Cr indicate that the spatial distribution of these two elements varies greatly, suggesting the existence of hotspots causing their pollution. The CV values of other elements are relatively small, indicating that the spatial distribution differences are small. This might be due to the relatively uniform distribution of pollutants or the existence of a prolonged diffusion process. A distribution map of heavy metal content in soil, generated by ArcMap 10.8, is shown in Figure 2. The pollution patterns of heavy metals V, Cd, and Pb exhibit similar spatial distributions, primarily concentrated in the northern, southeastern, and southwestern areas of the study area. The distributions of Cr, Co, Ni, and Cu pollution was focused in the northwestern and southeastern areas, while Mn, As, and Zn show characteristics clustered in the north–central and southwestern areas.

3.2. Assessment of Geochemical Baseline

A normal distribution test for heavy metal contents was performed when abnormal values, considered as such due to being outside the 1.5-fold quartile difference, were found, and these values were gradually excluded by the use of box chart statistics (Figure 3) [40]. After eliminating anomalous data, the remaining data for the heavy metal contents could basically meet the normal distribution. After removing the abnormal points of heavy metal concentrations, the relative cumulative frequency curve of concentrations for each element was drawn, as shown in Figure 3. All the curves exhibited two inflection points (IP1 and IP2, as shown in Figure 4) based on the relationship between heavy metal contents and their relative cumulative frequency. As, Cd, and Pb showed more sample points above IP2 than the other three heavy metals, indicating that As, Cd, and Pb pollution is greatly affected by human activities in the study area. Regarding the relative cumulative frequency curves, the average value of sample concentrations below IP1 was used as the geochemical baseline value for each heavy metal. The geochemical baseline values of heavy metals in study area are shown in Table 6. Compared with the geochemical baselines of other studies in Yongqiao, the values in the study area show no significant difference from those in the coal mining area [28]. However, compared with the non-coal mining areas covering a larger area, the values in the study area are higher [27]. The reason for this difference is that heavy metal pollution caused by various human activities is widespread in the study area.

3.3. Heavy Metal Pollution Evaluation

The I g e o assessment results for heavy metals in topsoil from the Eastern Yongqiao District of Suzhou City are displayed in Figure 5 and Figure 6. Some samples of Cr, Ni, and Mn (sites 10, 24, 26, 27, and 36) showed a level of moderate pollution or moderate-to-strong pollution, indicating certain pollution derived from the three elements in the study area. Based on the statistical definitions of the median values, the 25th and the 75th quantiles, more than 50% of Mn samples presented Igeo values higher than 1. The pollution level of Mn was more than that of other heavy metals; the I g e o values of Mn suggested that over 60% of samples exhibited slight pollution, while the other heavy metals exhibited no pollution to slight pollution. The Igeo values of the heavy metals in these sampling sites showed differential distribution characteristics. Sampling site 10, spanning roads and rivers that intersect, and sampling sites 24, 26, 27, and 36, located near the power tower company, presented heavy metal Igeo values of more than 3, indicating that the industry, agriculture, and inflowing river in these areas are conducive to the accumulation of heavy metals in topsoil of Eastern Yongqiao District. This result is similar to the original pollution level classification around the study area. It is necessary to analyze the pollution sources of the sites with higher pollution levels to identify the specific pollution sources [27,28].

3.4. Nemerow Comprehensive Index Assessment

By calculating the Nemerow comprehensive index of soil heavy metals, it was found that the average value in study area was 2.68. As shown in Figure 7 and Figure 8, there are 0, 1, 41, 1, and 4 samples at Nemerow comprehensive index points of 1, 2, 3, 4, and 5, respectively. The percentages of available heavy metal contents at the warning line, light pollution point, moderate pollution point, and heavy pollution point are 2.08%, 85.42%, 2.08%, and 10.42%, respectively. Five soil samples have relatively serious heavy metal pollution. For example, two elements exceed the standard in soil sample sites 10, 24, 26, and 27, and one element exceeded the standard in soil sample site 38. Figure 9 shows a heat map for the study area, based on the Nemerow comprehensive index. Sampling site 10, with the highest grade, is located in a farmland area, within which it is possible that the improper use of pesticides has caused severe heavy metal pollution. The Igeo values and the results derived from using the Nemerow comprehensive index are consistent, with both sets of results indicating that these sites have been polluted. Compared with the research results of Yuan et al., the study area has been affected to a certain extent by the Zhuxianzhuang Coal Mine, and the traffic demand caused by the mining area’s production is one of the reasons for the heavy metal pollution in the study area [41]. Although the farmland near the coal mine has been polluted to a certain extent, the overall pollution risk level is relatively low.

3.5. Human Health Risk Assessment Results

The average daily exposure levels of various groups of people to different heavy metal elements are shown in Table 7. The average daily exposure levels of various heavy metal elements for adults and children, from highest to lowest, are Mn > Ni > V > Zn > Cr > Cu > Pb > Co > As > Cd. Compared with adults, children have higher exposure levels through oral and inhalation routes. The main reason for this is the difference in exposure parameters between adults and children [42]. Overall, children have a higher total exposure level than adults, indicating that children may face a higher risk of exposure.
The average HI values of seven heavy metals for both adults and children through both pathways (oral intake and inhalation) are all less than 1. However, the maximum values of Co, Ni, and Pb for adults, as well as the maximum value of Co for children, exceed 1. Overall, the non-carcinogenic risks caused by heavy metals in soil within the study area are within a safe range, with only a few local hotspots presenting non-carcinogenic risks (Table 8).
The carcinogenic risks of different heavy metal elements also show significant differences. The carcinogenic risk of Cd is higher than 10−6. The carcinogenic risk of As is between 10−4 and 10−6, which is within an acceptable range. The heavy metal pollution level of Cr has exceeded the safety threshold, posing a carcinogenic threat. Cd can affect the skin, digestive system, and cardiovascular system, and in severe cases, it can lead to esophageal cancer, liver cancer, stomach cancer, and lung cancer, among other cancer types. Therefore, relevant environmental departments should take action and reduce the carcinogenic risk of such heavy metals in the soil environment to protect children in the surrounding areas (Table 9).
Hou et al. conducted a global statistical analysis of human health risk assessment in agricultural areas [43]. The risk of Cd is higher than the global average level. Although the results of soil heavy metal health risks vary greatly in different regions, the health risk index for children is usually much higher than that for adults. The primary cause lies in the fact that children’s behavioral tendencies and physiological traits increase their likelihood of coming into contact with soil, particularly via dermal exposure. Moreover, children have lower immunity and are more sensitive to environmental pollution, making them more vulnerable to soil pollution, meaning children typically face greater health risks, especially when regarding exposure to soil heavy metal pollution through hand-to-mouth contact. It is important to encourage children to regularly wash their hands and frequently change their clothes. It is also recommended to take more protective measures to ensure the safety of children, including reducing excessive exposure to the soil environment, especially in certain suburban and industrial base areas. Local environmental protection departments should also strengthen management measures to control soil environmental risks and reduce their impact on children’s health.

