Research on the Evolutionary Game of Rural River Governance Under the River Chief System
Abstract
1. Introduction
2. Materials and Methods
2.1. Stakeholders and Strategies
2.1.1. Government
2.1.2. Rural River Chiefs
2.1.3. Functional Organizations
2.1.4. Villagers
2.2. Basic Assumptions and Parameter Settings
3. Results
3.1. Stability Analysis of Strategies
3.1.1. Stability Strategy Analysis of the Government
3.1.2. Stability Strategy Analysis of Rural River Chiefs
3.1.3. Stability Strategy Analysis of Functional Organizations
3.1.4. Stability Strategy Analysis of Villagers
3.2. Local Stability Analysis of the Evolutionary Game System
- ;
- , ;
- , ;
- , ;
- , , ;
- , ;
- , , , .
3.2.1. Stability Strategy Analysis Under Lenient Government Supervision
3.2.2. Stability Strategy Analysis Under Strict Government Supervision
3.3. Numerical Simulation Analysis
3.3.1. Verification of Equilibrium Stable Strategies
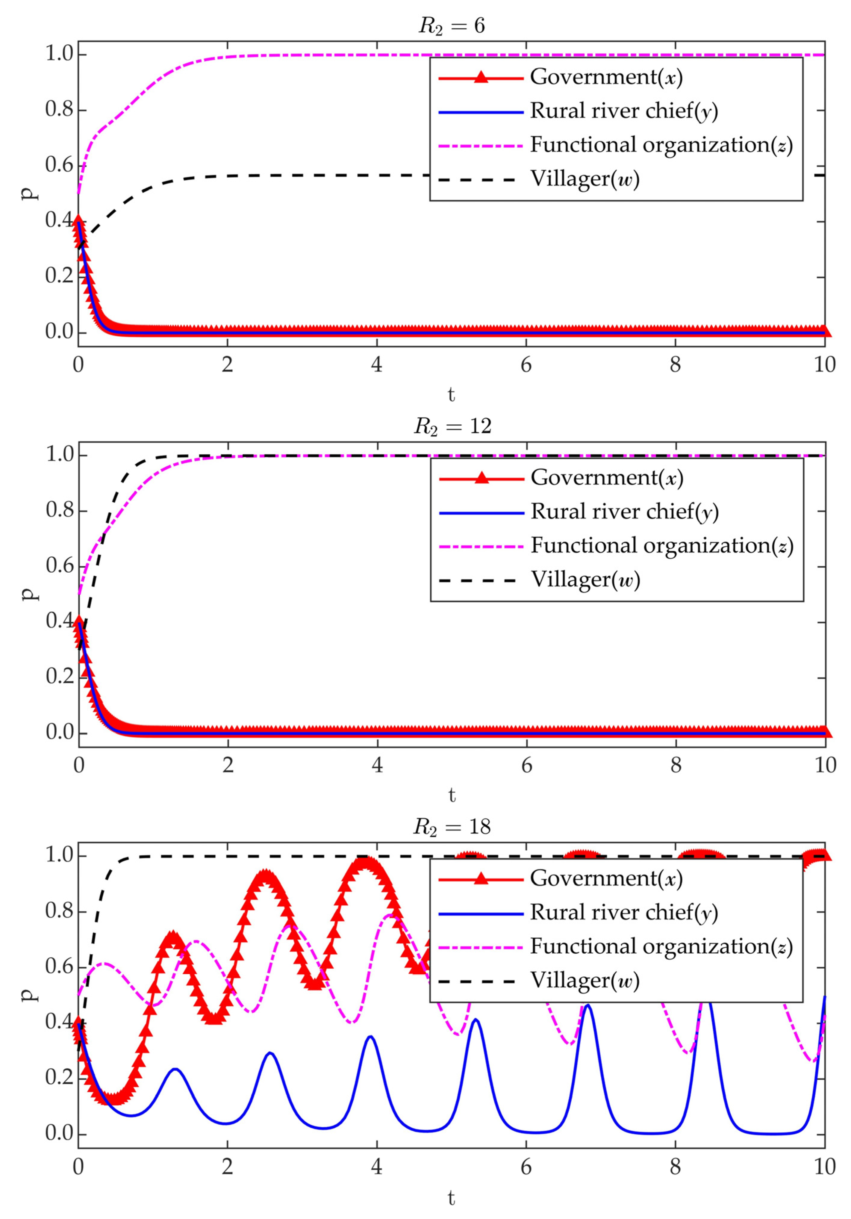
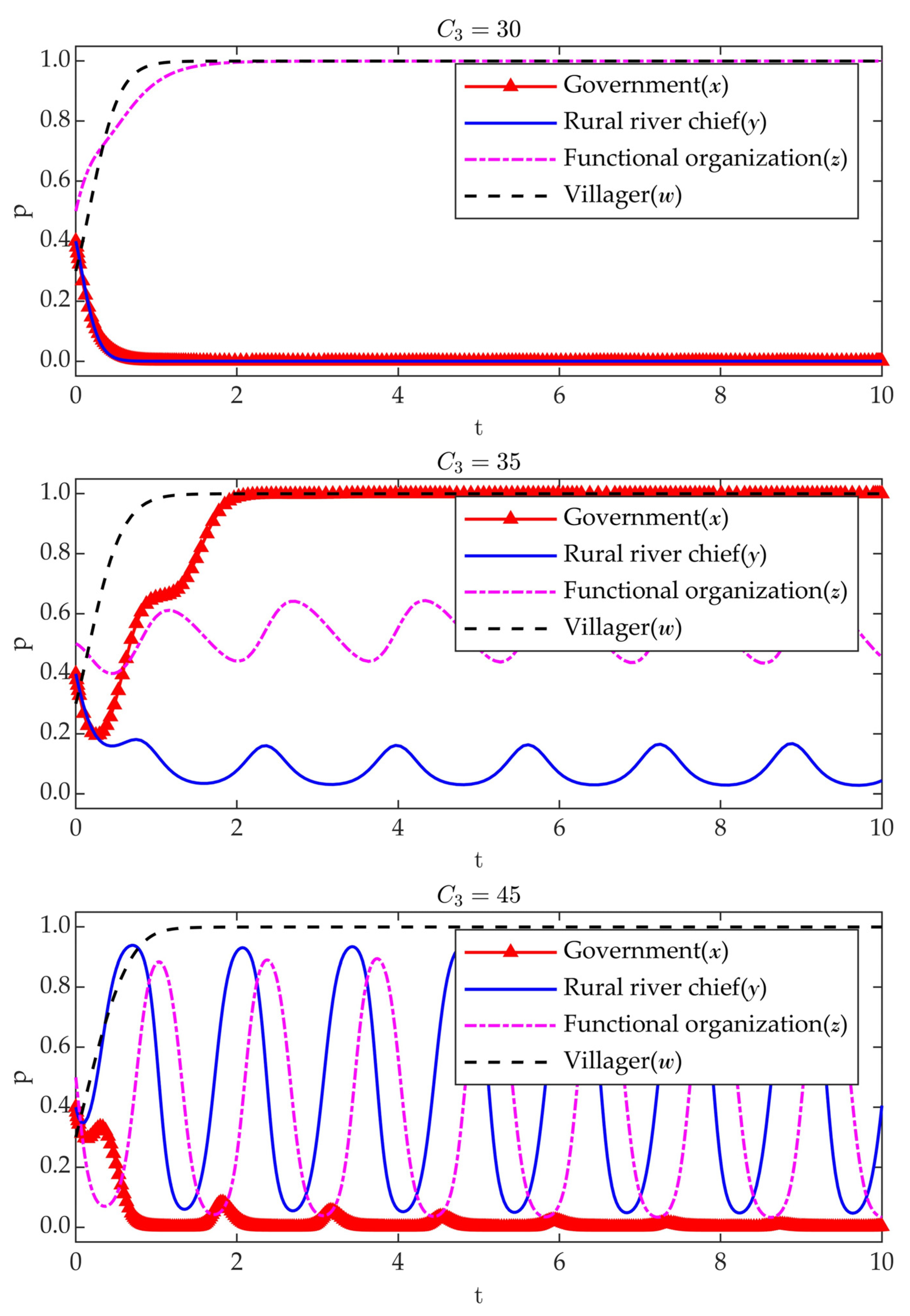
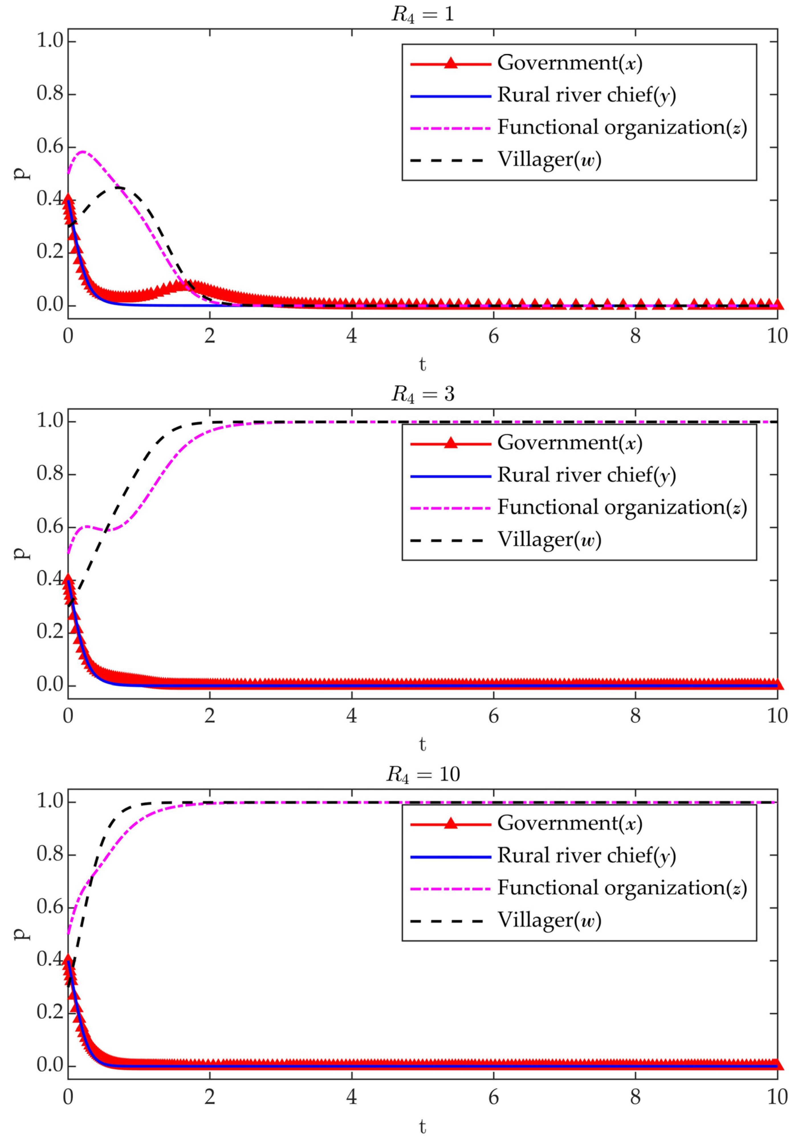
3.3.2. Sensitivity Analysis of Parameters
- (1)
- Impacts of on Evolutionary Results.
- (2)
- Impacts of on Evolutionary Results.
- (3)
- Impacts of on Evolutionary Results.
- (4)
- Impacts of on Evolutionary Results.
