The Impact of Logistics Industry Clustering on Green Total Factor Productivity: Evidence from China
Abstract
1. Introduction
2. Literature Review
2.1. Research on the Measurement and Impact of GTFP
2.2. Research on the Measurement and Impact of Logistics Industry Clustering
2.3. Literature Gaps
3. Theoretical Analysis and Research Hypotheses
3.1. The Local Effects of Logistics Industry Clustering on GTFP
3.2. Logistics Industry Clustering, Resource Allocation, and Local GTFP
3.3. Logistics Industry Clustering, Industrial Upgrading, and Local GTFP
3.4. The Spatial Spillover Effects of Logistics Industry Clustering on GTFP
4. Data and Models
4.1. Variables
4.1.1. Dependent Variable: GTFP
4.1.2. Independent Variable: Logistics Industry Clustering
4.1.3. Control Variables
- Urbanization rate (URB). Rapid urban expansion can either exacerbate environmental pressure under extensive growth or, under new-type urbanization, facilitate low-carbon, smart, and livable development. Accordingly, a higher urbanization level may systematically affect provincial GTFP in the long run. We measure URB by the proportion of the urban permanent resident population at year-end to the total population (%).
- Human capital (HUM). A richer skill endowment supports technological upgrading, green innovation, and eco-efficiency improvements, thereby fostering gains in GTFP. We proxy HUM by the number of students enrolled in regular higher education institutions.
- Environmental regulation (ENV). Regulatory stringency-via standards, monitoring, and enforcement can induce cleaner production and pollution-control investment, improving green productivity. We capture ENV by the ratio of investment in industrial pollution control to the value added of industrial output (%).
- Marketization level (MA). Deeper market institutions and factor price liberalization enhance allocative efficiency, competition, and the diffusion of green technologies, which are conducive to GTFP. We measure MA by the ratio of employment in private enterprises and self-employed individuals to total regional employment (%).
- Level of economic development (PGDP). Higher income levels influence GTFP through scale, composition, and technique effects, including the capacity to finance cleaner technologies and upgrade industrial structure. We proxy PGDP by regional GDP per capita.
4.1.4. Mediating Variables
4.1.5. Data Description
4.2. Model
4.2.1. Spatial Durbin Model
4.2.2. Spatial Mediation Effect Model
5. Results and Discussion
5.1. The Spatiotemporal Evolution Characteristics of GTFP
5.2. Analysis of Spatial Spillover Effects
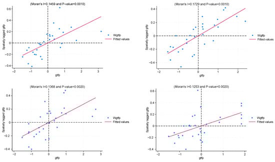
5.2.1. Spatial Autocorrelation Test
5.2.2. Spatial Model Test
5.2.3. Baseline Regression Results
5.2.4. Robustness Test
5.3. Heterogeneity Analysis
5.3.1. Regional Homogeneity
5.3.2. Temporal Heterogeneity
5.4. Analysis of Spatial Mediation Effect
5.5. The Spatial Decay Boundary of Spillover Effects
6. Discussion and Conclusions
6.1. Conclusions
6.2. Policy Recommendations
6.3. Study Limitations
Author Contributions
Funding
Institutional Review Board Statement
Informed Consent Statement
Data Availability Statement
Acknowledgments
Conflicts of Interest
Appendix A
| Authors | Main Findings |
|---|---|
