Effects of Compound Fertilizer Containing Polyhalite on Soil and Maize Growth Under Different Nitrogen Levels
Abstract
1. Introduction
2. Materials and Methods
2.1. Plot Characteristics and Soil Analysis
2.2. Experimental Design
2.3. Sample Collection
2.4. Sample Analysis Methods
2.4.1. Analysis of Soil Sample Indices
2.4.2. Analysis of Plant Sample Indices
2.5. Data Analysis
3. Results
3.1. Effect of Compound K at Different N Levels on Maize Yield
3.2. Effect of Compound K at Different N Levels on Agronomic Traits
3.3. Effect of Compound K at Different N Levels on N Fertilizer Utilization
3.4. Effect of Compound K at Different N Levels on Elements in Maize Grain and Stalk Nutrients
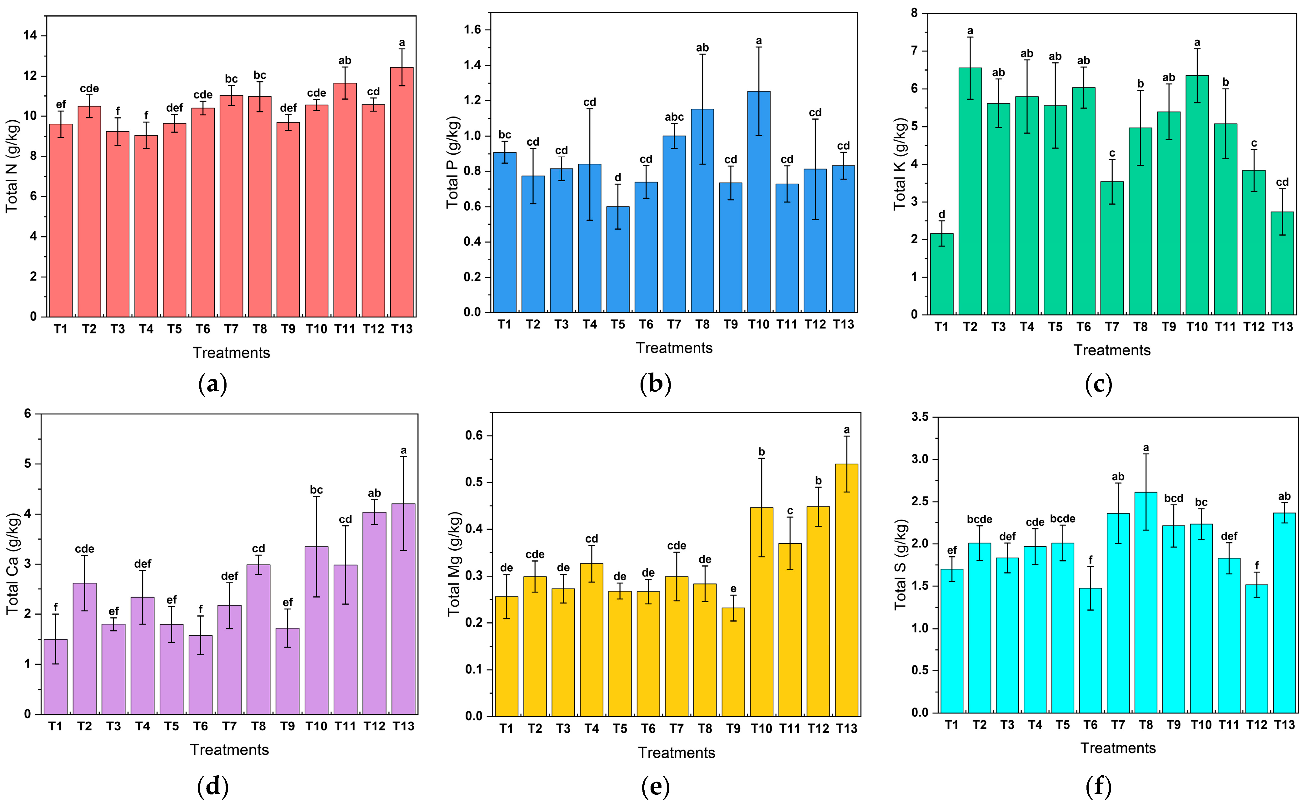
3.4.1. Effect of Compound K at Different N Levels on Elements in Maize Grain Nutrients
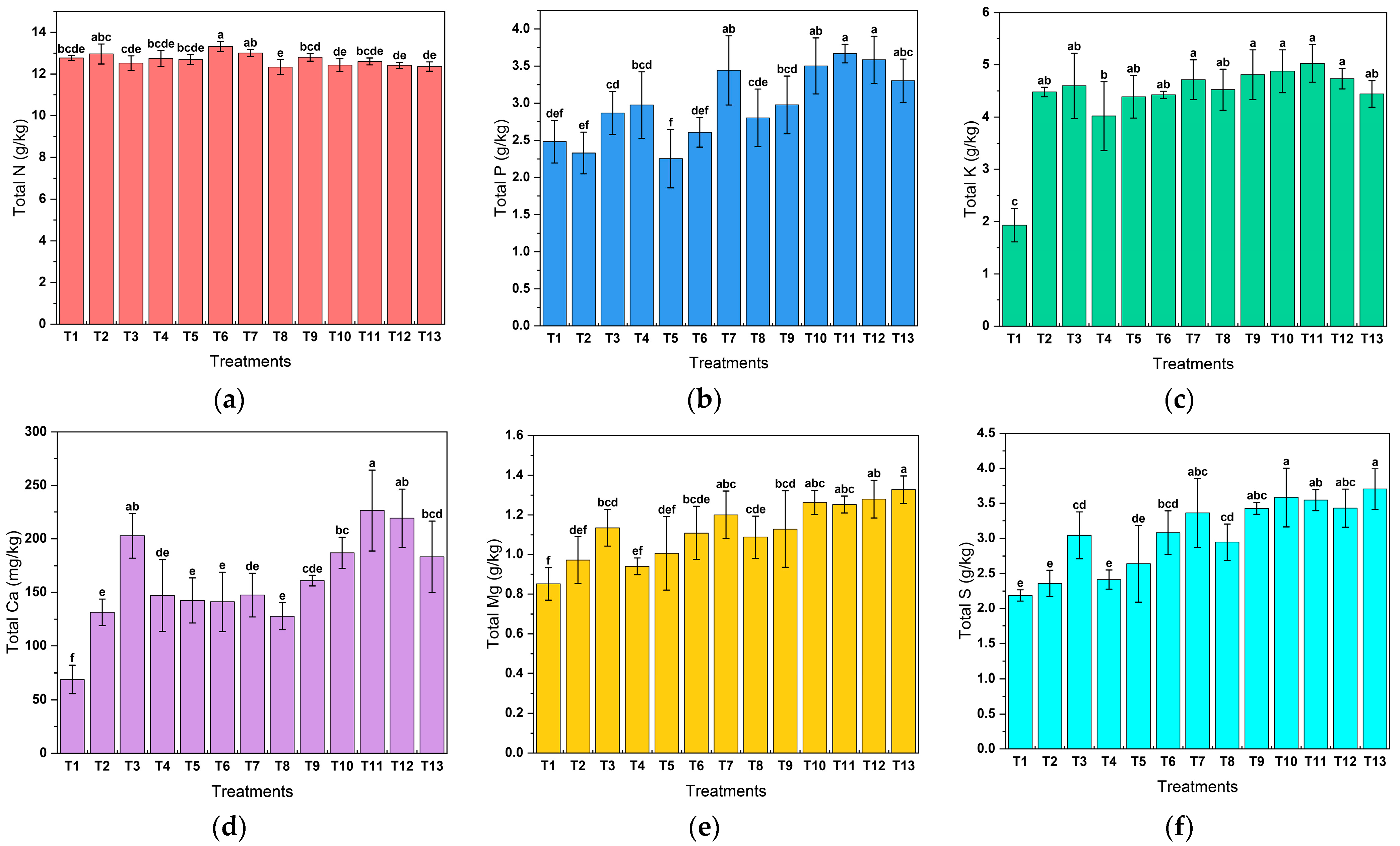
3.4.2. Effect of Compound K at Different N Levels on Elements in Maize Stalk Nutrients
3.5. Effect of Compound K at Different N Levels on Soil pH, EC, and Nutrients
4. Discussion
4.1. Maize Yield and Growth
4.2. N Fertilizer Utilization
4.3. Maize Nutrient Uptake
4.3.1. Grain Nutrient Uptake
4.3.2. Stalk Nutrient Uptake
4.4. Soil Quality and Nutrient Content
5. Conclusions
Supplementary Materials
Author Contributions
Funding
Institutional Review Board Statement
Informed Consent Statement
Data Availability Statement
Acknowledgments
Conflicts of Interest
References
- Zörb, C.; Senbayram, M.; Peiter, E. Potassium in Agriculture—Status and Perspectives. J. Plant Physiol. 2014, 171, 656–669. [Google Scholar] [CrossRef]
- Hisbani, W.A.; Manono, B.O.; Nawaz, M.; Mehmood, K.; Hasnain, Z.; Rais, A.; Irshad, S.; Ibrar, D.; Siddiqui, M.H.; Alamri, S.; et al. Assessing the Influence of Potassium Fertilizer Variations on Growth, Yield, and Crop Quality of Sugarcane (Saccharum officinarum L.) Genotypes. Int. J. Plant Prod. 2025, 19, 155–166. [Google Scholar] [CrossRef]
- Li, Z.; Liu, Z.; Zhang, M.; Li, C.; Li, Y.C.; Wan, Y.; Martin, C.G. Long-Term Effects of Controlled-Release Potassium Chloride on Soil Available Potassium, Nutrient Absorption and Yield of Maize Plants. Soil Tillage Res. 2020, 196, 104438. [Google Scholar] [CrossRef]
- Jiang, Y.; Li, H.; Ma, W.; Yu, W.; Chen, J.; Gao, Y.; Qi, G.; Yin, M.; Kang, Y.; Ma, Y.; et al. A Meta-Analysis of the Effects of Nitrogen Fertilizer Application on Maize (Zea mays L.) Yield in Northwest China. Front. Plant Sci. 2025, 15, 1485237. [Google Scholar] [CrossRef] [PubMed]
- Jordan-Meille, L.; Pellerin, S. Shoot and Root Growth of Hydroponic Maize (Zea mays L.) as Influenced by K Deficiency. Plant Soil 2008, 304, 157–168. [Google Scholar] [CrossRef]
- Soumare, A.; Sarr, D.; Diédhiou, A.G. Potassium Sources, Microorganisms and Plant Nutrition: Challenges and Future Research Directions. Pedosphere 2023, 33, 105–115. [Google Scholar] [CrossRef]
- Mikhailova, E.A.; Post, G.C.; Cope, M.P.; Post, C.J.; Schlautman, M.A.; Zhang, L. Quantifying and Mapping Atmospheric Potassium Deposition for Soil Ecosystem Services Assessment in the United States. Front. Environ. Sci. 2019, 7, 74. [Google Scholar] [CrossRef]
- Zhu, H.; Wang, H.; Li, C. The Impact of Excessive Potassium Fertilizer Application on Greenhouse Fruit and Vegetable Crops in Shouguang. China Veg. 2015, 93–95. [Google Scholar] [CrossRef]
- Tan, H.; Sun, W.; Cui, Y.; Wei, Q.; Li, T.; Yan, D. Present Situation of Potash Resources and Analysis of Development and Application of Polyhalite. ICI 2022, 54, 23–30. [Google Scholar] [CrossRef]
- Pan, Z.; Zhang, Z.; Wu, Q. Analysis of Potash Supply and Demand in China from 2024 to 2035: Based on the Study of Geological Characteristics of Mineral Deposit. Acta Geol. Sin.-Engl. Ed. 2024, 98, 2989–3001. [Google Scholar] [CrossRef]
