Next Article in Journal
Utilizing Sakurajima Volcanic Ash as a Sustainable Partial Replacement for Portland Cement in Cementitious Mortars
Previous Article in Journal
Does Corporate ESG Performance Influence Carbon Emissions?
 
 
Font Type:
Arial Georgia Verdana
Font Size:
Aa Aa Aa
Line Spacing:
Column Width:
Background:
Article

Cycling and GHG Emissions: How Infrastructure Makes All the Difference

1
Geological and Mining Engineering Department, Polytechnique Montréal, Montréal, QC H3T 1J4, Canada
2
Department of Geography, McGill University, Montréal, QC H3A 2A7, Canada
3
Department of Geography and Bieler School of Environment, McGill University, Montréal, QC H3A 2A7, Canada
*
Authors to whom correspondence should be addressed.
Sustainability 2025, 17(17), 7577; https://doi.org/10.3390/su17177577
Submission received: 15 July 2025 / Revised: 15 August 2025 / Accepted: 21 August 2025 / Published: 22 August 2025

Abstract

One practical approach to reduce GHG emissions is to shift from driving to modes with lower emissions, such as cycling. One key component of supporting cycling is the quality and quantity of cycling infrastructure. This study analyzes the relationship between the quality (or comfort) and quantity of bicycle infrastructure, the likelihood of cycling, and the emissions. The first objective of this study is to analyze the influence of various variables on cycling choice using an interpretable ensemble learning approach. Second, a scenario-based analysis is applied to examine the influence of various policy scenarios (related to cycling infrastructure) on the transportation life cycle GHG emissions. Using origin–destination survey data from Montreal and Laval, Canada, policy modelling results suggest that without current cycling infrastructure, cycling mode share would be 5.3% less, driving mode share would be 4% higher, and GHG emissions would be 10.2% higher among all trips of a reasonable cycling distance starting from home. Then, policy scenarios modelling for this subset of trips suggests that improving the quality of bikeways, increasing their quantity, and reducing the trip distances by 25% can reduce the GHG emissions by 3.9%, 6.6%, and 29.3%, and increase the number of cycling trips by 8.1%, 14%, and 24.4%, respectively.

1. Introduction

Climate change is a global concern and an emerging threat to public health [1]. Transportation is one of the largest sources of GHG around the world. The contribution of greenhouse gas (GHG) emissions from road vehicles is roughly 73.5% of the transport sector [2]. Cycling can significantly reduce the GHG emissions of the transportation sector. For example, an important longitudinal study conducted across 7 European cities concluded that changes in active travel use can lead to significant lifecycle emissions reductions. They illustrated that an average person replacing 1 driving trip/day with 1 cycling trip/day for 200 days per year could reduce mobility-related life cycle GHG emissions by 0.5 tonnes per year [3]. Hence, cycling promotion can be a practical strategy to reduce emissions, and a key component of supporting cycling in society is good infrastructure [4].
Good cycling infrastructure is required to support cycling by all ages and abilities (AAA) [5]. Not all cycling infrastructure will result in the same outcomes. Previous research has shown that groups such as women are more likely to cycle if protected cycling infrastructure is provided [6]. Similarly, children are more sensitive to traffic safety and think that protected cycling paths are essential for cycling [7]. Previous research in Canada showed some relationships between trips to work and local cycling infrastructure, but this is a limited part of the population and is not inclusive (i.e., excludes children, those not working, etc.) [8]. However, the relationship between the comfort levels of bicycle infrastructure and cycling outcomes for the overall population has rarely been tested.
As current city policies will often look at how they can reduce emissions from transport, it is essential to know the relationship between different policy approaches to cycling infrastructure. Therefore, it is necessary to study the relationships between the quality and/or quantity of cycling infrastructure and mode choice to estimate how future cycling infrastructure could help reduce GHG emissions.
The objectives of this study are twofold:
  • Investigate various determinants influencing cycling choices, encompassing socio-demographics, built environment features, accessibility, cycling infrastructure, and trip characteristics.
  • Assess the impacts of changes in the quality and quantity of cycling infrastructure on modal share and the resulting life cycle GHG emissions reduction.
In the following sections, a literature review is presented, concluding with identifying research gaps and the proposed approach to address them. Then, the applied methods and the designed policy scenarios are introduced. Subsequently, the results of the analyses are presented and discussed. Finally, the conclusions are provided.

2. Literature Review

Cities and municipalities can use cycling to reduce climate change emissions and address local problems. Replacing car trips with cycling reduces car dependency, the need for parking, car congestion [9], noise pollution, and air pollution [10], and increases the sense of well-being, social interactions, and physical activity [11]. However, cycling is a marginal transportation mode in most cities of North America, with a negligible modal share in most cities [12,13]. As such, it is essential to investigate how cycling can be promoted as a mode of transportation to increase the share of trips made by bicycle.
Hence, researchers have begun to examine the influence of various factors on cycling rates. In a review of cycling at the international level, Goel et al. [14] highlighted several relevant points. In countries where cycling is common, it is used for all types of trips, but in countries where it is less developed, it is primarily for commute trips. When cycling is below 7% of all trips, women are less represented. Countries with high cycling rates (such as the Netherlands, Germany, and Japan) typically have both good bicycle infrastructure and extensive traffic calming measures. They highlighted that focusing on policies supporting women and individuals of all ages to cycle is critical to increasing cycling beyond middle-aged men cycling to work. Finally, they proposed examining how infrastructure provision relates to cycling rates.
One of the most influential factors in increasing the likelihood of cycling is improving the quality (e.g., safety and comfort) and quantity of cycling infrastructure [15]. In a survey of over 31,000 participants across Switzerland, 36% of respondents agreed that the lack of cycling infrastructure quality (i.e., lack of safety and risk of collisions) discourages them from choosing cycling as a commute mode. The application of a discrete choice experiment in Bogotá, Colombia, showed that improving the quality of cycling infrastructure by installing buffers with planters or safe-hit posts and painting cycling paths significantly increased the intention to cycle and safety perceptions [16]. A lack of safety was one of the most critical barriers to cycling, especially for females in Montreal, Canada, which can originate from the insufficient quality of cycling infrastructure [17]. Regarding the quantity of cycling infrastructure, Félix et al. [18] assessed the influence of cycling network expansion (i.e., quantity) in Lisbon, Portugal, on the number of cyclists. The observations showed that the expansion of the cycling network led to an increase in the volume of cyclists by over 300% in the central area of the city.
The level of comfort on bikeways plays a crucial role in cycling promotion. For example, bikeways separated from traffic could increase the likelihood of cycling [19]. The comfort level of bikeways (regarding surface) was one of the top two elements, as well as safety, explaining individuals’ cycling satisfaction in Edinburgh, UK [20]. In Toronto, Canada, Faghih Imani et al. [21] investigated the influence of cycling accessibility to jobs with different levels of traffic stress (LTS) on bike choice using an origin–destination survey. The outcomes of a binary logit model showed that higher accessibility to jobs with high-comfort bikeways (i.e., LTS4: low-stress cycling with less interaction with vehicles) was associated with higher cycling rates [21].
The influences of cycling infrastructure (both quality and quantity) on the likelihood of cycling and transportation GHG emissions reduction have been investigated in a few studies. Ngo et al. [22] evaluated the impact of new cycling infrastructure (called greenways) on reducing tailpipe GHG emissions by residents of Vancouver, Canada. They examined the travel behaviour of over 500 participants over a three-year analysis period. Greenways were found to considerably reduce the vehicle usage of those who lived within 300 metres of the new infrastructure. Moreover, the tailpipe GHG emissions of those people decreased by 21%. The contribution of cycling to GHG reduction in Bogotá, Colombia, was estimated to be over 55 thousand tons of CO2 annually, while the cycling modal share of this city was just 3.3% [23]. The effect of cycling network expansion on GHG reduction was also analyzed in Montreal, Canada. The cycling path length was increased by 7.5% (from 603 to 648 km) in Montreal from 2008 to 2014, resulting in nearly a 1.7% tailpipe GHG reduction in the transportation network [24]. However, these studies did not analyze the impacts of cycling infrastructure on life cycle GHG reduction. A notable counterexample is Brand et al. [25], which investigated the link between new cycling infrastructure, travel behaviour, and life cycle GHG reduction in three municipalities in the United Kingdom. They concluded that while the new cycling infrastructure was associated with higher rates of active travel, it did not meaningfully reduce GHG emissions from motorized travel. Furthermore, they only considered the life cycle emissions of motorized modes and excluded those from cycling.
A number of gaps have thus been identified. First, the relationship between the quality of available infrastructure and cycling has not been analyzed based on a population-wide survey such as an origin–destination survey. Only a limited number of studies have examined the influences of improving the quality of the cycling network on modal share, number of cycling trips, and GHG emissions reduction, but none of them performed the analyses at the city scale and at the individual level. Similarly, changes in cycling behaviour following changes in network size have been examined, but various policy development scenarios have not been considered. Finally, those limited studies in this research area investigated the tailpipe GHG emissions. Climate change is a global problem, and as far as possible, life cycle GHG emissions for modes should be used.
To address these limitations, this study develops an interpretable ensemble learning model to determine the relative influence of different variables on cycling choice and capture the influence direction of top variables on the likelihood of choosing bicycles for trips. Then, a prediction model is applied to estimate the modal share, number of cycling trips, and life cycle GHG emissions reduction under many policy scenarios related to cycling quality and quantity.

