Next Article in Journal
Development, Thermodynamic Evaluation, and Economic Analysis of a PVT-Based Automated Indirect Solar Dryer for Date Fruits
Previous Article in Journal
South African Township Consumers’ Recycling Engagement and Their Actual Recycling Behavior
 
 
Font Type:
Arial Georgia Verdana
Font Size:
Aa Aa Aa
Line Spacing:
Column Width:
Background:
Article

Influence of Different Binders on the Municipal Solid Waste Incineration Fly Ash Granulation-Based Stabilization Process

by
Maryna Shevtsova
1,
Jurgita Malaiškienė
2,*,
Jelena Škamat
2 and
Valentin Antonovič
2
1
Civil Engineering Research Centre, Vilnius Gediminas Technical University, 10223 Vilnius, Lithuania
2
Laboratory of Composite Materials, Institute of Building Materials, Vilnius Gediminas Technical University, 10223 Vilnius, Lithuania
*
Author to whom correspondence should be addressed.
Sustainability 2025, 17(10), 4573; https://doi.org/10.3390/su17104573
Submission received: 29 April 2025 / Revised: 14 May 2025 / Accepted: 14 May 2025 / Published: 16 May 2025
(This article belongs to the Section Waste and Recycling)

Abstract

Municipal solid waste incineration fly ash (MSWI FA) is a hazardous waste that must be kept in special landfills due to the high amounts of chlorides, sulfates, and heavy metals. The granulation of MSWI FA could be used as a solidification/stabilization (S/S) of fly ash to immobilize hazardous chemical elements and to reduce dust emissions. In this work for granulation, three different binders were used: calcium aluminate cement (CAC), geopolymer (GEO), and Portland cement (PC). Chemical (XRF), mineral (XRD), granulometric compositions, and leaching of prepared granules are presented in the article. Furthermore, the impact of different binders on bulk density, compressive strength, and granule structure was analyzed. The results show that the granules with CAC binder have the best initial compressive strength (about 10 MPa), but these granules were destroyed after the leaching test or connection with water. The geopolymer as a binder did not provide the required compressive strength and immobilization of harmful elements. Granules with a Portland cement binder have a suitable compressive strength, a slight leaching of chemical elements, and good durability in the alkaline and acidic environment; they are also resistant to freezing and thawing cycles.

1. Introduction

The municipal solid waste incineration fly ash (MSWI FA), which contains high levels of heavy metals and soluble salts (chlorine, sulfide), is classified as hazardous waste and requires special methods for handling and utilization. Additional risks when managing FA are due to the dust-like nature of fly ash. The established requirements of the Ministry of the Environment of the Republic of Lithuania and the European Commission aim to reduce dust emissions during the storage, loading, and transport of bulk solid materials [1,2]. They ensure that economic entities do not pollute the environment beyond their production sites. Till now, the two most common ways to manage MSWI FA are backfilling or landfilling after certain pre-treatment [3]. In response to the initiative of the European Commission for the circular economy development, it is also expected that new solutions will be proposed, promoting a higher level of recycling and reducing landfilling. In this regard, it is worth mentioning several alternative directions for the processing of FA, developing recently and promoting recovery of secondary raw materials or FA reuse in products: 1—decontamination, 2—manufacturing of products (such as aggregates, cement, cement-based composites, bricks, etc.), 3—practical applications (such as biogas upgrading, CO2 sequestration, etc.) and 4—recovery of materials (zinc, phosphorus, etc.) [3]. For reducing pollution risks when landfilled or the introduction of MSWI FA into the manufacturing of materials and products, the decontamination and solidification/stabilization (S/S) methods are of high importance.
The S/S techniques using cement and other binders are commonly employed to immobilize heavy metals and mitigate the negative impacts of MSWI FA on the environment [4,5,6,7,8,9,10]. This process forms stable compounds that reduce the mobility of contaminants. Producing the granules from MSWI FA with binders providing S/S effect expands the possibilities of storage and rehandling and potentially presents opportunities for sustainable and cost-effective applications in construction and infrastructure projects [11,12,13,14] if the leachability of FA is compliant with regulatory limits [15,16,17,18,19,20,21]. As the previous studies show, cement- or other binder-based S/S techniques can effectively immobilize heavy metals but are hardly able to visibly lower the mobility of chlorides and sulphates [22]. Therefore, washing pre-treatment of MSWI FA is considered an inevitable procedure for at least partial removal of soluble salts and to improve ash stability before its further potential reuse in construction materials or its storage as a non-hazardous waste [23]. Colangelo et al. [22] studied MSWI FA granulation in their work; however, two-step washing pre-treatment was applied to MSWI FA before further manufacturing of granules. In the present work, another approach is investigated, where MSWI FA is granulated before washing. Such an approach allows moving from dusty to granulated material just after MSWI FA is being collected, thus reducing all risks associated with dust processing. MSWI FA washing produces wastewater laden with colloidal FA particles (<10 µm), which are challenging to separate due to their small size, high surface charge, and tendency to form stable suspensions. Pre-granulation of MSWI FA before washing could potentially enhance its separation from water by increasing particle size and reducing colloidal stability, thus improving settling velocity and filterability. Furthermore, immobilization of heavy metals could be reached at this stage, minimizing the release of heavy metals during washing and making the wastewater treatment stage easier.
The choice of the binder is an important issue in terms of the efficiency of S/S of hazardous FA and affects the granulation process. The binder must immobilize heavy metals, create the granules in the granulation process, and provide granule integrity during washing and a certain strength after washing. The main binders in this study, investigated for the S/S process of MSWI FA on bulk samples, are Portland cement (PC), calcium aluminate cement (CAC), and geopolymer. The studies show different effects of the binders for MSWI FA solidification. Portland cement, used for the S/S of MSWI FA more widely, immobilizes heavy metals, but generally less effectively than geopolymers. The leaching tests showed that PC-treated samples had higher leachability for certain heavy metals like Pb, Zn, and Cd compared to geopolymer-treated samples [24,25,26,27,28,29]. They may not always meet the required standards for heavy metal immobilization and durability under aggressive conditions [25,30]. PC-based materials tend to have a less dense microstructure compared to geopolymers. The hydration process forms calcium silicate hydrates (C-S-H), which are less effective in encapsulating heavy metals compared to the aluminosilicate phases in geopolymers [26]. The compressive strength of PC-based S/S samples can vary significantly, with some studies reporting strength ranging from 2.5 to 10.8 MPa after 28 days of curing [25].
Geopolymers are known for their superior mechanical properties and environmental benefits [25,26,27]. The inclusion of MSWI FA in geopolymers leads to the formation of a geopolymer matrix with unreacted FA particles. While geopolymers can achieve high compressive strength (14.3 to 22.4 MPa), the variability in the composition of MSWI FA can affect the consistency and reliability of the final product. For instance, the compressive strength of geopolymer samples can vary significantly depending on the specific mix and curing conditions [25,31,32,33,34,35]. Geopolymers are highly effective in immobilizing heavy metals: immobilization rates for Pb, Zn, and Cd can reach 99% in geopolymer-treated samples at the appropriate geopolymer to FA ratio [25]. The geopolymer matrix converts heavy metals into stable aluminosilicate phases, reducing their leachability [26]. Geopolymer binders promote the formation of new phases such as Friedel’s salts and hydrocalumite, which contribute to the encapsulation of heavy metals and chloride ions [25]. Additionally, geopolymer binders form a dense microstructure with well-connected interlocking morphology, which enhances their mechanical properties [36]. They are considered more environmentally friendly due to their lower greenhouse gas emissions and higher efficiency in utilizing industrial waste materials [25,31,33,37]. Geopolymers also exhibit better resistance to chemical attacks, such as sulfuric acid, compared to PC [38].
While specific studies on the use of CAC for MSWI FA granulation are limited, CAC is known for its rapid strength development and resistance to chemical attack, making it a potential candidate for such applications [28,29,30]. CAC-based binders exhibit shorter setting times compared to PC, which is beneficial for rapid construction needs [39]. The compressive strength of CAC binders is also notable, making them suitable for applications requiring early strength development. The microstructure of the solidified/stabilized fly ash shows low porosity due to the formation of dense hydration products, which encapsulate heavy metals and reduce their mobility [40,41,42].
At the moment, there are some scattered results obtained for granulation of MSWI FA of different compositions from different plants using Portland cement as a binder, and to the best of the authors’ knowledge, geopolymer-based or CAC-based granulation of MSWI FA has not been studied adequately till now. Developing this direction of MSWI FA processing further, the purpose of this work is to obtain experimental data on MSWI FA granulation using the three most common and promising binders–PC, CAC, and geopolymer, for assessment of S/S processes and comparison of behavior and properties of obtained granules under the influence of various media.

2. Materials and Methods

2.1. Materials

The study used MSWI fly ash (further–FA) collected from a municipal solid waste incineration plant in Vilnius (Lithuania). Studied FA is rich in calcium oxide (49.9%), contains some silica (about 3%), alumina and iron oxide (about 2%), and significant amounts of Cl, S, K, Na, and Zn (Table 1). A more detailed composition is given further in the paper. Three binders were used for granulation of FA: Portland cement (further–PC) Rocket M800 CEM II A/LL 42.5R (Heidelberg Materials Cement Sverige, Stockholm, Sweden); calcium aluminate cement (further–CAC) Gorkal 70 (Gorka, Trzebinia, Poland); and geopolymer (further–GEO) BAUCIS LBNa, consisting of two inorganic components—aluminosilicate binder based on metakaolin (part A) Mefisto LB05 and liquid alkaline activator (part B) (České lupkové závody, a.s., Nové Strašecí, Czech Republic). The chemical composition of the raw materials mentioned above is listed in Table 1.
Figure 1 shows the particle size distribution of the FA, CAC, GEO (part A), and PC. For FA, d90 is 54.3 µm and average diameter is 27.1 µm; for CAC, d90 is 34.9 µm, average diameter is 15.4 µm; for GEO, d90 is 24.2 µm, average diameter is 10.6 µm; for PC, d90 is 27.2 µm and average diameter is 11.5 µm.
The morphology of the FA is shown in Figure 2: mainly agglomerates (Figure 2a) consisting of very fine crystals (Figure 2b) with a size below the resolution of X-ray microanalysis were observed.

