Regulation and Control Strategy of Highway Transportation Volume in Urban Agglomerations Based on Complex Network
Abstract
1. Introduction
2. Definitions and Theorem
3. Two-Layer Complex Network Model
3.1. Single-Layer Transportation Network Model
3.1.1. Urban Agglomeration Transportation Network Model (GU)
- (1)
 - Adjacency matrix
 
- (2)
 - Basic node weight matrix
 
- (3)
 - Node edge weight matrix
 
3.1.2. Expressway Transportation Network Model (GU)
- (1)
 - Adjacency matrix
 
- (2)
 - Basic node weight matrix
 
- (3)
 - Node edge weight matrix
 
3.2. Two-Layer Complex Network
4. Transportation Volume Regulation Model
4.1. Objective Function and Constraint Conditions
4.1.1. Constraint Conditions of the Upper-Layer Network
4.1.2. Constraint Conditions of the Lower-Layer Network
4.2. Solving Method for the Objective Function
- (1)
 - Objective function analysis
 
- (2)
 - Probability iteration algorithm
 
- (3)
 - Algorithm analysis
 
4.3. Regulation and Correction of Transportation Volume Based on Lower-Layer Constraints
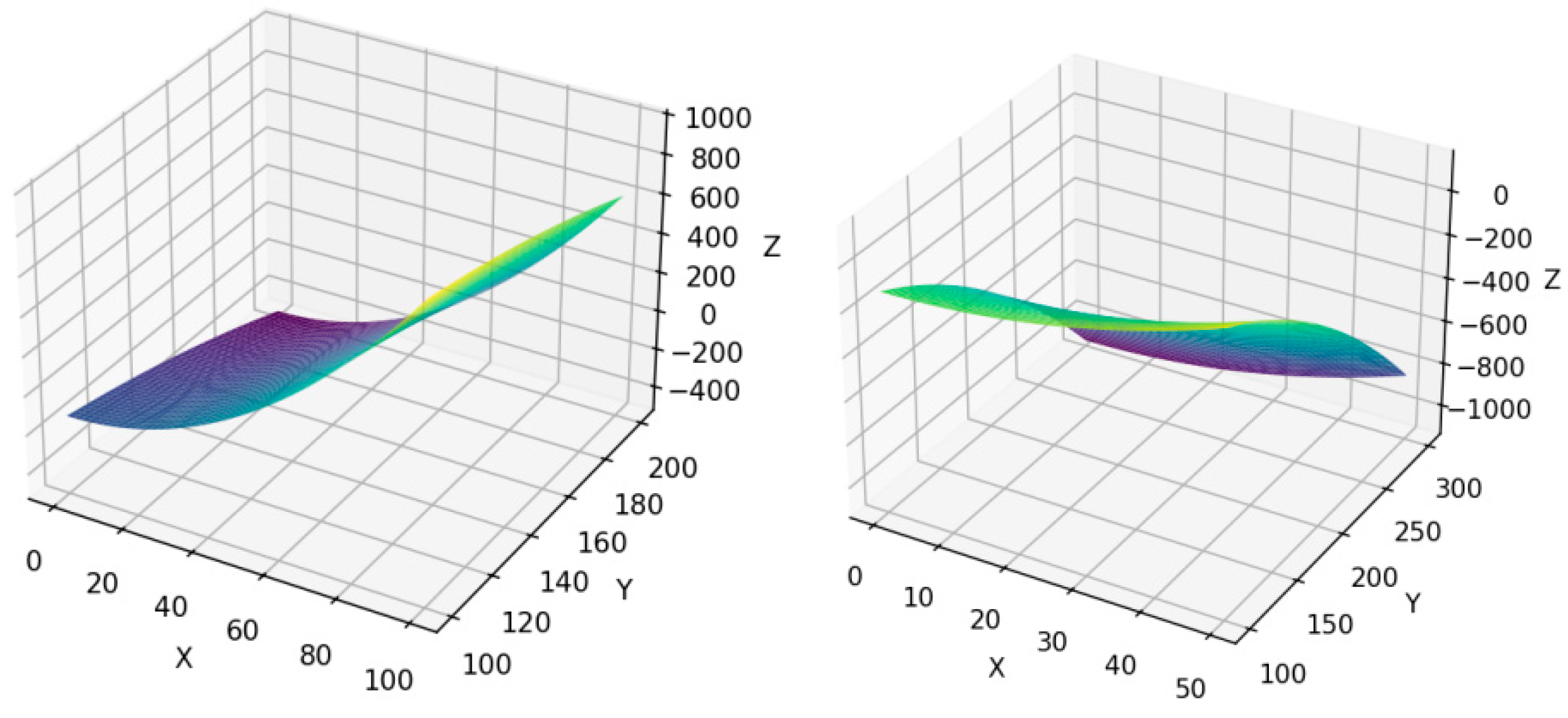
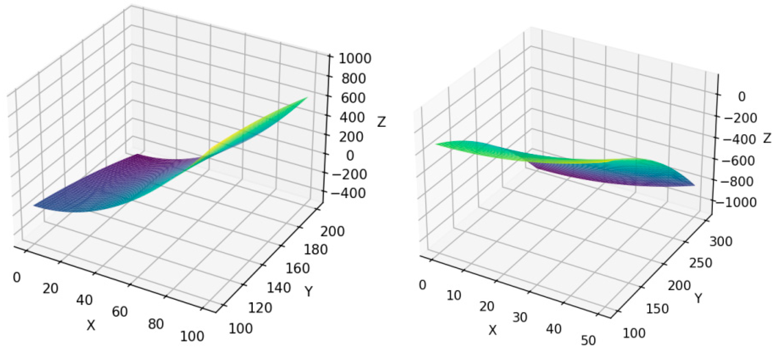
5. Case Analysis and Simulation
5.1. Transportation Volume Allocation Between Cities
5.2. Regulation of Transportation Volume Based on Lower-Layer Constraints
6. Conclusions
6.1. Summary
6.2. Future Research Directions
Author Contributions
Funding
Institutional Review Board Statement
Informed Consent Statement
Data Availability Statement
Acknowledgments
Conflicts of Interest
References
- Wang, S.Q. Regulation Strategy of Coordinated Development and Collaborative Transportation for Urban Agglomeration Based on Highway Transportation. Ph.D. Thesis, Jilin University, Jilin, China, 2024. [Google Scholar]
 - Xiong, G.; Chen, X.; Shuo, N.; Lv, Y.; Zhu, F.; Qu, T.; Ye, P. Collaborative optimization of cyber physical social systems for urban transportation based on knowledge automation. IFAC Pap. 2020, 53, 572–577. [Google Scholar] [CrossRef]
 - Li, F.; Guo, X.; Zhou, L.; Wu, J.; Li, T. A capacity matching model in a collaborative urban public transport system: Integrating passenger and freight transportation. Int. J. Prod. Res. 2022, 60, 6303–6328. [Google Scholar] [CrossRef]
 - Melo, P.C.; Graham, D.J. Transport-induced agglomeration effects: Evidence for US metropolitan areas. Reg. Sci. Policy Pract. 2018, 10, 37–47. [Google Scholar] [CrossRef]
 - Wei, G.; Li, X.; Yu, M.; Lu, G.; Chen, Z. The impact of land transportation integration on service agglomeration in Yangtze river delta urban agglomeration. Sustainability 2022, 14, 12580. [Google Scholar] [CrossRef]
