Environmental Governance Pressure and the Co-Benefit of Carbon Emissions Reduction: Evidence from a Quasi-Natural Experiment on 2012 Air Standards
Abstract
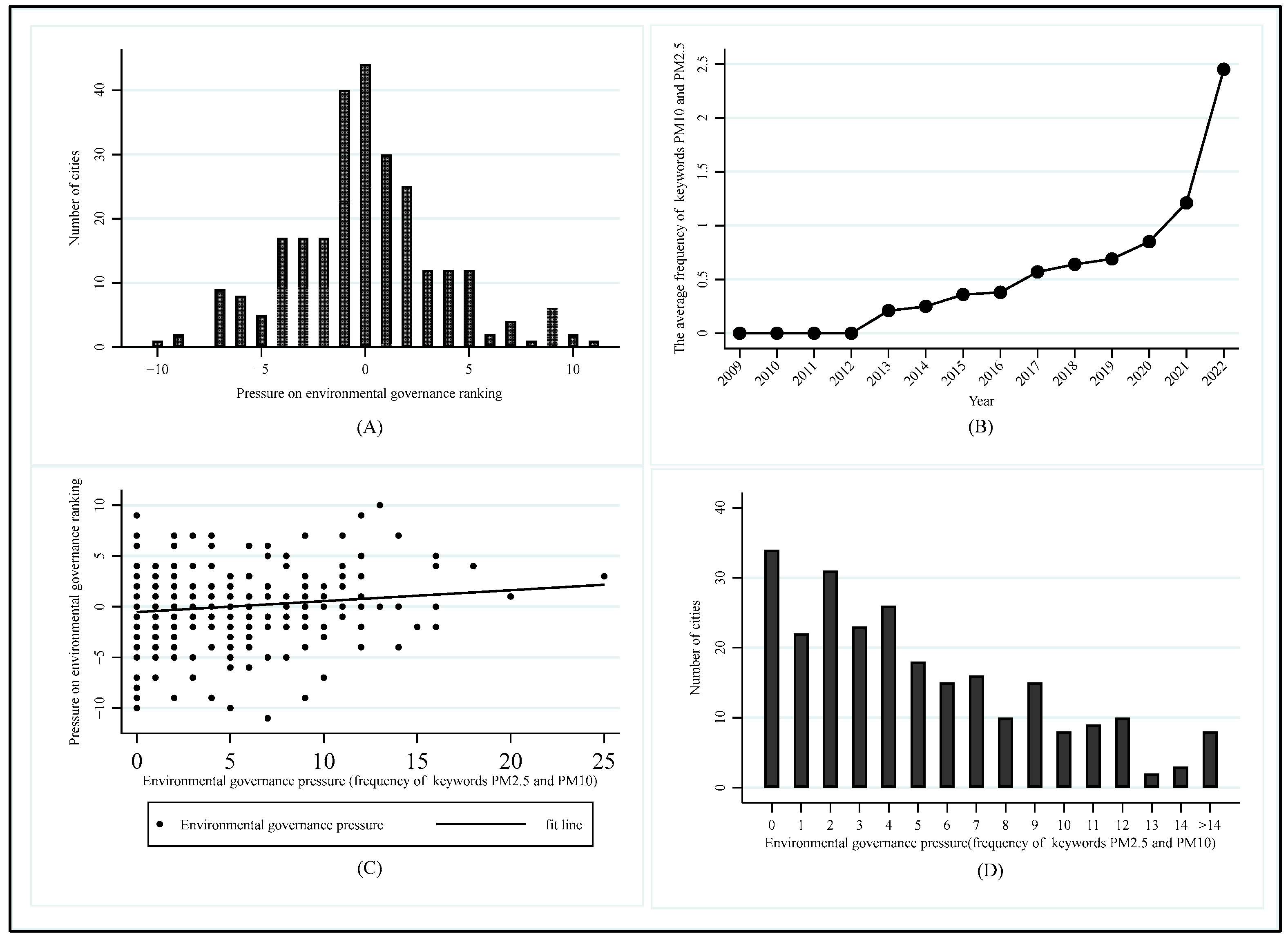
1. Introduction
2. Institutional Background and Theoretical Analysis
2.1. Institutional Background
2.2. Theoretical Analysis
2.2.1. Modeling
2.2.2. Model Solving
2.2.3. Model Summary
3. Research Design
3.1. Empirical Strategy
3.2. Regression Model Setup
3.3. Variable Definition
4. Empirical Analysis
4.1. Parallel Trend Test
4.2. Analysis of Benchmark Regression Results
4.3. Robustness Test
4.3.1. Exclusion of Ex/Ante Policy Effects
4.3.2. Exclusion of Other City-Level-Specific Policies of the Same Period
4.3.3. Potential Selectivity in Policy Implementation
4.3.4. Replacement of Core Explanatory Variables
5. Further Analysis
5.1. Synergy Analysis
5.2. Mechanism Analysis
5.3. Analysis of the Spatial Spillover Effect
5.4. Heterogeneity Analysis: Emission Reduction Costs
6. Conclusions and Policy Recommendations
- ①.