2.2. Sample Preparation

An intensive mixer/granulator Eirich R02/E was used for MSWI FA granulation. The parameters providing a stable granulation process were tried and selected experimentally and were as follows: 3 min of the solid component mixing in one direction rotation of the mixing tank and the swirl (cross-current operation), water spraying for 2 min with continuous rotation of the components and additional rotation for 3 to 5 min depending on the binder used at the same speed to create granules. The amount of binder was selected based on the results obtained in other studies on bulk samples [17,18,19,20,21,22,25,26,27,28,29,30,31,32,35,36,37,38,39,40,41,42,43,44]. The S/S effect increases, and the leaching of pollutants reduces with increasing binder amount in the mixture. However, there should be some adequate limit for binder-to-FA ratio for the cost-effective management of MSWI fly ash, which in [22] is considered to be 1:4. Authors of [40] indicated that based on the required compressive strength and the landfill site standards for MSWI FA, the amount of binder should not exceed approximately 35% by mass for PC and ~25% for CAC. Furthermore, it is demonstrated in [25] that the strength of PC-based bulk samples is directly dependent on the cement amount, and it grows with increasing PC portion from 10% to 50%, while the strength of geopolymer-based samples reaches its maximum at 20–30% of binder amount. Based on this knowledge, the binder amount was selected as follows: 15% of CAC and 25% of GEO and PC.
The moisture content was selected experimentally to provide granule formation. Less water was not enough to wet powder particles and obtain granules, while more water resulted in the formation of a paste. The compositions used for the tested granules are shown in Table 2.
Manufactured granules (Figure 3) were cured to obtain initial strength for 28 days at a temperature of 20° ± 2°C and stored in hermetic plastic bags.

2.3. Methods of Characterization

2.3.1. Compressive Strength Test

The Tinus Olsen test machine 200 kN (Tinus Olsen, London, UK) was used for compressive strength of granules analysis according to EN 1097-11:2013 [45]. The maximum load of 10% deformation from the initial height of a cylinder with filled granules was recorded and was taken for the compressive strength calculation. For each set, at least 3 samples were tested, and the average value was considered the final result. Testing of granules was conducted after manufacturing and curing at 20 ± 2 °C temperature for 28 days, 90 days, after the leaching test, when granules were in the water and rotated for 24 h, after alkaline and acidic testing, and a frozen test for PC granules. Granules have two size types for testing: the first is from 2 to 4 mm, and the second is from 4 to 8 mm for testing PC granules after being kept in environment-like conditions.

2.3.2. Methods for Leaching Test

To evaluate granule capability for hazard immobilization and also the ability to retain their integrity and strength properties in contact with water, a leaching test was conducted. According to European Standard EN 12457-1:2002 [46] a leaching test of granular wastes was conducted for the liquid-to-solid ratio of 2 L/kg dry matter for granules that have a particle size below 4 mm. The distillate water was mixed with the MSWI FA and granules with a liquid-to-solid ratio (L:S) of 2:1. It was vibrated on a shaker providing reciprocating motion for effective mixing of the contents for 24 h. After the solution had stood for 15 min and filtered by a microporous membrane with a pore diameter of 2–3 μm. The leaching concentration of the components was examined by the X-ray fluorescence (XRF) spectrometer ZSX Primus IV (Rigaku, Tokyo, Japan).
The pH value and electrical conductivity of leachate were immediately determined after filtration using a Mettler Toledo Meter MPC 227.

2.3.3. Phase Composition and Microstructure

The XRD analysis was performed using a DRON-7 diffractometer (St. Petersburg, Russia), equipped with a copper anode and a nickel filter. The test parameters were as follows: anode voltage of 30 kV, anode current of 12 mA, scanning range of 2-theta angle from 4° to 60°, scanning step of 0.02°, and counting time of 1 s per step. Peak identification on the XRD curve was conducted using the ICDD database. The analysis of granule morphology and microstructure was carried out using a scanning electron microscope JSM-7600F SEM (JEOL, Tokyo, Japan) equipped with an X-Max Oxford energy dispersive spectroscopy for phase chemical micro-analysis

2.3.4. Resistance to Alkali, Acid Environment, and Freezing-Thawing Cycles

A part of the granules from PC (after 90 days of curing) was immersed in alkaline (pH 11.5) and acidic (pH 4.2) solutions for 7 days. After this period, the compressive strength, chemical composition, and morphology of the granules were analyzed. To evaluate freeze–thaw resistance, the granules were first immersed in water at 20 ± 2 °C for 24 h, then frozen in a freezer at –18 ± 2 °C for 4 h, and subsequently thawed in water at 20 ± 2 °C for 2 h. This sequence constituted one freeze–thaw cycle. A total of 10 freeze–thaw cycles were performed, after which the compressive strength, chemical composition, and morphology of the granules were evaluated.

3. Results

3.1. Physical and Chemical Characteristics of MSWI FA Granules

3.1.1. Physical Properties of Manufactured MSWI FA Granules

The distribution of granule size after granulation is presented in Figure 4. The CAC-based and GEO-based granules have almost the same size distribution: more than 50% of the granules are from 1 mm to 2.8 mm. The Portland cement as a binder promoted the creation of more granules with a bigger size: 49.3% granules were from 4 mm to 8 mm in diameter.
The average bulk density of PC granules is 1115 kg/m3, CAC is 1165 kg/m3, and GEO is 910 kg/m3.

3.1.2. Elemental and Phase Compositions of MSWI FA Granules

The main components of FA are 32.5% Ca, some Na (3.3% mass), K (3.17%), S (1.38%), Si (1.33%), and halogens (Cl, F, Br, I) (11.3% mass). In addition, the studied MSWI FA contains 1.32% heavy metals (Cr, Ni, Cu, Zn, Pb, Cd, Sb, Ba) and 0.09% rare elements (Ga, Rb, Sr, Zr, Sn) (Table 3). The chemical composition of FA granules depends on the binder applied (Table 3). In granules with CAC, the amount of Ca is 27.7%, Na (2.5% mass), K (2.35%), Si (1.73%), and S (1.26%). Al is 5.61%, because the CAC is about 70% of Al2O3. GEO granules have the least amount of Ca (21.46%), and the highest amount of Si (8.86%), Al (3.23%), Na (4.69%), and K (2.56%), owing to geopolymer binder components. Granules with PC consist of 31.0% of Ca, 3.10% of Si, 2.01% of Na, 2.24% of K, 1.33% of Al, and S of 1.29%. By adding binding materials to FA during granulation, the concentration of heavy metals and halogens decreases from 1.31% to 0.92–1.01% and from 11.3% to 6–8%, respectively, independent of the used binder.
XRD analysis (Figure 5) revealed the main components in MSWI FA: calcite CaCO3, sodium chloride (halite) NaCl, potassium chloride (sylvite) KCl, anhydrite CaSO4, and calcium chloride hydroxide CaCl(OH). Minor phases of the composition are portlandite, Ca(OH)2, and SiO2. CaCl(OH) is formed when gaseous HCl is allowed to react with calcium hydroxide Ca(OH)2, and CaO. In dry conditions, anhydrous chlorides CaCl2 are formed, while in the presence of moisture, CaCl(OH) is formed.
When water is added during granulation, the particles of FA and binder are wetted and soluble phases present begin to dissolve, releasing ions. Due to a lot of sulfate anions (SO4)2− and Cl anions coming from the FA and their interaction with components of binders, the granulation process forms following new major compounds: hydrocalumite, also known as Friedel’s salt (in FA+CAC and FA+GEO systems) and ettringite (in FA+CAC and FA+PC systems) (Figure 6). Thus, CAC-based granules consist of unreacted CA and CA2 (from CAC), residues of undissolved anhydrite, calcite, halite, and sylvite from FA, and formed hydrocalumite and ettringite. For GEO-based granules, the following crystalline phases were identified: quartz and dolomite from GEO, undissolved calcite, anhydrite and halite from FA, and formed hydrocalumite. For PC-based granules: some quartz from PC, residues of anhydrite, calcite, halite and sylvite from FA, and formed ettringite, gypsum and portlandite. Moreover, all XRD patterns showed an amorphous halo (more expressed for PC), suggesting the formation of gel-like hydrate structures in all types of granules obtained. Noticeably, for CAC- and PC-based granules, the intensities of XRD reflection were reduced for both KCl and NaCl, indicating partial even dissolution of both. For GEO gr., KCl reflections disappeared, while reflections of NaCl were found to be much more intensive compared to CAC gr. or PC gr. This shows possible suppression of NaCl dissolution, favoring KCl, which can be because the solution already contains Na⁺ ions from the geopolymer alkaline activator.
The hydration of CAC with MSWI FA is specific because CAC does not form hydrates of calcium aluminate. CAC creates calcium ions Ca2+ and aluminate anion Al(OH)4−, which interact with sulfate anions from FA and form ettringite or AFm-sulfate [42,43,47]. The same reaction occurs using PC, which contains a highly reactive C3A phase, which can create calcium ions Ca2+ and aluminate anion Al(OH)4− in the presence of sulfates. They connect with sulfate ions from FA and form ettringite [44] in PC too:
6Ca2+ + 2Al(OH)4− + 3SO42− + 26H2O → Ca6Al2(SO4)3(OH)12∙26H2O
Ettringite or AFm, a hydrous calcium aluminum sulfate, is known for its ability to immobilize heavy metals in contaminated environments [48,49,50]. Its crystal has a needle-like form, in which [Al(OH)6]3− octahedra, linked together with Ca2+, make up columns that run parallel to the needle axis. At the same time, sulfate and water molecules are accommodated in the channels between them. The channel structure enables the relatively easy replacement of sulfate with oxyanions of similar structure and radius, such as chromate, arsenate, vanadate, and selenate [50] and divalent and trivalent metals, that can compete with Al3+ in the octahedra for instance, incorporated Cu, Cr, Cd, Fe, Pb and Zn in the ettringite structure.
Geopolymer also generates aluminum hydroxide ions Al(OH)4−, and in reaction with Ca2+ and (SO4)2−, released from FA, it could form ettringite in the granulation process too. However, only low-intensity peaks corresponding to ettringite were observed in the XRD pattern of GEO granules, which can be related to the lower pH of the solution (see Section 3.2.1), suppressing ettringite precipitation. Instead, geopolymer, as well as CAC, together with FA, forms hydrocalumite–a layered double hydroxide Ca2Al(OH)7·3H2O [51]:
2Ca2+ + Al(OH)4− + 3OH + 3H2O → Ca6Al(OH)7·3H2O
It is noted [52,53] that hydrocalumite can adsorb various anions (chlorides, carbonates, nitrates) from water, replacing OH. In our case, when the salts are dissolved, the following reaction can be expected:
Ca2Al(OH)7·3H2O + Cl → Ca2Al(OH)6Cl·2H2O + OH
Formed Ca2Al(OH)6Cl·2H2O, also known as Friedel’s salt, is difficult to define by XRD analysis. The main peaks (7.9; 3.95; 2.87) correspond to the same peaks of hydrocalumite (7.86; 3.93; 2.89), and it is difficult to determine which structure was formed (Figure 6). Many works [51,54] note this effect, which is favorable for the retention of chlorine and other harmful substances in the granule during storage.
Furthermore, the immobilization of K+ ions in hydrocalumite can be assumed in GEO granules. Some quantities of sylvite are kept in granules with CAC and PC and do not appear in the XRD pattern of GEO granules, but it is present in the elemental composition of granules after leaching (Table 3 at 1.15%).

