Factors Influencing Water Point Functionality in Liberia: A Regression and Bayesian Network Analysis
Abstract
1. Introduction
2. Materials and Methods
2.1. Data Source
2.2. Data Processing and Cleaning
2.2.1. Inclusion and Exclusion Criteria
2.2.2. Missing Variables
2.3. Exploratory Data Analysis
Geographic Distribution of Water Points
2.4. Statistical Analysis
2.4.1. Logistic Regression Model
2.4.2. Bayesian Network Model
3. Results
3.1. Descriptive Statistics Multivariable Logistic Regression Model
3.1.1. Maintenance and Availability of Mechanic
3.1.2. Damages and Repair
3.1.3. Payment for Water
3.1.4. Water Availability
3.1.5. Distance to Spare Part Provider
3.2. Bayesian Network Model and Posterior Odds Ratio
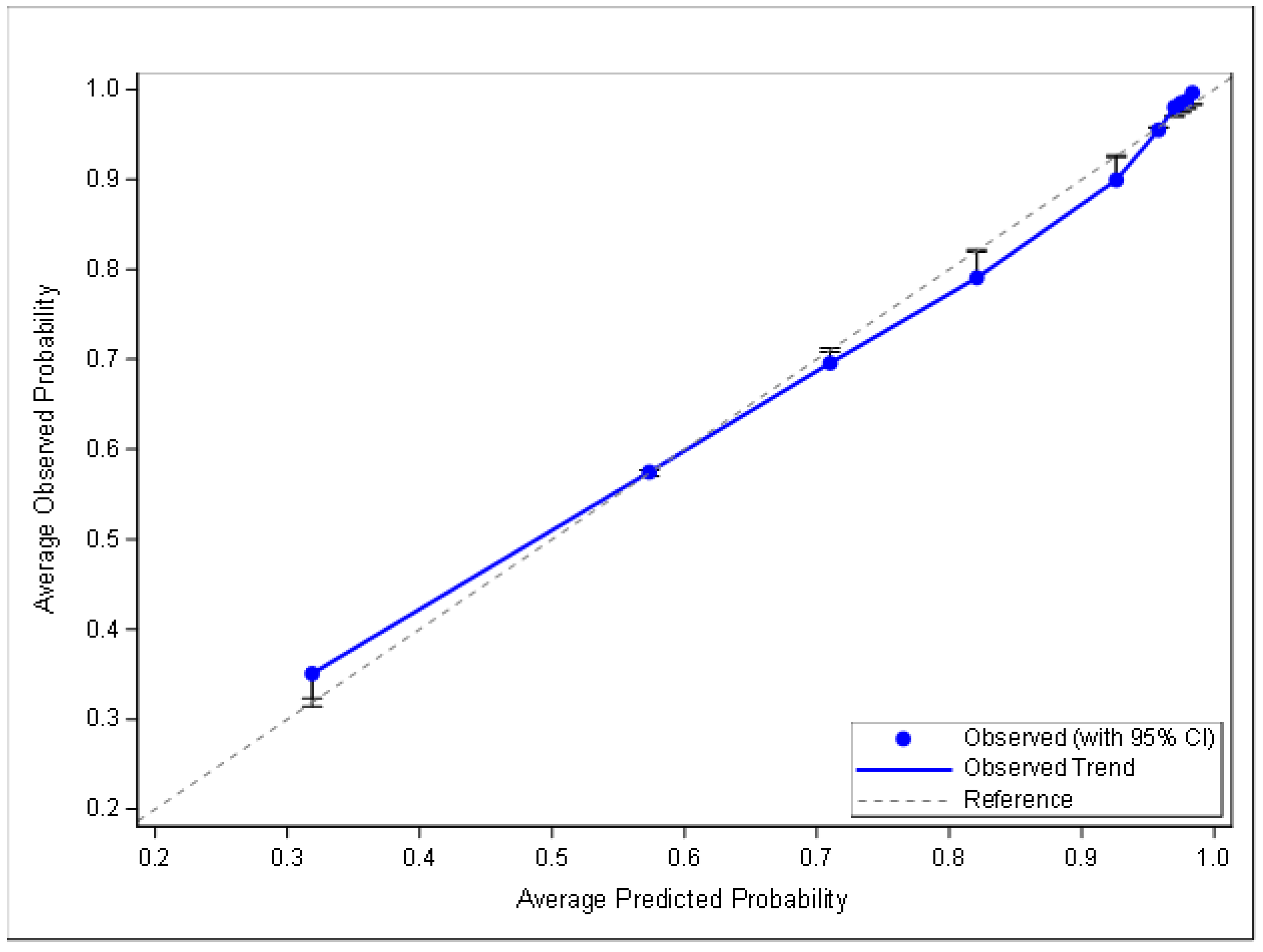
Sensitivity Analysis
4. Discussion
4.1. Mechanic and Toolkit Availability
4.2. Timely Repairs
4.3. Water Point Maintainer
4.4. Water Fee Collection
4.5. BN Model Simulation
4.6. Study Limitations
4.6.1. Causality and Older Data
4.6.2. Missing Data and Limited Scope
4.6.3. Data Quality
4.7. Study Outcomes
Author Contributions
Funding
Institutional Review Board Statement
Informed Consent Statement
Data Availability Statement
Acknowledgments
Conflicts of Interest
Abbreviations
| WASH | Water, Sanitation and Hygiene |
| AIC | Alkaline Information Criterion |
| BIC | Bayesian Information Criterion |
| AUC | Area Under the Curve |
| ROC | Receiver Operating Curve |