- Strengthen the pressure mechanism of local government environmental governance through both top-down and bottom-up approaches. Central and higher-level governments should increase top-down pressure on local governments by introducing real-time data-driven environmental performance evaluations and strengthening accountability mechanisms and formal interviews for leading officials in non-compliant regions. Concurrently, they should improve environmental information disclosure platforms, broaden public oversight channels, and encourage environmental NGOs to file public interest lawsuits in accordance with the law. This will generate effective bottom-up public pressure, thereby enhancing the “two-way” environmental governance pressure faced by local governments.
- ②.
- Adjust and optimize local government performance evaluation metrics to enhance synergistic effects in carbon reduction. Incorporate pollutant reduction targets for sulfur dioxide, ammonia nitrogen compounds, and other pollutants, alongside carbon dioxide emission totals and intensity metrics, into the indicator system. Assign differentiated weightings to these metrics to incentivize local governments to pursue coordinated advancement in pollution control and carbon reduction.
- ③.
- Guiding enterprises to carry out more green technology innovation activities by policy means, and strengthening the mechanism for generating synergistic carbon emission reduction effects. Local governments not only need to promote the green technological innovation of enterprises through environmental governance policies, but must also provide compensation for the green technological innovation activities of enterprises through financial and tax policies, guiding enterprises to carry out more green innovation activities.
- ④.
- The mechanism of blocking the environmental governance behavior of local government through the pressure environmental management system leads to the green paradox effect. On the one hand, the central government should establish scientifically sound and reasonably differentiated regional environmental standards to avoid the transfer of high-carbon industries caused by one-size-fits-all policies. At the same time, it should promote market-based tools such as energy rights and carbon emission rights trading to encourage industries to shift from passive emissions reduction to proactive transformation.
- ⑤.
- Local governments need to shift their environmental management philosophy, promoting a transition from end-of-pipe pollution control to source-based prevention. They should be encouraged to establish timetables for phasing out high-carbon industries and formulating plans for clean energy substitution. By establishing green transition funds for industrial restructuring and providing expedited approval processes for low-carbon projects, local governments can reduce the institutional costs of source-based pollution control and enhance their long-term synergistic effects in reducing pollution and carbon emissions. To provide a clearer understanding of the logical connections among the policy implications, Figure 5 illustrates the proposed framework of policy recommendations derived from our findings.
Author Contributions
Funding
Institutional Review Board Statement
Informed Consent Statement
Data Availability Statement
Conflicts of Interest
References
- Zhu, J.; Wu, S.; Xu, J. Synergy between pollution control and carbon reduction: China’s evidence. Energy Econ. 2023, 119, 106541. [Google Scholar] [CrossRef]
- Liu, K.; Ren, G.; Dong, S.; Xue, Y. The synergy between pollution reduction and carbon reduction in Chinese cities and its influencing factors. Sustain. Cities Soc. 2024, 106, 105348. [Google Scholar] [CrossRef]
- Sinn, H.W. Public Policies Against Global Warming: A Supply Side Approach. Int. Tax Public Financ. 2008, 15, 360–394. [Google Scholar] [CrossRef]