3. Methods

This paper aims to investigate what influences people’s decision to cycle and the links between cycling infrastructure, mode choice, and life cycle GHG emissions. The workflow diagram of this study is shown in Figure 1.

3.1. Data

The main dataset used in this study is the large-scale Montreal region 2018 Origin–Destination survey [26]. This survey was collected in 2018 by the Montreal transit planning authority (ARTM), recording nearly 400,000 trips on a typical fall day. It also includes the socio-demographics of all members of the 74,000 households surveyed. This is a web- and phone-based survey with a sampling strategy to be representative of the population of the 2016 Canadian Census for the region. More information can be found on the survey’s web page, ARTM [26]. From this survey, 16 independent variables are extracted: trip start time, trip purpose, subscription to a car-sharing service, subscription to a bicycle-sharing service, age, gender, driver’s licence, household income, language (French or English), main occupation, monthly transit pass, number of people in the household, number of cars in the household, permanent physical or intellectual disability of each person affecting their mobility, and presence of people with a disability in the household. The survey also contains geographic coordinates for each household location and for each trip’s origin and destination. Using these coordinates, we calculated trip distances using the Google Maps API based on the mode choice.

3.2. Dataset Enhancement

Each observation is then enhanced by adding home-level built environment variables from several datasets. To estimate how favourable the local environment is to cycling, we have applied a local context measure as it relates to a planning approach that would build general infrastructure instead of building for individual household trips. However, if the research aimed to examine how the availability of bicycle infrastructure impacts an individual’s specific route choice, developing a technique to estimate the route and the percentage of different infrastructure would be appropriate. That approach would require assumptions about routes and how much people are willing to take detours to use higher quality infrastructure, thus introducing many new assumptions and complexities. As such, a technique is not readily available, and the purpose of this research is to examine how the local cycling infrastructure context impacts choice; the area-based measure is preferred.
To estimate the quality and quantity of cycling infrastructure, we used the Canadian Bikeway Comfort and Safety (Can-BICS) dataset [8,27]. Using OpenStreetMap, the Can-BICS dataset classifies all cycling infrastructure within three comfort levels: low, medium, and high. The first level (low-comfort) is the lowest comfort level and relates to painted lanes; the medium-comfort level is protected infrastructure shared with other users, such as pedestrians; and the highest level (high-comfort) relates to dedicated and protected infrastructure or local street bikeways. Anything below that, such as a street with “sharrows”, is considered non-conforming and is not counted in the Can-BICS metrics. To visualize examples of the type of infrastructure included in each comfort level, please refer to Winters et al. [28]. Then, to assess the cycling environment at the neighbourhood level, Winters et al. [8] proposed the Can-BICS continuous metric (or bikeway index), which sums comfort-weighted number of kilometres of cycling infrastructure within a 1 km circular buffer around the population-weighted centroids of census dissemination areas (DA). However, because the Montreal OD Survey dataset contains household coordinates, we recomputed the same metric within a 1 km circular buffer around the home location of each OD survey observation for a more precise assessment of each individual’s local environment. This single metric proposed by Winters et al. [8] is computed using the following equation:
Bikeway   index   =   α 1 × l o w + α 2 × m e d i u m + α 3 × h i g h
where α 1 , α 2 , and α 3 signify the weights of low-comfort, medium-comfort, and high-comfort bikeways, respectively. Winters et al. [8] considered these parameters to be 1, 2, and 3, in the order given. Moreover, l o w , m e d i u m , and h i g h are the length of low-comfort, medium-comfort, and high-comfort within a one-kilometre buffer.
In addition to cycling infrastructure, accessibility is assessed using the Canada Proximity Measures Database (PMD) [29]. The PMD provides information about the proximity to different services and amenities at the dissemination block level (i.e., the smallest statistical unit of Statistics Canada representing a street block). Four variables are used from the PMD: proximity to employment centres, proximity to healthcare centres, proximity to parks, and proximity to transit stations. These variables were normalized to range from 0 (the lowest proximity in Canada) to 1 (the highest proximity in Canada).
Finally, other built environment variables based on the home location were also included the distance from the home location to the centre of the city (City Hall, Montreal) and the Walk Score [30]. Walk Score measures the walkability of locations by evaluating the availability of walking infrastructure to nearby amenities. The score is calculated based on the distance to amenities within each category (e.g., amenities within a 5 min walk receive the maximum score) and a decay function that reduces the score for more distant amenities, with no score given to those farther than a 30 min walk [30].
The correlations of independent variables are evaluated using the Pearson correlation coefficient (correlation of continuous variables together), One-way ANOVA (correlation of continuous and discrete variables), and the Chi-square Test (correlation of discrete variables together). As an example, the Pearson correlation coefficient of continuous variables is shown in Figure 2 for the built environment and infrastructure measures. As can be seen, proximity to employment centres is highly correlated with proximity to healthcare centres. As a result, proximity to healthcare centres is excluded from the final dataset, and the differences between all remaining variables are statistically significant. Walk Score and distance to the city centre were highly correlated (−0.79). Both were retained as they captured distinct concepts. Walk Score is an index of the variety of nearby destinations whereas the distance to the centre likely acts as a proxy to the overall urban intensity (decreasing with increased distance), the overall distance to various major (and non-local) destinations, and other factors such as car-oriented development and lower public transport service levels, etc. Furthermore, it has been argued that failing to control for distance to the centre can lead to biased estimates of the impacts of local neighbourhood-built environment variables (such as cycling infrastructure) on travel behaviour [31].

Data Subset for the Analysis

For this study, we only considered a subset of all available trips in the Montreal 2018 OD Survey. First, we only considered trips starting from home (i.e., the origin is home) because the mode choice of the first trip significantly influences the following mode choice(s) [32]. Second, as distance plays a considerable role in the possibility of a trip being conducted by bicycle, we only used trips with distances below a threshold considered to be a reasonable cycling distance. Instead of setting that distance arbitrarily, we followed what other researchers have suggested [33], and used the 80th percentile of all cycling trips in the Montreal OD survey as the threshold (6.74 km). Third, we only considered two subregions of the Greater Montreal Area with diverse cycling infrastructure. Thus, our subset only included trips that started on the Island of Montreal or within its northern suburb, the city of Laval. Moreover, the data observations with missing values (e.g., without information about the Canada Proximity Measures; PMD) were excluded. All in all, the final dataset includes 30,637 observations (i.e., trips) and 24 independent variables.

3.3. Applied Methods

One of the objectives of this study is to investigate which variables influence bicycle choice. Seven machine learning models are developed, including Logistic Regression (LR), Support Vector Machine (SVM), K-nearest neighbours (KNN), Adaptive Boosting (AdaBoost), Light Gradient Boosting Machine (LGBM), eXtreme Gradient Boosting (XGB), and Categorical Boosting (CatBoost). For more details about these methods, please read Naseri et al. [34]. These methods are used to predict travel mode choice. Then, their performance is compared to identify the most accurate prediction model on the applied dataset. Then, the most accurate model is applied for further analyses (i.e., SHAP and PDP).
SHAP is used to prioritize variables based on their relative influence on mode choice and cycling choice. Then, PDP is used to illustrate the direction of influence of top variables on the likelihood of cycling choice. To tune the hyperparameters of prediction techniques, grid search, random search, and K-fold cross-validation were simultaneously applied.
SHAP is a method that has been widely used to interpret the results of machine learning techniques. SHAP calculates the relative influence of independent variables on the dependent variable using a measure called the Shapley value, which is calculated by local explanations [35]. Partial Dependence Plot (PDP) is a technique to interpret the results of machine learning techniques. PDP can demonstrate how an independent variable influences the dependent variable of a prediction problem. In other words, PDP can capture the nonlinear relationship between a series of selected variables and the response variable [36]. To this end, an average over the predicted values is employed to evaluate the independent variable’s partial dependence on its marginal distribution [37]. In this study, an undersampled population is applied for the modelling (in the training phase) to increase the performance of the model in predicting the less frequently occurring classes (cycling choices). Under-sampling addresses class imbalance by reducing the quantity of data in the majority classes (here, the mostly used modes such as driving and walking), thereby achieving a balanced dataset and mitigating the class imbalance problem [38]. For the undersampling process, we applied a random undersampling according to the details provided by Ratnasari and Nur’aini [39]. Ratnasari and Nur’aini [39] compared the performance of random undersampling, Synthetic Minority Over-sampling Technique for Nominal and Continuous, and random oversampling on Random Forest and Gradient Boosted Tree, and the results indicated that random undersampling was the best-performing method when comparing average accuracy, sensitivity, and specificity. However, the SHAP and PDP analyses are performed for the overall population.