3.2. Leaching Test

3.2.1. Leachability of Heavy Metals and Other Elements in MSWI FA Granules

Investigation of the leachate after the leaching test showed that, using PC and CAC for granulation of MSWI FA, the pH value increased from 11.4 (for FA) to about 11.5 for CAC and 11.6 for PC granules, while the GEO decreased the pH value to 10.9. Analysis of the leachate conductivity revealed that every granulation process connected free ions in the FA. The conductivity of FA leachate was 139.5 mS/cm, and it was reduced to 76.4 when PC was used as a binder and to 95.5 mS/cm for CAC. GEO granules had the highest conductivity of 104.1 mS/cm compared to granules with other binders.
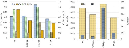
The ability of granules to retain their integrity after interaction with water and capture hazards inside the granule is largely predetermined by the solubility of the compounds formed in the FA reaction with the binder. The solubility of anhydrite Ksp is 2.4 × 10−5, portlandite is 5.5 × 10−6, and calcite is 3.3 × 10−9 for a temperature of 25 °C. The solubility of salt NaCl is 6.14 M, and KCl is 4.91 M, and they can fully dissociate in water into ions. Therefore, the leachate liquid for all granules has significant concentrations of K, Ca, Cl, and Na (Figure 7). In CAC-based and PC-based granules, potassium and sodium chloride dissolve almost at the same level as for the leaching of the FA dust, while GEO granules show increased release of K, Na, and Cl. Additional potassium and sodium can come from the unreacted hardener of geopolymer (part B), because pure geopolymer has 6.61% of Na and 1.21% of K, much more than PC (Na of 0.18% and K of 0.73%) and CAC (Na of 0.12% and K of 0.01%). However, increased concentration of Cl in the leachate of GEO gr. can indicate that GEO binder even promotes more full dissolution of salts compared to both initial FA and CAC- or PC-based granules. Together with the solubility of these elements, Br and S are discovered in the leachate too. The elements determined in the leachate from GEO gr. show no creation of structures involving sulfur. Numerous articles [25,26,31,32,33] indicate a high potential for the immobilization of heavy metals by geopolymer. As noted in the articles [34,35,36,55,56], the properties of cured geopolymer depend on the ratio of the active part to the curer. If the ratio alters, good properties will not be achieved in the cured geopolymer. In the granulation process, maintaining this ratio is quite challenging. It is necessary to ensure a solid/liquid ratio, which forms the granules during the process. The conflict between these two requirements makes it difficult for granules with desirable properties to be obtained.
Portland cement and calcium aluminate cement revealed a much better way to capture chemical elements after granulation of FA. Leaching of the granules produced by the geopolymer binder reveals the lowest concentration of calcium in the leachate compared to other binders, due to its minimal calcium content in the granules. Sulfur is not bound in the geopolymer and comes out to leachate, and at that time, PC forms ettringite and gypsum, and it decreases the amount of sulfur in the leachate. In CAC-based granules, formed ettringite binds sulfur. The chemical elements Cl, Na, K, and Br have maximum values in the leachate after leaching testing of GEO granules (Figure 7), too.
Comparison of the obtained values of the elements in the leachate with the permissible ones regulated by the requirements of EU (COUNCIL DECISION of 19 December 2002 establishing criteria and procedures for the acceptance of waste at landfills under Article 16 of and Annex II to Directive 1999/31/EC) shows that primarily the chlorine output limits the storage of granules. Granules with PC or CAC transfer MSWI FA to a category of waste that can be stored in landfills designated for non-hazardous waste, since they contain less than 1.0 mass% chlorine and no longer require special landfills for hazardous waste, as is the case with MSWI FA storage. The directive document [57] does not limit other components found in the leachate after granules testing.
While the current stage of this study does not account for the potential release of contaminants into the surrounding environment if retention fails, the methodology presented by Ding et al. [58] offers valuable technical support for advancing studies. Their generalized solutions for advection-dispersion transport equations under time- and space-dependent conditions are highly relevant for modeling dynamic leaching behaviour and can be utilized in future research to assess barrier materials and predict long-term environmental performance.

3.2.2. XRD Analysis of FA Granules After Leaching

XRD patterns of FA granules with CAC, GEO, and PC after leaching testing and drying at 50 °C for constant weight are presented in Figure 8.
After the leaching test, the phase composition of the granules is changed: CAC granules form hydrocalumite, PC granules create calcium sulfide hydrates and portlandite, GEO granules form gel CASH, but it is a weak one due to the small amount of Al and Si.
Ettringite has a lower solubility (Ksp~10⁻44–10⁻46) compared to hydrocalumite (Ksp~10⁻16–10⁻22), but it is only stable at pH > 11.5 [53]. As the pH drops and there is not much sulfate to maintain equilibrium, ettringite begins to decompose into ions [44]:
Ca6[Al(OH)6]2(SO4)3·26H2O = 6Ca2+ + 2Al(OH)4− + 3SO42− + 4OH + 26H2O
Hydrocalumite is more stable over a wide pH range (9–13). But at pH < 10, hydrocalumite decomposes [51,52], and this can be the reason for its disappearance in GEO after leaching, when the solution has:
Ca2Al(OH)7·3H2O + 4H+ → 2Ca2+ + Al3+ + 7H2O
With decreasing sulfate activity and pH solution, the formation of hydrocalumite increases, rather than ettringite in CAC granules that contain a significant amount of Al. Granules with GEO shift into the usual composition, which consists of kaolinite, quartz, and calcite from FA after leaching and drying. Hydration of PC continues in the water and increases the creation of hydrocalcium sulfates and portlandite. The dry temperature and NaCl improve the transfer of gypsum to bassanite [59,60]:
CaSO4·2H2O → CaSO4·0.5H2O + 1.5H2O
After the leaching, the granules keep some residues of salt NaCl inside and do not have KCl because of its high solubility.

3.2.3. Chemical Characteristics of MSWI FA Granules After Keeping in Different Environments

Granulation reduces leaching and the relative content of harmful and heavy metals in the initial mixture. Firstly, concentrations of elements are changing with adding binder material, and, further, the binder affects the concentrations of elements in the granule after exposure to water with varying pH levels. Chlorine, potassium, sodium, and bromine are quickly removed from the highly soluble phases of the granule and found in the leachate (Table 3 and Figure 7). Chlorine and bromine are reduced by 2 times for all binders, potassium in 4 times for CAC and PC, and 2 times for GEO granules, and the sodium amount falls almost 10 times for CAC granules and PC, and 3 times for GEO. Sr and Rb are getting out to the leachate from the granules after being held in the water, but their quantities are lower than the accuracy limit of the equipment. The analysis of granule composition after keeping in water proves the release of elements to the leachate. Sr concentration in granules is reduced from 0.03 to 0.025 for CAC and PC granules, but GEO granules hold it in the structure without changing the amount. CAC and PC granules allow Sr to react with water to form hydroxide Sr(OH)2, forming salts SrCO3 (strontium carbonate)—slightly soluble in water, or SrSO4 (strontium sulfate)—practically insoluble. The last one prevents it from entering the aqueous solution. Rb is very reactive, especially with water, and reacts well with halogens, forming solids. At the same time, rubidium salts RbCl and RbBr are highly soluble in water, which leads to good dissolution of Rb (Table 3). Therefore, GEO granules and PC have Rb, and after keeping more in the solution, it is released from the granules. GEO granules save Rb in their composition.
The results from Table 3 show that the amount of harmful elements in the granules does not decrease, for example, sulfur, chromium, and antimony, indicating good retention of these elements by the binders CAC and PC within the granule by the formation of ettringite and gypsum in the granule. For GEO granules, Cr is decreased by 3 times after being kept in water. Studies [61,62] show that chromium affects the hydration and hardening of Portland cement. Chromium immobilization occurs mainly through the formation of Ca6Al2Cr3O18·32H2O, which substitutes sulfate groups in the ettringite lattice. This substitution forms a diffusion barrier, leading to longer setting times and decreased compressive strength, although the strength remains within acceptable limits. The addition of chromium or nickel oxides up to 1% by mass does not significantly alter the properties of Portland clinker [63]. Antimony was incorporated into the clinker phases AFm-phases and C-S-H [64]. The presence of heavy metals such as zinc (Zn), lead (Pb), copper (Cu), and barium (Ba) influences the hydration of granule binders, creating new structures in the granules. Zinc formation of zinc hydroxide (Zn(OH)2) on the surface of cement grains, which depletes calcium ions from the pore solution and creates a diffusion barrier suppressing the formation of portlandite and inhibiting the hydration of clinker grains [65,66]. Zinc can also form the compound Zn2SiO4, which affects the microstructure and hydration kinetics of the cement. Lead ions (Pb) tend to precipitate at the surface layer of the cement paste, limiting their further penetration into the cement matrix [67]. Copper can be solidified in ferrite-rich Portland clinker, promoting the formation of phases like CaCuO2, which may retard hydration and weaken the cement’s strength [68]. Copper tends to be solidified in the ferrite phase (C4AF), replacing iron and forming a continuous solid solution, which can retard the formation of other phases like C3A. Barium tends to precipitate as barium sulfate BaSO4 during the hydration process, which can influence the microstructure of the cement [69].
Additional analysis of the PC-based granules after the leaching test and after 7 days in either alkaline or acid solutions shows that the concentrations of chemical elements in granules do not change, except for Na and Cl (Table 3). An alkaline environment is more friendly for PC-based granules, but the acid could have a more aggressive impact. Portland cement contains hydrated calcium compounds such as calcium hydroxide Ca(OH)2, which readily react with acids to create soluble salts (e.g., calcium sulfates, calcium chlorides) that are washed away from the structure. This reaction makes the material more porous and causes deterioration due to calcium leaching. Additionally, acids can damage the C-S-H gel, vital for the strength of cement paste. The XRD analysis results indicate that the phase composition of PC granules is nearly identical after storage in alkali or acid solutions (Figure 9). The exception was the presence of more gypsum in the granules following storage in acid solution. The longer the time of saving granules with PC in the solution, the greater the formation of portlandite and ettringite in comparison to the structure of granules with PC after leaching. At that time, gypsum is dissolved and calcium ions Ca2+ and sulfate anions (SO4)2− react with aluminate anion Al(OH)4− and form ettringite. In the acidic environment, gypsum can recrystallize again, as is observed in Figure 9. This indicates that the pH value does not significantly influence the changes in the chemical composition of the PC granules after being kept for 7 days in the alkaline or acidic solutions.