| Cricelli et al. (2021) [47] | Vertical and horizontal collaborations, along with partnerships with research institutions, significantly promote reverse logistics innovation. In contrast, a wider collaboration breadth negatively affects its adoption. These findings highlight the nuanced role of collaboration in enhancing reverse logistics performance. |
| Eriksson et al. (2008) [38] | Localization economies, driven by the concentration of similar activities, and urbanization economies, linked to labor market size, positively influence job mobility. Localization effects in small regions significantly enhance intraregional job mobility, compensating for disadvantages associated with small populations. This impact is even stronger compared to localization effects in large, diversified metropolitan areas. |
| Fang et al. (2024) [34] | The establishment of BZs promotes significantly patent applications and citations of firms in leading industries located within and outside of BZs, providing suggestive evidence that the innovation spillovers are mainly due to competition among firms within and outside of BZs, namely, the Marshallian externalities. |
| Nefs et al. (2023 ) [35] | The corridor saw significant logistics growth and job creation, especially where policies favored distribution centers. These policies drove regional economic expansion, highlighting their importance. |
| Nielsen et al. (2021) [29] | Agglomeration is a complex phenomenon that merits further study. It can be differentiated between domestic and foreign agglomeration, as well as between Marshall-type externalities (specialization economies) and Jacobs-type externalities (diversification economies). These distinctions help clarify the varied mechanisms through which agglomeration influences firm location and performance. |
| Rigby et al. (2015) [39] | Most manufacturing plants benefit from co-location, but the benefits vary by plant type. |
| Setiawan et al. (2025) [49] | Achieving true economies of scale in transportation between hub ports requires using larger vehicles to consolidate shipments. Optimizing tactical and operational planning is essential to realize these economies of scale. |
| van den Heuvel et al. (2013) [30] | Co-location of logistics establishments brings societal benefits, but the main barrier to municipal cooperation is loss of control. Nevertheless, municipalities that cooperate report positive outcomes. |
| Wang et al. (2025) [31] | High-speed rail (HSR) improves connectivity and reduces travel times, lowering transaction costs and expanding access to markets. This promotes industry clustering near HSR stations, fostering knowledge spillover, innovation, and regional economic growth. HSR also enhances resource allocation and infrastructure, though manufacturing firms see limited impact due to their stable production needs. |
| Yu et al. (2024) [33] | Identify and evaluate freight areas in cities using geospatial data, develop mobility indicators, analyze spatial distributions, and explore the relationship among freight areas, built environments, and socioeconomic conditions. |
| Yuan et al. (2020) [40] | There is a significant positive U-shaped relationship between metropolitan agglomeration (MA) and green economic efficiency (GEE) both short- and long-term. For traditional economic efficiency, MA initially inhibits then promotes it in the short term, but no significant U-shaped effect exists long term. Industrial structure upgrading mediates 31.992% of the MA–GEE relationship. |
References
