Climate-Induced Water Management Challenges for Cabbage and Carrot in Southern Poland
Abstract
1. Introduction
2. Materials and Methods
2.1. Study Subject
2.2. Estimation of Potential Evapotranspiration for Cabbage and Carrot
2.3. Rainfall Deficiency Analysis for Cabbage and Carrot
2.4. Irrigation Water Demand Analysis for Cabbage and Carrot
2.5. Statistical Analysis
3. Results
3.1. Standard Deviation and Coefficient of Variation of Water Requirements
3.2. Water Requirements
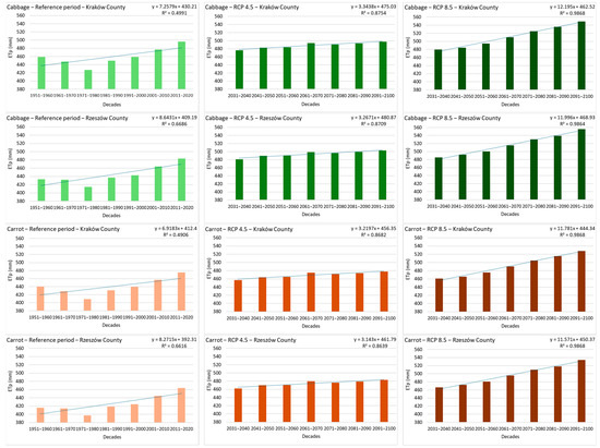
3.3. Temporal Trends in Water Requirements
3.4. Projected Increase in Water Requirements
3.5. Rainfall Deficiency
3.6. Irrigation Water Demand
4. Discussion
5. Conclusions
Author Contributions
Funding
Institutional Review Board Statement
Informed Consent Statement
Data Availability Statement
Conflicts of Interest
References
- Paparella, A.; Kongala, P.R.; Serio, A.; Rossi, C.; Shaltiel-Harpaza, L.; Husaini, A.M.; Ibdah, M. Challenges and opportunities in the sustainable improvement of carrot production. Plants 2024, 13, 2092. [Google Scholar] [CrossRef]
- Hud, A.; Šamec, D.; Senko, H.; Petek, M.; Brkljačić, L.; Pole, L.; Lazarevic, B.; Rajnovic, I.; Udikovic-Kolic, N.; Mešic, A.; et al. Response of white cabbage (Brassica oleracea var. capitata) to single and repeated short-term waterlogging. Agronomy 2023, 13, 200. [Google Scholar] [CrossRef]
- Ebadollahi-Natanzi, A.; Arab-Rahmatipour, G. A study on chlorophyll, total carotenoid and beta-carotene contents in carrot and the effect of climate on them. J. Med. Plants 2020, 19, 254–265. [Google Scholar] [CrossRef]
- Simon, P.W. Beyond the genome: Carrot production trends, research advances, and future crop improvement. ISHS Acta Hortic. 2018, 1264, 1–8. [Google Scholar] [CrossRef]
- Übelhör, A.; Munz, S.; Graeff-Hönninger, S.; Claupein, W. Evaluation of the CROPGRO model for white cabbage production under temperate European climate conditions. Sci. Hortic. 2015, 182, 110–118. [Google Scholar] [CrossRef]
- Nieuwsbericht. Polish Vegetable Production. Available online: https://www.agroberichtenbuitenland.nl/actueel/nieuws/2021/09/07/polish-vegetable-production? (accessed on 3 July 2025).
- ReportLinker. European Cabbages Harvested Production by Country. Available online: https://www.reportlinker.com/dataset/0e74c420fe50ae8688975a36cf666361aceb313d? (accessed on 3 July 2025).
- Babić, I.; Šamec, D.; Hižak, M.; Huđ, A.; Senko, H.; Šangut, I.J.; Mlinarić, S.; Petek, M.; Palijan, G.; Udiković Kolić, N.; et al. Evaluating drought impact on white cabbage: Plant stress response and soil microbiome adaptation. Plant Stress 2024, 14, 100683. [Google Scholar] [CrossRef]
- Bisbis, M.B.; Gruda, N.; Blanke, M. Potential impacts of climate change on vegetable production and product quality—A review. J. Clean. Prod. 2018, 170, 1602–1620. [Google Scholar] [CrossRef]
- Pavlović, I.; Petřík, I.; Tarkowská, D.; Lepeduš, H.; Vujčić Bok, V.; Radić Brkanac, S.; Novák, O.; Salopek-Sondi, B. Correlations between phytohormones and drought tolerance in selected Brassica crops: Chinese cabbage, white cabbage and kale. Int. J. Mol. Sci. 2018, 19, 2866. [Google Scholar] [CrossRef] [PubMed]
- Rintamäki, H.; Rikkonen, P.; Tapio, P. Carrot or stick: Impacts of alternative climate and energy policy scenarios on agriculture. Futures 2016, 83, 64–74. [Google Scholar] [CrossRef]
- Jasman; Syarif, M.; Juharsah; Sukri, A.S.; Ngii, E.; Hasddin. Model of the linkage between land cover changes to water discharge and food productivity: The case of the konaweha watershed in Indonesia. J. Geogr. Inst. Jovan Cvijić SASA 2023, 73, 169–185. [Google Scholar] [CrossRef]
- Stoyanova, R.; Nikolova, N. Meteorological drought in southwest Bulgaria during the period 1961–2020. J. Geogr. Inst. Jovan Cvijić SASA 2022, 72, 243–255. [Google Scholar] [CrossRef]
- Trenberth, K.E.; Fasullo, J.T.; Shepherd, T.G. Attribution of climate extreme events. Nat. Clim. Chang. 2015, 5, 725–730. [Google Scholar] [CrossRef]
- Wheeler, T.; von Braun, J. Climate change impacts on global food security. Science 2013, 341, 508–513. [Google Scholar] [CrossRef]
- Valdivia, R.O.; Antle, J.M.; Rosenzweig, C.; Ruane, A.C.; Vervoort, J.; Ashfaq, M.; Hathie, I.; Tui, S.H.-K.; Mulwa, R.; Nhemachena, C.; et al. Representative agricultural pathways and scenarios for regional integrated assessment of climate change impacts, vulnerability, and adaptation. In Handbook of Climate Change and Agroecosystems: The Agricultural Model Intercomparison and Improvement Project Integrated Crop and Economic Assessments; Part, 1; Rosenzweig, C., Hillel, D., Eds.; Imperial College Press: London, UK, 2015; pp. 101–145. [Google Scholar]
- Van Vuuren, D.P.; Edmonds, J.; Kainuma, M.; Riahi, K.; Thomson, A.; Hibbard, K.; Hurtt, G.C.; Kram, T.; Krey, V.; Lamarque, J.-F.; et al. The representative concentration pathways: An overview. Clim. Chang. 2011, 109, 5. [Google Scholar] [CrossRef]
- IPCC. Climate Change 2021: The Physical Science Basis. Contribution of Working Group I to the Sixth Assessment Report of the Intergovernmental Panel on Climate Change. Cambridge University Press. Available online: https://www.ipcc.ch/report/ar6/wg1/ (accessed on 26 May 2025).
