Spatiotemporal Evolution of Anthropogenic Emissions and Their Impact on Air Pollution in Guangdong Province from 2006 to 2020
Abstract
1. Introduction
2. Data and Methods
2.1. Establishment of the Guangdong Province Trend Emission Inventory
2.2. POI Data Acquisition and Preprocessing
2.3. Analysis of Spatial Changes of Emissions
2.4. Simulations of the Impact of Emission Spatial Evolution on Air Quality
3. Results and Discussion
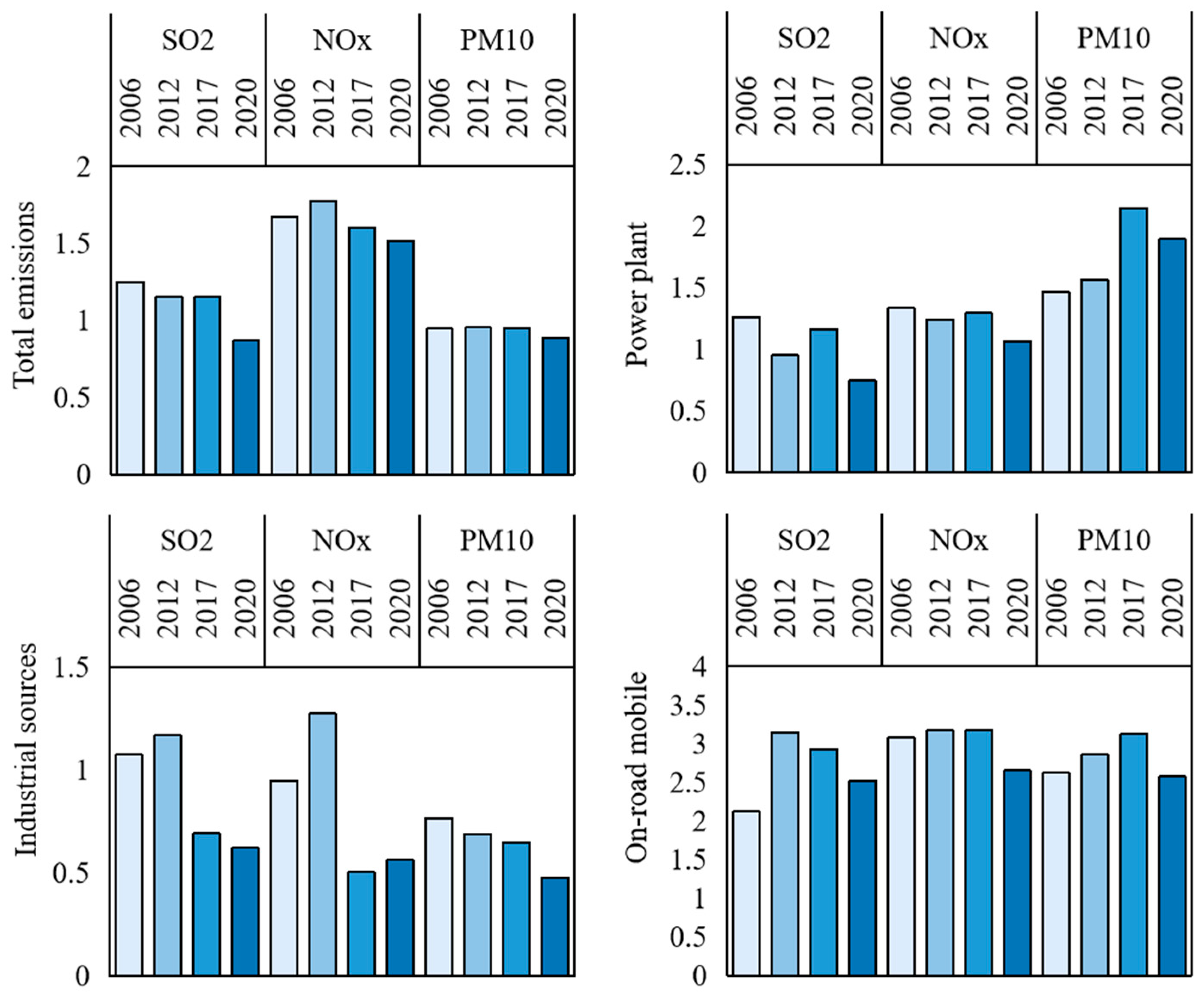
3.1. Temporal Trends of Annual Emissions in Guangdong Province
3.2. Comparison of Temporal Emission Trends of Major Sources Between the PRD and NPRD Regions
3.2.1. SO2
3.2.2. NOX
3.2.3. PM10
3.3. Spatial Evolution of Major Emission Sources in Guangdong Province
3.3.1. Power Plants
3.3.2. Industrial Sources
3.3.3. Vehicle Sources
3.4. Impact of Emission Evolution on PM2.5 Pollution in Guangdong Province
3.4.1. Impact of Total Emission Changes
3.4.2. Impact of Spatial Changes
4. Conclusions
Supplementary Materials
Author Contributions
Funding
Institutional Review Board Statement
Informed Consent Statement
Data Availability Statement
Acknowledgments
Conflicts of Interest
References
- State Council of the People’s Republic of China. Action Plan for Air Pollution Prevention and Control; State Council of the People’s Republic of China: Beijing, China, 2013.
