Green Businesses in the Colombian Amazon: Dynamic Capabilities, Elements of Sustainable Development, and Characteristics of Innovative Performance
Abstract
1. Introduction
1.1. Conceptual Framework
Dynamic Capabilities
1.2. Sustainable Development
1.3. Innovative Performance
1.4. Interaction Between Dynamic Capabilities, Innovation, and Sustainable Development
2. Materials and Methods
2.1. Study Area and Population
2.2. Characterization of Dynamic Capabilities, Elements of Sustainable Development, and Characteristics of Innovative Performance
2.3. Data Analysis
3. Results
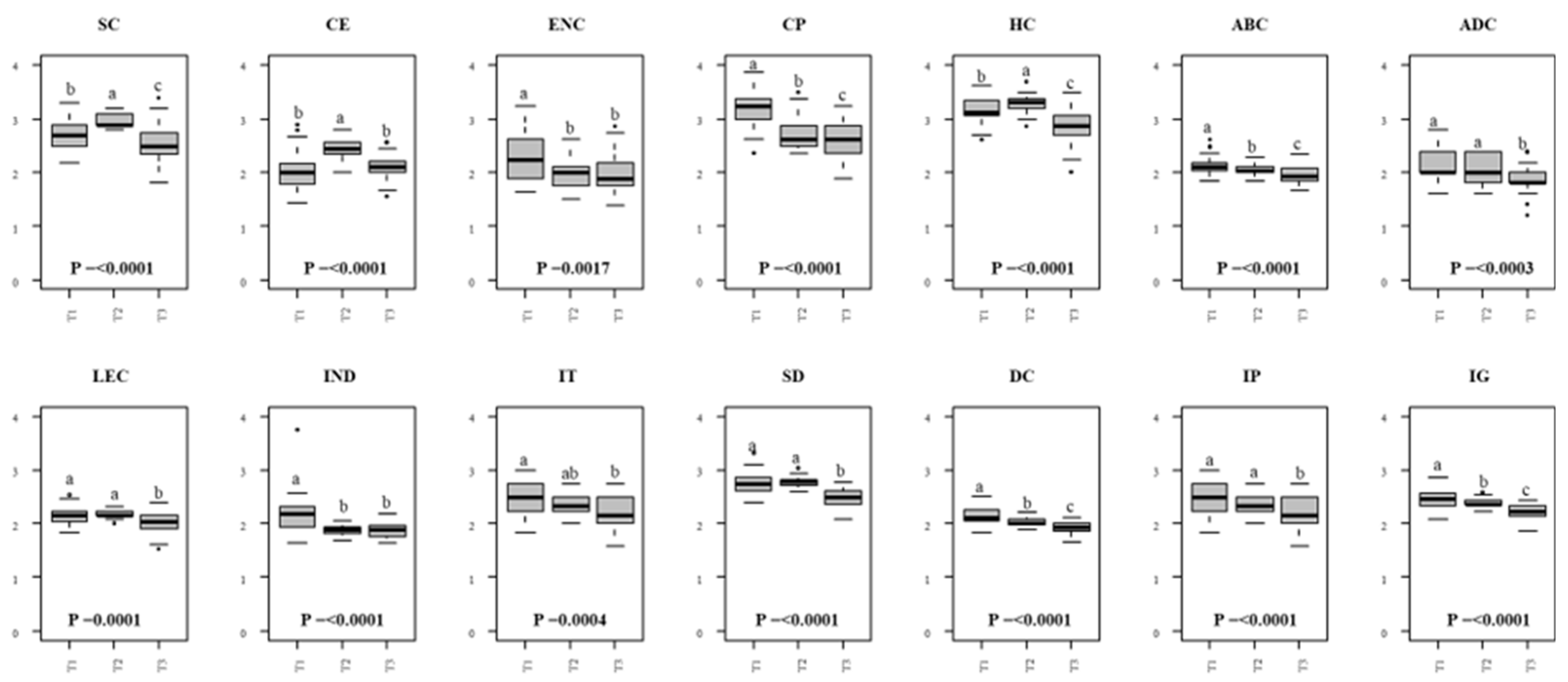
3.1. Dynamic Capabilities, Sustainable Development, and Characteristics of Innovative Performance in Green Businesses
3.2. Dynamic Capabilities in Green Businesses in the Colombian Amazon
3.3. Sustainable Development in Green Businesses in the Colombian Amazon
3.4. Innovative Performance in Green Businesses in the Colombian Amazon
3.5. Correspondence Between Departments, Types, Sectors, and Activities
4. Discussion
5. Conclusions
Author Contributions
Funding
Data Availability Statement
Acknowledgments
Conflicts of Interest
References
- Burton, I. Report on Reports: Our Common Future: The World Commission on Environment and Development. Environ. Sci. Policy Sustain. Dev. 1987, 29, 25–29. [Google Scholar] [CrossRef]
- Amui, L.B.L.; Jabbour, C.J.C.; de Sousa Jabbour, A.B.L.; Kannan, D. Sustainability as a dynamic organizational capability: A systematic review and a future agenda toward a sustainable transition. J. Clean. Prod. 2017, 142, 308–322. [Google Scholar] [CrossRef]
- Polonsky, M.J.; Mintu-Wimsatt, A.T. Environmental Marketing: Strategies. Practice, Theory and Research; The Haworth Press Inc.: New York, NY, USA; London, UK, 1995. [Google Scholar]
- Hart, S.L.; Milstein, M.B. Creating sustainable value. Acad. Manag. Perspect. 2003, 17, 56–67. [Google Scholar] [CrossRef]
- García, C.P.; Díaz-Ariza, D.M.; Aguilar Galeano, E. Caracterización De Las Mipymes Orientadas a Los Negocios Verdes En Colombia. Rev. Efic. 2021, 1, 3. [Google Scholar]
- MINAMBIENTE. Plan Nacional de Negocios Verdes. Available online: https://www.minambiente.gov.co/negocios-verdes/plan-nacional-de-negocios-verdes/ (accessed on 28 November 2024).
- Frohmann, A.; Mulder, N.; Olmos, X. Incentivos a la Sostenibilidad en el Comercio Internacional; Naciones Unidas Comisión Económica para América Latina y el Caribe (CEPAL): Santiago, Chile, 2021. [Google Scholar]
- Sánchez, S.Y.; Escobedo, A.; Gutiérrez, R. Diagnóstico de la Capacidad Empresarial y Socio-Organizativa de Empresas Asociativas Rurales Basada en los Medios de Vida Sostenibles, 1st ed.; Centro Agronómico Tropical de Investigación y Enseñanza (CATIE): Turrialba, Costa Rica, 2015; Volume 8. [Google Scholar]
- Flora, C.; Flora, J.; Fey, S. Rural Communities: Legacy and Change, 2nd ed.; Westview Press: Boulder, CO, USA, 2004. [Google Scholar]