- Nhan, D.T.; Lu, W.M.; Kuo, K.C.; Nguyen, D.T. Special economic zones and sustainable development: A study in provinces of China. Sustain. Futures 2025, 10, 100864. [Google Scholar]
- Lin, B.; Sun, A.; Xie, Y. Digital transformation and green total factor productivity of heavy pollution enterprises: Impact, mechanism and spillover effect. J. Environ. Manag. 2025, 373, 123619. [Google Scholar] [CrossRef] [PubMed]
- Sharma, H.; Padhi, B.; Sharif, A.; Bashir, M.F. Striving towards green total factor productivity: A bibliometric and systematic literature review for future research agenda. J. Environ. Manag. 2025, 377, 124639. [Google Scholar] [CrossRef]
- Cui, X.; Li, P. Digital economy, environmental expenditure, and green total factor productivity. Financ. Res. Lett. 2025, 73, 106624. [Google Scholar] [CrossRef]
- Yang, H.; Chen, Q. Material balance and correction for the measurement of green total factor productivity growth. Energy Econ. 2025, 148, 108647. [Google Scholar] [CrossRef]
- Liu, S.; He, N.; Cao, X.; Li, G.; Jian, M. Logistics cluster and its future development: A comprehensive research review. Transp. Res. Part E Logist. Transp. Rev. 2022, 168, 102974. [Google Scholar] [CrossRef]
- Hylton, P.J.; Ross, C.L. Agglomeration economies’ influence on logistics clusters’ growth and competitiveness. Regional studies. 2018, 52, 350–361. [Google Scholar] [CrossRef]
- Rivera, L.; Sheffi, Y.; Knoppen, D. Logistics clusters: The impact of further agglomeration, training and firm size on collaboration and value added services. Int. J. Prod. Econ. 2016, 179, 285–294. [Google Scholar] [CrossRef]
- Ding, H.; Liu, C. Carbon emission efficiency of China’s logistics industry: Measurement, evolution mechanism, and promotion countermeasures. Energy Econ. 2024, 129, 107221. [Google Scholar] [CrossRef]
- Sueyoshi, T.; Yuan, Y.; Goto, M. A literature study for DEA applied to energy and environment. Energy Econ. 2017, 62, 104–124. [Google Scholar] [CrossRef]
- Li, H.; Shi, J.F. Energy efficiency analysis on Chinese industrial sectors: An improved Super-SBM model with undesirable outputs. J. Clean. Prod. 2014, 65, 97–107. [Google Scholar] [CrossRef]
- Liu, H.; Yang, R.; Wu, D.; Zhou, Z. Green productivity growth and competition analysis of road transportation at the provincial level employing Global Malmquist-Luenberger Index approach. J. Clean. Prod. 2021, 279, 123677. [Google Scholar] [CrossRef]
- Yang, K.; Kuang, J. How artificial intelligence applications enhance enterprise green total factor productivity? A perspective on human-machine matching and labor skill structure. Econ. Anal. Policy 2025, 87, 926–947. [Google Scholar] [CrossRef]
- Hunjra, A.I.; Zhao, S.; Tan, Y.; Bouri, E.; Liu, X. How do green innovations promote regional green total factor productivity? Multidimensional analysis of heterogeneity, spatiality and nonlinearity. J. Clean. Prod. 2024, 467, 142935. [Google Scholar] [CrossRef]
- Zhang, C.; Zhu, H.; Li, X. Which productivity can promote clean energy transition—Total factor productivity or green total factor productivity? J. Environ. Manag. 2024, 366, 121899. [Google Scholar] [CrossRef] [PubMed]
- Zhang, Z.; Hua, Z.; He, Z.; Wei, X.; Sun, H. The impact of local government attention on green total factor productivity: An empirical study based on System GMM dynamic panel model. J. Clean. Prod. 2024, 458, 142275. [Google Scholar] [CrossRef]
