Sustaining Organizations Through Harmonized Civic and Employee Identities: Implications for Employee Engagement and Voice Behavior
Abstract
1. Introduction
2. Literature Review
2.1. Identity Theory and Civic–Employee Identity Relationship
2.2. Civic–Employee Identity Enhancement, Work Engagement, and Role Expansion
2.2.1. Identity Enhancement and Work Engagement
2.2.2. Identity Enhancement and Role Expansion
2.3. Civic–Employee Identity Conflict, Work Engagement, and Role Expansion
2.3.1. Identity Conflict and Work Engagement
2.3.2. Identity Conflict and Role Expansion
2.4. Work Engagement, Role Expansion, and Voice Behavior
3. Study 1: Method
3.1. Participants and Procedure
3.2. Measures
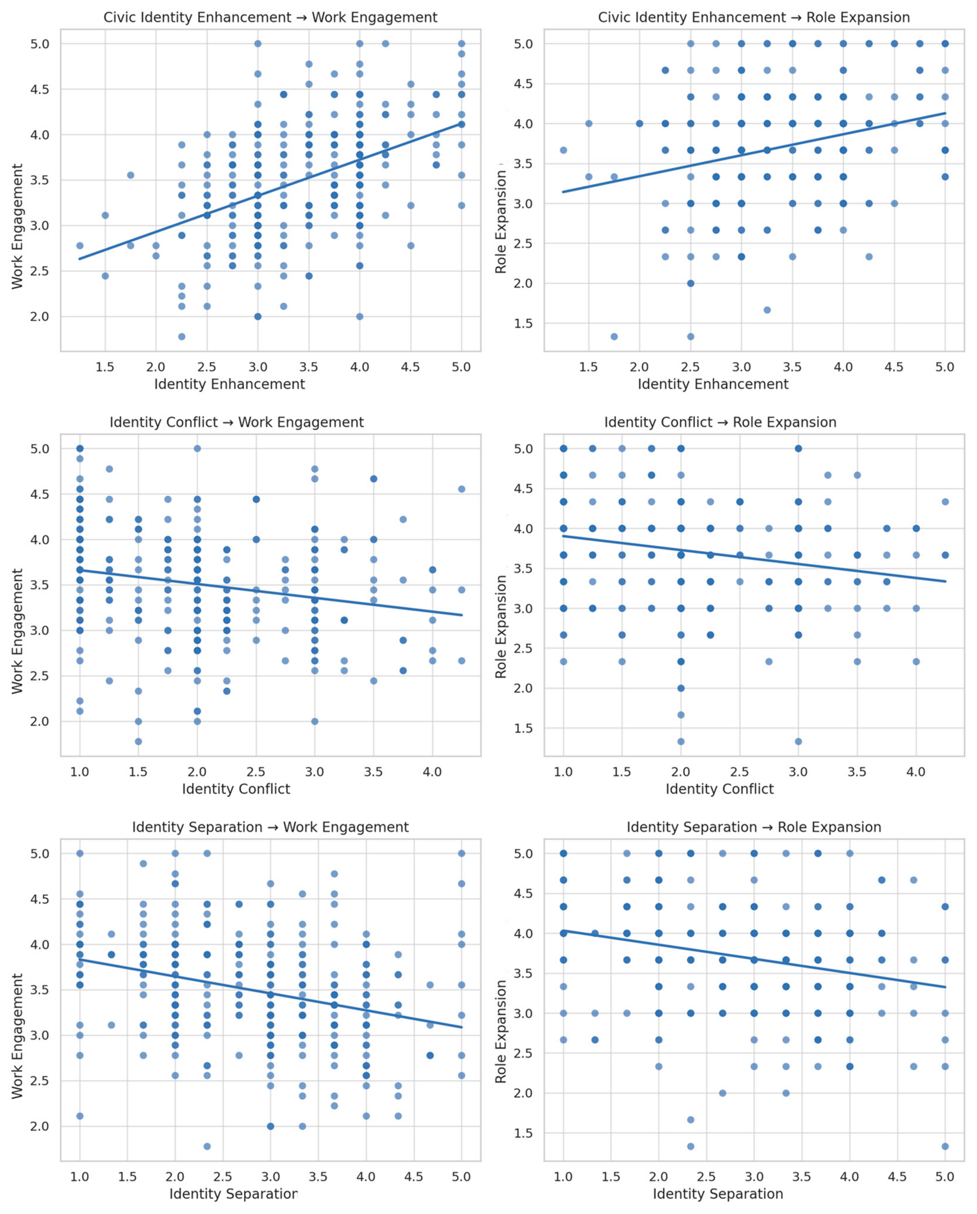
4. Study 1: Results
4.1. Preliminary Analysis
4.2. Hypothesis Tests
4.3. Supplementary Analysis
5. Study 2: Method
Participants, Procedure, and Measures
6. Study 2: Results
6.1. Preliminary Analysis
6.2. Hypothesis Tests
6.3. Supplementary Analysis
7. Discussion
7.1. Implications for Theory and Research
7.2. Implications for Practice
7.3. Limitations and Future Directions
8. Conclusions
Funding
Institutional Review Board Statement
Informed Consent Statement
Data Availability Statement
Acknowledgments
Conflicts of Interest
Appendix A
Survey Items
- Working for this company helps me fulfill my responsibilities as a citizen.