- Guangdong Provincial Government. Implementation Plan of Guangdong Province for Winning the Battle for Blue Skies (2018–2020); Guangdong Provincial Government: Guangzhou, China, 2019.
- Guangdong Provincial Department of Ecology and Environment. 2023 Guangdong Provincial Ecological Environment Bulletin; Guangdong Environmental Protection Department: Guangzhou, China, 2023. Available online: https://gdee.gd.gov.cn/hjzkgb/content/post_4411008.html (accessed on 4 April 2025).
- Ma, P.; Cao, S.; Liu, Y.; Huang, J. Analysis of Vehicle Emission Characteristics and Variations in Guangdong Province from 2006 to 2012. Res. Environ. Sci. 2015, 28, 855–861. [Google Scholar]
- Mo, H.; You, Y.; Wu, L.; Yan, F.; Chang, M.; Wang, W.; Wang, P.; Wang, X. Potential impact of industrial transfer on PM2.5 and economic development under scenarios oriented by different objectives in Guangdong, China. Environ. Pollut. 2023, 316, 120562. [Google Scholar] [CrossRef] [PubMed]
- Guangdong Provincial Government. Measures for the Prevention and Control of Air Pollution in the Pearl River Delta Region of Guangdong Province; Guangdong Provincial Government: Guangzhou, China, 2009.
- Guangdong Environmental Protection Department. Notice on Issuing the 2011 Implementation Plan for the Pearl River Delta Clean Air Action Plan; Guangdong Environmental Protection Department: Guangzhou, China, 2011. [Google Scholar]
- Guangdong Provincial Committee of the Communist Party of China; Guangdong Provincial Government. Decision of the People’s Government of Guangdong Province on Promoting Industrial Transfer and Labor Transfer; Guangdong Provincial Committee of the Communist Party of China: Guangzhou, China; Guangdong Provincial Government: Guangzhou, China, 2008.