3.4. The Contribution of Infrastructure Quality and Quantity to Life Cycle GHG Emissions and Modal Share

Policy scenarios were developed to represent how the quality and quantity of cycling infrastructure affect the modal share and GHG emissions reduction. These scenarios are presented in the following section. To estimate the impact of those scenarios, we first used the three separate comfort levels (low, medium, and high) as distinct independent variables in the scenarios. However, after extensive testing, we opted to use the Can-BICS index instead of modelling three separate variables due to a number of issues. One, in the SHAP and PDP analyses, using three separate variables would not allow us to capture the influence of overall cycling infrastructure on cycling choices. Two, the relatively small total length of medium-comfort bikeways in the dataset forces the prediction model to extrapolate. That is, in many scenarios, shifting infrastructure from low- or high-comfort to medium-comfort resulted in medium-comfort values that exceeded the original data range. This forced the machine learning model to extrapolate, which it is not well-suited for.
As a result of those problems, we used the Can-BICS index, which aggregates bikeway comfort levels into a single metric (Equation (1)) and avoids extrapolation beyond the observed data (or at least performs extrapolation for a small fraction of all observations). It is therefore important to note that the scenarios were analyzed by recalculating the Can-BICS index, which is equivalent to implementing the designed infrastructure shifts.
Then, the travel mode choice of each trip under the new scenario is predicted, which allows us to estimate the GHG emissions associated with each scenario. To calculate modal share (i.e., mode choice) and GHG emissions, the cycling infrastructure condition is updated based on the scenarios while considering other variables constant. The GHG emissions from trips are calculated based on the details provided by Naseri et al. [40]. That is, the trip distance is multiplied by the unit life cycle GHG emissions of the chosen mode to estimate the life cycle GHG emissions of trips. Naseri et al. [40] collected the data from previous studies and adjusted them to Montreal. For example, the life-cycle GHG emission of buses per km was extracted from previous studies, and it was divided by the average occupancy rate of buses in Montreal to extract the unit life-cycle GHG emission of buses. As another example, the life-cycle GHG emission of Metro was extracted from recent studies, and it was adjusted to Montreal based on the average occupancy rate and GHG intensity of electricity production in Montreal.
Since 100% of the surveyed population (the island of Montreal and Laval) did not participate in the OD survey, expansion factors are used to estimate the overall GHG emissions and mode choice. These expansion factors (or survey “weights”) are calculated by the regional transit authority responsible for the survey and provided alongside the survey data [26]. That is, the life cycle GHG emissions of observed trips are multiplied by their expansion factors to predict the overall GHG. The unit (grams per passenger-kilometre) life cycle GHG emission of different transportation modes in Montreal is presented in Figure 3 [40].

4. Results and Discussion

The relative influence and direction of influence of variables on bicycle choice are first presented. Then, the results of the policy scenario analysis are presented.

4.1. Modelling Performance

The performance of machine learning models is presented in Table 1. As shown, LGBM reached an accuracy of 68.3% and a macro F1-score of 60.1%, which are higher than other methods. XGB and CatBoost were the following accurate models. On the other hand, KNN performed the worst in this case study. Regarding the run time, LR was the fastest method, followed by KNN, AdaBoost, and LGBM. Since LGBM performed the best in terms of accuracy and F1-score, it was applied to further analyses (SHAP and PDP).

4.2. Influence of Different Variables on Cycling Choice

SHAP is first applied to capture the relative influence of variables on travel mode choice and cycling choice. These results are presented in Figure 4 and Figure 5. As can be seen, trip distance is the most influential variable in travel mode choice, which is in line with the results of Naseri et al. [41]. The monthly transit pass, driving licence, the number of cars in the household, and distance to the centre are the following variables. The ranking of the bikeway index (Can-BICS) is eleventh within 22 applied variables (for any mode use).
Focusing only on cycling mode choice (Figure 5), gender, Walk Score, monthly transit pass, Can-BICS, distance to the centre, trip distance, age, and the reason for travel are the top variables in cycling choice. Next, since the SHAP values do not provide information on the direction of influence, only on its overall influence on the model’s prediction, each of those key variables is examined using Partial Dependence Plots.

4.2.1. Gender

The probability of cycling choice for men and women is 16.20% and 9.80%, respectively. Therefore, in Montreal, the probability of bicycle choice by men is 65.3% ( 16.20 9.80 9.80 0.653 ) more than that of women. This is in line with a review of who cycles in 17 countries across all continents, which found that in places where cycling mode share is below 7%, men are, on average, twice as likely to cycle as women [14]. This gender gap can originate from socio-cultural reasons, risk perception, and physical effort [42]. This gender gap can be minimized by improving the quality and comfort level of cycling infrastructures, since women are prone to avoid risky cycling [43]. To increase cycling among women, it is important to build appropriate infrastructure [6].

4.2.2. Walk Score

The relation between Walk Score and cycling choice is presented in Figure 6. In this figure, the black line is a polynomial curve fitted to points in the PDP to capture the relationship between the dependent variable (cycling choice) and the independent variable (in this figure, Walk Score). By increasing the Walk Score, the probability of cycling increases, and in locations with a Walk Score of over 90, the probability of cycling is at its highest level. This confirms that cycling and walking are complementary modes of transportation in Montreal. A recent study showed that cyclists are more likely to engage in walking and to support pedestrianization projects in the city [44], further validating the results of the present study.

4.2.3. Monthly Transit Pass

The cycling choice probability for those who do not own a transit pass, monthly bus pass holders for Montreal Island, monthly transit pass holders for a region outside the island (e.g., Laval), monthly train pass holders, and monthly tram pass holders is 23.44%, 9.68%, 9.68%, 9.66%, and 9.64%, in the order given. In many locations, cycling was found to be a strong competitor to public transport [45]. In some other cases, cycling can complement public transport trips, particularly where electric bike-sharing is highly accessible [46]. The results of this study show that public transit seems to be a competitor for cycling in Montreal.

4.2.4. Can-BICS

The relationship between the cycling infrastructure index and cycling choice probability is depicted in Figure 7. As shown, when the Can-BICS increases, the cycling share increases. Increasing the Can-BICS from 1 km to 5 km leads to a steep increase in the probability of cycling choice, from 8% to 12%. After this threshold (Can-BICS of 5 km, which is equal to 1.66 km high-comfort bikeway), the probability of cycling increases at a more moderate rate. Increasing the quality and quantity of bikeways increases the Can-BICS, and as a result, the number of cycling trips increases. These results align with the results of previous studies that showed poor quality of bikeways and limited dedicated lanes were the top barriers to cycling [47].

4.2.5. Distance to Centre

The relation between the distance to the Montreal centre and the probability of cycling choice is illustrated in Figure 8. The maximum likelihood of cycling is associated with the individuals living within an 8 km buffer from the centre of Montreal. After 8 km, the probability of cycling choice is reduced linearly until 12 km. After 12 km, the probability of cycling becomes a plateau. A previous study indicated that as the distance to the Montreal centre increases, the distance to the nearest bikeway and the nearest section of the cycling network also increases [48]. However, in our study, we have somewhat controlled for this with our measures of bicycle infrastructure. Other factors could be related to the distances to destinations (discussed next) and the difficulty of travelling by car due to higher congestion [49] and higher parking prices [50] in areas closer to the city centre.

4.2.6. Trip Distance

Figure 9 illustrates the influence of trip distance on the probability of bicycle choice in Montreal. As a reminder, we only modelled trips with distances of less than 6.74 km. As shown, as trip distance increases from 300 m to about 2 km, the probability of cycling sharply increases, replacing walking trips. However, after the 2 km mark, a gradual reduction in the likelihood of bicycle choice is observed. Overall, the probability of choosing the bicycle is highest (above 20%) between 1.2 and 3 kilometres, suggesting that this is where cycling is most attractive in the Montreal context. This aligns well with Goel et al.’s [14] review, showing that the median distance in most of their analyzed cities is between 1.6 and 3 kilometres.

4.3. Influence of Variables’ Interactions on Cycling Choice

We also applied PDP to investigate the interaction of Can-BICS and top-ranked variables in SHAP analysis (i.e., gender and Walk Score).

4.3.1. Can-BICS/Gender

The influence of the interaction of Can-BICS and gender on cycling choice probability is illustrated in Figure 10. As shown, males are more likely to cycle than females with the same cycling infrastructure condition. For example, at the Can-BICS of 10 km, the probability of bicycle choice for males and females is almost 17% and 12%, respectively. Furthermore, at the Can-BICS of 20 km, the probability of bicycle choice for males and females is approximately 22% and 14.5%, in the order given.