- Zheng, M.; Zhang, Z.; Hou, X.; Lin, Y. The Prospects and the Mining Development Strategy of Potassium Resources in China. Nat. Resour. Inform. 2015, 3–9. [Google Scholar] [CrossRef]
- Ruan, Y.; Zhao, W.; Wang, Z.; Xue, K.; Xu, Z.; Yin, M.; Hu, B.; Wang, Z.; Fu, L.; Chen, J.; et al. Effects of Polyhalite Mineral Fertilizer on Tobacco Growth and Nutrient Content in Tobacco Leaves. J. Anhui Agric. Sci. 2024, 52, 164–171. [Google Scholar] [CrossRef]
- Bhatt, R.; Singh, P.; Ali, O.M.; Abdel Latef, A.A.H.; Laing, A.M.; Hossain, A. Polyhalite Positively Influences the Growth, Yield and Quality of Sugarcane (Saccharum officinarum L.) in Potassium and Calcium-Deficient Soils in the Semi-Arid Tropics. Sustainability 2021, 13, 10689. [Google Scholar] [CrossRef]
- Lewis, T.D.; Hallett, P.D.; Paton, G.I.; Harrold, L. Retention and Release of Nutrients from Polyhalite to Soil. Soil Use Manag. 2020, 36, 117–122. [Google Scholar] [CrossRef]
- Pramanick, B.; Mahapatra, B.S.; Datta, D.; Dey, P.; Singh, S.P.; Kumar, A.; Paramanik, B.; Awasthi, N. An Innovative Approach to Improve Oil Production and Quality of Mustard (Brassica juncea L.) with Multi-Nutrient-Rich Polyhalite. Heliyon 2023, 9, e13997. [Google Scholar] [CrossRef]
- Tiwari, D.D.; Pandey, S.B.; Katiyar, N.K. Effects of Polyhalite as a Fertilizer on Yield and Quality of the Oilseed Crops Mustard and Sesame; Intentional Potash Institute: Basel, Switzerland, 2015; Volume 42, pp. 10–17. [Google Scholar]
- Singh, V.K.; Shekhawat, K.; Singh, R.K.; Babu, S.; Upadhyay, P.K.; Rai, P.K.; Kumar, A.; Awasthi, N.K.; Rathore, S.S. Optimizing Polyhalite (POLY-4) Use in the Maize-Wheat System: A Comparative Case Study from Upper and Trans Indo-Gangetic Plains of India. Heliyon 2023, 9, e22566. [Google Scholar] [CrossRef]
- Gopinath, K.A.; Rajanna, G.A.; Visha Kumari, V.; Singh, V.K.; Ajay, B.C.; Awasthi, N.K.; Mishra, V.; Sukumaran, S.; Venkatesh, G.; Rajkumar, B. Exploring the Use of POLY4 for the Improvement of Productivity, Peanut Quality, and Soil Properties in Southern India. Front. Plant Sci. 2024, 15, 1448909. [Google Scholar] [CrossRef]
- Tan, H.; Cui, Y.; Liu, C.; Zeng, F.; Han, C.; Zhang, H.; Fan, X.; Mitchell, R.; Yan, D.; Zhang, D. Toward the Replacement of Conventional Fertilizer with Polyhalite in Eastern China to Improve Peanut Growth and Soil Quality. Chem. Biol. Technol. Agric. 2022, 9, 94. [Google Scholar] [CrossRef]
- Yang, M.; Zhou, D.; Hang, H.; Chen, S.; Liu, H.; Su, J.; Lv, H.; Jia, H.; Zhao, G. Effects of Balancing Exchangeable Cations Ca, Mg, and K on the Growth of Tomato Seedlings (Solanum lycopersicum L.) Based on Increased Soil Cation Exchange Capacity. Agronomy 2024, 14, 629. [Google Scholar] [CrossRef]
- Ong, M.K.; Cheng, C.R.; Ong, C.A.; Maqbool, M.; Zahid, N. Effects of Polyhalite and Doses Application after Anthesis on Yield, Quality and Postharvest Storage Shelf Life of MD2 Pineapples (Ananas comosus). J. Food Qual. 2025, 2025, 1293311. [Google Scholar] [CrossRef]
- Pavinato, P.S.; Corá, J.E.; de Camargo Santos, A.; Herrera, W.F.B.; Pavuluri, K.; Pierce, F.J. Sugarcane Response to Polyhalite Fertilizer in Brazilian Oxisols. Agron. J. 2020, 112, 5264–5278. [Google Scholar] [CrossRef]
- Zhao, L.; Li, W. Polyhalite, a Potential Resource of Potash Fertilizer. Phosphate Comp. Fert. 2015, 30, 18–21. [Google Scholar]
- da Costa Mello, S.; Tonhati, R.; Neto, D.D.; Darapuneni, M.; Pavuluri, K. Response of Tomato to Polyhalite as a Multi-Nutrient Fertilizer in Southeast Brazil. J. Plant Nutr. 2018, 41, 2126–2140. [Google Scholar] [CrossRef]
