You are currently viewing a new version of our website. To view the old version click .
Sustainability
  • Article
  • Open Access

13 June 2025

Performance Enhancement of Photovoltaic Panels Using Natural Porous Media for Thermal Cooling Management

,
and
1
Mechanical Engineering Department, Faculty of Engineering Technology, Al–Balqa Applied University, Amman 11134, Jordan
2
Department of Mechanical Engineering, Tuskegee University, Tuskegee, AL 36088, USA
*
Author to whom correspondence should be addressed.
This article belongs to the Special Issue Sustainable Thermal Management: Innovations in Energy Efficiency and Eco-Friendly Materials

Abstract

This study investigates the potential of low-cost, naturally available porous materials (PoMs), gravel, marble, flint, and sandstone, as thermal management for photovoltaic (PV) panels. Experiments were conducted in a controlled environment at a solar energy laboratory, where variables such as solar irradiance, ambient temperature, air velocity, and water flow were carefully regulated. A solar simulator delivering a constant irradiance of 1250 W/m2 was used to replicate solar conditions throughout each 3 h trial. The test setup involved polycrystalline PV panels (30 W rated) fitted with cooling channels filled with PoMs of varying porosities (0.35–0.48), evaluated across water flow rates ranging from 1 to 4 L/min. Experimental results showed that PoM cooling significantly outperformed both water-only and passive cooling. Among all the materials tested, sandstone with a porosity of 0.35 and a flow rate of 2.0 L/min demonstrated the highest cooling performance, reducing the panel surface temperature by 58.08% (from 87.7 °C to 36.77 °C), enhancing electrical efficiency by 57.87% (from 4.13% to 6.52%), and increasing power output by 57.81% (from 12.42 W to 19.6 W) compared to the uncooled panel. The enhanced heat transfer (HT) was attributed to improved conductive and convective interactions facilitated by lower porosity and optimal fluid velocity. Furthermore, the cooling system improved I–V characteristics by stabilizing short-circuit current and enhancing open-circuit voltage. Comparative analysis revealed material-dependent efficacy—sandstone > flint > marble > gravel—attributed to thermal conductivity gradients (sandstone: 5 W/m·K vs. gravel: 1.19 W/m·K). The configuration with 0.35 porosity and a 2.0 L/min flow rate proved to be the most effective, offering an optimal balance between thermal performance and resource usage, with an 8–10% efficiency gain over standard water cooling. This study highlights 2.0 L/min as the ideal flow rate, as higher rates lead to increased water usage without significant cooling improvements. Additionally, lower porosity (0.35) enhances convective heat transfer, contributing to improved thermal performance while maintaining energy efficiency.

1. Introduction

Photovoltaic (PV) panels play a crucial role in renewable energy generation by converting sunlight directly into electricity [1]. However, their performance is significantly impacted by temperature variations, exhibiting complex electrical behavior under thermal stress [2,3]. Research reveals three key impacts of increasing temperatures on PV performance. First, open-circuit voltage drops substantially by 0.4–0.48% for each degree Celsius increase, directly reducing power output [1,4,5]. Second, short-circuit current shows a slight increase of 0.09–0.10% per °C as higher temperatures improve charge carrier mobility [6]. Third, the fill factor decreases by about 0.32% per °C due to growing electrical resistance [7]. Together, these temperature-dependent changes lead to noticeable decreases in overall system efficiency, with particularly severe consequences in hot climates where operating temperatures frequently exceed 70 °C [8,9]. To mitigate this issue, various cooling techniques have been explored, ranging from passive methods such as heat sinks and phase change materials (PCMs) to active approaches like forced air and water cooling [10,11,12,13,14]. Among these, porous materials (PoM) have emerged as a particularly promising solution due to their ability to enhance heat dissipation through high surface area and fluid permeability [15,16,17].
Active cooling methods, although energy-intensive, offer precise temperature control. Water-based cooling, including spray, immersion, and channel flow techniques, has been widely studied. Herez et al. [18] utilized back-mounted spray cooling to improve PV efficiency by up to 10%, while Zhu et al. [19] achieved an 8% temperature reduction through water immersion. Liu et al. [20] optimized water-cooling channels, finding that a 5 mm height and 0.03 kg/s flow rate maximized efficiency. Forced air cooling has also shown promise, with Hussien et al. [21] reporting significant temperature reductions through optimized airflow rates. Bhatnagar et al. [22] demonstrated that V-shaped aluminum cooling channels with water flow (0.3–0.6 LPM) reduced panel temperature by 12.7 °C (21.6% drop) and improved efficiency by 2.26%, proving effective for passive cooling. Zhou et al. [23] proposed a hybrid gas–liquid cooling system (4.5 m/s air + 0.08 m/s water) for solar PV that reduced panel temperature by 41.65% and increased output power by 43.16% under standard conditions. Alrashidi et al. [24] experimentally demonstrated that using a single layer of water-saturated hydrogel beads as a passive front cooling method reduced solar cell temperature by 17.4 °C and boosted efficiency by 8.9%. This approach also offers environmental benefits, cutting 1870 kg CO2/year and saving USD 93.5 annually.
Nanofluids, formulated suspensions of nanoparticles in base fluids, have emerged as an advanced cooling solution for PV systems [25,26,27,28]. Ebaid et al. [29] reported that using Al2O3 nanofluids (0.1 wt%) reduced PV temperatures by 38%, leading to a 9.6% increase in power output. Radwan et al. [30] found that SiC–water nanofluids in microchannel heat sinks improved electrical efficiency by 19% in concentrated PV systems. Similarly, Xu & Kleinstreuer [31] demonstrated that nanofluid-cooled PV systems could recover 70% of thermal energy when maintaining outlet temperatures at 62 °C. Ebaid et al. [32] found that using Fe3O4 nano-fluid cooling reduced PV cell temperature by up to 21.3 °C and increased electrical efficiency by 18.3%, outperforming CaCO3 and water cooling. Mustafa et al. [33] proposed a TiO2 nanofluid-cooled solar PV-T system integrated with an efficient multilevel inverter, achieving an 18.7 °C temperature drop and 1.17% higher efficiency compared to water and air cooling. The system reached a 16.38% overall panel efficiency with reduced inverter losses using a single DC source and minimal device count.
PoMs have emerged as highly effective materials for PV cooling applications, demonstrating significant improvements in both thermal management and electrical performance [34]. Various metallic PoMs, including aluminum and steel wool, have been extensively studied for their exceptional heat dissipation capabilities through increased surface area and enhanced fluid permeability. Experimental results reveal that aluminum PoMs can achieve substantial temperature reductions of up to 18.3 °C, corresponding to a 6.6% increase in power output [35]. Steel wool PoMs have shown even more impressive performance metrics, delivering an 11.18% improvement in electrical efficiency coupled with a remarkable 50.7% enhancement in thermal efficiency [36]. Recent studies have further quantified the relationship between PoMs characteristics and cooling performance. For instance, Masalha et al. [37] found that a PoM with 0.35 porosity and a flow rate of 2 L/min reduced PV surface temperature by 55.87%, increasing efficiency by 2.13%. Similarly, Özşimşek & Omar [38] demonstrated that integrating porous materials into PV/T cooling pipes significantly improves performance, achieving 96.56% thermal efficiency at 1.71 L/min flow and up to 118% improvement at low flow rates compared to non-porous designs. Reduced porosity and higher pore density led to lower PV temperatures and better heat transfer. Metallic PoMs, such as steel wool, have also shown promise, reducing PV temperature by 9.9 °C and boosting electrical efficiency by 11.18% [36]. Innovative designs, including bio-inspired evaporative radiators [39] and 3D porous copper foam structures [40], have further enhanced cooling performance. The cooling efficiency of PoMs systems is highly dependent on key design parameters, including porosity, flow rate, and the thermal conductivity of the material. For instance, Zhang et al. [41] demonstrated that a non-uniform hole distribution in a porous cooling channel enhanced heat transfer (HT) efficiency by 4.17%. Namuq et al. [42] enhanced PCM-based PVT cooling by integrating optimally designed porous fins, achieving a 5 °C PV temperature reduction and boosting electrical and thermal efficiencies by 3.1% and 15%, respectively. Afaynou et al. [43] developed a PCM-based heat sink using aluminum foam as a thermal conductivity enhancer to cool electronic components, reducing temperature by 15.85 °C and enhancing conductivity 25-fold.
Hybrid cooling systems combining PoM with other techniques have yielded significant improvements. Firoozzadeh & Shiravi [44] integrated PoM with PCMs, achieving a temperature reduction of up to 21.5 °C and increased power output. Similarly, Wang et al. [45] developed an active phase change cooling system using PoM and ethanol as working fluid, achieving better temperature control, improved uniformity (<5 °C difference), and up to 19.32% power enhancement. Essa et al. [46] addressed the low thermal conductivity of paraffin-based PCMs by combining porous metallic media (PMM), PCMs, and active water cooling, resulting in 23% electrical efficiency at 0.4 LPM and 74% thermal efficiency at 0.3 LPM. In ultra-high concentrator PV systems, sintered PoMs have proven effective in thermal management, enhancing cell efficiency [47]. Mahdi et al. [16] proposed an innovative system that synergistically combines steel wool PoM, paraffin wax PCM, and nanofluid in a dual-collector configuration. The optimized system achieved superior performance metrics improvement—a 28 °C temperature reduction (22 °C without nanofluid), 93.64% electrical efficiency (vs. 79.90% baseline), and 56.25% thermal efficiency improvement. Despite these advancements, challenges remain in implementing PoM cooling on a large scale. The effectiveness of these systems depends heavily on material properties such as porosity and thermal conductivity, requiring careful design optimization. Higher porosity can enhance temperature uniformity but may compromise thermal conductivity, reducing HT effectiveness. Therefore, a balance between porosity and thermal conductivity is essential to maximize cooling efficiency [48,49].
In recent years, the integration of passive cooling techniques using naturally abundant and cost-effective PoMs has gained increasing attention for improving PV panel performance, particularly under high irradiance conditions [50]. While active cooling methods, such as forced air circulation, liquid cooling, and thermoelectric systems, have been extensively studied, they often entail high energy consumption and complex maintenance. In contrast, passive cooling strategies utilizing naturally available PoMs (e.g., gravel, marble, flint, and sandstone) offer a sustainable and economically viable alternative. However, despite their potential, systematic research on these materials for PV cooling remains limited. Existing studies on PoMs have primarily explored their applications in construction, geothermal systems, and thermal energy storage, where their thermal properties have been well-documented. For instance, Čáchová et al. [51] demonstrated the favorable thermal and mechanical stability of Czech marbles, highlighting the suitability for heat regulation. Similarly, Sun [52] analyzed the thermal conductivity of sandstone, confirming its effectiveness in heat dissipation. Other naturally occurring materials, such as pumice [53] and volcanic rocks [54], have also been investigated for their porous structures and thermal buffering capabilities. Despite these findings, their direct application in PV cooling systems has not been thoroughly examined, leaving a critical research gap in understanding their efficiency, durability, and scalability in real-world PV installations.
Moreover, most PV cooling studies have concentrated on synthetic porous foams, phase-change materials (PCMs), and nanofluids, which, despite their high performance, involve costly fabrication processes and environmental concerns. For example, metal–organic frameworks (MOFs) and aerogels exhibit exceptional thermal properties but are prohibitively expensive for large-scale PV deployment [55]. In contrast, naturally available PoMs (e.g., gravel, sandstone, marble) are not only inexpensive and abundant but also possess inherent porosity and thermal stability, making them promising candidates for passive and hybrid PV cooling. However, prior studies have largely been confined to controlled lab environments, with limited validation under realistic operational conditions. To address these gaps, this study experimentally evaluates the cooling performance of four naturally occurring PoMs, gravel, marble, flint, and sandstone, in a controlled PV testing setup. The key objectives are as follows:
  • Evaluating natural PoMs (gravel, marble, flint, sandstone) for PV cooling, which are cost-effective, sustainable, and readily available.
  • Investigating their thermal and electrical performance under controlled yet realistic conditions.
  • Comparing their cooling effectiveness at varying water flow rates (1–4 L/min) to optimize performance.
This study aims to accomplish the following:
  • Assess the cooling efficiency of four natural PoMs (gravel, marble, flint, sandstone) in lowering PV panel temperatures and enhancing power output.
  • Determine the optimal water flow rate for maximizing cooling performance and electrical efficiency.
  • Compare the thermal conductivity and porosity effects of each material to identify the most effective cooling medium.
  • Provide practical insights into implementing these low-cost cooling solutions in real-world PV systems to enhance efficiency and lifespan.
This study introduces several innovative contributions to the field of PV cooling technology by introducing and evaluating natural PoMs as an alternative to conventional synthetic cooling media. Unlike previous studies that primarily focused on manufactured foams and complex nanofluids, this work presents the first systematic comparison of four naturally occurring materials—gravel, marble, flint, and sandstone—providing crucial performance data for these sustainable alternatives. Furthermore, this study establishes a definitive relationship between water flow rate and cooling efficiency. Finally, this study offers a practical and sustainable cooling solution by utilizing readily available, low-cost natural materials, making it particularly valuable for regions with limited access to advanced cooling technologies.