- Bian, Y.; Huang, Z.; Ou, J.; Zhong, Z.; Xu, Y.; Zhang, Z.; Xiao, X.; Ye, X.; Wu, Y.; Yin, X.; et al. Evolution of anthropogenic air pollutant emissions in Guangdong Province, China, from 2006 to 2015. Atmos. Chem. Phys. 2019, 19, 11701–11719. [Google Scholar] [CrossRef]
- Chen, L.; Xu, L.; Yang, Z. Accounting carbon emission changes under regional industrial transfer in an urban agglomeration in China’s Pearl River Delta. J. Clean. Prod. 2017, 167, 110–119. [Google Scholar] [CrossRef]
- Wei, D.; Liu, Y.; Zhang, N. Does industry upgrade transfer pollution: Evidence from a natural experiment of Guangdong province in China. J. Clean. Prod. 2019, 229, 902–910. [Google Scholar] [CrossRef]
- Liu, Y. Industrial resettlement and environmental pollution in Guangdong Province: An empirical study on twenty-one prefecture-level cities by DID. Ind. Econ. Rev. 2016, 4, 91–106. [Google Scholar]
- Yin, X.; Huang, Z.; Zheng, J.; Yuan, Z.; Zhu, W.; Huang, X.; Chen, D. Source contributions to PM2.5 in Guangdong province, China by numerical modeling: Results and implications. Atmos. Res. 2017, 186, 63–71. [Google Scholar] [CrossRef]
- Yang, C. Restructuring the export-oriented industrialization in the Pearl River Delta, China: Institutional evolution and emerging tension. Appl. Geogr. 2012, 32, 143–157. [Google Scholar] [CrossRef]
- Yang, B.; Mao, Y. Industrial relocation policy and firm migration: An empirical analysis from Guangdong industrial relocation survey data. South China J. Econ. 2014, 3, 1000–6249. [Google Scholar]
- Cui, X.; Lei, Y.; Zhang, F.; Zhang, X.; Wu, F. Mapping spatiotemporal variations of CO2 (carbon dioxide) emissions using nighttime light data in Guangdong Province. Phys. Chem. Earth. 2019, 110, 89–98. [Google Scholar] [CrossRef]
- Yang, L.; Zhang, H.; Liao, X.; Wang, H.; Bian, Y.; Liu, G.; Luo, W. The Relationship between Spatial Characteristics of Urban-Rural Settlements and Carbon Emissions in Guangdong Province. Int. J. Environ. Res. Public Health 2023, 20, 2659. [Google Scholar] [CrossRef] [PubMed]
- Guangdong Provincial Bureau of Statistics. Guangdong Statistical Yearbook, 1st ed.; China Statistics Press: Beijing, China, 2021.
- Zhang, L.; Weng, D.; Xu, Y.; Hong, B.; Wang, S.; Hu, X.; Zhang, Y.; Wang, Z. Spatio-temporal evolution characteristics of carbon emissions from road transportation in the mainland of China from 2006 to 2021. Sci. Total Environ. 2024, 917, 170430. [Google Scholar] [CrossRef]
- Wei, C. Historical trend and drivers of China’s CO2 emissions from 2000 to 2020. Environ. Dev. Sustain. 2024, 26, 2225–2244. [Google Scholar] [CrossRef]
- Cai, H.; Xie, S. Estimation of vehicular emission inventories in China from 1980 to 2005. Atmos. Environ. 2007, 41, 8963–8979. [Google Scholar] [CrossRef]
- Li, L.Y.; Xie, S.D. Historical variations of biogenic volatile organic compound emission inventories in China, 1981–2003. Atmos. Environ. 2014, 95, 185–196. [Google Scholar] [CrossRef]
- Wu, R.; Bo, Y.; Li, J.; Li, L.; Li, Y.; Xie, S. Method to establish the emission inventory of anthropogenic volatile organic compounds in China and its application in the period 2008–2012. Atmos. Environ. 2016, 127, 244–254. [Google Scholar] [CrossRef]
- Zheng, C.; Shen, J.; Zhang, Y.; Huang, W.; Zhu, X.; Wu, X.; Chen, L.; Gao, X.; Cen, K. Quantitative assessment of industrial VOC emissions in China: Historical trend, spatial distribution, uncertainties, and projection. Atmos. Environ. 2017, 150, 116–125. [Google Scholar] [CrossRef]