- Kile, L.; Woodley, A.; Gatiboni, L.; Suchoff, D. Polyhalite as an Alternative Potassium Fertilizer for Sweetpotatoes. Agron. J. 2025, 117, e70114. [Google Scholar] [CrossRef]
- Han, D.; Liu, J.; Li, Y.; Tu, S.; Huang, W.; Hao, S.; Xu, Z. Progress of Slow/Controlled Release K Fertilizers in Flue-Cured Tobacco. Curr. Biotechnol. 2017, 7, 261–265. [Google Scholar] [CrossRef]
- Ye, Y. Effect of Slow-Release Potassium Fertilizers on Potassium Nutrient Regulation and Quality of Tobacco. Master’s Thesis, Anhui Agricultural University, Hefei, China, 2022. [Google Scholar]
- Li, Z.; Qiu, L.; Zhang, T.; E, G.; Zhang, L.; Wang, L.; Wu, L.; Wang, Y.; Zhang, Y.; Dong, J.; et al. Long-Term Application of Controlled-Release Potassium Chloride Increases Maize Yield by Affecting Soil Bacterial Ecology, Enzymatic Activity and Nutrient Supply. Field Crops Res. 2023, 297, 108946. [Google Scholar] [CrossRef]
- Chen, X.; Chen, X.; Jiao, J.; Zhang, F.; Chen, X.; Li, G.; Song, Z.; Sokolowski, E.; Imas, P.; Magen, H.; et al. Towards Balanced Fertilizer Management in South China: Enhancing Wax Gourd (Benincasa Hispida) Yield and Produce Quality. Sustainability 2022, 14, 5646. [Google Scholar] [CrossRef]
- Nisar, S.; Mavi, M.S.; Singh, J.; Srivastava, S.; Dey, P. Optimizing Nutrient Management Strategies to Achieve Higher Productivity, Greater Nutrient Use Efficiency in Eggplant and Maintenance of Soil Health. J. Plant Nutr. 2025, 48, 1817–1831. [Google Scholar] [CrossRef]
- Chen, L.; Zhang, W.; Gao, J.; Liu, Y.; Wang, X.; Liu, Y.; Feng, Y.; Zhao, Y.; Xin, W. Effects of Precise K Fertilizer Application on the Yield and Quality of Rice under the Mode of Light, Simple, and High-Efficiency N Fertilizer Application during the Panicle Stage. Agronomy 2022, 12, 1681. [Google Scholar] [CrossRef]
- Wu, P. Nitrogen and Potassium Nutrient Interaction Effects of High-Yielding Maize in Eastern Jilin Province. Master’s Thesis, Jilin Agricultural University, Changchun, China, 2012. [Google Scholar]
- Tang, H.; Huang, S. Interactive Effects of Nitrogen, Potassium and Water on Plant Growth and Potassium Uptake of Corn Seedling. SFSC 2008, 6, 46–50. [Google Scholar] [CrossRef]
- Suo, C.; Jiang, H.; Qu, Y.; Wang, X.; Yan, H.; Feng, C. Effects of Nitrogen-Potassium Ratio on Growth and Nutrient Accumulation of Flue-Cured Tobacco in Liangshan Tobacco Area. SFSC 2025, 69–75. [Google Scholar] [CrossRef]
- Hou, W.; Xue, X.; Li, X.; Khan, M.R.; Yan, J.; Ren, T.; Cong, R.; Lu, J. Interactive Effects of Nitrogen and Potassium on: Grain Yield, Nitrogen Uptake and Nitrogen Use Efficiency of Rice in Low Potassium Fertility Soil in China. Field Crops Res. 2019, 236, 14–23. [Google Scholar] [CrossRef]
- Di, C.; Li, X.; Li, Y.; Li, B.; Shana; Li, B.; Zhao, J. Effects of Different Ratios of Nitrogen and Potassium on Root Growth and Yield in Potato. J. Northeast Agric. 2021, 49, 53–59. [Google Scholar] [CrossRef]
- Li, M.; Chen, Z.; Shi, Q.; Pan, X.; Tan, X. Effects of Different Proportions of Nitrogen and Potassium Amounts on Grain Yield and Quality of Direct-Seeded Rice. Acta Agric. Univ. Jiangxiensis 2012, 34, 1071–1079. [Google Scholar] [CrossRef]
- Chen, N.; Chen, G.; Huang, Y.; Wu, L.; Zhang, W.; Chen, J.; Li, S. Effect of Nitrogen and Potassium Fertilizer Application Amount on the Population Quality and the Yield of Single Cropping Medium Rice. Chin. Agric. Sci. Bull. 2009, 25, 123–127. [Google Scholar]
- Wang, M.; Cao, G.; Geng, Y.; Ye, Q.; Wu, P. Effects of Nitrogen-Potassium Interaction on Nitrogen Uptake and Accumulation in Maize in Eastern Jilin Province. Jiangsu Agric. Sci. 2015, 43, 70–73. [Google Scholar] [CrossRef]
- Yahaya, S.M.; Mahmud, A.A.; Abdullahi, M.; Haruna, A. Recent Advances in the Chemistry of Nitrogen, Phosphorus and Potassium as Fertilizers in Soil: A Review. Pedosphere 2023, 33, 385–406. [Google Scholar] [CrossRef]