2. Experimental Work

2.1. Solar Simulator Design, Calibration, and Spectral Characteristics

The solar simulator, depicted in Figure 1, was meticulously designed and assembled in the technical workshops of the innovation and creativity laboratory at the faculty of engineering technology, Al-Balqa Applied University, Jordan. This system was developed to provide a stable and controllable light source that replicates solar irradiance under laboratory conditions, eliminating dependence on fluctuating natural sunlight due to time-of-day variations or weather changes.
Figure 1. Schematic of the laboratory-assembled solar simulator for PV testing.
The simulator employs 50 halogen lamps, each rated at 50 watts and 220 volts, arranged in a carefully optimized configuration to ensure uniform illumination. Halogen lamps were selected due to their ability to produce high-intensity thermal radiation with a broad spectrum that spans much of the visible and near-infrared (NIR) regions, making them a practical alternative for solar simulation. However, their spectral output does not perfectly match the standard solar spectrum (AM 1.5), particularly exhibiting deficiency in the ultraviolet (UV) range and lower intensity in certain visible wavelengths compared to natural sunlight.
This discrepancy affects the performance of PV panels during testing. When exposed to halogen-based irradiation at the same intensity as sunlight (e.g., 1000 W/m2), PV panels typically generate less current because silicon solar cells exhibit higher responsivity in the UV and specific visible wavelengths, where halogen lamps underperform. To compensate for this spectral mismatch, higher irradiance levels may be required to achieve current outputs comparable to those under natural sunlight. However, this adjustment can lead to reduced electrical efficiency in PV panels, as noted by Rajput and Yang [56].
Prior to conducting experiments, the solar simulator was carefully calibrated to guarantee stable and uniform irradiance. Instead of using a PV panel for initial calibration, a wooden board was employed due to its low thermal conductivity [57], which minimizes heat-induced measurement distortions and enhances irradiance uniformity. Key calibration and performance parameters include a fixed irradiance level of 1250 W/m2 maintained throughout all experiments, a lamp-to-panel distance of 51 cm to ensure consistent illumination, a thermal non-uniformity of 1.7% (classified as Category A per ASTM standards), and an irradiance distribution non-uniformity of 3.5% (classified as Category B). These carefully controlled parameters were essential for achieving reliable and reproducible experimental conditions in the solar simulation setup. This elevated irradiance, exceeding the standard 1000 W/m2 test condition, was intentionally chosen to replicate extreme solar exposure scenarios typical of high-radiation regions such as arid or tropical climates. By subjecting the PV panels to these worst-case conditions, the setup enabled a thorough evaluation of the cooling system’s thermal response and efficiency, ensuring the proposed method’s robustness and reliability under demanding operational environments.
The non-uniformity metrics were determined through precise calculations using Equations (1) and (2). Equation (1) quantifies thermal non-uniformity by comparing temperature variations across the PV panel surface, expressed as a percentage through the following formula:
Non-uniformity ( % ) = T max T min T max + T min   × 100 %
where Tmax and Tmin represent the highest and lowest recorded temperatures. Similarly, Equation (2) evaluates irradiance distribution non-uniformity using an analogous calculation, as follows:
Non-uniformity   ( % ) = E max E min E max + E min   × 100 %
where Emax and Emin correspond to the maximum and minimum irradiance measurements across the panel surface. These standardized equations provide a systematic approach to assessing spatial consistency in both thermal and illumination characteristics, enabling accurate classification of the solar simulator’s performance according to established ASTM standards.

2.2. Cooling System Setup

The experimental study was carried out in a controlled solar energy laboratory environment, where critical variables such as solar irradiance, ambient temperature, wind speed, and humidity were carefully regulated to ensure consistent testing conditions. The laboratory maintained a stable ambient temperature with no significant fluctuations throughout the experiments. Additionally, the space was isolated from external airflow, and no active mechanical ventilation was present, effectively eliminating air movement that could influence heat transfer. This controlled setting enabled precise and repeatable evaluation of the cooling system’s impact on PV panel performance, free from external environmental interferences.
Figure 2 presents a schematic diagram of the PV solar energy system integrated with a cooling channel, while Figure 3 displays the physical setup of the PV panels equipped with these cooling mechanisms. The experimental rig consisted of five monocrystalline PV panels, each with a rated power output of 30 watts. Four of these panels were fitted with rear-mounted cooling channels, whereas the fifth panel—maintained without cooling—served as a reference for performance comparison. The technical specifications of the PV panels used in the experiments are detailed in Table 1.
Figure 2. Layout of the passively cooled PV system.
Figure 3. Rear-mounted cooling channels on PV panels, (a) PV panel, (b) cooling channel, (c) assembled PV panel with cooling channel, (d) experimental setup showing four cooled panels and one uncooled reference panel.
Table 1. Specifications of 30 W monocrystalline PV panels.
The cooling channels, attached securely to the back of the PV panels, were dimensionally matched to the panel size to ensure full coverage and optimal heat extraction. These channels were filled with four distinct PoMs (gravel, marble, flint, and sandstone) selected for their varying thermal and structural properties, as listed in Table 2. In this study, each material was tested under four different porosity levels: 0.35, 0.40, 0.48, and 0.50. Each medium was tested across multiple water flow rates to assess its cooling efficiency and determine the most effective configuration for enhancing PV panel performance.
Table 2. Thermophysical properties of PoMs used in PV panel cooling channels.
To ensure uniform water distribution and eliminate potential dead zones or channeling within the PoM, several design and verification measures were implemented. The PoMs were selected for their inherent ability to promote capillary-driven, evenly distributed flow across the cooling channel. The granular and interconnected structure minimizes the risk of preferential pathways and enhances uniform saturation. To experimentally validate flow uniformity and thermal performance, temperature measurements were recorded at multiple points on the PV panel surface—including both central and peripheral locations—particularly at the four corners, which are typically more prone to insufficient cooling and edge-related thermal effects. The sensor positions were carefully selected to minimize edge effects while providing a representative thermal profile. Consistency in temperature readings across these points confirmed that no significant deviations occurred, indicating effective water distribution and negligible impact from edge-related heat transfer distortions. This approach aligns with established thermal testing practices and ensures that the collected data accurately reflects the PV panel’s overall thermal behavior.
Among the tested materials, naturally porous options such as gravel, flint, marble, and sandstone showed great potential for enhancing PV panel cooling due to the favorable physical and thermal properties. Gravel stands out for its low cost and widespread availability. Its porous structure promotes efficient water flow and effective heat exchange, while its moderate thermal conductivity (approximately 1.19 W/m·K) makes it suitable for standard cooling applications. Flint offers superior performance due to its high hardness (H = 8) and relatively high thermal conductivity (k ≈ 3.5 W/m·K), which makes it highly efficient in absorbing and rapidly dissipating heat. Its naturally rough surface enhances water distribution throughout the cooling channel, minimizing the risk of hot spots and contributing to improved thermal regulation.
Marble, with a thermal conductivity near 3 W/m·K, is particularly well-suited for long-term cooling due to its ability to store and gradually release heat. This property helps to stabilize the PV surface temperature over time. Additionally, its smooth surface also allows for uninterrupted water flow, maintaining consistent cooling performance. Sandstone stands out with the highest thermal conductivity (k ≈ 5 W/m·K) among the tested materials, along with naturally high porosity that facilitates efficient water and air movement, making it ideal for evaporative cooling. Additionally, its local availability and lightweight nature enhance its practicality for broader deployment.
The cooling system was designed with a closed-loop water circulation mechanism. Cold water from a well-insulated storage tank was delivered through plastic pipes into channels packed with PoMs, where it absorbed heat from the PV panels. The tank insulation effectively minimized heat loss, maintaining a steady inlet water temperature between 22.0 °C and 22.5 °C throughout the experiments. After passing through the PoM-filled channels, the warmed water was directed into a separate collection tank to prevent backflow and thermal mixing, ensuring consistent inlet conditions. To minimize external thermal interference, the cooling channels were thoroughly insulated, ensuring that HT occurred exclusively between the PV panels and the circulating water.
A comprehensive set of instruments and tools was employed to carry out the experimental investigation of PV panel cooling using different types of PoMs. A 0.37 kW water pump circulated water through the cooling channel beneath the PV panel, with a flow meter employed to accurately measure and regulate the water flow rate.
To assess the performance improvements, two key metrics were calculated, as outlined by Al-Masalha et al. [17,58]. The first metric, the percentage temperature reduction, was determined using the following formula:
Percentage temperature decrease:
% T max ,   d e c r e a s e = T w i t h o u t   c o o l i n g T c o o l i n g T w i t h o u t   c o o l i n g × 100 %
This metric quantifies the cooling effectiveness in mitigating PV panel overheating, which is crucial, as excess heat can significantly impair the panel’s energy conversion efficiency. The second metric, the percentage power increase, was calculated to quantify the improvement in electrical power due to the cooling effect using PoMs. This was determined with the following formula:
% P max ,   i n c r e a s e = P c o o l i n g P w i t h o u t   c o o l i n g P w i t h o u t   c o o l i n g × 100 %
The experimental setup, as illustrated in Figure 4, consists of several components designed to manage and measure the cooling process effectively. A 1 m3 cold-water tank serves as the reservoir, supplying water to the system. The water is pumped into the cooling channel via the water pump, and its flow is regulated by the flow meter. The PoMs within the sub-panel cooling channel enhance thermal transfer from the PV module to the circulating water. As the water absorbs heat from the panel, which has been exposed to solar radiation from the simulator, it warms up and is subsequently directed to a 1 m3 hot-water tank. This cooling loop is essential for evaluating the impact of PoMs on PV panel performance. It is also worth mentioning that previous studies [17] developed a mathematical model to estimate PV panel temperature under similar operating conditions, providing a basis for validating experimental observations.
Figure 4. Schematic representation of the cooling system for PV panels with PoM integration.