- European Environment Agency (EEA). Climate Change, Impacts and Vulnerability in Europe 2016. An Indicator-Baseed Report; Publications Office of the European Union: Luxembourg, 2017; Available online: https://www.eea.europa.eu/en/analysis/publications/climate-change-impacts-and-vulnerability-2016 (accessed on 21 May 2025)ISSN 1977-8449.
- Alcamo, J.; Moreno, J.M.; Nováky, B.; Hindi, M.; Corobov, R.; Devoy, R.J.N.; Giannakopoulos, C.; Martin, E.; Olesn, J.E.; Shvidenko, A. Europe. Climate Change 2007. Impacts, Adaptation and Vulnerability. Contribution of Working Group II to the Fourth Assessment Report of the Intergovernmental Panel on Climate Change; Parry, M.L., Canziani, O.F., Palutikof, J.P., van der Linden, P.J., Hanson, C.E., Eds.; Cambridge University Press: Cambridge, UK, 2007; pp. 541–580. [Google Scholar]
- Kundzewicz, Z. Projekcje zmian klimatu—Ekstrema hydrometeorologiczne [Climate change projections—Hydrometeorological extremes]. In Proceedings of the I Polish Conference ADAGIO, Poznań, Poland, 24 April 2007. [Google Scholar]
- Randall, D.A.; Wood, R.A.; Bony, S.; Colman, R.; Fichefet, T.; Fyfe, J.; Kattsov, V.; Pitman, A.; Shukla, J.; Srinivasan, J.; et al. Climate models and their evaluation. In Climate Change 2007. The Physical Science Basis. Contribution of Working Group I to the Fourth Assessment Report of the Intergovernmental Panel on Climate Change; Solomon, S., Qin, D., Manning, M., Chen, Z., Marquis, M., Averyt, K.B., Tignor, M., Miller, H.L., Eds.; Cambridge University Press: Cambridge, UK; New York, NY, USA, 2007. [Google Scholar]
- Kundzewicz, Z. Scenariusze zmian klimatu [Climate change scenarios]. In Czy Polsce Grożą Katastrofy Klimatyczne? [Is Poland at Risk of Climate Disasters?]; PAN: Warszawa, Poland, 2003; pp. 14–31. [Google Scholar]
- Parry, M.L. Assessment of Potential Effects and Adaptation for Climate Change in Europe: The Europe ACACIA Project; Jackson Environmental Institute, University of East Anglia: Norwich, UK, 2000. [Google Scholar]
- Kaniszewski, S.; Treder, W. Racjonalne Nawadnianie Warzyw [Rational Irrigation of Vegetables]; ODR: Brwinów, Poland, 2021; pp. 1–89. [Google Scholar]
- Żakowicz, S.; Hewelke, P.; Gnatowski, T. Podstawy Infrastruktury Technicznej w Przestrzeni Produkcyjnej [Basics of Technical Infrastructure in Production Space]; SGGW: Warszawa, Poland, 2009; p. 192. [Google Scholar]
- Kaniszewski, S. Nawadnianie Warzyw Polowych [Irrigation of Field Vegetables]; Plantpress: Kraków, Poland, 2005; pp. 1–85. [Google Scholar]
- Buczak, E. Potrzeby wodne roślin warzywnych [Water needs of vegetable crops]. In Potrzeby Wodne Roślin Uprawnych [Water Needs of Field Crops]; Dzieżyc, J., Ed.; PWN: Warszawa, Poland, 1989; pp. 159–188. [Google Scholar]
- Dzieżyc, J. Rolnictwo w Warunkach Nawadniania [Agriculture Under Irrigated Conditions]; PWN: Warszawa, Poland, 1988; pp. 1–415. [Google Scholar]
- Kaniszewski, S. Nawadnianie Warzyw [Irrigation of Vegetables]; PWRiL: Warszawa, Poland, 1987; pp. 1–108. [Google Scholar]
- Badora, D.; Wawer, R.; Król-Badziak, A. Modelling 2050 Water Retention Scenarios for Irrigated and Non-Irrigated Crops for Adaptation to Climate Change Using the SWAT Model: The Case of the Bystra Catchment, Poland. Agronomy 2023, 13, 404. [Google Scholar] [CrossRef]
- Daccache, A.; Weatherhead, E.K.; Stalham, M.A.; Knox, J.W. Impacts of climate change on irrigated potato production in a humid climate. Agric. Forest Meteorol. 2011, 151, 1641–1653. [Google Scholar] [CrossRef]
- Fereres, E.; Soriano, M.A. Deficit irrigation for reducing agricultural water use. J. Exp. Bot. 2007, 58, 147–159. [Google Scholar] [CrossRef]
- Teshager, A.D.; Gassman, P.W.; Schoof, J.T.; Secchi, S. Assessment of impacts of agricultural and climate change scenarios on watershed water quantity and quality, and crop production. Hydrol. Earth Syst. Sci. 2016, 20, 3325–3342. [Google Scholar] [CrossRef]
