Spatial Perception Differences in Mountain City Park for Youth Experience: A Case Study of Parks in Yuzhong District, Chongqing
Abstract
1. Introduction
2. Materials and Methods
2.1. Research Content
2.2. Study Area
2.3. Participants and Study Design
2.4. Spatial Measures
2.5. Perception Measures
2.6. Statistical Analyses
3. Results
3.1. Subjective Evaluation Statistics of Five Types of Gathering Spaces and Principal Component Analysis of Visual and Acoustic Perception Factors
3.2. Construction of Core Influencing Factors of Audiovisual Perception and Their Relationship with Environmental Satisfaction
3.3. Model Training and Tuning of RF Model for the Five Types of Gathering Spaces
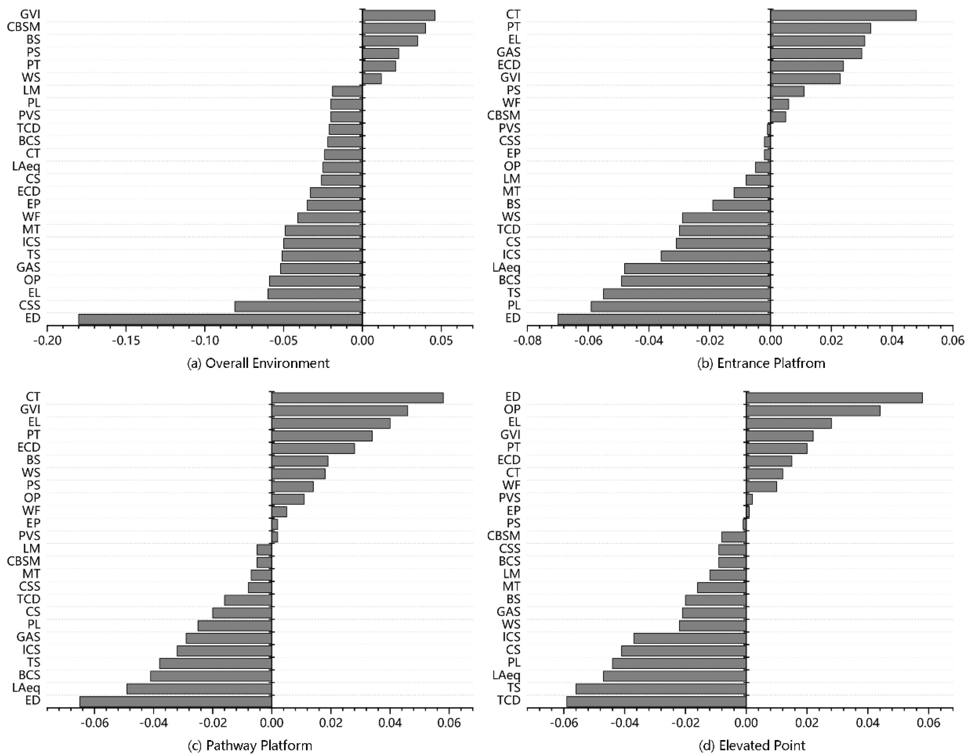
3.4. Variable Importance Ranking and the Relationship Between Spatial Elements and Quality Assessment
4. Discussion
4.1. Main Components of Audiovisual Perception
4.2. Impact of Spatial Elements on Satisfaction
4.3. Strategies for Enhancing the Audiovisual Environment in Mountain City Parks
4.4. Limitations and Further Study
5. Conclusions
Author Contributions
Funding
Institutional Review Board Statement
Informed Consent Statement
Data Availability Statement
Conflicts of Interest
References
- Wen, A.; Tang, Q.; Ouyang, C.; Zhu, B.; Wang, Y.; Li, A.; Li, S.; Zhu, W.; Liu, L. Mountain protection and mountain development in China: Review and prospect. Bull. Chin. Acad. Sci. 2023, 38, 376–384. [Google Scholar]
- Chen, Z.; Sheng, Y.; Luo, D.; Huang, Y.; Huang, J.; Zhu, Z.; Yao, X.; Fu, W.; Dong, J.; Lan, Y. Landscape characteristics in mountain parks across different urban gradients and their relationship with public response. Forests 2023, 14, 2406. [Google Scholar] [CrossRef]
- Gong, C.; Hu, C.J. Community Public Space Planning Based on Multiple Social Functions of Green Infrastructures. J. Chin. Urban For. 2021, 19, 12–18. [Google Scholar]
- Hodor, K.; Dai, D. Urban sustainability through innovative open space design: A novel approach to the regeneration of historic open spaces in some Eastern European countries and China. Earth 2021, 2, 405–423. [Google Scholar] [CrossRef]
- Cheng, X.; Van Damme, S.; Uyttenhove, P. Assessing the Impact of Park Renovations on Cultural Ecosystem Services. Land 2022, 11, 610. [Google Scholar] [CrossRef]
- Xiong, X.; Zhang, Y.; Li, H.; Wang, T. Urban renewal and human-centered development in mountainous historical parks: Balancing heritage conservation and sustainability. J. Urban Plan. Dev. 2023, 149, 04523011. [Google Scholar] [CrossRef]