- Being an employee of this company enables me to be a good member of society.
- I feel that my identity as a good citizen and as an employee of this company are in harmony.
- What the organization expects from me aligns with the role of an ideal member of society.
- I often experience conflict between my identity as a citizen of society and an employee of the organization.
- My role as an employee of this company makes it difficult to fulfill my role as a good citizen.
- Being a good member of this company and being a good citizen feel conflicting to me.
- I feel there is a difference between what the organization expects from me and the role of an ideal member of society.
- I consider my identity as an employee and my identity as a citizen to be separate.
- The way I present myself as a citizen differs significantly inside and outside the workplace.
- I keep everything about being a citizen and being an employee separate.
- At work, I feel bursting with energy
- I feel strong and vigorous when doing my job.
- When I wake up in the morning, I feel like going to work.
- I am enthusiastic about my job.
- I feel inspired by my work.
- I take pride in the work that I do.
- I am immersed in my work
- I feel happy when I am deeply immersed in my work.
- While working, I find myself deeply engrossed in my tasks.
- To proactively develops and makes suggestions for issues that may influence the unit.
- To proactively voice out constructive suggestions that help the unit reach its goals.
- To make constructive suggestions to improve the unit’s operation.
- To voice opinions on things that might affect the efficiency of the work unit, even if that would embarrass others.
- Proactively develops and makes suggestions for issues that may influence the unit.
- Proactively suggests new projects which are beneficial to the work unit.
- Raises suggestions to improve the unit’s working procedure.
- Proactively voices out constructive suggestions that help the unit reach its goals.
- Makes constructive suggestions to improve the unit’s operation.
- Proactively develop and make suggestions for issues that may influence the unit.
- Proactively suggest new projects which are beneficial to the work unit.
- Raise suggestions to improve the unit’s working procedure.
- Proactively voice out constructive suggestions that help the unit reach its goals.
Appendix B


References
- Benn, S.; Dunphy, D.; Griffiths, A. Organizational Change for Corporate Sustainability; Routledge: New York, NY, USA, 2014. [Google Scholar] [CrossRef]
- Elkington, J. Cannibals with Forks: The Triple Bottom Line of 21st Century Business; Capstone Publishing: Oxford, UK, 1997. [Google Scholar]
- Wals, A.E.; Schwarzin, L. Fostering organizational sustainability through dialogic interaction. Learn. Organ. 2012, 19, 11–27. [Google Scholar] [CrossRef]
- Creary, S.J.; Caza, B.B.; Roberts, L.M. Out of the box? How managing a subordinate’s multiple identities affects the quality of a manager-subordinate relationship. Acad. Manag. Rev. 2015, 40, 538–562. [Google Scholar] [CrossRef]
- Ashforth, B.E.; Harrison, S.H.; Corley, K.G. Identification in organizations: An examination of four fundamental questions. J. Manag. 2008, 34, 325–374. [Google Scholar] [CrossRef]
- Sufi, A.F.; Raja, U.; Butt, A.N. Impact of peer unethical behaviors on employee silence: The role of organizational identification and emotions. J. Bus. Ethics 2024, 190, 821–839. [Google Scholar] [CrossRef]
- Caza, B.B.; Moss, S.; Vough, H. From synchronizing to harmonizing: The process of authenticating multiple work identities. Adm. Sci. Q. 2017, 62, 703–745. [Google Scholar] [CrossRef]
- Smith, B.R.; Lawson, A.; Jones, J.; Holcomb, T.; Minnich, A. Trying to serve two masters is easy, compared to three: Identity multiplicity work by Christian impact investors. J. Bus. Ethics 2022, 179, 1053–1070. [Google Scholar] [CrossRef]