2.3. Preparation of Porous Media and Accurate Determination of Porosity

Natural materials (gravel, flint, marble) were first crushed and milled to yield particles in the desired size ranges. The crushed material was then passed through a series of stacked sieves—arranged vertically from largest to smallest mesh size (12 mm, 11 mm, 10 mm, 9 mm, 8 mm, …, 1 mm)—to classify particles by diameter. As particles move downward, those smaller than a given mesh pass through to the next sieve; particles retained on each sieve correspond to the size interval between that mesh and the one immediately above. For example, material caught on the 11 mm screen consists of particles between 11 mm and 12 mm in diameter, while those on the 2 mm screen range from 2 mm to 3 mm. From this procedure, four target size-fractions were isolated and used as porous media in our experiments, listed as follows:
  • Approximately 2 mm (diameters between 2 mm and 3 mm);
  • Approximately 5 mm (diameters between 5 mm and 6 mm);
  • Approximately 10 mm (diameters between 10 mm and 11 mm);
  • Approximately 11 mm (diameters between 11 mm and 12 mm).
For each size group, porosity (ϕ) was determined using the water-displacement technique, as follows:
  • Sample preparation and volume measurement
    • A known volume of the porous particles was poured into a 5 L graduated plastic container.
    • Water was gradually added until all void spaces between particles were completely filled, but the water level did not rise above the top surface of the solid bed.
    • The volume of water required to fill the voids (∀f, the fluid volume) was recorded directly from the gradations on the container.
    • The total volume (∀t), the bulk volume of solids + voids) corresponds to the volume of the particle column before water addition.
  • Porosity calculation
Porosity (ϕ) was calculated using Equation (5) as follows:
ϕ = 1 f t
where Vf is the measured water (void) volume, and Vt is the measured total bulk volume.
3.
Repetition and Uncertainty
  • This measurement was repeated three times for each particle-size group.
  • Across all trials, the experimental uncertainty remained below ±2%.
4.
In situ Verification
To confirm that porosity in the actual cooling channel matched laboratory values, the same water-displacement method was applied in the assembled PV-cooling channel (with particles in place). The resulting porosity values agreed within experimental uncertainty to those obtained in the bench-top measurements.
The average porosity values for each group were the following:
  • Particles 2 mm in size → ϕ = 0.35
  • Particles 5 mm in size → ϕ = 0.40
  • Particles 10 mm in size → ϕ = 0.48
  • Particles 11 mm in size → ϕ = 0.50.
This ϕ -range of 0.35–0.5 was selected based on (a) the experimentally measured values for our crushed natural materials and (b) research reports for similar granular media. For instance, gravel and flint typically exhibit porosities from 0.30 to 0.45 (depending on grain shape and packing), while crushed marble can reach up to 0.50 when loosely packed. The selection of this porosity range was motivated by the following considerations:
  • The selected porosity values reflect typical levels found in natural porous media widely used in thermal and hydraulic systems.
  • Varying the porosity from 0.35 to 0.5 in a systematic manner allowed for a clear evaluation of its effect on cooling performance.
  • Each particle size group was uniformly packed to fully occupy the cooling channel volume during its respective experiment, ensuring fair and consistent comparisons.
To ensure consistency in experimental comparisons, three different sizes of porous media (2 mm, 5 mm, 10 mm, and 11 mm) were each used separately in the cooling channel. Each particle size completely filled the designated porous media section during its respective experiment, without any mixing. That is, only one particle size type was used per test to isolate and compare the thermal performance of each PoM under identical operating conditions.
Accordingly, the volume occupied by each type of porous medium relative to the total porous media section was as follows:
  • The 2 mm porous medium: 100% of the porous section;
  • The 5 mm porous medium: 100% of the porous section;
  • The 10 mm porous medium: 100% of the porous section;
  • The 11 mm porous medium: 100% of the porous section.
This approach ensured a fair and consistent evaluation of the influence of particle size and porosity on cooling effectiveness.

2.4. Instrumentation and Uncertainty Analysis

To accurately evaluate the thermal and electrical performance of the PV cooling system, a comprehensive instrumentation setup was employed. Thermocouple sensors were strategically distributed across the surface of the PV panel to record temperature variations. These sensors also monitored the inlet and outlet temperatures of the cooling channel, capturing the thermal behavior and enabling detailed assessment of cooling effectiveness. Ambient temperature was measured concurrently to serve as a baseline reference.
The electrical performance of the PV panel was monitored using a voltmeter and ammeter, which measured the panel’s voltage and current, respectively. The voltmeter featured an accuracy of ±1 mV with an associated uncertainty of 0.5 × 10−3 V, while the ammeter provided readings with an accuracy of ±1 mA and an uncertainty of 0.5 × 10−3 A.
To quantify the incident solar radiation, a radiation meter was installed within the solar simulator. This device recorded the intensity of irradiance with an accuracy of ±1 W/m2 and an uncertainty of 0.57 W/m2. For temperature measurement, thermocouples with a precision of ±0.1 °C and an uncertainty of 0.57 × 10−3 °C were used. A summary of the measurement accuracies and associated uncertainties is provided in Table 3.
Table 3. Accuracy and uncertainty of experimental instruments.
A rigorous uncertainty analysis was conducted in accordance with the methodologies presented by Elminshawy et al. [59] and Masalha et al. [17]. This analysis ensured the credibility and repeatability of the experimental results. Uncertainty propagation was evaluated through the following equations:
U P P = U I I 2 + U V V 2
where UP is the uncertainty in power output P, UI, and UV are the uncertainties in current I and voltage V, respectively. Using Equation (6), the uncertainty in power output was found to be 0.17%.
U A A = U W W 2 + U L L 2
where UA represents the uncertainty in the PV panel area A, with UW and UL being the uncertainties in width (W) and length (L). This equation yielded an area uncertainty of 0.2%.
U η η = U P P 2 + U A A 2 + U G G r a d 2
where Uη is the uncertainty in electrical efficiency η, and UG is the uncertainty associated with the solar irradiance Grad. All base uncertainties for temperature, current, and voltage were sourced directly from the calibration specifications of the measuring instruments.