- Zhang, L.; Wang, Q.; Zhang, M. Environmental regulation and CO2 emissions: Based on strategic interaction of environmental governance. Ecol. Complex. 2021, 45, 100893. [Google Scholar] [CrossRef]
- Zhang, H.; Wei, X. Green Paradox or Forced Emission-reduction: Dual Effect of Environmental Regulation on Carbon Emissions. China Popul. Resour. Environ. 2014, 24, 21–29. [Google Scholar] [CrossRef]
- Lan, H.; Wang, L. Research on Regional Carbon Emission Performance and Environmental Regulation Threshold Effect under Green Development—Based on SE-SBM and Double Sill Panel Model. Soft Sci. 2019, 33, 73–77+97. [Google Scholar] [CrossRef]
- Tian, G.P.; Wang, Y.H. Spatial spillover effects between fiscal decentralization, local governments competition and carbon emissions. China Popul. Resour. Environ. 2018, 28, 36–44. [Google Scholar]
- Sun, X.; Li, M.; Hou, S.; Zhang, C. Research on the Spatial Network Characteristics, Synergistic Emission Reduction Effects and Mechanisms of Carbon Emission in Beijing–Tianjin–Hebei Urban Agglomeration. Sustainability 2023, 15, 8176. [Google Scholar] [CrossRef]
- Wang, H.; Wei, W. Coordinating Technological Progress and Environmental Regulation in CO2 Mitigation: The Optimal Levels for OECD Countries & Emerging Economies. Energy Econ. 2019, 87, 104510. [Google Scholar] [CrossRef]
- Porter, M.E.; Linde, C.V. Toward a New Conception of the Environment-Competitiveness Relationship. J. Econ. Perspect. 1995, 9, 97–118. [Google Scholar] [CrossRef]
- Li, J.; Li, X.P.; Hao, L.F. Impact of dual environmental regulations on carbon emission intensity under the constraint of technological innovation. China Popul. Resour. Environ. 2021, 31, 34–44. [Google Scholar] [CrossRef]
- Liu, W. Environmental Pollution, Abatement Path and Sustainable Growth: “End-of-Pipe Control” or “Source Control”? Econ. Rev. 2014, 41–53+77. [Google Scholar] [CrossRef]
- Shen, R.; Chen, Y.; Xiao, Q. How Does Environmental Target Governance Promote Pollution Reduction?—An Analysis of the First Obligatory Pollution Reduction Target Plan in China. J. China Univ. Geosci. (Soc. Sci. Ed.) 2022, 22, 75–98. [Google Scholar]
- Liu, S.; Mao, X.; Hu, T.; Zeng, A.; Xing, Y.; Tian, C.; Li, L. Roadmap of Co-control of Air Pollutants and GHGs in Iron and Steel Industry in China. Environ. Sci. Technol. 2012, 35, 168–174. [Google Scholar] [CrossRef]
- Wang, M.; Feng, X.; Du, X.; Wu, L.; Zhao, M.; Wang, P.; An, Q. Evaluation of co-controlling GHGs from pollutant reduction facilities in the industrial sectors, empirical analysis based on data in Chongqing city. Clim. Change Res. 2021, 17, 296–304. [Google Scholar] [CrossRef]
- Mao, X.; Zeng, A.; Hu, T.; Xing, Y.; Liu, S. Study of Coordinate Control Effect Assessment of Technological Measures for Emissions Reduction. China Popul. Resour. Environ. 2011, 21, 1–7. [Google Scholar] [CrossRef]
- Mao, X.; Xing, Y.; Hu, T.; Zeng, A.; Liu, S. An environmental-economic analysis of carbon, sulfur and nitrogen co-reduction path for China’s power industry. Chin. J. Environ. Manag. 2012, 32, 748–756. [Google Scholar]
- Zhang, Q.; Zheng, Y.; Kong, D. Local Environmental Governance Pressure, Executive’s Working Experience and Enterprise Investment in Environmental Protection: A Quasi-natural Experiment Based on China’s “Ambient Air Quality Standards 2012”. Econ. Res. J. 2019, 54, 183–198. [Google Scholar]
- Guan, B. Does Performance Pressure is a Double-Edged Sword in Local Government Environmental Governance——Empirical Analysis Based on Public Value Conflict View. J. Public Manag. 2020, 17, 53–69+168. [Google Scholar] [CrossRef]
- Gao, H.; Deng, W. Are Public Environmental Demands Influencing the Transformation and Upgrading of Industrial? J. Environ. Econ. 2022, 7, 98–119. [Google Scholar] [CrossRef]
- Greenstone, M.; He, G.; Jia, R.; Liu, T. Can technology solve the principal-agent problem? Evidence from China’s war on air pollution. Am. Econ. Rev. Insights 2022, 4, 54–70. [Google Scholar] [CrossRef]