- Hernández-Núñez, H.E.; Gutiérrez-Montes, I.; Bernal-Núñez, A.P.; Gutiérrez-García, G.A.; Suárez, J.C.; Casanoves, F.; Flora, C.B. Cacao cultivation as a livelihood strategy: Contributions to the well-being of Colombian rural households. Agric. Hum. Values 2021, 39, 201–216. [Google Scholar] [CrossRef]
- Eisenhardt, K.M.; Martin, J.A. Dynamic capabilities: What are they? In The SMS Blackwell Handbook of Organizational Capabilities; Blackwell: Hoboken, NJ, USA, 2017; pp. 341–363. [Google Scholar]
- Bitencourt, C.C.; de Oliveira Santini, F.; Ladeira, W.J.; Santos, A.C.; Teixeira, E.K. The extended dynamic capabilities model: A meta-analysis. Eur. Manag. J. 2020, 38, 108–120. [Google Scholar] [CrossRef]
- Ellström, D.; Holtström, J.; Berg, E.; Josefsson, C. Dynamic capabilities for digital transformation. J. Strategy Manag. 2021, 15, 272–286. [Google Scholar] [CrossRef]
- Winter, S.G. Understanding dynamic capabilities. Strateg. Manag. J. 2003, 24, 991–995. [Google Scholar] [CrossRef]
- Zollo, M.; Winter, S.G. Deliberate Learning and the Evolution of Dynamic Capabilities. Organ. Sci. 2002, 13, 339–351. [Google Scholar] [CrossRef]
- Tuschke, A.; Buellet, E. Dynamic Capabilities; Management (Oxford Bibliographies); Oxford University Press: Oxford, UK, 2020. [Google Scholar]
- Schriber, S.; Löwstedt, J. Reconsidering ordinary and dynamic capabilities in strategic change. Eur. Manag. J. 2020, 38, 377–387. [Google Scholar] [CrossRef]
- Leemann, N.; Kanbach, D.K. Toward a taxonomy of dynamic capabilities—A systematic literature review. Manag. Res. Rev. 2021, 45, 486–501. [Google Scholar] [CrossRef]
- Hällerstrand, L.; Reim, W.; Malmström, M. Dynamic capabilities in environmental entrepreneurship: A framework for commercializing green innovations. J. Clean. Prod. 2023, 402, 136692. [Google Scholar] [CrossRef]
- Arora, S.K.; Li, Y.; Youtie, J.; Shapira, P. Measuring dynamic capabilities in new ventures: Exploring strategic change in US green goods manufacturing using website data. J. Technol. Transf. 2020, 45, 1451–1480. [Google Scholar] [CrossRef]
- Xing, W. Green dynamic capability, business model innovation and new venture performance: Inputs to green manufacturing innovation framework. Int. J. Res. Stud. Manag. 2023, 11, 141–150. [Google Scholar] [CrossRef]
- World Commission on Environment Development Our Common Future: Report of the World Commission on Environment and Development; United Nations: Geneva, Switzerland; Oxford University Press: Oxford, UK, 1987.
- Lachapelle, P.R.; Gutierrez-Montes, I.; Flora, C.B. Community Capacity and Resilience in Latin America; Taylor and Francis Inc.: Boca Raton, FL, USA, 2018; pp. 1–202. [Google Scholar]
- Flora, C.B.; Thiboumery, A. Community capitals: Poverty reduction and rural development in dry areas. Ann. Arid Zone 2005, 44, 239–253. [Google Scholar]
