Recovery and Reuse of Nutrients from Hydroponic Effluent in the Context of Circular Agriculture
Abstract
1. Introduction
Agronomic Performance of Beans
2. Materials and Methods
2.1. DCA Saturation
2.2. Characterization of the DCA
2.3. Soil Treatment and Agronomic Performance of Phaseolus vulgaris
2.4. Analysis of Phaseolus vulgaris Seeds
3. Results and Discussion
3.1. DCA Characterization
X-Ray Diffraction (XRD) Component Identification
3.2. Agronomic Performance of Phaseolus vulgaris
3.3. Nutrient Content in Phaseolus vulgaris Seeds
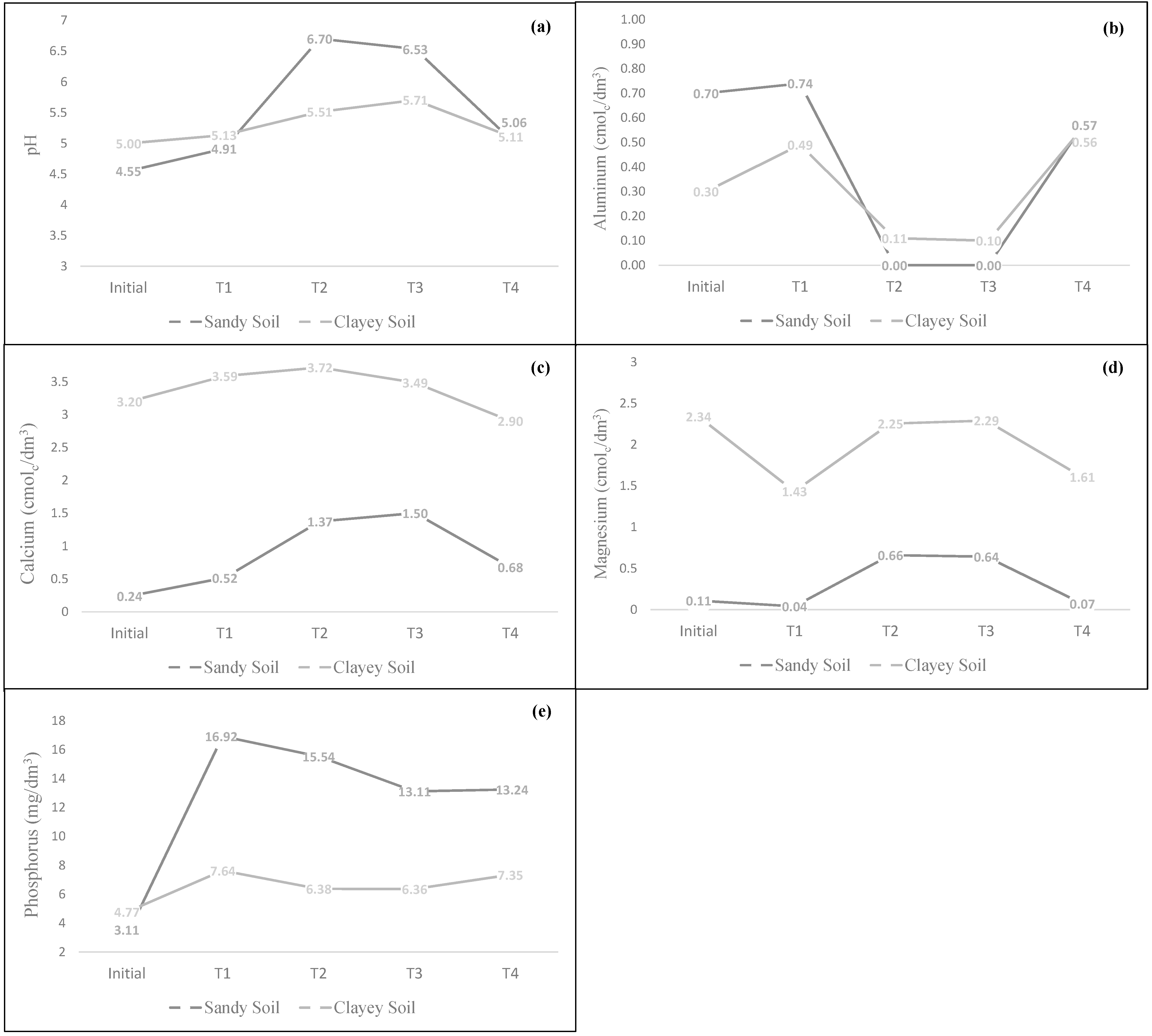
3.4. Soil Chemical Properties During the Experiment
4. Conclusions
Author Contributions
Funding
Institutional Review Board Statement
Informed Consent Statement
Data Availability Statement
Conflicts of Interest
References
- Bacelo, H.; Pintor, M.A.; Santos, S.C.R.; Boaventura, R.A.R.; Botelho, C.M.S. Performance and prospects of different adsorbents for phosphorus uptake and recovery from water. Chem. Eng. J. 2020, 381, 122566. [Google Scholar] [CrossRef]
- Boeykens, S.P.; Piol, M.N.; Samudio Legal, L.; Saralegui, A.B.; Vázquez, C. Eutrophication decrease: Phosphate adsorption processes in presence of nitrates. J. Environ. Manag. 2017, 203, 888–895. [Google Scholar] [CrossRef] [PubMed]
- Jacquemyn, C.; Huysmans, M.; Hunt, D.; Casini, G.; Swennen, R. Multi-scale three-dimensional distribution of fracture- and igneous intrusion-controlled hydrothermal dolomite from digital outcrop model, Latemar platform, Dolomites, northern Italy. AAPG Bull. 2015, 99, 957–984. [Google Scholar] [CrossRef]
- Lloyd, M.K.; Eiler, J.M.; Nabelek, P.I. Clumped isotope thermometry of calcite and dolomite in a contact metamorphic environment. Geochim. Cosmochim. Acta 2017, 197, 323–344. [Google Scholar] [CrossRef]
- Tsirambides, A. Industrial applications of the dolomite from potamia, Thassos Island, N. Aegean Sea, Greece. Mater. Struct. 2001, 34, 110–113. [Google Scholar] [CrossRef]
- Hewlett, P.; Liska, M. Lea’s Chemistry of Cement and Concrete, 5th ed.; Butterworth Heinemann: Oxford, UK, 2019. [Google Scholar]