- Jiang, L.; Chen, Y.; Zhou, H.; He, S. NOX emissions in China: Temporal variations, spatial patterns and reduction potentials. Atmos. Pollut. Res. 2020, 11, 1473–1480. [Google Scholar] [CrossRef]
- Ohara, T.; Akimoto, H.; Kurokawa, J.-i.; Horii, N.; Yamaji, K.; Yan, X.; Hayasaka, T. An Asian emission inventory of anthropogenic emission sources for the period 1980–2020. Atmos. Chem. Phys. 2007, 7, 4419–4444. [Google Scholar] [CrossRef]
- Lamb, W.F.; Wiedmann, T.; Pongratz, J.; Andrew, R.; Crippa, M.; Olivier, J.G.; Wiedenhofer, D.; Mattioli, G.; Al Khourdajie, A.; House, J.; et al. A review of trends and drivers of greenhouse gas emissions by sector from 1990 to 2018. Environ. Res. Lett. 2021, 16, 073005. [Google Scholar] [CrossRef]
- Wang, R.; Ci, H.; Zhang, T.; Tang, Y.; Wei, J.; Yang, H.; Feng, G.; Yan, Z. Spatial-Temporal Evolution Characteristics of Industrial Carbon Emissions in China’s Most Developed Provinces from 1998–2013: The Case of Guangdong. Energies 2023, 16, 2249. [Google Scholar] [CrossRef]
- Zhu, J.; Li, X.; Huang, H.; Yin, X.; Yao, J.; Liu, T.; Wu, J.; Chen, Z. Spatiotemporal Evolution of Carbon Emissions According to Major Function-Oriented Zones: A Case Study of Guangdong Province, China. Int. J. Environ. Res. Public Health 2023, 20, 2075. [Google Scholar] [CrossRef]
- Huang, H.; Sha, Q.; Zhu, M.; Wang, Y.; Lu, M.; Zhang, X.; Tang, M.; Huang, Z.; Shi, B.; Bai, L.; et al. Evolution of emission characteristics and species of industrial VOCs emission in Pearl River Delta Region, 2010~2017. China Environ. Sci. 2020, 40, 4641–4651. [Google Scholar]
- Wu, D.; Bi, X.; Deng, X.; Li, F.; Tan, H.; Liao, G.; Huang, J. Effect of atmospheric haze on the deterioration of visibility over the Pearl River Delta. Acta Meteorol. Sin.-Engl. Ed. 2007, 21, 215–223. [Google Scholar]
- He, M.; Zheng, J.; Yin, S.; Zhang, Y. Trends, temporal and spatial characteristics, and uncertainties in biomass burning emissions in the Pearl River Delta, China. Atmos. Environ. 2011, 45, 4051–4059. [Google Scholar] [CrossRef]
- Yang, X.; Ma, Y.; Ju, Y.; Cai, Q.; Guo, F. Temporal and spatial distribution of air pollutants emitted from field burning of straw crops in Southern China during 2005–2014. J. Agro-Environ. Sci. 2018, 37, 358–368. [Google Scholar]
- Sun, X.-B.; Liao, C.-H.; Zeng, W.-T.; Zhang, Y.-B.; Liang, X.-M.; Ye, D.-Q. Emission Inventory of Atmospheric Pollutants and VOC Species from Crop Residue Burning in Guangdong Province. Huan Jing Ke Xue= Huanjing Kexue 2018, 39, 3995–4001. [Google Scholar] [PubMed]
- Zhang, C.; Li, J.; Zhao, W.; Yao, Q.; Wang, H.; Wang, B. Open biomass burning emissions and their contribution to ambient formaldehyde in Guangdong province, China. Sci. Total Environ. 2022, 838, 155904. [Google Scholar] [CrossRef]
- Zhong, Z.; Zheng, J.; Zhu, M.; Huang, Z.; Zhang, Z.; Jia, G.; Wang, X.; Bian, Y.; Wang, Y.; Li, N. Recent developments of anthropogenic air pollutant emission inventories in Guangdong province, China. Sci. Total Environ. 2018, 627, 1080–1092. [Google Scholar] [CrossRef]
- Cui, X.; Sha, Q.e.; Li, C.; Wang, Y.; Wu, L.; Zhang, X.; Zheng, J.; Yan, M. Assessment of emission reduction effect of major air pollution control measures in the Pearl River Delta from 2013 to 2017. Acta Sci. Circumstantiae 2021, 41, 1800–1808. [Google Scholar]
- Ming, G.-Y.; Zhu, M.-N.; Sha, Q.-E.; Zhang, X.-C.; Rao, S.-J.; Chen, C.; Liu, H.-L.; Zheng, J.-Y. Evolution Characteristics of Atmospheric Formaldehyde Emissions in Guangdong Province from 2006 to 2020. Huan Jing Ke Xue= Huanjing Kexue 2023, 44, 4819–4831. [Google Scholar] [PubMed]