- Marcon, A.; de Medeiros, J.F.; Ribeiro, J.L.D. Innovation and environmentally sustainable economy: Identifying the best practices developed by multinationals in Brazil. J. Clean. Prod. 2017, 160, 83–97. [Google Scholar] [CrossRef]
- Hu, X.; Danso, B.A.; Mensah, I.A.; Addai, M. Does Innovation Type Influence Firm Performance? A Dilemma of Star-Rated Hotels in Ghana. Sustainability 2020, 12, 9912. [Google Scholar] [CrossRef]
- Hanaysha, J.R.; Al-Shaikh, M.E.; Joghee, S.; Alzoubi, H.M. Impact of Innovation Capabilities on Business Sustainability in Small and Medium Enterprises. FIIB Bus. Rev. 2022, 11, 67–78. [Google Scholar] [CrossRef]
- Zhang, F.; Zhu, L. Enhancing corporate sustainable development: Stakeholder pressures, organizational learning, and green innovation. Bus. Strategy Environ. 2019, 28, 1012–1026. [Google Scholar] [CrossRef]
- Mousavi, S.; Bossink, B.; van Vliet, M. Microfoundations of companies’ dynamic capabilities for environmentally sustainable innovation: Case study insights from high-tech innovation in science-based companies. Bus. Strategy Environ. 2018, 28, 366–387. [Google Scholar] [CrossRef]
- Inigo, E.A.; Albareda, L.; Ritala, P. Business model innovation for sustainability: Exploring evolutionary and radical approaches through dynamic capabilities. Ind. Innov. 2017, 24, 515–542. [Google Scholar] [CrossRef]
- Bocken, N.M.P.; Geradts, T.H.J. Barriers and drivers to sustainable business model innovation: Organization design and dynamic capabilities. Long Range Plan. 2020, 53, 101950. [Google Scholar] [CrossRef]
- Acquier, A.; Carbone, V.; Acosta, P. Dynamic capabilities for sustainable innovation: What are they? In Business Strategies for Sustainability; Routledge: London, UK, 2018; pp. 198–217. [Google Scholar]
- Dangelico, R.M.; Pujari, D.; Pontrandolfo, P. Green Product Innovation in Manufacturing Firms: A Sustainability-Oriented Dynamic Capability Perspective. Bus. Strategy Environ. 2016, 26, 490–506. [Google Scholar] [CrossRef]
- Oliveira-Dias, D.; Kneipp, J.M.; Bichueti, R.S.; Gomes, C.M. Fostering business model innovation for sustainability: A dynamic capabilities perspective. Manag. Decis. 2022, 60, 105–129. [Google Scholar] [CrossRef]
- Mubeen, A.; Nisar, Q.A.; Patwary, A.K.; Rehman, S.; Ahmad, W. Greening your business: Nexus of green dynamic capabilities, green innovation and sustainable performance. Environ. Dev. Sustain. 2024, 26, 22747–22773. [Google Scholar] [CrossRef]
- Borah, P.S.; Dogbe, C.S.K.; Marwa, N. Green dynamic capability and green product innovation for sustainable development: Role of green operations, green transaction, and green technology development capabilities. Corp. Soc. Responsib. Environ. Manag. 2024, 32, 911–926. [Google Scholar] [CrossRef]