4. Discussion
4.1. Analysis of Evolutionary Stable Strategies in Rural River Governance
4.2. Sensitivity Analysis of Key Parameters
5. Conclusions
5.1. Findings
- (1)
- When functional organizations and villagers jointly participate in rural river governance, the following ideal evolutionary outcome can be achieved: lenient supervision, no patrol, governance, and participation. In this case, the government and rural river chiefs initially drive the governance efforts but gradually shift toward a more passive role, eventually reaching a stable state.
- (2)
- Functional organizations and villagers are the key entities in the evolutionary game process, and the payoff parameters associated with them significantly influence the strategic choices of all parties. If the reward amount given by functional organizations to villagers is too small, it reduces villagers’ enthusiasm for participation; if it is too large, it harms the functional organizations’ own interests and lowers the efficiency of river governance. Reputation benefits have a direct and practical impact on functional organizations; the greater the reputational benefits, the more inclined they are to choose river governance. The cost of governance for functional organizations is a critical factor affecting their willingness to participate; excessively high costs make it difficult to evolve toward a scenario where functional organizations and villagers co-govern the river. While incentive mechanisms encourage villagers to participate in rural river governance, the lack of transparency in these mechanisms creates difficulties for villagers in understanding and engaging with them effectively.
5.2. Recommendations
- (1)
- Improve the assessment and accountability mechanism for river chiefs to enhance their sense of responsibility. On one hand, local governments should formulate detailed rural river chief evaluation methods and criteria based on the actual operation of the RCS in their regions, clearly defining all evaluation indicators to demonstrate the fairness and seriousness of government evaluations of rural river chiefs’ work. On the other hand, based on the evolution results, rewards and penalties should be strictly enforced according to the evolution criteria. Specialized training should be provided to underperforming rural river chiefs, with a focus on improving the quality of their river patrols.
- (2)
- Empower the RCS through digital means to enhance its information management level. The government should establish a platform with diverse functions, including data collection and the monitoring of rivers, river patrol management, public feedback, data analysis, and decision making, to improve the efficiency and level of RCS management and facilitate public participation in river governance.
- (3)
- Promote collaborative development between functional organizations and other stakeholders. The reward amount given by functional organizations to villagers should follow the principle of moderation and remain within a reasonable range to foster a collaborative governance relationship between the two parties. Attention should be paid to the conversion rate of reputational benefits to enhance the motivation of functional organizations. The government should prioritize the technical capabilities and reputation of functional organizations, providing more business resources to those with higher reputational benefits. Efforts should be made to develop river pollution control technologies to reduce the governance costs of functional organizations. The government can encourage investment in technology research and development by offering subsidies to functional organizations and professional R&D teams or institutions.
- (4)
- Improve and publicize incentive mechanisms to enhance villagers’ participation in river governance. On one hand, reward measures should be implemented for villager involvement in governance, encouraging them to actively monitor rivers and regulate personal behavior to minimize the discharge of harmful substances. On the other hand, it must be ensured that incentive measures specified by local authorities are transparent and well-publicized among villagers, fully enhancing the effectiveness of this mechanism.
- (5)
- Providing employment opportunities serves to amplify villagers’ engagement enthusiasm. Local governments could establish “Village-Level River Conservation Officer” positions within the RCS, prioritizing the recruitment of low-income villagers and returning youth. These officers would be responsible for daily patrols, waste removal, and environmental education initiatives. By empowering villagers with direct governance responsibilities and complementing these roles with digital tools, such positions can significantly improve the efficiency of environmental issue response, while fostering a stronger sense of community ownership. This approach not only institutionalizes grassroots participation but also aligns with sustainable governance frameworks that emphasize accountability and technological integration.
- (6)
- Strengthening legal–institutional coordination within the RCS is essential for effective rural river governance [58]. This can be achieved by incorporating villagers’ supervisory rights into local water protection regulations and integrating community monitoring data into the RCS evaluation framework through digital platforms, thereby establishing legally mandated participatory mechanisms. Simultaneously, the regular disclosure of river governance outcomes and violation resolutions via village-level public disclosure mechanisms is essential for aligning governance incentives with regulatory obligations.