 - Rong, C.H. From Transport Development to Sustainable Transport. China Railw. Sci. 2001, 22, 1–8. [Google Scholar]
 - Wang, S.Q.; Wang, Z.Z. Collaborative Development and Transportation Volume Regulation Strategy for an Urban Agglomeration. Sustainability 2023, 15, 14742. [Google Scholar] [CrossRef]
 - Song, J.T.; Fang, C.L.; Song, D.J. Stability analysis of the spatial structure of Chinese urban agglomeration. Acta Geogr. Sin. 2006, 61, 1311–1325. [Google Scholar]
 - Chang‘an University; China Transportation Communication Information Center. Big Data Analysis Report on China’s Road Freight Operation; People’s Communications Press: Beijing, China, 2022. [Google Scholar]
 - Bie, Y.M.; Ji, Y.T.; Ma, D.F. Multi-Agent Deep Reinforcement Learning Collaborative Traffic Signal Control Method Considering Intersection Heterogeneity. Transp. Res. Part C Emerg. Technol. 2024, 164, 104663. [Google Scholar] [CrossRef]
 - Fang, S.; Yang, L.; Zhao, X.; Wang, W.; Xu, Z.; Wu, G.; Liu, Y.; Qu, X. A Dynamic Transformation Car-Following Model for the Prediction of the Traffic Flow Oscillation. IEEE Intell. Transp. Syst. Mag. 2023, 16, 174–198. [Google Scholar] [CrossRef]
 - Zhang, M.; Li, Z.; Wang, X.; Li, J.; Liu, H.; Zhang, Y. The Mechanisms of the Transportation Land Transfer Impact on Economic Growth: Evidence from China. Land 2022, 11, 236–245. [Google Scholar] [CrossRef]
 - Mamede, F.P.; da Silva, R.F.; de Brito, I., Jr.; Yoshizaki, H.T.Y.; Hino, C.M.; Cugnasca, C.E. Deep Learning and Statistical Models for Forecasting Transportation Demand: A Case Study of Multiple Distribution Centers. Logistics 2023, 7, 58–69. [Google Scholar] [CrossRef]
 - Ghafouri-Azar, M.; Diamond, S.; Bowes, J.; Gholamalizadeh, E. The Sustainable Transport Planning Index: A Tool for the Sustainable Implementation of Public Transportation. Sustain. Dev. 2023, 31, 2656–2677. [Google Scholar] [CrossRef]
 - Wang, Z.; Chu, R.; Zhang, M.; Wang, X.; Luan, S. An improved selective ensemble learning method for highway traffic flow state identification. IEEE Access 2020, 8, 212623–212634. [Google Scholar] [CrossRef]
 - Shi, Q.F.; Yan, X.Y.; Jia, B. Freight Data-Driven Research on Evaluation Indexes for Urban Agglomeration Development Degree. Sustainability 2020, 12, 4589–4611. [Google Scholar] [CrossRef]
 - An, J.; Fu, L.; Hu, M.; Chen, W.; Zhan, J. A novel fuzzy-based convolutional neural network method to traffic flow prediction with uncertain traffic accident information. IEEE Access 2019, 7, 20708–20722. [Google Scholar] [CrossRef]
 - Viljoen, N.M.; Joubert, J.W. Multilayered complex network datasets for three supply chain network archetypes on an urban road grid. Data Brief 2018, 16, 1069–1077. [Google Scholar] [CrossRef] [PubMed]