4.3.2. Can-BICS/Walk Score

The influence of the interaction of Can-BICS and Walk Score on cycling choice probability is displayed in Figure 11. In the neighbourhoods with a lower Walk Score, increasing the Can-BICS does not lead to a significant increase in the probability of bicycle choice. For example, at a Walk Score of 40, increasing Can-BICS from 0 km to 20 km increases the cycling choice probability by just 2% (from 7% to 9%). However, at the locations with higher Walk Score, increasing the Can-BICS leads to a considerable increase in bicycle choice probability. For example, at a Walk Score of 90, increasing Can-BICS from 0 km to 20 km increases the cycling choice probability by 6% (from 15% to 21%).

4.4. Influence of Quality and Quantity of Cycling Infrastructure on Modal Share and Life Cycle GHG Reduction

All the GHG emissions and modal share presented in this section are weighted by the expansion factor, considering census-matched weights. Ten policy scenarios are designed to estimate the contribution of the current infrastructure in Montreal to attracting individuals to cycle. Scenarios are primarily developed to increase the quality and/or quantity of cycling infrastructure. Since trip distance is the most influential variable on travel mode choice (Figure 4), a number of scenarios are also created to examine the influence of trip distance reduction on modal share and life cycle GHG reduction. As a reminder, all the mode share values and GHG emissions reduction estimations relate to the subset of trips considered for this study: trips started from home with a network distance below 6.74 kilometres. To improve the accuracy of GHG emissions estimates across scenarios, we recalculated trip distances for individuals who shifted to a different transport mode using the Google Maps API. Mode shifts can change routes and, as a result, trip distance. For example, if a person drives a car in the base scenario but switches to cycling in a scenario, they might take a different route optimized for cyclists. In such cases, the car trip distance from the base scenario is replaced with the recalculated cycling distance for the scenario (calculated by the mentioned API).

4.4.1. Contribution of the Current Infrastructure

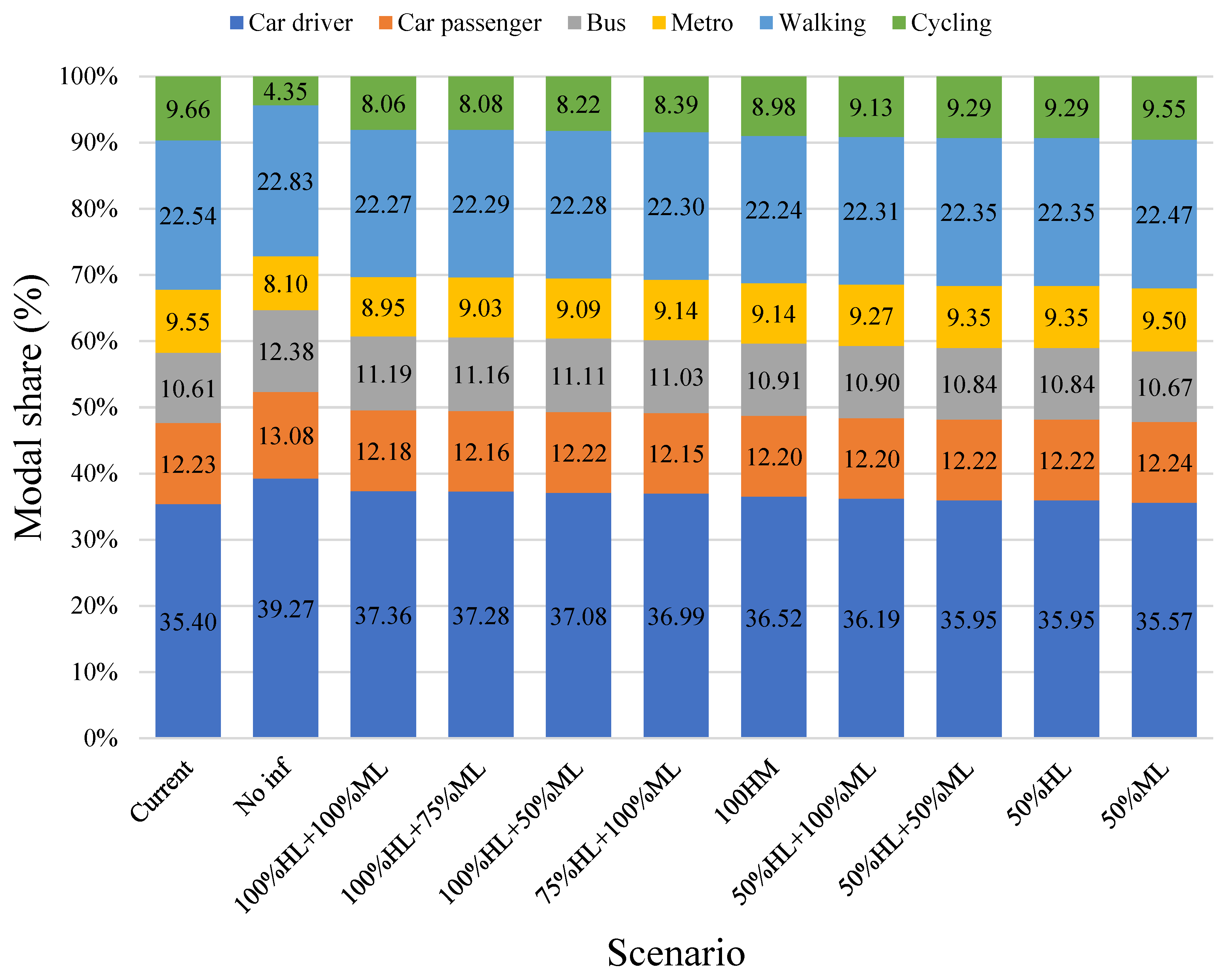
The first scenario (Figure 12) depicts the current impact of cycling and scenarios related to conditions if the cycling infrastructure were removed or reduced in quality or quantity. The “No inf” (i.e., no bicycle infrastructure) scenario implies that there are no bikeways in Montreal. In the other scenarios, the number represents the quality shift percentage, the first letter denotes the current quality, and the second letter denotes the new condition in the scenario. For example, 50%HM means that 50% of high-comfort bikeways (H) are randomly replaced with medium-comfort bikeways (M). As another example, 75%HL + 100%ML is the scenario in which 75% of high-comfort bikeways (H) are randomly replaced with low-comfort bikeways (L), and 100% of medium-comfort bikeways (M) are replaced with low-comfort bikeways (L). For each scenario, after the mentioned shifts in comfort level, the Can-BICS is recalculated, and the life cycle GHG and modal share are calculated based on the new Can-BICS values.
The influences of these scenarios on life cycle GHG and modal share are displayed in Figure 12 and Figure 13. Also, the equivalent average Can-BICS change in each scenario for individuals is also presented in Figure 12. The average Can-BICS for individuals in the base scenario is 8.9 km. Also, the share of cycling in the base scenario is 9.66%. As can be seen from the results, the contribution of the current cycling infrastructure to reducing the life cycle GHG emissions of short trips is estimated to be 10.21%. If the current infrastructure did not exist, the modal share of the subset of cycling trips studied would be just 4.35% (5.31% less than the current modal share of 9.66%). Moreover, the current bikeways in Montreal are predicted to be responsible for reducing the share of car trips by 4% (from 39 to 35%), which is considerable. If the quality of infrastructure were downgraded and all high-comfort and medium-comfort bikeways were replaced with low-comfort paths (100%HL + 100%ML), the modal share of cycling would be reduced by 1.61%, and the GHG emissions would be increased by 3.84%.