- Elliott, J.; Deryng, D.; Müller, C.; Frieler, K.; Konzmann, M.; Gerten, D.; Glotter, M.; Flörke, M.; Wada, Y.; Best, N.; et al. Constraints and potentials of future irrigation water availability on agricultural production under climate change. Proc. Natl. Acad. Sci. 2014, 111, 3239–3244. [Google Scholar] [CrossRef] [PubMed]
- Beck, H.E.; Zimmermann, N.E.; McVicar, T.R.; Vergopolan, N.; Berg, A.; Wood, E.F. Present and future Köppen-Geiger climate classification maps at 1-km resolution. Sci. Data 2018, 5, 180214. [Google Scholar] [CrossRef]
- Lorenc, H. Atlas Klimatu Polski [Climate Atlas of Poland]; IMGiW: Warszawa, Poland, 2005. [Google Scholar]
- Kondracki, J. Geografia Regionalna Polski [Regional Geography of Poland]; PWN: Warszawa, Poland, 2000. [Google Scholar]
- Klimada 2.0. Klimat Scenariusze [Climate Scenarios]. Available online: https://klimada2.ios.gov.pl/klimat-scenariusze-portal/ (accessed on 22 May 2025).
- IPCC. Climate Change 2014: Synthesis Report. Contribution of Working Groups I, II and III to the Fifth Assessment Report of the Intergovernmental Panel on Climate Change; Pachauri, R.K., Meyer, L.A., Eds.; IPCC: Geneva, Switzerland, 2014; p. 151. [Google Scholar]
- Allen, R.G.; Pereira, L.S.; Raes, D.; Smith, M. Crop. Evapotranspiration. Guidelines for Computing Crop Water Requirements; FAO Irrigation and Drainage Paper 56; Food and Agriculture Organization: Rome, Italy, 1998. [Google Scholar]
- Łabędzki, L. Susze rolnicze. Zarys problematyki oraz metody monitorowania i klasyfikacji [Agricultural droughts. Outline of the issues and methods of monitoring and classification]. Woda. Środowisko. Obszary Wiejskie. Rozprawy Naukowe i Monografie [Water Environ. Rural Areas. Sci. Diss. Monogr.] 2006, 17, 1–107. [Google Scholar]
- Treder, W. Racjonalne Nawadnianie Roślin Sadowniczych [Rational Irrigation of Fruit Plants]; Centrum Doradztwa Rolniczego: Brwinów, Polska, 2021. [Google Scholar]
- Żakowicz, S.; Hewelke, P. Podstawy Inżynierii Środowiska [Basics of Environmental Engineering]; SGGW: Warszawa, Poland, 2002. [Google Scholar]
- Tabaszewski, J. Elementy Inżynierii Wodnej [Elements of Water Engineering]; ART: Olsztyn, Poland, 1980. [Google Scholar]
- Trnka, M.; Eitzinger, J.; Semerádová, D.; Hlavinka, P.; Balek, J.; Dubrovský, M.; Kubu, G.; Štěpánek, P.; Thaler, S.; Možný, M.; et al. Expected changes in agroclimatic conditions in Central Europe. Clim. Res. 2011, 108, 261–289. [Google Scholar] [CrossRef]
- Olesen, J.E.; Bindi, M. Consequences of climate change for European agricultural productivity, land use and policy. Eur. J. Agron. 2002, 16, 239–262. [Google Scholar] [CrossRef]
- Okasha, A.M.; Abdelkhaliq, E.T.; Zayton, A.M. Impact of Irrigation Water Quality, Frequency, and Technique on Cabbage Yield, Water Productivity, and Soil Properties in Clay Soil. Egypt. J. Soil Sci. 2025, 65, 961–978. [Google Scholar] [CrossRef]
- Junaid, M.D.; Öztürk, Z.N.; Gökçe, A.F. Exploitation of tolerance to drought stress in carrot (Daucus carota L.): An overview. Stress Biol. 2023, 3, 55. [Google Scholar] [CrossRef]
- Biswas, T.; Bandyopadhyay, P.K.; Nandi, R.; Mukherjee, S.; Kundu, A.; Reddy, P.; Mandal, B.; Kumar, P. Impact of mulching and nutrients on soil water balance and actual evapotranspiration of irrigated winter cabbage (Brassica oleracea var. capitata L.). Agric. Water Manag. 2022, 263, 107456. [Google Scholar] [CrossRef]
- Nyatuame, M.; Ampraw, F.; Owusu-Gyimah, V.; Ibrahim, B.M. Irrigation scheduling and water use efficiency on cabbage yield. Inter. J. Agro. Agric. Res. 2013, 3, 29–35. [Google Scholar]
- Rouphael, Y.; Cardarelli, M.; Schwarz, D.; Franken, P.; Colla, G. Effects of drought on nutrient uptake and assimilation in vegetable crops. In Plant Responses to Drought Stress: From Morphological to Molecular Features; Aroca, R., Ed.; Springer: Berlin/Heidelberg, Germany, 2012; pp. 171–195. [Google Scholar]
- Dysko, J.; Kaniszewski, S. Effect of drip irrigation, N-fertigation and cultivation methods on the yield and quality of carrot. Veg. Crops Res. Bull. 2007, 67, 25. [Google Scholar]