3.6. Source Apportionment of Heavy Metals

This study analyzed data standardization to normalize raw datasets. The Kaiser–Meyer–Olkin (KMO) test and Bartlett’s sphericity test were used to evaluate variable correlations. A KMO value close to 1 indicates a very strong correlation among variables, making it suitable for factor analysis. When Bartlett’s sphericity test accompanying probability is less than 0.05, it indicates that the data is highly suitable for factor analysis. A KMO value of 0.629 indicates that the correlations among the variables in the dataset meet the prerequisite criteria for conducting factor analysis. With a degree of freedom of 45 and p < 0.001, we know that the null hypothesis is rejected statistically, meaning that the research data can be subjected to principal component extraction. As shown in Table 10, four principal components (PCs) were extracted based on the criterion of cumulative variance contribution exceeding 80%, achieving a total explained variance of 86.2%. To enhance the interpretability of common factors, a Varimax rotation with Kaiser normalization was applied to the factor loading matrix. This orthogonal transformation polarized rotated loadings toward 0 or 1, emphasizing representative indicators for each factor. The rotated factor loading matrix was subsequently calculated to quantify the association strength between variables and extracted components. The contribution levels of each heavy metal element to each principal component were calculated, and the results are shown in Table 11.

3.6.1. Principal Component 1 (APCS1): Industrial Sources

APCS1 exhibited an eigenvalue of 4.050, accounting for 40.503% of the total variance. This component showed strong loadings on Cr, Co, Ni, and Cu. Industrial production companies such as leather processing, pipe manufacturing, mining equipment, and pole and tower production companies are present in the study area. Leather processing wastewater and metal waste residues are the main sources of heavy metal pollution. Chen et al. and Wang et al. observed that elevated levels of Cr, Ni, Cu, and Co in soil are associated with industrial operations [44,45]. Cr, Co, and Cu are predominantly derived from solid waste, industrial effluents, and sludge generated during manufacturing processes, whereas Ni mainly stems from operations like electroplating and metal smelting [46]. These findings collectively identify APCS1 as representative of industrial sources.

3.6.2. Principal Component 2 (APCS2): Traffic-Related Sources

APCS2 demonstrated an eigenvalue of 2.374, contributing 23.741% to the cumulative variance. Dominant loadings were observed for V, Pb, and Zn. As Pb and Zn serve as indicators of traffic-related activities, the majority of soil samples were collected from agricultural lands adjacent to transportation routes. The primary roads in the study region are Bianhe Road and Xuefu Avenue. Due to emissions from vehicle exhaust, along with wear from engines and tires, elements including V, Pb, and Zn have accumulated in the surrounding soils [47,48,49]. This spatial–functional correlation confirms APCS2 as a marker of traffic-related sources.

3.6.3. Principal Component 3 (APCS3): Natural Sources

APCS3 yielded an eigenvalue of 1.263, explaining 12.629% of the variance. Primary loadings were identified for Mn and As. Mn in soil mainly originates from the weathering of manganese ores, the decomposition of parent materials, and other geochemical processes involving manganese-containing minerals [50]. As an important abiotic oxidant, Mn is widely present in soils. Its oxides (such as MnO2) and iron–manganese composite oxides have significant adsorption and immobilization capabilities for As. Through mechanisms such as surface coordination and ion exchange, manganese forms stable coprecipitates with arsenic, leading to the enrichment of As in manganese minerals. This manifests as a positive correlation between Mn and As content in soil [51]. The research results of Izadi et al. indicate that the redox-mediated transformation and dissolution of manganese oxides promote the release of As [52]. The strong residential spatial correlation combined with known household chemical profiles classifies APCS3 as reflecting natural sources.