- Acharya, B. Chapter 10—Cleaning of Product Gas. In Gasification, Biomass Gasification, Pyrolysis and Torrefaction, 3rd ed.; Academic Press: Cambridge, MA, USA, 2018; pp. 373–391. [Google Scholar] [CrossRef]
- Piol, M.N.; Paricoto, M.; Saralegui, A.B.; Basack, S.; Vullo, D.; Boeykens, S.P. Dolomite used in phosphate water treatment: Desorption processes, recovery, reuse and final disposition. J. Environ. Manag. 2019, 237, 359–364. [Google Scholar] [CrossRef] [PubMed]
- Interempresas; Delgado, M.M.; Álvarez, C.; Martínez, S.; Gabriel, J.L. Fertilización de un Cultivo de Haba con Compost Procedente de Residuos Urbanos: Urbabono. 2020. Available online: https://www.interempresas.net/Grandes-cultivos/Articulos/316251-Fertilizacion-de-un-cultivo-de-haba-con-compost-procedente-de-residuos-urbanos-Urbabono.html (accessed on 10 June 2023).
- Koide, S.; Satta, N. Separation Performance of Ion-exchange Membranes for Electrolytes in Drainage Nutrient Solutions subjected to Electrodialysis. Biosyst. Eng. 2004, 87, 89–97. [Google Scholar] [CrossRef]
- Malkawi, S.; Hagare, D.; Maheshwari, B. Phosphorus recovery from hydroponics waste nutrient solution and its economic potential. Resour. Conserv. Recycl. 2024, 209, 107710. [Google Scholar] [CrossRef]
- Gonçalves, B.C.; Mota, D.C.D.; Oliveira, C.M.; Montalvão, M.L.; Santos, A.F.S.; Lopes, E.F. Propriedades físicas de grãos de feijão carioca (Phaseolus vulgaris). In A Produção do Conhecimento nas Ciências Agrárias e Ambientais; Atena: Sao Paulo, Brazil, 2019; Volume 5, pp. 24–28. [Google Scholar] [CrossRef]
- Pinto, J. Propriedades Físicas, Químicas, Nutricionais e Tecnológicas de Feijões (Phaseolus vulgaris L.) de Diferentes Grupos de cor. Master’s Thesis, Coordenação do Programa de Pós-Graduação em Ciência e Tecnologia de Alimentos, da Escola de Agronomia, da Universidade Federal de Goiás, Goiânia, Brasil, 2016. [Google Scholar]
- A.S.T.M.E-11; Standard Specification for Woven Wire Test Sieve Cloth and Test Sieves. ASTM International: West Conshohocken, PA, USA, 2009.