- Menegat, S.; Ledo, A.; Tirado, R. Greenhouse Gas Emissions from Global Production and Use of Nitrogen Synthetic Fertilisers in Agriculture. Sci. Rep. 2022, 12, 14490. [Google Scholar] [CrossRef]
- Swify, S.; Mažeika, R.; Baltrusaitis, J.; Drapanauskaitė, D.; Barčauskaitė, K. Review: Modified Urea Fertilizers and Their Effects on Improving Nitrogen Use Efficiency (NUE). Sustainability 2023, 16, 188. [Google Scholar] [CrossRef]
- Dan, X.; He, M.; Meng, L.; He, X.; Wang, X.; Chen, S.; Cai, Z.; Zhang, J.; Zhu, B.; Müller, C. Strong Rhizosphere Priming Effects on N Dynamics in Soils with Higher Soil N Supply Capacity: The ‘Matthew Effect’ in Plant-Soil Systems. Soil Biol. Biochem. 2023, 178, 108949. [Google Scholar] [CrossRef]
- Guo, J.H.; Liu, X.J.; Zhang, Y.; Shen, J.L.; Han, W.X.; Zhang, W.F.; Christie, P.; Goulding, K.W.T.; Vitousek, P.M.; Zhang, F.S. Significant Acidification in Major Chinese Croplands. Science 2010, 327, 1008–1010. [Google Scholar] [CrossRef] [PubMed]
- Zhu, X.; Ros, G.H.; Xu, M.; Cai, Z.; Sun, N.; Duan, Y.; de Vries, W. Long-Term Impacts of Mineral and Organic Fertilizer Inputs on Nitrogen Use Efficiency for Different Cropping Systems and Site Conditions in Southern China. Eur. J. Agron. 2023, 146, 126797. [Google Scholar] [CrossRef]
- Wang, C.; Zheng, M.; Song, W.; Wen, S.; Wang, B.; Zhu, C.; Shen, R. Impact of 25 Years of Inorganic Fertilization on Diazotrophic Abundance and Community Structure in an Acidic Soil in Southern China. Soil Biol. Biochem. 2017, 113, 240–249. [Google Scholar] [CrossRef]
- de Vries, W. Impacts of Nitrogen Emissions on Ecosystems and Human Health: A Mini Review. Curr. Opin. Environ. Sci. Health 2021, 21, 100249. [Google Scholar] [CrossRef]
- Sapkota, T.B.; Jat, M.L.; Rana, D.S.; Khatri-Chhetri, A.; Jat, H.S.; Bijarniya, D.; Sutaliya, J.M.; Kumar, M.; Singh, L.K.; Jat, R.K.; et al. Crop Nutrient Management Using Nutrient Expert Improves Yield, Increases Farmers’ Income and Reduces Greenhouse Gas Emissions. Sci. Rep. 2021, 11, 1564. [Google Scholar] [CrossRef]
- Anas, M.; Liao, F.; Verma, K.K.; Sarwar, M.A.; Mahmood, A.; Chen, Z.; Li, Q.; Zeng, X.; Liu, Y.; Li, Y. Fate of Nitrogen in Agriculture and Environment: Agronomic, Eco-Physiological and Molecular Approaches to Improve Nitrogen Use Efficiency. Biol. Res. 2020, 53, 47. [Google Scholar] [CrossRef]
- Govindasamy, P.; Muthusamy, S.K.; Bagavathiannan, M.; Mowrer, J.; Jagannadham, P.T.K.; Maity, A.; Halli, H.M.; Sujayananad, G.K.; Vadivel, R.; Das, T.K.; et al. Nitrogen Use Efficiency—A Key to Enhance Crop Productivity under a Changing Climate. Front. Plant Sci. 2023, 14, 1121073. [Google Scholar] [CrossRef]
- Zheng, H.; Noor, H.; Lin, C.; Feng, Y.; Luo, Z.; Hou, Y.; Seleiman, M.F.; Noor, F. Agrochemical Nitrogen Cycles, Photosynthesis Performance of Nitrogen Use Efficiency, and Yield of Maize. Atmosphere 2025, 16, 373. [Google Scholar] [CrossRef]
- Ren, K.; Xu, M.; Li, R.; Zheng, L.; Liu, S.; Reis, S.; Wang, H.; Lu, C.; Zhang, W.; Gao, H.; et al. Optimizing Nitrogen Fertilizer Use for More Grain and Less Pollution. J. Clean. Prod. 2022, 360, 132180. [Google Scholar] [CrossRef]
- Mondal, S.; Kumar, R.; Mishra, J.S.; Dass, A.; Kumar, S.; Vijay, K.V.; Kumari, M.; Khan, S.R.; Singh, V.K. Grain Nitrogen Content and Productivity of Rice and Maize under Variable Doses of Fertilizer Nitrogen. Heliyon 2023, 9, e17321. [Google Scholar] [CrossRef]
- Mandić, V.; Krnjaja, V.; Girek, Z.; Brankov, M.; Mićić, N.; Marinković, M.; Simić, A. Nitrogen Responsiveness of Maize Hybrids under Dryland Conditions. Agriculture 2025, 15, 1387. [Google Scholar] [CrossRef]