3.6.4. Principal Component 4 (APCS4): Agricultural Sources

APCS4 exhibited an eigenvalue of 0.936, accounting for 9.357% of the total variance. The component was characterized by a singular dominant loading on Cd. The farmland area in the study area accounts for more than half of the total area; agriculture is one of the main industries in the study area. Earlier research has indicated that the buildup of cadmium in farmland soils could be associated with farming practices, including the use of chemical fertilizers, organic amendments, and pesticide applications [53]. The extensive application of phosphorus-based fertilizers and pesticides can potentially increase cadmium levels in agricultural soils [54]. This distinct agricultural spatial signature establishes APCS4 as representative of agricultural sources.
Based on the PCA, which identified the composition and spatial distribution of major pollution sources in the study area, the APCS-MLR model was utilized to establish functional relationships between various pollution sources and heavy metal pollution index concentrations. This facilitated the simulation of soil heavy metal pollution conditions. As shown in Table 12, the predicted and observed concentrations of major soil heavy metals display a strong linear correlation, with R2 values ranging from 0.61 to 0.98. All p-values were less than 0.01, indicating statistical significance. The root mean square error (RMSE) was confined to the range of 0.14 to 0.65 mg/kg, and all residuals for heavy metal pollutants equated to zero. These results confirm the dependability of the APCS-MLR model established in this research and support the trustworthiness of the computational findings.
Based on the constructed APCS-MLR model and pollution source contribution models, the contribution rates of various pollution sources to different forms of soil heavy metal pollution were calculated (Figure 10). The results indicate that industrial sources are the primary contributors to Cr, Co, and Ni pollution. Additionally, industrial sources serve as the second most significant pollution source for Cu [55]. Traffic-related sources are identified as the main contributors to V, As, Pb, Cu, and Zn pollution. Furthermore, traffic-related sources serve as the second most significant pollution source for Cr, Mn, Co, and Cd [56]. Natural sources are identified as the primary pollution source for Mn [57]. Agricultural sources emerge as the most significant contributors to Cd pollution while also serving as the second most important pollution source for Ni [58]. The R2 values of Cd and Zn are 0.61 and 0.66, respectively, which meet the requirements of source apportionment, but the accuracy is slightly low.
The source apportionment model identifies approximately 27% of the contribution as an unidentified source. The APCS-MLR model is based on principal component analysis and assumes a linear relationship between pollutant concentrations and principal component scores. However, in actual environments, there may exist nonlinear mixed pollution sources. In this study, the second APCS factor for V and As exhibited relatively high values, suggesting the presence of additional influencing factors beyond the primary pollution sources. The pollutant component characteristics of some pollution sources are similar, making it difficult to distinguish. The low R2 values for Cd and Zn are also associated with unidentified sources. Because relevant uncertainty data are unavailable, the PMF method cannot be compared with the APCS-MLR method. In subsequent research, comparative studies can be conducted to enhance the recognition rate of source apportionment.
The APCS-MLR model resolved four dominant sources: industrial sources (16.89%), traffic-related sources (38.53%), natural sources (6.18%), and agricultural sources (11.02%). Overall, 27.38% of the total pollution load was attributed to unidentified sources, potentially associated with unmonitored informal industries or heterogeneous background inputs.
Spatial distribution maps revealed similar patterns for Cr, Co, Ni, and Cu, with elevated concentrations observed in sampling sites near power transmission tower facilities in the central–northern region and at riverine discharge outlets in the southeastern area. Notably, Cr and Ni displayed high coefficients of variation (2.01 and 2.27, respectively) indicative of significant industrial source influences. The absence of local V, Pb, and Zn production enterprises suggests V pollution originates from vehicular exhaust emissions, while Pb and Zn derive from brake pad and tire wear. The areas with severe pollution from these elements are mainly concentrated near roads. Therefore, these elements also represent the impact of traffic-related sources on the environment. Mn and As are common elements in the soils, water, and sediments. Moreover, these two elements have a mutual enrichment effect; therefore, they are determined to derive from natural sources. In farmland areas, the use of pesticides has led to the enrichment of Cd in these areas, which is the main reason for the environmental impact of agricultural sources. Gao et al. examined regions in Yongqiao District with significant heavy metal pollution and determined that copper pollution primarily originated from agricultural activities; Zn, Cr, and As pollution from industrial sources; Pb pollution from traffic-related sources; and V pollution from natural sources are the dominant forms of pollution [27]. Their classification of Cr, Pb, and V is the same as in this study, while their source division of Cu, Zn, and As differs from that of this study. The reason for this discrepancy lies in the fact that Gao et al. did not apply the APCE-MLR method or any other similar method for discrimination; rather, they solely relied on environmental pollution characteristics in heavily polluted areas and traditional experience for classification. Cu, Zn, and As have unidentified sources accounting for 40.10%, 35.97%, and 33.09%, respectively, meaning they cannot be accurately identified and classified using existing methods, and their distribution characteristics do not contradict Gao et al.’s study. The source classification of heavy metal pollution in this study can be considered accurate and serve as a basis for soil heavy metal pollution control in Yongqiao District, Suzhou City.
Regarding pollution control issues in the study area, the following recommendations could serve as references for policymaking. First, policymakers should aim to establish a comprehensive system for the classification and recycling of industrial waste, treating recyclable waste as a potential resource. This will help prevent soil pollution and achieve the goals of waste reduction, resource utilization, and harmless disposal. Second, policymakers ought to encourage ecological farming practices by minimizing reliance on chemical fertilizers and pesticides. Shifting toward organic alternatives and implementing biological pest management strategies can support the long-term sustainability of agricultural systems. Third, policymakers should vigorously develop public transportation systems by expanding bus routes and increasing service frequency. Improving the convenience and comfort of public transport can encourage more people to choose environmentally friendly travel options, thereby reducing private car usage and alleviating traffic congestion and exhaust emissions.

4. Conclusions

(1) The spatial variability of heavy metal pollution is associated with anthropogenic activities, and the distribution of heavy metals shows significant correlations with the functional zones. Heavy metal pollution in the study area was primarily classified as ranging from no pollution to slight pollution, and moderate or higher pollution levels were identified around industrial enterprises and traffic hotspots.
(2) The non-carcinogenic risks caused by heavy metals in the cultivated soil within the study area are within the safe range. Chromium poses a carcinogenic threat, while other elements are below the danger threshold. The health risk index for children is higher than that for adults. Protective measures aimed at reducing excessive exposure to soil environments in certain suburban and industrial areas should be implemented to ensure the safety of children.
(3) Our source apportionment results show that the contributions to heavy metal pollution decreased in the following order: industrial sources > traffic-related sources > natural sources > agricultural sources. Recycling and reusing production resources, minimizing the application of pesticides and fertilizers in agriculture, and promoting the development of public transportation could help to effectively reduce pollution levels in the study area.

Author Contributions

Conceptualization, J.M. and Y.C.; methodology, Y.C.; software, Y.C.; resources, J.M.; writing—original draft, Y.C.; writing—review and editing, Y.C., Y.Y. and D.W.; funding acquisition, X.L., C.W. and H.D. All authors have read and agreed to the published version of the manuscript.

Funding

This research was funded by The Scientific Research Project of Anhui Colleges and Universities, grant numbers 2023AH052224 and 2023AH052232, and The Integration and Innovation of Precise Geological Over Detection Technology for Coal Mines Based on Artificial Intelligence, grant number SZKJXM202309.

Institutional Review Board Statement

Not applicable.

Informed Consent Statement

Not applicable.

Data Availability Statement

The original contributions presented in this study are included in the article. Further inquiries can be directed to the corresponding author.

Conflicts of Interest

The authors declare no conflicts of interest.