| Q | Quartile |
| BN | Bayesian Network |
Appendix A. BN Model
Appendix B. Logarithmic Loss
References
- United Nations. Human Rights to Water and Sanitation. Available online: https://www.unwater.org/water-facts/human-rights-water-and-sanitation (accessed on 3 August 2025).
- United Nations Population Division. World Population Prospects 2024. 2024. Available online: https://population.un.org/wpp/ (accessed on 3 August 2025).
- Hope, R. Four billion people lack safe water. Science 2024, 385, 708–709. [Google Scholar] [CrossRef]
- Fotio, H.K.; Nguea, S.M. Access to water and sanitation in Africa: Does globalization matter? Int. Econ. 2022, 170, 79–91. [Google Scholar] [CrossRef]
- United Nations Children’s Fund (UNICEF). Strategy for Water, Sanitation and Hygiene (WASH) 2016–2030; Technical report; UNICEF: New York, NY, USA, 2016; 75p. [Google Scholar]
- Alford, K.R.; Walls, L.K.; DeRuiter, S.L.; Pruim, R.; VanHorn, J.E.; Bone, M.; Deighton, J.; Koeman, J.; Kornoelje, S.; Koroma, A.; et al. Reduction in diarrhoea rates after household water filter distribution in small and remote communities in Liberia. Cogent Public Health 2023, 10, 2205716. [Google Scholar] [CrossRef]
- WHO/UNICEF Joint Monitoring Programme for Water Supply, Sanitation and Hygiene (JMP). Household Data. Dataset, WHO/UNICEF JMP. 2024. Available online: https://washdata.org/data/household (accessed on 21 June 2025).