- Li, W.; Zheng, M. Governance mechanism of air pollution and its effects-evidence from Chinese prefecture-level cities. China Ind. Econ. 2016, 4, 93–109. [Google Scholar] [CrossRef]
- Shan, Y.; Guan, Y.; Hang, Y.; Zheng, H.; Li, Y.; Guan, D.; Li, J.; Zhou, Y.; Li, L. City-level Emission Peak and Drivers in China. Sci. Bull. 2022, 67, 1910–1920. [Google Scholar] [CrossRef]
- Chen, J.; Gao, M.; Cheng, S.; Hou, W.; Song, M.; Liu, X.; Liu, Y.; Shan, Y. County-level CO2 Emissions and Sequestration in China 1997–2017. Sci. Data 2020, 7, 391–403. [Google Scholar] [CrossRef]
- Chen, S. Energy Consumption, CO2 Emission and Sustainable Development in Chinese Industry. Econ. Res. J. 2009, 44, 41–55. [Google Scholar]
- Li, Y.; Zhang, S.; Zhang, Y. Spatial-temporal Evolution and Reduction of Provincial Carbon Emissions from the Perspective of Green Finance. Soft Sci. 2023, 2023, 1–15. [Google Scholar] [CrossRef]
- Xiao, B.; Xu, C. Can Policy Instruments Achieve Synergies in Mitigating Air Pollution and CO2 Emissions in the Transportation Sector? Sustainability 2023, 15, 14651. [Google Scholar] [CrossRef]
- Guo, M.; Hamm, N.A.; Chen, B. Understanding air pollution reduction from the perspective of synergy with carbon mitigation in China from 2008 to 2017. J. Environ. Manag. 2024, 367, 122017. [Google Scholar] [CrossRef]
- Yuan, Y.; Xie, R. Research on the effect of Environmental Regulation to Industrial Restructuring—Empirical Test on Provincial Panel Date of China. China Ind. Econ. 2014, 8, 57–69. [Google Scholar] [CrossRef]
- Peng, S.; Wang, L.; Xu, L. Impact of the Marketization of Industrial Land Transfer on Regional Carbon Emission Intensity: Evidence from China. Land 2023, 12, 984. [Google Scholar] [CrossRef]
- Shen, K.; Zhou, L. Local Government Competition, Vertical Environmental Regulation and the Pollution Backflow Effect. Econ. Res. J. 2020, 55, 35–49. [Google Scholar]
- Du, M.; Antunes, J.; Wanke, P.; Chen, Z. Ecological Efficiency Assessment under the Construction of Low-Carbon City: A Perspective of Green Technology Innovation. J. Environ. Plan. Manag. 2022, 65, 1727–1752. [Google Scholar] [CrossRef]
- Zhang, H.; Duan, M.; Deng, Z. Have China’s pilot emissions trading schemes promoted carbon emission reductions? –the evidence from industrial sub-sectors at the provincial level. J. Clean. Prod. 2019, 234, 912–924. [Google Scholar] [CrossRef]
- Lin, B.; Jia, Z. Impacts of carbon price level in carbon emission trading market. Appl. Energy 2019, 239, 157–170. [Google Scholar] [CrossRef]
- Zhang, Y.; Huang, Y. Killing Two Birds with One Stone or Missing One of Them? The Synergistic Governance Effect of China’s Carbon Emissions Trading Scheme on Pollution Control and Carbon Emission Reduction. Sustainability 2023, 15, 10147. [Google Scholar] [CrossRef]
- Preacher, K.J.; Rucker, D.D.; Hayes, A.F. Addressing Moderated Mediation Hypotheses: Theory, Methods, and Prescriptions. Multivariate Behav Res. 2007, 42, 185–227. [Google Scholar] [CrossRef]





| Variable Symbol | Variable Name | Obs | Mean | SD | Min | Max |
|---|---|---|---|---|---|---|
| lnco2 | Total carbon emissions | 2095 | 3.3197 | 0.9051 | 0.2943 | 6.1263 |
| lnco2_inten | Carbon intensity | 2095 | −2.3262 | 0.7509 | −4.5557 | −0.1643 |
| open×pressure | Interaction term | 2095 | 2.6081 | 4.1795 | 0.0000 | 25.0000 |
| open | Policy implementation variables | 2095 | 0.4463 | 0.4972 | 0.0000 | 1.0000 |
| pressure | Pressure for environmental governance | 2095 | 5.3599 | 4.4003 | 0.0000 | 25.0000 |
| degree | Degree of openness to the outside world | 2095 | 2.0107 | 1.8430 | 0.0000 | 19.7828 |
| gov | Size of government | 2095 | 16.9005 | 7.6264 | 4.3881 | 148.5164 |
| gdp | GDP per capita | 2095 | 0.8426 | 0.5515 | 0.1404 | 7.8640 |
| gdps | GDP per capita squared | 2095 | 1.0140 | 1.9519 | 0.0197 | 61.8420 |
| human | Level of human capital | 2095 | 2.0836 | 2.6168 | 0.0189 | 14.4580 |