4.4.2. Improving the Quality of the Current Infrastructure

This study uses two approaches to analyze how improving the comfort level of cycling bikeways attracts more individuals to cycle and reduces GHG emissions. In the first approach, ten scenarios are designed, in which the quality is improved while the quantity remains untouched. These include a shift from low-comfort paths to medium-comfort (LM; low to medium), to high-comfort paths (LH; low to high), from medium-comfort paths to high-comfort paths (MH; medium to high), or scenarios where a combination of these improvements is simultaneously considered. The results of the first approach are shown in Figure 14 and Figure 15. In those figures, the number represents the quality shift percentage, the first letter denotes the current quality, and the second letter denotes the new condition in the scenario. For example, 50%LM + 50%LH is a scenario in which 50% of low-comfort bikeways (L) are randomly replaced with medium-comfort bikeways (M), and the remaining 50% of low-comfort bikeways (M) are replaced with high-comfort bikeways (H).
As can be seen from the results, a step change is apparent when existing infrastructure is shifted to high-comfort bikeways (75%LM + 25%LH), and the cycling percentage is predicted to continue to increase up to the maximum increase in the share of cycling by 0.78%. The GHG emissions reductions follow the same pattern and have a maximum further reduction of 3.90%.
The second applied approach to examining the influence of improving the quality of infrastructure is the sufficiency approach. In this approach, ten different scenarios are designed based on ten thresholds (i.e., 10%, 20%, 30%, …, 100%). In each scenario, if the share of high-comfort bikeways for a data observation (i.e., an individual) is less than the threshold, the low-comfort bikeways are shifted to high-comfort bikeways to set the minimum share of high-comfort bikeways for all individuals to the threshold. If low-comfort bikeways are not enough to meet the threshold, after shifting all low-comfort bikeways, medium-comfort bikeways are shifted to high-comfort bikeways. For instance, given a context where the low, medium, and high-comfort bikeways are 1 km (20%), 3 km (60%), and 1 km (20%), respectively, and the threshold is 50%, all the low-comfort bikeways are converted to high-comfort bikeways, and the share of high-comfort bikeways would be (40%; 1 + 1 = 2 km). Since the threshold is not met, 0.5 km of medium-comfort paths are converted to high-comfort paths, and the share of high-comfort bikeways would be equal to the threshold (50%; 2.5 km). If the share of high-comfort bikeways for a data observation is higher than the threshold, there would be no quality improvement.
The predicted results of the second approach are presented in Figure 16 and Figure 17. As shown, if at least 60% of cycling infrastructure near the home location of all individuals are high-comfort bikeways (high > 60%), the GHG would be reduced by 2.50%, and the share of active transportation (both cycling and walking) would be increased by 1.1%. The high > 80% scenario is estimated to result in a 3.25% reduction in GHG emissions and a 0.61% increase in the share of cycling trips. Similarly to the first approach, “All to high” scenario is predicted to lead to a 3.90% reduction in GHG emissions. Overall, the predicted mode share presented in Figure 17 suggests that raising the quality of cycling infrastructure increases the share of walking, cycling, and metro trips at the expense of bus, car driver, and car passenger trips.

4.4.3. Increasing the Quantity of Cycling Infrastructure

Similarly, two approaches examine how increasing the quantity of cycling infrastructure (i.e., implementing new bikeways) can influence modal share and GHG emissions of short trips in Montreal. The first approach (i.e., current quality) assumes that the quality of the added bikeways to the network is the same as the quality of current bikeways. That is, the shares of high-comfort, medium-comfort, and low-comfort bikeways near everyone remain the same after adding the new bikeways. For instance, imagine the share of high-comfort, medium-comfort, and low-comfort bikeways in a neighbourhood is 20%, 60%, and 20%, respectively. In this case, 20% of new bikeways are high-comfort, 60% are medium-comfort, and the remaining 20% are low-comfort bikeways. In this approach, seven thresholds are applied to generate eight scenarios. Here, each threshold represents the ratio of the length of bikeways to the length of driving streets within a one-km buffer of individuals’ home locations. In each scenario, if this ratio is less than the threshold, new bikeways are added to the network to make the minimum ratio equal to the threshold. For example, in the first scenario (0.03), the ratio of the length of bikeways to the length of driving streets within a one-km buffer of all individuals’ home locations is at least 0.03 (i.e., for every 10 km of road, there are 300 m of bikeways). The seven thresholds (e.g., 0.03, 0.05, 0.07) are the first to seventh deciles of the ratio of the length of bikeways to the length of driving streets in the initial dataset. This means that the last scenarios predict what happens when everyone has access to the same amount of cycling infrastructure as the minimum of the top 30% of observations in the original dataset. We did not raise the threshold above 0.15 for two main reasons: first, such scenarios may not be realistic given current infrastructure patterns; and second, increasing the threshold further would result in Can-BICS values exceeding the maximum observed in the original dataset, requiring the model to extrapolate beyond its training range.
The results of the first quantity approach are presented in Figure 18 and Figure 19. As can be seen, steady increases are predicted in cycling as the ratio of cycling infrastructure to road infrastructure increases. With roughly 15% of all roads having some infrastructure (assuming that the quality remains at current levels), the share of cycling increases by nearly 1.19%. Most of that reduction is linked to reduced car trips, and, to a lesser extent, reduced bus trips. The reduction in GHG emissions at that level is estimated at 5.32%.
In the second approach for quantity, it is assumed that all the new bikeways are high-comfort bikeways. The outcomes of the second approach are demonstrated in Figure 20 and Figure 21. As shown, the results of this approach are in harmony with the first approach, but the second approach (all the new infrastructure is high-comfort bikeways) leads to a greater GHG reduction and attracts more individuals to cycle. At the ratio of 0.15, the share of cycling is estimated to increase by 1.35%, and the GHG emissions are reduced by 6.60%. At the same time, driving is reduced by roughly 3.39%.

4.4.4. Trip Distance Reduction and Accessibility Increment

Since trip distance was the most influential variable on Travel Mode Choice (TMC) (Figure 4), the influence of this variable on GHG emissions and modal share is also investigated. Ten scenarios are considered where the distance of all trips is reduced by different percentages (X%), and the accessibility measures (i.e., proximity to employment centres, proximity to parks, and proximity to transit stations) are simultaneously increased by X%. The rationale for this approach of simultaneously reducing this distance and increasing accessibility is that in order to reduce average trip distances, people need more shopping, work, transit, and other opportunities closer to their homes.
Two GHG emissions results are shown: (1) overall GHG emissions and (2) travel mode choice (TMC) GHG emissions. The latter is the amount of emissions that would be reduced purely based on a modal shift. The first includes both the reduction from TMC but also from shorter distances being travelled.
The outcomes of the scenarios are displayed in Figure 22 and Figure 23. As expected, reducing trip distances while simultaneously increasing accessibility is predicted to reduce both the overall and TMC GHG emissions. At a 10% reduction in trip distance, the combined GHG emissions reduction is 11.77%, while at the more extreme end of a 50% reduction in trip distance, the GHG emissions are predicted to reduce by 55.50%. The TMC emissions reductions at those two values are 1.96% and 11%, respectively. A 25% reduction in trip distances would increase cycling by 2.36% and reduce overall emissions by nearly 29.26%. While a 50% reduction in distance predicts a reduction in driving by 7.98%, most of the gains are going to walking, which draws from all other modes (including cycling) with an increase in mode share by about 17.42% compared to the base scenario. This means that a substantial part of the GHG emissions reductions comes from switching motorized modes to walking.
Some might argue that reducing trip distance is unrealistic. It is true that in practice, such changes take considerable time, and similar shifts in cycling rates could potentially be achieved in a shorter time frame through high-comfort bikeways. For larger emissions reductions, however, the scenarios illustrate that distances must be addressed through more diverse land uses, higher accessibility to amenities, and greater population densities.

4.5. Comparative Analysis

Recent studies provided us with valuable details about various aspects of cycling infrastructure and emissions reduction. For example, Šobot et al. [51] showed that integrated cycling networks in Istria, a region in Croatia and Slovenia, could reduce the GHG emissions as well as produce economic benefits. However, they mentioned that these improvements are different across regions. In Bogotá, Colombia, cycling could reduce the GHG emissions by 55 thousand tonnes of CO2 annually [23]. Furthermore, in Vancouver, Canada, new cycling infrastructure could reduce the GHG emissions of those who live near the new infrastructure by 21%. A previous study in Montreal, Canada, showed that new cycling paths could lead to a 1.7% tailpipe GHG reduction in the transportation network [24]. We obtained a similar result in this study.
Previous studies also examined the influence of various factors on cycling adoption. For example, Gričar et al. [52] suggested that e-bikes play a transformative role in cycling adoption, but strategic infrastructure improvement is vital, which confirms the finding of the current study. A recent study in Graz, Austria, highlighted that temporal and environmental factors considerably impact cycling behaviour, while the current study did not investigate such parameters [53].