- Zhou, Y.; Shan, Y.; Liu, G.; Guan, D. Emissions and low-carbon development in Guangdong-Hong Kong-Macao Greater Bay Area cities and their surroundings. Appl. Energy 2018, 228, 1683–1692. [Google Scholar] [CrossRef]
- Zhang, Y.; Zhang, L.; Wang, Y.; Chen, F. Research on the carbon emission evolution of land use and its influential factors of Chizhou City in Anhui Province. J. China Agric. Univ. 2014, 19, 216–223. [Google Scholar]
- Wang, J.; Zhang, J. Evolutionary Mechanism of Energy-related Carbon Emissions in Baoding. Enuivonmental Sci. Technol. 2014, 37, 201–205. [Google Scholar]
- Qin, Z.; Tang, W.; Yin, Y.; Mao, M.; Wang, B. Spatial distribution of PM2.5 emission from cooking sources in Chengdu based on internet big data method. Acta Sci. Circumstantiae 2017, 37, 4511–4518. [Google Scholar]
- Lin, P.; Gao, J.; Xu, Y.; Schauer, J.J.; Wang, J.; He, W.; Nie, L. Enhanced commercial cooking inventories from the city scale through normalized emission factor dataset and big data. Environ. Pollut. 2022, 315, 120320. [Google Scholar] [CrossRef]
- Wang, K.; Gao, C.; Wang, C.; Tong, Y.; Wang, S.; Wang, R.; Liu, Y. Research on Emission Inventory Processing Tool based on CSGD Data. Res. Environ. Sci. 2019, 32, 1090–1098. [Google Scholar]
- Wang, K.; Gao, J.; Tian, H.; Dan, M.; Yue, T.; Xue, Y.; Zou, P.; Wang, C. An emission inventory spatial allocatemethod based on POI data. China Environ. Sci. 2017, 37, 2377–2382. [Google Scholar]
- Pan, Y. Characteristic Analysis and Estimation for Exhaust Emissions of New-Energy Buses with Multi-Source Data. Ph.D. Dissertation, Southeast University, Nanjing, China, 2020. [Google Scholar]
- Li, B.; Wang, J.; Wu, S.; Jia, Z.; Li, Y.; Wang, T.; Zhou, S. New Method for Improving Spatial Allocation Accuracy of Industrial Energy Consumption and Implications for Polycyclic Aromatic Hydrocarbon Emissions in China. Environ. Sci. Technol. 2019, 53, 4326–4334. [Google Scholar] [CrossRef]
- Wang, X.; Cai, Y.; Liu, G.; Zhang, M.; Bai, Y.; Zhang, F. Carbon emission accounting and spatial distribution of industrial entities in Beijing-Combining nighttime light data and urban functional areas. Ecol. Inf. 2022, 70, 101759. [Google Scholar] [CrossRef]
- Tian, D.; Zhang, J.; Li, B.; Xia, C.; Zhu, Y.; Zhou, C.; Wang, Y.; Liu, X.; Yang, M. Spatial analysis of commuting carbon emissions in main urban area of Beijing: A GPS trajectory-based approach. Ecol. Indic. 2024, 159, 111610. [Google Scholar] [CrossRef]
- Zheng, J.; Zhang, L.; Che, W.; Zheng, Z.; Yin, S. A highly resolved temporal and spatial air pollutant emission inventory for the Pearl River Delta region, China and its uncertainty assessment. Atmos. Environ. 2009, 43, 5112–5122. [Google Scholar] [CrossRef]
- Zheng, J.; Wang, S.; Huang, Z. Technical Methods and Applications for Establishing a High-Resolution Regional Atmospheric Emission Inventory, 1st ed.; Science Press: Beijing, China, 2014. [Google Scholar]
- State Council of the People’s Republic of China. Circular of the State Council on the Issuance of the Action Plan for the Prevention and Control of Air Pollution; State Council of the People’s Republic of China: Beijing, China, 2013.
- State Council of the People’s Republic of China. Circular of the State Council on the Issuance of the Three-Year Action Plan for Winning the Battle for Blue Sky Defense; State Council of the People’s Republic of China: Beijing, China, 2018.