- Zhao, R.; Chen, X.; Zhang, F.; Zhang, H.; Schroder, J.; Römheld, V. Fertilization and Nitrogen Balance in a Wheat–Maize Rotation System in North China. Agron. J. 2006, 98, 938–945. [Google Scholar] [CrossRef]
- Zhai, L.; Wang, Z.; Zhai, Y.; Zhang, L.; Zheng, M.; Yao, H.; Lv, L.; Shen, H.; Zhang, J.; Yao, Y.; et al. Partial Substitution of Chemical Fertilizer by Organic Fertilizer Benefits Grain Yield, Water Use Efficiency, and Economic Return of Summer Maize. Soil Tillage Res. 2022, 217, 105287. [Google Scholar] [CrossRef]
- Zhu, Z.L.; Chen, D.L. Nitrogen Fertilizer Use in China—Contributions to Food Production, Impacts on the Environment and Best Management Strategies. Nutr. Cycl. Agroecosyst. 2002, 63, 117–127. [Google Scholar] [CrossRef]
- Dimkpa, C.O.; Fugice, J.; Singh, U.; Lewis, T.D. Development of Fertilizers for Enhanced Nitrogen Use Efficiency—Trends and Perspectives. Sci. Total Environ. 2020, 731, 139113. [Google Scholar] [CrossRef] [PubMed]
- Lu, W.; Hao, Z.; Ma, X.; Gao, J.; Fan, X.; Guo, J.; Li, J.; Lin, M.; Zhou, Y. Effects of Different Proportions of Organic Fertilizer Replacing Chemical Fertilizer on Soil Nutrients and Fertilizer Utilization in Gray Desert Soil. Agronomy 2024, 14, 228. [Google Scholar] [CrossRef]
- Zhang, Y.; Ye, C.; Su, Y.; Peng, W.; Lu, R.; Liu, Y.; Huang, H.; He, X.; Yang, M.; Zhu, S. Soil Acidification Caused by Excessive Application of Nitrogen Fertilizer Aggravates Soil-Borne Diseases: Evidence from Literature Review and Field Trials. Agric. Ecosyst. Environ. 2022, 340, 108176. [Google Scholar] [CrossRef]
- Jia, X.; Shao, L.; Liu, P.; Zhao, B.; Gu, L.; Dong, S.; Bing, S.H.; Zhang, J.; Zhao, B. Effect of Different Nitrogen and Irrigation Treatments on Yield and Nitrate Leaching of Summer Maize (Zea mays L.) under Lysimeter Conditions. Agric. Water Manag. 2014, 137, 92–103. [Google Scholar] [CrossRef]
- Ju, X.; Christie, P. Calculation of Theoretical Nitrogen Rate for Simple Nitrogen Recommendations in Intensive Cropping Systems: A Case Study on the North China Plain. Field Crops Res. 2011, 124, 450–458. [Google Scholar] [CrossRef]
- Zou, J.; Liu, T.; Yao, G.; Xu, L. Assessing the Carbon Emissions from Fertilizer Use Reduction in China. China Environ. Sci. 2024, 44, 438–448. [Google Scholar] [CrossRef]
- Schebesta, H.; Candel, J.J.L. Game-Changing Potential of the EU’s Farm to Fork Strategy. Nat. Food 2020, 1, 586–588. [Google Scholar] [CrossRef] [PubMed]
- NY/T 395-2012; Technical Rules for Monitoring of Environmental Quality of Farmland Soil. Ministry of Agriculture of the People’s Republic of China: Beijing, China, 2012.
- Mo, X.; Wang, M.; Zeng, H.; Wang, J. Rhizosheath: Distinct Features and Environmental Functions. Geoderma 2023, 435, 116500. [Google Scholar] [CrossRef]
- Yadav, P.K.; Sah, P.K.; Bhujel, P.; Ojha, A. Characterizing Maize Hybrid Varieties in Lamjung, Nepal: A Study on Varietal Traits. Int. J. Agron. 2025, 2025, 9038500. [Google Scholar] [CrossRef]
- Bao, S.D. Soil and Agricultural Chemistry Analysis, 3rd ed.; China Agriculture Press: Beijing, China, 2013; ISBN 978-7-109-06644-1. [Google Scholar]
- NY/T 1121.7-2014; Soil Testing—Part 7: Method for Determination of Available Phosphorus in Soil. Ministry of Agriculture of the People’s Republic of China: Beijing, China, 2014.
- NY/T 1615-2008; Determination of Exchangeable Bases and Total Exchangeable Bases in Calcareous Soil. Ministry of Agriculture of the People’s Republic of China: Beijing, China, 2008.
- NY/T 1121.14-2023; Soil Testing—Part 14: Method for Determination of Soil Available Sulphur. Ministry of Agriculture and Rural Affairs of the People’s Republic of China: Beijing, China, 2023.
