Suitability Evaluation of the Water Environment for Seagrass Growth Areas in the Changshan Archipelago
Abstract
1. Introduction
2. Materials and Methods
2.1. Study Area and Data Sources
2.2. Construction of Suitability Index
- SIi,k:
- The suitability index of environmental variable i at the k-th level;
- AIi,k:
- The resource density (g/h) of environmental variable i at the k-th level;
- AIi,min:
- The minimum resource density value of environmental variable i;
- AIi,max:
- The maximum resource density value of environmental variable i.
2.3. Model Construction
- Wq:
- The value of the i-th evaluation indicator;
- n:
- The total number of monitoring points in the evaluation area;
- Wqi:
- The value of the q-th evaluation indicator at the i-th monitoring point.
3. Results and Analysis
3.1. Characteristics of Seagrass Beds in the Changshan Archipelago
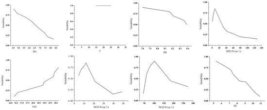
3.2. Suitability Index and Curve of Environmental Variables
3.3. Habitat Suitability Distribution of Seagrass Beds in Changshan Islands
4. Validation of the HSI Model
5. Conclusions
- (1)
- The water environment features around Xiaochangshan Island, including indicators such as salinity (Sal), suspended solids (SS), pH, dissolved oxygen (DO), sea temperature (SST), nitrite-nitrogen (NAN), nitrate-nitrogen (NN), and ammonia-nitrogen (SN), all fall within highly suitable ranges, perfectly meeting the water environment requirements for seagrass growth [22]. In contrast, Shicheng Island has an excessively high level of inorganic nutrients, resulting in poor seagrass growth. This comparison highlights the significant impact of inorganic nutrients on seagrass growth, where even minor fluctuations can drastically alter the growth conditions of seagrass. The growth conditions on Saeri Island, compared to Xiaochangshan Island, are primarily influenced by hydrodynamics. Saeri Island has relatively low DO levels and a weaker water movement, which results in a lower oxygen content. Additionally, hydrodynamics may also affect the dispersal range and settlement probability of seagrass seeds and reproductive bodies; excessive water flow can prevent seeds from successfully settling. This analysis provides strong empirical evidence and data support for the seagrass growth model constructed for this environment, further validating the scientific and reliable nature of the model, and offering an important reference for seagrass ecological research and conservation in other similar regions.
- (2)
- The water environment sensitive areas in the HSI model of seagrass beds are of vital importance for resource protection. These areas are crucial for maintaining the core populations. The protection of the Haishan Islands’ seagrass beds needs to focus on the prevention of human interference and coordinate the management of surrounding habitats to avoid habitat fragmentation. The 2024 field investigation results show that the sampling point data are highly consistent with the predictions of the HSI model, verifying the reliability of the model. The potential suitable habitats identified by the model not only provide a scientific basis for resource restoration but also offer important guidance for the practice of artificial seagrass restoration. The potential suitable habitat areas identified through this model hold greater practical value for resource restoration, and they significantly contribute to the research on the artificial supplementation and restoration of seagrass resources [28].
- (3)
- Currently, the booming aquaculture industry in the Changshan Archipelago has led to severe water quality pollution issues. Aquaculture waste, drug residues, and biological excrement have made it difficult to maintain an optimal water environment for seagrass beds, resulting in a vicious cycle of seagrass decline and water quality deterioration. To ensure the sustainable development of marine ecosystems, it is essential to control the scale of aquaculture, reduce pollution, continuously monitor water quality, and strengthen the protection of surrounding areas to promote seagrass recovery. Although this study analyzes the seagrass bed habitat in the Changshan Archipelago based on eight water environmental factors using the HSI model, seagrass habitats are regulated by a complex network of factors, with some factors having a profound impact on the seagrass habitat under specific conditions [24]. Future research should further explore potential environmental factors that influence seagrass population growth, reproduction, and migration, in order to enhance the accuracy and applicability of the HSI model, providing a more solid theoretical foundation and practical guidance for the scientific protection and precise restoration of seagrass bed ecosystems.