5.3. Limitations and Future Research
- (1)
- While existing research predominantly examines governmental and community stakeholders in rural river governance, it inadequately addresses industrial enterprises as major pollution sources due to uncontrolled wastewater discharge. The complex interactions between corporations and key stakeholders create governance challenges that transcend traditional regulatory methods. Future studies should simplify regulatory systems and integrate enterprises into game theory models to better analyze multi-stakeholder dynamics. This approach would improve understanding of how industries, authorities, and communities make environmental decisions under changing ecological pressures.
- (2)
- The deterministic assumptions of our evolutionary game model, while effective for identifying stable equilibria, may oversimplify real decision-making processes. In practice, stakeholders frequently exhibit stochastic behavioral shifts driven by external uncertainties or imperfect information. To address this gap, follow-up research could develop evolutionary game frameworks incorporating random disturbance factors, thereby enhancing the model’s capacity to simulate emergent strategies in dynamic environmental governance scenarios.
- (3)
- The theoretical framework of this study employs numerical simulations due to challenges in obtaining reliable empirical parameters. Future research can systematically integrate multi-source data from certified environmental monitoring systems and governmental records to establish an empirical validation framework. Comparative analyses between simulation outcomes and case-specific datasets, particularly those documenting pollution control processes in similar rural watersheds, can help re-searchers develop evidence-based validation protocols. This approach not only strengthens the empirical foundation of the study but also enhances the model’s decision support capabilities through parameter calibration.
Author Contributions
Funding
Institutional Review Board Statement
Informed Consent Statement
Data Availability Statement
Acknowledgments
Conflicts of Interest
References
- Comim, F.; Kumar, P.; Sirven, N. Poverty and environment links: An illustration from Africa. J. Int. Dev. 2009, 21, 447–469. [Google Scholar] [CrossRef]
- Dasgupta, P. Population, poverty, and the natural environment. In Handbook of Environmental Economics; Elsevier: Amsterdam, The Netherlands, 2003; Volume 1, pp. 191–247. [Google Scholar]
- Wang, G.; Shi, R.; Mi, L.; Hu, J. Agricultural eco-efficiency: Challenges and progress. Sustainability 2022, 14, 1051. [Google Scholar] [CrossRef]
- Xi, B.; Li, X.; Gao, J.; Zhao, Y.; Liu, H.; Xia, X.; Yang, T.; Zhang, L.; Jia, X. Review of challenges and strategies for balanced urban-rural environmental protection in China. Front. Environ. Sci. Eng. 2015, 9, 371–384. [Google Scholar] [CrossRef]
- He, Y.; Hu, X.; Wang, J.; Xu, H. Rural Water Pollution Situation and Countermeasures in Shandong Province. Chin. Popul. Resour. Environ. 2015, 25, 221–223. [Google Scholar]
- Mo, X.; Li, H.; Yng, H.; Pan, F.; Zhang, L. Present Situation, Causes and Countermeasures of Rural Water Pollution in China under New Situation. World Sci-Tech R D 2016, 38, 1125–1129. [Google Scholar] [CrossRef]
- Wang, Z.; Song, S.; Xiao, T.; Wen, Y.; Zeng, M.; Li, J. Current Situation, Prevention and Control Dilemma and Countermeasures of Agricultural and Rural Water Pollution in Jiujiang. Chin. Agric. Sci. Bull. 2022, 38, 148–155. [Google Scholar]