- Johnson, M.D.; Morgeson, F.P.; Ilgen, D.R.; Meyer, C.J.; Lloyd, J.W. Multiple professional identities: Examining differences in identification across work-related targets. J. Appl. Psychol. 2006, 91, 498–506. [Google Scholar] [CrossRef]
- Shen, Y.X.; Zhang, C.; Zhang, L.; Liu, T.; Zhao, S. Caught in a dilemma: The impacts of dual organizational identification on host country nationals in the face of ethical controversies. J. Bus. Ethics 2023, 195, 831–857. [Google Scholar] [CrossRef]
- Carminati, L.; Gao Héliot, Y.F. Professional and religious identity conflict: Individual and organizational dynamics in ethically-charged circumstances. Self Identity 2023, 22, 1668–1687. [Google Scholar] [CrossRef]
- Ramarajan, L.; Berger, I.E.; Greenspan, I. Multiple identity configurations: The benefits of focused enhancement for prosocial behavior. Organ. Sci. 2017, 28, 495–513. [Google Scholar] [CrossRef]
- Zagefka, H.; Houston, D.; Duff, L.; Moftizadeh, N. Combining motherhood and work: Effects of dual identity and identity conflict on well-being. J. Child Fam. Stud. 2021, 30, 2452–2460. [Google Scholar] [CrossRef]
- Ramarajan, L.; Reid, E. Shattering the myth of separate worlds: Negotiating nonwork identities at work. Acad. Manag. Rev. 2013, 38, 621–644. [Google Scholar] [CrossRef]
- Stryker, S.; Burke, P.J. The past, present, and future of an identity theory. Soc. Psychol. Q. 2000, 63, 284–297. [Google Scholar] [CrossRef]
- Hart, D.; Richardson, C.; Wilkenfeld, B. Civic identity. In Handbook of Identity Theory and Research; Springer: New York, NY, USA, 2011; pp. 771–787. [Google Scholar] [CrossRef]
- UNESCO. Global Citizenship Education: Topics and Learning Objectives. Available online: https://unesdoc.unesco.org/ark:/48223/pf0000232993 (accessed on 5 May 2025).
- Lee, S.M. Changing patterns and perspectives on volunteering: A classification in volunteering from the citizenship theory. J. NGO Stud. 2016, 11, 57–83. [Google Scholar]
- Bode, C.; Singh, J.; Rogan, M. Corporate social initiatives and employee retention. Organ. Sci. 2015, 26, 1702–1720. [Google Scholar] [CrossRef]
- Stephan, U.; Patterson, M.; Kelly, C.; Mair, J. Organizations driving positive social change: A review and an integrative framework of change processes. J. Manag. 2016, 42, 1250–1281. [Google Scholar] [CrossRef]
- Brook, A.T.; Garcia, J.; Fleming, M.A. The effects of multiple identities on psychological well-being. Pers. Soc. Psychol. Bull. 2008, 34, 1588–1600. [Google Scholar] [CrossRef]
- Horton, K.E.; Bayerl, P.S.; Jacobs, G. Identity conflicts at work: An integrative framework. J. Organ. Behav. 2014, 35, S6–S22. [Google Scholar] [CrossRef]
- Petriglieri, J.L.; Obodaru, O. Secure-base relationships as drivers of professional identity development in dual-career couples. Adm. Sci. Q. 2018, 65, 1252–1307. [Google Scholar] [CrossRef]
- Ramarajan, L.; Rothbard, N.P.; Wilk, S.L. Discordant vs. harmonious selves: The effects of identity conflict and enhancement on sales performance in employee–customer interactions. Acad. Manag. J. 2017, 60, 2208–2238. [Google Scholar] [CrossRef]
- Stryker, S. Exploring the relevance of social cognition for the relationship of self and society: Linking the cognitive perspective and identity theory. In The Self-Society Dynamic: Cognition, Emotion, and Action; Howard, J.A., Callero, P.L., Eds.; Cambridge University Press: Cambridge, UK, 1991; pp. 19–41. [Google Scholar]
- Turner, R.H. Role taking: Process versus conformity. In Human Behavior and Social Processes; Rose, A., Ed.; Houghton Mifflin: Boston, MA, USA, 1962; pp. 20–40. [Google Scholar]
- Schaufeli, W.B.; Salanova, M.; González-Romá, V.; Bakker, A.B. The measurement of engagement and burnout: A two sample confirmatory factor analytic approach. J. Happiness Stud. 2002, 3, 71–92. [Google Scholar] [CrossRef]