3. Results and Discussion

3.1. Comparative Analysis of PV Panel Cooling

This experimental study systematically evaluated the thermal regulation of PV panels through comparative analysis of water cooling and PoM cooling, such as gravel, on reducing the temperature of the panels under varying conditions. The experiments were conducted at different flow rates ranging from 1 to 4 L per minute and at porosity values between 0.35 and 0.5. During each 3 h experimental test, the thermal and electrical parameters of the PV system were continuously recorded using a real-time data acquisition system. As illustrated in Figure 5, the temporal temperature profiles revealed significant thermal management benefits from PoM implementation. The uncooled PV panels maintained a steady 87 °C baseline temperature, while gravel-mediated cooling at 0.35 porosity demonstrated remarkable temperature reduction to 40.6 °C at 1 L/min flow rate. As the flow rate increased, the temperature continued to decrease, reaching 40.2 °C at 1.5 L/min, 38.7 °C at 2 L/min, and 39.7 °C, and 38.6 °C at 3 and 4 L/min, respectively. However, increasing the flow rate beyond 2 L/min did not result in significant improvements in cooling efficiency.
Figure 5. PV surface temperature reduction using PoMs and water cooling at various flow rates; (a) 1 L/min; (b) 1.5 L/min; (c) 2 L/min; (d) 3 L/min; and (e) 4 L/min.
In contrast, conventional water cooling resulted in higher surface temperatures compared to the system integrated with PoMs. Specifically, water cooling alone maintained the panel surface temperature approximately 10–12 °C higher than the integrated PoM–water cooling setup. At a flow rate of 1 L/min, the temperature reached 51.6 °C, dropping to 50.9 °C at 1.5 L/min and 48.6 °C at 2 L/min. Further increases in flow rate to 3 and 4 L/min yielded temperatures of 50.3 °C and 48.5 °C, respectively. Although water cooling contributed to some temperature reduction, it was notably less effective than the combined system, especially when using gravel as the PoM. The superior performance of the integrated approach is attributed to gravel’s higher surface area and higher thermal conductivity, which enhance heat dissipation efficiency. Moreover, the experimental data suggests that increasing the flow rate beyond 2 L/min offers minimal additional cooling benefits, highlighting the need to optimize flow rate for maximum cooling efficiency.
Table 4 presents a comprehensive thermal analysis correlating flow rate and porosity with cooling efficiency. The data reveals an inverse relationship between porosity and cooling performance, with 0.35 porosity media consistently outperforming higher porosity configurations (0.4–0.5). This superior performance is attributed to the lower porosity’s enhanced capacity for heat exchange between the cooling fluid and the PoM. A comparison of PoM cooling with conventional water cooling further emphasized the effectiveness of the PoM in reducing PV surface temperatures. For instance, at a 1 L/min flow rate, the 0.35 porosity medium achieved a 21.30% greater temperature reduction compared to water cooling, while higher porosity values showed progressively diminished performance (16.59% for 0.4, 12.71% for 0.48, and 11.74% for 0.5). This trend persisted across all flow rates, demonstrating that lower porosity materials maintain better thermal contact and more effective HT pathways. Furthermore, the percentage temperature reductions relative to uncooled panels, as shown in Table 4, offer additional insight into system optimization. The 0.35 porosity medium achieved the highest reduction of 55.99% at a flow rate of 4 L/min. However, a comparable reduction of 55.87% was already observed at 2 L/min. This minimal performance differential (0.12%) between 2 L/min and 4 L/min, coupled with the 53.7% reduction at just 1 L/min, suggests that flow rates beyond 2 L/min offer reducing returns. In contrast, conventional water cooling showed consistently lower performance, with a maximum reduction of 44.7% at 4 L/min—substantially less effective than the PoM approach.
Table 4. Effect of flow rate and gravel porosity on temperature reduction in cooling system.
The superior performance of low-porosity media can be attributed to enhanced conductive HT through increased solid-phase contact points and optimized fluid–solid interfacial areas. The experimental results demonstrate that PoM cooling addresses two critical limitations of conventional water cooling: (1) improved thermal coupling between coolant and panel surface and (2) more efficient energy extraction per unit coolant volume. The flow rate analysis reveals that while increased coolant flow enhances convective HT, the system rapidly approaches thermal equilibrium where additional flow provides negligible benefit.
From an implementation perspective, the 2 L/min flow rate emerges as the most efficient operating point, delivering >55% temperature reduction while minimizing pumping energy requirements and water consumption. This finding has significant practical implications for PV system design, suggesting that optimal cooling can be achieved without excessive resource utilization. The research establishes PoM cooling as a technically superior alternative to conventional methods, with particular advantages in arid regions where water conservation is paramount. Future work could explore hybrid cooling systems combining PoM with phase-change materials to further enhance thermal regulation efficiency.
The cooling performance of gravel PoM and water on PV panel power output is comprehensively analyzed in Figure 6 and Table 5, with comparisons made to uncooled baseline conditions. The experimental investigation examined flow rates from 1.0 to 4.0 L/min across four porosity levels (0.35, 0.4, 0.48, and 0.5), along with water-only cooling and uncooled as a reference case. At the minimum flow rate of 1.0 L/min, the 0.35 porosity configuration achieved peak performance with 18.01 W power output, demonstrating a 45.01% improvement over uncooled operation. This significantly outperformed both higher porosity cases (36.07% improvement at 0.48–0.5 porosity) and conventional water cooling (16.67 W output).
Figure 6. PV Power output enhancement using PoMs and water cooling at various flow rates; (a) 1 L/min; (b) 1.5 L/min; (c) 2 L/min; (d) 3 L/min; and (e) 4 L/min.
Table 5. Quantitative analysis of PV power improvement using PoMs vs. water cooling.
Enhanced cooling effects became more pronounced at 1.5 L/min, where the 0.35 porosity system generated 18.43 W (48.39% improvement), while water cooling reached only 17.15 W (38.08% improvement). The optimal performance emerged at a 2.0 L/min flow rate, with the 0.35 porosity arrangement yielding 18.84 W output—representing a maximum 51.69% power enhancement. Beyond this flow rate, the system exhibited reducing returns, with 3.0 L/min producing marginally lower output (18.7 W) and 4.0 L/min showing negligible further gains, establishing 2.0 L/min as the most efficient operational point.
The comparative analysis reveals consistent superiority of PoM cooling over conventional water cooling across all tested conditions. At the optimal 2.0 L/min flow rate, the 0.35 porosity configuration’s 18.84 W output substantially exceeded water cooling’s 17.3 W, demonstrating an 8.9% performance advantage. This performance gap remained significant throughout the tested range, with the PoM maintaining at least an 8% lead over water cooling at all flow rates for a porous level of 0.35.
These findings establish clear optimization guidelines for PV cooling systems. The 0.35 porosity gravel medium operated at 2.0 L/min delivers maximum power enhancement while maintaining flow efficiency. The results demonstrate that while increased flow rates improve cooling initially, excessive flow beyond 2.0 L/min provides no meaningful benefit. Furthermore, this study conclusively shows that PoM cooling outperforms conventional water cooling across all operational parameters, offering a more effective solution for PV thermal management.
Figure 7 and Table 6 present a detailed evaluation of the impact of gravel PoM cooling, which improves the electrical efficiency of PV panels compared to uncooled operation. This study examines the electrical efficiency enhancements across flow rates ranging from 1.0 to 4.0 L/min and different porosity levels, with uncooling included as a baseline reference.
Figure 7. Electrical efficiency enhancement of PV panels using PoMs and water cooling at various flow rates; (a) 1 L/min; (b) 1.5 L/min; (c) 2 L/min; (d) 3 L/min; and (e) 4 L/min.
Table 6. Quantitative comparison of PV electrical efficiency across cooling methods and flow rates.
The 0.35 porosity configuration demonstrates superior performance throughout the tested range, achieving peak electrical efficiency of 6.26% at 2.0 L/min—representing a 51.57% enhancement over the uncooled baseline. This optimal combination outperforms both higher porosity configurations and water cooling by significant margins, with the 0.5 porosity arrangement reaching only 5.87% electrical efficiency and water cooling achieving just 5.75% at the same flow rate. The efficiency improvements show a strong dependence on both porosity and flow rate, with lower porosity (0.35) exhibiting particularly enhanced thermal transfer characteristics due to increased surface area and improved HT interactions.
Flow rate optimization emerges as a critical factor, with 2.0 L/min identified as the most effective operating point. While increasing the flow rate from 1.0 to 2.0 L/min boosts efficiency by 4.51% for the 0.35 porosity configuration, further escalation to 4.0 L/min yields negligible gains, suggesting diminishing returns beyond the optimal flow rate.
This study reveals consistent performance advantages of PoMs over conventional water cooling across all test conditions. At the optimal 2.0 L/min flow rate, PoM cooling delivers an 8–10% efficiency advantage over water cooling, with the performance gap remaining significant throughout the operational range. This superiority stems from the PoM’s ability to enhance both conductive and convective HT while maintaining efficient fluid flow through the matrix.
These findings provide practical insights for PV system designers, establishing 0.35 porosity gravel media with 2.0 L/min flow rate as the optimal configuration for maximizing electrical efficiency. The research demonstrates that careful optimization of cooling system parameters can yield substantial efficiency gains while maintaining operational practicality, offering a viable pathway for improving PV system performance in real-world applications.
The current–voltage (I-V) curve is a fundamental tool for assessing the performance of PV panels, as it illustrates the relationship between current and voltage under varying operational conditions. Two key parameters derived from this curve are the short-circuit current (Isc), which represents the maximum current when the panel’s output voltage is zero, and the open-circuit voltage (Voc), corresponding to the maximum voltage when no current flows. These parameters are crucial in determining the panel’s power generation capability and overall efficiency.
Figure 8 compares the effects of three thermal management approaches, specifically porous gravel media cooling (0.35 porosity), water cooling, and natural convection (no cooling), on the I–V characteristics of PV panels. The results demonstrate that PoM cooling significantly enhances PV efficiency by effectively reducing the panel’s operating temperature. This temperature reduction leads to an increase in the open-circuit voltage (Voc), as lower temperatures mitigate the adverse thermal effects on the semiconductor materials within the solar cells. The improved thermal regulation provided by PoM cooling ensures that the PV panel operates closer to its optimal conditions, thereby maximizing power output [17].
Figure 8. I-V Curve response of PV panels under different cooling conditions and flow rates; (a) 1 L/min; (b) 1.5 L/min; (c) 2 L/min; (d) 3 L/min; and (e) 4 L/min.
In contrast, uncooled panels experience elevated temperatures, which negatively impact both voltage and current, resulting in reduced efficiency. While water cooling offers some degree of thermal management, it is less effective than PoM cooling in maintaining consistent temperature control. Among the tested methods, PoM cooling proves to be the most efficient, delivering the greatest reduction in panel temperature and, consequently, the most significant improvement in electrical performance.
The enhanced power generation observed with PoM cooling can be attributed to the direct relationship between temperature and PV efficiency. By minimizing thermal losses, this cooling method ensures that the panel operates at higher voltages and currents, thereby increasing the overall electrical power output (P = IV). These findings highlight the importance of effective thermal management in PV systems and establish PoM cooling as a superior technique for optimizing PV panel performance.
In conclusion, PoM cooling stands out as the most effective approach for improving PV efficiency. Its ability to maintain lower operating temperatures leads to better I-V characteristics, higher power generation, and, ultimately, greater overall system performance.
Through rigorous indoor testing under controlled laboratory conditions, the systematic investigation identified 0.35 as the optimal porosity value for PV cooling applications. This specific porosity level demonstrates superior performance in thermal regulation, consistently maintaining panel temperatures within the ideal operational range. The 0.35 porosity develops an optimal balance between fluid permeability and surface area contact, enabling efficient HT while maintaining structural integrity of the cooling system. In conjunction with this, a flow rate of 2 L/min has emerged as the most favorable choice for effective cooling. This rate achieves optimal thermal control without compromising efficiency. Lower flow rates (below 2 L/min) are insufficient to prevent excessive temperature buildup, potentially leading to panel overheating. Conversely, increasing the flow rate beyond 2 L/min offers negligible improvements in thermal performance while introducing unnecessary operational costs. Therefore, a porosity of 0.35 combined with a flow rate of 2 L/min represents the optimal configuration for PV thermal management.
The enhanced performance is primarily driven by improved convective HT within the cooling system. The convective HT rate is governed by the following:
q c o n v = h d T = h ( T s T )
where h is the convective HT coefficient. An increase in h leads to a direct increase in heat dissipation. The relationship between h and the Nusselt number (Nu) is given by the following:
h c , f = D h d N u p m f . k e 1
where the N u p m f is influenced by porosity (ϕ) as shown below:
N u p m f = 0.255 ϕ R e p m 2 3 . P r f 1 3
This equation reveals that as porosity decreases, the Nusselt number increases, leading to an increase in the convective HT coefficient, where a lower porosity size enhances HT, effectively reducing PV panel temperature.
Additionally, fluid velocity in PoM is influenced by the porosity, where
V p m =   V F r e e ϕ
This indicates that as porosity decreases, fluid velocity increases, further boosting convective HT.
Flow rate directly impacts the Reynolds number, which in turn influences the Nusselt number and the convective HT coefficient.
R e p m = ρ f V   d p m µ ( 1 ϕ )
Higher flow rates increase fluid velocity, elevating Repm, which results in a higher Nusselt number and improved HT performance. However, there is a point of reducing returns, where further increasing the flow rate does not significantly enhance cooling but raises energy and operational costs. This justifies selecting 2 L/min as the optimal flow rate.
The reduction in PV panel temperature due to improved cooling directly enhances electrical efficiency. Lower temperatures result in (i) a widened bandgap of the semiconductor, improving high-energy photon absorption [60]; (ii) extended charge carrier lifetimes due to reduced thermal recombination; (iii) decreased intrinsic carrier concentration, which minimizes parasitic conduction; and (iv) reduced internal resistance, which improves charge collection efficiency.
The comparative analysis demonstrates that PoM cooling outperforms both water cooling and passive convection methods. The gravel-based PoM system achieves superior temperature reduction, translating to measurable improvements in open-circuit voltage (Voc) increase, short-circuit current (Isc) stability, overall power output enhancement, and system longevity extension. Building on these results, the next subsection presents a comparative evaluation of different PoMs to determine the most effective medium for achieving sustainable and efficient thermal management in PV systems.
After comparing the cooling effect of the PoM (gravel) with water cooling and no cooling, it was found that using the PoM provides greater improvement in reducing the temperature of PV panels, leading to enhanced electrical performance and increased efficiency compared to other methods. Based on these findings, a comparison between different types of PoMs will be conducted to determine the most effective type that achieves the highest cooling rate, contributing to improved cooling system efficiency and enhanced PV panel performance in a more sustainable manner.