- Chen, L.; Lu, Y.; Meng, Y. The impact of environmental regulation on green total factor productivity: Evidence from China’s provincial level. Process Saf. Environ. Prot. 2025, 198, 107106. [Google Scholar] [CrossRef]
- Yuan, G.; Liu, J.; Wang, Y. Low-carbon city pilot policies, government attention, and green total factor productivity. Financ. Res. Lett. 2025, 77, 107043. [Google Scholar] [CrossRef]
- Xie, M.; Zhong, C.; Yu, B. Urban sprawl and firm green total factor productivity: Evidence from China. Pap. Reg. Sci. 2025, 104, 100066. [Google Scholar] [CrossRef]
- Tang, Y.; Sun, J.; Liu, X.; Hu, Y. Digital transformation, innovation and total factor productivity in manufacturing enterprises. Financ. Res. Lett. 2025, 80, 107298. [Google Scholar] [CrossRef]
- Hu, J.; Zhang, X.; Wang, T. Spatial spillover effects of resource misallocation on the green total factor productivity in Chinese agriculture. Int. J. Environ. Res. Public Health 2022, 19, 15718. [Google Scholar] [CrossRef]
- Xie, R.; Yao, S.; Han, F.; Zhang, Q. Does misallocation of land resources reduce urban green total factor productivity? An analysis of city-level panel data in China. Land Use Policy 2022, 122, 106353. [Google Scholar] [CrossRef]
- He, Z.; Chen, Z.; Feng, X. Different types of industrial agglomeration and green total factor productivity in China: Do institutional and policy characteristics of cities make a difference? Environ. Sci. Eur. 2022, 34, 64. [Google Scholar] [CrossRef]
- Zhang, Q.; Tao, Y. Synergistic agglomeration of manufacturing and logistics industries and urban green economy efficiency: Influence and upgrading. Math. Probl. Eng. 2023, 2023, 8118981. [Google Scholar] [CrossRef]
- Rivera, L.; Sheffi, Y.; Welsch, R. Logistics agglomeration in the US. Transp. Res. Part A Policy Pract. 2014, 59, 222–238. [Google Scholar] [CrossRef]
- Yuanyuan, C.; Bingliang, S. Logistics agglomeration and its impacts in China. Transp. Res. Procedia 2017, 25, 3875–3885. [Google Scholar] [CrossRef]
- Liu, S.; He, N.; Shi, Y.; Li, G. The roles logistics agglomeration and technological progress play in air pollution—New evidence in sub-regions of Chongqing, China. J. Clean. Prod. 2021, 317, 128414. [Google Scholar] [CrossRef]
- Yao, H.; Yu, X.; Mao, H.; Bai, D.; Zhang, S. The spatial spillover impact and transmission mechanisms of logistics agglomeration on eco-efficiency: A case study in China. Energy 2024, 308, 132826. [Google Scholar] [CrossRef]
- Nielsen, B.B.; Asmussen, C.G.; Weatherall, C.D.; Lyngemark, D.H. Marshall vs Jacobs agglomeration and the micro-location of foreign and domestic firms. Cities 2021, 117, 103322. [Google Scholar] [CrossRef]
- van den Heuvel, F.P.; de Langen, P.W.; van Donselaar, K.H.; Fransoo, J.C. Regional logistics land allocation policies: Stimulating spatial concentration of logistics firms. Transp. Policy 2013, 30, 275–282. [Google Scholar] [CrossRef]
- Wang, L.; Tao, J.; Sun, W.; Chen, C.L.; Chen, Z.; Lin, P.C.; Vickerman, R. Impacts of high-speed rail on new firm formation and economic clustering: Evidence from Suzhou, China. Transp. Res. Part A Policy Pract. 2025, 198, 104500. [Google Scholar] [CrossRef]
- Abushaikha, I. The influence of logistics clustering on distribution capabilities: A qualitative study. Int. J. Retail Distrib. Manag. 2018, 46, 577–594. [Google Scholar] [CrossRef]