- FAO. Cabbage—Guidelines for the interpretation of crop water requirements. In Crop Water Requirements; Food and Agriculture Organization of the United Nations, FAO Irrigation and Drainage Paper: Rome, Italy, 1992; p. 3. [Google Scholar]
- Doorenbos, J.; Kassam, A.H. Yield Response to Water; FAO Irrigation and Drainage Paper No. 33; FAO: Rome, Italy, 1979. [Google Scholar]
- Guyer, A.; Hibbard, B.E.; Holzkämper, A.; Erb, M.; Robert, C.A. Influence of drought on plant performance through changes in belowground tritrophic interactions. Ecol. Evol. 2018, 8, 6756–6765. [Google Scholar] [CrossRef]
- Daryanto, S.; Wang, L.; Jacinthe, P.A. Global synthesis of drought effects on food legume production. PLoS ONE 2015, 10, e0127401. [Google Scholar] [CrossRef]
- Blum, A. Plant Breeding for Water-Limited Environments; Springer Science & Business Media: New York, NY, USA, 2011. [Google Scholar]
- Łabędzki, L.; Kowalczyk, A.; Kuźniar, A.; Kostuch, M. Ocena niedoborów wody w uprawie kapusty głowiastej białej na Wyżynie Małopolskiej [Assessment of crop water deficits of white cabbage cultivated on the małopolska upland]. Water-Environ.-Rural. Areas 2016, 16, 21–38. [Google Scholar]
- Husnjak, S.; Šimunić, I.; Jungić, D. The climate changes and soil water deficit during the cultivation of potatoes, maize and cabbage in the Virovitica-Podravina and Lika-Senj Counties. Agron. Glas. Glas. Hrvat. Agron. Društva 2023, 85, 183–196. [Google Scholar]
- Geem, K.R.; Lee, Y.J.; Lee, J.; Hong, D.; Kim, G.E.; Sung, J. Role of Carrot (Daucus carota L.) Storage Roots in Drought Stress Adaptation: Hormonal Regulation and Metabolite Accumulation. Metabolites 2025, 15, 56. [Google Scholar] [CrossRef] [PubMed]
- Červenski, J.; Vlajić, S.; Ignjatov, M.; Tamindžić, G.; Zec, S. Agroclimatic conditions for cabbage production. Ratar. Povrt. 2022, 59, 43–50. [Google Scholar] [CrossRef]
- Figas, A.; Rolbiecki, R.; Rolbiecki, S.; Jagosz, B.; Łangowski, A.; Sadan-Ozdemir, H.A.; Pal-Fam, F.; Atilgan, A. Towards water-efficient irrigation of cup plant (Silphium perfoliatum L.) for energy production: Water requirements and rainfall deficit. Sustainability 2024, 16, 5451. [Google Scholar] [CrossRef]
- Rolbiecki, S.; Rolbiecki, R.; Sadan, H.A.; Jagosz, B.; Kasperska-Wołowicz, W.; Kanecka-Geszke, E.; Pal-Fam, F.; Atilgan, A.; Krakowiak-Bal, A.; Kuśmierek-Tomaszewska, R.; et al. Sustainable water management of drip-irrigated asparagus under conditions of central Poland: Evapotranspiration, water needs and rainfall deficits. Sustainability 2024, 16, 966. [Google Scholar] [CrossRef]
- Rolbiecki, S.; Kasperska-Wołowicz, W.; Jagosz, B.; Sadan, H.A.; Rolbiecki, R.; Szczepanek, M.; Kanecka-Geszke, E.; Łangowski, A. Water and irrigation requirements of Glycine max (L.) Merr. in 1981–2020 in central Poland, central Europe. Agronomy 2023, 13, 2429. [Google Scholar] [CrossRef]
- Rolbiecki, S.; Rolbiecki, R.; Kuśmierek-Tomaszewska, R.; Żarski, J.; Jagosz, B.; Kasperska-Wołowicz, W.; Sadan, H.; Łangowski, A. Influence of forecast climate changes on water needs of jerusalem artichoke grown in the Kuyavia region in Poland. Energies 2023, 16, 533. [Google Scholar] [CrossRef]
- Jagosz, B.; Rolbiecki, S.; Rolbiecki, R.; Ptach, W.; Sadan, H.A.; Kasperska-Wolowicz, W.; Pal-Fam, F.; Atilgan, A. Effect of the forecast air temperature change on the water needs of vines in the region of Bydgoszcz, northern Poland. Agronomy 2022, 12, 1561. [Google Scholar] [CrossRef]
- Liberacki, D.; Kocięcka, J.; Stachowski, P.; Rolbiecki, R.; Rolbiecki, S.; Sadan, H.A.; Figas, A.; Jagosz, B.; Wichrowska, D.; Ptach, W.; et al. Water needs of willow (Salix L.) in western Poland. Energies 2022, 15, 484. [Google Scholar] [CrossRef]
- Rolbiecki, S.; Biniak-Pieróg, M.; Żyromski, A.; Kasperska-Wołowicz, W.; Jagosz, B.; Stachowski, P.; Liberacki, D.; Kanecka-Geszke, E.; Sadan, A.H.; Rolbiecki, R.; et al. Effect of forecast climate changes on water needs of giant miscanthus cultivated in the Kuyavia region in Poland. Energies 2021, 14, 6628. [Google Scholar] [CrossRef]