- Hunter, P.R.; Zmirou-Navier, D.; Hartemann, P. Estimating the impact on health of poor reliability of drinking water interventions in developing countries. Sci. Total Environ. 2009, 407, 2621–2624. [Google Scholar] [CrossRef] [PubMed]
- Danert, K. Stop the Rot Report I: Handpump Reliance, Functionality and Technical Failure. Action Research on Handpump Component Quality and Corrosion in Sub-Saharan Africa; Technical report; Ask for Water GmbH; Skat Foundation; RWSN: St Gallen, Switzerland, 2022. [Google Scholar] [CrossRef]
- Foster, T.; Furey, S.; Banks, B.; Willetts, J. Functionality of handpump water supplies: A review of data from sub-Saharan Africa and the Asia-Pacific region. Int. J. Water Resour. Dev. 2020, 36, 855–869. [Google Scholar] [CrossRef]
- MacAllister, D.J.; MacDonald, A.M.; Kebede, S.; Godfrey, S.; Calow, R. Comparative performance of rural water supplies during drought. Nat. Commun. 2020, 11, 1099. [Google Scholar] [CrossRef]
- Fisher, M.B.; Shields, K.F.; Chan, T.U.; Christenson, E.; Cronk, R.D.; Leker, H.; Samani, D.; Apoya, P.; Lutz, A.; Bartram, J. Understanding handpump sustainability: Determinants of rural water source functionality in the Greater Afram Plains region of Ghana. Water Resour. Res. 2015, 51, 8431–8449. [Google Scholar] [CrossRef]
- Kativhu, T.; Mazvimavi, D.; Tevera, D.; Nhapi, I. Factors influencing sustainability of communally-managed water facilities in rural areas of Zimbabwe. Phys. Chem. Earth Parts A 2017, 100, 247–257. [Google Scholar] [CrossRef]
- Alexander, K.T.; Tesfaye, Y.; Dreibelbis, R.; Abaire, B.; Freeman, M.C. Governance and functionality of community water schemes in rural Ethiopia. Int. J. Public Health 2015, 60, 977–986. [Google Scholar] [CrossRef]
- Morita, T.; Bain, R.; Mommen, B.; Trelles, J.; Muianga, A.; Nhacume, A.; Cormency, C. Determinants of the operational performance of community-managed handpumps in rural Mozambique: An analysis of five years of cross-sectional sustainability assessments. Groundw. Sustain. Dev. 2024, 25, 101149. [Google Scholar] [CrossRef]
- Anthonj, C.; Fleming, L.; Cronk, R.; Godfrey, S.; Ambelu, A.; Bevan, J.; Sozzi, E.; Bartram, J. Improving Monitoring and Water Point Functionality in Rural Ethiopia. Water 2018, 10, 1591. [Google Scholar] [CrossRef]
- Truslove, J.P.; V. M. Miller, A.; Mannix, N.; Nhlema, M.; Rivett, M.O.; Coulson, A.B.; Mleta, P.; Kalin, R.M. Understanding the Functionality and Burden on Decentralised Rural Water Supply: Influence of Millennium Development Goal 7c Coverage Targets. Water 2019, 11, 494. [Google Scholar] [CrossRef]
- Truslove, J.P.; Coulson, A.B.; Mbalame, E.; Kalin, R.M. Barriers to handpump serviceability in Malawi: Life-cycle costing for sustainable service delivery. Environ. Sci. Water Res. Technol. 2020, 6, 2138–2152. [Google Scholar] [CrossRef]
- WASH-Liberia (National Water, Sanitation and Hygiene Commission). Water Point Survey Data—WASH-Liberia. 2017. Available online: https://wash-liberia.org/water-point-data/ (accessed on 3 August 2025).