3.2. Comparative Analysis of PV Panel Cooling Using Different PoMs

Figure 9 and Table 7 present a comparative analysis of surface temperature reductions in PV panels using various PoM cooling techniques at different flow rates. These methods include gravel, marble, flint, and sandstone, with performance evaluated relative to a baseline surface temperature of 87.7 °C, representing the no-cooling condition. As the flow rate increases from 1.0 to 4.0 L/min, all four PoMs exhibit a steady decrease in surface temperature. This trend reflects the improved efficiency of heat dissipation with higher fluid circulation, which enables more effective heat removal from the PV surface. Among the tested media, sandstone consistently demonstrates the best performance, achieving the lowest surface temperatures and the highest percentage reduction compared to the baseline. Across all flow rates, sandstone outperforms flint, marble, and gravel, highlighting its superior thermal conductivity and fluid permeability.
Figure 9. Effect of PoM type on surface temperature of PV panels under various flow rates; (a) 1 L/min; (b) 1.5 L/min; (c) 2 L/min; (d) 3 L/min; and (e) 4 L/min.
Table 7. Percentage reduction achieved using different PoMs compared to no cooling.
At a flow rate of 2.0 L/min, which represents an optimal balance between cooling effectiveness and operational feasibility, sandstone reduces the panel surface temperature to 36.77 °C, corresponding to a 58.08% reduction. Flint, marble, and gravel follow closely, with reductions of 57.20%, 56.75%, and 55.87%, respectively. These values indicate that while all PoMs provide significant cooling, sandstone and flint offer notably better thermal performance.
Beyond a flow rate of 2.0 to 3.0 L/min, the improvements in cooling begin to plateau. For example, the surface temperature with gravel decreases only marginally from 38.70 °C at 2.0 L/min to 38.60 °C at 4.0 L/min. This decreasing return suggests that further increasing the flow rate does not yield proportionally greater thermal benefits and may result in unnecessary energy consumption or system complexity.
The use of PoMs demonstrated a clear thermal benefit in reducing the surface temperature of PV panels under solar radiation. The experimental results showed that the incorporation of materials such as gravel, marble, flint, and sandstone contributed significantly to heat dissipation, primarily through enhanced water retention and evaporation mechanisms. Among them, sandstone exhibited the most notable temperature reduction, attributed to its relatively high thermal conductivity and ability to maintain uniform water distribution.
The maximum surface temperature variation observed in PV panels cooled with different PoMs primarily stems from differences in their thermophysical properties, particularly thermal conductivity. Materials with higher thermal conductivity (e.g., sandstone at 5 W/m·K) demonstrate superior heat transfer efficiency, effectively dissipating thermal energy from the panel surface and maintaining lower operating temperatures. In contrast, PoMs with lower conductivity (e.g., gravel at 1.19 W/m·K) exhibit reduced cooling capacity, leading to elevated panel temperatures. This correlation highlights thermal conductivity as a critical determinant of cooling performance, with secondary influences from porosity and flow dynamics. The findings align with Fourier’s law of heat conduction, where the temperature gradient (ΔT) across the PoM is directly proportional to its thermal conductivity (k) under steady-state conditions.
This temperature drop is crucial, as it directly improves the electrical efficiency of the PV panels. By lowering the operating temperature, the thermal stress on panel components is reduced, which not only enhances instantaneous power output but also supports long-term durability. For instance, a reduction in panel temperature by several degrees Celsius—observed consistently in trials using porous cooling layers—translates to a measurable increase in efficiency, aligning with the temperature coefficient behavior of photovoltaic materials.
These findings highlight the critical role of material selection in optimizing the thermal regulation of PV systems. A thorough understanding of the thermal behavior and physical characteristics of PoMs is essential for designing effective cooling strategies. By selecting materials with superior HT capabilities, system designers can significantly enhance cooling efficiency, minimize temperature-induced performance losses, and improve the long-term durability of solar panels.
The impact of PoMs on HT is further supported by the following fundamental conduction equation:
q c o n d = k d T d y = k T 1 T s L    
This relationship illustrates the direct proportionality between thermal conductivity (k) and the rate of conductive HT. As thermal conductivity increases, so does the capacity of the medium to dissipate heat effectively.
Overall, the results clearly demonstrate the critical importance of both material selection and flow rate in the thermal management of PV systems. Among the tested options, sandstone stands out as the most effective cooling medium, particularly when combined with a moderate flow rate of 2.0 L/min. This pairing provides an optimal balance between performance and efficiency, enabling substantial temperature reduction, minimizing thermal degradation, and ultimately extending the operational lifespan of the PV panels. The effectiveness of sandstone is largely attributed to its high thermal conductivity, which facilitates superior heat dissipation from the panel surface. Selecting a PoM with such thermal properties is essential not only for maintaining lower operating temperatures but also for improving electrical efficiency and long-term system reliability. As a result, the integration of high-conductivity PoMs with properly optimized flow rates emerges as a key design strategy for sustainable and high-performance PV cooling systems.
Figure 10 and Table 8 illustrate the influence of different PoMs and flow rates on the maximum power output of a PV panel. The data clearly demonstrate that sandstone consistently delivers the highest power output across all tested flow rates, followed by flint, marble, and gravel. This consistent trend indicates that sandstone is the most effective cooling medium, likely due to its superior thermal conductivity and structural characteristics, which enhances the efficient dissipation of heat from the PV panel surface.
Figure 10. Effect of PoMs on power output of PV panels under various flow rates; (a) 1 L/min; (b) 1.5 L/min; and (c) 2 L/min.
Table 8. Percentage increase in PV panels using different PoMs compared to no cooling.
The results also confirm that increasing the flow rate from 1.0 L/min to 2.0 L/min significantly improves cooling performance, leading to a notable rise in electrical power output. At a flow rate of 1.0 L/min, the power output increases range from 45.01% with gravel to 50.81% with sandstone, relative to the no-cooling condition. As the flow rate increases to 2.0 L/min, sandstone achieves a power increment of 57.81%, while the other media follow similar upward trends, though with slightly lower gains.
This progressive improvement in power output with both enhanced cooling flow and better thermal media highlights the synergistic effect of flow rate and material selection. The findings emphasize that choosing a porous medium with high thermal conductivity, such as sandstone, in combination with an optimal flow rate (notably 2.0 L/min), significantly improves HT efficiency. This thermal enhancement not only lowers the PV panel’s operating temperature but also boosts its electrical efficiency and overall system performance.
In conclusion, the integration of thermally efficient PoMs with an optimized cooling flow presents a practical and sustainable strategy for maximizing PV output.
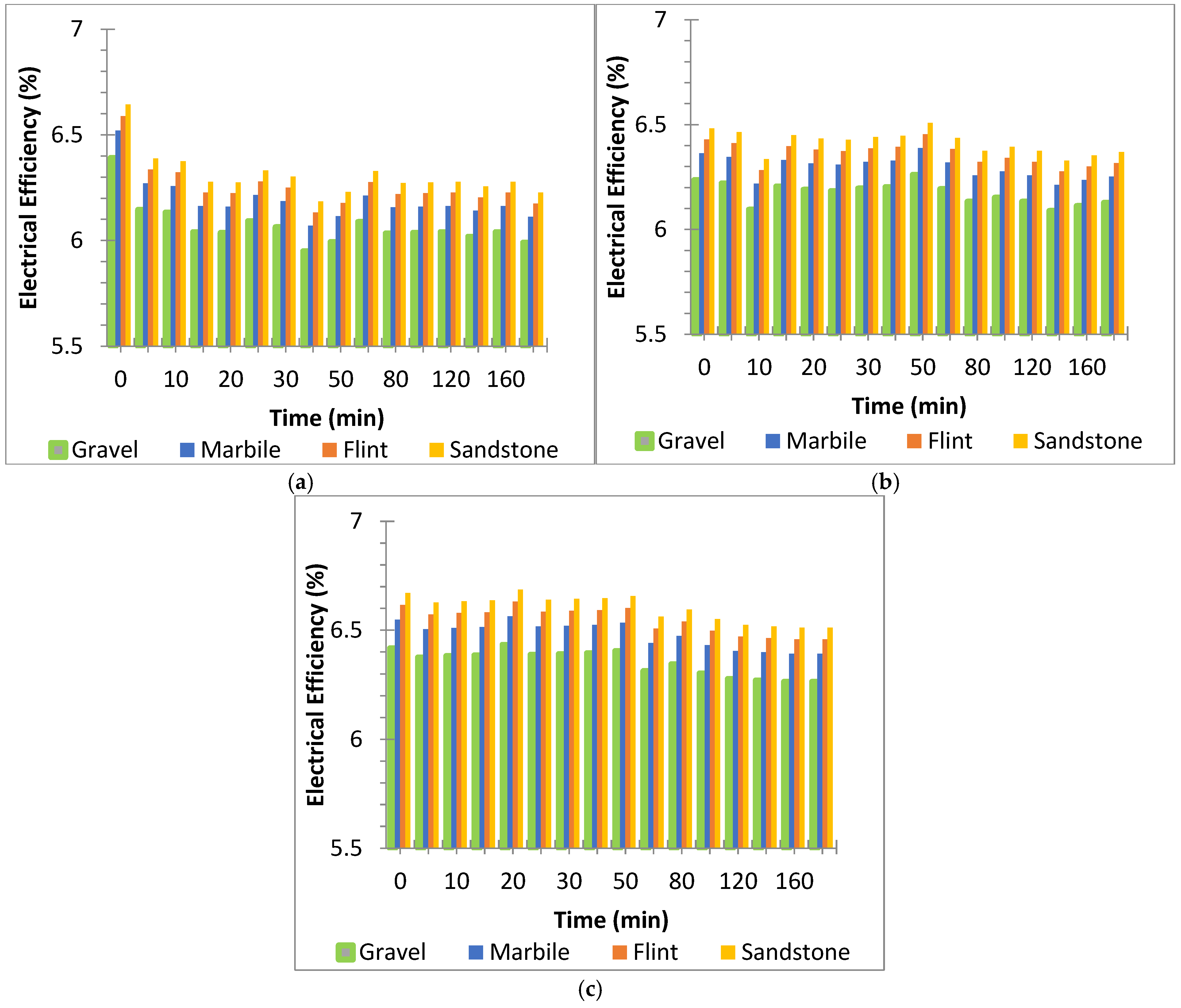