- Miller, W.P.; Miller, D.M. A Micro-Pipette Method for Soil Mechanical Analysis. Commun. Soil Sci. Plant Anal. 1987, 18, 1–15. [Google Scholar] [CrossRef]
- Lu, R.K. Analysis Method of Soil Agricultural Chemistry; China Agricultural Science and Technology Press: Beijing, China, 2000; ISBN 7-80119-925-1. [Google Scholar]
- GB 5009.14-2017; National Food Safety Standard: Determination of Zinc in Foodstuffs. National Health and Family Planning Commission of the People’s Republic of China, State Food and Drug Administration: Beijing, China, 2017.
- GB 5009.90-2016; National Food Safety Standard: Determination of Iron in Foodstuffs. National Health and Family Planning Commission of the People’s Republic of China, State Food and Drug Administration: Beijing, China, 2016.
- GB 5009.91-2017; National Food Safety Standard: Determination of Potassium and Sodium in Foodstuffs. National Health and Family Planning Commission of the People’s Republic of China, State Food and Drug Administration: Beijing, China, 2017.
- GB 5009.92-2016; National Food Safety Standard: Determination of Calcium in Foodstuffs. National Health and Family Planning Commission of the People’s Republic of China, State Food and Drug Administration: Beijing, China, 2016.
- GB 5009.241-2017; National Food Safety Standard: Determination of Magnesium in Foodstuffs. National Health and Family Planning Commission of the People’s Republic of China, State Food and Drug Administration: Beijing, China, 2017.
- GB 5009.242-2017; National Food Safety Standard: Determination of Manganese in Foodstuffs. National Health and Family Planning Commission of the People’s Republic of China, State Food and Drug Administration: Beijing, China, 2017.
- Carciochi, W.D.; Salvagiotti, F.; Pagani, A.; Reussi Calvo, N.I.; Eyherabide, M.; Sainz Rozas, H.R.; Ciampitti, I.A. Nitrogen and Sulfur Interaction on Nutrient Use Efficiencies and Diagnostic Tools in Maize. Eur. J. Agron. 2020, 116, 126045. [Google Scholar] [CrossRef]
- Nie, T.; Li, J.; Jiang, L.; Zhang, Z.; Chen, P.; Li, T.; Dai, C.; Sun, Z.; Yin, S.; Wang, M. Optimizing Irrigation and Nitrogen Application to Enhance Millet Yield, Improve Water and Nitrogen Use Efficiency and Reduce Inorganic Nitrogen Accumulation in Northeast China. Plants 2024, 13, 3067. [Google Scholar] [CrossRef]
- Li, R.; Mian, Y.; Hou, X.; Li, P.; Wang, X. Effects of Straw Returning with Nitrogen Application on Soil Properties, Water and Nitrogen Use Efficiency of Maize. Acta Agron. Sin. 2023, 49, 2820–2832. [Google Scholar] [CrossRef]
- Lin, G.; Yun, P.; Chen, L.; Gao, X.; Zhang, J.; Lu, C.; Liu, R.; Wang, H. Residual Effects of Phosphate Fertilizer Applied to Winter Wheat on Following Maize and Transformation of Phosphate Fractions in Soil. Chin. J. Soil Sci. 2011, 42, 676–680. [Google Scholar] [CrossRef]
- Ahmed, A.; Aftab, S.; Hussain, S.; Cheema, H.N.; Liu, W.; Yang, F.; Yang, W. Nutrient Accumulation and Distribution Assessment in Response to Potassium Application under Maize-Soybean Intercropping System. Agronomy 2020, 10, 725. [Google Scholar] [CrossRef]
- Dhillon, J.S.; Eickhoff, E.M.; Mullen, R.W.; Raun, W.R. World Potassium Use Efficiency in Cereal Crops. Agron. J. 2019, 111, 889–896. [Google Scholar] [CrossRef]
- Bindraban, P.S.; Dimkpa, C.; Nagarajan, L.; Roy, A.; Rabbinge, R. Revisiting Fertilisers and Fertilisation Strategies for Improved Nutrient Uptake by Plants. Biol. Fertil. Soils 2015, 51, 897–911. [Google Scholar] [CrossRef]
- Han, X.; Xiao, X.; Zhang, J.; Shao, M.; Jie, Y.; Xing, H. Effects of Nitrogen Fertilizer and Planting Density on Growth, Nutrient Characteristics, and Chlorophyll Fluorescence in Silage Maize. Agronomy 2024, 14, 1352. [Google Scholar] [CrossRef]
- Zhai, J.; Zhang, Y.; Zhang, G.; Tian, M.; Xie, R.; Ming, B.; Hou, P.; Wang, K.; Xue, J.; Li, S. Effects of Nitrogen Fertilizer Management on Stalk Lodging Resistance Traits in Summer Maize. Agriculture 2022, 12, 162. [Google Scholar] [CrossRef]
- Liu, Z.; Gao, J.; Gao, F.; Liu, P.; Zhao, B.; Zhang, J. Photosynthetic Characteristics and Chloroplast Ultrastructure of Summer Maize Response to Different Nitrogen Supplies. Front. Plant Sci. 2018, 9, 576. [Google Scholar] [CrossRef] [PubMed]
- Gao, J.; Liu, Z.; Wang, P.; Huang, S. Drip Irrigation Coupled with Appropriate N Input Increased Maize (Zea mays L.) Yield and Lodging Resistance via Optimizing Root and Stem Trait. Eur. J. Agron. 2024, 160, 127298. [Google Scholar] [CrossRef]
- Zhang, Y.; Zhu, J.; Li, C.; Peng, H.; Liu, J.; Luo, Y.; Song, M.; Dai, Y.; Deng, K.; Ji, X. Optimizing Fertilizer Application and Straw Return to Fields to Minimize Nitrogen and Phosphorus Runoff Losses in Double-Rice Cropping Systems. Agric. Water Manag. 2025, 317, 109601. [Google Scholar] [CrossRef]
- Li, L.; Awada, T.; Shi, Y.; Jin, V.L.; Kaiser, M. Global Greenhouse Gas Emissions from Agriculture: Pathways to Sustainable Reductions. Glob. Change Biol. 2025, 31, e70015. [Google Scholar] [CrossRef]
- Dal Molin, S.J.; Nascimento, C.O.; Teixeira, P.C.; De Melo Benites, V. Polyhalite as a Potassium and Multinutrient Source for Plant Nutrition. Arch. Agron. Soil Sci. 2019, 66, 667–678. [Google Scholar] [CrossRef]
- Bejarano Herrera, W.F.; Arruda, B.; Pereira de Carvalho, H.W.; Pavinato, P.S. Improving Potassium Use Efficiency of Sugarcane through the Use of Polyhalite. CABI Agric. Biosci. 2022, 3, 55. [Google Scholar] [CrossRef]
- Nigussie, A. Effects of Nitrogen Application and Tillage on Maize (Zea mays L.) Yield, Nitrogen Use Efficiency, and Nutrient Stocks under Contrasting Soils. Agrosyst. Geosci. Environ. 2025, 8, e70156. [Google Scholar] [CrossRef]
- Reyes-Matamoros, J.; Mora-Ramírez, M.A.; Morales-Manzo, I.I.; Valderrama-Romero, A.S. Morphological Response of Native Maize (Zea mays L.) Seedlings to Contrasting Nitrogen Environments. Rev. Fac. Agron. Univ. Zulia 2024, 41, e244134. [Google Scholar] [CrossRef]
- Xu, M.; Zhang, Y.; Wang, Y.; Wang, L.; Bai, Y.; Lu, Y. Optimizing Nitrogen Input and Nitrogen Use Efficiency through Soil Nitrogen Balance in a Long-Term Winter Wheat-Summer Maize Rotation System in North China. Eur. J. Agron. 2023, 149, 126908. [Google Scholar] [CrossRef]
- Ma, C.; Wu, W.; Hou, P.; Wang, Y.; Li, B.; Yuan, H.; Liu, L.; Wang, X.; Sun, Z.; Li, Y. Effect of Combined Nitrogen and Phosphorus Fertilization on Summer Maize Yield and Soil Fertility in Coastal Saline-Alkali Land. Agric. Water Manag. 2025, 309, 109277. [Google Scholar] [CrossRef]
- Ali, A.; Jabeen, N.; Farruhbek, R.; Chachar, Z.; Laghari, A.A.; Chachar, S.; Ahmed, N.; Ahmed, S.; Yang, Z. Enhancing Nitrogen Use Efficiency in Agriculture by Integrating Agronomic Practices and Genetic Advances. Front. Plant Sci. 2025, 16, 1543714. [Google Scholar] [CrossRef] [PubMed]
- Huang, Y.; Ye, Y.; Chen, W.; Ren, N.; Zhao, Y.; Wang, Y. Effects of Nitrogen Application Rates on Mineral Mass Fractions of Maize Grain. Acta Agric. Boreali-Occident. Sin. 2020, 29, 870–876. [Google Scholar] [CrossRef]
- Bojtor, C.; Illés, Á.; Nasir Mousavi, S.M.; Széles, A.; Tóth, B.; Nagy, J.; Marton, C.L. Evaluation of the Nutrient Composition of Maize in Different NPK Fertilizer Levels Based on Multivariate Method Analysis. Int. J. Agron. 2021, 2021, 5537549. [Google Scholar] [CrossRef]
- Wyszkowski, M.; Brodowska, M.S. Potassium and Nitrogen Fertilization vs. Trace Element Content of Maize (Zea mays L.). Agriculture 2021, 11, 96. [Google Scholar] [CrossRef]
- Du, K.; Zhao, W.; Lv, Z.; Xu, B.; Hu, W.; Zhou, Z.; Wang, Y. Optimal Rate of Nitrogen Fertilizer Improves Maize Grain Yield by Delaying the Senescence of Ear Leaves and Thereby Altering Their Nitrogen Remobilization. Field Crops Res. 2024, 310, 109359. [Google Scholar] [CrossRef]
- Jiang, T. Effects of Nitrogen Application Regime on Yield, Quality and Plant Nutrient Contents of Summer Maize. J. Plant Nutr. Fertil. 2013, 19, 559–565. [Google Scholar] [CrossRef]
- Javed, S.A.; Jaffar, M.T.; Shahzad, S.M.; Ashraf, M.; Piracha, M.A.; Mukhtar, A.; Rahman, S.U.; Almoallim, H.S.; Ansari, M.J.; Zhang, J. Optimization of Nitrogen Regulates the Ionic Homeostasis, Potassium Efficiency, and Proline Content to Improve the Growth, Yield, and Quality of Maize under Salinity Stress. Environ. Exp. Bot. 2024, 226, 105836. [Google Scholar] [CrossRef]
- Han, Z.; Qian, C.; Li, Z.; Yang, S.; Liu, M.; Zhang, M.; Zhang, W. Effects of Nitrogen Fertilization on Micronutrient Concentrations and Bioavailability in the Grain of Different Maize Varieties. J. Maize Sci. 2013, 21, 110–114. [Google Scholar] [CrossRef]
- Guo, Y.; Wang, Y.; Chen, H.; Du, Q.; Wang, Z.; Gong, X.; Sun, Q.; Li, W.-X. Nitrogen Supply Affects Ion Homeostasis by Modifying Root Casparian Strip Formation through the miR528-LAC3 Module in Maize. Plant Commun. 2023, 4, 100553. [Google Scholar] [CrossRef]
- Zhang, X.; Sui, S.; Liu, H.; An, J. Effect of Different Application Rate of Nitrogen Fertilizer Under Straw Return on Maize Yield and Inorganic Nitrogen Accumulation. J. Agric. Res. Environ. 2014, 31, 279–284. [Google Scholar] [CrossRef]
- Cao, D.; Wang, H.; Xu, X. Effect of Sulfur on Nitrogen/Sulfur Uptake/Distribution and Yield of Maize. Chin. J. Eco-Agric. 2017, 25, 1298–1305. [Google Scholar] [CrossRef]
- Evanylo, G.K. Dryland Corn Response to Tillage and Nitrogen Fertilization. II. P, K, CA, MG. Commun. Soil Sci. Plant Anal. 1990, 21, 153–167. [Google Scholar] [CrossRef]
- Terman, G.L.; Allen, S.E. Yield-nutrient Concentration Relationships in Young Maize, as Affected by Applied Nitrogen. J. Sci. Food Agric. 1974, 25, 1135–1142. [Google Scholar] [CrossRef]