- Corrales, D.; Corrales, J.; Ledezma, A. How to address the data quality issues in regression models: A guided process for data cleaning. Symmetry 2018, 10, 99. [Google Scholar] [CrossRef]
- Zhou, H. Accounting for Complex Sample Designs in Multiple Imputation Using the Finite Population Bayesian Bootstrap. Ph.D. Thesis, University of Michigan, Ann Arbor, MI, USA, 2014. [Google Scholar]
- Myers, J.A.; Rassen, J.A.; Gagne, J.J.; Huybrechts, K.F.; Schneeweiss, S.; Rothman, K.J.; Joffe, M.M.; Glynn, R.J. Effects of adjusting for instrumental variables on bias and precision of effect estimates. Am. J. Epidemiol. 2011, 174, 1213–1222. [Google Scholar] [CrossRef]
- Cronk, R.; Bartram, J. Factors influencing water system functionality in nigeria and tanzania: A regression and bayesian network analysis. Environ. Sci. Technol. 2017, 51, 11336–11345. [Google Scholar] [CrossRef]
- Walters, J.P.; Javernick-Will, A.N. Long-term functionality of rural water services in developing countries: A system dynamics approach to understanding the dynamic interaction of factors. Environ. Sci. Technol. 2015, 49, 5035–5043. [Google Scholar] [CrossRef]
- Mandrekar, J.N. Receiver operating characteristic curve in diagnostic test assessment. J. Thorac. Oncol. 2010, 5, 1315–1316. [Google Scholar] [CrossRef]
- Cheng, J.; Greiner, R.; Kelly, J.; Bell, D.; Liu, W. Learning Bayesian networks from data: An information-theory based approach. Artif. Intell. 2002, 137, 43–90. [Google Scholar] [CrossRef]
- Nekesa, J.; Kulanyi, R. District hand pump mechanics associations in Uganda for improved operation and maintenance of rural water-supply systems. Waterlines 2012, 31, 170–183. [Google Scholar] [CrossRef]
- Fink, E.L.; Chintalapati, P.; Lane, A.; Wester, A.; Javernick-Will, A.; Linden, K. Determinants of rural hand-pump functionality through maintenance provision in the Central African Republic. PLOS Water 2022, 1, e0000024. [Google Scholar] [CrossRef]
- Harvey, A.; Mukanga, J. Rural water service delivery: Addressing the hidden development crisis. Waterlines 2020, 39, 180–218. [Google Scholar] [CrossRef]
- Chowns, E. Is Community Management an Efficient and Effective Model of Public Service Delivery? Lessons from the Rural Water Supply Sector in Malawi. Public Adm. Dev. 2015, 35, 263–276. [Google Scholar] [CrossRef]
- Carter, R.C.; Ross, I. Beyond ‘functionality’ of handpump-supplied rural water services in developing countries. Waterlines 2016, 35, 94–110. [Google Scholar] [CrossRef]
- Tsekleves, E.; Fonseca Braga, M.; Abonge, C.; Santana, M.; Pickup, R.; Yongabi Anchang, K.; de Pippo, T.; Semple, K.; Roy, M. Community engagement in water, sanitation and hygiene in sub-Saharan Africa: Does it WASH? J. Water Sanit. Hyg. Dev. 2022, 12, 143–156. [Google Scholar] [CrossRef]
- Baumann, E. Do operation and maintenance pay? Waterlines 2006, 25, 10–12. [Google Scholar] [CrossRef]
- Carter, R.C. Rural Community Water Supply: Sustainable Services for All; Practical Action Publishing: Rugby, UK, 2021. [Google Scholar] [CrossRef]
- Hoque, S.F.; Hope, R. Examining the Economics of Affordability Through Water Diaries in Coastal Bangladesh. Water Econ. Policy 2020, 6, 1950011. [Google Scholar] [CrossRef]