- Ballantyne, R.; Hughes, K.; Moscardo, G. Sustainable tourism development in urban parks: The role of human-centered design in enhancing visitor experiences. Sustainability 2023, 15, 12345. [Google Scholar]
- Kabisch, N.; Püffel, C.; Masztalerz, O.; Hemmerling, J.; Kraemer, R. Physiological and psychological effects of visits to different urban green and street environments in older people: A field experiment in a dense inner-city area. Landsc. Urban Plan. 2021, 207, 103998. [Google Scholar] [CrossRef]
- Yu, C.; Lee, H.; Luo, X. The effect of virtual reality forest and urban environments on physiological and psychological responses. Urban For. Urban Green. 2022, 35, 106–114. [Google Scholar] [CrossRef]
- Alcock, I.; White, M.P.; Wheeler, B.W.; Fleming, L.E.; Depledge, M.H. Longitudinal effects on mental health of moving to greener and less green urban areas. Environ. Sci. Technol. 2014, 48, 1247–1255. [Google Scholar] [CrossRef]
- Ulrich, R.S.; Simons, R.F.; Losito, B.D.; Fiorito, E.; Miles, M.A.; Zelson, M. Stress recovery during exposure to natural and urban environments. J. Environ. Psychol. 1991, 11, 201–230. [Google Scholar] [CrossRef]
- Twohig-Bennett, C.; Jones, A. The health benefits of the great outdoors: A systematic review and meta-analysis of greenspace exposure and health outcomes. Environ. Res. 2018, 166, 628–637. [Google Scholar] [CrossRef] [PubMed]
- Suligowski, D.; Habel, J.; Wetzel, F.T.; Ulrich, W.; Mönkkönen, M. Biodiversity preservation and human well-being: A long-term perspective for sustainable cities. Sustainability 2021, 13, 492. [Google Scholar] [CrossRef]
- Ye, L.; Wang, A.; Wang, X.H.; Han, G.; Yang, Z.; Mai, Y. Research Progress on Urban Park Evaluation Tools of North America Based on the Youth-friendly Perspective. Landsc. Archit. Acad. J. 2023, 40, 42–51. [Google Scholar]
- Wang, S.; Xu, Y.; Yang, X.; Zhang, Y.; Yan, P.; Jiang, Y.; Wang, K. Urban cultural heritage is mentally restorative: An experimental study based on multiple psychophysiological measures. Front. Psychol. 2023, 14, 1132052. [Google Scholar] [CrossRef]
- Fekete, A. Vistas, Views, Prospects. Research and Design. In Proceedings of the Fábos Conference on Landscape and Greenway Planning, Amherst, MA, USA, 28–30 March 2019; Available online: https://scholarworks.umass.edu/fabos/vol6/iss1/53 (accessed on 23 March 2019).