3.3. Compressive Strength of Granules After Influence of Different Environments

PC granules have a compressive strength of 2.33 MPa after 28 days (Figure 10). CAC quickly gains strength after the manufacturing of the granules, demonstrating maximum strength of 3.95 MPa compared to the granules on PC and geopolymer of 2.0 MPa in 28 days and 9.36 MPa in 90 days after manufacturing, compared to the granules on PC of 6.09 MPa and geopolymer of 2.41 MPa. At the considered CAC content (15%), granules have weak resistance to water, which does not allow the granules to be used for long-term storage involving humid conditions. The compressive strength of CAC-based granules was 0.68 MPa after the leaching test. Granules with PC presented good properties for keeping the granules. The compressive strength of the GEO granules remains almost unchanged both over time (2 MPa in 28 days and 2.41 MPa in 90 days) and after exposure to water (1.82 MPa after the leaching test) (Figure 10b). The compressive strength of PC granules after leaching and acid solution was almost the same, with a compressive strength of 3.90 MPa. This is more than after 90 days of 3.73 MPa. Keeping granules with PC in an alkaline solution increases compressive strength until 4.28 MPa (Figure 10b). After 10 freezing and thawing cycles, the compressive strength of PC granules was reduced to 2.34 MPa because of structural destruction.

3.4. SEM Analysis of Granules Microstructure

SEM analysis (Figure 11 and Figure 12) combined with energy-dispersive spectroscopy (EDS) (Table 4) was performed on granules after 28 days (Figure 11) and after the leaching test (Figure 12).
The difference in common elemental composition before and after leaching is revealed from the reduction of Cl, K, and Na in outside surface granules compared to the inside and supported the results of the granules’ chemical analysis after the leaching test (Table 4).
After keeping granules in the water, the concentration of K (in wt.%) at the surface was reduced from 8.0 to 0.4 for CAC, from 1.4 to zero for GEO, and from 1.2 to 0.8 for PC; Na—from 6.5 to 0.6 for CAC, from 8.8 to 0 for GEO, and from 1.1 to 0.7 for PC; Cl—from 21.1 to 4.52 for CAC, from 17.6 to 0.4 for GEO, and from 9.6 to 0.2 for PC. Inside the granules, the concentrations of these elements are also reduced: K—from 1.8 to 0.1 for CAC, from 2.1 to 0.9 for GEO, and from 1.8 to 0.3 for PC; Na—from 1.8 to 0.1 for CAC, from 1.5 to 0.5 for GEO, and from 8.2 to 0.3 for PC; Cl—from 11.1 to 3.52 for CAC, 17.8 to 2.0 for GEO, and from 16.8 to 2.5 for PC (Table 4).
SEM analysis revealed a compact internal structure of manufactured granules for all types of the binders used (Figure 11a–c). The granule surface was found to have more developed morphology, with growing crystals of needle-like, cubic/plate-like, and other shapes. NaCl crystals at the surface were observed for all types of granules, of near-cubic form for CAC and PC, or of irregular shape for GEO-based granules. Additionally, the CAC-based granules after 28 days of production formed needle-like crystals containing Ca, K, Cl, O, and C on the surface, which may compose such phases as CaCO3 and KCl [70], or structures like CaKCl3 or KCl-CaCO3 clusters (Figure 11d). The presence of aluminum, sulfur, and calcium can form ettringite, which also has a needle-like structure and (according to XRD results) is formed in CAC-based granules. Thus, calcium potassium chloride salts and ettringite can be assumed to be formed on the surface of CAC-based granules after their manufacturing.
GEO-based granules exhibit a beam-like form of CaSO4 on their exterior surface after 28 days, which was also detected by XRD analysis (Figure 6). This indicates the presence of a small amount of anhydrite in the granules, which is introduced along with the initial FA. The presence of Ca, Al, and Cl at the surface suggests the formation of hydrocalumite or Friedel’s salt, also supporting the results of XRD analysis. The presence of sulfur in the PC-based granules forms a needle-like ettringite structure, and a structure consisting of calcium sulfate, forming together with CaCl2 [71] (Figure 11f).
After keeping in the water, CAC granules showed a highly porous, loose internal structure and a lot of calcite and hydrocalumite (Freidel’s salt, present in the form of plates) at the surface (Figure 12a,d) [72,73] and supported by X-ray patterns (Figure 6). Coarse crystals of NaCl and KCl were not observed; thus, the salts have dissolved, and ettringite has transformed into hydrocalumite. According to the EDS analysis performed, hydrocalumite crystals are composed of 46.55–54.92% O, 18.67–23.19% Ca, 13.53–16.83% C, 6.21–6.50% Cl, and 5.11–5.35% Al (in mass %), confirming that Cl is immobilized in these structures. Moreover, EDS revealed the presence of 0.67–1.40% S and 0.29–0.52% Na in hydrocalumite. Little quantities of K, Na, and Cl determined by EDS for the internal dense matrix of the granule indicate that the salts’ residues can stay in the voids and capillaries of the hydrogel structure in some amount as well.
GEO-based and PC-based granules retained their compact inside structure after water-washing (Figure 12b,c). The geopolymer matrix, containing much Al, forms hydration phase C-A-S-H, in which potassium or magnesium particles often replace calcium (Ca2⁺) in the interlayer or charge-balancing sites. K⁺ can be in the interlayer spaces or adsorbed on the surface because it cannot fully replicate Ca2⁺ roles. Sometimes it stabilizes the surrounding pore solution and promotes N-A-S-H gel formation alongside or instead of C-A-S-H. Magnesium can replace calcium. This creates a phase that is sometimes designated as (M)-C-A-S-H. According to EDS, the amount of potassium in GEO granules is the highest compared to other granules; at the same time, sylvite or other potassium forms are not revealed in the X-ray pattern (Figure 6). This can prove an amorphous or weakly crystalline phase of the gel type in the GEO granules, but it stabilizes the system and increases resistance to chemical corrosion. After leaching, SEM analysis reveals the presence of ettringite and calcite in the GEO granules, while the crystals of Freidel’s salt are not observed, supporting the results of XRD analysis (Figure 8).
The primary hydration phase of Portland cement is C-S-H. According to EDS results for different zones inside granule, ions such as potassium, magnesium, and aluminum are captured in small quantities in C-S-H, leading to the formation of additional hydrates C(A,K,M)-S-H, enhancing the structure and properties of the granule, and retaining dense internal granule structure after leaching. Furthermore, crystals of portlandite, gypsum, and calcite were clearly distinguishable in the C-S-H matrix (Figure 12c). At the surface, mainly calcite was observed. These findings generally support the results of XRD analysis.