- Harvey, P.A. Cost determination and sustainable financing for rural water services in sub-Saharan Africa. Water Policy 2007, 9, 373–391. [Google Scholar] [CrossRef]
- van den Broek, M.; Brown, J. Blueprint for breakdown? Community Based Management of rural groundwater in Uganda. Geoforum 2015, 67, 51–63. [Google Scholar] [CrossRef]
- Moriarty, P.; Smits, S.; Butterworth, J.; Franceys, R. Trends in Rural Water Supply: Towards a Service Delivery Approach. Water Altern. 2013, 6, 329–349. [Google Scholar]
- Murray, A.L.; Stone, G.; Yang, A.R.; Lawrence, N.F.; Matthews, H.; Kayser, G.L. Rural Water Point Functionality Estimates and Associations: Evidence From Nine Countries in Sub-Saharan Africa and South Asia. Water Resour. Res. 2024, 60, e2023WR034679. [Google Scholar] [CrossRef]
- Marks, S.J.; Komives, K.; Davis, J. Community Participation and Water Supply Sustainability: Evidence from Handpump Projects in Rural Ghana. J. Plan. Educ. Res. 2014, 34, 276–286. [Google Scholar] [CrossRef]
- Sanitation and Water for All. Liberia Country Overview. In Proceedings of the Prepared for the 2022 Sector Ministers’ Meeting, Jakarta, Indonesia, 18–19 May 2022; Technical report. Sanitation and Water for All (SWA): New York, NY, USA, 2022. [Google Scholar]
- Baumann, E.; Furey, S. How Three Handpumps Revolutionised Rural Water Supplies: A Brief History of the India Mark II/III, Afridev and the Zimbabwe Bush Pump; Field note no. 2013-1; Rural Water Supply Network: St. Gallen, Switzerland, 2013. [Google Scholar]
- McManus, C.; Lane, K.; Diarra, S.; Cronk, R. Alternative indicators of handpump functionality: Toward consistent performance-oriented monitoring. PLoS Water 2025, 4, e0000271. [Google Scholar] [CrossRef]





| Type of Variable | Survey Question | Survey Response | Variable Name | Variable Levels or Units |
|---|---|---|---|---|
| Outcome | Water point functionality | Yes—Functional (and in use) Yes—Functional (but not in use) No—Broken down | Functionality | Yes No |
| Predictor | Who is maintaining the water point (routine repairs)? | WASH management committee Other community group Private owner School NGO Other | Maintainer | No Management Local Institutional WASH committee |
| Predictor | Is there a trained mechanic available at this point? | Yes No | Mechanic and toolkit availability | No Mechanic Mechanic with Toolkit without Toolkit |
| Were trained mechanics provided with toolkits? | Yes No | |||
| Predictor | Is the water paid for at this point? | Yes, by volume Yes, flat rate Only after breakdown No, it’s free | Water point payment status | Per jerry can Per liter Only after a breakdown No, it’s free |
| Predictor | Last time the water point broke down, how long did it take to repair? | Never Broken More than a year Over a month Less than a week | Time it took to repair | Never Broken More than a year Over a month Less than a week |
| Predictor | Spare parts supplier distance (minutes) | Continuous (min) | Spare parts supplier distance | Quartile 1 (0–10 min) Quartile 2 (11–42.57 min) Quartile 3 (42.57–60 min) Quartile 4 (60–148 min) |