| lnpop | Total regional population | 2095 | 5.9907 | 0.6238 | 3.9220 | 8.1345 |
| lnrain | Average annual rainfall | 2095 | 6.8630 | 0.5541 | 4.8354 | 7.9169 |
| lntemp | Average annual temperature | 2095 | 2.6666 | 0.4642 | −1.4688 | 3.2464 |
| ERS | Intensity of environmental regulation | 2095 | 1.6040 | 1.4447 | 0.0230 | 12.6618 |
| GI | Level of green innovation | 2095 | 0.1965 | 0.4258 | 0.0000 | 3.9028 |
| EGT | Energy green transition | 2095 | 0.4398 | 0.1340 | 0.0121 | 0.7169 |
| ET | End-of-end treatment | 2095 | −0.8235 | 1.0004 | −11.2775 | 0 |
| SC | Green transformation of industry | 1418 | 6.2798 | 1.6672 | −1.5934 | 10.6904 |
| Variable | Full Sample | Excluding Carbon Trading Pilot Cities | ||
|---|---|---|---|---|
| (1) | (2) | (3) | (4) | |
| Carbon Emissions | Carbon Intensity | Carbon Emissions | Carbon Intensity | |
| open×pressure | −0.0074 ** | −0.0044 | −0.0122 *** | −0.0100 ** |
| (0.0031) | (0.0033) | (0.0037) | (0.0039) | |
| open | 0.0635 *** | 0.0994 *** | 0.0980 *** | 0.1330 *** |
| (0.0227) | (0.0247) | (0.0276) | (0.0296) | |
| degree | −0.0054 | −0.0131 ** | −0.0025 | −0.0082 |
| (0.0058) | (0.0059) | (0.0054) | (0.0057) | |
| gov | −0.0002 | 0.0039 * | 0.0002 | 0.0027 |
| (0.0012) | (0.0022) | (0.0011) | (0.0017) | |
| gdp | 0.1351 * | −0.5172 *** | 0.1176 | −1.0630 *** |
| (0.0703) | (0.0954) | (0.1327) | (0.1726) | |
| gdps | −0.0157 ** | 0.0539 *** | −0.0043 | 0.2021 *** |
| (0.0074) | (0.0127) | (0.0296) | (0.0499) | |
| human | −0.0225 | −0.0233 | −0.0238 | −0.0231 * |
| (0.0143) | (0.0146) | (0.0146) | (0.0138) | |
| lnpop | 0.1153 | −0.2190 | 0.1539 | −0.3592 |
| (0.1494) | (0.1770) | (0.2012) | (0.2215) | |
| lnrain | 0.0042 | 0.0180 | 0.0269 | 0.0372 |
| (0.0283) | (0.0284) | (0.0310) | (0.0307) | |
| lntemp | −0.0226 | 0.0696 ** | −0.0259 | 0.0371 |
| (0.0260) | (0.0304) | (0.0306) | (0.0317) | |
| constant | 2.6156 *** | −0.9648 | 2.2620 * | 0.2266 |
| (0.9066) | (1.0687) | (1.2364) | (1.3484) | |
| Year effect | YES | YES | YES | YES |
| City effect | YES | YES | YES | YES |
| N | 2095 | 2095 | 1658 | 1658 |
| R2 | 0.9591 | 0.9358 | 0.9572 | 0.9331 |
| Variable | Full Sample | Excluding Carbon Trading Pilot Cities | ||
|---|---|---|---|---|
| (1) | (2) | (3) | (4) | |
| Total Carbon Emissions | Carbon Intensity | Total Carbon Emissions | Carbon Intensity | |
| open×pressure_P | −0.0020 | −0.0008 | −0.0036 | −0.0005 |
| (0.0024) | (0.0024) | (0.0025) | (0.0025) | |
| open_P | 0.0032 | −0.0002 | 0.0147 | 0.0018 |
| (0.0185) | (0.0190) | (0.0187) | (0.0188) | |
| constant | 1.9127 ** | −2.2054 *** | 0.0611 | −1.8024 |
| (0.8806) | (0.7861) | (1.7279) | (1.6115) | |
| Control variable | YES | YES | YES | YES |
| Year effect | YES | YES | YES | YES |
| City effect | YES | YES | YES | YES |
| N | 898 | 898 | 722 | 722 |
| R2 | 0.9842 | 0.9739 | 0.9845 | 0.9742 |
| (1) | (2) | (3) | (4) | (5) | (6) | |
|---|---|---|---|---|---|---|
| Carbon Emissions | Carbon Intensity | Carbon Emission | Carbon Intensity | Carbon Emission | Carbon Intensity | |
| open×pressure | −0.0109 ** | −0.0096 * | −0.0103 ** | −0.0093 * | −0.0105 ** | −0.0094 * |
| (0.0052) | (0.0049) | (0.0051) | (0.0048) | (0.0052) | (0.0049) | |
| open | 0.0772 ** | 0.1050 *** | 0.0674 * | 0.0986 *** | 0.0682 * | 0.0995 *** |
| (0.0344) | (0.0336) | (0.0349) | (0.0343) | (0.0348) | (0.0340) | |
| constant | 2.9646 ** | −0.4457 | 2.8654 ** | −0.4707 | 2.8908 ** | −0.4616 |
| (1.3046) | (1.3342) | (1.3433) | (1.3621) | (1.3277) | (1.3466) | |
| Innovation city | NO | NO | YES | YES | YES | YES |
| Low-carbon cities | NO | NO | NO | NO | YES | YES |
| Control variable | YES | YES | YES | YES | YES | YES |
| Year effect | YES | YES | YES | YES | YES | YES |
| City effect | YES | YES | YES | YES | YES | YES |
| Year × province | YES | YES | YES | YES | YES | YES |
| N | 1658 | 1658 | 1658 | 1658 | 1658 | 1658 |