- Yu, Z.; Wang, H.; Liu, X. Mobility heterogeneity of urban freight areas: Geospatial evidence from shared logistics dynamics. Transp. Res. Part E Logist. Transp. Rev. 2024, 188, 103657. [Google Scholar] [CrossRef]
- Fang, G.; Gao, T.; Xu, P. Beyond the borders: Estimating the effect of China’s Bonded Zones on innovation and its spillovers. China Econ. Rev. 2024, 83, 102104. [Google Scholar] [CrossRef]
- Nefs, M.; van Haaren, J.; van Oort, F. The limited regional employment benefits of XXL-logistics centres in the Netherlands. J. Transp. Geogr. 2023, 109, 103603. [Google Scholar] [CrossRef]
- Forbes, A. A measure of interdependence: Skill in the supply chain. Econ. Dev. Q. 2018, 32, 326–340. [Google Scholar] [CrossRef]
- Cheng, W.S. Research on the impact of logistics industry efficiency and agglomeration effect on import and export trade in Korea. J. Korea Trade 2021, 25, 93–109. [Google Scholar] [CrossRef]
- Eriksson, R.; Lindgren, U.; Malmberg, G. Agglomeration mobility: Effects of localisation, urbanisation, and scale on job changes. Environ. Plan. A 2008, 40, 2419–2434. [Google Scholar] [CrossRef]
- Rigby, D.L.; Brown, W.M. Who benefits from agglomeration? Reg. Stud. 2015, 49, 28–43. [Google Scholar] [CrossRef]
- Yuan, H.; Feng, Y.; Lee, C.C.; Cen, Y. How does manufacturing agglomeration affect green economic efficiency? Energy Econ. 2020, 92, 104944. [Google Scholar] [CrossRef]
- Huang, H.; Chen, S.X.; Lee, E.; Li, D. Information search costs and trade credit: Evidence from high-speed rail connections. Eur. J. Financ. 2024, 30, 865–888. [Google Scholar] [CrossRef]
- Wei, X.; Ruan, Q.; Lv, D.; Wu, Y. Transportation infrastructure and bond issuance credit spread: Evidence from the Chinese high-speed rail construction. Int. Rev. Econ. Financ. 2022, 82, 30–47. [Google Scholar] [CrossRef]
- Chen, Z.; Jiang, H.; You, J.; Wang, X.; Law, R.; Sun, P.Z. Can Subsidies Accelerate the Platformization of Vehicle Logistics Industry? Evidence From China. IEEE Trans. Comput. Soc. Syst. 2025, 99, 1–13. [Google Scholar] [CrossRef]
- Xu, X.; He, Y.; Ji, Q. Collaborative logistics network: A new business mode in the platform economy. Int. J. Logist. Res. Appl. 2022, 25, 791–813. [Google Scholar] [CrossRef]
- Zheng, J.; Li, Y.; Tian, M.; Li, R. Research on the Continuous Innovation Driving Mechanism of the Transformation and Upgrading of Traditional Industries. Sci. Program. 2022, 2022, 8957528. [Google Scholar] [CrossRef]
- Liu, T.; Zhuang, X.; Li, M. How supplier concentration influences labor income share: Evidence from China. Financ. Res. Lett. 2025, 73, 106653. [Google Scholar] [CrossRef]
- Cricelli, L.; Greco, M.; Grimaldi, M. An investigation on the effect of inter-organizational collaboration on reverse logistics. Int. J. Prod. Econ. 2021, 240, 108216. [Google Scholar] [CrossRef]
- Zhu, T.; Xu, Y.; Zhang, J.; Zhao, B. A Bilevel Programming Model for Designing a Collaborative Network for Regional Railway Transportation and Logistics: The Case of the Beijing-Tianjin-Hebei Region in China. J. Adv. Transp. 2024, 2024, 8905446. [Google Scholar] [CrossRef]
- Setiawan, F.; Bektaş, T.; Iris, Ç. The role of hubs and economies of scale in network expansion. Omega 2025, 131, 103220. [Google Scholar] [CrossRef]
- Nan, Y.; Tian, Y.; Xu, M.; Wu, Y. Evaluation of green innovation capability and influencing factors in the logistics industry. Environment, Dev. Sustain. 2024, 27, 18627–18653. [Google Scholar] [CrossRef]