Author Contributions
Funding
Institutional Review Board Statement
Informed Consent Statement
Data Availability Statement
Acknowledgments
Conflicts of Interest
References
- Zhou, Y.; Jiang, Z.; Qiu, G.; Zhang, P.; Xu, S.; Zhang, X.; Liu, S.; Li, W.; Wu, Y.; Yue, S.; et al. Current Status of Seagrass Resource Distribution, Causes of Degradation, and Conservation Strategies in China. Ocean. Limnol. 2023, 54, 1248–1257. [Google Scholar]
- Li, R.; Shen, Y.; Shao, Y.; Gao, Y.; Yao, Z.; Liu, Q.; Liu, X.; Shi, G. Measurement Report: Polycyclic aromatic hydrocarbons (PAHs) and their alkylated (RPAHs), nitrated (NPAHs) and oxygenated (OPAHs) derivatives in the global marine atmosphere: Occurrence, spatial variations, and source apportionment. EGUsphere 2025, 2025, 1–22. [Google Scholar]
- Unsworth, R.K.; Nordlund, L.M.; Cullen-Unsworth, L.C. Seagrass meadows support global fisheries production. Conserv. Lett. 2019, 12, e12566. [Google Scholar] [CrossRef]
- Bennett, S.; Wernberg, T.; Connell, S.D.; Hobday, A.J.; Johnson, C.R.; Poloczanska, E.S. The ‘Great Southern Reef’: Social, ecological and economic value of Australia’s neglected kelp forests. Mar. Freshw. Res. 2015, 67, 47–56. [Google Scholar] [CrossRef]
- Zhong, C.; Liao, Y.; Liu, W.; Sui, H.; Chen, Q. Current Status, Threats, and Conservation Recommendations for Seagrass Beds along the Guangdong Coast. Biodiversity 2024, 32, 23201. [Google Scholar]
- Zeng, X.; Zhang, S.; Wang, Z. Habitat Suitability Assessment of Sebasticus marmoratus in the Ma’an Archipelago. Acta Ecol. Sin. 2016, 36, 3765–3774. [Google Scholar]
- Han, Q.; Shi, P. Research Progress in Seagrass Ecology. Acta Ecol. Sin. 2008, 28, 5561–5570. [Google Scholar]
- Pei, P.; Aslam, M.; Yang, C.; Ye, P.; Ke, X.; Liang, Z.; Li, T.; Chen, W.; Du, H. Temporal variations of biological nitrogen fixation and diazotrophic communities associated with artificial seaweed farms. Front. Mar. Sci. 2024, 11, 1408958. [Google Scholar] [CrossRef]
- Shi, H.; Zheng, W.; Ding, D.; Lv, J.; Zhang, X. Assessment of Ecosystem Services Functions and Values in Typical Marine Ecosystems—A Case Study of Sanggou Bay. Mar. Environ. Sci. 2008. [Google Scholar] [CrossRef]
- GB/T12763.8-2007; Specifications for Oceanographic Survey—Part 8: Marine Geology and Geophysics Survey. National Standards of People’s Republic of China: Beijing, China, 2007.
- Orth, R.J.; Carruthers, T.J.; Dennison, W.C.; Duarte, C.M.; Fourqurean, J.W.; Heck, K.L.; Hughes, A.R.; Kendrick, G.A.; Kenworthy, W.J.; Olyarnik, S.; et al. A global crisis for seagrass ecosystems. Bioscience 2006, 56, 987–996. [Google Scholar] [CrossRef]
- Marsh, J.A., Jr.; Dennison, W.C.; Alberte, R.S. Effects of temperature on photosynthesis and respiration in eelgrass (Zostera marina L.). J. Exp. Mar. Biol. Ecol. 1986, 101, 257–267. [Google Scholar] [CrossRef]
- Liu, X.; Gao, C.; Tian, S.; Qin, S.; Ma, J.; Zhao, J. Optimal Habitat Distribution of Larimichthys polyactis in the Southern Offshore Waters of Zhejiang Based on the Habitat Suitability Index. Chin. Fish. Sci. 2020, 27, 1485–1495. [Google Scholar]
- Melo-Merino, S.M.; Reyes-Bonilla, H.; Lira-Noriega, A. Ecological niche models and species distribution models in marine environments: A literature review and spatial analysis of evidence. Ecol. Model. 2020, 415, 108837. [Google Scholar] [CrossRef]
- Rowan, G.S.L.; Kalacska, M. A review of remote sensing of submerged aquatic vegetation for non-specialists. Remote Sens. 2021, 13, 623. [Google Scholar] [CrossRef]