- Macey, W.H.; Schneider, B. The meaning of employee engagement. Ind. Organ. Psychol. 2008, 1, 3–30. [Google Scholar] [CrossRef]
- Grant, A.M.; Hofmann, D.A. Role expansion as a persuasion process: The interpersonal influence dynamics of role redefinition. Organ. Psychol. Rev. 2011, 1, 9–31. [Google Scholar] [CrossRef]
- LePine, J.A.; Van Dyne, L. Voice and cooperative behavior as contrasting forms of contextual performance: Evidence of differential relationships with big five personality characteristics and cognitive ability. J. Appl. Psychol. 2001, 86, 326–336. [Google Scholar] [CrossRef]
- United Nations. Transforming Our World: The 2030 Agenda for Sustainable Development; United Nations: New York, NY, USA, 2015. [Google Scholar]
- McCall, G.J.; Simmons, J.L. Identities and Interactions: An Examination of Human Associations in Everyday Life; Free Press: New York, NY, USA, 1978. [Google Scholar]
- Burke, P.J. Identity processes and social stress. Am. Sociol. Rev. 1991, 56, 836–849. [Google Scholar] [CrossRef]
- Swann, W.B., Jr. Self-verification: Bringing social reality into harmony with the self. In Psychological Perspectives on the Self; Suls, J., Greenwald, A.G., Eds.; Lawrence Erlbaum Associates: Hillsdale, NJ, USA, 1983; Volume 2, pp. 33–66. [Google Scholar]
- Atkins, R.; Hart, D. Neighborhoods, adults, and the development of civic identity in urban youth. Appl. Dev. Sci. 2003, 7, 156–164. [Google Scholar] [CrossRef]
- Flanagan, C.A.; Faison, N. Youth civic development: Implications of research for social policy and programs. Soc. Policy Rep. 2001, 15, 3–14. [Google Scholar] [CrossRef]
- Burke, P.J.; Stets, J.E. Identity Theory; Oxford University Press: New York, NY, USA, 2009. [Google Scholar]
- Pratt, M.G.; Foreman, P.O. The beauty of and barriers to organizational theories of identity. Acad. Manag. Rev. 2000, 25, 141–143. [Google Scholar] [CrossRef]
- Ramarajan, L. Past, present and future research on multiple identities: Toward an intrapersonal network approach. Acad. Manag. Ann. 2014, 8, 589–659. [Google Scholar] [CrossRef]
- Marks, S.R. Multiple roles and role strain: Some notes on human energy, time and commitment. Am. Sociol. Rev. 1977, 42, 921–936. [Google Scholar] [CrossRef]
- Dutton, J.E.; Roberts, L.M.; Bednar, J. Pathways for positive identity construction at work: Four types of positive identity and the building of social resources. Acad. Manag. Rev. 2010, 35, 265–293. [Google Scholar] [CrossRef]
- Fredrickson, B.L. Positive emotions broaden and build. In Advances in Experimental Social Psychology; Olson, J.M., Ed.; Academic Press: San Diego, CA, USA, 2013; Volume 47, pp. 1–53. [Google Scholar] [CrossRef]
- Hewlin, P.F. Wearing the cloak: Antecedents and consequences of creating facades of conformity. J. Appl. Psychol. 2009, 94, 727–741. [Google Scholar] [CrossRef] [PubMed]
- Stets, J.E.; Harrod, M.M. Verification across multiple identities: The role of status. Soc. Psychol. Q. 2004, 67, 155–171. [Google Scholar] [CrossRef]
- Caza, B.; Wilson, M.K. Me, myself, and I: The benefits of multiple work identities. In Exploring Positive Identities and Organizations: Building a Theoretical and Research Foundation; Roberts, L.M., Dutton, J.E., Eds.; Taylor & Francis: New York, NY, USA, 2009; pp. 113–130. [Google Scholar]
- Cheng, C.Y.; Sanchez-Burks, J.; Lee, F. Taking advantage of differences: Increasing team innovation through identity integration. In Diversity and Groups; Mannix, E.A., Neale, M.A., Chen, Y.R., Eds.; Emerald Group Publishing Limited: Bingley, UK, 2008; Volume 11, pp. 55–73. [Google Scholar] [CrossRef]
- Kahn, W.A. Psychological conditions of personal engagement and disengagement at work. Acad. Manag. J. 1990, 33, 692–724. [Google Scholar] [CrossRef]
- Ramarajan, L.; Rothbard, N.P. Checking your identities at the door? Positive relationships between nonwork and work identities. In Exploring Positive Identities and Organizations: Building a Theoretical and Research Foundation; Roberts, L.M., Dutton, J.E., Eds.; Routledge: New York, NY, USA, 2009; pp. 125–148. [Google Scholar]
