Key Technologies for Constructing Ecological Corridors and Resilience Protection and Disaster Reduction in Nearshore Waters
Abstract
1. Introduction
2. Related Work
3. Construction of Ecological Corridors and Resilience Protection and Disaster Reduction
3.1. Construction of Ecological Corridor
3.2. Technology Application
3.3. Public Participation
4. Construction Effect of Ecological Corridors
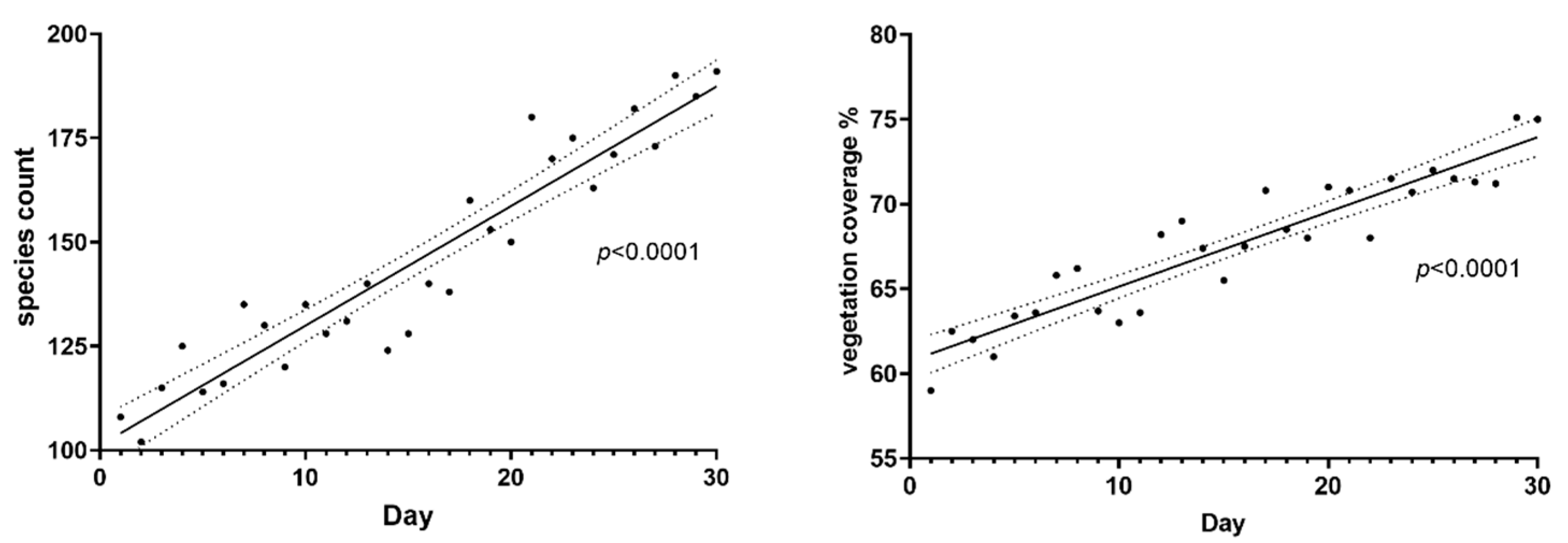
4.1. Operating State of Ecological Corridors
4.2. Protection Effectiveness
5. Discussion on the Application of Ecological Corridors
5.1. Comprehensive Benefits of Ecological Protection and Disaster Prevention and Reduction
5.2. Advantages and Disadvantages of Technology Application
5.3. Effectiveness of Public Participation
6. Conclusions
Author Contributions
Funding
Institutional Review Board Statement
Informed Consent Statement
Data Availability Statement
Conflicts of Interest
References
- St. Pierre, K.A.; Oliver, A.A.; Tank, S.E.; Hunt, B.P.; Giesbrecht, I.; Kellogg, C.T.; Jackson, J.M.; Lertzman, K.P.; Floyd, W.C.; Korver, M.C. Terrestrial exports of dissolved and particulate organic carbon affect nearshore ecosystems of the Pacific coastal temperate rainforest. Limnol. Oceanogr. 2020, 65, 2657–2675. [Google Scholar] [CrossRef]
- Shaffer, J.A.; Munsch, S.H.; Cordell, J.R. Kelp forest zooplankton, forage fishes, and juvenile salmonids of the northeast pacific nearshore. Mar. Coast. Fish. 2020, 12, 4–20. [Google Scholar] [CrossRef]
- Shen, J.; Wang, Y. An improved method for the identification and setting of ecological corridors in urbanized areas. Urban Ecosyst. 2023, 26, 141–160. [Google Scholar] [CrossRef]
- Saeed, S.A.; Gargano, S.P. Natural disasters and mental health. Int. Rev. Psychiatry 2022, 34, 16–25. [Google Scholar] [CrossRef]
- Obeagu, E.I.; Obeagu, G.U. Mental Health and Psychosocial Effects of natural disaster on HIV Patients. Asian J. Dent. Health Sci. 2024, 4, 38–44. [Google Scholar] [CrossRef]
- Posthuma, L.; van Gils, J.; Zijp, M.C.; van de Meent, D.; de Zwart, D. Species sensitivity distributions for use in environmental protection, assessment, and management of aquatic ecosystems for 12,386 chemicals. Environ. Toxicol. Chem. 2019, 38, 905–917. [Google Scholar] [CrossRef]
- Wang, X.Y.; Wu, Y. Water quality monitoring and evaluation using remote sensing techniques in China: A systematic review. Ecosyst. Health Sustain. 2019, 5, 47–56. [Google Scholar] [CrossRef]
- Ersad, A.I. Implementasi Geographic Information System Sebagai Media Pelaporan Kerusakan Jalan. J. Inform. Rekayasa Perangkat Lunak 2021, 2, 526–533. [Google Scholar] [CrossRef]