- Zhi, K.; Yang, J.; Yin, Z.; Wang, Y. Distribution Characteristics of Seagrasses, Seaweeds, and Epibiota in the Seagrass Beds of the Changshan Archipelago, Dalian. Mar. Fish. 2024, 46, 297–306. [Google Scholar] [CrossRef]
- Hastings, R.; Cummins, V.; Holloway, P. Assessing the impact of physical and anthropogenic environmental factors in determining the habitat suitability of seagrass ecosystems. Sustainability 2020, 12, 8302. [Google Scholar] [CrossRef]
- Tang, H.-M.; Zhao, L.; Wang, H.-L.; Fang, K.-P.; Wang, H.-W. Early Development Life History And Environmental Factors On The Growth And Development Of Sparlingia Pertusa. Acta Hydrobiol. Sin. 2025, 49, 032507. [Google Scholar]
- Liu, W.; Xin, M.; Zhou, J.; Zhan, D.; Ding, G.; Wu, H. Habitat hierarchy distribution of Smilax glabra based on habitat suitability index model. Chin. J. Appl. Ecol. Xuebao 2021, 32, 1061–1068. [Google Scholar]
- Zheng, X.; Shen, Y. Composition and correlation with environmental factors of benthic seaweed species in the sea area of Dalian. J. Dalian Fish. Univ. 2024, 39, 648–656. [Google Scholar]
- Mulders, Y. Changes in Temperate Seaweed Communities and the Associated Subtidal Reef Ecosystem; The University of Western Australia: Perth, Australia, 2021. [Google Scholar]
- Zhao, J.; Yang, W.; Bai, J. Evaluation system establishment of nursery function for three seagrass beds and their spatial differences in the nearshore Bohai Sea. Haiyang Xuebao 2025, 47, 1–14. [Google Scholar]
- Crooks, S.; Troxler, T.; Windham-Myers, L. A Blue Carbon Primer; CRC Press: Boca Raton, FL, USA, 2018. [Google Scholar]
- Burnell, O.W.; Russell, B.D.; Irving, A.D.; Connell, S.D. Seagrass response to CO2 contingent on epiphyte algae interactions. Mar. Ecol. Prog. Ser. 2014, 500, 97–109. [Google Scholar]
- Guo, M.; Cao, L.; Dong, J.; Bidegain, G.; Yang, X.; Xu, H.; Li, H.; Zhang, X.; Liu, G. An Ensemble Habitat Suitability Model Predicts Distribution and Resiliency of Suaeda Salsa Under Extreme Climate Events. SSRN 2024. [CrossRef]
- Zhang, Z.; Yang, W.; Zhang, Z.; Sun, T. Characteristics of Typical Biological Communities in Seagrass Beds and Identification of Key Environmental Factors in the Xingcheng-Juehua Island Waters of the Bohai Sea. J. Beijing Norm. Univ. Nat. Sci. Ed. 2022, 58, 90–98. [Google Scholar]
- Zhang, J.; Jiang, Z.; Wang, W.; Zhou, J. Spatial and Temporal Distribution of Nutrients in Sanggou Bay and Analysis of Nutrient Limitation. Prog. Fish. Sci. 2010, 16–25. [Google Scholar] [CrossRef]
- Guo, M.; Li, W.; Yang, X.; Zhang, X. Growth Adaptation of Zostera marina in Different Habitats of Swan Lake, Rongcheng. Chin. J. Appl. Ecol. 2017, 28, 1498–1506. [Google Scholar]




| Species Name | Average Stem Height (cm) | Coverage Percentage (%) | Density Strain (m2) | The Total Area of Seagrass on the Island (ha) | |
|---|---|---|---|---|---|
| Shichenng Island | Z. marina | 48.33 | 31.67 | 154.67 | 37.70 |
| Haxian Island | Z. marina | 58.83 | 36.67 | 258.00 | 37.52 |
| Haiyang Island | Z. marina | 65.00 | 71.67 | 184.00 | 13.00 |
| Xiaochanngshan Island | Z. marina | 66.17 | 57 | 151.33 | 61.3 |
| Z. caespitosa | 72 | 69.4 | 296 | ||
| Guanglu Island | Z. marina | 51.75 | 42.50 | 115.50 | 59.88 |
| Z. japonica | 51 | 7 | 184 | ||
| Z. caespitosa | 55 | 34.5 | 216 | ||
| Dachangshan Islannd | Z. marina | 64.33 | 30.83 | 137.33 | 37.21 |
| Z. caespitosa | 78 | 3 | 20 | ||
| Zhangzi Island | Z. marina | 68.85 | 65.83 | 116.00 | 36.62 |
| Z. japonica | 9 | 1 | 56 | ||
| Z. caespitosa | 10 | 1 | 56 | ||