- Ashforth, B.E.; Johnson, S.A. Which hat to wear?: The relative salience of multiple identities in organizational contexts. In Social Identity Processes in Organizational Contexts; Hogg, M.A., Terry, D.J., Eds.; Psychology Press: New York, NY, USA, 2014; pp. 31–48. [Google Scholar]
- Gaither, S.E.; Remedios, J.D.; Sanchez, D.T.; Sommers, S.R. Thinking outside the box: Multiple identity mindsets affect creative problem solving. Soc. Psychol. Personal. Sci. 2015, 6, 596–603. [Google Scholar] [CrossRef]
- Fiol, C.M.; Pratt, M.G.; O’Connor, E.J. Managing intractable identity conflicts. Acad. Manag. Rev. 2009, 34, 32–55. [Google Scholar] [CrossRef]
- Marcussen, K. Identities, self-esteem, and psychological distress: An application of identity-discrepancy theory. Sociol. Perspect. 2006, 49, 1–24. [Google Scholar] [CrossRef]
- Chen, H.; Jiao, J.; Yang, N.; Wang, X.-H. How identity conflict and identity synergy influence innovative performance of employees with multiple team membership. Psychol. Rep. 2021, 124, 792–808. [Google Scholar] [CrossRef]
- Thoits, P.A. On merging identity theory and stress research. Soc. Psychol. Q. 1991, 54, 101–112. [Google Scholar] [CrossRef]
- Hirsh, J.B.; Kang, S.K. Mechanisms of identity conflict: Uncertainty, anxiety, and the behavioral inhibition system. Personal. Soc. Psychol. Rev. 2016, 20, 223–244. [Google Scholar] [CrossRef]
- Hugenberg, K.; Bodenhausen, G.V. Category membership moderates the inhibition of social identities. J. Exp. Soc. Psychol. 2004, 40, 233–238. [Google Scholar] [CrossRef]
- Petriglieri, J.L. Under threat: Responses to and the consequences of threats to individuals’ identities. Acad. Manag. Rev. 2011, 36, 641–662. [Google Scholar] [CrossRef]
- Baumeister, R.F.; Bratslavsky, E.; Muraven, M.; Tice, D.M. Ego depletion: Is the active self a limited resource? J. Personal. Soc. Psychol. 1998, 74, 1252–1265. [Google Scholar] [CrossRef]
- Lyubomirsky, S.; Nolen-Hoeksema, S. Self-perpetuating properties of dysphoric rumination. J. Personal. Soc. Psychol. 1993, 65, 339–349. [Google Scholar] [CrossRef]
- Green, P.I.; Finkel, E.J.; Fitzsimons, G.M.; Gino, F. The energizing nature of work engagement: Toward a new need-based theory of work motivation. Res. Organ. Behav. 2017, 37, 1–18. [Google Scholar] [CrossRef]
- Gino, F.; Kouchaki, M.; Galinsky, A.D. The moral virtue of authenticity: How inauthenticity produces feelings of immorality and impurity. Psychol. Sci. 2015, 26, 983–996. [Google Scholar] [CrossRef]
- Ostermeier, K.; Anzollitto, P.; Cooper, D.; Hancock, J. When identities collide: Organizational and professional identity conflict and employee outcomes. Manag. Decis. 2023, 61, 2493–2511. [Google Scholar] [CrossRef]
- Festinger, L. A Theory of Cognitive Dissonance; Stanford University Press: Stanford, CA, USA, 1957. [Google Scholar]
- Kreiner, G.E.; Hollensbe, E.C.; Sheep, M.L. Where is the “me” among the “we”? Identity work and the search for optimal balance. Acad. Manag. J. 2006, 49, 1031–1057. [Google Scholar] [CrossRef]
- Ashforth, B.E. Role Transitions in Organizational Life: An Identity-Based Perspective; Routledge: New York, NY, USA, 2000. [Google Scholar] [CrossRef]
- Eysenck, M.W.; Derakshan, N.; Santos, R.; Calvo, M.G. Anxiety and cognitive performance: Attentional control theory. Emotion 2007, 7, 336–353. [Google Scholar] [CrossRef]
- Staw, B.M.; Sandelands, L.E.; Dutton, J.E. Threat-rigidity effects in organizational behavior: A multilevel analysis. Adm. Sci. Q. 1981, 26, 501–524. [Google Scholar] [CrossRef]
- Yang, F.X.; Xu, Y.H.; Wong, I.A. Too close to work together? Identity conflicts induced by coworker friendships in cyberspace. Int. J. Hosp. Manag. 2021, 97, 103060. [Google Scholar] [CrossRef]