4. Conclusions

In the present study, municipal solid waste incineration fly ash (MSWI FA) was successfully granulated using three different binders: calcium aluminate cement (CAC), geopolymer (GEO), and Portland cement (PC). Granules up to 8 mm in diameter with bulk densities ranging from 910 to 1165 kg/m3 were obtained. For all tested binders, a dense internal structure of the granules was observed, along with the immobilization of heavy metals and rare-earth elements, consistent with findings reported in other studies. However, granule strength and the capacity to immobilize soluble salts varied depending on the binder used. The key observations for each binder are summarized below:
-
CAC produced the densest granules (1165 kg/m3), capable of achieving high compressive strength (up to 9 MPa after 90 days). It showed a stronger ability to immobilize chlorides and sulfates. When 15% CAC and 35% water were used, typical CAC hydration products (CAH10, C2AH8, C3AH6) were not observed; instead, hydrocalumite and ettringite were formed, incorporating Cl and S. Upon water exposure, ettringite and residual chlorides partially dissolved, leading to Cl and S leaching and a weakened granule structure, reducing strength to 0.66 MPa. Nonetheless, additional hydrocalumite and calcite formed, contributing to partial immobilization of chlorine and sulfur, without a decrease in heavy metal content.
-
Geopolymer contains Na⁺ ions in the alkaline activator, which suppresses NaCl dissolution from FA and promotes the more intensive dissolution of KCl instead. Due to the lower pH, ettringite formation was inhibited during granulation, while formed hydrocalumite dissolved during later water exposure, reducing the immobilization effect. Moreover, achieving effective reaction between solid and liquid geopolymer components during granulation is challenging, which likely contributed to the relatively low compressive strength (2.0–2.41 MPa) and diminished capacity for retaining hazardous substances.
-
PC demonstrated the most balanced performance, producing granules with good strength and long-term stability under various environmental conditions, including pH fluctuations and freeze-thaw cycles. Granulation resulted in the formation of ettringite and C-S-H gel, producing a dense structure and strength of ~2.3 MPa after 28 days, which increases to ~6.1 MPa after 90 days. Water storage led to ettringite dissolution and the formation of portlandite and calcite, while C-S-H gel remained, maintaining structural integrity and a strength of ~5.6 MPa. Chlorine leaching slightly increased under acidic or alkaline conditions, but granule integrity remained intact, with strength remaining around 4 MPa.
This research addresses key challenges of sustainable development by promoting the valorization of waste, specifically MSWI fly ash (FA), into value-added materials, thereby reducing dependence on virgin raw resources and mitigating environmental impacts. The granulation of MSWI FA is shown to be an effective method for minimizing dust-related hazards and improving storage safety. A comparative assessment of different binders (CAC, GEO, and PC) provides valuable insights into granule behavior, particularly under humid conditions. These findings support the development of sustainable MSWI FA management strategies, whether for safe long-term disposal as non-hazardous waste or reuse in construction applications. Ultimately, this work contributes to circular economy principles by offering cost-effective, environmentally responsible alternatives.

Author Contributions

Conceptualization, M.S., J.M., J.Š. and V.A.; methodology, M.S. and J.M.; formal analysis, M.S., J.M. and J.Š.; investigation, M.S., J.M. and J.Š.; resources, J.M. and V.A.; data curation, J.Š.; writing—original draft preparation, M.S.; writing—review and editing, J.M., J.Š. and V.A.; supervision, V.A. All authors have read and agreed to the published version of the manuscript.

Funding

This research was funded by the Centre of Excellence project “Civil Engineering Research Centre” (Grant No. S-A-UEI-23-5).

Institutional Review Board Statement

Not applicable.

Informed Consent Statement

Not applicable.

Data Availability Statement

Data are contained within the article.

Acknowledgments

The equipment and infrastructure of the Civil Engineering Research Centre of the Vilnius Gediminas Technical University were employed in the investigations.

Conflicts of Interest

The authors declare no conflicts of interest.

Abbreviations

The following abbreviations are used in this manuscript:
MSWIMunicipal solid waste incineration
FAFly ash
PCPortland cement
CACCalcium aluminate cement
GEOGeopolymer
EDSEnergy dispersive spectroscopy