The data presented in Table 9, alongside Figure 11, provide a comprehensive view of the influence of different types of PoMs and volume flow rates on the electrical efficiency of P) panels. At a flow rate of 1.0 L/min, all PoMs significantly improve the electrical efficiency of the PV panels compared to the baseline (4.13%). Gravel increases the electrical efficiency to 5.99%, representing a 45.04% gain. Marble and flint perform slightly better, with flint reaching 6.18%, corresponding to a 49.64% improvement. Sandstone proves to be the most effective medium, achieving an electrical efficiency of 6.23%, which marks a 50.85% increase over the no-cooling condition. These gains, even at the lowest tested flow rate, demonstrate the important role of thermal regulation in enhancing electrical efficiency.
Table 9. Maximum efficiency with different PoMs.
Figure 11. Effect of PoMs on electrical efficiency of PV panels under various flow rates; (a) 1 L/min; (b) 1.5 L/min; and (c) 2 L/min.
When the flow rate is increased to 1.5 L/min, further improvements in electrical efficiency are observed across all media. Gravel reaches 6.13%, marble reaches 6.25%, flint reaches 6.32%, and sandstone reaches 6.37%. The corresponding improvements in electrical efficiency range from 48.43% with gravel to 54.24% with sandstone. This indicates that enhancing the cooling effect through increased flow rate consistently leads to higher electrical efficiency.
At the optimal flow rate of 2.0 L/min, the electrical efficiency of all configurations reaches its peak. Sandstone again leads with an electrical efficiency of 6.52%, corresponding to a 57.87% improvement. Flint follows closely at 6.46% (56.42% increase), then marble at 6.39% (54.72%), and gravel at 6.26% (51.57%). These results reinforce the observation that both higher thermal conductivity and sufficient flow contribute to greater heat dissipation, which in turn enhances electrical efficiency.
In conclusion, the findings clearly demonstrate that maximizing electrical efficiency in PV systems depends heavily on the selection of high-conductivity PoMs, such as sandstone and flint, and the optimization of the flow rate, with 2.0 L/min emerging as the most effective. This combination significantly improves the thermal management of PV panels, resulting in lower operating temperatures and enhanced electrical performance.
In addition to performance evaluation, the long-term behavior of the PoM, gravel, marble, flint, and sandstone, was carefully monitored during repeated thermal cycles and continuous water exposure. These materials exhibited high mechanical hardness, which contributed to their resistance against thermal stress, erosion, and structural degradation. Their granular structure, composed of relatively large particles, also helped prevent sediment buildup and clogging. Throughout the experimental period, no flow restrictions or material deterioration were observed, confirming the durability and reliability of these media for extended use in PV thermal regulation systems.
Beyond functional performance, these PoMs possess considerable potential for reuse and recycling after their service life. Due to stable physical and chemical characteristics, only simple cleaning is required before repurposing for continued operation in cooling systems or for alternative uses in construction (e.g., aggregate) and agriculture (e.g., drainage or soil conditioning). The combination of low maintenance requirements and long usable life makes PoMs a cost-effective and sustainable option, particularly valuable in rural or off-grid areas where system longevity and resource efficiency are crucial.
The cooling setup itself incorporates a closed-loop design with insulated water storage, effectively minimizing thermal losses and enabling continuous water reuse. Only a small amount of additional water is needed to compensate for evaporation, further enhancing operational sustainability. This design is especially beneficial in arid environments, where improved PV efficiency can be coupled with water conservation. Altogether, the use of robust, reusable porous materials supports not just thermal management but also broader objectives in renewable energy deployment, resource optimization, and long-term resilience in rural communities.

4. Conclusions

The efficient thermal management of PV systems remains a critical challenge in solar energy applications, as excessive heat accumulation significantly reduces electrical efficiency and panel lifespan. This study addressed this challenge by experimentally investigating the cooling potential of four naturally available PoMs—gravel, marble, flint, and sandstone—through a comprehensive laboratory-based approach. This research employed a precisely calibrated solar simulator (1250 W/m2 irradiance) with controlled thermal uniformity and a closed-loop water cooling system integrated with rear-mounted PoM channels. The experimental methodology systematically evaluated the thermal and electrical performance of monocrystalline PV panels under varying water flow rates (1–4 L/min) and porosity levels (0.35–0.50), with rigorous uncertainty analysis applied to all measurements. The primary aims of this investigation were threefold: (1) to identify the most effective natural porous medium for PV cooling applications, (2) to determine the optimal water flow rate for maximizing cooling efficiency, and (3) to establish the relationship between material properties, porosity, and thermal performance. This work holds particular importance as it presents a sustainable, cost-effective alternative to conventional synthetic cooling materials, which often involve complex manufacturing processes and higher costs. Based on the experimental data, the following conclusions are drawn:
  • Sandstone was identified as the most effective cooling medium, reducing PV surface temperature by 58.08% (from 87.7 °C to 36.77 °C) at 2.0 L/min, surpassing flint (57.20%), marble (56.75%), and gravel (55.87%), owing to its high thermal conductivity and optimal porosity.
  • A flow rate of 2.0 L/min achieved the optimal trade-off between cooling effectiveness and water usage. While increasing the flow from 1.0 to 2.0 L/min significantly enhanced cooling and power output, further increasing it to 4.0 L/min resulted in only a 0.12% additional temperature reduction, indicating negligible benefits and reducing returns beyond 2.0 L/min.
  • Lower porosity (0.35) significantly enhanced HT compared to higher porosities (0.4–0.5), enabling effective convective HT while maintaining sufficient fluid flow.
  • The cooling efficiency of the PoM ranked from highest to lowest as follows: sandstone, flint, marble, and gravel, with gravel being the least effective due to its relatively low thermal conductivity.
  • Sandstone cooling at 2.0 L/min increased PV electrical efficiency by 57.87%, demonstrating a direct correlation between thermal regulation and power output.
  • PoM cooling (especially sandstone) reduced temperatures 10–12 °C lower than conventional water cooling alone, proving its superior heat dissipation capability.
  • Increasing flow beyond 2.0 L/min showed reducing gains, suggesting optimal cooling occurs at moderate flow rates.
  • I–V curve analysis revealed notable enhancements in short-circuit current (Isc) and open-circuit voltage (Voc). The PoM cooling system outperformed both passive and water-cooling methods by significantly increasing Isc and Voc, leading to improved I–V characteristics and greater power output.
  • Water-only cooling proved less efficient than all PoM setups, highlighting the benefit of integrating PoM to enhance convective HT.
One notable limitation of the current experimental setup is the absence of recorded outlet water temperature data. Although the surface temperature of the PV modules was monitored to assess cooling effectiveness, measuring the outlet water temperature is critical for accurately quantifying the amount of thermal energy extracted from the PV system. Future studies should consider integrating such measurements to provide a more comprehensive thermal performance analysis. Additionally, further research could investigate the development of hybrid cooling systems that combine porous media with PCMs to enhance heat absorption capacity. Long-term performance assessments under real outdoor conditions are also recommended to evaluate the durability and reliability of these cooling solutions over time. Moreover, scaling the cooling system to larger PV installations and adapting it for different panel types, such as monocrystalline and bifacial, should be explored to confirm its broader applicability and effectiveness.