- Morrison, E.W. Employee voice behavior: Integration and directions for future research. Acad. Manag. Ann. 2011, 5, 373–412. [Google Scholar] [CrossRef]
- Grant, A.M.; Ashford, S.J. The dynamics of proactivity at work. Res. Organ. Behav. 2008, 28, 3–34. [Google Scholar] [CrossRef]
- Marinova, S.V.; Peng, C.; Lorinkova, N.; Van Dyne, L.; Chiaburu, D. Change-oriented behavior: A meta-analysis of individual and job design predictors. J. Vocat. Behav. 2015, 88, 104–120. [Google Scholar] [CrossRef]
- Bakker, A.B.; Demerouti, E. Towards a model of work engagement. Career Dev. Int. 2008, 13, 209–223. [Google Scholar] [CrossRef]
- Cheng, J.W.; Chang, S.C.; Kuo, J.H.; Cheung, Y.H. Ethical leadership, work engagement, and voice behavior. Ind. Manag. Data Syst. 2014, 114, 817–831. [Google Scholar] [CrossRef]
- Duan, J.; Xia, Y.; Xu, Y.; Wu, C.H. The curvilinear effect of perceived overqualification on constructive voice: The moderating role of leader consultation and the mediating role of work engagement. Hum. Resour. Manag. 2022, 61, 489–510. [Google Scholar] [CrossRef]
- Morrison, E.W. Role definitions and organizational citizenship behavior: The importance of the employee’s perspective. Acad. Manag. J. 1994, 37, 1543–1567. [Google Scholar] [CrossRef]
- Van Dyne, L.; Cummings, L.L.; Parks, J.M. In pursuit of construct and definitional clarity (a bridge over muddied waters). Res. Organ. Behav. 1995, 17, 215–285. [Google Scholar]
- Parker, S.K.; Williams, H.M.; Turner, N. Modeling the antecedents of proactive behavior at work. J. Appl. Psychol. 2006, 91, 636–652. [Google Scholar] [CrossRef]
- Van Dyne, L.; Kamdar, D.; Joireman, J. In-role perceptions buffer the negative impact of low LMX on helping and enhance the positive impact of high LMX on voice. J. Appl. Psychol. 2008, 93, 1195–1203. [Google Scholar] [CrossRef] [PubMed]
- Zellars, K.L.; Tepper, B.J.; Duffy, M.K. Abusive supervision and subordinates’ organizational citizenship behavior. J. Appl. Psychol. 2002, 87, 1068–1076. [Google Scholar] [CrossRef] [PubMed]
- Chiaburu, D.S.; Marinova, S.V.; Van Dyne, L. Should I do it or not? An initial model of cognitive processes predicting voice behaviors. Acad. Manag. Proc. 2008, 2008, 1–6. [Google Scholar] [CrossRef]
- McAllister, D.J.; Kamdar, D.; Morrison, E.W.; Turban, D.B. Disentangling role perceptions: How perceived role breadth, discretion, instrumentality, and efficacy relate to helping and taking charge. J. Appl. Psychol. 2007, 92, 1200–1211. [Google Scholar] [CrossRef]
- Bentler, P.M.; Chou, C.-P. Practical issues in structural modeling. Sociol. Methods Res. 1987, 16, 78–117. [Google Scholar] [CrossRef]
- Muthén, L.K.; Muthén, B.O. How to use a Monte Carlo study to decide on sample size and determine power. Struct. Equ. Model. 2002, 9, 599–620. [Google Scholar] [CrossRef]
- Aguinis, H.; Gottfredson, R.K.; Joo, H. Best-practice recommendations for defining, identifying, and handling outliers. Organ. Res. Methods 2013, 16, 270–301. [Google Scholar] [CrossRef]
- Settles, I.H. When multiple identities interfere: The role of identity centrality. Pers. Soc. Psychol. Bull. 2004, 30, 487–500. [Google Scholar] [CrossRef]
- Schaufeli, W.B.; Bakker, A.B.; Salanova, M. The measurement of work engagement with a short questionnaire: A cross-national study. Educ. Psychol. Meas. 2006, 66, 701–716. [Google Scholar] [CrossRef]
- Liang, J.; Farh, C.I.; Farh, J.L. Psychological antecedents of promotive and prohibitive voice: A two-wave examination. Acad. Manag. J. 2012, 55, 71–92. [Google Scholar] [CrossRef]
- Frese, M.; Teng, E.; Wijnen, C.J. Helping to improve suggestion systems: Predictors of making suggestions in companies. J. Organ. Behav. 1999, 20, 1139–1155. [Google Scholar] [CrossRef]
- Stamper, C.L.; Van Dyne, L. Work status and organizational citizenship behavior: A field study of restaurant employees. J. Organ. Behav. 2001, 22, 517–536. [Google Scholar] [CrossRef]