 - Viljoen, N.M.; Joubert, J.W. The Road most Travelled: The Impact of Urban Road Infrastructure on Supply Chain Network Vulnerability. Netw. Spat. Econ. 2018, 18, 85–113. [Google Scholar] [CrossRef]
 - Choe, T.; Kim, J.; Shin, M.; Kim, K.; Kin, M. Complex disaster response framework to reduce urban disaster vulnerability. Sci. Prog. 2023, 106. [Google Scholar] [CrossRef]
 - Gomes, E.; Abrantes, P.; Banos, A.; Rocha, J.; Buxton, M. Farming under urban pressure: Farmers’ land use and land cover change intentions. Appl. Geogr. 2019, 102, 58–70. [Google Scholar] [CrossRef]
 - Dai, L.; Derudder, B.; Liu, X.J. The evolving structure of the Southeast Asian air transport network through it the lens of complex networks, 1979–2012. J. Transp. Geogr. 2018, 68, 67–77. [Google Scholar] [CrossRef]
 - Pu, H.; Li, Y.Z.; Ma, C.X. Topology analysis of Lanzhou public transport network based on double-layer complex network theory. Phys. A-Stat. Mech. Its Appl. 2022, 592, 126694. [Google Scholar] [CrossRef]
 - Cai, B.; Zeng, L.N.; Wang, Y.P.; Li, H.J.; Hu, Y.M. Community Detection Method Based on Node Density, Degree Centrality, and K-Means Clustering in Complex Network. Entropy 2019, 21, 1145–1161. [Google Scholar] [CrossRef]
 - Wang, X.R.; Tejedor, A.; Wang, Y.; Moreno, Y. Unique super-diffusion induced by directionality in multiplex networks. New J. Phys. 2021, 23, 1–12. [Google Scholar] [CrossRef]
 - Kumar, S.; Mallik, A.; Sengar, S.S. Community detection in complex networks using stacked autoencoders and crow search algorithm. J. Super Comput. 2023, 79, 3329–3356. [Google Scholar] [CrossRef]
 - Yu, A.Q.; Wang, N.; Wu, N. Scale-Free Networks: Characteristics of the Time-Variant Robustness and Vulnerability. IEEE Syst. J. 2021, 15, 4082–4092. [Google Scholar] [CrossRef]
 - Milano, M.; Guzzi, P.H.; Cannataro, M. Design and Implementation of a New Local Alignment Algorithm for Multilayer Networks. Entropy 2022, 24, 1272–1290. [Google Scholar] [CrossRef] [PubMed]
 - Liu, J.F.; Zhang, H.Y.; He, K.; Jiang, S.Y. Multi-objective particle swarm optimization algorithm based on 2018 space division for the unequal-area facility layout problem. Expert Syst. Appl. 2018, 102, 179–192. [Google Scholar] [CrossRef]
 - Abdullah, K.; David, W.C.; Alice, E.S. Multi-objective optimization using genetic algorithms: A tutorial. Reliab. Eng. Syst. Saf. 2006, 91, 992–1007. [Google Scholar]
 - Ruhul, S.; Liang, K.H.; Newton, C. A new multi-objective evolutionary algorithm. Eur. J. Oper. Res. 2002, 140, 12–23. [Google Scholar]
 