Author Contributions

Conceptualization, I.M., O.B. and A.A.; methodology, I.M., O.B. and A.A.; formal analysis, I.M., O.B. and A.A.; investigation, I.M. and A.A.; writing—original draft preparation, I.M., O.B. and A.A.; writing—review and editing, I.M. and A.A.; visualization, A.A.; project administration, A.A. All authors have read and agreed to the published version of the manuscript.

Funding

The corresponding author acknowledges with gratitude the research funding received from the National Science Foundation through Grant NSF RISE #2122985.

Institutional Review Board Statement

Not applicable.

Data Availability Statement

Dataset available on request from the authors.

Conflicts of Interest

The authors declare no conflict of interest.

References

  1. Badran, O.; Ali, A.; Razan, A.; Ismail, M.; Yousif, E.-T.; Abdel-Hafith, S. Integrating hybrid wind-PV system for reliable electricity generation in remote villages of Jordan. Int. J. Ambient Energy 2025, 46, 2483921. [Google Scholar] [CrossRef]
  2. Alrbai, M.; Al-Dahidi, S.; Al-Ghussain, L.; Hayajneh, H.; Alahmer, A. A Sustainable Wind–Biogas Hybrid System for Remote Areas in Jordan: A Case Study of Mobile Hospital for a Zaatari Syrian Refugee Camp. Sustainability 2023, 15, 14935. [Google Scholar] [CrossRef]
  3. Ghoniem, R.M.; Alahmer, A.; Rezk, H.; As’ad, S. Optimal Design and Sizing of Hybrid Photovoltaic/Fuel Cell Electrical Power System. Sustainability 2023, 15, 12026. [Google Scholar] [CrossRef]
  4. Skoplaki, E.; Palyvos, J.A. On the temperature dependence of photovoltaic module electrical performance: A review of efficiency/power correlations. Sol. Energy 2009, 83, 614–624. [Google Scholar] [CrossRef]
  5. Libra, M.; Petrík, T.; Poulek, V.; Tyukhov, I.I.; Kouřím, P. Changes in the Efficiency of Photovoltaic Energy Conversion in Temperature Range With Extreme Limits. IEEE J. Photovolt. 2021, 11, 1479–1484. [Google Scholar] [CrossRef]
  6. Hudișteanu, V.-S.; Cherecheș, N.-C.; Țurcanu, F.-E.; Hudișteanu, I.; Romila, C. Impact of Temperature on the Efficiency of Monocrystalline and Polycrystalline Photovoltaic Panels: A Comprehensive Experimental Analysis for Sustainable Energy Solutions. Sustainability 2024, 16, 10566. [Google Scholar] [CrossRef]
  7. Kumar, T.A.; Murthy, C.S.N.; Mangalpady, A. Performance analysis of PV panel under varying surface temperature. MATEC Web Conf. 2018, 144, 04004. [Google Scholar] [CrossRef]
  8. Gomaa, M.R.; Al-Dhaifallah, M.; Alahmer, A.; Rezk, H. Design, modeling, and experimental investigation of active water cooling concentrating photovoltaic system. Sustainability 2020, 12, 5392. [Google Scholar] [CrossRef]
  9. Bahaidarah, H.M.S. Experimental performance evaluation and modeling of jet impingement cooling for thermal management of photovoltaics. Sol. Energy 2016, 135, 605–617. [Google Scholar] [CrossRef]
  10. Ali, H.M. Recent advancements in PV cooling and efficiency enhancement integrating phase change materials based systems—A comprehensive review. Sol. Energy 2020, 197, 163–198. [Google Scholar] [CrossRef]
  11. Alsaqoor, S.; Alqatamin, A.; Alahmer, A.; Nan, Z.; Al-Husban, Y.; Jouhara, H. The impact of phase change material on photovoltaic thermal (PVT) systems: A numerical study. Int. J. Thermofluids 2023, 18, 100365. [Google Scholar] [CrossRef]
  12. Fikri, M.A.; Samykano, M.; Pandey, A.K.; Kadirgama, K.; Kumar, R.R.; Selvaraj, J.; Rahim, N.A.; Tyagi, V.V.; Sharma, K.; Saidur, R. Recent progresses and challenges in cooling techniques of concentrated photovoltaic thermal system: A review with special treatment on phase change materials (PCMs) based cooling. Sol. Energy Mater. Sol. Cells 2022, 241, 111739. [Google Scholar] [CrossRef]
  13. Poyyamozhi, M.; Murugesan, B.; Rajamanickam, N.; Senthil, R.; Shorfuzzaman, M.; Abdelfattah, W.M. Enhancing Power and Thermal Gradient of Solar Photovoltaic Panels with Torched Fly-Ash Tiles for Greener Buildings. Sustainability 2024, 16, 8172. [Google Scholar] [CrossRef]
  14. Guo, Y.; Liang, C.; Liu, H.; Gong, L.; Bao, M.; Shen, S. A Review on Phase-Change Materials (PCMs) in Solar-Powered Refrigeration Systems. Energies 2025, 18, 1547. [Google Scholar] [CrossRef]
  15. Masalha, I.; Masuri, S.U.; Badran, O.O.; Ariffin, M.K.A.M.; Abu Talib, A.R.; Alfaqs, F. Outdoor experimental and numerical simulation of photovoltaic cooling using porous media. Case Stud. Therm. Eng. 2023, 42, 102748. [Google Scholar] [CrossRef]
  16. Mahdi, Z.M.; Al-Shamani, A.N.; Al-Manea, A.; Al-zurfi, H.A.; Al-Rbaihat, R.; Sopian, K.; Alahmer, A. Enhancing photovoltaic thermal (PVT) performance with hybrid solar collector using phase change material, porous media, and nanofluid. Sol. Energy 2024, 283, 112983. [Google Scholar] [CrossRef]
  17. Masalha, I.; Masuri, S.U.; Badran, O.; Alahmer, A. A multi-method approach to investigating porous media cooling for enhanced thermal performance of photovoltaic panels: Exploring the effects of porosity, flow rates, channel design, and coolant types. Int. J. Thermofluids 2025, 27, 101165. [Google Scholar] [CrossRef]
  18. Herez, A.; El Hage, H.; Lemenand, T.; Ramadan, M.; Khaled, M. Review on photovoltaic/thermal hybrid solar collectors: Classifications, applications and new systems. Sol. Energy 2020, 207, 1321–1347. [Google Scholar] [CrossRef]
  19. Zhu, L.; Boehm, R.F.; Wang, Y.; Halford, C.; Sun, Y. Water immersion cooling of PV cells in a high concentration system. Sol. Energy Mater. Sol. Cells 2011, 95, 538–545. [Google Scholar] [CrossRef]
  20. Liu, Y.; Chen, Y.; Wang, D.; Liu, J.; Luo, X.; Wang, Y.; Liu, H.; Liu, J. Experimental and numerical analyses of parameter optimization of photovoltaic cooling system. Energy 2021, 215, 119159. [Google Scholar] [CrossRef]
  21. Hussien, A.; Eltayesh, A.; El-Batsh, H.M. Experimental and numerical investigation for PV cooling by forced convection. Alex. Eng. J. 2023, 64, 427–440. [Google Scholar] [CrossRef]
  22. Bhatnagar, A.; Hegde, A.K.; Arunkumar, H.S.; Karanth, K.V.; Madhwesh, N. Innovative cooling for PV panels: Energy and exergy assessments of water-induced V-shaped channels. Results Eng. 2024, 24, 103100. [Google Scholar] [CrossRef]
  23. Zhou, K.; Liu, X.; Xu, G.; Wu, H.; Pang, Q.; Ren, Q. Hybrid thermal management of solar photovoltaics using gas and liquid channel cooling with numerical and experimental analysis. Appl. Therm. Eng. 2025, 270, 126261. [Google Scholar] [CrossRef]
  24. Alrashidi, A.; Abdo, S.; Abdelrahman, M.A.; Altohamy, A.A.; Elsemary, I.M.M. Experimental investigation of front cooling for solar panels by using saturated hydrogel beads. Therm. Sci. Eng. Prog. 2025, 61, 103512. [Google Scholar] [CrossRef]
  25. Madhi, H.; Aljabair, S.; Imran, A.A. A review of photovoltaic/thermal system cooled using mono and hybrid nanofluids. Int. J. Thermofluids 2024, 22, 100679. [Google Scholar] [CrossRef]
  26. Al-Amir, Q.R.; Hamzah, H.K.; Ali, F.H.; Hatami, M.; Al-Kouz, W.; Al-Manea, A.; Al-Rbaihat, R.; Alahmer, A. Investigation of Natural Convection and Entropy Generation in a Porous Titled Z-Staggered Cavity Saturated by TiO2-Water Nanofluid. Int. J. Thermofluids 2023, 19, 100395. [Google Scholar] [CrossRef]
  27. Al-Srayyih, B.M.; Al-Manea, A.; Saleh, K.; Abed, A.M.; Al-Amir, Q.R.; Hamzah, H.K.; Ali, F.H.; Al-Rbaihat, R.; Alahmer, A. Simulation investigation of the oscillatory motion of two elliptic obstacles located within a quarter-circle cavity filled with Cu-Al2O3/water hybrid nanofluid. Numer. Heat Transf. Part A Appl. 2023, 86, 1328–1352. [Google Scholar] [CrossRef]
  28. Al-Dulaimi, Z.; Kadhim, H.T.; Jaffer, M.F.; Al-Manea, A.; Al-Rbaihat, R.; Alahmer, A. Enhanced Conjugate Natural Convection in a Corrugated Porous Enclosure with Ag-MgO Hybrid Nanofluid. Int. J. Thermofluids 2024, 21, 100574. [Google Scholar] [CrossRef]