| Predictor | Is water available throughout the year? | Always water Seasonal Never water/dry | Water availability | Always water Seasonal |
| Mediator | Is the water point damaged? | Yes No | damage status | Yes No |
| Pump Brand | Frequency | Percent (%) |
|---|---|---|
| Afridev | 11,796 | 89.10 |
| Other | 467 | 3.53 |
| Consallen | 322 | 2.43 |
| India Mark | 273 | 2.06 |
| Kardia | 183 | 1.38 |
| Rope pump | 143 | 1.08 |
| Vergnet | 55 | 0.42 |
| Total | 13,239 | 100.00 |
| County | Water Points | Percent (%) |
|---|---|---|
| Montserrado | 6204 | 21.9 |
| Nimba | 2166 | 7.6 |
| Margibi | 1601 | 5.7 |
| Lofa | 1495 | 5.3 |
| Bomi | 1454 | 5.1 |
| Bong | 1402 | 4.9 |
| Grand Bassa | 1156 | 4.1 |
| Grand Cape Mount | 911 | 3.2 |
| Grand Gedeh | 909 | 3.2 |
| Maryland | 638 | 2.3 |
| Gbarpolu | 634 | 2.2 |
| Sinoe | 621 | 2.2 |
| Grand Kru | 414 | 1.5 |
| River Cess | 364 | 1.3 |
| River Gee | 236 | 0.8 |
| Total | 20,205 | 100.0 |
| Variable | Functional (N = 9089) | Non-Functional (N = 1976) | p-Value ** |
|---|---|---|---|
| Maintainer | <0.0001 | ||
| Institutional | 3225 (35.5%) | 640 (32.4%) | |
| WASH committee | 2699 (29.7%) | 660 (33.4%) | |
| Local | 2694 (29.6%) | 370 (18.7%) | |
| No Management | 471 (5.2%) | 306 (15.5%) | |
| Mechanic and toolkit availability | <0.0001 | ||
| No mechanic | 4771 (52.5%) | 1110 (56.2%) | |
| Mechanic with toolkits | 3576 (39.3%) | 647 (32.7%) | |
| Mechanic without toolkits | 742 (8.2%) | 219 (11.1%) | |
| Water point payment status | 0.2253 | ||
| No payment – it’s free | 7898 (86.9%) | 1723 (87.2%) | |
| After a system breakdown | 671 (7.4%) | 135 (6.8%) | |
| Yes, Flat rate | 342 (3.8%) | 88 (4.5%) | |
| Yes, by volume | 178 (2.0%) | 30 (1.5%) | |
| Time it took to repair | <0.0001 | ||
| Never Broken | 3757 (41.3%) | 210 (10.6%) | |
| Over a month | 2213 (24.3%) | 665 (33.7%) | |
| More than a year | 767 (8.4%) | 807 (40.8%) | |
| Less than a week | 1220 (13.4%) | 117 (5.9%) | |
| Over a week | 1132 (12.5%) | 177 (9.0%) | |
| Spare parts supplier distance | <0.0001 | ||
| Quartile 1 (0–10 min) | 2427 (26.7%) | 486 (24.6%) | |
| Quartile 2 (11–42.57 min) | 2143 (23.6%) | 362 (18.3%) | |
| Quartile 3 (42.57–60 min) | 2091 (23.0%) | 456 (23.0%) | |
| Quartile 4 (60–148 min) | 2428 (26.7%) | 654 (33.4%) | |
| Water availability | <0.0001 | ||
| Always Water | 6270 (69.0%) | 1091 (55.2%) | |
| Seasonal | 2819 (31.0%) | 885 (44.8%) | |
| Damage Status | <0.0001 | ||
| No | 6771 (74.5%) | 323 (16.3%) | |
| Yes | 2317 (25.5%) | 1653 (83.7%) |
| Unadjusted | Adjusted | |||||
|---|---|---|---|---|---|---|
| OR | 95% CI | p-Value ** | OR | 95% CI | p-Value ** | |
| Water point maintenance | ||||||
| Local vs No Management | 4.730 | 3.950–5.665 | <0.0001 | 3.733 | 2.993–4.657 | <0.0001 |
| Institutional vs No Management | 3.274 | 2.770–3.869 | <0.0001 | 2.893 | 2.349–3.562 | <0.0001 |
| WASH Committee vs No Management | 2.657 | 2.248–3.140 | <0.0001 | 2.426 | 1.946–3.026 | <0.0001 |
| Time it took to repair | ||||||
| Over a month vs. More than a year | 3.501 | 3.070–3.993 | <0.0001 | 2.893 | 2.491–3.360 | <0.0001 |
| Over a week vs. More than a year | 6.729 | 5.583–8.110 | <0.0001 | 4.896 | 3.982–6.020 | <0.0001 |