- Podsakoff, P.M.; MacKenzie, S.B.; Podsakoff, N.P. Sources of method bias in social science research and recommendations on how to control it. Annu. Rev. Psychol. 2012, 63, 539–569. [Google Scholar] [CrossRef]
- Settles, I.H.; Sellers, R.M.; Damas, A., Jr. One role or two? The function of psychological separation in role conflict. J. Appl. Psychol. 2002, 87, 574–582. [Google Scholar] [CrossRef]
- Zahra, S.A.; Wright, M. Understanding the social role of entrepreneurship. J. Manag. Stud. 2016, 3, 610–629. [Google Scholar] [CrossRef]
- Burris, E.R.; Rockmann, K.W.; Kimmons, Y.S. The value of voice to managers: Employee identification and the content of voice. Acad. Manag. J. 2017, 60, 2099–2125. [Google Scholar] [CrossRef]
- Rusbult, C.E.; Farrell, D.; Rogers, G.; Mainous III, A.G. Impact of exchange variables on exit, voice, loyalty, and neglect: An integrative model of responses to declining job satisfaction. Acad. Manag. J. 1988, 31, 599–627. [Google Scholar] [CrossRef]
- Withey, M.J.; Cooper, W.H. Predicting exit, voice, loyalty, and neglect. Adm. Sci. Q. 1989, 34, 521–539. [Google Scholar] [CrossRef]
- Salamzadeh, A. Innovation Accelerators: Emergence of Startup Companies in Iran. In Proceedings of the 60th Annual ICSB World Conference, Dubai, United Arab Emirates, 6–9 June 2015. [Google Scholar]
- Paternoster, N.; Giardino, C.; Unterkalmsteiner, M.; Gorschek, T.; Abrahamsson, P. Software development in startup companies: A systematic mapping study. Inf. Softw. Technol. 2014, 56, 1200–1218. [Google Scholar] [CrossRef]
- Rangrez, S.N.; Amin, F.; Dixit, S. Influence of role stressors and job insecurity on turnover intentions in start-ups: Mediating role of job stress. Manag. Labour Stud. 2022, 47, 199–215. [Google Scholar] [CrossRef]
- Bridge, S.; Murtagh, B.; O’Neill, K. Understanding the Social Economy and the Third Sector; Palgrave Macmillan: London, UK, 2009. [Google Scholar]
- Ehnert, I.; Harry, W.; Zink, K.J. Sustainability and Human Resource Management: Developing Sustainable Business Organizations; Springer: Berlin/Heidelberg, Germany, 2014. [Google Scholar]




| Variable | M | SD | 1 | 2 | 3 | 4 | 5 | 6 | 7 | 8 |
|---|---|---|---|---|---|---|---|---|---|---|
| 1. Education (years) | 16.04 | 1.71 | ||||||||
| 2. Tenure (years) | 8.53 | 6.69 | −0.12 * | |||||||
| 3. Identity enhancement | 3.44 | 0.71 | 0.07 | 0.25 ** | (0.89) | |||||
| 4. Identity conflict | 2.06 | 0.83 | −0.06 | −0.03 | −0.27 ** | (0.93) | ||||
| 5. Identity separation | 3.50 | 0.60 | 0.22 ** | 0.12 * | 0.44 ** | −0.21 ** | (0.81) | |||
| 6. Work engagement | 3.56 | 0.63 | 0.07 | 0.11 | 0.31 ** | −0.13 ** | 0.38 ** | (0.77) | ||
| 7. Role expansion | 3.64 | 0.77 | 0.17 ** | 0.15 ** | 0.28 ** | −0.18 ** | 0.37 ** | 0.24 ** | (0.93) | |
| 8. Voice behavior | 3.23 | 0.74 | 0.06 | 0.09 | −0.32 ** | −0.12 | −0.26 ** | 0.53 ** | 0.66 ** | (0.88) |
| Work Engagement | Role Expansion | Voice Behavior | ||||||
|---|---|---|---|---|---|---|---|---|
| Model 1 | Model 2 | Model 3 | Model 4 | Model 5 | Model 6 | Model 7 | Model 8 | |
| Education level | 0.07 *** | 0.06 *** | 0.02 | 0.02 | 0.07 *** | 0.07 * | 0.07 *** | 0.05 * |
| Tenure | 0.00 | 0.00 | 0.01 | −0.00 | 0.00 * | 0.00 * | 0.01 * | 0.01 * |
| Identity enhancement | 0.36 *** | 0.34 *** | 0.21 *** | 0.18 *** | 0.21 *** | 0.08 | 0.21 *** | 0.08 |
| Identity conflict | −0.07 * | −0.12 ** | −0.10 * | −0.06 | ||||
| Identity separation | −0.07 * | −0.12 ** | −0.07 + | −0.03 | ||||
| Work engagement | 0.28 *** | 0.29 *** | ||||||
| Role expansion | 0.18 ** | 0.18 ** | ||||||
| F | 28.96 *** | 29.53 *** | 9.41 *** | 9.69 *** | 11.29 *** | 13.15 *** | 10.94 *** | 12.97 *** |
| R2 | 0.27 | 0.27 | 0.11 | 0.11 | 0.13 | 0.20 | 0.12 | 0.20 |
| Path | Estimate | 95% Confidence Interval | |||
|---|---|---|---|---|---|
| Lower Level | Upper Level | ||||