| R2 | 0.9654 | 0.9477 | 0.9656 | 0.9479 | 0.9656 | 0.9479 |
| Variable | (1) | (2) | (3) | (4) | (5) | (6) |
|---|---|---|---|---|---|---|
| Carbon Emissions | Carbon Intensity | Carbon Emissions | Carbon Intensity | Carbon Emissions | Carbon Intensity | |
| open×pressure | −0.0072 ** | −0.0041 | −0.0098 *** | −0.0078 ** | −0.0095 ** | −0.0078 ** |
| (0.0031) | (0.0033) | (0.0036) | (0.0037) | (0.0037) | (0.0038) | |
| open | 0.0591 ** | 0.0821 *** | 0.0707 *** | 0.0768 *** | 0.0620 * | 0.0750 * |
| (0.0230) | (0.0244) | (0.0259) | (0.0268) | (0.0369) | (0.0417) | |
| constant | 2.4762 *** | −1.0370 | 2.7873 *** | −0.5629 | 2.6500 ** | −0.3082 |
| (0.9002) | (1.0885) | (0.9873) | (1.1825) | (1.0456) | (1.1911) | |
| Provincial city | YES | YES | YES | YES | YES | YES |
| Municipalities | YES | YES | YES | YES | YES | YES |
| PRD Cities | NO | NO | YES | YES | YES | YES |
| Yangtze River Delta | NO | NO | YES | YES | YES | YES |
| Beijing–Tianjin–Hebei cities | NO | NO | YES | YES | YES | YES |
| Planned cities | NO | NO | NO | NO | YES | YES |
| Environmentally friendly city | NO | NO | NO | NO | YES | YES |
| Control variable | YES | YES | YES | YES | YES | YES |
| Year effect | YES | YES | YES | YES | YES | YES |
| City effect | YES | YES | YES | YES | YES | YES |
| N | 2095 | 2095 | 2095 | 2095 | 2095 | 2095 |
| R2 | 0.9594 | 0.9362 | 0.9603 | 0.9378 | 0.9606 | 0.9385 |
| (1) | (2) | (3) | (4) | |
|---|---|---|---|---|
| Total Carbon Emissions | Carbon Intensity | Total Carbon Emissions | Carbon Intensity | |
| open×rank | −0.0515 *** | −0.0509 ** | ||
| (0.0196) | (0.0201) | |||
| open×pressure1 | −0.0324 *** (0.0075) | −0.0194 ** (0.0082) | ||
| open | 0.0464 ** | 0.0855 *** | 0.0240 | 0.0758 *** |
| (0.0231) | (0.0234) | (0.0165) | (0.0178) | |
| constant | 2.7832 *** | −1.6921 * | 2.6156 *** | −0.9648 |
| (0.8207) | (0.9363) | (0.7157) | (0.8386) | |
| Control variable | YES | YES | YES | YES |
| Year effect | YES | YES | YES | YES |
| City effect | YES | YES | YES | YES |
| N | 2018 | 2018 | 2093 | 2093 |
| R2 | 0.9645 | 0.9497 | 0.9591 | 0.9358 |
| Variable | (1) | (2) | (3) | (4) |
|---|---|---|---|---|
| Total Carbon Emissions | Carbon Intensity | Total Carbon Emissions | Carbon Intensity | |
| open×pressure×SO2 | −0.0009 ** | −0.0007 * | ||
| (0.0004) | (0.0004) | |||
| SO2 | 0.0002 | 0.0007 | ||
| (0.0009) | (0.0009) | |||
| open×pressure×NOx | −0.0020 ** | −0.0016 * | ||
| (0.0009) | (0.0010) | |||
| NOx | 0.0001 | 0.0009 | ||
| (0.0013) | (0.0014) | |||
| open×pressure | −0.0071 *** | −0.0047 ** | −0.0049 * | −0.0029 |
| (0.0021) | (0.0022) | (0.0026) | (0.0027) | |
| open | 0.0475 ** | 0.0739 *** | 0.0335 | 0.0626 *** |
| (0.0214) | (0.0225) | (0.0233) | (0.0242) | |
| constant | 0.4399 | −1.4950 | 0.4197 | −1.5221 * |
| (0.8734) | (0.9143) | (0.8768) | (0.9195) | |
| Control variable | YES | YES | YES | YES |
| Year effect | YES | YES | YES | YES |
| City effect | YES | YES | YES | YES |
| N | 1240 | 1240 | 1229 | 1229 |
| R2 | 0.9721 | 0.9553 | 0.9718 | 0.9550 |
| Variable | Sulfur Dioxide Emission Reductions | Ammonia Nitride Emission Reductions | ||||||
|---|---|---|---|---|---|---|---|---|
| High | Low | High | Low | |||||
| (1) | (2) | (3) | (4) | (5) | (6) | (7) | (8) | |
| Emissions | Intensity | Emissions | Intensity | Emissions | Intensity | Emissions | Intensity | |
| open×pressure | −0.0102 ** | −0.0091 ** | −0.0027 | 0.0012 | −0.0103 ** | −0.0092 ** | −0.0029 | 0.0005 |
| (0.0041) | (0.0042) | (0.0032) | (0.0031) | (0.0041) | (0.0041) | (0.0033) | (0.0031) | |
| open | 0.0556 | 0.1333 *** | 0.0159 | 0.0130 | 0.0553 | 0.1380 *** | 0.0150 | 0.0155 |
| (0.0368) | (0.0428) | (0.0254) | (0.0269) | (0.0377) | (0.0441) | (0.0254) | (0.0259) | |
| constant | 2.1247 ** | −1.0753 | −0.0797 | −3.8235 * | 2.0800 ** | −1.1346 | −0.0988 | −3.8453 * |
| (0.8580) | (1.2341) | (1.4183) | (1.4275) | (0.8623) | (1.2286) | (1.4242) | (1.4281) | |