References

  1. Teng, Y.; Ni, S.; Wang, J.; Zuo, R.; Yang, J. A geochemical survey of trace elements in agricultural and non-agricultural topsoil in Dexing area, China. J. Geochem. Explor. 2010, 104, 118–127. [Google Scholar] [CrossRef]
  2. Qi, C.; Hu, T.; Zheng, Y.; Wu, M.; Tang, F.H.M.; Liu, M.; Zhang, B.; Derrible, S.; Chen, Q.; Hu, G.; et al. Global and regional patterns of soil metal(loid) mobility and associated risks. Nat. Commun. 2025, 16, 2947. [Google Scholar] [CrossRef]
  3. Ma, W.; Tai, L.; Chen, G. Contamination source apportionment and health risk assessment of heavy metals in soil around municipal solid waste incinerator: A case study in North China. Sci. Total Environ. 2018, 631–632, 348–357. [Google Scholar] [CrossRef] [PubMed]
  4. Yan, Y.; Wan, R.; Yu, R.; Hu, G.; Lin, C.; Huang, H. A comprehensive analysis on source-specific ecological risk of metal(loid)s in surface sediments of mangrove wetlands in Jiulong River Estuary, China. CATENA 2022, 209, 105817. [Google Scholar] [CrossRef]
  5. Tan, C.; Wang, H.; Yang, Q.; Yuan, L.; Zhang, Y.; Delgado Martín, J. An integrated approach for quantifying source apportionment and source-oriented health risk of heavy metals in soils near an old industrial area. Environ. Pollut. 2023, 323, 121271. [Google Scholar] [CrossRef]
  6. Jiang, R.; Pan, Z.; Lin, C.; Wang, W.; Wang, L.; Liu, Y.; Chen, J.; Zhou, K.; Lin, H. Integrated insights into potentially hazardous metals in sediments of a typical bay under long-term human impacts: Implications for coastal management. J. Clean. Prod. 2022, 364, 132566. [Google Scholar] [CrossRef]
  7. Jiang, Y.; Chao, S.; Liu, J.; Yang, Y.; Chen, Y.; Zhang, A.; Cao, H. Source apportionment and health risk assessment of heavy metals in soil for a township in Jiangsu Province, China. Chemosphere 2017, 168, 1658–1668. [Google Scholar] [CrossRef] [PubMed]
  8. Ji, W.; Yang, T.; Ma, S.; Ni, W. Heavy Metal Pollution of Soils in the Site of a Retired Paint and Ink Factory. Energy Procedia 2012, 16, 21–26. [Google Scholar] [CrossRef]
  9. Sun, Y.; Zhou, Q.; Xie, X.; Liu, R. Spatial, sources and risk assessment of heavy metal contamination of urban soils in typical regions of Shenyang, China. J. Hazard. Mater. 2010, 174, 455–462. [Google Scholar] [CrossRef]
  10. Zhang, T.; Wang, P.; Wang, M.; Liu, J.; Gong, L.; Xia, S. Spatial distribution, source identification, and risk assessment of heavy metals in riparian soils of the Tibetan plateau. Environ. Res. 2023, 237, 116977. [Google Scholar] [CrossRef]
  11. Tian, Y.; Zha, X.; Gao, X.; Yu, C. Geochemical characteristics and source apportionment of toxic elements in the Tethys–Himalaya tectonic domain, Tibet, China. Sci. Total Environ. 2022, 831, 154863. [Google Scholar] [CrossRef]
  12. De Souza, V.B.; Hollas, C.E.; Bortoli, M.; Manosso, F.C.; De Souza, D.Z. Heavy metal contamination in soils of a decommissioned landfill southern Brazil: Ecological and health risk assessment. Chemosphere 2023, 339, 139689. [Google Scholar] [CrossRef]
  13. Wu, W.; Wu, P.; Yang, F.; Sun, D.; Zhang, D.; Zhou, Y. Assessment of heavy metal pollution and human health risks in urban soils around an electronics manufacturing facility. Sci. Total Environ. 2018, 630, 53–61. [Google Scholar] [CrossRef]
  14. Jiang, X.; Lu, W.X.; Zhao, H.Q.; Yang, Q.C.; Yang, Z.P. Potential ecological risk assessment and prediction of soil heavy-metal pollution around coal gangue dump. Nat. Hazard. Earth Syst. 2014, 14, 1599–1610. [Google Scholar] [CrossRef]
  15. Haji Gholizadeh, M.; Melesse, A.M.; Reddi, L. Water quality assessment and apportionment of pollution sources using APCS-MLR and PMF receptor modeling techniques in three major rivers of South Florida. Sci. Total Environ. 2016, 566–567, 1552–1567. [Google Scholar] [CrossRef] [PubMed]
  16. Thurston, G.D.; Spengler, J.D. A quantitative assessment of source contributions to inhalable particulate matter pollution in metropolitan Boston. Atmos. Environ. (1967) 1985, 19, 9–25. [Google Scholar] [CrossRef]
  17. Wang, W.; Wang, X.; Zhang, B.; Chi, Q.; Liu, H.; Liu, X.; Zhou, J.; Liu, D.; Cheng, X.; Xu, S.; et al. Concentrations and spatial distribution of chlorine in the pedosphere in China: Based on the China Geochemical Baselines Project. J. Geochem. Explor. 2022, 242, 107089. [Google Scholar] [CrossRef]
  18. Sun, Y.; Yang, J.; Li, K.; Gong, J.; Gao, J.; Wang, Z.; Cai, Y.; Zhao, K.; Hu, S.; Fu, Y.; et al. Differentiating environmental scenarios to establish geochemical baseline values for heavy metals in soil: A case study of Hainan Island, China. Sci. Total Environ. 2023, 898, 165634. [Google Scholar] [CrossRef] [PubMed]
  19. Jarva, J.; Ottesen, R.T.; Tarvainen, T. Geochemical studies on urban soil from two sampling depths in Tampere Central Region, Finland. Environ. Earth Sci. 2014, 71, 4783–4799. [Google Scholar] [CrossRef]
  20. Niu, S.; Gao, L.; Wang, X. Characterization of contamination levels of heavy metals in agricultural soils using geochemical baseline concentrations. J. Soils Sediments 2019, 19, 1697–1707. [Google Scholar] [CrossRef]
  21. Abrahams, P. Soils: Their implications to human health. Sci. Total Environ. 2002, 291, 1–32. [Google Scholar] [CrossRef] [PubMed]
  22. Klavinš, M.; Briede, A.; Rodinov, V.; Kokorite, I.; Parele, E.; Klavina, I. Heavy metals in rivers of Latvia. Sci. Total Environ. 2000, 262, 175–183. [Google Scholar] [CrossRef] [PubMed]
  23. Hossini, H.; Shafie, B.; Niri, A.D.; Nazari, M.; Esfahlan, A.J.; Ahmadpour, M.; Nazmara, Z.; Ahmadimanesh, M.; Makhdoumi, P.; Mirzaei, N.; et al. A comprehensive review on human health effects of chromium: Insights on induced toxicity. Environ. Sci. Pollut. Res. 2022, 29, 70686–70705. [Google Scholar] [CrossRef]