- APHA (American Public Health Association); AWWA (American Water Works Association); WEF (Water Environment Federation). Standard Methods for the Examination of Waters and Wastewaters, 23rd ed.; Rice, E.W., Baird, R., Eaton, A., Clesceri, L., Eds.; American Public Health Association: Washington, DC, USA, 2017. [Google Scholar]
- Ramírez, J.H.; Martínez, O.M.; Fernández, L.M. Remoción de contaminantes en aguas residuales industriales empleando carbón activado de pino pátula. Avances 2013, 10, 42–49. [Google Scholar]
- López, O.; González, E.; De Llamas, P.; Molinas, A.; Franco, S.; García, S.; Ríos, E. Estudio de Reconocimiento de Suelos, Capacidad de uso de la Tierra y Propuesta de Ordenamiento Territorial Preliminar de la Región Oriental del Paraguay; Proyecto de Racionalización del uso de la tierra SSERNMA/MAG/Banco Mundial: Asunción, Paraguay, 1995; p. 246. [Google Scholar]
- Da Silva, F.C. Manual de Análises Químicas de Solos, Plantas e Fertilizantes, 2nd ed.; Embrapa Informação Tecnológica: Brasilia, Brasil, 2009; p. 627. [Google Scholar]
- Legal, L.E.S.; Trinidad, S.A.; Frigo, J.P.; Furtado, A.C. Reuso da dolomita saturada por nutrientes como corretivo em solos agrícolas. Cad. Pedagog. 2023, 20, 1066–1091. [Google Scholar] [CrossRef]
- Quintero, D.R. Interpretación del Análisis de Suelo y Recomendaciones de Fertilizantes Para la Caña de Azúcar; Centro De Investigación De La Caña De Azúcar De Colombia: Florida, Colombia, 1993; p. 20. [Google Scholar]
- Lopes, A.; Silva, M.; Guilherme, L.R. Acidez do Solo e Calagem, 3rd ed.; ANDA: São Paulo, Brazil, 1991; p. 22. [Google Scholar]
- Casaccia, R. Cultivo de la Habilla; Dirección de Investigación Agraria, Ministerio de Agricultura y Ganaderia: Asunción, Paraguay, 1991; p. 12. [Google Scholar]
- Walker, G.M.; Hansen, L.; Hanna, J.A.; Allen, S.J. Kinetics of a reactive dye adsorption onto dolomitic sorbents. Water Res. 2003, 37, 2081–2089. [Google Scholar] [CrossRef] [PubMed]
- Soares, R.A.L.; Do Nascimento, R.M.; Paskocimas, C.A.; Castro, R.J.S. Avaliação da adição de dolomita em massa de cerâmica de revestimento de queima vermelha. Cerâmica 2014, 60, 516–523. [Google Scholar] [CrossRef]
- Espinosa, J.; Molina, E. Acidez y Encalado de los Suelos, 1st ed.; International Plant Nutrition Institute IPNI: Quito, Ecuador, 1999; p. 49. [Google Scholar]
- Salinas, D.; Barreto, S.; Colmán, J.M.; Meza, W.; Recalde, S.; Lezcano, I. Rendimiento de Habilla Negra (Paseolus vulgaris L.) Influenciado por la Aplicación de Fertilizantes Químicos. Cienc. Lat. Rev. Cient. Multidiscip. 2023, 7, 4934–4945. [Google Scholar] [CrossRef]
- Smith, M.R.; Veneklaas, E.; Polania, J.; Rao, I.M.; Beebe, S.E.; Merchant, A. Field drought conditions impact yield but not nutritional quality of the seed in common bean (Phaseolus vulgaris L.). PLoS ONE 2019, 14, e0217099. [Google Scholar] [CrossRef] [PubMed]
- Mesquita, M.A.M.; Silveira, P.M.; Leandro, W.M.; Flores, R.A.; Maranhão, D.D.C. DRIS Standards for nutritional evaluation of Phaseolus vulgaris in Cerrado, Goiás state, Brazil. Aust. J. Crop Sci. 2018, 12, 274–280. [Google Scholar]
- Meneghetti, A.M. Manual de Procedimentos de Amostragem e Análise Química de Plantas, Solo e Fertilizantes; EDUTFPR: Curitiba, Brazil, 2018; p. 252. [Google Scholar]
- Amaral Castro, G.; Costa Crusciol, C. Effects of surface application of dolomitic calcareous and calcium-magnesium silicate on soybean and maize in rotation with green manure in a tropical región. Soil Plant Nutr. 2015, 74, 311–321. [Google Scholar] [CrossRef]
- Assis Pires, A.; Henrique Monnerat, P.; Marciano, C.R.; Da Rocha Pinho, L.; Daré Zampirolli, P.; Castro Carriello Rosa, R.; Almeida Muniz, R. Efeito da adubação alternativa do maracujazeiro amarelo nas características químicas e físicas do solo. Acta Sci. Agron. 2009, 31, 655–660. [Google Scholar] [CrossRef][Green Version]
- Crusciol, C.A.C.; Garcia, R.A.; Castro, G.S.A.; Rosolem, C.A. Nitrate role in basic cation leaching under no-till. Rev. Bras. Ciênc. Solo 2011, 35, 1975–1984. [Google Scholar] [CrossRef]
- Klein, V.A. Física do Solo, 3rd ed.; Universidade de Passo Fundo: São José, Brazil, 2014. [Google Scholar]

Represents calcium and magnesium carbonate: (CaMg(CO3)2.