| Control | YES | YES | YES | YES | YES | YES | YES | YES |
| year effect | YES | YES | YES | YES | YES | YES | YES | YES |
| City effect | YES | YES | YES | YES | YES | YES | YES | YES |
| N | 1080 | 1080 | 992 | 992 | 1080 | 1080 | 993 | 993 |
| R2 | 0.9515 | 0.9293 | 0.9744 | 0.9603 | 0.9529 | 0.9306 | 0.9730 | 0.9598 |
| Variable | (1) | (2) | (3) | (4) | (5) | (6) | (7) |
|---|---|---|---|---|---|---|---|
| ERS | EGT | Emissions | Intensity | GI | Emissions | Intensity | |
| open×pressure | 0.0218 ** | −0.0030 *** | −0.0084 *** | −0.0068 * | 0.0030 ** | −0.0097 *** | −0.0092 ** |
| (0.0104) | (0.0004) | (0.0035) | (0.0037) | (0.0012) | (0.0037) | (0.0039) | |
| open | −0.1959 ** | 0.0285 *** | 0.0757 *** | 0.1026 *** | −0.0605 *** | 0.0798 *** | 0.1161 *** |
| (0.0883) | (0.0044) | (0.0272) | (0.0287) | (0.0133) | (0.0288) | (0.0318) | |
| EGT | 0.7822 *** | 1.0691 *** | |||||
| (0.2738) | (0.2870) | ||||||
| GI | −0.0735 ** | −0.0627 ** | |||||
| (0.0308) | (0.0252) | ||||||
| constant | −0.5511 | 0.5720 *** | 1.8146 | −0.3849 | −1.8044 *** | 2.7341 * | 0.7018 |
| (2.5682) | (0.1219) | (1.2965) | (1.3919) | (0.5623) | (1.4468) | (1.6174) | |
| Control variable | YES | YES | YES | YES | YES | YES | YES |
| Year effect | YES | YES | YES | YES | YES | YES | YES |
| City effect | YES | YES | YES | YES | YES | YES | YES |
| N | 2095 | 2095 | 2095 | 2095 | 2095 | 2095 | 2095 |
| R2 | 0.8224 | 0.9239 | 0.9581 | 0.9353 | 0.8813 | 0.9588 | 0.9370 |
| Variable | (1) | (2) | (3) | (4) | (5) | (6) |
|---|---|---|---|---|---|---|
| ET | Emissions | Intensity | SC | Emissions | Intensity | |
| open×pressure | −0.0197 ** | −0.0109 *** | −0.0079 * | −0.0133 * | −0.0082 * | −0.0061 ** |
| (0.0084) | (0.0032) | (0.0042) | (0.0074) | (0.0037) | (0.0034) | |
| open | −0.0191 | 0.0624 ** | 0.0818 *** | 0.0734 | 0.0611 * | 0.0755 ** |
| (0.0836) | (0.0275) | (0.0279) | (0.0980) | (0.0336) | (0.0323) | |
| ET | 0.0121 *** | 0.0141 * | ||||
| (0.0043) | (0.0078) | |||||
| SC | 0.0183 * | 0.0115 ** | ||||
| (0.0099) | (0.0049) | |||||
| constant | −0.8280 | −0.2548 | −2.4798 * | 11.0007 *** | −0.3633 | −2.6268 * |
| (2.4839) | (1.4331) | (1.4045) | (2.5410) | (1.5483) | (1.4679) | |
| Control variable | YES | YES | YES | YES | YES | YES |
| Year effect | YES | YES | YES | YES | YES | YES |
| City effect | YES | YES | YES | YES | YES | YES |
| N | 2095 | 2095 | 2095 | 2095 | 2095 | 2095 |
| R2 | 0.6496 | 0.9744 | 0.9595 | 0.8760 | 0.9754 | 0.9616 |
| Path of Causality and Consequence | Indirect Effects | 95% Confidence Interval | |
|---|---|---|---|
| Lower Limit of the Confidence Interval | Upper Limit of the Confidence Interval | ||
| open×pressure→EGT→CE | −0.0034 | −0.0055 | −0.0013 |
| open×pressure→GI→CE | −0.0026 | −0.0040 | −0.0012 |
| open×pressure→ET→CE | −0.0015 | −0.0022 | −0.0008 |
| open×pressure→SC→CE | −0.0037 | −0.0065 | −0.0009 |
| open×pressure→EGT→CI | −0.0028 | −0.0046 | −0.0010 |
| open×pressure→GI→CI | −0.0007 | −0.0013 | −0.0001 |
| open×pressure→ET→CI | −0.0023 | −0.0027 | −0.0019 |
| open×pressure→SC→CI | −0.0036 | −0.0057 | −0.0015 |
| Spatial Econometric Model | LM Test | LR Test | Wald Test | |
|---|---|---|---|---|
| LM | Robust LM | |||
| SLM-DID | 4.5862 *** | 0.2745 *** | 18.8562 *** | 20.8746 *** |
| SEM-DID | 9.8521 *** | 7.8651 *** | 25.2478 *** | 26.5421 *** |
| Variable | Carbon Emissions | Carbon Intensity | ||||
|---|---|---|---|---|---|---|
| SEM-DID | Effect Decomposition | SEM-DID | Effect Decomposition | |||
| Direct Effects | Indirect Effects | Direct Effects | Indirect Effects | |||
| open×pressure | −0.0063 *** (0.0015) | −0.0075 *** (0.0013) | −0.0042 *** (0.0007) | −0.0045** (0.0022) | −0.0054 ** (0.0027) | −0.0036 ** (0.0018) |
| W×open×pressure | −0.0042 *** (0.0008) | −0.0038 *** (0.0007) | ||||
| −0.0025 ** (0.0012) | −0.0036 *** (0.0017) | |||||
| Control variable | YES | YES | YES | YES | YES | YES |
| Year effect | YES | YES | YES | YES | YES | YES |