  29. Ebaid, M.S.Y.; Ghrair, A.M.; Al-Busoul, M. Experimental investigation of cooling photovoltaic (PV) panels using (TiO2) nanofluid in water-polyethylene glycol mixture and (Al2O3) nanofluid in water- cetyltrimethylammonium bromide mixture. Energy Convers. Manag. 2018, 155, 324–343. [Google Scholar] [CrossRef]
  30. Radwan, A.; Ahmed, M.; Ookawara, S. Performance enhancement of concentrated photovoltaic systems using a microchannel heat sink with nanofluids. Energy Convers. Manag. 2016, 119, 289–303. [Google Scholar] [CrossRef]
  31. Xu, Z.; Kleinstreuer, C. Concentration photovoltaic–thermal energy co-generation system using nanofluids for cooling and heating. Energy Convers. Manag. 2014, 87, 504–512. [Google Scholar] [CrossRef]
  32. Ebaid, M.S.Y.; Ghrair, A.M.; Batarseh, F.; Roscow, J.; Bowen, C.R. Exploring cooling of PV panels based on metallic and nonmetallic nanofluids: An experimental study. Adv. Mech. Eng. 2024, 16, 16878132231220354. [Google Scholar] [CrossRef]
  33. Mustafa, U.; Qeays, I.A.; BinArif, M.S.; Yahya, S.M.; Ayob, S.B.M. Efficiency improvement of the solar PV-system using nanofluid and developed inverter topology. Energy Sources Part A Recover. Util. Environ. Eff. 2024, 46, 14657–14673. [Google Scholar] [CrossRef]
  34. Ali, F.H.; Al-Amir, Q.R.; Hamzah, H.K.; Alahmer, A. Unveiling the potential of solar cooling technologies for sustainable energy and environmental solutions. Energy Convers. Manag. 2024, 321, 119034. [Google Scholar] [CrossRef]
  35. Firoozzadeh, M.; Shiravi, A.H.; Hodaei, S. An experimental approach on employing air flow through a porous medium as coolant of photovoltaic module: Thermodynamics assessment. Therm. Sci. Eng. Prog. 2023, 40, 101799. [Google Scholar] [CrossRef]
  36. Farzan, H. Improve Efficiency of Photovoltaic/Thermal Systems using Porous Materials: An Experimental Study. Iran. J. Energy Environ. 2025, 16, 447–455. [Google Scholar] [CrossRef]
  37. Masalha, I.; Masuri, S.U.B.; Badran, O.; bin Mohd Ariffin, M.K.A.; Alfaqs, F. Theoretical and Experimental Study on the Performance of Photovoltaic using Porous Media Cooling under Indoor Condition. Int. J. Renew. Energy Dev. 2023, 12, 313–327. [Google Scholar] [CrossRef]
  38. Özşimşek, A.O.; Omar, M.A. A numerical study on the effect of employing porous medium on thermal performance of a PV/T system. Renew. Energy 2024, 226, 120327. [Google Scholar] [CrossRef]
  39. Qian, Z.; Wang, X.; Ren, J.; Wang, Q.; Zhao, L. Experimental Study of a Bionic Porous Media Evaporative Radiator Inspired by Leaf Transpiration: Exploring Energy Change Processes. Processes 2024, 12, 2745. [Google Scholar] [CrossRef]
  40. Wang, W.-W.; Chen, J.-W.; Zhang, C.-Y.; Yang, H.-F.; Ji, X.-W.; Zhang, H.-L.; Zhao, F.-Y.; Cai, Y. Green thermal management of photovoltaic panels by the absorbent hydrogel evaporative (AHE) cooling jointly with 3D porous copper foam (CF) structure. Energy 2024, 293, 130467. [Google Scholar] [CrossRef]
  41. Zhang, Y.; Shen, C.; Zhang, C.; Pu, J.; Yang, Q.; Sun, C. A novel porous channel to optimize the cooling performance of PV modules. Energy Built Environ. 2022, 3, 210–225. [Google Scholar] [CrossRef]
  42. Namuq, S.A.; Hammoodi, K.A.; Abed, A.M.; Mahdi, J.M. Maximizing thermal management of photovoltaic-thermal systems with proper configuration of porous fins and phase change materials. J. Build. Eng. 2024, 98, 111148. [Google Scholar] [CrossRef]
  43. Afaynou, I.; Faraji, H.; Choukairy, K.; Khallaki, K.; Akrour, D. Effectiveness of a PCM-based heat sink with partially filled metal foam for thermal management of electronics. Int. J. Heat Mass Transf. 2024, 235, 126196. [Google Scholar] [CrossRef]
  44. Firoozzadeh, M.; Shiravi, A.H. Simultaneous use of porous medium and phase change material as coolant of photovoltaic modules; thermodynamic analysis. J. Energy Storage 2022, 54, 105276. [Google Scholar] [CrossRef]
  45. Wang, Y.; Gao, Y.; Huang, Q.; Hu, G.; Zhou, L. Experimental study of active phase change cooling technique based on porous media for photovoltaic thermal management and efficiency enhancement. Energy Convers. Manag. 2019, 199, 111990. [Google Scholar] [CrossRef]
  46. Essa, M.A.; Talaat, M.; Amer, A.; Farahat, M.A. Enhancing the photovoltaic system efficiency using porous metallic media integrated with phase change material. Energy 2021, 225, 120299. [Google Scholar] [CrossRef]
  47. Abo-Zahhad, E.M.; Haridy, S.; Radwan, A.; El-Sharkawy, I.I.; Esmail, M.F.C. Thermal management of ultra high concentrator photovoltaic cells: Analysing the impact of sintered porous media microchannel heat sinks. J. Clean. Prod. 2024, 465, 142649. [Google Scholar] [CrossRef]
  48. Liu, H.; Zhao, X. Thermal Conductivity Analysis of High Porosity Structures with Open and Closed Pores. Int. J. Heat Mass Transf. 2022, 183, 122089. [Google Scholar] [CrossRef]
  49. Skibinski, J.; Cwieka, K.; Haj Ibrahim, S.; Wejrzanowski, T. Influence of Pore Size Variation on Thermal Conductivity of Open-Porous Foams. Materials 2019, 12, 2017. [Google Scholar] [CrossRef]
  50. Benyahia, I.; Al-Ghamdi, M.F.; Abderrahmane, A.; Younis, O.; Laouedj, S.; Guedri, K.; Alahmer, A. Comprehensive Thermal Analysis of a Nano-Enhanced PCM in a Finned Latent Heat Storage System. Int. Commun. Heat Mass Transf. 2025, 165, 109106. [Google Scholar] [CrossRef]
  51. Čáchová, M.; Koňáková, D.; Vejmelková, E.; Keppert, M.; Černý, R. Mechanical and thermal properties of the Czech marbles. AIP Conf. Proc. 2016, 1738, 280010. [Google Scholar] [CrossRef]
  52. Sun, Q.; Chen, S.E.; Gao, Q.; Zhang, W.; Geng, J.; Zhang, Y. Analyses of the factors influencing sandstone thermal conductivity. Acta Geodyn. Geomater. 2017, 14, 173–180. [Google Scholar] [CrossRef]
  53. Sarı, A.; Hekimoğlu, G.; Tyagi, V.V.; Sharma, R.K. Evaluation of pumice for development of low-cost and energy-efficient composite phase change materials and lab-scale thermoregulation performances of its cementitious plasters. Energy 2020, 207, 118242. [Google Scholar] [CrossRef]
  54. Ismail, A.F.; Abd Hamid, A.S.; Ibrahim, A.; Jarimi, H.; Sopian, K. Performance Analysis of a Double Pass Solar Air Thermal Collector with Porous Media Using Lava Rock. Energies 2022, 15, 905. [Google Scholar] [CrossRef]
  55. Yildirim, O.; Bonomo, M.; Barbero, N.; Atzori, C.; Civalleri, B.; Bonino, F.; Viscardi, G.; Barolo, C. Application of Metal-Organic Frameworks and Covalent Organic Frameworks as (Photo)Active Material in Hybrid Photovoltaic Technologies. Energies 2020, 13, 5602. [Google Scholar] [CrossRef]
  56. Rajput, U.J.; Yang, J. Comparison of heat sink and water type PV/T collector for polycrystalline photovoltaic panel cooling. Renew. Energy 2018, 116, 479–491. [Google Scholar] [CrossRef]
  57. Salam, R.A.; Munir, M.M.; Warsahemas, T.; Saputra, C.; Latief, H.; Khairurrijal, K. A simple solar simulator with highly stable controlled irradiance for solar panel characterization. Meas. Control 2019, 52, 159–168. [Google Scholar] [CrossRef]
  58. Al-Masalha, I.; Masuri, S.U.; Badran, O.; Aljamea, D.K.; Al Alawin, A.; Abu-Rahmeh, T.M.; Alkawaldeh, N.R. Cooling Photovoltaic Modules for Power and Efficiency Enhancement. Int. Rev. Mech. Eng. 2024, 18, 342–350. [Google Scholar] [CrossRef]
  59. Elminshawy, A.; Morad, K.; Elminshawy, N.A.S.; Elhenawy, Y. Performance enhancement of concentrator photovoltaic systems using nanofluids. Int. J. Energy Res. 2021, 45, 2959–2979. [Google Scholar] [CrossRef]
  60. Laabab, I.; Ziani, S.; Benami, A. Solar panels overheating protection: A review. Indones. J. Electr. Eng. Comput. Sci 2023, 29, 49–55. [Google Scholar] [CrossRef]
Disclaimer/Publisher’s Note: The statements, opinions and data contained in all publications are solely those of the individual author(s) and contributor(s) and not of MDPI and/or the editor(s). MDPI and/or the editor(s) disclaim responsibility for any injury to people or property resulting from any ideas, methods, instructions or products referred to in the content.

Article Metrics

Citations

Article Access Statistics

Multiple requests from the same IP address are counted as one view.