- Guan, C.; Hu, Q. Does high-speed railway impact urban logistics industry agglomeration? Empirical evidence from China’s prefecture-level cities. Socio-Econ. Plan. Sci. 2023, 87, 101557. [Google Scholar] [CrossRef]
- Wang, Y.; Bai, Y.; Quan, T.; Ran, R.; Hua, L. Influence and effect of industrial agglomeration on urban green total factor productivity—On the regulatory role of innovation agglomeration and institutional distance. Econ. Anal. Policy 2023, 78, 1158–1173. [Google Scholar] [CrossRef]
- iang, T.; Guo, Q.; Yu, J.; Jahanger, A.; Yu, Y.; Li, X. Spatial mismatch of resources in China under the “dual-carbon” goal: A new perspective incorporating energy and environmental factors. Energy 2025, 320, 135297. [Google Scholar] [CrossRef]
- Dai, W.; Cheng, M.; Zheng, L. The effect exerted by environment regulation on industrial structure optimization: Evidence of 286 China’s cities on the prefecture level. Heliyon 2023, 9, e16406. [Google Scholar] [CrossRef] [PubMed]
- Wang, J.; Guo, D. Siphon and radiation effects of ICT agglomeration on green total factor productivity: Evidence from a spatial Durbin model. Energy Econ. 2023, 126, 106953. [Google Scholar] [CrossRef]
- Cheng, K.; Yin, J.; Wang, F.; Wang, M. The impact pathway of new quality productive forces on regional green technology innovation: A spatial mediation effect based on intellectual property protection. PLoS ONE 2025, 20, e0319838. [Google Scholar] [CrossRef]
- Lu, P.; Li, Z.; Wu, H. Investigating the effects of industrial transformation and clustering on industrial eco-efficiency for green development: Evidence from enterprises in the Yangtze River Economic Belt. J. Clean. Prod. 2024, 479, 143949. [Google Scholar] [CrossRef]
- Bai, D.; Dong, Q.; Khan, S.A.R.; Li, J.; Wang, D.; Chen, Y.; Wu, J. Spatio-temporal heterogeneity of logistics CO2 emissions and their influencing factors in China: An analysis based on spatial error model and geographically and temporally weighted regression model. Environ. Technol. Innov. 2022, 28, 102791. [Google Scholar] [CrossRef]
- Sun, X.; Xiang, P.; Ngoduy, D.; Sui, H.; Zhang, B. Can transportation networks contribute to the sustainable development of urban clustering spatial structures? Sustain. Cities Soc. 2024, 117, 105983. [Google Scholar] [CrossRef]




| Variables | Observation | Mean | Standard Deviation | Median | Minimum | Maximum |
|---|---|---|---|---|---|---|
| GTFP | 420 | 0.204 | 0.147 | 0.170 | 0.050 | 1.000 |
| LQ | 420 | 1.084 | 0.276 | 1.047 | 0.589 | 1.910 |
| URB | 420 | 4.074 | 0.203 | 4.074 | 3.521 | 4.495 |
| HUM | 420 | 2.126 | 0.617 | 2.058 | 0.799 | 4.496 |
| ENV | 420 | 3.144 | 3.290 | 2.231 | 0.045 | 30.990 |
| MA | 420 | 0.081 | 0.080 | 0.043 | 0.010 | 0.499 |
| PGDP | 420 | 12.90 | 8.232 | 10.04 | 4.756 | 50.73 |
| LIT | 420 | 0.342 | 0.388 | 0.250 | 0.000 | 2.847 |
| KIT | 420 | 0.329 | 0.283 | 0.264 | 0.002 | 2.424 |
| IS | 420 | 1.366 | 0.781 | 0.170 | 0.527 | 5.690 |
| Year | Moran’s I | ||
|---|---|---|---|
| Global Moran’s I Statistic Coefficient | Z | p-Value | |
| 2010 | 0.146 | 5.188 | 0.000 |
| 2011 | 0.172 | 5.717 | 0.000 |
| 2012 | 0.170 | 5.674 | 0.000 |
| 2013 | 0.169 | 5.631 | 0.000 |
| 2014 | 0.173 | 5.743 | 0.000 |
| 2015 | 0.146 | 5.028 | 0.000 |
| 2016 | 0.125 | 4.526 | 0.000 |
| 2017 | 0.139 | 4.932 | 0.000 |
| 2018 | 0.159 | 5.456 | 0.000 |
| 2019 | 0.137 | 4.866 | 0.000 |
| 2020 | 0.124 | 4.575 | 0.000 |