- Zhou, A. The Status Quo and Countermeasures of China’s Rural Water Pollution. J. Anhui Agric. Sci. 2009, 37, 4345–4346+4348. [Google Scholar] [CrossRef]
- Zhou, W.; Li, W.; Ti, L. Mechanisms of Institutional Innovation and Diffusion in China: The Case of River Chief Systems. In China’s Evolving Policy Processes under the Comparative Lenses; Routledge: London, UK, 2023; pp. 77–93. [Google Scholar]
- Jiang, B. Considerations for Leader Responsible System in governance of rivers and lakes. Chin. Water Resour. 2016, 21, 6–7. [Google Scholar]
- Gong, Q.; Zhang, J.; Hu, J.; Liu, K. Research and application of key technologies of smart river chief system. Water Resour. Inform. 2022, 03, 10–14. [Google Scholar] [CrossRef]
- Kong, Q.; Xu, H.; Chen, Y. The Path of Introducing Digital Twin Technology into River Chief System. In Proceedings of the 2022 8th International Conference on Hydraulic and Civil Engineering: Deep Space Intelligent Development and Utilization Forum (ICHCE), Xi’an, China, 25–27 November 2022; pp. 642–646. [Google Scholar]
- Xu, K.; Wang, J.; Wang, F.; Yan, L. Practice of Digital Reform on Efficiency Enhancement of River-chief System. J. Zhejiang Univ. Water Resour. Electr. Power 2024, 36, 1–3. [Google Scholar]
- EU Directive 2000/60/EC of the European Parliament and of the Council establishing a framework for the Community action in the field of water policy. Off. J. Eur. Community 2000, L327, 1–73.
- Hering, D.; Borja, A.; Carstensen, J.; Carvalho, L.; Elliott, M.; Feld, C.K.; Heiskanen, A.-S.; Johnson, R.K.; Moe, J.; Pont, D. The European Water Framework Directive at the age of 10: A critical review of the achievements with recommendations for the future. Sci. Total Environ. 2010, 408, 4007–4019. [Google Scholar] [CrossRef]
- He, B.; Li, S.; Wang, N.; Zhang, Z. Central policy attitudes and innovation diffusion of local government: The case of China’s river chief system. Environ. Sci. Pollut. Res. 2024, 31, 57099–57113. [Google Scholar] [CrossRef] [PubMed]
- Li, Y. The River Chief System:the Water Management System with Chinese Characteristics and Experience. Chongqing Soc. Sci. 2019, 5, 51–62. [Google Scholar] [CrossRef]
- Li, Y.; Tong, J.; Wang, L. Full implementation of the river chief system in China: Outcome and weakness. Sustainability 2020, 12, 3754. [Google Scholar] [CrossRef]
- Wang, L.; Tong, J.; Li, Y. River Chief System (RCS): An experiment on cross-sectoral coordination of watershed governance. Front. Environ. Sci. Eng. 2019, 13, 1–3. [Google Scholar] [CrossRef]
- Wang, S.; Cai, M. Critique of the System of River-leader Based on the Perspective of New Institutional Economics. Chin. Popul. Resour. Environ. 2011, 21, 8–13. [Google Scholar] [CrossRef]
- Yan, H.; Zeng, D. The Dilemma of and the Reflection on Water Environment Governance Innovation by the River Chief System: From the Perspective of Collaborative Governance. J. Beijing Admin. Inst. 2019, 2, 7–17. [Google Scholar] [CrossRef]
- Yao, W. Effect of the River Chief System on river pollution control under ‘Responsibility Contracting’: Lessons and experiences from China. Water Policy 2023, 25, 731–741. [Google Scholar] [CrossRef]
- Zhou, X.; Lin, Y.; Hooimeijer, P.; Monstadt, J. Institutional Design of Collaborative Water Governance: The River Chief System in China. Environ. Policy Gov. 2025, 1–13. [Google Scholar] [CrossRef]