References

  1. Order of the Minister of Environment of the Republic of Lithuania on the Approval of Minimum Requirements for Reducing Dustiness During the Storage, Loading, and Transportation of Loose Solid Materials. 11 November 2020. No. D1-682, Vilnius. Available online: https://www.e-tar.lt/portal/lt/legalAct/4b6141b0240a11eb932eb1ed7f923910 (accessed on 25 February 2025).
  2. European Commission. Integrated Pollution Prevention and Control. Reference Document on Best Available Techniques on Emissions from Storage. July 2006. Available online: https://eippcb.jrc.ec.europa.eu/sites/default/files/2019-11/esb_bref_0706.pdf (accessed on 25 February 2025).
  3. Quina, M.J.; Bontempi, E.; Bogush, A.; Schlumberger, S.; Weibel, G.; Braga, R.; Funari, V.; Hyks, J.; Rasmussen, E.; Lederer, J. Technologies for the management of MSW incineration ashes from gas cleaning: New perspectives on recovery of secondary raw materials and circular economy. Sci. Total Environ. 2018, 635, 526–542. [Google Scholar] [CrossRef]
  4. El-Eswed, B.I. Chemical evaluation of immobilization of wastes containing Pb, Cd, Cu and Zn in alkali-activated materials: A critical review. J. Environ. Chem. Eng. 2020, 8, 104194. [Google Scholar] [CrossRef]
  5. Kozáková, L.; Bakalár, T.; Zelenák, M.; Prašcáková, M. Solidification of MSWI fly-ash with regard to hazardous metals leaching. Acta Montan Slovaca 2013, 18, 129–139. Available online: https://www.researchgate.net/publication/286314185_Solidification_of_MSWI_fly-ash_with_regard_to_hazardous_metals_leaching (accessed on 28 February 2025).
  6. Bie, R.; Chen, P.; Song, X.; Ji, X. Characteristics of municipal solid waste incineration fly ash with cement solidification treatment. J. Energy Inst. 2016, 89, 704–712. [Google Scholar] [CrossRef]
  7. Yang, D.; Kow, K.; Wang, W.; Meredith, W.; Zhang, G.; Mao, Y.; Xu, M. Co-treatment of municipal solid waste incineration fly ash and alumina-/silica-containing waste: A critical review. J. Hazard. Mater. 2024, 479, 135677. [Google Scholar] [CrossRef]
  8. Luna Galiano, Y.; Fernández Pereira, C.; Vale, J. Stabilization/solidification of a municipal solid waste incineration residue using fly ash-based geopolymers. J. Hazard. Mater. 2011, 185, 373–381. [Google Scholar] [CrossRef] [PubMed]
  9. Czop, M. Evaluation of the Leachability of Contaminations of Fly Ash and Bottom Ash from the Combustion of Solid Municipal Waste before and after Stabilization Process. Sustainability 2018, 11, 5384. [Google Scholar] [CrossRef]
  10. Zhang, Z.; Zhao, C.; Rao, Y.; Yu, C.; Luo, Z.; Zhao, H.; Wang, X.; Wu, C.; Wang, Q. Solidification/stabilization and risk assessment of heavy metals in municipal solid waste incineration fly ash: A review. Sci. Total Environ. 2023, 892, 164451. [Google Scholar] [CrossRef] [PubMed]
  11. Berber, H.; Tamm, K.; Leinus, L.; Kuusik, R.; Tõnsuaadu, K.; Paaver, P.; Uibu, M. Accelerated carbonation technology granulation of industrial waste: Effects of mixture composition on product properties. Waste Manag. Res. 2020, 38, 142–155. [Google Scholar] [CrossRef]
  12. Sivakumar, A.; Gomathi, P. Pelletized fly ash lightweight aggregate concrete: A promising material. J. Civil Eng. Constr. Technol. 2012, 3, 42–48. Available online: https://academicjournals.org/journal/JCECT/article-full-text-pdf/A6B644E3378 (accessed on 3 March 2025). [CrossRef]
  13. Cioffi, R.; Colangelo, F.; Montagnaro, F.; Santoro, L. Manufacture of artificial aggregate using MSWI bottom ash. Waste Manag. 2011, 31, 281–288. [Google Scholar] [CrossRef] [PubMed]
  14. Liu, D.; Ke, Y.; Min, X.; Liang, Y.; Wang, Z.; Li, Y.; Fei, J.; Yao, L.; Xu, H.; Jiang, G. Cotreatment of MSWI Fly Ash and Granulated Lead Smelting Slag Using a Geopolymer System. Int. J. Environ. Res. Public Health 2018, 16, 156. [Google Scholar] [CrossRef] [PubMed]
  15. Zhang, Y.B.; Chen, J.N.; Ginder-Vogol, M.; Edil, T.B. Effect of pH and Grain Size on the Leaching Mechanism of Elements from Recycled Concrete Aggregate. In Proceedings of GeoShanghai 2018 International Conference: Geoenvironment and Geohazard; GSIC: Madrid, Spain, 2018. [Google Scholar] [CrossRef]
  16. Bui Viet, D.; Chan, W.; Phua, Z.; Ebrahimi, A.; Abbas, A.; Lisak, G. The use of fly ashes from waste-to-energy processes as mineral CO2 sequesters and supplementary cementitious materials. J. Hazard. Mater. 2020, 398, 122906. [Google Scholar] [CrossRef] [PubMed]
  17. Wi, K.; Sahin, O.; Wang, K.; Lee, Y. Characterization and evaluation of cement-based systems containing solution-treated municipal solid-waste incineration fly ash. Constr. Build. Mater. 2024, 416, 135230. [Google Scholar] [CrossRef]
  18. Li, H.; Peng, Y.; Xu, M.; Wang, Y.; Ding, J.; Ma, B.; Jin, L.; Lu, S.; Yan, J. Use of municipal solid waste incineration fly ash as a supplementary cementitious material: CO2 mineralization coupled with mechanochemical pretreatment. Environ. Res. 2024, 242, 117799. [Google Scholar] [CrossRef]
  19. Wu, K.; Shi, H.; Schutter, G.D.; Guo, X.; Ye, G. Preparation of alinite cement from municipal solid waste incineration fly ash. Cem. Concr. Compos. 2012, 34, 322–327. [Google Scholar] [CrossRef]
  20. Kumar, S.; Gupta, S.; Singh, N. Characterization and Sustainable Utilization of Municipal Solid Waste Incineration Ash: A Review. Recent Dev. Energy Environ. Eng. Lect. Notes Civil Eng. 2023, 333, 383–395. [Google Scholar] [CrossRef]
  21. Lu, Y.; Tian, A.; Zhang, J.; Tang, Y.; Shi, P.; Tang, Q.; Huang, Y. Physical and Chemical Properties, Pretreatment, and Recycling of Municipal Solid Waste Incineration Fly Ash and Bottom Ash for Highway Engineering: A Literature Review. Adv. Civil Eng. 2020, 2020, 8886134. [Google Scholar] [CrossRef]
  22. Colangelo, F.; Cioffi, R.; Montagnaro, F.; Santoro, L. Soluble salt removal from MSWI fly ash and its stabilization for safer disposal and recovery as road basement material. Waste Manag. 2012, 32, 1179–1185. [Google Scholar] [CrossRef]
  23. Colangelo, F.; Messina, F.; Cioffi, R. Recycling of MSWI fly ash by means of cementitious double step cold bonding pelletization: Technological assessment for the production of lightweight artificial aggregates. J. Hazard. Mater. 2015, 299, 181–191. [Google Scholar] [CrossRef]
  24. Brännvall, E.; Kumpiene, J. Fly ash in landfill top covers—A review. Environ. Sci. Process. Impacts 2016, 18, 11–21. [Google Scholar] [CrossRef] [PubMed]
  25. Fan, C.; Wang, B.; Ai, H.; Qi, Y.; Liu, Z. A comparative study on solidification/stabilization characteristics of coal fly ash-based geopolymer and Portland cement on heavy metals in MSWI fly ash. J. Clean. Prod. 2021, 319, 128790. [Google Scholar] [CrossRef]
  26. Zheng, L.; Xia, Z.; Zhang, X.Y. Comparison between geopolymer reaction and cement hydration in solidification of fly ash generated in municipal solid waste incineration. Rev. Compos. Matér. Av. 2018, 28, 395–403. [Google Scholar] [CrossRef]
  27. Mikoč, M.; Bjelobrk, I.; Korajac, J. Alkali-activated fly ash concrete (Concrete without cement). Teh. Vjesn. 2011, 18, 99–102. Available online: https://hrcak.srce.hr/65933 (accessed on 3 March 2025).
  28. Guo, X.; Shi, H. Calcium sulfoaluminate (CSA) blended cements. Mag. Concr. Res. 2016, 68, 208–215. [Google Scholar] [CrossRef]
  29. Xiong, Y.; Xia, Y.; Meng, Y.; Huang, G.; Ma, Z.; Wang, L.; Yan, J. Recycling of municipal solid waste incineration fly ash into cement clinker. In Treatment and Utilization of Combustion and Incineration Residues; Elsevier: Amsterdam, The Netherlands, 2024; pp. 191–204. [Google Scholar] [CrossRef]
  30. Xia, Y.; Zhao, Y.; Baxtiyarovich, A.F.; Zhang, Y.; Wang, L.; Yan, J. Transforming MSWI fly ash into low-carbon and high-compatibility composites via designed calcium sulfoaluminate-based binders. J. Environ. Manag. 2024, 371, 123023. [Google Scholar] [CrossRef]
  31. Lan, T.; Meng, Y.; Ju, T.; Song, M.; Chen, Z.; Shen, P.; Du, Y.; Deng, Y.; Han, S.; Jiang, J. Manufacture of alkali-activated and geopolymer hybrid binder (AGHB) by municipal waste incineration fly ash incorporating aluminosilicate supplementary cementitious materials (ASCM). Chemosphere 2022, 303, 134978. [Google Scholar] [CrossRef]
  32. Su, L.; Wu, S.; Zhu, W.; Liang, B.; Zhang, X.; Yang, J. Enhanced geopolymerization of MSWI fly ash through combined activator pretreatment: A sustainable approach to heavy metal encapsulation and resource recovery. J. Environ. Manag. 2024, 370, 122870. [Google Scholar] [CrossRef]
  33. Tamilarasan, A.; Om, S. Effect of varying molarity and curing conditions on the mechanical and microstructural characteristics of alkali activated GGBS binder. Mater. Res. Express 2023, 10, 095305. [Google Scholar] [CrossRef]
  34. Sitarz, M.; Hager, I.; Choińska, M. Evolution of Mechanical Properties with Time of Fly-Ash-Based Geopolymer Mortars under the Effect of Granulated Ground Blast Furnace Slag Addition. Energies 2019, 13, 1135. [Google Scholar] [CrossRef]
  35. Huseien, G.F.; Mirza, J.; Ismail, M.; Hussin, M.W. Influence of different curing temperatures and alkali activators on properties of GBFS geopolymer mortars containing fly ash and palm-oil fuel ash. Constr. Build. Mater. 2016, 125, 1229–1240. [Google Scholar] [CrossRef]
  36. Wongsa, A.; Boonserm, K.; Waisurasingha, C.; Sata, V.; Chindaprasirt, P. Use of municipal solid waste incinerator (MSWI) bottom ash in high calcium fly ash geopolymer matrix. J. Clean. Prod. 2017, 148, 49–59. [Google Scholar] [CrossRef]
  37. Shaikh, F.U.A. Mechanical and durability properties of fly ash geopolymer concrete containing recycled coarse aggregates. Int. J. Sustain. Built Environ. 2016, 5, 277–287. [Google Scholar] [CrossRef]
  38. Bai, Y.; Guo, W.; Zhao, Q.; Zhang, N.; Xue, C.; Wang, S.; Song, Y. Performance deterioration of municipal solid waste incineration fly ash-based geopolymer under sulfuric acid attack. Constr. Build. Mater. 2023, 391, 131847. [Google Scholar] [CrossRef]
  39. Calgaro, L.; Contessi, S.; Bonetto, A.; Badetti, E.; Ferrari, G.; Artioli, G.; Marcomini, A. Calcium aluminate cement as an alternative to ordinary Portland cement for the remediation of heavy metals contaminated soil: Mechanisms and performance. J. Soils Sediments 2021, 21, 1755–1768. [Google Scholar] [CrossRef]
  40. Wei, G.X.; Liu, H.Q.; Zhang, S.G. Using of Different Type Cement in Solidification/Stabilization of MSWI Fly Ash. AMR 2011, 291, 1870–1874. [Google Scholar] [CrossRef]
  41. Ponduru, S.A.; Han, T.; Huang, J.; Neithalath, N.; Sant, G.; Kumar, A. Understanding roles and evaluating reactivity of fly ashes in calcium aluminate binders. Constr. Build. Mater. 2024, 414, 135062. [Google Scholar] [CrossRef]
  42. Wang, S.; Zhang, W.; Jia, Z. Solidification/Stabilization of Waste Incineration Fly Ash by Modified Calcium Aluminate Cement. Water Air Soil Pollut. 2024, 235, 163. [Google Scholar] [CrossRef]
  43. Zhang, S.; Xu, X.; Memon, S.A.; Dong, Z.; Li, D.; Cui, H. Effect of calcium sulfate type and dosage on properties of calcium aluminate cement-based self-leveling mortar. Constr. Build. Mater. 2018, 167, 253–262. [Google Scholar] [CrossRef]
  44. Xu, L.; Wang, P.; Zhang, G. Calorimetric study on the influence of calcium sulfate on the hydration of Portland cement–calcium aluminate cement mixtures. J. Therm. Anal. Calorim. 2012, 110, 725–731. [Google Scholar] [CrossRef]
  45. EN 1097-11; Tests for Mechanical and Physical Properties of Aggregates—Part 11: Determination of Compressibility and Confined Compressive Strength of Lightweight Aggregates. European Standards s.r.o.: Brussel, Belgium, 2013.
  46. EN 12457-1; Characterisation of Waste-Leaching-Compliance Test for Leaching of Granular Waste Materials and Sludges—Part 1: One Stage Batch Test at a Liquid to Solid Ratio of 2 L/kg for Materials with High Solid Content and with Particle Size Below 4 mm (Without or with Size Reduction). European Standards s.r.o.: Brussel, Belgium, 2003.
  47. Agrela, F.; Cabrera, M.; Galvín, A.; Barbudo, A.; Ramirez, A. Influence of the sulphate content of recycled aggregates on the properties of cement-treated granular materials using Sulphate-Resistant Portland Cement. Constr. Build. Mater. 2014, 68, 127–134. [Google Scholar] [CrossRef]
  48. Jewell, R.B.; Rathbone, R.F.; Duvallet, T.Y.; Robl, T.L.; Mahboub, K.C. Fabrication and Testing of Low-Energy Calcium Sulfoaluminate-Belite Cements that Utilize Circulating Fluidized Bed Combustion By-Products. Coal Combust. Gasif. Prod. 2015, 7, 9–18. [Google Scholar] [CrossRef]
  49. Fan, C.; Wang, B.; Xu, Y. Solidification/stabilization and immobilization mechanism of Pb(II) and Zn(II) in ettringite. Cem. Concr. Res. 2023, 174, 107350. [Google Scholar] [CrossRef]
  50. Chrysochoou, M.; Dermatas, D. Evaluation of ettringite and hydrocalumite formation for heavy metal immobilization: Literature review and experimental study. J. Hazard. Mater. 2006, 136, 20–33. [Google Scholar] [CrossRef]
  51. Gevers, B.R.; Labuschagné, F.J. Green Synthesis of Hydrocalumite (CaAl-OH-LDH) from Ca(OH)2 and Al(OH)3 and the Parameters That Influence Its Formation and Speciation. Crystals 2020, 10, 672. [Google Scholar] [CrossRef]
  52. Jiménez, A.; Trujillano, R.; Gil, A.; Rives, V.; Vicente, M.Á. Hydrocalumite and hydrocalumite-type compounds: A special type of layered double hydroxides. Appl. Clay Sci. 2025, 267, 107707. [Google Scholar] [CrossRef]
  53. Qian, G.; Feng, L.; Zhou, J.Z.; Xu, Y.; Liu, J.; Zhang, J.; Xu, Z.P. Solubility product (Ksp)-controlled removal of chromate and phosphate by hydrocalumite. Chem. Eng. J. 2012, 181, 251–258. [Google Scholar] [CrossRef]
  54. Zhang, S.; Yu, F.; He, W.; Zheng, D.; Cui, H.; Lv, L.; Tang, W.; Han, N. Experimental Investigation of Chloride Uptake Performances of Hydrocalumite-Like Ca-Al LDHs with Different Microstructures. Appl. Sci. 2019, 10, 3760. [Google Scholar] [CrossRef]
  55. Bakharev, T. Resistance of geopolymer materials to acid attack. Cem. Concr. Res. 2005, 35, 658–670. [Google Scholar] [CrossRef]