- Gao, Y.; Yang, Q.; Liang, L.; Zhao, Y. Spatial Pattern and Influencing Factors of Retailing Industries in Xi’an Based on POI Data. Sci. Geogr. Sin. 2020, 40, 710–719. [Google Scholar]
- Wu, K.; Zhang, H.; Wang, Y.; Wu, Q.; Ye, Y. Identify of the multiple types of commercial center in Guangzhou and its spatial pattern. Prog. Geogr. 2016, 35, 963–974. [Google Scholar]
- Chen, w.; Liu, L.; Liang, Y. Retail center recognition and spatial aggregating feature analysis of retail formats in Guangzhou based on POI data. Geogr. Res. 2016, 35, 703–716. [Google Scholar]
- Xue, B.; Xiao, X.; Li, J.; Jiang, L.; Xie, X. POI-Based Analysis on Retail’s Spatial Hot Blocks at a City Level: A Case Study of Shenyang, China. Econ. Geogr. 2018, 38, 36–43. [Google Scholar]
- Hao, F.; Wang, S.; Feng, Z.; Yu, T.; Ma, L. Spatial pattern and its industrial distribution of commercial space in Changchun based on POI data. Geogr. Res. 2018, 37, 366–378. [Google Scholar]
- Liu, C.; Xue, S. Spatial heterogeneity of public service facilities in central Shanghai. Hum. Geogr. 2019, 134, 122–130. [Google Scholar]
- Zheng, J.; Che, W.; Wang, Z. Traffic flow and road network-based spatial allocation of regional mobile source emission inventories. Acta Sci. Circumstantiae 2009, 29, 815–821. [Google Scholar]
- Zhang, J.; Huang, Y.; Zhou, N.; Huang, Z.; Shi, B.; Yuan, X.; Sheng, L.; Zhang, A.; You, Y.; Chen, D.; et al. Contribution of anthropogenic emission changes to the evolution of PM2.5 concentrations and composition in the Pearl River Delta during the period of 2006–2020. Atmos. Environ. 2023, 318, 120228. [Google Scholar] [CrossRef]
- Carter, W.P. Development of the SAPRC-07 chemical mechanism. Atmos. Environ. 2010, 44, 5324–5335. [Google Scholar] [CrossRef]
- Tian, X.; An, C.; Nik-Bakht, M.; Chen, Z. Assessment of reductions in NO2 emissions from thermal power plants in Canada based on the analysis of policy, inventory, and satellite data. J. Clean. Prod. 2022, 341, 130859. [Google Scholar] [CrossRef]
- Shi, X.; Elmore, A.; Li, X.; Gorence, N.J.; Jin, H.; Zhang, X.; Wang, F. Using spatial information technologies to select sites for biomass power plants: A case study in Guangdong Province, China. Biomass Bioenergy 2008, 32, 35–43. [Google Scholar] [CrossRef]
- Li, J.; Cockerill, T.; Liang, X.; Gibbins, J. Locating New Coal-fired Power Plants with Carbon Capture Ready Design—A GIS Case Study of Guangdong Province in China. In Proceedings of the 10th International Conference on Greenhouse Gas Control Technologies, Amsterdam, The Netherlands, 19–23 September 2011; Volume 4, pp. 2824–2830. [Google Scholar]
- Guangdong Provincial Government. Outline of the Pearl River Delta Environmental Protection Plan (2004–2020); Guangdong Provincial Government: Guangzhou, China, 2005.
- Guangdong Provincial Government. The Eleventh Five-Year Plan for Environmental Protection and Ecological Construction in Guangdong Province; Guangdong Provincial Government: Guangzhou, China, 2007.
- Guangdong Provincial Government. Pearl River Delta Integrated Environmental Protection Plan (2009–2020); Guangdong Provincial Government: Guangzhou, China, 2010.
- Guangdong Provincial Government. Pearl River Delta Clean Air Action Plan 2011 Annual Implementation Plan; Guangdong Provincial Government: Guangzhou, China, 2011.
- Guangdong Provincial Government. Guangdong Environmental Protection Planning Program (2006–2020); Guangdong Provincial Government: Guangzhou, China, 2011.
- Guangdong Provincial Bureau of Statistics. Guangdong Statistical Yearbook, 1st ed.; China Statistics Press: Beijing, China, 2007.