- Peng, J.; Zhao, H.; Liu, Y. Urban ecological corridors construction: A review. Acta Ecol. Sin. 2017, 37, 23–30. [Google Scholar] [CrossRef]
- Van Der Windt, H.J.; Swart, J.A.A. Ecological corridors, connecting science and politics: The case of the Green River in the Netherlands. J. Appl. Ecol. 2008, 45, 124–132. [Google Scholar] [CrossRef]
- Solomakha, I.V.; Konishchuk, V.V.; Mudrak, O.V.; Mudrak, H.V. A Study of the Emerald Network objects in Ukrainian Forest-Steppe of Dnieper ecological corridor. Ukr. J. Ecol. 2020, 10, 209–218. [Google Scholar]
- Miara, M.D.; Souidi, Z.; Benhanifa, K.; Daikh, A.; Hammou, M.A.; Moumenine, A.; Sabi, I.H. Diversity, natural habitats, ethnobotany and conservation of the flora of the Macta marches (North-West Algeria). Int. J. Environ. Stud. 2021, 78, 817–837. [Google Scholar] [CrossRef]
- Mohamed, A.; DeClerck, F.; Verburg, P.H.; Obura, D.; Abrams, J.F.; Zafra-Calvo, N.; Rocha, J.; Estrada-Carmona, N.; Fremier, A.; Jones, S.K.; et al. Securing Nature’s Contributions to People requires at least 20–25%(semi-) natural habitat in human-modified landscapes. One Earth 2024, 7, 59–71. [Google Scholar] [CrossRef]
- Niang, A.J. Monitoring long-term shoreline changes along Yanbu, Kingdom of Saudi Arabia using remote sensing and GIS techniques. J. Taibah Univ. Sci. 2020, 14, 762–776. [Google Scholar] [CrossRef]
- Baig, M.R.I.; Ahmad, I.A.; Shahfahad; Tayyab, M.; Rahman, A. Analysis of shoreline changes in Vishakhapatnam coastal tract of Andhra Pradesh, India: An application of digital shoreline analysis system (DSAS). Ann. GIS 2020, 26, 361–376. [Google Scholar] [CrossRef]
- Raj, N.; Gurugnanam, B.; Sudhakar, V.; Francis, P.G. Estuarine shoreline change analysis along The Ennore river mouth, south east coast of India, using digital shoreline analysis system. Geod. Geodyn. 2019, 10, 205–212. [Google Scholar]
- Isaac, A.; Adu-Boahen, K.; Dadson, I.Y. Spatio-Temporal Shoreline Movement of the Afram River in Ghana: The Application of Endpoint Rate and Net Shoreline Movement. J. Soc. Sci. (JoSS) 2023, 2, 623–638. [Google Scholar] [CrossRef]
- Meilianda, E.; Mauluddin, S.; Pradhan, B.; Sugianto, S. Decadal shoreline changes and effectiveness of coastal protection measures post-tsunami on 26 December 2004. Appl. Geomat. 2023, 15, 743–758. [Google Scholar] [CrossRef]
- Araos, M. Democracy underwater: Public participation, technical expertise, and climate infrastructure planning in New York City. Theory Soc. 2023, 52, 1–34. [Google Scholar] [CrossRef]