| Saili Island | Z. marina | 58 | 8.5 | 232 | 36.99 |
| Z. caespitosa | 67 | 7 | 212 |
| Evaluation Factor | Optimal Height (SI = Ⅰ) | Moderate Suitability (SI = Ⅱ) | Slightly Suitable (SI = Ⅲ) | Not Suitable (SI = Ⅳ) |
|---|---|---|---|---|
| Salinity/g·kg−1 | 29.00–29.84 | 29.84–30.98 | 28.25–29.00 | <29 or >30.98 |
| Suspended solids/mg/L | 5.1–6.3 | 6.3–7.7 | 7.7–9.4 | <5.1 or >9.4 |
| pH | 7.5–8.16 | 8.16–8.37 | 8.37–8.5 | <7.5 or >8.5 |
| Dissolved oxygen/mg/L | 6.31–6.77 | 6.77–7.71 | 7.71–8.31 | <3.75 or >8.31 |
| Nitrite nitrogen/μg/L | 48.09–71.41 | 71.41–109.61 | 109.61–587.0 | <48.09 or >587 |
| Nitrate-nitrogen/μg/L | 8.56–14.28 | 1.02–8.56 | 14.28–27.90 | <1.02 or >27.90 |
| Ammonia nitrogen/μg/L | 20.78–45.57 | 4.63–7.8 | 1–4.63 | <1 or >45.57 |
| Sea temperature/°C | 25–15 | <25 or >15 |
| Species Name | Average Stem Height (cm) | Coverage Percentage (%) | Density Strain (m2) | The Total Area of Seagrass on the Island (ha) | |
|---|---|---|---|---|---|
| Shichenng Island | Z. marina | 30 | 25 | 77 | 16.93 |
| Haxian Island | Z. marina | 70 | 44 | 110 | 36.10 |
| Haiyang Island | Z. marina | 97 | 65 | 217 | 13.38 |
| Z. japonica | 110 | 10 | 64 | ||
| Xiaochanngshan Island | Z. marina | 41 | 11 | 109 | 62.75 |
| Z. japonica | 21 | 38 | 617 | ||
| Guanglu Island | Z. marina | 58 | 38 | 198 | 63.71 |
| Z. japonica | 32 | 7 | 608 | ||
| Z. caespitosa | 60 | 34.5 | 324 | ||
| Dachangshan Islannd | Z. marina | 71 | 23 | 158 | 37.69 |
| Z. japonica | 33 | 20 | 612 | ||
| Z. caespitosa | 84 | 20.5 | 234 | ||
| Zhangzi Island | Z. marina | 67 | 47 | 298 | 33.28 |
| Z. japonica | 100 | 2 | 37 | ||
| Z. caespitosa | 42 | 1 | 12 | ||
| Saili Island | Z. marina | 58 | 8.5 | 232 | 34.24 |
| Z. japonica | 40 | 0.7 | 12 | ||
| Z. caespitosa | 79 | 46 | 119 |
| Island | Degeneration |
|---|---|
| SCX | ◯ |
| HXD | ◯ |
| HYD | × |
| XCS | × |
| GLD | × |
| DCS | × |
| ZZD | ◯ |
| SLD | ◯ |
Disclaimer/Publisher’s Note: The statements, opinions and data contained in all publications are solely those of the individual author(s) and contributor(s) and not of MDPI and/or the editor(s). MDPI and/or the editor(s) disclaim responsibility for any injury to people or property resulting from any ideas, methods, instructions or products referred to in the content. |
© 2025 by the authors. Licensee MDPI, Basel, Switzerland. This article is an open access article distributed under the terms and conditions of the Creative Commons Attribution (CC BY) license (https://creativecommons.org/licenses/by/4.0/).
Share and Cite
Song, Y.; Fu, Y.; Song, J.; Yang, J.; Wang, Y.; Hu, W.; Guo, J. Suitability Evaluation of the Water Environment for Seagrass Growth Areas in the Changshan Archipelago. Sustainability 2025, 17, 4645. https://doi.org/10.3390/su17104645
Song Y, Fu Y, Song J, Yang J, Wang Y, Hu W, Guo J. Suitability Evaluation of the Water Environment for Seagrass Growth Areas in the Changshan Archipelago. Sustainability. 2025; 17(10):4645. https://doi.org/10.3390/su17104645
Chicago/Turabian StyleSong, Yanzhen, Yanzhao Fu, Jun Song, Jun Yang, Yahe Wang, Wei Hu, and Junru Guo. 2025. "Suitability Evaluation of the Water Environment for Seagrass Growth Areas in the Changshan Archipelago" Sustainability 17, no. 10: 4645. https://doi.org/10.3390/su17104645
APA StyleSong, Y., Fu, Y., Song, J., Yang, J., Wang, Y., Hu, W., & Guo, J. (2025). Suitability Evaluation of the Water Environment for Seagrass Growth Areas in the Changshan Archipelago. Sustainability, 17(10), 4645. https://doi.org/10.3390/su17104645