- Grzebisz, W.; Zielewicz, W.; Przygocka-Cyna, K. Deficiencies of Secondary Nutrients in Crop Plants—A Real Challenge to Improve Nitrogen Management. Agronomy 2023, 13, 66. [Google Scholar] [CrossRef]
- Lillywhite, R.D.; Wiltshire, J.J.J.; Webb, J.; Menadue, H. The Response of Winter Barley (Hordeum Vulgare) and Forage Maize (Zea mays) Crops to Polyhalite, a Multi-Nutrient Fertilizer. J. Agric. Sci. 2020, 158, 269–278. [Google Scholar] [CrossRef]
- Yang, X.; Ni, K.; Shi, Y.; Yi, X.; Zhang, Q.; Fang, L.; Ma, L.; Ruan, J. Effects of Long-Term Nitrogen Application on Soil Acidification and Solution Chemistry of a Tea Plantation in China. Agric. Ecosyst. Environ. 2018, 252, 74–82. [Google Scholar] [CrossRef]
- Zhou, Z.; Chen, K.; Yu, H.; Chen, Q.; Wu, F.; Zeng, X.; Tu, S.; Qin, Y.; Meakin, R.; Fan, X. Changes in Tea Performance and Soil Properties after Three Years of Polyhalite Application. Agron. J. 2019, 111, 1967–1976. [Google Scholar] [CrossRef]
- Pauletti, V.; de Pierri, L.; Ranzan, T.; Barth, G.; Vargas Motta, A.C. Efeitos Em Longo Prazo Da Aplicação de Gesso e Calcário No Sistema de Plantio Direto. Rev. Bras. Ciência Solo 2014, 38, 495–505. [Google Scholar] [CrossRef]







| Items | Values | 
|---|---|
| pH | 8.01 ± 0.04 | 
| EC (μs/cm) | 355.17 ± 24.00 | 
| Available N (mg/kg) | 134.17 ± 12.30 | 
| Available P (mg/kg) | 17.41 ± 0.49 | 
| Available K (mg/kg) | 96.99 ± 12.55 | 
| Available Ca (cmol/kg) | 32.70 ± 5.11 | 
| Available Mg (cmol/kg) | 3.32 ± 0.12 | 
| Available S (mg/kg) | 30.87 ± 2.29 | 
| Treatments | Composition and Nutrient Ratios of Experimental Fertilizer | N | 
|---|---|---|
| T1 | PK Control (N0) | 0 | 
| T2 | Market 15-15-15 (MOP) at N1 rate | 170 | 
| T3 | 15-15-15 (MOP)(POLY25%) at N1 rate | 170 | 
| T4 | 25-7-8 (MOP)(POLY26%) at N1 rate | 170 | 
| T5 | Market 15-15-15 (MOP) at N2 rate | 200 | 
| T6 | 15-15-15 (MOP)(POLY25%) at N2 rate | 200 | 
| T7 | 25-7-8 (MOP)(POLY26%) at N2 rate | 200 | 
| T8 | Market 15-15-15 (MOP) at N3 rate | 230 | 
| T9 | 15-15-15 (MOP)(POLY25%) at N3 rate | 230 | 
| T10 | 25-7-8 (MOP)(POLY26%) at N3 rate | 230 | 
| T11 | Market 15-15-15 (MOP) at N4 rate | 260 | 
| T12 | 15-15-15 (MOP)(POLY25%) at N4 rate | 260 | 
| T13 | 25-7-8 (MOP)(POLY26%) at N4 rate | 260 | 
| Treatments | NAE | PFPN | AUE | 
|---|---|---|---|
| T1 | — | — | — | 
| T2 | 1.32 ± 2.09 b | 51.43 ± 2.09 b | 1.03 ± 0.04 b | 
| T3 | 1.67 ± 2.97 b | 51.78 ± 2.97 b | 1.03 ± 0.06 b | 
| T4 | 5.78 ± 1.21 a | 55.88 ± 1.21 a | 1.12 ± 0.02 a | 
| T5 | 1.21 ± 1.16 b | 43.80 ± 1.16 c | 1.03 ± 0.03 b | 
| T6 | 2.89 ± 1.00 b | 45.48 ± 1.00 c | 1.07 ± 0.02 ab | 
| T7 | 1.19 ± 0.86 b | 43.78 ± 0.86 c | 1.03 ± 0.02 b | 
| T8 | 1.27 ± 1.04 b | 38.30 ± 1.04 d | 1.03 ± 0.03 b | 
| T9 | 0.91 ± 2.43 b | 37.95 ± 2.43 d | 1.02 ± 0.07 b | 
| T10 | 0.70 ± 1.90 b | 37.73 ± 1.90 d | 1.02 ± 0.05 b | 
| T11 | 0.87 ± 1.32 b | 33.63 ± 1.32 e | 1.03 ± 0.04 b | 
| T12 | 0.52 ± 1.16 b | 33.28 ± 1.16 e | 1.02 ± 0.04 b | 
| T13 | 0.34 ± 0.66 b | 33.10 ± 0.66 e | 1.01 ± 0.02 b | 
| Disclaimer/Publisher’s Note: The statements, opinions and data contained in all publications are solely those of the individual author(s) and contributor(s) and not of MDPI and/or the editor(s). MDPI and/or the editor(s) disclaim responsibility for any injury to people or property resulting from any ideas, methods, instructions or products referred to in the content. | 
© 2025 by the authors. Licensee MDPI, Basel, Switzerland. This article is an open access article distributed under the terms and conditions of the Creative Commons Attribution (CC BY) license (https://creativecommons.org/licenses/by/4.0/).
Share and Cite
Li, X.; Jing, R.; Guo, J.; Li, S.; Bai, L.; Dai, J. Effects of Compound Fertilizer Containing Polyhalite on Soil and Maize Growth Under Different Nitrogen Levels. Sustainability 2025, 17, 8827. https://doi.org/10.3390/su17198827
Li X, Jing R, Guo J, Li S, Bai L, Dai J. Effects of Compound Fertilizer Containing Polyhalite on Soil and Maize Growth Under Different Nitrogen Levels. Sustainability. 2025; 17(19):8827. https://doi.org/10.3390/su17198827
Chicago/Turabian StyleLi, Xiaohan, Ruixue Jing, Jimin Guo, Shun Li, Liyong Bai, and Jiulan Dai. 2025. "Effects of Compound Fertilizer Containing Polyhalite on Soil and Maize Growth Under Different Nitrogen Levels" Sustainability 17, no. 19: 8827. https://doi.org/10.3390/su17198827
APA StyleLi, X., Jing, R., Guo, J., Li, S., Bai, L., & Dai, J. (2025). Effects of Compound Fertilizer Containing Polyhalite on Soil and Maize Growth Under Different Nitrogen Levels. Sustainability, 17(19), 8827. https://doi.org/10.3390/su17198827
 
        




 
       