- Guangdong Provincial Bureau of Statistics. Guangdong Statistical Yearbook, 1st ed.; China Statistics Press: Beijing, China, 2013.
- Guangdong Provincial Bureau of Statistics. Guangdong Statistical Yearbook, 1st ed.; China Statistics Press: Beijing, China, 2018.
- Peñuelas, J.; Staudt, M. BVOCs and global change. Trends Plant Sci. 2010, 15, 133–144. [Google Scholar] [CrossRef]
- Huang, J.; Liu, R.; Wang, Q.; Gao, X.; Han, Z.; Gao, J.; Gao, H.; Zhang, S.; Wang, J.; Zhang, L.; et al. Climate factors affect N2O emissions by influencing the migration and transformation of nonpoint source nitrogen in an agricultural watershed. Water Res. 2022, 223, 119028. [Google Scholar] [CrossRef]
- Martins, C.S.; Nazaries, L.; Delgado-Baquerizo, M.; Macdonald, C.A.; Anderson, I.C.; Hobbie, S.E.; Venterea, R.T.; Reich, P.B.; Singh, B.K. Identifying environmental drivers of greenhouse gas emissions under warming and reduced rainfall in boreal–temperate forests. Funct. Ecol. 2017, 31, 2356–2368. [Google Scholar] [CrossRef]









| Scenario | Meteorological Data | Emission Levels | Spatial Distribution | Comparison Basis |
|---|---|---|---|---|
| Base | 2020 (observed meteorology) | 2020 emissions (SO2, NOX, PM2.5) | Fixed spatial distribution (2020 profiles) | Baseline scenario |
| Case 1 | 2020 (same as Base) | 2012 emissions (SO2, NOX, PM2.5) | Fixed spatial distribution (2020 profiles) | Base vs. Case 1 (impact of emission quantity changes, 2012–2020) |
| Case 2 | 2020 (same as Base) | 2012 emissions (SO2, NOX, PM2.5) | Adjusted spatial distribution (2012 profiles) | Case 1 vs. Case 2 (impact of spatial redistribution, 2012–2020) |
Disclaimer/Publisher’s Note: The statements, opinions and data contained in all publications are solely those of the individual author(s) and contributor(s) and not of MDPI and/or the editor(s). MDPI and/or the editor(s) disclaim responsibility for any injury to people or property resulting from any ideas, methods, instructions or products referred to in the content. |
© 2025 by the authors. Licensee MDPI, Basel, Switzerland. This article is an open access article distributed under the terms and conditions of the Creative Commons Attribution (CC BY) license (https://creativecommons.org/licenses/by/4.0/).
Share and Cite
Li, J.; Zhu, K.; Chen, C.; Huang, Z.; Huang, Y.; Sha, Q.; Zhu, M.; Chen, H.; Zheng, J. Spatiotemporal Evolution of Anthropogenic Emissions and Their Impact on Air Pollution in Guangdong Province from 2006 to 2020. Sustainability 2025, 17, 4844. https://doi.org/10.3390/su17114844
Li J, Zhu K, Chen C, Huang Z, Huang Y, Sha Q, Zhu M, Chen H, Zheng J. Spatiotemporal Evolution of Anthropogenic Emissions and Their Impact on Air Pollution in Guangdong Province from 2006 to 2020. Sustainability. 2025; 17(11):4844. https://doi.org/10.3390/su17114844
Chicago/Turabian StyleLi, Jingjie, Keyu Zhu, Cheng Chen, Zhijiong Huang, Yinyan Huang, Qinge Sha, Manni Zhu, Haoqi Chen, and Junyu Zheng. 2025. "Spatiotemporal Evolution of Anthropogenic Emissions and Their Impact on Air Pollution in Guangdong Province from 2006 to 2020" Sustainability 17, no. 11: 4844. https://doi.org/10.3390/su17114844
APA StyleLi, J., Zhu, K., Chen, C., Huang, Z., Huang, Y., Sha, Q., Zhu, M., Chen, H., & Zheng, J. (2025). Spatiotemporal Evolution of Anthropogenic Emissions and Their Impact on Air Pollution in Guangdong Province from 2006 to 2020. Sustainability, 17(11), 4844. https://doi.org/10.3390/su17114844