- Stachowski, P.; Jagosz, B.; Rolbiecki, S.; Rolbiecki, R. Predictive capacity of rainfall data to estimate the water needs of fruit plants in water deficit areas. Atmosphere 2021, 12, 550. [Google Scholar] [CrossRef]
- Kaca, E.; Łabędzki, L.; Lubbe, J. Gospodarowanie wodą w rolnictwie w obliczu ekstremalnych zjawisk pogodowych [Agricultural water management in view of extreme weather phenomena]. Postępy Nauk Rolniczych 2011, 1, 37–49. [Google Scholar]
- Durau, B.; Żarski, J. Niedobory opadów atmosferycznych w uprawie kapusty głowiastej białej i marchwi w rejonie Bydgoszczy w latach 1980–2012 [Atmospheric precipitation deficiencies in the white cabbage and carrot cultivation in the region of Bydgoszcz in the years 1981-2010]. Infrastruct. Ecol. Rural Areas 2013, 1, 37–49. [Google Scholar]
- Żarski, J. Tendencje zmian klimatycznych wskaźników potrzeb nawadniania roślin w rejonie Bydgoszczy [Trends in changes of climatic indices for irrigation needs of plants in the region of Bydgoszcz]. Infrastruct. Ecol. Rural Areas 2011, 5, 29–37. [Google Scholar]
- FAO. Coping with Water Scarcity. An Action Framework for Agriculture and Food Security; FAO Water Reports 38; FAO: Rome, Italy, 2012; p. 100. [Google Scholar]
- Geerts, S.; Raes, D. Deficit irrigation as an on-farm strategy to maximize crop water productivity in dry areas. Agric. Water Manag. 2009, 96, 1275–1284. [Google Scholar] [CrossRef]
- Marcinkowski, P.; Piniewski, M.; Okruszko, T. Towards sustainable agricultural water management in Poland–How to meet water demand for supplemental irrigation? Agric. Water Manag. 2024, 306, 109214. [Google Scholar] [CrossRef]
- Jo’rayevich, N.N.; Juraqulovich, A.T. The effect of drip irrigation on the indicators of the root system and aboveground part of the cabbage. Web Agric. 2024, 2, 21–23. [Google Scholar]
- Patra, S.K.; Poddar, R.; Panda, R.; Sarkar, A.; Gaber, A.; Hossain, A. Response of cabbage (Brassica oleracea var. capitata L.) to different frequencies of irrigation and levels of soil fertilization in a non-saline coastal Typic Endoaquept. J. Coast. Conserv. 2024, 28, 6. [Google Scholar] [CrossRef]
- Alibekov, T.J. Use of Resource-Saving Technologies in the Cultivation of White Cabbage. Web Agric. 2023, 1, 1–3. [Google Scholar]
- Kuts, O.; Kokoiko, V.; Mykhailyn, V.; Syromyatnikov, Y.; Zhernova, O. Fertilisation system influence on the main agrochemical indicators of soil and productivity of white cabbage. Sci. Horiz. 2023, 26, 69–79. [Google Scholar] [CrossRef]
- Bute, A.; Iosob, G.A.; Antal-Tremurici, A.; Brezeanu, C.; Brezeanu, P.M.; Cristea, T.O.; Ambăruş, S. The most suitable irrigation methods in cabbage crops (Brassica oleracea L. var. capitata): A review. Sci. Pap. B-Hortic. 2021, 65, 399–405. [Google Scholar]
- Erken, O.K.A.N.; Yildirim, M. Yield and quality compounds of white cabbage (Brassica oleracea L. cv. capitata) under different irrigation levels. J. Agric. Sci. Technol. 2019, 21, 1341–1352. [Google Scholar]
- Seidel, S.J.; Werisch, S.; Schütze, N.; Laber, H. Impact of irrigation on plant growth and development of white cabbage. Agric. Water Manag. 2017, 187, 99–111. [Google Scholar] [CrossRef]
- Kacjan-Maršić, N.; Osvald, J. The effect of fertigation on yield and quality of four white cabbage (Brassica oleracea var. capitata L.) cultivars. Acta Agric. Slov. 2004, 83, 23–29. [Google Scholar] [CrossRef]
- Harasim, E.; Kwiatkowski, C.A.; Buczek, J. Effect of Farming System and Irrigation on Nutrient Content and Health-Promoting Properties of Carrot Roots. Agronomy 2025, 15, 1289. [Google Scholar] [CrossRef]
- Tlig, W.; Mokh, F.E.; Autovino, D.; Iovino, M.; Nagaz, K. Carrot productivity and its physiological response to irrigation methods and regimes in arid regions. Water Supply 2023, 23, 5093–5105. [Google Scholar] [CrossRef]
- Afrin, A.; Islam, M.A.; Hossain, M.M.; Hafiz, M.M.H. Growth and yield of carrot influenced by organic and inorganic fertilizers with irrigation interva: Fertilizer and irrigation affect yield of carrot. J. Bangladesh Agril Univ. 2019, 17, 338–343. [Google Scholar] [CrossRef]