| 2021 | 0.134 | 4.811 | 0.000 |
| 2022 | 0.101 | 4.660 | 0.000 |
| 2023 | 0.125 | 4.418 | 0.000 |
| Test | Value | p-Value |
|---|---|---|
| Moran’s I | 21.504 | 0.000 |
| Lagrange multiplier (error) | 394.049 | 0.000 |
| Robust LM (error) | 36.330 | 0.000 |
| Lagrange multiplier (lag) | 463.193 | 0.000 |
| Robust LM (lag) | 105.474 | 0.000 |
| Wald (error) | 25.320 | 0.000 |
| Wald (lag) | 28.140 | 0.000 |
| LR (error) | 27.730 | 0.000 |
| LR (lag) | 24.900 | 0.000 |
| Hausman | 12.090 | 0.060 |
| Variables | OLS | SDM |
|---|---|---|
| GTFP | GTFP | |
| LQ | 0.065 ** | 0.060 ** |
| (0.033) | (0.030) | |
| URB | −0.787 *** | −0.424 *** |
| (0.087) | (0.086) | |
| HUM | −0.010 | −0.013 |
| (0.021) | (0.021) | |
| ENV | 0.004 *** | 0.003 *** |
| (0.001) | (0.001) | |
| MA | 0.441 *** | 0.516 *** |
| (0.099) | (0.081) | |
| PGDP | 0.006 *** | 0.010 *** |
| (0.002) | (0.003) | |
| WLQ | 0.715 *** | |
| (0.184) | ||
| WURB | −1.263 *** | |
| (0.489) | ||
| WHUM | 0.158 | |
| (0.143) | ||
| WENV | 0.002 | |
| (0.007) | ||
| WMA | −0.215 | |
| (0.374) | ||
| WPGDP | 0.020 | |
| (0.014) | ||
| rho | 0.158 | |
| (0.151) | ||
| sigma2_e | 0.002 *** | |
| (0.000) | ||
| Fixed time | YES | YES |
| Fixed province | YES | YES |
| N | 420 | 420 |
| R2 | 0.869 | 0.1821 |
| Log−likelihood | — | 696.5859 |
| Variables | Direct | Indirect | Total |
|---|---|---|---|
| LQ | 0.068 ** | 0.874 *** | 0.942 *** |
| (0.032) | (0.272) | (0.286) | |
| URB | −0.441 *** | −1.637 *** | −2.078 *** |
| (0.083) | (0.606) | (0.600) | |
| HUM | −0.009 | 0.208 | 0.200 |
| (0.020) | (0.176) | (0.182) | |
| ENV | 0.003 *** | 0.003 | 0.006 |
| (0.001) | (0.009) | (0.009) | |
| MA | 0.515 *** | −0.179 | 0.337 |
| (0.077) | (0.420) | (0.381) | |
| PGDP | 0.011 *** | 0.028 | 0.039 * |
| (0.003) | (0.019) | (0.021) | |
| Fixed time | YES | YES | YES |
| Fixed province | YES | YES | YES |
| Variables | Adjacent Matrix | Distance Squared Inverse Matrix | Economic Geography Nested Matrix |
|---|---|---|---|
| GTFP | GTFP | GTFP | |
| LQ | 0.048 * | 0.052 * | 0.051 * |
| (0.029) | (0.030) | (0.030) | |
| WxLQ | 0.207 *** | 0.240 *** | 0.833 *** |
| (0.064) | (0.071) | (0.227) | |
| Direct | 0.056 * | 0.061 ** | 0.055 * |
| (0.031) | (0.031) | (0.032) | |
| Indirect | 0.241 *** | 0.297 *** | 0.925 *** |
| (0.076) | (0.090) | (0.286) | |
| Total | 0.297 *** | 0.357 *** | 0.980 *** |
| (0.089) | (0.104) | (0.297) | |
| Control variables | YES | YES | YES |
| rho | 0.132 * | 0.181 ** | 0.076 |
| (0.069) | (0.072) | (0.171) | |
| sigma2_e | 0.002 *** | 0.002 *** | 0.002 *** |
| (0.000) | (0.000) | (0.000) | |
| Fixed time | YES | YES | YES |
| Fixed province | YES | YES | YES |
| N | 420 | 420 | 420 |
| R2 | 0.2893 | 0.2685 | 0.0383 |
| Log-likelihood | 690.2319 | 695.2305 | 702.4774 |
| Variables | East | Midland | West |
|---|---|---|---|
| GTFP | GTFP | GTFP | |
| LQ | 0.191 ** | −0.003 | −0.008 |
| (0.075) | (0.049) | (0.027) | |
| WxLQ | 0.927 *** | −0.441 *** | 0.099 |
| (0.268) | (0.128) | (0.146) | |
| Direct | 0.160 ** | 0.032 | −0.013 |
| (0.071) | (0.049) | (0.025) | |
| Indirect | 0.729 *** | −0.352 *** | 0.074 |
| (0.233) | (0.109) | (0.104) | |
| Total | 0.889 *** | −0.320 *** | 0.062 |
| (0.276) | (0.124) | (0.113) | |
| Control variables | YES | YES | YES |
| rho | −0.267 | −0.382 *** | −0.573 ** |
| (0.171) | (0.141) | (0.247) | |
| sigma2_e | 0.003 *** | 0.001 *** | 0.000 *** |