  56. Deb, P.S.; Nath, P.; Sarker, P.K. The effects of ground granulated blast-furnace slag blending with fly ash and activator content on the workability and strength properties of geopolymer concrete cured at ambient temperature. Mater. Des. 2014, 62, 32–39. [Google Scholar] [CrossRef]
  57. ED (2003) 2003/33/EC: Council Decision of 19 December 2002 Establishing Criteria and Procedures for the Acceptance of Waste at Landfills Pursuant to Article 16 of and Annex II to Directive 1999/31/EC. Available online: https://assets.publishing.service.gov.uk/media/65fd73e8a6c0f70011ef9278/CD1VCO_1.PDF (accessed on 10 April 2025).
  58. Ding, X.; Luo, B.; Zhou, H.; Chen, Y. Generalized solutions for advection–dispersion transport equations subject to time- and space-dependent internal and boundary sources. Comput. Geotech. 2025, 178, 106944. [Google Scholar] [CrossRef]
  59. Stawski, T.; Karafiludis, S.; Pimentel, C.; Montes-Hernandez, G.; Kochovski, Z.; Bienert, R.; Weimann, K.; Emmerling, F.; Scoppola, E.; Van Driessche, A.E.S. Solution-driven processing of calcium sulfate: The mechanism of the reversible transformation of gypsum to bassanite in brines. J. Clean. Prod. 2024, 440, 141012. [Google Scholar] [CrossRef]
  60. Reigl, S.; Van Driessche, A.E.S.; Ullrich, T.; Koltzenburg, S.; Kunz, W.; Kellermeier, M. Organic solvent-free synthesis of calcium sulfate hemihydrate at room temperature. Chemical 2024, 57, 58. [Google Scholar] [CrossRef] [PubMed]
  61. Oproiu, C.; Parvan, M.; Voigu, G.; Badanoiu, A.; Trusca, R. Influence of a Chromium-rich Industrial Waste on the Hydration and Hardening Processes of Portland Cements with Slag and Limestone Additions. Rev. Chim. 2020, 71, 252–261. [Google Scholar] [CrossRef]
  62. Guo, X.; Ma, H.; Zhou, J.; Cheng, W.; Ba, M. Stabilization mechanism of hexavalent chromium ions in portland cement-based materials. Case Stud. Constr. Mater. 2024, 20, e03110. [Google Scholar] [CrossRef]
  63. Ferreira, A.V.; Righi, A.; Araújo, F.G.S.; Espinosa, D.C.R.; Tenório, J.A.S. Applications of the Rietveld method to quantify the crystalline phases of Portland cement clinker doped with nickel and chromium. Powder Diffr. 2008, 23, S42–S45. [Google Scholar] [CrossRef]
  64. Vollpracht, A.; Brameshuber, W. Binding and leaching of trace elements in Portland cement pastes. Cem. Concr. Res. 2015, 79, 76–92. [Google Scholar] [CrossRef]
  65. Matejka, L.; Siler, P.; Novotny, R.; Svec, J.; Masilko, J.; Soukal, F. Negative effect of zinc compounds on hydration kinetics of ordinary Portland cement. IOP Conf. Ser. Mater. Sci. Eng. 2021, 1039, 012004. [Google Scholar] [CrossRef]
  66. Xu, L.; Sun, Z.; Chen, Y.; Yang, K.; Yang, X.; Wu, K.; Lothenbach, B. Retardation mechanism of zinc on Portland cement and alite hydration. Cem. Concr. Res. 2024, 184, 107571. [Google Scholar] [CrossRef]
  67. Dyer, T.; Jones, R.; Garvin, S. Exposure of Portland cement to multiple trace metal loadings. Mag. Concr. Res. 2009, 61, 57–65. [Google Scholar] [CrossRef]
  68. Zhang, Z.; Zhang, Y.; Liu, C.; Zhao, M.; Liu, Z.; Yang, Y.; Liu, G.; Ma, X. Solidification mechanisms of copper in ferrite-rich Portland cement and its action mechanism in mineral phase. J. Build. Eng. 2022, 58, 104962. [Google Scholar] [CrossRef]
  69. Zezulová, A.; Staněk, T.; Opravil, T. The Influence of Barium Sulphate and Barium Carbonate on the Portland Cement. Procedia Eng. 2015, 151, 42–49. [Google Scholar] [CrossRef]
  70. Prlić-Kardum, J.; Sander, A.; Glasnović, A. Batch Crystallization of KCl: The Influence of the Cooling and Mixing Rate on the Granulometric Properties of Obtained Crystals. Chem. Biochem. Eng. Q. 2005, 19, 39–47. [Google Scholar]
  71. Wang, P.; Lee, J.; Park, S.; Yoon, H.; Shin, S.; Kim, E.; Koh, H.; Park, H. Calcium Sulfate Hemihydrate Powders with a Controlled Morphology for Use as Bone Cement. J. Am. Ceram. Soc. 2008, 91, 2039–2042. [Google Scholar] [CrossRef]
  72. Jo, H.; Jang, Y.; Young, J.H. Influence of NaCl on mineral carbonation of CO2 using cement material in aqueous solutions. Chem. Eng. Sci. 2012, 80, 232–241. [Google Scholar] [CrossRef]
  73. Birnin-Yauri, U.; Glasser, F. Friedel’s salt, Ca2Al(OH)6(Cl,OH)·2H2O: Its solid solutions and their role in chloride binding. Cem. Concr. Res. 1998, 28, 1713–1723. [Google Scholar] [CrossRef]
Figure 1. Particle size distribution for raw materials: MSWI FA, PC, CAC, GEO part A.
Figure 1. Particle size distribution for raw materials: MSWI FA, PC, CAC, GEO part A.
Sustainability 17 04573 g001
Figure 2. Morphology (a) and microstructure (b) of studied MSWI FA.
Figure 2. Morphology (a) and microstructure (b) of studied MSWI FA.
Sustainability 17 04573 g002
Figure 3. General view of initial MSWI FA (a) and granules produced with CAC (b) and Geopolymer (c), PC (d).
Figure 3. General view of initial MSWI FA (a) and granules produced with CAC (b) and Geopolymer (c), PC (d).
Sustainability 17 04573 g003
Figure 4. The size distribution of granules manufactured with different binders.
Figure 4. The size distribution of granules manufactured with different binders.
Sustainability 17 04573 g004
Figure 7. Concentration of elements in water (leachate) after leaching test of MSWI FA and granules.
Figure 7. Concentration of elements in water (leachate) after leaching test of MSWI FA and granules.
Sustainability 17 04573 g007
Figure 8. XRD patterns of CAC-, GEO- and PC-based granules after leaching test and drying: +—anhydrite CaSO4 (PDF®37-1496); C—calcite CaCO3 (PDF®24-27); N—sodium chloride, halite NaCl (PDF®1-993); Q—quartz SiO2 (PDF®46-1045); G—gypsum CaSO4⋅2H2O (PDF®33-311); P—portlandite Ca(OH)2 (PDF®44-1481); H—hydrocalumite Ca2Al(OH)7·3H2O (PDF®16-333) or Ca2Al(OH)6Cl·2H2O (PDF®42-558); *—CA (PDF®34-440); o—CA2(PDF®23-1037); K—kaolinite Al2Si2O5(OH)4 (PDF®29-1488); B—bassanite CaSO4⋅0.5H2O (PDF®33-310); D—dolomite CaMg(CO3)2 (PDF®36-426).
Figure 8. XRD patterns of CAC-, GEO- and PC-based granules after leaching test and drying: +—anhydrite CaSO4 (PDF®37-1496); C—calcite CaCO3 (PDF®24-27); N—sodium chloride, halite NaCl (PDF®1-993); Q—quartz SiO2 (PDF®46-1045); G—gypsum CaSO4⋅2H2O (PDF®33-311); P—portlandite Ca(OH)2 (PDF®44-1481); H—hydrocalumite Ca2Al(OH)7·3H2O (PDF®16-333) or Ca2Al(OH)6Cl·2H2O (PDF®42-558); *—CA (PDF®34-440); o—CA2(PDF®23-1037); K—kaolinite Al2Si2O5(OH)4 (PDF®29-1488); B—bassanite CaSO4⋅0.5H2O (PDF®33-310); D—dolomite CaMg(CO3)2 (PDF®36-426).
Sustainability 17 04573 g008
Figure 9. XRD patterns of PC granules after acid and alkali impact: +—CaSO4 (PDF®37-1496); C—calcite CaCO3 (PDF®24-27); N—sodium chloride, halite NaCl (PDF®1-993); Q—quartz SiO2 (PDF®46-1045); E—ettringite Ca6Al2(SO4)3(OH)12·26H2O (PDF®31-251); P—portlandite Ca(OH)2 (PDF®44-1481); G–gypsum.
Figure 9. XRD patterns of PC granules after acid and alkali impact: +—CaSO4 (PDF®37-1496); C—calcite CaCO3 (PDF®24-27); N—sodium chloride, halite NaCl (PDF®1-993); Q—quartz SiO2 (PDF®46-1045); E—ettringite Ca6Al2(SO4)3(OH)12·26H2O (PDF®31-251); P—portlandite Ca(OH)2 (PDF®44-1481); G–gypsum.
Sustainability 17 04573 g009
Figure 10. Compressive strength of: (a) CAC-, GEO-, and PC-based granules after 28 days, 90 days, and after leaching test; (b) PC granules after exposure to different environments (alkali, acid, and freezing-thawing cycles).
Figure 10. Compressive strength of: (a) CAC-, GEO-, and PC-based granules after 28 days, 90 days, and after leaching test; (b) PC granules after exposure to different environments (alkali, acid, and freezing-thawing cycles).
Sustainability 17 04573 g010
Figure 11. Microstructure inside the granule (ac) and on the granule surface (df) after 28 days: (a,d) CAC-based granules; (b,e) GEO-based granule; (c,f) PC-based granule.
Figure 11. Microstructure inside the granule (ac) and on the granule surface (df) after 28 days: (a,d) CAC-based granules; (b,e) GEO-based granule; (c,f) PC-based granule.
Sustainability 17 04573 g011
Figure 12. Microstructure inside the granule (ac) and on the granule surface (df) after leaching test: (a,d) CAC-based granules; (b,e) GEO-based granule; (c,f) PC-based granule.
Figure 12. Microstructure inside the granule (ac) and on the granule surface (df) after leaching test: (a,d) CAC-based granules; (b,e) GEO-based granule; (c,f) PC-based granule.
Sustainability 17 04573 g012
Figure 5. XRD pattern of the initial MSWI FA: P—portlandite (Ca(OH)2: PDF®44-1481); +—anhydrite (CaSO4: PDF®37-1496); #—potassium chloride (KCl: PDF®41-790); C—calcite (CaCO3: PDF®24-27); N—sodium chloride (NaCl: PDF®1-994, PDF®1-993), x—calcium chloride hydroxide (CaCl(OH): PDF®36-983); Q—Silicon Oxide, Cristobalite (SiO2: PDF®1-424).
Figure 5. XRD pattern of the initial MSWI FA: P—portlandite (Ca(OH)2: PDF®44-1481); +—anhydrite (CaSO4: PDF®37-1496); #—potassium chloride (KCl: PDF®41-790); C—calcite (CaCO3: PDF®24-27); N—sodium chloride (NaCl: PDF®1-994, PDF®1-993), x—calcium chloride hydroxide (CaCl(OH): PDF®36-983); Q—Silicon Oxide, Cristobalite (SiO2: PDF®1-424).
Sustainability 17 04573 g005
Figure 6. XRD patterns of the granules manufactured with different binders: +—CaSO4 (PDF®37-1496); #—potassium chloride (sylvite) KCl (PDF®41-1476); P—portlandite Ca(OH)2 (PDF®44-1481); C—calcite CaCO3 (PDF®24-27); N—sodium chloride, halite NaCl (PDF®1-993); G—CaSO4·2H2O gypsum (PDF®33-311); *—CA (PDF®34-440); o—CA2(PDF®23-1037); Q—quartz SiO2 (PDF®46-1045); E—ettringite Ca6Al2(SO4)3(OH)12×26H2O (PDF®31-251); D—dolomite CaMg(CO3)2 (PDF®36-426); H—hydrocalumite Ca2Al(OH)7·3H2O (PDF®16-333) or Ca2Al(OH)6Cl·2H2O (PDF®42-558).
Figure 6. XRD patterns of the granules manufactured with different binders: +—CaSO4 (PDF®37-1496); #—potassium chloride (sylvite) KCl (PDF®41-1476); P—portlandite Ca(OH)2 (PDF®44-1481); C—calcite CaCO3 (PDF®24-27); N—sodium chloride, halite NaCl (PDF®1-993); G—CaSO4·2H2O gypsum (PDF®33-311); *—CA (PDF®34-440); o—CA2(PDF®23-1037); Q—quartz SiO2 (PDF®46-1045); E—ettringite Ca6Al2(SO4)3(OH)12×26H2O (PDF®31-251); D—dolomite CaMg(CO3)2 (PDF®36-426); H—hydrocalumite Ca2Al(OH)7·3H2O (PDF®16-333) or Ca2Al(OH)6Cl·2H2O (PDF®42-558).
Sustainability 17 04573 g006
Table 1. Chemical composition of raw materials (wt.%).
Table 1. Chemical composition of raw materials (wt.%).
CategoryCaOSiO2Al2O3Fe2O3SO3K2OMgOClNa2OTiO2ZnOCO2Others
MSWI FA49.92.990.980.953.664.140.5412.04.620.471.3617.31.09
CAC27.20.3067.80.080.020.010.130.010.17-0.014.180.09
GEO 112.447.018.81.530.181.471.800.047.090.660.018.630.39
PC57.316.24.532.542.300.972.420.060.26-0.0412.80.58
1 Cured geopolymer consisting of 5 parts of Part A to 4 parts of Part B.
Table 2. Composition of mixtures for manufacturing granules (in mass parts).
Table 2. Composition of mixtures for manufacturing granules (in mass parts).
SampleFA AmountBinderBinder AmountWater Amount *
CAC gr.85CAC Gorkal 701535
GEO gr.75Geopolymer 2510
PC gr.75Portland cement2535
* calculating according to content of dry materials.
Table 3. Elemental composition of the FA and granules obtained with different binders after manufacturing and keeping in different environments—water (pH = 7.8) leaching test for 24 h and alkaline (pH = 11.5) or acid (pH = 4.2) solutions for 7 days (mass %).
Table 3. Elemental composition of the FA and granules obtained with different binders after manufacturing and keeping in different environments—water (pH = 7.8) leaching test for 24 h and alkaline (pH = 11.5) or acid (pH = 4.2) solutions for 7 days (mass %).
Element 1FACAC gr.CAC gr.
(Leaching)
GEO gr.GEO gr.
(Leaching)
PC gr.PC gr.
(Leaching)
PC gr.
(Acid)
PC gr.
(Alkali)
C4.543.934.413.833.854.084.564.664.6
O39.244.448.945.150.345.050.650.750.6
Na3.302.500.2824.691.662.010.3650.2110.176
Mg0.310.450.390.590.7670.760.8320.8270.81
Al0.505.616.413.233.561.331.431.431.51
Si1.331.731.728.869.623.103.623.613.7
P0.140.190.1880.140.1490.170.1840.1890.189
S1.381.261.631.071.111.291.381.591.59
Cl11.27.923.556.032.366.662.531.871.67
K3.172.350.5292.561.152.240.5510.3290.278
Ca32.527.729.921.4623.431.031.632.232.4
Cr0.0250.0200.02430.0520.01690.0180.02120.02130.0246
Ti0.2520.2370.2720.6390.2870.3190.3190.3380.352
Mn0.0350.0330.04070.0520.05810.0460.04880.05240.0512
Fe0.5900.5100.5820.6390.6880.8830.9390.9380.952
Ni0.0050.004-0.0040.00380.0040.00490.00490.005
Cu0.0510.0390.04360.0290.03350.0390.04030.04060.0403
Zn0.9680.7310.8240.5780.6140.6590.6880.6910.68
Br0.1190.0860.04820.0660.02820.0740.03680.03190.0307
F---0.1380.141----
Rb0.012---0.00420.0080.0033--
Sr0.0390.0320.02490.0310.03210.0350.02580.02430.024
Zr0.0030.0020.00340.0040.00430.0380.00470.00560.0053
I0.0200.0170.01410.0160.00960.0180.01240.01360.0105
Pb0.1580.1260.1370.0990.1060.1060.1120.1090.107
Cd0.0130.0130.01030.0080.00610.0090.0080.0080.0126
Sn0.0430.0280.03420.0180.02620.0230.03130.03120.0299
Sb0.0400.0320.03870.0230.02470.0260.0260.02720.0304
Ba0.0580.0540.02690.0440.04810.0600.05610.05820.0605
1 Red color—hazard elements with the limitation of counts for the use and storage of the material.
Table 4. The principal elemental composition at the surface and inside granules (EDS, in wt.%).
Table 4. The principal elemental composition at the surface and inside granules (EDS, in wt.%).
Element →
↓ Binder
COCaAlSiSClKNa
After 28 days on the surface of granule (inside the granule)
CAC gr.18.7 (13.3)30.5 (44.4)13.3 (19.8)0.4 (2.8)0.2 (0.8)0.4 (4.1)21.1 (11.1)8.0 (1.8)6.5 (1.5)
GEO gr.24.5 (19.1)28.7 (29.8)11.7 (12.4)1.5 (1.8)0.31 (2.9)4.9 (3.8)17.6 (17.8)1.4 (2.1)8.8 (10.2)
PC gr.17.1 (14.7)43.1 (33.9)24.5 (20.3)0.0 (0.4)0.45 (1.7)2.3 (1.6)9.6 (16.8)1.2 (1.8)1.1 (8.2)
After leaching on the surface of granule (inside the granule)
CAC gr.17.1 (16.7)46.2 (47.7)23.2 (23.3)4.0 (3.40)0.4 (0.7)2.5 (3.28)4.8 (3.52)0.4 (0.1)0.6 (0.5)
GEO gr.11.1 (19.8)59.1 (50.4)18.8 (14.4)2.9 (2.0)0.6 (7.16)7.1 (1.4)0.4 (2.0)0.0 (0.9)0.0 (1.6)
PC gr.19.4 (16.4)51.6 (50.5)24.0 (23.2)0.8 (0.7)0.4 (2.1)2.1 (3.3)0.2 (2.5)0.8 (0.3)0.7 (0.3)
Disclaimer/Publisher’s Note: The statements, opinions and data contained in all publications are solely those of the individual author(s) and contributor(s) and not of MDPI and/or the editor(s). MDPI and/or the editor(s) disclaim responsibility for any injury to people or property resulting from any ideas, methods, instructions or products referred to in the content.