- Ding, X.; Zhang, L. Riverchief system from the perspective of holistic governance. J. Econ. Water Resour. 2018, 36, 57–62+80. [Google Scholar]
- Zhan, G.; Xiong, F. Governance Dilemma and Path Selection in the Practice of the River Chief System. Reform Econ. Syst. 2019, 1, 188–194. [Google Scholar]
- Zhu, M. On the Development and Promotion of River Governor System. Environ. Prot. 2017, 45, 58–61. [Google Scholar] [CrossRef]
- Kou, X.; Wang, H. Research on the influencing factors of the innovation of river chief system in Northwest China from the perspective of policy diffusion. Chin. Water Resour. 2020, 10, 16–18. [Google Scholar]
- Ai, L. Effectiveness Evaluation of the Implementation Policy of River Chief System in the Yangtze River Delta——Quantitative Analysis of the Policy Text from 2008 to 2018. Environ. Prot. Sci. 2020, 46, 11–17+65. [Google Scholar] [CrossRef]
- Chen, Y.; Cheng, Y. The Eco-Compensation Tactics of Basin with Seriously Disrupted Water Environment. J. Huazhong Agri. Univ. 2018, 1, 121–128+162. [Google Scholar] [CrossRef]
- Gao, W.; Guo, G.; Shi, X. Decisions of Basin Ecological Compensation and Supervision Based on Evolutionary Game Analysis. Environ. Sci. Technol. 2015, 38, 183–187. [Google Scholar]
- Hu, D.; Liu, H.; Chen, X.; Chen, Y. Research on the ecological compensation standard of the basin pollution control project based on evolutionary game theory and by taking Xiangjiang River as a case. Front. Environ. Sci. Eng. 2019, 6, 575–583. [Google Scholar] [CrossRef]
- Hu, R.; Yan, S. On Optimal Mode of Valley Ecological Compensation:Based on Evolutionary Game Theory. J. Dongbei Univ. Financ. Econ. 2016, 3, 3–11. [Google Scholar] [CrossRef]
- Hu, Z.; Liu, J.; Zhong, M.; Hong, K. Interests Balance of Trans-boundary River Basin Ecological Compensation Based on Evolutionary Game Theory—Taking Lijiang Basin as a Case. Econ. Geogr. 2016, 36, 42–49. [Google Scholar] [CrossRef]
- Li, C.; Zhang, L.; Zhao, G.; Mo, L. Research on Basin Ecological Compensation Based on Evolutionary Game Theory——Taking Taihu Basin as a Case. Chin. Popul. Resour. Environ. 2014, 24, 171–176. [Google Scholar] [CrossRef]
- Lu, Y.; Fan, L.; Zhai, L. Evolutionary game analysis of inter-provincial diversified ecological compensation collaborative governance. Water Resour. Manag. 2023, 37, 341–357. [Google Scholar] [CrossRef]
- Wang, Q.; Wang, N.; Wang, H.; Xiu, Y. Study on influencing factors and simulation of watershed ecological compensation based on evolutionary game. Sustainability 2022, 14, 3374. [Google Scholar] [CrossRef]
- Xu, D.; Tu, S.; Chang, L.; Zhao, Y. Interest Conflict of River Basin Ecological Compensation Based on Evolutionary Game Theory. Chin. Popul. Resour. Environ. 2012, 22, 8–14. [Google Scholar] [CrossRef]
- Yang, G.; Shi, Y. Study on Ecological Compensation of Three Gorges Basin Based on Evolutionary Game Theory. J. Syst. Simul. 2019, 31, 2058–2068. [Google Scholar] [CrossRef]
- Yang, M.; Yang, K.; Li, G.; Niu, X. The cooperation mechanism of water resources protection in transboundary river based on game theory: A case study of the Taipu River in the Taihu Lake Basin. J. Nat. Resour. 2019, 34, 1232–1244. [Google Scholar] [CrossRef]
- Zhu, K.; Zhang, Y.; Wang, M.; Liu, H. The ecological compensation mechanism in a cross-regional water diversion project using evolutionary game theory: The case of the Hanjiang River Basin, China. Water 2022, 14, 1151. [Google Scholar] [CrossRef]