- Padial-Ruz, R.; Puga-González, M.E.; Céspedes-Jiménez, Á.; Cabello-Manrique, D. Determining factors in the use of urban parks that influence the practice of physical activity in children: A systematic review. Int. J. Environ. Res. Public Health 2021, 18, 3648. [Google Scholar] [CrossRef]
- Schnall, S. Social and contextual constraints on embodied perception. Perspect. Psychol. Sci. 2017, 12, 325–340. [Google Scholar] [CrossRef]
- Liu, J.; Wang, Y.; Zimmer, C.; Kang, J.; Yu, T. Factors Associated with Soundscape Experiences in Urban Green Spaces: A Case Study in Rostock, Germany. Urban For. Urban Green. 2019, 37, 135–146. [Google Scholar] [CrossRef]
- Xiang, Y.; Hedblom, M.; Wang, S.; Qiu, L.; Gao, T. Indicator selection combining audio and visual perception of urban green spaces. Ecol. Indic. 2022, 137, 108772. [Google Scholar] [CrossRef]
- Kang, J.; Aletta, F.; Gjestland, T.T.; Brown, L.A.; Botteldooren, D.; Schulte-Fortkamp, B.; Lercher, P.; van Kamp, I.; Genuit, K.; Fiebig, A.; et al. Ten questions on the soundscapes of the built environment. Build. Environ. 2016, 108, 284–294. [Google Scholar] [CrossRef]
- Jeon, J.Y.; Hong, J.Y. Classification of urban park soundscapes through perceptions of the acoustical environments. Landsc. Urban Plan. 2015, 141, 100–111. [Google Scholar] [CrossRef]
- Guo, Y.; Wang, K.; Zhang, H.; Jiang, Z. Soundscape Perception Preference in an Urban Forest Park: Evidence from Moon Island Forest Park in Lu’an City. Sustainability 2022, 14, 16132. [Google Scholar] [CrossRef]
- Moorthy, A.K.; Wang, Z.; Bovik, A.C. Visual perception and quality assessment. Opt. Digit. Image Process. Fundam. Appl. 2011, 19, 419–439. [Google Scholar]
- He, M.H.; Xie, H.; He, Y.; Luo, J. Study on sound environment optimization strategies in historical districts of mountain cities. Noise Vib. Control 2023, 43, 208–215. [Google Scholar]
- Jin, T.; Lu, J.; Shao, Y. Exploring the Impact of Visual and Aural Elements in Urban Parks on Human Behavior and Emotional Responses. Land 2024, 13, 1468. [Google Scholar] [CrossRef]
- Gan, Y.; Zheng, Y.; Zhang, L. Audio-visual analysis of visitors’ landscape preference for city parks: A case study from Zhangzhou, China. Forests 2022, 13, 1376. [Google Scholar] [CrossRef]
- Dai, D.; Bo, M.; Zhou, Y. How do the young perceive urban parks? A study on young adults’ landscape preferences and health benefits in urban parks based on the landscape perception model. Int. J. Environ. Res. Public Health 2022, 19, 14736. [Google Scholar] [CrossRef]
- Münzinger, M.; Prechtel, N.; Behnisch, M. Mapping the urban forest in detail: From LiDAR point clouds to 3D tree models. Urban For. Urban Green. 2022, 74, 127637. [Google Scholar] [CrossRef]
- Miao, S.; Zhang, X.; Han, Y.; Sun, W.; Liu, C.; Yin, S. Random Forest Algorithm for the Relationship between Negative Air Ions and Environmental Factors in an Urban Park. Atmosphere 2018, 9, 463. [Google Scholar] [CrossRef]
- Badshah, M.T.; Hussain, K.; Rehman, A.U.; Mehmood, K.; Muhammad, B.; Wiarta, R.; Silamon, R.F.; Khan, M.A.; Meng, J. The role of random forest and Markov chain models in understanding metropolitan urban growth trajectory. Front. For. Glob. Chang. 2024, 7, 1345047. [Google Scholar] [CrossRef]
- Wang, J.; Liu, N.; Zou, J.; Guo, Y.; Chen, H. The health perception of urban green spaces and its emotional impact on young adults: An empirical study from three cities in China. Front. Public Health 2023, 11, 1232216. [Google Scholar] [CrossRef] [PubMed]