- De Almeida, J.; Franco Junior, A.; Battistelle, R.A.G.; Bezerra, B.S. Dynamic Capabilities: Unveiling Key Resources for Environmental Sustainability and Economic Sustainability, and Corporate Social Responsibility towards Sustainable Development Goals. Resources 2024, 13, 22. [Google Scholar] [CrossRef]
- Arshad, M.; Yu, C.K.; Qadir, A.; Rafique, M. The influence of climate change, green innovation, and aspects of green dynamic capabilities as an approach to achieving sustainable development. Environ. Sci. Pollut. Res. 2023, 30, 71340–71359. [Google Scholar] [CrossRef] [PubMed]
- Yuan, B.; Cao, X. Do corporate social responsibility practices contribute to green innovation? The mediating role of green dynamic capability. Technol. Soc. 2022, 68, 101868. [Google Scholar] [CrossRef]
- Gohr, C.F.; Rodrigues, B.C.B. Dynamic Capabilities as Enablers for Sustainability-Oriented Innovation: A Case Study in a Footwear Industry. Bus. Strategy Environ. 2025, 34, 3114–3140. [Google Scholar] [CrossRef]
- Da Giau, A.; Foss, N.J.; Furlan, A.; Vinelli, A. Sustainable development and dynamic capabilities in the fashion industry: A multi-case study. Corp. Soc. Responsib. Environ. Manag. 2019, 27, 1509–1520. [Google Scholar] [CrossRef]
- Bari, N.; Chimhundu, R.; Chan, K.-C. Dynamic Capabilities to Achieve Corporate Sustainability: A Roadmap to Sustained Competitive Advantage. Sustainability 2022, 14, 1531. [Google Scholar] [CrossRef]
- Vo Thai, H.C.; Hong-Hue, T.-H.; Tran, M.-L. Dynamic capabilities and digitalization as antecedents of innovation and sustainable performance: Empirical evidence from Vietnamese SMEs. J. Asia Bus. Stud. 2024, 18, 385–411. [Google Scholar] [CrossRef]
- Li, X.; Wu, T.; Zhang, H.-J.; Yang, D.-Y. National innovation systems and the achievement of sustainable development goals: Effect of knowledge-based dynamic capability. J. Innov. Knowl. 2023, 8, 100310. [Google Scholar] [CrossRef]
- Lim, W.M. What Is Quantitative Research? An Overview and Guidelines. Australas. Mark. J. 2024, 33, 199–229. [Google Scholar] [CrossRef]
- Arnold, M.; Manuel, V.; Gaínza, A.; Cottet, P.; Canales, M.; Rodríguez Villasante, T.; Ghiso, A.; Asún, R.; Jiménez, J.; Márquez, R.; et al. Metodologías de Investigación Social, 1st ed.; LOM Ediciones: Santiago, Chile, 2006. [Google Scholar]
- Hernández-Nieto, R.A. Contribuciones al Análisis Estadístico: Coeficiente de Validez de Contenido y Coeficiente de Variación Proporcional; Universidad de Los Andes, Instituto de Estudios en Informática (IESINFO): Mérida, Venezuela, 2002; p. 119. [Google Scholar]
- Balzarini, M.G.; Gonzalez, L.; Tablada, M.; Casanoves, F.; Di Rienzo, J.A.; Robledo, C.W. InfoStat. Manual del Usuario; Universidad Nacional de Córdoba: Córdoba, Argentina, 2008. [Google Scholar]
- Di Rienzo, J.A.; Macchiavelli, R.E.; Casanoves, F. Modelos Lineales Generalizados Mixtos: Aplicaciones en InfoStat; Universidad Nacional de Córdoba: Córdoba, Argentina, 2017. [Google Scholar]