- Carvalho, D.F.D.; Gomes, D.P.; Oliveira Neto, D.H.D.; Guerra, J.G.; Rouws, J.R.; Oliveira, F.L.D. Carrot yield and water-use efficiency under different mulching, organic fertilization and irrigation levels. Rev. Bras. Eng. Agric. Ambient. 2018, 22, 445–450. [Google Scholar] [CrossRef]
- Léllis, B.C.; Carvalho, D.F.; Martínez-Romero, A.; Tarjuelo, J.M.; Domínguez, A. Effective management of irrigation water for carrot under constant and optimized regulated deficit irrigation in Brazil. Agric. Water Manag. 2017, 192, 294–305. [Google Scholar] [CrossRef]
- Carvalho, D.F.D.; Oliveira, D.H.D.; Felix, L.F.; Guerra, J.G.M.; Salvador, C.A. Yield, water use efficiency, and yield response factor in carrot crop under different irrigation depths. Ciênc. Rural 2016, 46, 1145–1150. [Google Scholar] [CrossRef][Green Version]
- Zeipiņa, S.; Alsiņa, I.; Lepse, L. The effect of watering on yield and quality of carrots. Acta Hortic. 2014, 1038, 223–229. [Google Scholar] [CrossRef]
- Sahoo, D.C.; Madhu, M.; Khola, O.P.S. Estimation of evapotranspiration and crop co-efficient of carrot (Daucus carota) for water management using weighing lysimeter. Indian J. Agri. Sci. 2009, 79, 968–971. [Google Scholar]
- Kaniszewski, S.; Knaflewski, M. The results of studies on water requirement and effectiveness of the irrigation of vegetable crops in Poland. In Proceedings of the Conference Water Requirements and Irrigation Effect of Plants Cultivated in Arid and Semiarid Climates, Tel-Aviv, Israel, 5–16 December 1997; Volume II, pp. 103–110. [Google Scholar]
- Ali, A.A. Effect of deficit irrigation during growth stages on water use efficiency of carrot under El-Ismailia conditions. Egypt. J. Soil Sci. 2017, 57, 393–406. [Google Scholar] [CrossRef]
- Beshir, S. Review on estimation of crop water requirement, irrigation frequency and water use efficiency of cabbage production. J. Geosci. Environ. Prot. 2017, 5, 59. [Google Scholar] [CrossRef]
- Kowalczyk, Z.; Kuboń, M. Assessing the impact of water use in conventional and organic carrot production in Poland. Sci. Rep. 2022, 12, 3522. [Google Scholar] [CrossRef]








| County | Statistic | May | June | July | August | September | October |
|---|---|---|---|---|---|---|---|
| Air temperature (°C) | |||||||
| Kraków | Min/Max | 10.4/17.7 | 14.4/22.8 | 16.2/22.4 | 15.1/22.0 | 10.5/16.3 | 6.1/12.7 |
| Mean | 14.1 | 17.5 | 19.1 | 18.4 | 13.9 | 9.0 | |
| Rzeszów | Min/Max | 9.6/17.0 | 14.3/21.5 | 15.4/21.9 | 14.6/22.3 | 10.3/16.3 | 5.7/12.5 |
| Mean | 13.4 | 16.9 | 18.5 | 17.9 | 13.5 | 8.6 | |
| Monthly rainfall (mm) | |||||||
| Kraków | Min/Max | 23.3/302.4 | 4.2/196.8 | 14.2/285.0 | 12.2/185.9 | 6.5/179.8 | 0.1/160.3 |
| Mean | 78.0 | 87.3 | 92.1 | 79.4 | 57.9 | 45.9 | |
| Rzeszów | Min/Max | 9.8/177.0 | 4.8/174.5 | 10.3/233.8 | 4.9/164.5 | 7.7/141.7 | 3.4/182.1 |
| Mean | 73.4 | 81.7 | 91.2 | 69.6 | 57.1 | 44.6 | |
| Month | Crop Coefficient | Empirical Coefficient | |
|---|---|---|---|
| Cabbage | Carrot | ||
| May | 0.50 | 0.40 | 0.21 |
| June | 0.90 | 0.80 | 0.19 |
| July | 1.05 | 1.05 | 0.18 |
| August | 1.05 | 1.05 | 0.17 |
| September | 1.05 | 1.05 | 0.16 |
| October | 0.95 | 0.95 | 0.15 |
| Period | County | May | June | July | August | September | October |
|---|---|---|---|---|---|---|---|
| Standard deviation (mm) | |||||||
| Reference | Kraków | 2.240 | 4.942 | 6.023 | 5.862 | 3.250 | 2.476 |
| Rzeszów | 2.528 | 4.494 | 5.997 | 5.990 | 3.696 | 2.435 | |
| Forecast RCP 4.5 | Kraków | 1.042 | 1.257 | 1.804 | 1.716 | 1.657 | 1.436 |
| Rzeszów | 1.042 | 1.216 | 1.706 | 1.686 | 1.508 | 1.481 | |
| Forecast RCP 8.5 | Kraków | 2.442 | 3.870 | 5.926 | 6.127 | 5.361 | 3.110 |
| Rzeszów | 2.559 | 3.905 | 5.637 | 6.034 | 5.192 | 3.070 | |
| Coefficient of variation (%) | |||||||
| Reference | Kraków | 4.9 | 5.5 | 5.4 | 5.8 | 4.6 | 6.2 |
| Rzeszów | 5.8 | 5.2 | 5.5 | 6.1 | 5.4 | 6.4 | |
| Forecast RCP 4.5 | Kraków | 2.3 | 1.4 | 1.5 | 1.6 | 2.1 | 3.1 |
| Rzeszów | 2.2 | 1.3 | 1.4 | 1.5 | 1.9 | 3.2 | |