5. Conclusions

The first objective of this study was to investigate the influence of different variables on travel mode choice and bicycle choice using large-scale origin–destination data from Montreal. In this regard, seven machine learning models were used to predict the mode choice of individuals and identify the most accurate one. The results showed that LGBM (Light Gradient Boosting Machine) was the most accurate model, and hence, it was applied to further analyses. Then, SHAP, as an interpretation method, was synchronized with LGBM to evaluate the relative influence of variables on travel mode choice and bicycle choice.
Trip distance, the type of monthly transit pass owned, having a driver’s licence, the number of cars in the household, and distance to the centre were the most influential variables in travel mode choice. For cycling mode choice specifically, gender was the most influential variable, followed by Walk Score, monthly transit pass, bikeway index, distance to the centre, age, and the purpose of travel. PDP (Partial dependence plot) was applied to better understand the direction of influence of these variables on bicycle choice. The results suggested that trips are most likely to be made by bicycle if the distance is roughly 2 km, and if the person is a man, lives near the city centre in neighbourhoods with higher quality and quantity of cycling infrastructure, lives in regions with a Walk Score of over 90, and does not own a transit pass.
Finally, many policy scenarios were designed to assess the impacts of the quality and quantity of cycling infrastructure and trip distance on modal share and life cycle GHG emissions. Using a subset for all trips in the Montreal 2018 OD survey (trips started from home for each individual, below the 80th percentile threshold distance of 6.74 km, and with an origin on the Island of Montreal or in Laval), the modelling results showed that the current cycling infrastructure contributes to increasing the number of bicycle trips by 122%. This means that without current infrastructure, the model predicts that cycling mode share for this subset of trips would be almost 5.31% lower (4.35% instead of 9.66%), driving mode share would be 4% higher, and GHG emissions would be 10.21% higher. In scenarios assessing the impact of quality improvement, converting all low-comfort and medium-comfort to high-comfort bikeways can increase the number of bicycle trips by 8.1% and reduce GHG emissions by 3.90%.
As for increasing the amount (i.e., length) of bike lanes, if the total length of bikeways is increased to 15% of the length of roads (corresponding to the seventh decile of neighbourhoods with the highest amount of cycling infrastructure), the number of bicycle trips would be increased by 12.3% with the same comfort level as the current situation and by 14% if all new bikeways would be high-comfort. This would result in a GHG emissions reduction of 5.32% (the same comfort-level) and 6.60% (all new bikeways would be high-comfort). Finally, because trip distance is found to be the most important variable in cycling mode choice, scenarios assessing the impact of reducing the trip distances by 25% could maximize the number of bicycle trips, leading to a 24.4% increase in the number of bicycle trips and a 29.26% GHG emissions reduction, 5.68% of which coming from changes in mode choice and 23.67% from reduced travel distance by all modes.
These modelling results suggest that, from a policy perspective, both network extension and quality improvement of the existing network need to be implemented to maximize cycling uptake. However, even when combining both changes to the maximum tested scale, mode switch and GHG emissions reduction remain relatively low (less than 10%). In comparison, a reduction in the trip distance can yield substantial changes, suggesting that building a cycling city requires more than good-quality cycling infrastructure. Improving accessibility, increasing density, and land use diversity are critical for reducing average distance to opportunities and for reaching high levels of cycling.
In terms of limitations, however, it is possible that changes to cycling mode choice estimated in this paper from modelling cycling infrastructure improvement and extension might be underestimated since it does not account for potential reductions in driving “effectiveness” by replacing traffic and car parking lanes with protected, high-comfort, cycle lanes. Indeed, the carrots and sticks approach has been demonstrated to be more influential than the carrots alone [54,55]. However, modelling the impact of reduced car space and reduced on-street parking on travel model choice will require more complex modelling methods.
Another limitation of this study is that it considers an average value for GHG emissions of ICEVs since the information about the car model of passengers was not available in the origin–destination survey. Furthermore, the potential electric vehicles in the fleet were not taken into account, while their share was not significant (less than 1% in 2018). Finally, all the scenarios are based on a machine-learning model calibrated on cross-sectional data. More realistic results could be obtained in the future by analyzing how changes in the quantity and quality of cycling infrastructure lead to changes in cycling behaviour using panel data.
One of the limitations of this study is that it considers the 2018 OD data from Montreal and Laval, without testing the model’s generalization across time or cities. Therefore, in future studies, we will apply an updated version of the OD data from Montreal and Laval to check the generalization of the analyses across time. Furthermore, it is recommended that future studies apply the developed methodology to the OD survey for other cities. Another limitation of this study is that it does not consider economic, implementation cost considerations, and soft measures such as behavioural incentives or bike-share subsidies, which are critical to policy design. Therefore, it is suggested that future studies analyze the impact of the designed scenarios on such important factors to complement these findings.

Author Contributions

Conceptualization, H.N., J.L., E.O.D.W. and K.M.; methodology, H.N., J.L., E.O.D.W. and K.M.; software, H.N. and J.L.; validation, H.N., J.L., E.O.D.W. and K.M.; investigation, H.N., J.L., E.O.D.W. and K.M.; writing—original draft preparation, H.N., J.L., E.O.D.W. and K.M. All authors have read and agreed to the published version of the manuscript.

Funding

This research was supported by (a): the Fonds de recherches du Québec-Nature et Technologie (FRQNT), Funding number: 323357.

Data Availability Statement

The datasets presented in this article are not readily available because of confidentiality restrictions.

Acknowledgments

We would like to thank José Arturo Jasso Chávez for assistance with calculating several built environment variables used in this study.

Conflicts of Interest

The authors declare no conflicts of interest.