| Less than a week vs. More than a year | 10.971 | 8.858–13.59 | <0.0001 | 6.372 | 5.046–8.046 | <0.0001 |
| Never broken vs. More than a year | 18.823 | 15.87–22.32 | <0.0001 | 7.095 | 5.869–8.577 | <0.0001 |
| Mechanic & toolkit availability | ||||||
| Mechanic without toolkit vs no mechanic | 0.788 | 0.669–0.929 | 0.004 | 0.896 | 0.726–1.106 | 0.307 |
| Mechanic with toolkit vs no mechanic | 1.286 | 1.156–1.430 | <0.0001 | 1.246 | 1.084–1.431 | 0.002 |
| Damage Status | ||||||
| No vs. Yes | 14.955 | 13.16–17.00 | <0.0001 | 10.458 | 9.107–12.01 | <0.0001 |
| Payment Status | ||||||
| By Volume vs. Free | 1.294 | 0.876–1.912 | 0.195 | 0.886 | 0.552–1.421 | 0.614 |
| Flat rate vs. Free | 0.848 | 0.667–1.078 | 0.177 | 0.847 | 0.634–1.133 | 0.263 |
| After a system breakdown vs. Free | 1.084 | 0.895–1.314 | 0.408 | 1.336 | 1.066–1.673 | 0.011 |
| Water Availability | ||||||
| Seasonal vs. Year-Around | 1.804 | 1.634–1.992 | <0.0001 | 1.059 | 0.939–1.195 | 0.351 |
| Supplier Distance (minutes) | ||||||
| Q1 vs. Q4 | 1.358 | 1.192–1.546 | <0.0001 | 1.220 | 1.041–1.431 | 0.014 |
| Q2 vs. Q4 | 1.609 | 1.398–1.852 | <0.0001 | 1.566 | 1.322–1.855 | <0.0001 |
| Q3 vs. Q4 | 1.215 | 1.064–1.386 | 0.004 | 1.151 | 0.980–1.352 | 0.085 |
| Node | Mutual Info | Percent | Variance of Beliefs |
|---|---|---|---|
| Functionality | 0.854 | 100.000 | 0.201 |
| Damage Status | 0.072 | 8.390 | 0.020 |
| Repair time | 0.043 | 5.000 | 0.012 |
| Payment Status | 0.011 | 1.320 | 0.003 |
| Maintainer | 0.011 | 1.260 | 0.003 |
| Mechanic & Toolkit | 0.005 | 0.549 | 0.001 |
| County | 0.005 | 0.561 | 0.001 |
| Water Availability | 0.002 | 0.263 | 0.001 |
| Supplier rank | 0.001 | 0.151 | 0.000 |
Disclaimer/Publisher’s Note: The statements, opinions and data contained in all publications are solely those of the individual author(s) and contributor(s) and not of MDPI and/or the editor(s). MDPI and/or the editor(s) disclaim responsibility for any injury to people or property resulting from any ideas, methods, instructions or products referred to in the content. |
© 2025 by the authors. Licensee MDPI, Basel, Switzerland. This article is an open access article distributed under the terms and conditions of the Creative Commons Attribution (CC BY) license (https://creativecommons.org/licenses/by/4.0/).
Share and Cite
Li, H.; McManus, C.; Cronk, R. Factors Influencing Water Point Functionality in Liberia: A Regression and Bayesian Network Analysis. Sustainability 2025, 17, 8928. https://doi.org/10.3390/su17198928
Li H, McManus C, Cronk R. Factors Influencing Water Point Functionality in Liberia: A Regression and Bayesian Network Analysis. Sustainability. 2025; 17(19):8928. https://doi.org/10.3390/su17198928
Chicago/Turabian StyleLi, Henry, Catherine McManus, and Ryan Cronk. 2025. "Factors Influencing Water Point Functionality in Liberia: A Regression and Bayesian Network Analysis" Sustainability 17, no. 19: 8928. https://doi.org/10.3390/su17198928
APA StyleLi, H., McManus, C., & Cronk, R. (2025). Factors Influencing Water Point Functionality in Liberia: A Regression and Bayesian Network Analysis. Sustainability, 17(19), 8928. https://doi.org/10.3390/su17198928