| (0.000) | (0.000) | (0.000) | |
| Fixed time | YES | YES | YES |
| Fixed province | YES | YES | YES |
| N | 154 | 112 | 154 |
| R2 | 0.3243 | 0.5918 | 0.0939 |
| Log−likelihood | 234.4605 | 252.0183 | 378.0961 |
| Variables | 2010−2017 | 2018−2023 |
|---|---|---|
| GTFP | GTFP | |
| LQ | 0.010 | 0.171 * |
| (0.011) | (0.096) | |
| WxLQ | 0.040 | 1.354 ** |
| (0.070) | (0.637) | |
| Direct | 0.010 | 0.166 * |
| (0.011) | (0.099) | |
| Indirect | 0.023 | 1.209 * |
| (0.050) | (0.677) | |
| Total | 0.033 | 1.375 * |
| (0.054) | (0.709) | |
| Control variables | YES | YES |
| rho | −0.533 * | −0.142 |
| (0.290) | (0.258) | |
| sigma2_e | 0.000 *** | 0.003 *** |
| (0.000) | (0.000) | |
| Fixed time | YES | YES |
| Fixed province | YES | YES |
| N | 210 | 180 |
| R2 | 0.4860 | 0.3397 |
| Log−likelihood | 665.4500 | 263.0404 |
| Variables | Model 1 | Model 2 | Model 3 | |||
|---|---|---|---|---|---|---|
| (1) LIT | (2) GTFP | (3) KIT | (4) GTFP | (5) IS | (6) GTFP | |
| LQ | 0.192 ** | 0.060 * | 0.375 *** | 0.028 | 0.227 * | 0.054 * |
| (0.086) | (0.031) | (0.086) | (0.030) | (0.128) | (0.030) | |
| LIT | 0.037 ** | |||||
| (0.018) | ||||||
| KIT | 0.055 *** | |||||
| (0.017) | ||||||
| IS | 0.030 *** | |||||
| (0.011) | ||||||
| Control variables | YES | YES | YES | YES | YES | YES |
| rho | −0.818 *** | 0.187 | −0.630 *** | 0.063 | −0.465 ** | 0.157 |
| (0.214) | (0.151) | (0.217) | (0.159) | (0.187) | (0.151) | |
| sigma2_e | 0.017 *** | 0.002 *** | 0.018 *** | 0.002 *** | 0.039 *** | 0.002 *** |
| (0.001) | (0.000) | (0.001) | (0.000) | (0.003) | (0.000) | |
| Fixed time | YES | YES | YES | YES | YES | YES |
| Fixed province | YES | YES | YES | YES | YES | YES |
| N | 420 | 420 | 420 | 420 | 420 | 420 |
| R2 | 0.3222 | 0.1645 | 0.5637 | 0.0987 | 0.4989 | 0.2246 |
| Log-likelihood | 254.1416 | 699.8361 | 248.6090 | 706.0425 | 83.9049 | 700.0512 |
Disclaimer/Publisher’s Note: The statements, opinions and data contained in all publications are solely those of the individual author(s) and contributor(s) and not of MDPI and/or the editor(s). MDPI and/or the editor(s) disclaim responsibility for any injury to people or property resulting from any ideas, methods, instructions or products referred to in the content. |
© 2025 by the authors. Licensee MDPI, Basel, Switzerland. This article is an open access article distributed under the terms and conditions of the Creative Commons Attribution (CC BY) license (https://creativecommons.org/licenses/by/4.0/).
Share and Cite
Cai, Y.; Zhang, Y.; Gong, Y.; Li, W.; Li, F. The Impact of Logistics Industry Clustering on Green Total Factor Productivity: Evidence from China. Sustainability 2025, 17, 7978. https://doi.org/10.3390/su17177978
Cai Y, Zhang Y, Gong Y, Li W, Li F. The Impact of Logistics Industry Clustering on Green Total Factor Productivity: Evidence from China. Sustainability. 2025; 17(17):7978. https://doi.org/10.3390/su17177978
Chicago/Turabian StyleCai, Yanmiao, Yuge Zhang, Yuki Gong, Willa Li, and Frank Li. 2025. "The Impact of Logistics Industry Clustering on Green Total Factor Productivity: Evidence from China" Sustainability 17, no. 17: 7978. https://doi.org/10.3390/su17177978
APA StyleCai, Y., Zhang, Y., Gong, Y., Li, W., & Li, F. (2025). The Impact of Logistics Industry Clustering on Green Total Factor Productivity: Evidence from China. Sustainability, 17(17), 7978. https://doi.org/10.3390/su17177978