References

  1. Myers, S.S. Global Environmental Change: The Threat to Human Health. Worldwatch Pap. 2009, 34, 1–48. Available online: https://www.rrojasdatabank.info/envhealthexsumnov09.pdf (accessed on 20 July 2025).
  2. Ritchie, H. Sector by Sector: Where Do Global Greenhouse Gas Emissions Come From? Our World in Data. 2020, pp. 1–16. Available online: https://ourworldindata.org/ghg-emissions-by-sector (accessed on 20 July 2025).
  3. Brand, C.; Dons, E.; Anaya-Boig, E.; Avila-Palencia, I.; Clark, A.; de Nazelle, A.; Gascon, M.; Gaupp-Berghausen, M.; Gerike, R.; Götschi, T.; et al. The Climate Change Mitigation Effects of Daily Active Travel in Cities. Transp. Res. Part D Transp. Environ. 2021, 93, 102764. [Google Scholar] [CrossRef]
  4. Panter, J.; Guell, C.; Humphreys, D.; Ogilvie, D. Can Changing the Physical Environment Promote Walking and Cycling? A Systematic Review of What Works and How. Health Place 2019, 58, 102161. [Google Scholar] [CrossRef] [PubMed]
  5. Williams, T.; Whitehurst, D.G.T.; Nelson, T.; Fuller, D.; Therrien, S.; Gauvin, L.; Winters, M. All Ages and Abilities Cycling Infrastructure, Cycling Activity, and Perceived Safety: Findings from a Natural Experiment Study in Three Mid-Sized Canadian Cities. J. Cycl. Micromobility Res. 2023, 1, 100005. [Google Scholar] [CrossRef]
  6. Garrard, J.; Rose, G.; Lo, S.K. Promoting Transportation Cycling for Women: The Role of Bicycle Infrastructure. Prev. Med. 2008, 46, 55–59. [Google Scholar] [CrossRef]
  7. Aldred, R. Adults’ Attitudes towards Child Cycling: A Study of the Impact of Infrastructure. Eur. J. Transp. Infrastruct. Res. 2015, 15, 92–115. [Google Scholar] [CrossRef]
  8. Winters, M.; Beairsto, J.; Ferster, C.; Laberee, K.; Manaugh, K.; Nelson, T. The Canadian Bikeway Comfort and Safety Metrics (Can-BICS): National Measures of the Bicycling Environment for Use in Research and Policy. Health Rep. 2022, 33, 3–13. [Google Scholar] [CrossRef]
  9. Börjesson, M.; Eliasson, J. The Benefits of Cycling: Viewing Cyclists as Travellers Rather than Non-Motorists. In Transport and Sustainability; Emerald Group Publishing Ltd.: Leeds, UK, 2012; Volume 1, pp. 247–268. [Google Scholar]
  10. Monazzam, M.R.; Karimi, E.; Shahbazi, H.; Shahidzadeh, H. Effect of Cycling Development as a Non-Motorized Transport on Reducing Air and Noise Pollution-Case Study: Central Districts of Tehran. Urban Clim. 2021, 38, 100887. [Google Scholar] [CrossRef]
  11. Bertolini, L. From “Streets for Traffic” to “Streets for People”: Can Street Experiments Transform Urban Mobility? Transp. Rev. 2020, 40, 734–753. [Google Scholar] [CrossRef]
  12. Pucher, J.; Buehler, R. Why Canadians Cycle More than Americans: A Comparative Analysis of Bicycling Trends and Policies. Transp. Policy 2006, 13, 265–279. [Google Scholar] [CrossRef]
  13. Naseri, H.; Waygood, E.O.D.; Wang, B.; Patterson, Z. Application of Machine Learning to Child Mode Choice with a Novel Technique to Optimize Hyperparameters. Int. J. Environ. Res. Public Health 2022, 19, 16844. [Google Scholar] [CrossRef]
  14. Goel, R.; Goodman, A.; Aldred, R.; Nakamura, R.; Tatah, L.; Garcia, L.M.T.; Zapata-Diomedi, B.; de Sa, T.H.; Tiwari, G.; de Nazelle, A.; et al. Cycling Behaviour in 17 Countries across 6 Continents: Levels of Cycling, Who Cycles, for What Purpose, and How Far? Transp. Rev. 2022, 42, 58–81. [Google Scholar] [CrossRef]
  15. Aziz, H.M.A.; Nagle, N.N.; Morton, A.M.; Hilliard, M.R.; White, D.A.; Stewart, R.N. Exploring the Impact of Walk–bike Infrastructure, Safety Perception, and Built-Environment on Active Transportation Mode Choice: A Random Parameter Model Using New York City Commuter Data. Transportation 2018, 45, 1207–1229. [Google Scholar] [CrossRef]
  16. Márquez, L.; Cantillo, V.; Arellana, J. How Do the Characteristics of Bike Lanes Influence Safety Perception and the Intention to Use Cycling as a Feeder Mode to BRT? Travel Behav. Soc. 2021, 24, 205–217. [Google Scholar] [CrossRef]
  17. Manaugh, K.; Boisjoly, G.; El-Geneidy, A. Overcoming Barriers to Cycling: Understanding Frequency of Cycling in a University Setting and the Factors Preventing Commuters from Cycling on a Regular Basis. Transportation 2017, 44, 871–884. [Google Scholar] [CrossRef]
  18. Félix, R.; Cambra, P.; Moura, F. Build It and Give ‘em Bikes, and They Will Come: The Effects of Cycling Infrastructure and Bike-Sharing System in Lisbon. Case Stud. Transp. Policy 2020, 8, 672–682. [Google Scholar] [CrossRef]
  19. Winters, M.; Davidson, G.; Kao, D.; Teschke, K. Motivators and Deterrents of Bicycling: Comparing Influences on Decisions to Ride. Transportation 2011, 38, 153–168. [Google Scholar] [CrossRef]
  20. Calvey, J.C.; Shackleton, J.P.; Taylor, M.D.; Llewellyn, R. Engineering Condition Assessment of Cycling Infrastructure: Cyclists’ Perceptions of Satisfaction and Comfort. Transp. Res. Part A Policy Pract. 2015, 78, 134–143. [Google Scholar] [CrossRef]
  21. Faghih Imani, A.; Miller, E.J.; Saxe, S. Cycle Accessibility and Level of Traffic Stress: A Case Study of Toronto. J. Transp. Geogr. 2019, 80, 102496. [Google Scholar] [CrossRef]
  22. Ngo, V.D.; Frank, L.D.; Bigazzi, A.Y. Effects of New Urban Greenways on Transportation Energy Use and Greenhouse Gas Emissions: A Longitudinal Study from Vancouver, Canada. Transp. Res. Part D Transp. Environ. 2018, 62, 715–725. [Google Scholar] [CrossRef]
  23. Massink, R.; Zuidgeest, M.; Rijnsburger, J.; Sarmiento, O.L.; van Maarseveen, M. The Climate Value of Cycling. Nat. Resour. Forum 2011, 35, 100–111. [Google Scholar] [CrossRef]
  24. Zahabi, S.A.H.; Chang, A.; Miranda-Moreno, L.F.; Patterson, Z. Exploring the Link between the Neighborhood Typologies, Bicycle Infrastructure and Commuting Cycling over Time and the Potential Impact on Commuter GHG Emissions. Transp. Res. Part D Transp. Environ. 2016, 47, 89–103. [Google Scholar] [CrossRef]
  25. Brand, C.; Goodman, A.; Ogilvie, D.; Bull, F.; Cooper, A.; Day, A.; Mutrie, N.; Powell, J.; Preston, J.; Rutter, H. Evaluating the Impacts of New Walking and Cycling Infrastructure on Carbon Dioxide Emissions from Motorized Travel: A Controlled Longitudinal Study. Appl. Energy 2014, 128, 284–295. [Google Scholar] [CrossRef] [PubMed]
  26. Autorité régionale de transport métropolitain (ARTM). Enquête Origine–Destination 2018. Available online: https://www.artm.quebec/planification/enqueteod/ (accessed on 7 April 2025).
  27. Ferster, C.; Nelson, T.; Manaugh, K.; Beairsto, J.; Laberee, K.; Winters, M. Developing a National Dataset of Bicycle Infrastructure for Canada Using Open Data Sources. Environ. Plan. B Urban Anal. City Sci. 2023, 50, 2543–2559. [Google Scholar] [CrossRef]
  28. Winters, M.; Zanotto, M.; Butler, G. The Canadian Bikeway Comfort and Safety (Can-Bics) Classification System: A Common Naming Convention for Cycling Infrastructure. Health Promot. Chronic Dis. Prev. Canada 2020, 40, 288–293. [Google Scholar] [CrossRef]
  29. Statistics Canada. Proximity Measures Database. 2021. Available online: https://www150.statcan.gc.ca/n1/pub/17-26-0002/172600022023001-eng.htm (accessed on 30 June 2025).
  30. Walk Score. Montréal Apartments for Rent and Montréal Rentals—Walk Score. Available online: https://www.walkscore.com/CA-QC/Montr%C3%A9al (accessed on 1 August 2025).
  31. Næss, P. Meta-Analyses of Built Environment Effects on Travel: No New Platinum Standard. J. Plan. Educ. Res. 2019, 42, 199–205. [Google Scholar] [CrossRef]
  32. Chapleau, R.; Gaudette, P.; Spurr, T. Application of Machine Learning to Two Large-Sample Household Travel Surveys: A Characterization of Travel Modes. Transp. Res. Rec. 2019, 2673, 173–183. [Google Scholar] [CrossRef]
  33. Morency, C.; Demers, M.; Poliquin, E. Shifting Short Motorized Trips to Walking: The Potential of Active Transportation for Physical Activity in Montreal. J. Transp. Health 2014, 1, 100–107. [Google Scholar] [CrossRef]
  34. Ghavami, S.; Naseri, H.; Jahanshahi, F.S. Enhanced Prediction and Uncertainty Modeling of Pavement Roughness Using Machine Learning and Conformal Prediction. Infrastructures 2025, 10, 166. [Google Scholar] [CrossRef]
  35. Lundberg, S.M.; Lee, S.I. A Unified Approach to Interpreting Model Predictions. In Proceedings of the Advances in Neural Information Processing Systems, Long Beach, CA, USA, 4–9 December 2017; pp. 4766–4775. [Google Scholar]
  36. Alnahit, A.O.; Mishra, A.K.; Khan, A.A. Stream Water Quality Prediction Using Boosted Regression Tree and Random Forest Models. Stoch. Environ. Res. Risk Assess. 2022, 36, 2661–2680. [Google Scholar] [CrossRef]
  37. Inglis, A.; Parnell, A.; Hurley, C.B. Visualizing Variable Importance and Variable Interaction Effects in Machine Learning Models. J. Comput. Graph. Stat. 2022, 31, 766–778. [Google Scholar] [CrossRef]
  38. Zhou, Q.; Sun, B. Adaptive K-Means Clustering Based under-Sampling Methods to Solve the Class Imbalance Problem. Data Inf. Manag. 2024, 8, 100064. [Google Scholar] [CrossRef]
  39. Ratnasari, A.P.; Nur’aini, R. Performance of Random Oversampling, Random Undersampling, and SMOTE-NC Methods in Handling Imbalanced Class in Classification Models. Int. J. Sci. Res. Manag. 2024, 12, 494–501. [Google Scholar] [CrossRef]
  40. Naseri, H.; Waygood, E.O.D.; Patterson, Z. Household Transportation Lifecycle Greenhouse Gas Emission Prediction. Transp. Res. Part D Transp. Environ. 2025, 141, 104660. [Google Scholar] [CrossRef]
  41. Naseri, H.; Waygood, E.O.D.; Patterson, Z.; Alousi-Jones, M.; Wang, B. Travel Mode Choice Prediction: Developing New Techniques to Prioritize Variables and Interpret Black-Box Machine Learning Techniques. Transp. Plan. Technol. 2024, 48, 582–605. [Google Scholar] [CrossRef]
  42. Grudgings, N.; Hagen-Zanker, A.; Hughes, S.; Gatersleben, B.; Woodall, M.; Bryans, W. Why Don’t More Women Cycle? An Analysis of Female and Male Commuter Cycling Mode-Share in England and Wales. J. Transp. Health 2018, 10, 272–283. [Google Scholar] [CrossRef]