- McCarron, A.; Semple, S.; Braban, C.F.; Swanson, V.; Gillespie, C.; Price, H.D. Public engagement with air quality data: Using health behaviour change theory to support exposure-minimising behaviours. J. Expo. Sci. Environ. Epidemiol. 2023, 33, 321–331. [Google Scholar] [CrossRef]
- Garcia, X.; Benages-Albert, M.; Buchecker, M.; Vall-Casas, P. River rehabilitation: Preference factors and public participation implications. J. Environ. Plan. Manag. 2020, 63, 1528–1549. [Google Scholar] [CrossRef]
- Merz, E.; Saberski, E.; Gilarranz, L.J.; Isles, P.D.F.; Sugihara, G.; Berger, C.; Pomati, F. Disruption of ecological networks in lakes by climate change and nutrient fluctuations. Nat. Clim. Change 2023, 13, 389–396. [Google Scholar] [CrossRef] [PubMed]
- Windsor, F.M.; van den Hoogen, J.; Crowther, T.W.; Evans, D.M. Using ecological networks to answer questions in global biogeography and ecology. J. Biogeogr. 2023, 50, 57–69. [Google Scholar] [CrossRef]
- Ma, H.; Zhang, Y.; Sun, S.; Liu, T.; Shan, Y. A comprehensive survey on NSGA-II for multi-objective optimization and applications. Artif. Intell. Rev. 2023, 56, 15217–15270. [Google Scholar] [CrossRef]
- Tian, Y.; Si, L.; Zhang, X.; Cheng, R.; He, C.; Tan, K.C.; Jin, Y. Evolutionary large-scale multi-objective optimization: A survey. ACM Comput. Surv. (CSUR) 2021, 54, 1–34. [Google Scholar] [CrossRef]
- Ge, Y.G.; Cui, P.; Chen, X.Q. Strategy of the international cooperation with respect to disaster prevention and reduction in the Belt and Road areas. Sci. Technol. Rev. 2020, 38, 29–34. [Google Scholar]
- Noda, T.; Yamori, K.; Harada, K. Development of disaster response applications and improvements in regional disaster prevention capacity based on collaborative information use. J. Disaster Res. 2019, 14, 375–386. [Google Scholar] [CrossRef]
- Haoxiang, W.; Smys, S. Big data analysis and perturbation using data mining algorithm. J. Soft Comput. Paradig. (JSCP) 2021, 3, 19–28. [Google Scholar] [CrossRef]
- Sun, H.; Zheng, X.; Lu, X.; Wu, S. Spectral–spatial attention network for hyperspectral image classification. IEEE Trans. Geosci. Remote Sens. 2019, 58, 3232–3245. [Google Scholar] [CrossRef]
- Yang, C.; Li, H.; Huang, X.; Li, X.; Liu, Y.; Hong, W.; Zou, Y. Research on Extraction and Evaluation of Ecological Corridor Based on Remote Sensing and GIS. In Proceedings of the IGARSS 2019—2019 IEEE International Geoscience and Remote Sensing Symposium, Yokohama, Japan, 28 July–2 August 2019. [Google Scholar]
- Huang, J.J.; Feng, X.L.; Dong, Y.Y.; Zhang, C.; Xie, L.J.; Cheng, J.K.; Gao, T.Y. Construction of ecological security pattern in Ningbo based on remote sensing ecological index and graph theory knowledge. Chin. J. Appl. Ecol. 2023, 34, 2489–2497. [Google Scholar]