- Casanoves, F.; Macchiavelli, R.; Balzarini, M. Error Variation in Multienvironment Peanut Trials: Within-Trial Spatial Correlation and Between-Trial Heterogeneity. Crop Sci. 2005, 45, 1927–1933. [Google Scholar] [CrossRef]
- Di Rienzo, J.; Macchiavelli, R.; Casanoves, F. Modelos Lineales Mixtos: Aplicaciones en InfoStat, 1st ed.; Grupo InfoStat: Córdoba, Argentina, 2011; 193p. [Google Scholar]
- Di Rienzo, J.; Guzmán, W.; Casanoves, F. A multiple comparison method based on the distribution of the root node distance of a binary tree obtained by average linkage of the matrix of Euclidean distances between treatments means. J. Agric. Biol. Environ. Stat. 2002, 7, 129–142. [Google Scholar] [CrossRef]
- Jolliffe, I.T.; Cadima, J. Principal component analysis: A review and recent developments. Philos. Trans. A Math. Phys. Eng. Sci. 2016, 374, 20150202. [Google Scholar] [CrossRef]
- Malikov, E.; Zhang, J.; Zhao, S.; Kumbhakar, S.C. Accounting for cross-location technological heterogeneity in the measurement of operations efficiency and productivity. J. Oper. Manag. 2021, 68, 153–184. [Google Scholar] [CrossRef]
- Garzón Castrillón, M.A. Modelo de capacidades dinámicas. Dimens. Empres. 2015, 13, 111–131. [Google Scholar] [CrossRef]
- Sheng, J.; Ding, R. Is proximity better? The geographical proximity of financial resources and green innovation. J. Prod. Innov. Manag. 2023, 41, 138–158. [Google Scholar] [CrossRef]
- Córdoba-Vega, J.M.; Naranjo-Valencia, J.C. Incidencia de la Inversión en Innovación en las Ventas de Productos Innovadores. Evidencia Empírica en Empresas Manufactureras de Colombia. J. Inf. Tecnol. 2017, 28, 153–166. [Google Scholar] [CrossRef]
- Teece, D.J. Dynamic capabilities as (workable) management systems theory. J. Manag. Organ. 2018, 24, 359–368. [Google Scholar] [CrossRef]
- Cámara de Comercio del Putumayo. Estudio Económico del Putumayo 2024; Cámara de Comercio del Putumayo: Puerto Asís, Colombia, 2024. [Google Scholar]
- Ortiz Ordóñez, J. Iniciativas de Ecoturismo en Mocoa, Putumayo: Un Estudio de Caso Múltiple. Master’s Thesis, Universidad de los Andes, Bogotá, Colombia, 2021. [Google Scholar]
- Fabrizio, C.M.; Kaczam, F.; de Moura, G.L.; da Silva, L.S.C.V.; da Silva, W.V.; da Veiga, C.P. Competitive advantage and dynamic capability in small and medium-sized enterprises: A systematic literature review and future research directions. Rev. Manag. Sci. 2022, 16, 617–648. [Google Scholar] [CrossRef]
- Mishra, R.; Kiran, K.B. Unveiling the dynamic capabilities’ influence on sustainable performance in MSMEs: A systematic literature review utilizing ADO-TCM analysis. Asia-Pac. J. Bus. Adm. 2025, 17, 561–592. [Google Scholar] [CrossRef]
- Delgado, M.E.; Sebastián, B.; Ximena, C.; Luis Fernando, M. Caracterización Socioeconómica de Caquetá, Guaviare y Putumayo: Un Enfoque de Mercado Laboral; Fedesarrollo: Bogotá, Colombia, 2022. [Google Scholar]