  24. Men, C.; Liu, R.; Xu, L.; Wang, Q.; Guo, L.; Miao, Y.; Shen, Z. Source-specific ecological risk analysis and critical source identification of heavy metals in road dust in Beijing, China. J. Hazard. Mater. 2020, 388, 121763. [Google Scholar] [CrossRef]
  25. Wang, W.; Chen, C.; Liu, D.; Wang, M.; Han, Q.; Zhang, X.; Feng, X.; Sun, A.; Mao, P.; Xiong, Q.; et al. Health risk assessment of PM2.5 heavy metals in county units of northern China based on Monte Carlo simulation and APCS-MLR. Sci. Total Environ. 2022, 843, 156777. [Google Scholar] [CrossRef] [PubMed]
  26. Zhang, J.; Peng, W.; Lin, M.; Liu, C.; Chen, S.; Wang, X.; Gui, H. Environmental geochemical baseline determination and pollution assessment of heavy metals in farmland soil of typical coal-based cities: A case study of Suzhou City in Anhui Province, China. Heliyon 2023, 9, e14841. [Google Scholar] [CrossRef]
  27. Gao, Y.; Xu, D.; Li, Q. A study on environmental geochemical baselines of heavy metals in the surficial soil of Suzhou. Earth Environ. 2018, 46, 444–450. [Google Scholar] [CrossRef]
  28. Su, H.; Wang, Z.; Huang, Y. Heavy Metal Pollution and Ecological Risk Assessment of Farmland Soil Around Coal Mine in Suzhou City. J. Shandong Norm. Univ. 2017, 32, 99–104. [Google Scholar]
  29. Chang, X.; Tu, T.; Zhang, K.; Liu, Q.; Jin, D.; Zhang, B. Simultaneous Determination of 10 Effective State Elements in Soil by Inductively Coupled Plasma Mass Spectrometry with AB-DTPA Extraction. Chin. J. Inorg. Anal. Chem. 2025, 15, 1604–1616. [Google Scholar]
  30. HJ 832-2017; Soil and Sediment—Digestion of Total Metal Elements—Microwave Assisted Acid Digestion Method. Ministry of Environmental Protection: Beijing, China, 2017.
  31. Muller, G. Index of Geoaccumulation in Sediments of the Rhine River. Geojournal 1969, 2, 109–118. [Google Scholar]
  32. Li, Z.; Yan, X.; Wang, G.; Gui, H.; Hao, Y.; Xu, X. Geochemical Baseline Establishment, Pollution Assessment, and Source Apportionment of Heavy Metals in Estuary Sediments of Northwestern Taihu Lake, China. Pol. J. Environ. Stud. 2023, 32, 4653–4663. [Google Scholar] [CrossRef]
  33. Bauer, I.; Bor, J. Lithogene, geogene und anthropogene Schwermetallgehalte von Lößböden an den Beispielen von Cu, Zn, Ni, Pb, Hg und Cd. Mainz. Geowiss. Mitteilungen 1995, 24, 47–70. [Google Scholar]
  34. Nemerow, N.L. Scientifc Stream Pollution Analysis; Mcgraw-Hill Companies: New York, NY, USA, 1974. [Google Scholar]
  35. Zhang, S.; Wang, S.; Li, F.; Liu, S.; You, Y.; Liu, C. Enhanced Assessment of Water Quality and Pollutant Source Apportionment Using APCS-MLR and PMF Models in the Upper Reaches of the Tarim River. Water 2024, 16, 3061. [Google Scholar] [CrossRef]
  36. Wu, Y.; Zhang, Q.; Luo, Y.; Jin, K.; He, Q.; Lu, Y. Spatial and temporal distribution characteristics and source apportionment of biogenic elements using APCS-MLR model in the main inlet tributary of Danjiangkou Reservoir. Environ. Sci. Pollut. Res 2025, 32, 3729–3745. [Google Scholar] [CrossRef]
  37. Zhang, X.; Min, N.; Cheng, C.; Chen, C.; Li, T.; Jiang, J. Current Situation and Evaluation and Analysis of Heavy Metal Pollution in the Soil Around a Power Plant in Northern Anhui Province. J. Henan Univ. Sci. Technol. 2023, 796, 79–82. [Google Scholar] [CrossRef]
  38. Wang, C.; Lin, M.; Peng, W.; Min, N. Evaluation of heavy metal pollution in agricultural soils in coal mining areas based on multiple methods. Environ. Ecol. 2024, 6, 14–18. [Google Scholar]
  39. Zhou, H.; Chen, Y.; Yue, X.; Ren, D.; Liu, Y.; Yang, K. Identification and hazard analysis of heavy metal sources in agricultural soils in ancient mining areas: A quantitative method based on the receptor model and risk assessment. J. Hazard. Mater. 2023, 445, 130528. [Google Scholar] [CrossRef]
  40. Niu, S.; Gao, L.; Zhao, J. Risk Analysis of Metals in Soil from a Restored Coal Mining Area. Bull. Environ. Contam. Toxicol. 2015, 95, 183–187. [Google Scholar] [CrossRef]
  41. Yuan, X.; Zhang, C. Distribution and Evaluation on Potential Ecological Risk of Heavy Metals in Soils of Suzhou. J. Soil Sci. 2013, 44, 232–235. [Google Scholar]
  42. Wu, Y.; Xia, Y.; Mu, L.; Liu, W.; Wang, Q.; Su, T.; Yang, Q.; Milinga, A.; Zhang, Y. Health Risk Assessment of Heavy Metals in Agricultural Soils Based on Multi-Receptor Modeling Combined with Monte Carlo Simulation. Toxics 2024, 12, 643. [Google Scholar] [CrossRef] [PubMed]
  43. Hou, D.; Jia, X.; Wang, L.; Mcgrath, S.P.; Zhu, Y.; Hu, Q.; Zhao, F.; Bank, M.S.; O’connor, D.; Nriagu, J. Global soil pollution by toxic metals threatens agriculture and human health. Science 2025, 388, 316–321. [Google Scholar] [CrossRef] [PubMed]
  44. Chen, X.; Lu, X. Contamination characteristics and source apportionment of heavy metals in topsoil from an area in Xi’an city, China. Ecotoxicol. Environ. Saf. 2018, 151, 153–160. [Google Scholar] [CrossRef] [PubMed]
  45. Wang, F.; Guan, Q.; Tian, J.; Lin, J.; Yang, Y.; Yang, L.; Pan, N. Contamination characteristics, source apportionment, and health risk assessment of heavy metals in agricultural soil in the Hexi Corridor. CATENA 2020, 191, 104573. [Google Scholar] [CrossRef]
  46. Hu, W.; Wang, H.; Dong, L.; Huang, B.; Borggaard, O.K.; Bruun Hansen, H.C.; He, Y.; Holm, P.E. Source identification of heavy metals in peri-urban agricultural soils of southeast China: An integrated approach. Environ. Pollut. 2018, 237, 650–661. [Google Scholar] [CrossRef]
  47. Yang, J.; Sun, Y.; Wang, Z.; Gong, J.; Gao, J.; Tang, S.; Ma, S.; Duan, Z. Heavy metal pollution in agricultural soils of a typical volcanic area: Risk assessment and source appointment. Chemosphere 2022, 304, 135340. [Google Scholar] [CrossRef]
  48. Fu, K.; An, M.; Song, Y.; Fu, G.; Ruan, W.; Wu, D.; Li, X.; Yuan, K.; Wan, X.; Chen, Z.; et al. Soil heavy metals in tropical coastal interface of eastern Hainan Island in China: Distribution, sources and ecological risks. Ecol. Indic. 2023, 154, 110659. [Google Scholar] [CrossRef]
  49. Wang, S.; Cai, L.; Wen, H.; Luo, J.; Wang, Q.; Liu, X. Spatial distribution and source apportionment of heavy metals in soil from a typical county-level city of Guangdong Province, China. Sci. Total Environ. 2019, 655, 92–101. [Google Scholar] [CrossRef]
  50. An, L.; Liu, M.; Zhang, J.; Hunag, L.; Chen, Z. Sources of Arsenic in Soil and Affecting Factors of Migration and Release: A Review. Soils 2020, 52, 234–246. [Google Scholar] [CrossRef]
  51. Wang, X.; Fan, F.; Zhang, L.; Qi, J. Research progress on adsorption of heavy metals by manganese oxides and its influencing factors. Appl. Chem. Ind. 2018, 47, 155–159+164. [Google Scholar] [CrossRef]
  52. Izadi, L.N.; Tamadoni, A.; Siebecker, M.G.; Sricharoenvech, P.; Barreto, M.S.; Fischel, M.H.; Tappero, R.; Sparks, D.L. Hurricanes and turbulent floods threaten arsenic-contaminated coastal soils and vulnerable communities. Environ. Int. 2025, 200, 109479. [Google Scholar] [CrossRef]
  53. Yang, Y.; Chen, W.; Wang, M.; Peng, C. Regional accumulation characteristics of cadmium in vegetables: Influencing factors, transfer model and indication of soil threshold content. Environ. Pollut. 2016, 219, 1036–1043. [Google Scholar] [CrossRef]
  54. Nziguheba, G.; Smolders, E. Inputs of trace elements in agricultural soils via phosphate fertilizers in European countries. Sci. Total Environ. 2008, 390, 53–57. [Google Scholar] [CrossRef] [PubMed]
  55. Sun, Y.; Xiao, K.; Wang, X.; Lv, Z.; Mao, M. Evaluating the distribution and potential ecological risks of heavy metal in coal gangue. Environ. Sci. Pollut. Res. 2021, 28, 18604–18615. [Google Scholar] [CrossRef] [PubMed]
  56. Yan, G.; Mao, L.; Liu, S.; Mao, Y.; Ye, H.; Huang, T.; Li, F.; Chen, L. Enrichment and sources of trace metals in roadside soils in Shanghai, China: A case study of two urban/rural roads. Sci. Total Environ. 2018, 631–632, 942–950. [Google Scholar] [CrossRef]
  57. Fu, X.; Chen, X.; Xie, F.; Zhang, Z.; Ma, T.; Dong, X.; Zheng, L. Combining APCS-MLR model to evaluate the distribution and sources of rare earth elements in a large catchment. Environ. Pollut. 2024, 363, 125256. [Google Scholar] [CrossRef] [PubMed]
  58. Wu, H.; Ge, Y. Excessive Application of Fertilizer, Agricultural Non-Point Source Pollution, and Farmers’ Policy Choice. Sustainability 2019, 11, 1165. [Google Scholar] [CrossRef]
Figure 1. Location map of the study area and sampling point.
Figure 1. Location map of the study area and sampling point.
Sustainability 17 09128 g001
Figure 2. Distribution map of heavy metal content in soil: (a) V, (b) Cr, (c) Mn, (d) Co, (e) Ni, (f) As, (g) Cd, (h) Pb, (i) Cu, and (j) Zn.
Figure 2. Distribution map of heavy metal content in soil: (a) V, (b) Cr, (c) Mn, (d) Co, (e) Ni, (f) As, (g) Cd, (h) Pb, (i) Cu, and (j) Zn.
Sustainability 17 09128 g002aSustainability 17 09128 g002b
Figure 3. Statistical boxplots of heavy metal concentrations in Eastern Yongqiao District of Suzhou City.
Figure 3. Statistical boxplots of heavy metal concentrations in Eastern Yongqiao District of Suzhou City.
Sustainability 17 09128 g003
Figure 4. Relative cumulative frequency curves of heavy metal concentrations in Eastern Yongqiao District of Suzhou City.
Figure 4. Relative cumulative frequency curves of heavy metal concentrations in Eastern Yongqiao District of Suzhou City.
Sustainability 17 09128 g004aSustainability 17 09128 g004b
Figure 5. Pollution assessment results for heavy metals in Eastern Yongqiao District, Suzhou City, based on Igeo values.
Figure 5. Pollution assessment results for heavy metals in Eastern Yongqiao District, Suzhou City, based on Igeo values.
Sustainability 17 09128 g005
Figure 6. Boxplots of pollution assessment results for heavy metals in Eastern Yongqiao District, Suzhou City, based on Igeo values.
Figure 6. Boxplots of pollution assessment results for heavy metals in Eastern Yongqiao District, Suzhou City, based on Igeo values.
Sustainability 17 09128 g006
Figure 7. Nemerow comprehensive index of soil heavy metals.
Figure 7. Nemerow comprehensive index of soil heavy metals.
Sustainability 17 09128 g007
Figure 8. Histogram of Nemerow comprehensive index results.
Figure 8. Histogram of Nemerow comprehensive index results.
Sustainability 17 09128 g008
Figure 9. Heatmap map of Nemerow comprehensive index results.
Figure 9. Heatmap map of Nemerow comprehensive index results.
Sustainability 17 09128 g009
Figure 10. Source contribution analysis of soil heavy metal pollution in the eastern Yongqiao District of Suzhou City.
Figure 10. Source contribution analysis of soil heavy metal pollution in the eastern Yongqiao District of Suzhou City.
Sustainability 17 09128 g010
Table 1. Pollution classification standard of Igeo.
Table 1. Pollution classification standard of Igeo.
LevelLand Accumulation Index IgeoPollution Level
0 I g e o 0 No pollution
1 0   < I g e o   1 No pollution to slight pollution
2 1   < I g e o   2 Slight pollution
3 2   < I g e o 3 Slight pollution to moderate pollution
4 3   < I g e o 4 Moderate pollution
5 4   < I g e o 5 Moderate pollution to strong pollution
6 5   I g e o Strong pollution
Table 2. Standard of Nemerow comprehensive index.
Table 2. Standard of Nemerow comprehensive index.
Nemerow Comprehensive IndexLevelClass of Pollution
P s u m ≤ 0.71Safe
0.7 < P s u m ≤ 1.02Warning line
1.0 < P s u m ≤ 2.03Slight pollution
2.0 < P s u m ≤ 3.04Moderate pollution
P s u m > 3.05Heavy pollution
Table 3. Exposure parameter values utilized in the health risk evaluation.
Table 3. Exposure parameter values utilized in the health risk evaluation.
Parameter SymbolsPractical SignificanceReference ValuesUnit
AdultChild
IngRFrequency of soil intake100200mg/d
InhRRespiratory rate207.65m/d
CFConversion frequency1 × 10−61 × 10−6kg/mg
EFExposure frequency365365d/a
EDExposure period246a
PEFDust emission factor1.36 × 1091.36 × 109m3·kg
BWAverage weight62.115.9kg
ATncAverage exposure time (carcinogenic)87692190d
ATcaAverage exposure time (non-carcinogenic)25,55025,550d
Table 4. The values of factors for heavy metals with different exposure routes.
Table 4. The values of factors for heavy metals with different exposure routes.
MetalsRFDSF
Oral IntakeInhaledOral IntakeInhaled
As--1.53.66
Cd--6.16.1
Cr--0.520
V9.00 × 10−31.79 × 10−3--
Mn1.41.4--
Co3.00 × 10−43.00 × 10−4--
Ni0.025.40 × 10−3--
Pb3.50 × 10−33.52 × 10−4--
Cu0.040.04--
Zn0.30.3--
Table 5. Heavy metal contents in the topsoil in Eastern Yongqiao District of Suzhou (mg/kg).
Table 5. Heavy metal contents in the topsoil in Eastern Yongqiao District of Suzhou (mg/kg).
VCrMnCoNiAsCdPbCuZn
Maximum value98.702225.772830.6436.721476.7620.150.7629.7490.57124.76
Minimum value65.4873.10531.309.9433.199.070.2716.7217.2157.86
Average value81.27218.51874.6014.09103.1914.070.4922.9528.3680.50
Standard deviation7.83439.68363.964.27234.252.420.112.7411.3812.60
Coefficient of variation0.102.010.420.302.270.170.220.120.400.16
Background value82.467.553012.729.810.050.09726.620.462
Table 6. The geochemical baseline values of heavy metals in study area (mg/kg).
Table 6. The geochemical baseline values of heavy metals in study area (mg/kg).
VCrMnCoNiAsCdPbCuZn
Geochemical baseline values75.0981.83583.5212.3036.2411.760.4820.3621.9474.66
Table 7. Average daily exposure levels.
Table 7. Average daily exposure levels.
MetalADDing
Adult
ADDing
Child
ADDinh
Adult
ADDinh
Child
V1.31 × 10−41.02 × 10−31.92 × 10−82.88 × 10−8
Mn1.41 × 10−31.10 × 10−22.07 × 10−73.09 × 10−7
Co2.27 × 10−51.77 × 10−43.33 × 10−94.99 × 10−9
Ni1.66 × 10−41.30 × 10−32.44 × 10−83.65 × 10−8
Pb3.69 × 10−52.89 × 10−45.43 × 10−98.12 × 10−9
Cu4.56 × 10−53.57 × 10−46.71 × 10−91.00 × 10−8
Zn1.29 × 10−41.01 × 10−31.90 × 10−82.85 × 10−8
As7.77 × 10−61.52 × 10−51.14 × 10−94.27 × 10−10
Cd2.73 × 10−75.32 × 10−74.01 × 10−111.5 × 10−11
Cr1.21 × 10−42.36 × 10−41.77 × 10−86.63 × 10−9
Table 8. Results of non-carcinogenic health risk assessment.
Table 8. Results of non-carcinogenic health risk assessment.
Metal HI AdultHI Child
Avg.5.86 × 10−11.14 × 10−1
VMin.4.72 × 10−19.15 × 10−2
Max.7.11 × 10−11.38 × 10−1
Avg.8.86 × 10−37.86 × 10−3
MnMin.5.38 × 10−34.77 × 10−3
Max.2.87 × 10−22.54 × 10−2
Avg.6.66 × 10−15.91 × 10−1
CoMin.4.70 × 10−14.17 × 10−1
Max.1.74 × 1001.54 × 100
Avg.2.49 × 10−16.49 × 10−2
NiMin.8.00 × 10−22.09 × 10−2
Max.3.56 × 1009.29 × 10−1
Avg.8.31 × 10−18.25 × 10−2
PbMin.6.05 × 10−16.01 × 10−2
Max.1.08 × 1001.07 × 10−1
Avg.1.01 × 10−28.92 × 10−3
CuMin.6.10 × 10−35.41 × 10−3
Max.3.21 × 10−22.85 × 10−2
Avg.3.81 × 10−33.38 × 10−3
ZnMin.2.74 × 10−32.43 × 10−3
Max.5.90 × 10−35.23 × 10−3
Table 9. Results of carcinogenic health risk assessment.
Table 9. Results of carcinogenic health risk assessment.
Metal RI AdultRI Child
Avg.6.72 × 10−52.28 × 10−5
AsMin.4.33 × 10−51.47 × 10−5
Max.9.62 × 10−53.26 × 10−5
Avg.4.91 × 10−63.25 × 10−6
CdMin.2.68 × 10−61.77 × 10−6
Max.7.57 × 10−65.01 × 10−6
Avg.9.66 × 10−39.66 × 10−3
CrMin.3.23 × 10−33.23 × 10−3
Max.9.84 × 10−29.84 × 10−2
Table 10. Total variance in the interpretation of the main components for Eastern Yongqiao District, Suzhou City.
Table 10. Total variance in the interpretation of the main components for Eastern Yongqiao District, Suzhou City.
ComponentInitial EigenvaluesExtraction Sums of
Squared Loadings
Extraction Sums of
Squared Loadings
TotalVarianceCumulative (%)TotalVarianceCumulative (%)TotalVarianceCumulative (%)
APCS14.0540.50340.5034.05040.50340.5033.85238.5238.52
APCS22.37423.74164.2442.37423.74164.2442.18521.84660.367
APCS31.26312.62976.8731.26312.62976.8731.57615.76276.129
APCS40.9369.35786.2290.9369.35786.2291.01010.10186.229
APCS50.5785.7892.01
APCS60.4874.87596.884
APCS70.2112.10698.99
APCS80.0620.62399.613
APCS90.0270.27599.888
APCS100.0110.112100
Table 11. Rotation factor loading matrix for Eastern Yongqiao District, Suzhou City.
Table 11. Rotation factor loading matrix for Eastern Yongqiao District, Suzhou City.
Heavy Metal TypeAPCS1APCS2APCS3APCS4
V0.4100.6980.282−0.070
Cr0.957−0.157−0.1070.067
Mn0.107−0.0270.9040.109
Co0.9260.0930.3320.094
Ni0.984−0.069−0.0510.048
As−0.0410.4530.743−0.161
Cd0.2040.0990.0120.950
Pb−0.0260.849−0.0330.219
Cu0.9410.270−0.0230.005
Zn−0.0400.8060.042−0.045
Table 12. Contribution of various pollution sources in Eastern Yongqiao District of Suzhou City.
Table 12. Contribution of various pollution sources in Eastern Yongqiao District of Suzhou City.
Heavy Metal TypeIndustrial SourcesTraffic-Related SourcesNatural SourcesAgricultural SourcesUnidentified SourcesR2RMSEp Value
V4.6453.282.901.7737.400.74 0.53 <0.01
Cr37.2725.691.2310.3225.490.96 0.22 <0.01
Mn9.5829.9634.3820.775.310.84 0.42 <0.01
Co23.3722.327.246.7340.350.98 0.14 <0.01
Ni65.3911.060.3112.7510.490.98 0.15 <0.01
As1.2656.508.940.2233.090.80 0.46 <0.01
Cd9.3032.884.3047.875.650.61 0.65 <0.01
Pb0.7253.710.615.0339.930.78 0.49 <0.01
Cu16.2040.720.512.4740.100.96 0.21 <0.01
Zn1.1159.181.422.3235.970.66 0.61 <0.01
Disclaimer/Publisher’s Note: The statements, opinions and data contained in all publications are solely those of the individual author(s) and contributor(s) and not of MDPI and/or the editor(s). MDPI and/or the editor(s) disclaim responsibility for any injury to people or property resulting from any ideas, methods, instructions or products referred to in the content.

Share and Cite

MDPI and ACS Style

Chen, Y.; Ma, J.; Yang, Y.; Liu, X.; Wang, D.; Wu, C.; Dai, H. Geochemical Baseline, Pollution Evaluation, and Source Apportionment of Topsoil Heavy Metals in Eastern Yongqiao District of Suzhou City, China. Sustainability 2025, 17, 9128. https://doi.org/10.3390/su17209128

AMA Style

Chen Y, Ma J, Yang Y, Liu X, Wang D, Wu C, Dai H. Geochemical Baseline, Pollution Evaluation, and Source Apportionment of Topsoil Heavy Metals in Eastern Yongqiao District of Suzhou City, China. Sustainability. 2025; 17(20):9128. https://doi.org/10.3390/su17209128

Chicago/Turabian Style

Chen, Yifei, Jie Ma, Yang Yang, Xianghong Liu, Dingsheng Wang, Cancan Wu, and Hongbao Dai. 2025. "Geochemical Baseline, Pollution Evaluation, and Source Apportionment of Topsoil Heavy Metals in Eastern Yongqiao District of Suzhou City, China" Sustainability 17, no. 20: 9128. https://doi.org/10.3390/su17209128

APA Style

Chen, Y., Ma, J., Yang, Y., Liu, X., Wang, D., Wu, C., & Dai, H. (2025). Geochemical Baseline, Pollution Evaluation, and Source Apportionment of Topsoil Heavy Metals in Eastern Yongqiao District of Suzhou City, China. Sustainability, 17(20), 9128. https://doi.org/10.3390/su17209128

Note that from the first issue of 2016, this journal uses article numbers instead of page numbers. See further details here.

Article Metrics

Back to TopTop