| City effect | YES | YES | YES | YES | YES | YES |
| R2 | 0.7524 | 0.7985 | ||||
| (1) | (2) | (3) | (4) | (5) | (6) | (7) | (8) | |
|---|---|---|---|---|---|---|---|---|
| IPL < 7.54 | IPL < 7.54 | IPL > 7.54 | IPL > 7.54 | S < 43.204 | S < 43.204 | S > 43.204 | S > 43.204 | |
| Emissions | Intensity | Emissions | Intensity | Emissions | Intensity | Emissions | Intensity | |
| open×pressure | −0.0253 * | −0.0219 * | −0.0097 ** | −0.0094 ** | −0.0152 * | −0.0129 * | −0.0122 *** | −0.0104 ** |
| (0.0128) | (0.0124) | (0.0042) | (0.0044) | (0.0076) | (0.0074) | (0.0044) | (0.0047) | |
| open | 0.1752 ** | 0.1977 *** | 0.0808 ** | 0.1302 *** | 0.0764 | 0.1205 ** | 0.1023 *** | 0.1331 *** |
| (0.0684) | (0.0673) | (0.0323) | (0.0351) | (0.0540) | (0.0519) | (0.0337) | (0.0368) | |
| constant | 2.2976 | 0.0307 | 1.3572 | −0.6794 | 1.7183 | −2.0134 | 2.7692 | 0.9011 |
| (1.9743) | (2.0211) | (1.3113) | (1.2653) | (1.1026) | (1.2696) | (1.7401) | (1.7767) | |
| Control variable | Yes | Yes | Yes | Yes | Yes | Yes | Yes | Yes |
| Year effect | Yes | Yes | Yes | Yes | Yes | Yes | Yes | Yes |
| City effect | Yes | Yes | Yes | Yes | Yes | Yes | Yes | Yes |
| N | 403 | 403 | 1255 | 1255 | 404 | 404 | 1254 | 1254 |
| R2 | 0.9328 | 0.9240 | 0.9461 | 0.9428 | 0.9714 | 0.9545 | 0.9506 | 0.9274 |
| Eastern China | Central China | Western China | ||||
|---|---|---|---|---|---|---|
| (1) | (2) | (3) | (4) | (5) | (6) | |
| Emissions | Intensity | Emissions | Intensity | Emissions | Intensity | |
| open×pressure | −0.0064 | −0.0061 | −0.0088 | −0.0069 | −0.0364 *** | −0.0348 *** |
| (0.0067) | (0.0064) | (0.0062) | (0.0061) | (0.0073) | (0.0082) | |
| open | 0.0771 | 0.1092 | 0.0905 * | 0.1002 ** | 0.1716 *** | 0.2293 *** |
| (0.0691) | (0.0658) | (0.0483) | (0.0497) | (0.0493) | (0.0526) | |
| constant | 1.8587 | −1.8748 | 3.6599 *** | 2.2285 * | −6.2758 | −10.4046 ** |
| (1.7362) | (1.6883) | (1.3743) | (1.2004) | (3.9215) | (4.0175) | |
| Control variable | Yes | Yes | Yes | Yes | Yes | Yes |
| Year effect | Yes | Yes | Yes | Yes | Yes | Yes |
| City effect | Yes | Yes | Yes | Yes | Yes | Yes |
| N | 544 | 544 | 700 | 700 | 414 | 414 |
| R2 | 0.9550 | 0.9315 | 0.9489 | 0.9413 | 0.9615 | 0.9351 |
Disclaimer/Publisher’s Note: The statements, opinions and data contained in all publications are solely those of the individual author(s) and contributor(s) and not of MDPI and/or the editor(s). MDPI and/or the editor(s) disclaim responsibility for any injury to people or property resulting from any ideas, methods, instructions or products referred to in the content. |
© 2025 by the authors. Licensee MDPI, Basel, Switzerland. This article is an open access article distributed under the terms and conditions of the Creative Commons Attribution (CC BY) license (https://creativecommons.org/licenses/by/4.0/).
Share and Cite
Sun, L.; Deng, W.; Gao, H.; Nie, Z. Environmental Governance Pressure and the Co-Benefit of Carbon Emissions Reduction: Evidence from a Quasi-Natural Experiment on 2012 Air Standards. Sustainability 2025, 17, 8863. https://doi.org/10.3390/su17198863
Sun L, Deng W, Gao H, Nie Z. Environmental Governance Pressure and the Co-Benefit of Carbon Emissions Reduction: Evidence from a Quasi-Natural Experiment on 2012 Air Standards. Sustainability. 2025; 17(19):8863. https://doi.org/10.3390/su17198863
Chicago/Turabian StyleSun, Liang, Wu Deng, Hui Gao, and Zhongliang Nie. 2025. "Environmental Governance Pressure and the Co-Benefit of Carbon Emissions Reduction: Evidence from a Quasi-Natural Experiment on 2012 Air Standards" Sustainability 17, no. 19: 8863. https://doi.org/10.3390/su17198863
APA StyleSun, L., Deng, W., Gao, H., & Nie, Z. (2025). Environmental Governance Pressure and the Co-Benefit of Carbon Emissions Reduction: Evidence from a Quasi-Natural Experiment on 2012 Air Standards. Sustainability, 17(19), 8863. https://doi.org/10.3390/su17198863