- Álvarez Jaramillo, J.; Zartha Sossa, J.W.; Orozco Mendoza, G.L. Barriers to sustainability for small and medium enterprises in the framework of sustainable development—Literature review. Bus. Strategy Environ. 2018, 28, 512–524. [Google Scholar] [CrossRef]
- Yu, D.; Tao, S.; Hanan, A.; Ong, T.S.; Latif, B.; Ali, M. Fostering Green Innovation Adoption through Green Dynamic Capability: The Moderating Role of Environmental Dynamism and Big Data Analytic Capability. Int. J. Environ. Res. Public Health 2022, 19, 10336. [Google Scholar] [CrossRef] [PubMed]
- Singh, S.K.; Del Giudice, M.; Chiappetta Jabbour, C.J.; Latan, H.; Sohal, A.S. Stakeholder pressure, green innovation, and performance in small and medium-sized enterprises: The role of green dynamic capabilities. Bus. Strategy Environ. 2021, 31, 500–514. [Google Scholar] [CrossRef]
- Zhang, X.; Meng, Q.; Le, Y. How Do New Ventures Implementing Green Innovation Strategy Achieve Performance Growth? Sustainability 2022, 14, 2299. [Google Scholar] [CrossRef]
- North, D.C. Institutions, Institutional Change, and Economic Performance; Cambridge University Press: Cambridge, UK, 1990. [Google Scholar]
- Acemoglu, D.; Robinson, J.A. The Narrow Corridor: States, Societies, and the Fate of Liberty; Penguin Press: New York, NY, USA, 2019. [Google Scholar]
- Charry, A.; Jäger, M.; Enciso, K.; Romero, M.; Sierra, L.; Quintero, M.; Hurtado, J.J.; Burkart, S. Cadenas de Valor con Enfoque Ambiental y Cero Deforestación en la Amazonía Colombiana—Oportunidades y Retos Para el Mejoramiento Sostenible de la Competitividad Regional; Centro Internacional de Agricultura Tropical (CIAT): Cali, Colombia, 2018; p. 10. [Google Scholar]
- Medina, G.; Pereira, C.; Ferreira, J.; Berenguer, E.; Barlow, J. Searching for Novel Sustainability Initiatives in Amazonia. Sustainability 2022, 14, 10299. [Google Scholar] [CrossRef]
- Acosta García, N.; Fold, N. The coloniality of power on the green frontier: Commodities and violent territorialisation in Colombia’s Amazon. Geoforum 2022, 128, 192–201. [Google Scholar] [CrossRef]
- Bag, S.; Pretorius, J.H.C.; Gupta, S.; Dwivedi, Y.K. Role of institutional pressures and resources in the adoption of big data analytics powered artificial intelligence, sustainable manufacturing practices and circular economy capabilities. Technol. Forecast. Soc. Change 2021, 163, 120420. [Google Scholar] [CrossRef]




| Category | Criteria | Number of Measurement Variables |
|---|---|---|
| Sustainable Development | ||
| Social Capital | Social awareness | 2 |
| Work environment | 2 | |
| Community involvement | 2 | |
| Inclusion and equity | 2 | |
| Training | 2 | |
| Financial Capital | Financial analysis | 3 |
| Access to financial services | 3 | |
| Economic and environmental awareness | 3 | |
| Natural Capital | Use and management of natural resources | 4 |