- Li, M.; Lu, S.; Li, W. Stakeholders′ ecological-economic compensation of river basin: A multi-stage dynamic game analysis. Resour. Policy 2022, 79, 103083. [Google Scholar] [CrossRef]
- Chen, Y.; Pang, Q. Triple Evolutionary Gaming of Yellow River Environmental Harness Based on Prospect Theory. Resour. Ind. 2024, 26, 170–178. [Google Scholar] [CrossRef]
- Wang, Y.; Cao, G.; Li, G. Evolutionary game analysis of environmental governance in the Yellow River Basin based on public participation. Oper. Res. Manag. Sci. 2023, 32, 114. [Google Scholar]
- Wu, R.; Hu, D.; Shen, H. Stability Analysis of the Evolutionary Game of River Valley’s Pollution Treatment. J. Syst. Manag. 2013, 22, 797–801. [Google Scholar]
- Li, G.; Yan, B.; Wang, Y. Study on Environmental Regulation Strategy Evolutionary Game for Pollution Control in the Yellow River Basin. J. Beijing Univ. Technol. 2022, 22, 74–85. [Google Scholar] [CrossRef]
- Qu, G.; Li, C.; Li, C.; Xu, N.; Qu, W. Study on the Co-evolution Mechanism of Public Participation in Ecological Protection and High-quality Development in the Lower Yellow River Basin. J. Catastrophol. 2023, 38, 7–16. [Google Scholar] [CrossRef]
- Xu, L.; Du, J.; Wang, W. Evolutionary game analysis on rural water environmental governance. Chin. Popul. Resour. Environ. 2017, 27, 17–26. [Google Scholar]
- Luo, F.; Li, J. Research on Evolutionary Game of Multi-Agent Cooperative Governance of Rural Ecological Environment. Ecol. Econ. 2019, 35, 171–176+199. [Google Scholar]
- House, M.A. Citizen participation in water management. Water Sci. Technol. 1999, 40, 125–130. [Google Scholar] [CrossRef]
- Kochskämper, E.; Challies, E.; Newig, J.; Jager, N.W. Participation for effective environmental governance? Evidence from Water Framework Directive implementation in Germany, Spain and the United Kingdom. J. Environ. Manag. 2016, 181, 737–748. [Google Scholar] [CrossRef]
- Ma, P.; Zhu, Y. Research on the Influencing Mechanism of Farmers’ Willingness to Participate in River Chief System Governance:Group Identification and Cadres-Masses Interaction. J. Huazhong Univ. Sci. Technol. 2020, 34, 80–91. [Google Scholar] [CrossRef]
- Yu, S.; Bao, J.; Ding, W.; Chen, X.; Tang, X.; Hao, J.; Zhang, W.; Singh, P. Investigating the relationship between public satisfaction and public environmental participation during government treatment of urban malodorous Black River in China. Sustainability 2021, 13, 3584. [Google Scholar] [CrossRef]
- Yang, Z. Quadripartite Evolutionary Game of Public Participation in Interactive Transboundary Pollution Control Compensation. Chin. J. Manag. Sci. 2024, 32, 261–273. [Google Scholar] [CrossRef]
- Xie, S. Economic Game Theory, 3rd ed.; Fudan University Press: Shanghai, China, 2002; p. 396. [Google Scholar]
- Gintis, H. Game Theory Evolving: A problem-Centered Introduction to Modeling Strategic Behavior; Princeton University Press: Princeton, NJ, USA, 2000. [Google Scholar]
- Selten, R.; Selten, R. A Note on Evolutionarily Stable Strategies in Asymmetric Animal Conflicts; Springer: Berlin/Heidelberg, Germany, 1988. [Google Scholar]
- Friedman, D. Evolutionary games in economics. Econom. J. Econom. Soc. 1991, 59, 637–666. [Google Scholar] [CrossRef]
- Khaskheli, M.B.; Zhao, Y. The Sustainability of Economic and Business Practices Through Legal Cooperation in the Era of the Hainan Free Trade Port and Southeast Asian Nations. