Abstract
Traffic calming measures are implemented more and more often in residential districts as part of home zone sustainability projects. For economic reasons, road humps are the most commonly used traffic calming measures to slow down the traffic within the home zone. Prefabricated units or concrete pavers are the materials of choice for their construction. The studies carried out so far on many different road hump types covered the effect of height, approach/departure ramp inclination(s), and intervals between successive humps on the final speed and the safety of road traffic. The impacts of braking before and acceleration after passing a hump on the pavement and the effect of the associated shocks on the riding comfort of both drivers and passengers and vehicle suspension were also investigated. What is missing in the available literature is information on the slowing effect of road humps depending on the longitudinal gradient of the street and the street’s landscaping. This article is intended to fill this gap by presenting the results of speed surveys carried out on three selected two-way streets located in home zones with different longitudinal gradients and a few humps of different designs that are placed at different intervals. Speeds were measured both before and after each of the successive humps. The “after” speeds were found to depend not only on the hump type and parameters but also on the direction of travel, vertical alignment of the street, parking location, and orientation of the parking space relative to the road axis.
1. Introduction
One of the cornerstones of sustainable development is to take measures that contribute to improving the quality of life and protecting health and lives. Accordingly, with the aim of residents’ well-being, home zones with speed limits of up to 20 km/h (12.5 mph) are increasingly being introduced in residential areas of large cities or suburbs [1,2,3,4,5]. The slowing of traffic to the desired speed of 20 km/h is achieved by placing horizontal and vertical deflections on the road [1,3]. Vertical deflections, including raised junctions and various types of road humps, such as round-top humps, flat-top humps, speed tables (STs), speed humps (SHs), “sleeping policemen” speed bumps, and speed cushions [1,2,3,4,6], are preferred in retrofit home zone projects for economic reasons (i.e., a lower construction costs). The materials used for their construction include bituminous mixtures, concrete pavers, or thermoplastics (in the case of thermoplastic humps), which are used to fit the existing road surface [3,6,7,8]. This study is limited to analyzing speed tables and speed humps surfaced with concrete pavers and retrofitted in existing home zones.
Typically, the road humps’ design parameters and siting recommendations can be obtained from various design guidelines [1,2,3,4,6,7,8,9,10] and experimental research reports [11,12,13,14,15,16,17]. What is missing, however, is information on the effectiveness of road humps placed in a series used as the only traffic calming measure on 200–600 m long streets. The recommended speed hump dimensions and the achieved speed reductions [1,3,4,6,7,8] are given, for example, in design guidelines [1,3,4,6,7,8]. Design guidelines [1] focus on the average speed vav as the main parameter, with the 85th percentile speed v85 being said to be 4–5 mph (6.5–8 km/h) quicker than the average speed. The spacing intervals between speed humps given in [1] depending on the desired target speed are based on the results of the studies reported in [11,12,13,14,15,16,17].
The data reported in [1] were also used to derive recommendations in other countries [3,7,8,9,10]. As a general recommendation, to achieve 20 km/h target speeds, humps placed at different spacing intervals should be 7–12 cm high, 2–4 m long, and have 1:7 to 1:10 ramps [2,3,4,5,6,7,8,9,10,11,12,18]. The influence of the spacing intervals of humps having 1:7 and 1:10 ramps was studied in Germany with respect to short streets up to 200 m long [4]. The guidelines [1,4] allow decreasing the spacing intervals below the recommended value to a minimum distance of 15 m. As an additional requirement, the applied spacing intervals should ensure the safe passage of design vehicles.
The humps we encounter in practice tend to be designed freely rather than with strict compliance with the recommended parameters and siting recommendations given in [1,2,3,4,5,6,7,8,9,10,11,12,18]. Apparently, the engineers responsible for their design would rather use their experience or comply with tender requirements. The hump parameters are determined, in most cases, by the requirement to minimize the cost of construction rather than by other factors, including siting recommendations, the location of existing parking spaces, or the vertical alignment of the street in question. This may result in not achieving the desired target speed of 20 km/h. However, sustainable traffic calming designs should consider all three pillars of sustainability: the social, environmental, and economic pillars. Therefore, constructing humps solely because they are the cheapest traffic calming measure, without accounting for the costs of future pavement repairs or their poor placement, does not align with the principles of sustainable traffic calming design. Poorly chosen hump locations, without considering other factors that characterize a given street, do not always lead to a reduction in speed.
The articles devoted to traffic calming tend to focus on the impact of humps on factors including traffic safety [19,20,21,22,23,24], ride comfort, and driving safety [25,26,27,28,29]; the condition of the pavement [25,30,31,32]; and traffic-generated noise [33,34,35,36]. These publications address the sustainability of traffic calming designs only partially. There are a few papers [28,29,30,37,38,39] describing the slowing effect of various hump types located both in home zones and in other places as well. What is missing are studies on the influence of specific hump types on the final speeds achieved in the existing home zones that would take into account factors such as the street’s length, longitudinal gradient, the location of parking spaces, housing arrangements (houses separated from the streets by front gardens or opening onto sidewalks), etc.
Our review of the existing guidelines and articles has revealed a lack of design guidelines for the use of humps in home zones, taking into account street landscaping, street parameters, and parking arrangements near the humps (such as on-street parking lanes on one side of the street or alternating between the sides, and right-angle or parallel parking layouts). We believe it to be particularly important to supplement existing guidelines with recommendations that would take into account the effect of the street characteristics and street-landscaping-related factors, which is the main objective of the study presented in this article.
In addition, the discretion in designing existing humps’ geometry may sometimes result in not achieving their primary objective, i.e., slowing down the traffic and improving road traffic safety. Thus, a few streets have been selected for the surveys and analyses carried out as part of this study, and their results are presented in the further part of this article. Since no road incidents were noted in the home zones in question neither before nor after speed hump installation, it seemed justified to limit the study to speed changes as the only factor. The streets under analysis, which included different hump types, were chosen to give answers to the following research questions:
- ①
- “Which hump type (ST or SH) is more effective in slowing down traffic in home zones?”
- ②
- “Is the direction of travel on a two-way roadway relevant to the speed on home zone streets with different longitudinal gradients?”
- ③
- “Are there any other factors related to street landscaping in home zones that may contribute to maintaining a slowing effect along the street?”
Figure 1 shows a step-by-step representation of the research method used in this article.
Figure 1.
Adopted stages of the research. Source: Own work.
2. Research Assumptions and the Applied Methods
2.1. Study Areas Research Assumptions Applied in Study Area Selection
The study areas were selected as the first step of this research study. Sustainable traffic calming design should consider fundamental issues related to the impact of traffic calming on the environment and the community while taking their economic feasibility into account. Based on this, the following research assumptions regarding the selection of study areas were adopted for the plan:
- –
- The street should be located in a home zone occupied by single-family buildings.
- –
- There should be home zone traffic signs placed at the beginning and end of the street.
- –
- Only two-way streets having roadways of similar widths will be considered.
- –
- The horizontal alignment should follow a straight line, and the vertical alignment should vary.
- –
- The street should include a few humps of different types placed at different spacing intervals, and their spacing should be very diverse.
- –
- There may or may not be a sidewalk running along the street, and it may be separated from properties using fences or hedgerows.
- –
- There must be parking facilities provided on the street on one or two sides, with the parking spaces situated parallel or at a right angle to the roadway axis.
- –
- Only passenger cars and municipal vehicles should be allowed to travel along the street.
2.2. Speed Survey Research Assumptions and Measurement Methods
The following research assumptions were adopted for speed measurements: Speeds are measured, together with traffic counts, continuously along the road, i.e., at over a dozen sites before and after each hump located on the street. Speed variations are analyzed for free-flowing traffic conditions based on simultaneously measured “before” vbefore and “after” vafter speeds. SR4 electronic speed detectors are used for all speed measurements [40]. These devices feature the automatic recording of speeds, measurement times, vehicle spacings, headways, vehicle categories, etc. The minimum number of speed records at nmin = ca. 50 was determined based on the preliminary speed survey carried out at 1 km/h accuracy and for the adopted statistical significance level of α = 0.05. The initially determined hourly traffic volumes ranged from 5 to 20 veh./h. Considering the observed small traffic volumes, small speeds and free traffic flow required for the planned analyses, we conducted measurements on weekdays between 7:00 a.m. and 7:00 p.m. This is ensuring a number of measurements much greater than the minimum. All measurements were taken on a rainless day in the summer months.
2.3. Statistical Analysis Assumptions and Selection of Appropriate Statistical Tests
The statistical analysis sequence is shown in Figure 2 below.
Figure 2.
Sequence of statistical analysis. Source: Own work.
The first step of the statistical processing of populations was normality verification by means of a standard, goodness-of-fit test (Equation (1)). Data normality was confirmed in all populations:
where the following are defined: Femirical (v)—cumulative density empirical function of speed-analyzed populations; Ftheoretical—cumulative density theoretical function; λα—critical value in the goodness-of-fit test; α—level of significance.
H0: Fempirical (v) = F theoretical and H1: Fempirical (v) ≠ Ftheoretical, at λα = 1.36, α = 0.05
The two-sample Kolmogorov–Smirnov goodness-of-fit test (Equation (2)) (further called the K-S test) was employed to compare the slowing effect of different humps, which is the same as in [30,41], based on the empirical cumulative distribution functions of the measured “before” and “after” speeds. The K-S test results obtained in all three study areas will provide an answer to the first research question ①—“Which hump type (ST or SH) is more effective in slowing down traffic in home zones?”:
where the following are defined: F—cumulative density function of speed populations vbefore and vafter; λα—critical value in the two-sample K-S goodness-of-fit test, α—level of significance.
H0: F(vbefore) = F(vafter) and H1: F(vbefore) ≠ F(vafter), at λα = 1.36, α = 0.05
Three non-parametric tests were used: two-sample K–S test (Equations (3a,b)), test of independence (Equation (4a,b)), and median test (Equation (5a,b)); these were, in turn, employed to answer the second research question ②—“Is the direction of travel on a two-way roadway relevant to the speed on home zone streets with different longitudinal gradients?” The first compares two empirical cumulative density functions. The second test analyzes the sizes of the below and above 20 km/h datasets. This test will also inform us if the analyzed humps have some effect on the sustained slowing of traffic running in a given direction in a home zone to 20 km/h. The third test compares the sizes of two datasets below and above the median calculated from the two compared data populations:
where the following are defined: F—cumulative density function of speed; 1—one direction of traffic; 2—opposite direction of traffic, λα—critical value in the two-sample K-S goodness-of-fit test; α—level of significance.
H0: F(vbefore 1) = F(vbefore 2) and H1: F(vbefore 1) ≠ F(vbefore 2), at λα = 1.36, α = 0.05
H0: F(vafter 1) = F(vafter 2) and H1: F(vafter 1) ≠ F(vafter 2), at λα = 1.36, α = 0.05
H0: P(A ∩ B) = P(A) · P(B) and H1: P(A ∩ B) ≠ P(A) · P(B), at χ2α = 3.84, α = 0.05
H0: P(C ∩ D) = P(C) · P(D) and H1: P(C ∩ D) ≠ P(C) · P(D), at χ2α = 3.84, α = 0.05
Here, the following are defined: A—v ≤ 20 km/h speed dataset collected from both “before” populations in both directions of traffic; B—v > 20 km/h speed dataset collected from both “before” populations in both directions of traffic; C—v ≤ 20 km/h speed dataset collected from both “after” populations in both directions of traffic; D—v > 20 km/h speed dataset collected from both “after” populations in both directions of traffic; 20 km/h—home zone speed limit; χ2α—critical value in test of independence; α—level of significance.
H0: F1(vbefore) = F2(vbefore) and H1: F1(vbefore) ≠ F2(vbefore), at λα = 3.84, α = 0.05
H0: F3(vafter) = F4(vafter) and H1: F3(vafter) ≠ F4(vafter), at λα = 3.84, α = 0.05
Here, the following are defined: F1—distribution function of both combined populations of vbefore in both directions of traffic ≤ v50 before; F2—distribution function of both combined populations of vbefore in both directions of traffic > v50 before; F3—distribution function of both combined populations of vafter in both directions of traffic ≤ v50 after; F4—distribution function of both combined populations of vafter in both directions of traffic > v50 after; v50 before—median calculated from both combined populations of vbefore in both directions of traffic; v50 after—median calculated from both combined populations of vafter in both directions of traffic; χ2α—critical value in the median test; α—level of significance.
In addition, a hypothesis that several features characterizing the surrounding street landscaping are also relevant to the hump location on a given two-way street was formulated as part of this research. These characteristics are deemed to include the following: horizontal and vertical alignment, street cross-section features (sidewalk or vegetated strip), parking lanes and parking orientation, adjacent features, and street furniture (fences, hedgerows, bollards, and concrete planters). In addition, three non-parametric tests (two-sample K-S test (Equation (6a,b)), test of independence (Equation (7a,b)), and median test (Equation (8a,b)) were employed to answer the third research question ③ and to determine whether the following is the case: “Do these characteristics have a combined effect on the traffic speed?” The selected tests have the same background as the analyses conducted to answer the second research question ②. Considering the diversity of the above-mentioned characteristics, logical methods were employed in the analysis, including binary numeral systems and logical tautologies. This means that if any of the above-mentioned characteristics was confirmed at the analyzed hump, then a quantification score of “1” was assigned; otherwise, a “0” score was given. Next, these quantification scores were totaled to obtain an aggregated parameter characterizing the street landscaping around the respective humps:
where the following is the case: F—cumulative density function of speed; i—analyzed hump; i + 1—next hump; λα—critical value in the two-sample K-S goodness-of-fit test; α—level of significance.
H0: F(vbefore i) = F(vbefore i + 1) and H1: F(vbefore i) ≠ F(vbefore i + 1), at λα = 1.36, α = 0.05
H0: F(vafter i) = F(vafter i + 1) and H1: F(vafter i) ≠ F(vafter i + 1), at λα = 1.36, α = 0.05
H0: P(A ∩ B) = P(A) · P(B) and H1: P(A ∩ B) ≠ P(A) · P(B), at χ2α = 3.84, α = 0.05
H0: P(C ∩ D) = P(C) · P(D) and H1: P(C ∩ D) ≠ P(C) · P(D), at χ2α = 3.84, α = 0.05
Here, the following are defined: A—v ≤ 20 km/h speed dataset collected from both “before” populations (hump i and hump i + 1); B—v > 20 km/h speed dataset collected from both “before” populations (hump i and hump i + 1); C—v ≤ 20 km/h speed dataset collected from both “after” populations (hump i and hump i + 1); D—v > 20 km/h speed dataset collected from both “after” populations (hump i and hump i + 1); 20 km/h—home zone speed limit, χ2α—critical value in test of independence; α—level of significance.
H0: F1(vbefore) = F2(vbefore) and H1: F1(vbefore) ≠ F2(vbefore), at λα = 3.84, α = 0.05
H0: F3(vafter) = F4(vafter) and H1: F3(vafter) ≠ F4(vafter), at λα = 3.84, α = 0.05
Here, the following are defined: F1—distribution function of both combined populations of vbefore (hump i and hump i + 1) ≤ v50 before; F2—distribution function of both combined populations of vbefore (hump i and hump i + 1) > v50 before; F3—distribution function of both combined populations of vafter (hump i and hump i + 1) ≤ v50 after; F4—distribution function of both combined populations of vafter (hump i and hump i + 1) > v50 after; v50 before—median calculated from both combined populations of vbefore (hump i and hump i + 1); v50 after—median calculated from both combined populations of vafter (hump i and hump i + 1); χ2α—critical value in the median test; α—level of significance.
3. Chosen Study Areas
Three home zones were chosen to investigate the slowing effect of road humps, with two located near Szczecin and one located in Łukęcin, a resort village situated on the Baltic coast. In the first area, single-family buildings started to appear in 2000. The associated road infrastructure was built progressively over the next few years. The road humps were installed there as more and more houses were built in this area in the 2014–2018 period. Two of the three streets were about 600 m long and included a few road humps of different types (Figure 3 and Figure 4—five speed humps in home zone A and three speed tables in home zone B) that were installed there to maintain a speed of 20 km/h along the road.
Figure 3.
Analyzed study area A. Source: Own work.
Figure 4.
Analyzed study area B. Source: Own work.
The third street in the third home zone included four speed tables placed over a street length of 200 m (Figure 5). The main objective in this case was to prevent speeding on go-karts, roller skates, and bicycles, means of transport commonly used among holiday-makers. The analyzed street is a continuation of the main street of Łukęcin, lined with over a dozen vacation houses. At the western end, it joins an unpaved forest road.
Figure 5.
Analyzed study area C. Source: Own work.
Table 1.
Geometric parameters of the analyzed road humps. Source: Own work.
Figure 6.
Image of designations from Table 1. Source: Own work.
Table 1.
Geometric parameters of the analyzed road humps. Source: Own work.
| Hump No. | Geometric Parameters | |||||||||||||
|---|---|---|---|---|---|---|---|---|---|---|---|---|---|---|
| ibefore | i1 | h1 | l1 | lg | lt | l2 | h2 | i2 | iafter | lentry | lexit | z | l3 | |
| Study area A | ||||||||||||||
| 1 | 0.40 | 21.0 | 8.4 | 0.40 | 0.20 | 1.00 | 0.40 | 6.1 | −15.25 | 0.40 | 70 | – | 96 | 0.2 |
| 2 | 0.25 | 21.0 | 8.0 | 0.40 | 0.20 | 1.00 | 0.40 | 7.0 | −17.5 | 0.25 | – | – | 135 | 0.2 |
| 3 | 1.10 | 12.2 | 6.1 | 0.50 | 0.20 | 1.44 | 0.50 | 5.2 | −10.4 | 2.10 | – | – | 129 | 0.2 |
| 4 | 3.50 | 17.0 | 6.8 | 0.40 | 0.20 | 1.44 | 0.60 | 5.0 | −8.3 | 3.10 | – | – | 93 | 0.2 |
| 5 | 4.75 | 23.9 | 9.8 | 0.41 | 0.16 | 0.93 | 0.36 | 6.4 | −17.8 | 2.60 | – | 93 | – | 0.2 |
| Study area B | ||||||||||||||
| 1 | 0.90 | 16.3 | 13.9 | 0.85 | 2.49 | 4.28 | 0.95 | 7.4 | −7.8 | 0.90 | 71 | – | 243 | 0.0 |
| 2 | 2.50 | 21.5 | 8.6 | 0.40 | 0.70 | 1.50 | 0.40 | 7.4 | −18.5 | 1.35 | – | – | 153 | 0.0 |
| 3 | 3.70 | 14.3 | 13.9 | 0.97 | 2.47 | 4.59 | 1.15 | 7.4 | −6.4 | 3.20 | – | 109 | – | 0.2 |
| Study area C | ||||||||||||||
| 1 | 0.10 | 19.2 | 5.0 | 0.26 | 1.00 | 1.95 | 0.69 | 6.0 | −8.7 | 0.10 | 10 | – | 45 | 0.2 |
| 2 | −0.40 | 13.3 | 6.0 | 0.45 | 0.80 | 1.70 | 0.45 | 7.0 | −15.5 | −0.40 | – | – | 55 | 0.2 |
| 3 | −0.40 | 17.1 | 6.0 | 0.35 | 1.00 | 1.70 | 0.35 | 6.0 | −17.1 | −0.40 | – | – | 50 | 0.2 |
| 4 | −0.30 | 17.1 | 6.0 | 0.35 | 1.00 | 1.70 | 0.35 | 6.0 | −17.1 | −0.30 | – | 24 | – | 0.2 |
Designations in Table 1 and Figure 6: ibefore—longitudinal gradient of the street before hump, %; i1—approach ramp gradient, %; h1—approach ramp height, cm; l1—approach ramp length, m; lg—flat top length, m; lt—total length, m; l2—departure ramp length, m; h2—departure ramp height, cm; i2—departure ramp gradient, %; iafter—longitudinal gradient of the street after hump, %; lentry—distance between hump and street entry point, m; lexit—distance between hump and street exit point, m; z—spacing between humps, m; l3—drainage gutter width, m; i—analyzed hump; i + 1—next hump. (The numbering system of the humps under analysis is shown in Figure 3, Figure 4 and Figure 5).
The geometric parameters of the analyzed road humps are given in Table 1.
Figure 7, Figure 8 and Figure 9 in turn show examples of road humps situated in the respective study areas. Study area A included five humps: ca. 1 m total length and ca. 0.2 m flat top length (Figure 7). When passed at higher speeds, these humps, due to their shape, cause severe shocks and discomfort to the driver and/or passengers. Additionally, humps No. 1 and No. 2 are accompanied by roadside bollards placed on their center lines, which create a visual narrowing of the roadway ahead of the driver.
Figure 7.
Examples of humps in study area A: (a) speed hump No. 1; (b) speed hump No. 3. Source: Own work.
Figure 8.
Examples of humps in study area B: (a) speed table No. 1; (b) speed table No. 2. Source: Own work.
Figure 9.
Examples of humps in study area C: (a) speed table No. 2—sidewalk running on one side of the street only and an empty plot on the other side of the street; (b) speed table No. 4—home zone end and end of the paved section of the street under analysis. Source: Own work.
In study area B, two speed tables were 4 m in total length (Figure 8a), and the third shorter one was 1.5 m long (Figure 8b). On the northern side of the analyzed street, the properties are separated by fences and hedgerows, and there are no private entryways there. Private entryways are located on the south side only. Motor vehicles are generally parked on the south side only, near speed table No. 2.
Study area C includes four speed tables that are very similar in shape and having only slightly varying geometric parameters in correspondence with the longitudinal gradient variation of the street (Figure 9). On its north side, the street has no sidewalk, and the side features are limited to fences (Figure 9a) and one entryway leading to a group of over a dozen vacation houses (Figure 9b). On the south side, there are over a dozen private entryways, and the properties have fenced front gardens. This entryway arrangement encourages drivers to swerve around the speed tables located there, running the nearside wheels onto the adjacent sidewalk or onto the speed table’s side slopes in order to avoid the violent shaking of the vehicle and the discomfort felt inside the vehicle when passing through the hump at higher speeds, this being an example of erratic driving. During the speed surveys carried out as part of this study, such erratic maneuvers were noted rather frequently.
4. Result
4.1. Results Obtained in the Study Area A
Box and whisker plots were drawn as the first step of data processing (Figure 10). The whiskers represent the minimum and maximum values; lower and upper edges of the boxes determine the first and third quartiles; the white line designates the median value. Figure 10 also shows the approach ramp’s height h1 and the hump spacing interval z. The first and last of the latter are the distances measured between the hump axis and the beginning and end of the street, respectively. The highest speeds were recorded at the study area A entry point (red rectangle in Figure 10a), the street shape in longitudinal profile and no houses in the short initial section being the most proba-ble causes of that (Figure 4). Hence, a very high speed reduction was noted at speed hump No. 1 (Figure 10a), and likewise, an increase in speed after passing speed hump No. 1 was noted in the opposite traffic direction (green rectangle in Figure 10b). Higher speeds were also noted on the section past speed hump No. 5 (red rectangle in Figure 10b), where the roadway had a gradient of −4.75%. Still, they were much lower than the speeds noted past speed hump No. 1. At the other speed humps, the speed changes were small and even, and they were greater only at speed humps accompanied by roadside bollards (speed humps No. 1 and No. 2). This indicates the high relevance of speed reductions with respect to the short distance to the home zone’s entry or exit points, longitudinal gradients of greater than 2.5% (before and after hump), and the presence of roadside bollards.
Figure 10.
Speeds along the analyzed street in study area A: (a) from east; (b) from west. Source: Own work.
The speed parameters, speed reductions, and statistical tests, such as the goodness-of-fit test (Equation (1)) and two-sample K-S goodness-of-fit tests (Equation (2)), calculated in line with the research assumptions, are given in Table 2 below.
Table 2.
Speed parameters and statistical test results in study area A. Source: Own work.
It should be noted that in study area A, very different parking arrangements were noted, as shown in Figure 11. During the survey, at speed humps No. 1 and No. 2 during the measurements, there were only single vehicles parked on one side of the street; this was due to the presence of roadside bollards positioned on the hump axes (Figure 11a), which may have further influenced the traffic speed (Figure 10). At speed hump No. 3, there were many vehicles parked parallel to the roadway axis on both sides of the street, which visually narrowed the carriageway to one travel lane (Figure 11b) and may have contributed to the maintaining of the speed limit by the drivers (Figure 10). On the section between speed humps No. 3 and No. 4, where the longitudinal gradient exceeded −2.5%, vehicles were parked both parallel and perpendicular to the roadway axis, which may have also influenced the measured speeds (Figure 11b). Summing up the above analyses, it can be concluded that the factors that significantly influence traffic speeds include the longitudinal gradient of the roadway, parking arrangements, and the presence of roadside bollards.

Figure 11.
Varying parking arrangements in study area A: (a) speed hump No. 2; (b) speed hump No. 3; (c) speed humps No. 3 and No. 4; (d) speed humps No. 4 and No. 5. Source: Own work.
4.2. Result Obtained in Study Area B
A box and whisker plot was also drawn for study area B. Similarly to study area A, the obtained results in study area B are given in Table 3 below. In this case, there are three speed tables, strongly differing in terms of shape and geometric parameters (Table 1 and Figure 12). It must be noted that the considerable variation in the approach and departure ramp heights was caused primarily by the varying topography of the area in question (Table 1). The analysis of the data presented in Figure 12 showed that speed tables higher than 8 cm were more effective in reducing the speed of traffic, while amongst the ca. 7 cm high ones, speed reductions were only noted for the one located at sloping gradient of −4.75% (red rectangle in Figure 12b). It must be noted though that except for one case, the speeds were very stable (Figure 12a—after speed table No. 1).
Table 3.
Speed parameters and statistical results in study area B. Source: Own work.
Figure 12.
Speeds along the analyzed street in study area B: (a) from east; (b) from west. Source: Own work.
The street in study area B features strongly varied geometric parameters, and there are no sidewalks or parking arrangements on the section between speed tables No. 2 and No. 3 (Figure 13a). On one side, the street is lined with gardens, without any entryways leading either to the house or to the rear garden located there. On the other side of this street, there are as yet empty building plots (Figure 13a). The section before speed table No. 2 includes sidewalk sections on one side of the street (Figure 13b), running flush with the roadway surface. At the section between speed tables No. 1 and No. 2, the residents may only use one side of the street only. The “before” and “after” speeds were influenced primarily by the strongly varied longitudinal gradients of the street, speed tables’ location at the street beginning or end, and varying parking arrangements and speed table heights (Figure 12). Thus, the above analysis demonstrated that the speed table parameters and the spacing intervals along the street are not the only factors influencing the final speeds. The other relevant factors include street landscaping characteristics and the presence of parked vehicles.
Figure 13.
Varying parking arrangements in study area B: (a) speed table No. 3; (b) speed table No. 2. Source: Own work.
4.3. Result Obtained in Study Area C
Similar analyses were carried out in study area C (Table 4 and Figure 14). In this case, the speed tables located there were very similar in shape and had similar geometric parameters. Also very similar were the spacing intervals between the successive speed tables, ranging from 45 m to 55 m. In addition, the speed tables were almost identical in height (Table 1 and Figure 14). Steep approach and departure ramps were, however, the primary factors influencing the recorded speeds in this case (Figure 15a,b). With no parked vehicles noted during the survey (Figure 15a), it was possible to limit the factors that should be considered relevant to speed reductions to the speed table ramp parameters only. It is also worth emphasizing that relatively larger speeds were recorded at the entrance to the home zone before the first speed table No. 1 (red rectangle Figure 14a). The higher speeds noted before speed table No. 1 are associated with a 10 m long section of the analyzed street, a continuation of a long straight section of the previous street. Similar observations can be made in relation to speed table No. 4, the last speed table on this street, which is located at the street’s end and surfaced with concrete block paving (Figure 14). After speed table No. 4, the street turns into an unpaved forest road. On the way to speed table No. 4, drivers see the near end of the street, which makes them refrain from accelerating after passing through speed table No. 4 (Figure 9b). Travelling in the opposite direction, drivers would also drive slowly when entering the street from the forest road. The above-described features also characterize the street landscaping around the speed tables located in this study area.
Table 4.
Summary of speed parameters and statistical results in study area C. Source: Own work.
Figure 14.
Speeds along the analyzed street in study area C: (a) from east; (b) from west. Source: Own work.
Figure 15.
Variable street cross-section parameters in study area C: (a) speed table No. 1—sidewalk running on one side only; (b) speed table No. 3—sidewalk running on one side of the street only and a sealed fence on the other side. Source: Own work.
4.4. Results of Other Statistical Tests
The influence of traffic direction on the speed for each road hump was analyzed as the first step. Table 5 summarizes the results of the tests performed for the “before” and “after” speed datasets: two-sample K-S test (Equation (3a,b)), test of independence (Equation (4a,b)), and median test (Equation (5a,b)).
Table 5.
Summary of the results of statistical tests carried out to check the effect of the direction of travel on the traffic speed. Source: Own work.
A detailed analysis of the results of the tests presented in Table 5 demonstrated that the siting of the first and last humps on a given street had a significant effect on the final speed (see Figure 15a,c). In that case, there were other factors having a significant influence on the traffic speed, including the following (see data in Table 1 and Table 5):
- –
- Street longitudinal gradient (study area A—speed hump No. 1 ≈ 0.4% and speed hump No. 5: 4.75% and 2.6%; study area B—speed table No. 1 at 0.9% and speed table No. 3—3.7% and 3.2%; study area C—speed table No. 1 at 0.1% and speed table No. 4 at −0.3%);
- –
- Distance from the entry point to the first hump or distance from the last hump to the end of the street (study area A—speed hump No. 1 at 70 m and speed hump No. 5—93 m; study area B—speed table No. 1 at 71 m and speed table No. 3—109 m; study area C—speed table No. 1 at 10 m and speed table No. 4—24 m);
- –
- Street surroundings on the approach to the home zone (houses on both or only one side of the street, presence of as yet empty building plots, and continuation with a paved street or unpaved forest road).
At the remaining intermediate humps, the effect of the direction of traffic on speed was confirmed only in a few cases, e.g., on sections with gradients greater than 2.5% (Figure 16a), where roadside bollards were placed (Figure 16b) and where the street was lined with fragmentary sidewalks (Figure 13b,c).
Figure 16.
Differences between speed distribution functions on selected humps: (a) study area A—speed hump No. 5; (b) study area A—speed hump No. 2; (c) study area B—speed table No. 2. Source: Own work.
In Table 5, bold print denotes the test results, which demonstrated statistically significant differences in the “before” and “after” speed datasets. Another observation from the analysis of the test results given in Table 5 and the speed variation data presented in Figure 10, Figure 12 and Figure 14 was the confirmation of the compliance with the 20 km/h speed limit on the analyzed streets and a lack of considerable speed variation. This is confirmed, in particular, by the results of the test of independence (see data in Table 5), which analyzes the sizes of the below and above 20 km/h speed datasets. In most cases, for intermediate humps, only a few instances, if any, of speeds exceeding 20 km/h were obtained. Therefore, the results of the test of independence supported the H0 null hypothesis that the direction of traffic had no effect on traffic speed. The results of the two-sample K-S test can be interpreted in a similar manner since speeds with a small range of changes up to ca. 20 km/h gave similar cumulative distribution functions. In analyzing the effect of the direction of traffic on speed, the median test proved the most reliable tool, which analyzes the sizes of datasets of speeds lower or greater than the median calculated from the “before” and “after” speed data for both traffic directions (Equation (5a,b)). In most cases, the results of the median test were positive; that is, they confirmed the influence of the direction of traffic on the traffic speed. To sum up, we can confirm the hypothesis contained in research question ② concerning the influence of the direction of traffic on the “before” and “after” speeds.
The subsequent statistical analyses concerned research question ③ and the determination of other factors that may influence speed. This problem has been addressed in part in the descriptions of previous analyses. Here, all tests were performed in relation to the speed populations obtained at successive road humps in a given traffic direction. Table 6 gives the results of three statistical tests relating to the influence on the speed of other street landscaping characteristics around the analyzed humps: two-sample K–S test (Equation (6a,b)), test of independence (Equation (7a,b)), and median test (Equation (8a,b)).
Table 6.
A summary of the results of statistical tests with respect to the influence of the speed of surrounding features around successive humps. Source: Own work.
The analysis of speed variation along the analyzed streets shown in Figure 10, Figure 12 and Figure 14 and of the test results given in Table 6 shows that the road humps used in the study areas had a mobilizing effect on drivers, who in most cases kept their speed down at about 20 km/h. Very different test results can be interpreted using the analysis of the cumulative distribution curves, e.g., in study area B (Figure 17).
Figure 17.
Differences between speed distribution functions on selected humps in study area B: (a) from east—speed tables No. 1 and No. 2; (b) from east—speed tables No. 2 and No. 3; (c) from west—speed tables No. 3 and No. 2; (d) from west—speed tables No. 2 and No. 1. Source: Own work.
The most considerable differences in the cumulative distribution curves, confirming differences between the analyzed populations, were noted from the west before and after speed tables No. 1 and No. 2 (Figure 17a,d). The test of independence takes into account the sizes of the above and below 20 km/h datasets. When analyzing the speed from the west after speed tables No. 1 and No. 2, only a few instances of speeds exceeding 20 km/h were noted, and hence, the test did not confirm a difference between these populations. In contrast, the median test takes into account the size of the datasets above and below the median speed, which is why, in this case, this test proved to be the most reliable. Differences between the individual median speed values before and after speed tables No. 1 and No. 2 are shown in Figure 17d and Figure 12b. The results of median tests in particular were also influenced by street landscaping characteristics, i.e., the presence or absence of sidewalks and parked vehicles, different longitudinal gradients before and after humps, the hump’s height, the spacing intervals between the successive humps, and the distance to the beginning or the end of the street.
5. Selection of the Relevant Street Landscaping Characteristics Around the Analyzed Humps
The relevant street landscaping characteristics around the analyzed humps were chosen on the basis of the analyses in Section 4.1, Section 4.2, Section 4.3 and Section 4.4. The key street landscaping characteristics considered for the purposes of this study include street cross-section parameters (Figure 18—sidewalks, roadway width, and presence of on-street parking lanes) and also roadway vertical alignment (main gradients in excess of −2.5%), which may significantly contribute to higher vehicle speeds.
Figure 18.
Variable street cross-section parameters at study area B: (a) speed table No. 3—a lack of sidewalks and fences or hedgerows visually narrowing the space; (b) speed table No. 2—street with fragmentary sidewalks and private entryways only on one side of the street or with hedges, visually narrowing the space on the other side of the street. Source: Own work.
The visual narrowing of the street by bollards placed at the hump axis (Figure 19a) or streetlights, as recommended, for example, by the guidelines in [4], may also be highly relevant in this regard. Also, different parking arrangements at the humps may visually narrow the roadway (Figure 19b). This condition of siting the parking spaces should be incorporated during the early phase of home zone and traffic calming planning processes and after a preliminary analysis of adjacent housing, taking into account the following:
Figure 19.
Selection of the relevant street landscaping characteristics around the analyzed humps: (a) elements small architecture—bollards located on the hump axis; (b) different parking orientations on both sides of the street. Source: Own work.
- –
- Location of planned garages and private entryways;
- –
- Number of residents of a given single property, having determined the possible need for several parking spaces;
- –
- Planned front gardens or parking spaces in front of the house, perpendicular to the roadway axis (Figure 19b).
Based on a preliminary analysis of the size of individual buildings and the planned number of their residents, when designing a new home zone, designers can in advance plan an adequate number of parking spaces and their orientation relative to the roadway axis. And in existing home zones, when planning traffic calming and determining the location of humps, one can also plan the needed number of parking spaces and their orientation relative to the roadway axis, following public consultations with residents. The proposed method of planning parking spaces will allow the planning of the visual narrowing of the roadway and the siting of humps in a more effective manner.
The formulated features characterizing street landscaping and their confirmation in the analyzed study areas are presented in Table 7: a—cross-section of the given street; b—location of the analyzed hump on the given street; c—what is located after the hump (sidewalk, fence, or hedge); d—the longitudinal slope of the after hump; e—the method of parking passenger cars after the hump; f—whether bollards were used. When confirming the presence of a given characteristic in the surroundings of the analyzed hump in Table 7, the relevant logical tautology obtained a quantitative score of “1”; otherwise, it obtained a score of “0”, as in the binary, zero-one law of logic. For sidewalks, an intermediate score of “0.25” was used, following the speed analysis and based on observations made during the speed surveys. This pertained to the situation where private entryways were located near humps, thus encouraging erratic driving with the nearside wheels running on the sidewalk in order to avoid shocks while passing over the hump. Analyses of the effect of longitudinal gradients on speeds allowed us to use the following scoring system: a score of “1” for gradients greater than 2.5%, score of “0.5” for 2–2.5% gradients, score of “0.25” for 1–2% gradients, and score of “0” for gradients below 1%. Likewise, intermediate scores were assigned to different manners of parking near humps. After an analysis of the speed and different parking arrangements, which had a significant impact on the visual narrowing of the roadway, the following quantification scoring system was applied: score “1”—for vehicles parked on both sides; score “0.5”—for vehicles parked on one side only; score “0.25”—for different parking vehicle orientations relative to the roadway axis and a small roadway width restriction; score “0”—where no vehicles were parked on the street under analysis.
Table 7.
Selected street landscaping characteristics and the proposed quantitative scores. Source: Own work.
6. Discussion
6.1. Analysis of the Influence of Selected Geometric Parameters of the Street and of the Humps Located Thereon on Speed
Table 8 presents the values of the correlation coefficients of speed parameters with selected geometric parameters obtained from the survey data. The analysis of the data presented in Table 8 showed a large variation in the calculated correlation coefficients and consequently the inability to definitely indicate a reliable parameter influencing the speed results. This may indicate the likely cumulative effect on the speed of geometric and other relevant parameters.
Table 8.
Correlation coefficients R of the dependency of the selected speed parameters on the street or hump geometric parameters. Source: Own work.
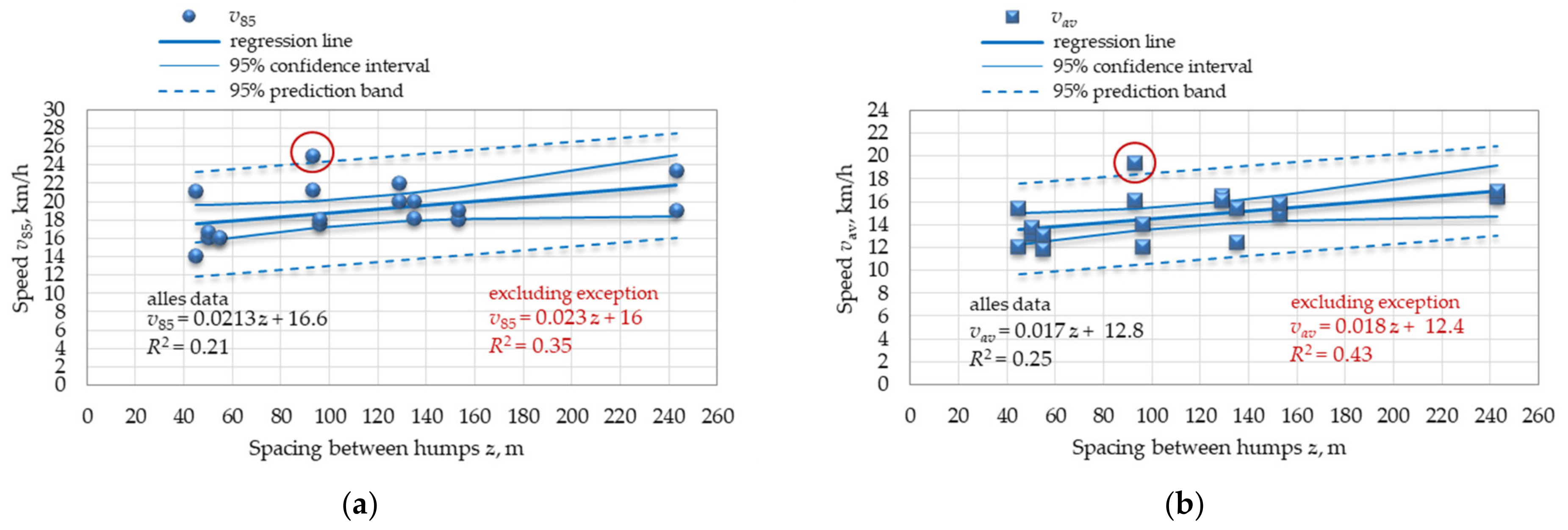
Taking into account the calculated v85 values in a wide range of hump spacing intervals, the results of regression analysis of the compared variables are shown in Figure 20 in aggregate for all the analyzed study areas. Analyses of the data presented in Figure 20 demonstrated that almost all v85 values fall within the 95% prediction band, except for one “after” speed value recorded on the section having the −4.75% gradient (encircled red circle in Figure 20a,b).
Figure 20.
Analysis of the influence of spacing intervals on “after” speeds: (a) v85; (b) vav. Source: Own work.
However, the low coefficient of determination value indicates the need for further research and, at the same time, the likely relevance of other factors, such as advantageous street landscaping.
6.2. Analysis of the Effects of Other Factors
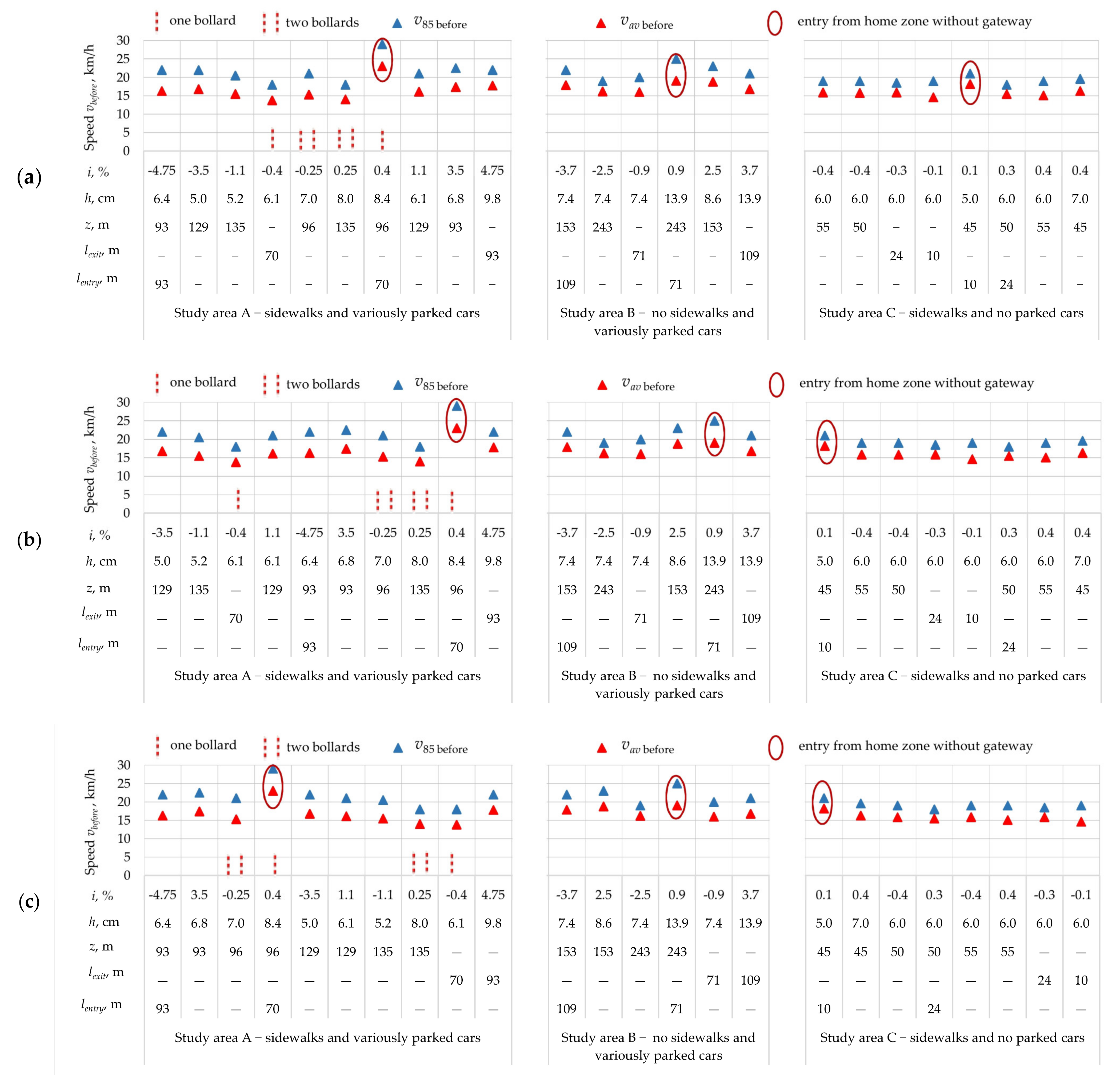
Taking into account the great diversity of the street landscaping characteristics in the analyzed study areas, an analysis of the influence of these characteristics on the final speed was performed separately for each of the study areas in question. Taking into account the great diversity of street landscaping characteristics in the analyzed study areas, an analysis of their influence on the final speed was conducted for all study areas jointly (Figure 21, Figure 22 and Figure 23). The analysis of the data presented in Figure 21, Figure 22 and Figure 23 shows the following:
Figure 21.
Dependence of speed before humps on the parameters of humps and adopted determinants: (a) ordered with respect to the longitudinal inclination; (b) ordered according to the height of the humps; (c) ordered according to the distance between humps. Source: Own work.

Figure 22.
Dependence of speed after humps on the parameters and adopted determinants: (a) ordered with respect to the longitudinal inclination; (b) ordered according to the height of the humps; (c) ordered according to the distance between humps.

Figure 23.
Dependence of reduced speeds on the parameters and adopted determinants: (a) ordered with respect to the longitudinal inclination; (b) ordered according to the height of the humps; (c) ordered according to the distance between humps.
- –
- In almost all study areas, “after” speeds were kept at about 20 km/h or less (Figure 22).
- –
- –
- In the traffic calming design process, particular attention should be paid to the first and the last road humps on a given street, and the right hump parameters should be chosen, taking into account the narrowing of the entrance and exit widths and the characteristics of street landscaping around them (Figure 21). We recommend using a gateway at the entrance and exit to/from the home zone.
- –
- “After” speeds depend not only on the hump height and hump spacing intervals but also on the street landscaping characteristics. The more these features are taken into account, the lower the v85 and vav speeds (Figure 22).
- –
7. Conclusions
Based on the data from this research, the following can be concluded:
- –
- The use of road humps in home zones is effective, and they contribute to keeping the speed limits by motorists, yet the slowing effect of the installed road humps depends on many factors.
- –
- The most effective in reducing traffic speeds are road humps with very steep ramps installed at 45 to 55 m spacing intervals.
- –
- The effectiveness of speed reductions on the sections between successive road humps depends primarily on the humps’ type(s), their geometric parameters and spacing interval(s), their location relative to the beginning or end of the street, and the direction of traffic, and last but not least, on the street gradient.
- –
- Other highly relevant factors include street landscaping features, i.e., sidewalks, hedges, bollards, and the parking arrangement in the vicinity of road humps. If there are no sidewalks, fences, hedges, and parked cars on the analyzed street located in a home zone, the effect of the installed road humps on the traffic speed may drop to a minimum, and this being so, the objective of road hump installations may not be achieved at all.
The results presented in this article refer to three selected streets featuring strongly varied gradients and street landscaping. However, the research on road hump performance is by no means considered complete; hence, the studies on their effectiveness in speed reduction should continue and extended by many further analyses, which will allow the introduction of supplementary recommendations to the relevant design guidelines.
The results obtained have certain limitations due to the natural conditions associated with parking and street landscaping. The authors plan to conduct verification studies using a traffic simulator in the selected study areas, varying not only the orientation of parking spaces but also the presence or absence of vehicle parking, along with the use or non-use of bollards.
The research methods proposed in the article can be applied to other analyses of the impact of various traffic calming measures on speed. The proposed set of statistical tests can be used both in theoretical discussions and practical applications in other research areas and for different traffic calming issues. The obtained research results significantly expand the topic of sustainability in home zone design, as they consider not only the effectiveness of humps but also incorporate parking patterns, street landscaping, and the use of small architectural elements into these analyses.
Author Contributions
Conceptualization, S.M. and A.S.; methodology, S.M. and A.S.; formal analysis, S.M. and A.S.; data curation S.M. and A.S.; writing—original draft preparation, S.M. and A.S.; writing—review and editing, S.M. and A.S.; visualization, S.M. and A.S. All authors have read and agreed to the published version of the manuscript.
Funding
This research received no external funding.
Institutional Review Board Statement
Not applicable.
Informed Consent Statement
Not applicable.
Data Availability Statement
The data presented in this study are available in the article.
Conflicts of Interest
The authors declare no conflicts of interest.
References
- Traffic Calming; Local Transport Note 1/07; Department for Regional Development (Northern Ireland), Scottish Executives, Welsh Assembly Government: London, UK, 2007.
- Richtlijn Verkeersdrempels. Publicatie 172; CROW: Ede, The Netherlands, 2002.
- Danish Road Directorate. Urban Traffic Areas—Part 7—Speed Reducers; Vejdirektoratet-Vejregeludvalget, Road Data Laboratory: Copenhagen, Denmark, 1991. [Google Scholar]
- Directives for the Design of Urban Roads; RASt 06; Road and Transportation Research Association: Köln, Germany, 2012.
- Ustawa—Prawo o ruchu drogowym, Dziennik Ustaw 1997 nr 98 poz. 602, z późn. zm. Available online: https://isap.sejm.gov.pl/isap.nsf/DocDetails.xsp?id=wdu19970980602 (accessed on 2 November 2024). (In Polish)
- Szczegółowe warunki techniczne dla znaków i sygnałów drogowych oraz urządzeń bezpieczeństwa ruchu drogowego i warunki ich umieszczania na drogach, Dziennik Ustaw 2021 poz. 2066. Available online: https://isap.sejm.gov.pl/isap.nsf/download.xsp/WDU20210002066/O/D20212066.pdf (accessed on 2 November 2024). (In Polish)
- Traffic Management Guidelines; Government Publications Sale Office, Sun Alliance House: Dublin, Ireland, 2014.
- Hummel, T.; Mackie, A.; Wells, P. Traffic Calming Measures in Built-Up Areas Literature Review PR/SE/622/02; Unpublished Project Report; Swedish National Road Administration: Borlänge, Sweden, 2002.
- Janssens, I.; Chalanton, I.; Bertrand, P.-J.; Caelen, E.; Broeckaert, M.; Dullaert, I.; Englebin, Y.; Houdmont, A.; Mathieu, V.; Temmerman, P.; et al. Het (Woon) Erf, Brochure ter Attentie van de Weg Beheerders; Belgisch Institut voor de Verkeersveiligheid BIVV: Brussel, Belgium, 2013. [Google Scholar]
- DDOT. Guidelines on Vertical Traffic Calming Implementation; District Departament of Transportation DDOT: Washington, DC, USA, 2022.
- Sayer, I.A.; Nicholls, D.A.; Layfield, R.E. Traffic Calming: Passenger and Rider Discomfort at Sinusoidal, Round-Top and Flat-Top Humps—a Track Trial at TRL, Report 417; Department of the Environment, Transport and the Regions: Crowthorne, UK, 1999.
- Webster, D.C.; Layfield, R.E. Traffic Calming—Road Hump Schemes Using 75 Mm High Humps, Report 186; Transport Research Laboratory: Crowthorne, UK, 1996. [Google Scholar]
- Watts, G.R. Road Humps for the Control of Vehicle Speeds; TRRL Laboratory Report 597; Transport Research Laboratory: Crowthorne, UK, 1973. [Google Scholar]
- Watts, G.R.; Harris, G.J. Traffic Calming: Vehicle Generated Ground-Borne Vibration Alongside Speed Control Cushions and Road Humps; TRL Report 235; Transport Research Laboratory: Crowthorne, UK, 1996. [Google Scholar]
- Webster, D.C. Road Humps for Controlling Vehicle Speeds; TRL Project Report 18; Transport Research Laboratory: Crowthorne, UK, 1993. [Google Scholar]
- Webster, D.C. The grounding of vehicles on road humps. Traffic Eng. Control. 1993, 34, 369–371. [Google Scholar]
- Webster, D.C. Speeds at ‘Thumps’ and Low Height Road Humps; TRL Project Report 101; Transport Research Laboratory: Crowthorne, UK, 1994. [Google Scholar]
- CROW Gerelateerde Verkeersdrempels &–Plateaus; Struyk Verwo–INFRA–Straatbepland: Ede, The Netherlands, 2002.
- Pau, M. Speed Bumps May Induce Improper Drivers’ Behavior: Case Study in Italy. J. Transp. Eng. 2002, 128, 472–478. [Google Scholar] [CrossRef]
- Pau, M.; Angius, S. Do speed bumps really decrease traffic speed? An Italian experience. Accid. Anal. Prev. 2001, 33, 585–597. [Google Scholar] [CrossRef] [PubMed]
- Benzaman, B.; Ward, N.J.; Schell, W.J. The Influence of Inferred Traffic Safety Culture on Traffic Safety Performance in U.S. States (1994–2014). J. Saf. Res. 2022, 80, 311–319. [Google Scholar] [CrossRef] [PubMed]
- Zaidel, D.; Hakkert, A.S.; Pistiner, A.H. The use of road humps for moderating speeds on urban streets. Accid. Anal. Prev. 1992, 24, 45–56. [Google Scholar] [CrossRef]
- Gitelman, V.; Carmel, R.; Pesahov, F.; Chen, S. Changes in road-user behaviors following the installation of raised pedestrian crosswalks combined with preceding speed humps, on urban arterials. Transp. Res. Part F Traffic Psychol. Behav. 2017, 46, 356–372. [Google Scholar] [CrossRef]
- Antić, B.; Pešić, D.; Vujanić, M.; Lipovac, K. The influence of speed bumps heights to the decrease of the vehicle speed—Belgrade experience. Saf. Sci. 2013, 57, 303–312. [Google Scholar] [CrossRef]
- Gedik, A.; Bilgin, E.; Lav, A.H.; Artan, R. An Investigation into the Effect of Parabolic Speed Hump Profiles on Ride Comfort and Driving Safety under Variable Vehicle Speeds: A Campus Experience. Sustain. Cities Soc. 2019, 45, 413–421. [Google Scholar] [CrossRef]
- Kassem, E.; Al-Nassar, Y. Dynamic Considerations of Speed Control Humps. Transp. Res. Part B Methodol. 1982, 16, 291–302. [Google Scholar] [CrossRef]
- Khorshid, E.; Alkalby, F.; Kamal, H. Measurement of whole-body vibration exposure from speed control humps. J. Sound Vib. 2007, 304, 640–659. [Google Scholar] [CrossRef]
- Loprencipe, G.; Moretti, L.; Pantuso, A.; Banfi, E. Raised Pedestrian Crossings: Analysis of Their Characteristics on a Road Network and Geometric Sizing Proposal. Appl. Sci. 2019, 9, 2844. [Google Scholar] [CrossRef]
- D’Apuzzo, M.; Evangelisti, A.; Santilli, D.; Nardoianni, S.; Cappelli, G.; Nicolosi, V. Towards a New Design Methodology for Vertical Traffic Calming Devices. Sustainability 2023, 15, 13381. [Google Scholar] [CrossRef]
- Majer, S.; Sołowczuk, A.; Kurnatowski, M. Design and Construction Aspects of Concrete Block Paved Vertical Traffic-Calming Devices Located in Home Zone Areas. Sustainability 2024, 16, 2982. [Google Scholar] [CrossRef]
- Jarvis, J.R.; Sweatman, P.F. The Loading of Pavements in the Vicinity of Road Humps. Aust. Road Res. 1982, 11, 45–55. [Google Scholar]
- Zakaria, M.H.; Al-Ayaat, A.H.; Shwaly, S.A. Impact of Road Humps on the Pavement Surface Condition. Civ. Eng. J. 2019, 5, 1314–1326. [Google Scholar] [CrossRef]
- Radhiah Bachok, K.S.; Kadar Hamsa, A.A.; Bin Mohamed, M.Z.; Ibrahim, M. A Theoretical Overview of Road Hump Effects on Traffic Noise in Improving Residential Well-Being. Transp. Res. Procedia 2017, 25, 3383–3397. [Google Scholar] [CrossRef]
- Wewalwala, S.; Sonnadara, U. Traffic Noise Enhancement Due to Speed Bumps. Sri Lankan J. Phys. 2012, 12, 1–6. [Google Scholar] [CrossRef]
- Rosli, N.S.; Hamsa, A.A.K. Evaluating the Effects of Road Hump on Traffic Volume and Noise Level at Taman Keramat Residential Area, Kuala Lumpur. J. East. Asia Soc. Transp. Stud. 2013, 10, 1171–1188. [Google Scholar] [CrossRef]
- Lee, G.; Joo, S.; Oh, C.; Choi, K. An evaluation framework for traffic calming measures in residential areas. Transp. Res. Part D Transp. Environ. 2013, 25, 68–76. [Google Scholar] [CrossRef]
- Gonzalo-Orden, H.; Pérez-Acebo, H.; Unamunzaga, A.L.; Arce, M.R. Effects of Traffic Calming Measures in Different Urban Areas. Transp. Res. Procedia 2018, 33, 83–90. [Google Scholar] [CrossRef]
- Yeo, I.; Baek, J.-G.; Choi, J.-W.; Kim, Y.S. The Optimal Spacing of Speed Humps in Traffic Calming Areas. J. Korean Soc. Road Eng. 2013, 15, 151–157. [Google Scholar] [CrossRef]
- Kveladze, I.; Agerholm, N. Visual Analysis of Speed Bumps Using Floating Car Dataset. J. Locat. Based Serv. 2018, 12, 119–139. [Google Scholar] [CrossRef]
- Vitronic. Speed Displays Traffic Detection, Radar, Detection, Software; Vitronic: Kędzierzyn Koźle, Poland, 2015. [Google Scholar]
- Majer, S.; Sołowczuk, A. Traffic Circle–An Example of Sustainable Home Zone Design. Sustainability 2023, 15, 16751. [Google Scholar] [CrossRef]
Disclaimer/Publisher’s Note: The statements, opinions and data contained in all publications are solely those of the individual author(s) and contributor(s) and not of MDPI and/or the editor(s). MDPI and/or the editor(s) disclaim responsibility for any injury to people or property resulting from any ideas, methods, instructions or products referred to in the content. |
© 2025 by the authors. Licensee MDPI, Basel, Switzerland. This article is an open access article distributed under the terms and conditions of the Creative Commons Attribution (CC BY) license (https://creativecommons.org/licenses/by/4.0/).

