Share and Cite

MDPI and ACS Style

Shevtsova, M.; Malaiškienė, J.; Škamat, J.; Antonovič, V. Influence of Different Binders on the Municipal Solid Waste Incineration Fly Ash Granulation-Based Stabilization Process. Sustainability 2025, 17, 4573. https://doi.org/10.3390/su17104573

AMA Style

Shevtsova M, Malaiškienė J, Škamat J, Antonovič V. Influence of Different Binders on the Municipal Solid Waste Incineration Fly Ash Granulation-Based Stabilization Process. Sustainability. 2025; 17(10):4573. https://doi.org/10.3390/su17104573

Chicago/Turabian Style

Shevtsova, Maryna, Jurgita Malaiškienė, Jelena Škamat, and Valentin Antonovič. 2025. "Influence of Different Binders on the Municipal Solid Waste Incineration Fly Ash Granulation-Based Stabilization Process" Sustainability 17, no. 10: 4573. https://doi.org/10.3390/su17104573

APA Style

Shevtsova, M., Malaiškienė, J., Škamat, J., & Antonovič, V. (2025). Influence of Different Binders on the Municipal Solid Waste Incineration Fly Ash Granulation-Based Stabilization Process. Sustainability, 17(10), 4573. https://doi.org/10.3390/su17104573

Note that from the first issue of 2016, this journal uses article numbers instead of page numbers. See further details here.

Article Metrics

Back to TopTop