- Huan, Y. Design of wetland ecological corridor based on multi-scale remote sensing image segmentation. Chin. J. Ecol. 2010, 29, 407–412. [Google Scholar]
- Meyer, H.; Pebesma, E. Predicting into unknown space? Estimating the area of applicability of spatial prediction models. Methods Ecol. Evol. 2021, 12, 1620–1633. [Google Scholar] [CrossRef]








| Region | Soil Organic Matter (%) | Soil pH | Soil Moisture Content (%) |
|---|---|---|---|
| Region A | 5.2 | 6.8 | 23.5 |
| Region B | 4.9 | 7.1 | 21.3 |
| Region C | 5.7 | 6.5 | 24.7 |
| Region D | 5.1 | 6.9 | 22 |
| Region E | 4.8 | 7 | 20.9 |
| Year | Tourism Revenue (10,000 CNY) | Fishery Revenue (10,000 CNY) | Biodiversity Conservation Investment (10,000 CNY) |
|---|---|---|---|
| 2019 | 1200 | 800 | 500 |
| 2020 | 1300 | 850 | 520 |
| 2021 | 1400 | 900 | 540 |
| 2022 | 1500 | 950 | 560 |
| 2023 | 1600 | 1000 | 580 |
| Region | Species Richness | Shannon’s Diversity Index | Simpson’s Diversity Index |
|---|---|---|---|
| Region A | 12 | 1.45 | 0.76 |
| Region B | 15 | 1.6 | 0.79 |
| Region C | 10 | 1.3 | 0.72 |
| Region D | 13 | 1.5 | 0.77 |
| Region E | 14 | 1.55 | 0.78 |
Disclaimer/Publisher’s Note: The statements, opinions and data contained in all publications are solely those of the individual author(s) and contributor(s) and not of MDPI and/or the editor(s). MDPI and/or the editor(s) disclaim responsibility for any injury to people or property resulting from any ideas, methods, instructions or products referred to in the content. |
© 2025 by the authors. Licensee MDPI, Basel, Switzerland. This article is an open access article distributed under the terms and conditions of the Creative Commons Attribution (CC BY) license (https://creativecommons.org/licenses/by/4.0/).
Share and Cite
Qin, H.; Ye, Y. Key Technologies for Constructing Ecological Corridors and Resilience Protection and Disaster Reduction in Nearshore Waters. Sustainability 2025, 17, 5234. https://doi.org/10.3390/su17125234
Qin H, Ye Y. Key Technologies for Constructing Ecological Corridors and Resilience Protection and Disaster Reduction in Nearshore Waters. Sustainability. 2025; 17(12):5234. https://doi.org/10.3390/su17125234
Chicago/Turabian StyleQin, Huihuang, and Yong Ye. 2025. "Key Technologies for Constructing Ecological Corridors and Resilience Protection and Disaster Reduction in Nearshore Waters" Sustainability 17, no. 12: 5234. https://doi.org/10.3390/su17125234
APA StyleQin, H., & Ye, Y. (2025). Key Technologies for Constructing Ecological Corridors and Resilience Protection and Disaster Reduction in Nearshore Waters. Sustainability, 17(12), 5234. https://doi.org/10.3390/su17125234