  43. Abasahl, F.; Kelarestaghi, K.B.; Ermagun, A. Gender Gap Generators for Bicycle Mode Choice in Baltimore College Campuses. Travel Behav. Soc. 2018, 11, 78–85. [Google Scholar] [CrossRef]
  44. Naseri, H.; Ciari, F.; Cloutier, M.S.; Patwary, A.U.Z. Barriers to Car-Free Streets: Identifying Opponents of Pedestrianization in Montreal. Cities 2025, 165, 106178. [Google Scholar] [CrossRef]
  45. Holmgren, J.; Ivehammar, P. Mode Choice in Home-to-Work Travel in Mid-Size Towns: The Competitiveness of Public Transport When Bicycling and Walking Are Viable Options. Transp. Res. Procedia 2020, 48, 1635–1643. [Google Scholar] [CrossRef]
  46. Martin, R.; Xu, Y. Is Tech-Enhanced Bikeshare a Substitute or Complement for Public Transit? Transp. Res. Part A Policy Pract. 2022, 155, 63–78. [Google Scholar] [CrossRef]
  47. Pearson, L.; Berkovic, D.; Reeder, S.; Gabbe, B.; Beck, B. Adults’ Self-Reported Barriers and Enablers to Riding a Bike for Transport: A Systematic Review. Transp. Rev. 2023, 43, 356–384. [Google Scholar] [CrossRef]
  48. Houde, M.; Apparicio, P.; Séguin, A.M. A Ride for Whom: Has Cycling Network Expansion Reduced Inequities in Accessibility in Montreal, Canada? J. Transp. Geogr. 2018, 68, 9–21. [Google Scholar] [CrossRef]
  49. Taylor, B.D. Rethinking Traffic Congestion. Access Mag. 2002, 1, 8–16. [Google Scholar]
  50. Zahabi, S.A.H.; Miranda-Moreno, L.F.; Patterson, Z.; Barla, P. Evaluating the Effects of Land Use and Strategies for Parking and Transit Supply on Mode Choice of Downtown Commuters. J. Transp. Land Use 2012, 5, 103–119. [Google Scholar] [CrossRef]
  51. Šobot, A.; Gričar, S.; Šugar, V.; Bojnec, Š. Sustainable Cycling: Boosting Commuting and Tourism Opportunities in Istria. Sustainability 2024, 16, 10604. [Google Scholar] [CrossRef]
  52. Gričar, S.; Longar, U.; Longar, T.; Šugar, V. Cycling into Sustainability: Lessons from the Netherlands for Slovenia’s E-Bike Adoption. Sustainnability 2024, 16, 9987. [Google Scholar] [CrossRef]
  53. Šobot, A.; Gričar, S. An Example of the Transition to Sustainable Mobility in the Austrian City of Graz. Sustainnability 2025, 17, 4324. [Google Scholar] [CrossRef]
  54. Piatkowski, D.P.; Marshall, W.E.; Krizek, K.J. Carrots versus Sticks: Assessing Intervention Effectiveness and Implementation Challenges for Active Transport. J. Plan. Educ. Res. 2019, 39, 50–64. [Google Scholar] [CrossRef]
  55. Buehler, R.; Pucher, J.; Gerike, R.; Götschi, T. Reducing Car Dependence in the Heart of Europe: Lessons from Germany, Austria, and Switzerland. Transp. Rev. 2017, 37, 4–28. [Google Scholar] [CrossRef]
Figure 1. The workflow diagram of the current study.
Figure 1. The workflow diagram of the current study.
Sustainability 17 07577 g001
Figure 2. The Pearson correlation coefficient of continuous variables based on the built environment of the respondent’s home location.
Figure 2. The Pearson correlation coefficient of continuous variables based on the built environment of the respondent’s home location.
Sustainability 17 07577 g002
Figure 3. The grams of carbon dioxide (gCO2) per passenger kilometre (PKT) unit life cycle GHG emissions of transportation modes in Montreal.
Figure 3. The grams of carbon dioxide (gCO2) per passenger kilometre (PKT) unit life cycle GHG emissions of transportation modes in Montreal.
Sustainability 17 07577 g003
Figure 4. The relative influence of variables on any travel mode choice.
Figure 4. The relative influence of variables on any travel mode choice.
Sustainability 17 07577 g004
Figure 5. The relative influence of variables on cycling choice.
Figure 5. The relative influence of variables on cycling choice.
Sustainability 17 07577 g005
Figure 6. The relative influence of Walk Score on cycling choice.
Figure 6. The relative influence of Walk Score on cycling choice.
Sustainability 17 07577 g006
Figure 7. The influence of cycling infrastructure on cycling choice.
Figure 7. The influence of cycling infrastructure on cycling choice.
Sustainability 17 07577 g007
Figure 8. The influence of distance to the centre on cycling choice.
Figure 8. The influence of distance to the centre on cycling choice.
Sustainability 17 07577 g008
Figure 9. The influence of trip distance on cycling choice.
Figure 9. The influence of trip distance on cycling choice.
Sustainability 17 07577 g009
Figure 10. The influence of Can-BICS/gender interaction on cycling choice.
Figure 10. The influence of Can-BICS/gender interaction on cycling choice.
Sustainability 17 07577 g010
Figure 11. The influence of Can-BICS/Walk Score interaction on cycling choice.
Figure 11. The influence of Can-BICS/Walk Score interaction on cycling choice.
Sustainability 17 07577 g011
Figure 12. Predicted cycling share and life cycle GHG under various cycling infrastructure quality scenarios.
Figure 12. Predicted cycling share and life cycle GHG under various cycling infrastructure quality scenarios.
Sustainability 17 07577 g012
Figure 13. Predicted mode share under various cycling infrastructure quality scenarios.
Figure 13. Predicted mode share under various cycling infrastructure quality scenarios.
Sustainability 17 07577 g013
Figure 14. Predicted cycling share and life cycle GHG under various improving infrastructure quality scenarios (the first approach).
Figure 14. Predicted cycling share and life cycle GHG under various improving infrastructure quality scenarios (the first approach).
Sustainability 17 07577 g014
Figure 15. The predicted influence of improving infrastructure quality on modal share.
Figure 15. The predicted influence of improving infrastructure quality on modal share.
Sustainability 17 07577 g015
Figure 16. Predicted cycling share and life cycle GHG under various improving infrastructure quality scenarios (the second approach).
Figure 16. Predicted cycling share and life cycle GHG under various improving infrastructure quality scenarios (the second approach).
Sustainability 17 07577 g016
Figure 17. The predicted influence of improving infrastructure quality on modal share (threshold method).
Figure 17. The predicted influence of improving infrastructure quality on modal share (threshold method).
Sustainability 17 07577 g017
Figure 18. Predicted cycling share and life cycle GHG under increasing infrastructure quantity scenarios (current quality).
Figure 18. Predicted cycling share and life cycle GHG under increasing infrastructure quantity scenarios (current quality).
Sustainability 17 07577 g018
Figure 19. The predicted influence of increasing infrastructure quantity on modal share (current quality).
Figure 19. The predicted influence of increasing infrastructure quantity on modal share (current quality).
Sustainability 17 07577 g019
Figure 20. Predicted cycling share and life cycle GHG under increasing infrastructure quantity scenarios (all the new infrastructure is high-comfort bikeways).
Figure 20. Predicted cycling share and life cycle GHG under increasing infrastructure quantity scenarios (all the new infrastructure is high-comfort bikeways).
Sustainability 17 07577 g020
Figure 21. The predicted influence of increasing infrastructure quantity on the modal share (all the new infrastructure is high-comfort bikeways).
Figure 21. The predicted influence of increasing infrastructure quantity on the modal share (all the new infrastructure is high-comfort bikeways).
Sustainability 17 07577 g021
Figure 22. Predicted cycling share, life cycle GHG, and Travel Mode Choice (TMC) life cycle GHG under reducing trip distance (as well as increasing accessibility) scenarios.
Figure 22. Predicted cycling share, life cycle GHG, and Travel Mode Choice (TMC) life cycle GHG under reducing trip distance (as well as increasing accessibility) scenarios.
Sustainability 17 07577 g022
Figure 23. The predicted influence of reducing trip distance (as well as increasing accessibility) on modal share.
Figure 23. The predicted influence of reducing trip distance (as well as increasing accessibility) on modal share.
Sustainability 17 07577 g023
Table 1. The performance of machine learning models (the best performance is shown in bold).
Table 1. The performance of machine learning models (the best performance is shown in bold).
MethodsTesting Data Accuracy (%)Testing Data F1-ScoreFit Time (s)Prediction Time (s)
LR65.5055.118.170.01
SVM65.6856.1094.683.71
KNN54.9946.8519.880.63
AdaBoost64.8252.5847.180.11
LGBM68.3260.1363.640.02
XGB68.0358.0393.260.04
CatBoost67.7458.54102.870.02
Disclaimer/Publisher’s Note: The statements, opinions and data contained in all publications are solely those of the individual author(s) and contributor(s) and not of MDPI and/or the editor(s). MDPI and/or the editor(s) disclaim responsibility for any injury to people or property resulting from any ideas, methods, instructions or products referred to in the content.

Share and Cite

MDPI and ACS Style

Naseri, H.; Laviolette, J.; Waygood, E.O.D.; Manaugh, K. Cycling and GHG Emissions: How Infrastructure Makes All the Difference. Sustainability 2025, 17, 7577. https://doi.org/10.3390/su17177577

AMA Style

Naseri H, Laviolette J, Waygood EOD, Manaugh K. Cycling and GHG Emissions: How Infrastructure Makes All the Difference. Sustainability. 2025; 17(17):7577. https://doi.org/10.3390/su17177577

Chicago/Turabian Style

Naseri, Hamed, Jérôme Laviolette, E. Owen D. Waygood, and Kevin Manaugh. 2025. "Cycling and GHG Emissions: How Infrastructure Makes All the Difference" Sustainability 17, no. 17: 7577. https://doi.org/10.3390/su17177577

APA Style

Naseri, H., Laviolette, J., Waygood, E. O. D., & Manaugh, K. (2025). Cycling and GHG Emissions: How Infrastructure Makes All the Difference. Sustainability, 17(17), 7577. https://doi.org/10.3390/su17177577

Note that from the first issue of 2016, this journal uses article numbers instead of page numbers. See further details here.

Article Metrics

Back to TopTop