Represents calcium, magnesium, and iron carbonate: (Ca(Mg,Fe)(CO3)2).
Represents calcium and magnesium carbonate: (CaMg(CO3)2.
Represents calcium, magnesium, and iron carbonate: (Ca(Mg,Fe)(CO3)2).


| Nutrient | P | Ca | Mg | Na | Fe | Zn | Mn |
|---|---|---|---|---|---|---|---|
| Initial concentrations (mg/L) | 2.67 | 100.50 | 30.00 | 4.52 | 4.24 | 0.48 | 0.05 |
| Final concentrations (mg/L) | 0.68 | 80.65 | 30.00 | 4.52 | 4.24 | 0.42 | 0.02 |
| Removal (%) | 74.53 | 19.75 | - | - | - | 12.50 | 60.00 |
| Standard deviation | 0.05 | 1.80 | - | - | - | 1.08 | 3.31 |
| Characteristics | DCA | DCAS | * DCAG |
|---|---|---|---|
| CaO (%) | 37.84 | 38.74 | 31.90 |
| MgO (%) | 12.04 | 12.33 | 18.30 |
| Neutralizing Value (%) | 97.59 | 99.92 | - |
| Particle Size (mm) | 0.053–0.297 | 0.053–0.297 | 2.00 |
| Treatment | Sandy Soil | Clayey Soil | ||||||
|---|---|---|---|---|---|---|---|---|
| Pods (n) | Pod Length (cm) | Seeds/Pod (n) | 100-Seed Weight (g) | Pods (n) | Pod Length (cm) | Seeds/Pod (n) | 100-Seed Weight (g) | |
| T1 (Control) | 2.00 A | 7.62 A | 2.00 A | 24.80 A | 4.60 A | 7.39 A | 2.20 A | 23.60 A |
| T2 (DCA) | 3.00 A | 7.81 A | 2.00 A | 23.80 A | 5.20 A | 7.78 A | 3.00 A | 21.40 A |
| T3 (DCAS) | 3.00 A | 8.05 A | 1.80 A | 24.80 A | 4.00 A | 7.46 A | 3.00 A | 24.00 A |
| T4 (DCAG) | 2.20 A | 7.31 A | 2.00 A | 15.00 B | 4.60 A | 7.32 A | 2.00 A | 23.60 A |
| F CV (%) LSD | 1.18 42.51 1.96 | 0.53 12.35 1.72 | 0.12 33.43 1.18 | 39.01 7.71 3.08 | 1.45 19.75 1.64 | 0.43 9.18 1.24 | 4.61 21.48 0.99 | 0.63 14.39 6.02 |
Disclaimer/Publisher’s Note: The statements, opinions and data contained in all publications are solely those of the individual author(s) and contributor(s) and not of MDPI and/or the editor(s). MDPI and/or the editor(s) disclaim responsibility for any injury to people or property resulting from any ideas, methods, instructions or products referred to in the content. |
© 2025 by the authors. Licensee MDPI, Basel, Switzerland. This article is an open access article distributed under the terms and conditions of the Creative Commons Attribution (CC BY) license (https://creativecommons.org/licenses/by/4.0/).
Share and Cite
Samudio Legal, L.E.; Aguayo Trinidad, S.; Piol, M.N.; Gamarra Alfonso, P.G.; Pires Frigo, J.; Furtado, A.C. Recovery and Reuse of Nutrients from Hydroponic Effluent in the Context of Circular Agriculture. Sustainability 2025, 17, 6045. https://doi.org/10.3390/su17136045
Samudio Legal LE, Aguayo Trinidad S, Piol MN, Gamarra Alfonso PG, Pires Frigo J, Furtado AC. Recovery and Reuse of Nutrients from Hydroponic Effluent in the Context of Circular Agriculture. Sustainability. 2025; 17(13):6045. https://doi.org/10.3390/su17136045
Chicago/Turabian StyleSamudio Legal, Lisa Eliana, Simeón Aguayo Trinidad, María Natalia Piol, Pedro Gabriel Gamarra Alfonso, Jiam Pires Frigo, and Andréia Cristina Furtado. 2025. "Recovery and Reuse of Nutrients from Hydroponic Effluent in the Context of Circular Agriculture" Sustainability 17, no. 13: 6045. https://doi.org/10.3390/su17136045
APA StyleSamudio Legal, L. E., Aguayo Trinidad, S., Piol, M. N., Gamarra Alfonso, P. G., Pires Frigo, J., & Furtado, A. C. (2025). Recovery and Reuse of Nutrients from Hydroponic Effluent in the Context of Circular Agriculture. Sustainability, 17(13), 6045. https://doi.org/10.3390/su17136045