- Zhang, W.Q.; Du, C.L.; Hu, J.Q. Perceptual interaction: The cultural image activation of park renewal in a mountainous city. Chin. Landsc. Archit. 2021, 37, 63–68. [Google Scholar]
- Hu, C.J.; Gong, C.; Long, H.; Yang, X.Y. Coordination and preference: Research on the audio-visual perception of young people of gathering space in mountain city parks. Landsc. Archit. 2024, 31, 20–29. [Google Scholar] [CrossRef]
- Paraskevopoulou, A.; Klados, A.; Malesios, C. Historical public parks: Investigating contemporary visitor needs. Sustainability 2020, 12, 9976. [Google Scholar] [CrossRef]
- Xiao, J.; Zhang, Q.Q.; Zhang, R.Z.; Cao, K. Multi-scale Analysis and Dual-system Identification about the Heritage Values of Historic Urban Parks from the “City-Park Correlating” Perspective—A Case Study of Eling Park in Chongqing. Chin. Landsc. Archit. 2022, 38, 56–61. [Google Scholar]
- Xiao, J.; Zhong, H.J.; Jiang, J.R.; Cao, K. Recognition, Construction and Preservation & Renewal Applications of the “Sites of Memory” of Historic Urban Public Parks: A Case Study of Pipa Mountain Park in Chongqing. Tradit. Chin. Archit. Gard. 2023, 4, 111–117. [Google Scholar]
- Ruotolo, F.; Rapuano, M.; Masullo, M.; Maffei, L.; Ruggiero, G.; Iachini, T. Well-being and multisensory urban parks at different ages: The role of interoception and audiovisual perception. J. Environ. Psychol. 2024, 93, 102219. [Google Scholar] [CrossRef]
- Grahn, P.; Stigsdotter, U.K. The relation between perceived sensory dimensions of urban green space and stress restoration. Landsc. Urban Plan. 2010, 94, 264–275. [Google Scholar] [CrossRef]
- Grahn, P. Landscapes in our minds: People’s choice of recreative places in towns. Landsc. Res. 1991, 16, 11–19. [Google Scholar] [CrossRef]
- Kyttä, M.; Kahila, M. The perceived quality factors of the environment and their ecoefficient accessibility. For. Trees Hum. Health Well-Being 2005, 2005, 337–351. [Google Scholar]
- Stoltz, J.; Grahn, P. Perceived Sensory Dimensions: An Evidence-based Approach to Greenspace Aesthetics. Urban For. Urban Green. 2021, 59, 126989. [Google Scholar] [CrossRef]
- Yang, L.; Yang, P.; Chen, L. Equity quantitative evaluation of urban park green space supply: A case study of the central urban area of Chongqing. Chin. Landsc. Archit. 2020, 36, 108–112. [Google Scholar]
- Hu, C.J.; Gong, C.; Wang, R.J. Ecological Benefits of Green Volume in Historical Blocks Based on Dual Contrast Analysis. J. Chin. Urban For. 2023, 21, 103–113. [Google Scholar]
- Liu, J.; Kang, J.; Behm, H.; Luo, T. Effects of landscape on soundscape perception: Soundwalks in city parks. Landsc. Urban Plan. 2014, 123, 30–40. [Google Scholar] [CrossRef]
- Kang, J. Noise Management: Soundscape Approach. In Encyclopedia of Environmental Health; Elsevier: Amsterdam, The Netherlands, 2011; pp. 174–184. [Google Scholar] [CrossRef]
- Axelsson, Ö.; Nilsson, M.E.; Berglund, B. A principal components model of soundscape perception. J. Acoust. Soc. Am. 2010, 128, 2836–2846. [Google Scholar] [CrossRef]
- Axelsson, Ö. How to measure soundscape quality. In Proceedings of the Inter-Noise 2015—44th International Congress and Exposition on Noise Control Engineering, Maastricht, The Netherlands, 31 May–3 June 2015; pp. 2825–2829. Available online: https://www.semanticscholar.org/paper/How-to-measure-soundscape-quality-Axelsson/759502a4766fe9ba53443d5c43fb003fd237f2c0 (accessed on 22 August 2018).
- Xie, H.; He, Y.; Liu, C. The Renewal Design Strategy of Historical District Integrated with the Soundscape Intervention: A Case Study of Danzishi Historical District in Chongqing. Mod. Urban Res. 2021, 38, 55–62. [Google Scholar]
- Li, H.; Xie, H.; Woodward, G. Soundscape components, perceptions, and EEG reactions in typical mountainous urban parks. Urban For. Urban Green. 2021, 64, 127269. [Google Scholar] [CrossRef]
- ISO/TS 12913-2:2018; Acoustics—Soundscape—Part 2: Data Collection and Reporting Requirements. BSI Standards Publication: Geneva, Switzerland, 2018. Available online: https://www.iso.org/standard/75267.html (accessed on 9 August 2015).
- Xie, H.; Li, H.; Kang, J. Preliminary exploration of soundscapes in traditional historical districts of mountain cities: A case study of Ciqikou Ancient Town, Chongqing. New Archit. 2014, 5, 52–55. [Google Scholar]
- Breiman, L. Random Forests. Mach. Learn. 2001, 45, 5–32. [Google Scholar] [CrossRef]
- Zhao, J.; Cao, Y. Review of Artificial Intelligence Methods in Landscape Architecture. Chin. Landsc. Archit. 2020, 36, 82–87. [Google Scholar] [CrossRef]
- White, M.P.; Elliott, L.R.; Grellier, J.; Economou, T.; Bell, S.; Bratman, G.N.; Cirach, M.; Gascon, M.; Lima, M.L.; Lõhmus, M.; et al. Associations between green/blue spaces and mental health across 18 countries. Sci. Rep. 2021, 11, 8903. [Google Scholar] [CrossRef] [PubMed]
- Korpela, K.; Savonen, E.M.; Anttila, S.; Pasanen, T.; Ratcliffe, E. Enhancing wellbeing with psychological tasks along forest trails. Urban For. Urban Green. 2017, 26, 25–30. [Google Scholar] [CrossRef]
- Huang, Y.; Lin, X.; Lin, S.; Chen, Z.; Fu, W.; Wang, M.; Dong, J. Pocket Parks: A New Approach to Improving the Psychological and Physical Health of Recreationists. Forests 2023, 14, 1983. [Google Scholar] [CrossRef]
- Zhang, F.; Sun, X.; Liu, C.; Qiu, B. Effects of Urban Landmark Landscapes on Residents’ Place Identity: The Moderating Role of Residence Duration. Sustainability 2024, 16, 761. [Google Scholar] [CrossRef]
- Li, K.; Zhai, Y.; Dou, L.; Liu, J. A preliminary exploration of landscape preferences based on naturalness and visual openness for college students with different moods. Front. Psychol. 2021, 12, 629650. [Google Scholar] [CrossRef]
- Zeng, C.; Lin, W.; Li, N.; Wen, Y.; Wang, Y.; Jiang, W.; Zhang, J.; Zhong, H.; Chen, X.; Luo, W.; et al. Electroencephalography (EEG)-Based Neural Emotional Response to the Vegetation Density and Integrated Sound Environment in a Green Space. Forests 2021, 12, 1380. [Google Scholar] [CrossRef]
- Fan, S.; Huang, J.; Gao, C.; Liu, Y.; Zhao, S.; Fang, W.; Ran, C.; Jin, J.; Fu, W. The Characteristics of Visitor Behavior and Driving Factors in Urban Mountain Parks: A Case Study of Fuzhou, China. Forests 2024, 15, 1519. [Google Scholar] [CrossRef]
- Zhang, C.; Chen, Y.; Dewancker, B.J.; Shentu, C.; Tian, H.; Liu, Y.; Wan, J.; Zhang, X.; Li, J. Emotional Landscapes in Urban Design: Analyzing Color Emotional Responses of the Elderly to Community Outdoor Spaces in Yi Jie Qu. Buildings 2024, 14, 793. [Google Scholar] [CrossRef]
- Liu, L.; Qu, H.; Ma, Y.; Wang, K.; Qu, H. Restorative benefits of urban green space: Physiological, psychological restoration and eye movement analysis. J. Environ. Manag. 2022, 301, 113930. [Google Scholar] [CrossRef]
- Bjerke, T.; Østdahl, T.; Thrane, C.; Strumse, E. Vegetation density of urban parks and perceived appropriateness for recreation. Urban For. Urban Green. 2006, 5, 35–44. [Google Scholar] [CrossRef]
- Tyrväinen, L.; Ojala, A.; Korpela, K.; Lanki, T.; Tsunetsugu, Y.; Kagawa, T. The influence of urban green environments on stress relief measures: A field experiment. J. Environ. Psychol. 2014, 38, 1–9. [Google Scholar] [CrossRef]







| Hierarchy | Category | Description | Calculation Method * |
|---|---|---|---|
| Visual Landscape | Water feature (WF) | Presence of water feature | N.A. |
| Green view index (GVI) | percentage of greenery pixels () of the street view image | ||
| Plant species (PS) | Number of plant species | ||
| Plant stratification (PT) | Number of plant strata | ||
| Eaves canopy density (ECD) | Percentage of eaves canopy pixels () of the street view image | ||
| Tree Canopy density (TCD) | Percentage of tree canopies pixels () of the street view image | ||
| Openness (OP) | Percentage of prospect view pixels () of the street view image | ||
| Panoramic viewing space (PVS) | Presence of panoramic viewing space | N.A. | |
| Elevated point (EP) | Presence of vantage point | N.A. | |
| Entrance links (EL) | Number of primary () and secondary () entrance links | ||
| Path length (PL) | The total length of all paths from the entrance | ||
| Elevation drop (ED) | The elevation drop gradient near the adjacent platform. | ||
| Colour types (CT) | Number of colours | ||
| Material types (MT) | Number of material types | ||
| Landmarks (LM) | Presence of landmarks | N.A. | |
| Cultural buildings/sculptures/monuments (CBSM) | Presence of cultural buildings/sculptures/monuments | N.A. | |
| Soundscape | LAeq | A-weighted equivalent sound level | N.A. |
| Water sound (WS) | Average percentage of water sound () duration in the recorded segment | ||
| Birdsong sound (BS) | Average percentage of birdsong sound duration () in the recorded segment | ||
| Insect chirping sound (ICS) | Average percentage of insect chirping sound duration () in the recorded segment | ||
| Traffic sound (TS) | Average percentage of vehicle/ship/aircraft sound duration () in the recorded segment | ||
| Broadcast sound (BCS) | Average percentage of broadcast sound duration () in the recorded segment | ||
| Conversation sound (CS) | Average percentage of conversation sound duration () in the recorded segment | ||
| Group activity sound (GAS) | Average percentage of group activity sound duration sound () in the recorded segment | ||
| Construction sound (CSS) | Average percentage of construction sound duration () in the recorded segment |
| Dimensions | Indicator | Definition |
|---|---|---|
| Visual perception indicators | Aesthetics (BE) [42] | The visual environment possesses certain aesthetic qualities. |
| Refuge (SR) [20,39] * | The mountain environment is safe for walking and personal safety. | |
| Social (SE) [20,39] | The environment promotes people–environment and people–people socialisation. | |
| Comfort (AL) [11] | The visual environment offers a degree of comfort. | |
| Naturalness (NP) [41] * | The high proportion of natural elements in multi-elevation visual landscapes | |
| Accessibility (AP) [34,43] * | Pathway connections in mountainous areas are numerous and easily identifiable, with proximity to entrances and exits. | |
| Diversity (DL) [39] * | The mountainous visual environment is characterised by rich multi-level layering and diverse land use. | |
| Openness (SP) [41] * | The mountainous visual environment effectively creates open and panoramic spaces. | |
| Serviceability (FP) [37] | The environment provides adequate service facilities. | |
| Orderliness (LO) [39] * | The spatial organisation of mountainous streets is orderly and of an appropriate scale. | |
| Cultural (CS) [20,50] * | The environment contains historical buildings and structures, historical information, and intangible cultural elements. | |
| Recognisability (IE) [34,37] | The space exhibits a certain level of recognisability and memorable features. | |
| Auditory perception indicators | Pleasant (PA) [21,51] | The acoustic environment is pleasant. |
| Annoying (AE) [51] | The sound environment is irritating. | |
| Calm (QP) [51] | The sound environment is quiet and serene. | |
| Chaotic (CD) [39,51] | The sound environment is chaotic. | |
| Vibrant (VE) [47] | The sound environment is full of life and vigour. | |
| Monotonous (MB) [51] | The sound environment is monotonous and boring. | |
| Eventful (ES) [48,51] * | The acoustic environment is characterised by important events (including historical mountain scenes and industry-specific sounds). | |
| Uneventful (UA) [48,51] | The sound environment is eventless. | |
| Acoustic naturalness (NP) [40] * | The high proportion of natural sounds in multi-elevation environmental soundscapes | |
| Acoustic diversity (DL) [39,52] * | The mountain stereo sound environment is diverse and rich, not monotonous or redundant | |
| Overall perception indicators | Visual environment satisfaction (VES) [20] | Overall perception and evaluation of visual elements. |
| Acoustic environment satisfaction (AES) [20] | Overall perception and evaluation of auditory elements. | |
| Comprehensive environmental satisfaction (CES) [34] | The overall satisfaction of users with historic environments. |
| Space Type | Data Set | RSME | MAE | MBE | R2 |
|---|---|---|---|---|---|
| Overall | Training set | 0.615 | 0.463 | 0.007 | 0.822 |
| Test set | 0.790 | 0.586 | −0.020 | 0.833 | |
| Entrance Platform | Training set | 1.043 | 0.801 | −0.003 | 0.592 |
| Test set | 1.201 | 0.941 | −0.516 | 0.406 | |
| Pathway Platform | Training set | 0.904 | 0.681 | −0.011 | 0.735 |
| Test set | 1.108 | 0.825 | −0.452 | 0.647 | |
| Key Node | Training set | 0.791 | 0.622 | −0.005 | 0.648 |
| Test set | 1.053 | 0.828 | −0.118 | 0.256 | |
| Boundary | Training set | 0.797 | 0.641 | −0.007 | 0.724 |
| Test set | 1.002 | 0.837 | 0.424 | 0.199 | |
| Elevated Point | Training set | 0.992 | 0.821 | 0.009 | 0.666 |
| Test set | 0.986 | 0.844 | 0.437 | 0.653 |
Disclaimer/Publisher’s Note: The statements, opinions and data contained in all publications are solely those of the individual author(s) and contributor(s) and not of MDPI and/or the editor(s). MDPI and/or the editor(s) disclaim responsibility for any injury to people or property resulting from any ideas, methods, instructions or products referred to in the content. |
© 2025 by the authors. Licensee MDPI, Basel, Switzerland. This article is an open access article distributed under the terms and conditions of the Creative Commons Attribution (CC BY) license (https://creativecommons.org/licenses/by/4.0/).
Share and Cite
Gong, C.; Yang, X.; Hu, C.; Gao, X. Spatial Perception Differences in Mountain City Park for Youth Experience: A Case Study of Parks in Yuzhong District, Chongqing. Sustainability 2025, 17, 5581. https://doi.org/10.3390/su17125581
Gong C, Yang X, Hu C, Gao X. Spatial Perception Differences in Mountain City Park for Youth Experience: A Case Study of Parks in Yuzhong District, Chongqing. Sustainability. 2025; 17(12):5581. https://doi.org/10.3390/su17125581
Chicago/Turabian StyleGong, Cong, Xinyu Yang, Changjuan Hu, and Xiaoming Gao. 2025. "Spatial Perception Differences in Mountain City Park for Youth Experience: A Case Study of Parks in Yuzhong District, Chongqing" Sustainability 17, no. 12: 5581. https://doi.org/10.3390/su17125581
APA StyleGong, C., Yang, X., Hu, C., & Gao, X. (2025). Spatial Perception Differences in Mountain City Park for Youth Experience: A Case Study of Parks in Yuzhong District, Chongqing. Sustainability, 17(12), 5581. https://doi.org/10.3390/su17125581