| Good production practices | 2 | |
| Certifications | 2 | |
| Built Capital | Basic services | 4 |
| Access roads and means of transportation | 2 | |
| Production tools | 1 | |
| Basic physical infrastructure | 1 | |
| Human Capital | Administrative staff | 6 |
| Political management and influence | 2 | |
| Internal regulations | 5 | |
| Strategic planning | 4 | |
| Dynamic Capabilities | ||
| Absorptive Capacity | Recognition | 10 |
| Acquisition | 5 | |
| Assimilation | 5 | |
| Transformation and exploitation | 5 | |
| Adaptive Capacity | Adaptive resources | 5 |
| Learning Capacity | Knowledge acquisition | 4 |
| Knowledge generation | 5 | |
| Knowledge combination | 4 | |
| Innovation Capacity | Innovation intent | 7 |
| Innovation infrastructure | 9 | |
| Innovative Performance | ||
| Types of Innovation | Product innovation | 3 |
| Process innovation | 3 | |
| Marketing innovation | 3 | |
| Organizational innovation | 3 | |
Disclaimer/Publisher’s Note: The statements, opinions and data contained in all publications are solely those of the individual author(s) and contributor(s) and not of MDPI and/or the editor(s). MDPI and/or the editor(s) disclaim responsibility for any injury to people or property resulting from any ideas, methods, instructions or products referred to in the content. |
© 2025 by the authors. Licensee MDPI, Basel, Switzerland. This article is an open access article distributed under the terms and conditions of the Creative Commons Attribution (CC BY) license (https://creativecommons.org/licenses/by/4.0/).
Share and Cite
Cardozo Jiménez, C.J.; Riascos Erazo, S.C.; Hernández-Núñez, H.E.; Casanoves, F. Green Businesses in the Colombian Amazon: Dynamic Capabilities, Elements of Sustainable Development, and Characteristics of Innovative Performance. Sustainability 2025, 17, 8003. https://doi.org/10.3390/su17178003
Cardozo Jiménez CJ, Riascos Erazo SC, Hernández-Núñez HE, Casanoves F. Green Businesses in the Colombian Amazon: Dynamic Capabilities, Elements of Sustainable Development, and Characteristics of Innovative Performance. Sustainability. 2025; 17(17):8003. https://doi.org/10.3390/su17178003
Chicago/Turabian StyleCardozo Jiménez, Carol Jennifer, Sandra Cristina Riascos Erazo, Héctor Eduardo Hernández-Núñez, and Fernando Casanoves. 2025. "Green Businesses in the Colombian Amazon: Dynamic Capabilities, Elements of Sustainable Development, and Characteristics of Innovative Performance" Sustainability 17, no. 17: 8003. https://doi.org/10.3390/su17178003
APA StyleCardozo Jiménez, C. J., Riascos Erazo, S. C., Hernández-Núñez, H. E., & Casanoves, F. (2025). Green Businesses in the Colombian Amazon: Dynamic Capabilities, Elements of Sustainable Development, and Characteristics of Innovative Performance. Sustainability, 17(17), 8003. https://doi.org/10.3390/su17178003