| Forecast RCP 8.5 | Kraków | 5.2 | 4.1 | 4.8 | 5.4 | 6.5 | 6.2 |
| Rzeszów | 5.3 | 4.1 | 4.5 | 5.2 | 6.2 | 6.1 | |
| Period | County | May | June | July | August | September | October |
|---|---|---|---|---|---|---|---|
| Standard deviation (mm) | |||||||
| Reference | Kraków | 1.792 | 4.393 | 6.023 | 5.862 | 3.250 | 2.476 |
| Rzeszów | 2.023 | 3.994 | 5.997 | 5.990 | 3.696 | 2.435 | |
| Forecast RCP 4.5 | Kraków | 0.833 | 1.117 | 1.804 | 1.716 | 1.657 | 1.436 |
| Rzeszów | 0.833 | 1.081 | 1.706 | 1.686 | 1.508 | 1.481 | |
| Forecast RCP 8.5 | Kraków | 1.954 | 3.440 | 5.926 | 6.127 | 5.361 | 3.110 |
| Rzeszów | 2.047 | 3.471 | 5.637 | 6.034 | 5.192 | 3.070 | |
| Coefficient of variation (%) | |||||||
| Reference | Kraków | 4.9 | 5.5 | 5.4 | 5.8 | 4.6 | 6.2 |
| Rzeszów | 5.8 | 5.2 | 5.5 | 6.1 | 5.4 | 6.4 | |
| Forecast RCP 4.5 | Kraków | 2.3 | 1.4 | 1.5 | 1.6 | 2.1 | 3.1 |
| Rzeszów | 2.2 | 1.3 | 1.4 | 1.5 | 1.9 | 3.2 | |
| Forecast RCP 8.5 | Kraków | 5.2 | 4.1 | 4.8 | 5.4 | 6.5 | 6.2 |
| Rzeszów | 5.3 | 4.1 | 4.5 | 5.2 | 6.2 | 6.1 | |
| Time Interval | County | Reference Period | Forecast Period | |
|---|---|---|---|---|
| RCP 4.5 | RCP 8.5 | |||
| Trend equations | ||||
| May–October | Kraków | y = 7.2579x + 430.21 | y = 3.3438x + 475.03 | y = 12.195x + 462.52 |
| Rzeszów | y = 8.6431x + 409.19 | y = 3.2671x + 480.87 | y = 11.996x + 468.93 | |
| May–September | Kraków | y = 6.8745x + 391.78 | y = 2.7759x + 431.05 | y = 10.791x + 417.65 |
| Rzeszów | y = 8.0384x + 373.53 | y = 2.6992x + 437.08 | y = 10.64x + 424.25 | |
| June–August | Kraków | y = 6.2139x + 324.37 | y = 1.667x + 311.82 | y = 7.2619x + 301.62 |
| Rzeszów | y = 6.9026x + 309.98 | y = 1.6263x + 316.51 | y = 7.136x + 307.05 | |
| July | Kraków | y = 1.854x + 104.4 | y = 0.6696x + 115.76 | y = 2.6784x + 111.99 |
| Rzeszów | y = 2.0513x + 100.14 | y = 0.6487x + 117.43 | y = 2.5738x + 114.33 | |
| Correlation coefficients | ||||
| May–October | Kraków | 0.706 * | 0.936 *** | 0.993 *** |
| Rzeszów | 0.818 ** | 0.933 *** | 0.993 *** | |
| May–September | Kraków | 0.724 * | 0.930 *** | 0.991 *** |
| Rzeszów | 0.836 ** | 0.930 *** | 0.992 *** | |
| June–August | Kraków | 0.746 * | 0.814 ** | 0.989 *** |
| Rzeszów | 0.833 ** | 0.816 ** | 0.992 *** | |
| July | Kraków | 0.665 ns | 0.802 ** | 0.976 *** |
| Rzeszów | 0.739 * | 0.822 ** | 0.986 *** | |
| Time Interval | County | Reference Period | Forecast Period | |
|---|---|---|---|---|
| RCP 4.5 | RCP 8.5 | |||
| Trend equations | ||||
| May–October | Kraków | y = 6.9183x + 412.4 | y = 3.2197x + 456.35 | y = 11.781x + 444.34 |
| Rzeszów | y = 8.2715x + 392.31 | y = 3.143x + 461.79 | y = 11.571x + 450.37 | |
| May–September | Kraków | y = 6.535x + 373.98 | y = 2.6517x + 412.36 | y = 10.377x + 399.47 |
| Rzeszów | y = 7.6668x + 356.65 | y = 2.5751x + 417.99 | y = 10.215x + 405.69 | |
| June–August | Kraków | y = 5.8744x + 306.57 | y = 1.6242x + 301.9 | y = 7.0644x + 291.99 |
| Rzeszów | y = 6.531x + 293.11 | y = 1.5835x + 306.39 | y = 6.9365x + 297.21 | |
| July | Kraków | y = 1.854x + 104.4 | y = 0.6696x + 115.76 | y = 2.6784x + 111.99 |
| Rzeszów | y = 2.0513x + 100.14 | y = 0.6487x + 117.43 | y = 2.5738x + 114.33 | |
| Correlation coefficients | ||||
| May–October | Kraków | 0.700 * | 0.932 *** | 0.993 *** |
| Rzeszów | 0.813 ** | 0.929 *** | 0.993 *** | |
| May–September | Kraków | 0.719 * | 0.925 *** | 0.991 *** |
| Rzeszów | 0.832 ** | 0.926 *** | 0.992 *** | |
| June–August | Kraków | 0.741 * | 0.817 ** | 0.989 *** |
| Rzeszów | 0.828 ** | 0.819 ** | 0.992 *** | |
| July | Kraków | 0.665 ns | 0.802 ** | 0.976 *** |
| Rzeszów | 0.739 * | 0.821 ** | 0.986 *** | |
| Time Interval | County | Reference Period | Forecast Period | |
|---|---|---|---|---|
| RCP 4.5 | RCP 8.5 | |||
| Cabbage | ||||
| May–October | Kraków | 7.3 | 3.3 | 12.2 |
| Rzeszów | 8.6 | 3.3 | 12.0 | |
| May–September | Kraków | 6.9 | 2.8 | 10.8 |
| Rzeszów | 8.0 | 2.7 | 10.6 | |
| June–August | Kraków | 6.2 | 1.7 | 7.3 |
| Rzeszów | 6.9 | 1.6 | 7.1 | |
| July | Kraków | 1.9 | 0.7 | 2.7 |