| City | YB | JL | CC | SY | BC | 
|---|---|---|---|---|---|
| YB | 0 | 21 | 38 | 12 | 19 | 
| JL | 38 | 0 | 121 | 69 | 35 | 
| CC | 48 | 239 | 0 | 146 | 121 | 
| SY | 16 | 48 | 21 | 0 | 32 | 
| BC | 19 | 32 | 38 | 71 | 0 | 
| Forward Road Segment (A-B) | Reverse Road Segment (B-A) | |||||||
|---|---|---|---|---|---|---|---|---|
| Name | ||||||||
| 0.7 | 0.7 | 0.7 | 0.7 | 0.7 | 0.7 | 0.7 | 0.7 | |
| Current speed | 90 Km/h  | 66 Km/h  | 90 Km/h  | 90 Km/h  | 90 Km/h  | 90 Km/h  | 80 Km/h  | 90 Km/h  | 
| Estimated cars | 38 | 130 | 86 | 45 | 73 | 68 | 110 | 61 | 
| New cars | 90 | 225 | 267 | 32 | 171 | 112 | 287 | 64 | 
| Estimated | 0.32 | 0.82 | 0.82 | 0 | 0.69 | 0.54 | 0.86 | 0.29 | 
| Regulation | No | Yes | Yes | No | No | No | Yes | No | 
| Regulated volume | 0 | −105 | −103 | 0 | 0 | 0 | −147 | 0 | 
Disclaimer/Publisher’s Note: The statements, opinions and data contained in all publications are solely those of the individual author(s) and contributor(s) and not of MDPI and/or the editor(s). MDPI and/or the editor(s) disclaim responsibility for any injury to people or property resulting from any ideas, methods, instructions or products referred to in the content.  | 
© 2025 by the authors. Licensee MDPI, Basel, Switzerland. This article is an open access article distributed under the terms and conditions of the Creative Commons Attribution (CC BY) license (https://creativecommons.org/licenses/by/4.0/).
Share and Cite
Wang, S.; Wang, Z. Regulation and Control Strategy of Highway Transportation Volume in Urban Agglomerations Based on Complex Network. Sustainability 2025, 17, 5769. https://doi.org/10.3390/su17135769
Wang S, Wang Z. Regulation and Control Strategy of Highway Transportation Volume in Urban Agglomerations Based on Complex Network. Sustainability. 2025; 17(13):5769. https://doi.org/10.3390/su17135769
Chicago/Turabian StyleWang, Shuoqi, and Zhanzhong Wang. 2025. "Regulation and Control Strategy of Highway Transportation Volume in Urban Agglomerations Based on Complex Network" Sustainability 17, no. 13: 5769. https://doi.org/10.3390/su17135769
APA StyleWang, S., & Wang, Z. (2025). Regulation and Control Strategy of Highway Transportation Volume in Urban Agglomerations Based on Complex Network. Sustainability, 17(13), 5769. https://doi.org/10.3390/su17135769
        