| Identity enhancement → Work engagement | → Voice | 0.102 | 0.048 | 0.207 | |
| → Role expansion | 0.037 | 0.010 | 0.165 | ||
| Study 1 | Identity conflict → Work engagement | → Voice | −0.019 | −0.045 | 0.002 |
| → Role expansion | −0.022 | −0.048 | −0.004 | ||
| Identity separation → Work engagement | → Voice | −0.021 | −0.048 | −0.001 | |
| → Role expansion | −0.021 | −0.048 | −0.004 | ||
| Identity enhancement → Work engagement | → Voice | 0.057 | 0.008 | 0.134 | |
| → Role expansion | 0.172 | 0.072 | 0.289 | ||
| Study 2 | Identity conflict → Work engagement | → Voice | −0.024 | −0.073 | 0.013 |
| → Role expansion | −0.005 | −0.102 | 0.089 | ||
| Identity separation → Work engagement | → Voice | −0.047 | −0.010 | −0.009 | |
| → Role expansion | −0.027 | −0.105 | 0.054 | ||
| Variable | M | SD | 1 | 2 | 3 | 4 | 5 | 6 | 7 | 8 |
|---|---|---|---|---|---|---|---|---|---|---|
| 1. Education (years) | 14.93 | 1.75 | ||||||||
| 2. Tenure (years) | 3.34 | 2.69 | −0.31 ** | |||||||
| 3. Identity enhancement | 3.04 | 0.83 | 0.02 | 0.02 | (0.87) | |||||
| 4. Identity conflict | 2.48 | 0.93 | −0.07 | 0.10 | −0.15 | (0.92) | ||||
| 5. Identity separation | 3.22 | 0.97 | 0.00 | −0.14 | −0.21 * | 0.34 ** | (0.89) | |||
| 6. Work engagement | 3.38 | 0.57 | 0.13 | 0.18 | 0.28 ** | −0.15 | −0.36 ** | (0.86) | ||
| 7. Role expansion | 3.40 | 0.65 | 0.00 | 0.12 | 0.26 ** | −0.01 | −0.21 * | 0.46 ** | (0.88) | |
| 8. Voice behavior | 3.23 | 0.74 | 0.06 | 0.09 | −0.32 ** | −0.12 | −0.26 ** | 0.53 ** | 0.66 ** | (0.88) |
| Work Engagement | Role Expansion | Voice Behavior | ||||||
|---|---|---|---|---|---|---|---|---|
| Model 1 | Model 2 | Model 3 | Model 4 | Model 5 | Model 6 | Model 7 | Model 8 | |
| Education level | 0.08 * | 0.07 * | −0.02 | −0.02 | 0.05 | 0.04 | 0.05 | 0.03 |
| Tenure | 0.05 ** | 0.04 * | 0.04 + | −0.04 + | 0.03 | −0.01 | 0.02 | −0.01 |
| Identity enhancement | 0.18 ** | 0.14 * | 0.31 *** | 0.29 *** | 0.27 *** | 0.04 | 0.24 ** | 0.03 |
| Identity conflict | −0.08 + | −0.01 | −0.07 | −0.04 | ||||
| Identity separation | −0.16 ** | −0.05 | −0.13 * | −0.06 | ||||
| Work engagement | 0.31 ** | 0.29 ** | ||||||
| Role expansion | 0.56 *** | 0.56 *** | ||||||
| F | 4.93 ** | 6.96 *** | 5.10 *** | 5.23 *** | 3.44 * | 16.12 *** | 4.13 ** | 16.31 *** |
| R2 | 0.17 | 0.22 | 0.17 | 0.18 | 0.12 | 0.50 | 0.14 | 0.50 |
Disclaimer/Publisher’s Note: The statements, opinions and data contained in all publications are solely those of the individual author(s) and contributor(s) and not of MDPI and/or the editor(s). MDPI and/or the editor(s) disclaim responsibility for any injury to people or property resulting from any ideas, methods, instructions or products referred to in the content. |
© 2025 by the author. Licensee MDPI, Basel, Switzerland. This article is an open access article distributed under the terms and conditions of the Creative Commons Attribution (CC BY) license (https://creativecommons.org/licenses/by/4.0/).
Share and Cite
Lee, J.W. Sustaining Organizations Through Harmonized Civic and Employee Identities: Implications for Employee Engagement and Voice Behavior. Sustainability 2025, 17, 4762. https://doi.org/10.3390/su17114762
Lee JW. Sustaining Organizations Through Harmonized Civic and Employee Identities: Implications for Employee Engagement and Voice Behavior. Sustainability. 2025; 17(11):4762. https://doi.org/10.3390/su17114762
Chicago/Turabian StyleLee, Jeong Won. 2025. "Sustaining Organizations Through Harmonized Civic and Employee Identities: Implications for Employee Engagement and Voice Behavior" Sustainability 17, no. 11: 4762. https://doi.org/10.3390/su17114762
APA StyleLee, J. W. (2025). Sustaining Organizations Through Harmonized Civic and Employee Identities: Implications for Employee Engagement and Voice Behavior. Sustainability, 17(11), 4762. https://doi.org/10.3390/su17114762