| Rzeszów | 2.1 | 0.6 | 2.6 | |
| Carrot | ||||
| May–October | Kraków | 6.9 | 3.2 | 11.8 |
| Rzeszów | 8.3 | 3.1 | 11.6 | |
| May–September | Kraków | 6.5 | 2.6 | 10.4 |
| Rzeszów | 7.7 | 2.6 | 10.2 | |
| June–August | Kraków | 5.9 | 1.6 | 7.1 |
| Rzeszów | 6.5 | 1.6 | 6.9 | |
| July | Kraków | 1.8 | 0.7 | 2.7 |
| Rzeszów | 2.1 | 0.6 | 2.6 | |
| Years | Kraków County | Rzeszów County | ||||||
|---|---|---|---|---|---|---|---|---|
| RCP 4.5 | RCP 8.5 | RCP 4.5 | RCP 8.5 | |||||
| (mm) | (%) | (mm) | (%) | (mm) | (%) | (mm) | (%) | |
| Cabbage | ||||||||
| Normal | 29 | 6 | 52 | 11 | 50 | 11 | 73 | 16 |
| Medium dry | 32 | 57 | 55 | 80 | ||||
| Very dry | 35 | 62 | 60 | 88 | ||||
| Carrot | ||||||||
| Normal | 29 | 7 | 51 | 12 | 49 | 12 | 71 | 17 |
| Medium dry | 32 | 57 | 54 | 78 | ||||
| Very dry | 35 | 62 | 59 | 86 | ||||
| Years | Reference Period | Forecast Period RCP 4.5 | Forecast Period RCP 8.5 | ||||||
|---|---|---|---|---|---|---|---|---|---|
| Light Soil | Medium Soil | Heavy Soil | Light Soil | Medium Soil | Heavy Soil | Light Soil | Medium Soil | Heavy Soil | |
| Kraków County | |||||||||
| Normal | 12.8 | –6.2 | –35.2 | 32.0 | 13.0 | –16.0 | 34.6 | 15.6 | –13.4 |
| Medium dry | 120.7 | 101.7 | 72.7 | 131.2 | 112.2 | 83.2 | 140.1 | 121.1 | 92.1 |
| Very dry | 198.7 | 179.7 | 150.7 | 212.8 | 193.8 | 164.8 | 227.3 | 208.3 | 179.3 |
| Rzeszów County | |||||||||
| Normal | 21.9 | 2.9 | –26.1 | 46.2 | 27.2 | –1.8 | 50.2 | 31.2 | 2.2 |
| Medium dry | 123.1 | 104.1 | 75.1 | 146.0 | 127.0 | 98.0 | 157.3 | 138.3 | 109.3 |
| Very dry | 198.0 | 179.3 | 150.3 | 228.5 | 209.5 | 180.5 | 243.5 | 224.5 | 195.5 |
| Years | Reference Period | Forecast Period RCP 4.5 | Forecast Period RCP 8.5 | ||||||
|---|---|---|---|---|---|---|---|---|---|
| Light Soil | Medium Soil | Heavy Soil | Light Soil | Medium Soil | Heavy Soil | Light Soil | Medium Soil | Heavy Soil | |
| Kraków County | |||||||||
| Normal | 10.1 | –8.9 | –37.9 | 32.0 | 13.0 | –16.0 | 34.6 | 15.6 | –13.4 |
| Medium dry | 109.7 | 90.7 | 61.7 | 120.1 | 101.1 | 72.1 | 128.6 | 109.6 | 80.6 |
| Very dry | 186.3 | 167.3 | 138.3 | 200.7 | 181.7 | 152.7 | 214.8 | 195.8 | 166.8 |
| Rzeszów County | |||||||||
| Normal | 17.2 | –18.0 | –30.8 | 46.2 | 27.2 | –1.8 | 50.2 | 31.2 | 2.2 |
| Medium dry | 112.5 | 93.5 | 64.5 | 134.6 | 115.6 | 86.6 | 145.6 | 126.6 | 97.6 |
| Very dry | 185.7 | 166.7 | 137.7 | 216.1 | 197.1 | 168.1 | 230.7 | 211.7 | 182.7 |
Disclaimer/Publisher’s Note: The statements, opinions and data contained in all publications are solely those of the individual author(s) and contributor(s) and not of MDPI and/or the editor(s). MDPI and/or the editor(s) disclaim responsibility for any injury to people or property resulting from any ideas, methods, instructions or products referred to in the content. |
© 2025 by the authors. Licensee MDPI, Basel, Switzerland. This article is an open access article distributed under the terms and conditions of the Creative Commons Attribution (CC BY) license (https://creativecommons.org/licenses/by/4.0/).
Share and Cite
Rolbiecki, S.; Jagosz, B.; Rolbiecki, R.; Kuśmierek-Tomaszewska, R. Climate-Induced Water Management Challenges for Cabbage and Carrot in Southern Poland. Sustainability 2025, 17, 6975. https://doi.org/10.3390/su17156975
Rolbiecki S, Jagosz B, Rolbiecki R, Kuśmierek-Tomaszewska R. Climate-Induced Water Management Challenges for Cabbage and Carrot in Southern Poland. Sustainability. 2025; 17(15):6975. https://doi.org/10.3390/su17156975
Chicago/Turabian StyleRolbiecki, Stanisław, Barbara Jagosz, Roman Rolbiecki, and Renata Kuśmierek-Tomaszewska. 2025. "Climate-Induced Water Management Challenges for Cabbage and Carrot in Southern Poland" Sustainability 17, no. 15: 6975. https://doi.org/10.3390/su17156975
APA StyleRolbiecki, S., Jagosz, B., Rolbiecki, R., & Kuśmierek-Tomaszewska, R. (2025). Climate-Induced Water Management Challenges for Cabbage and Carrot in Southern Poland. Sustainability, 17(15), 6975. https://doi.org/10.3390/su17156975

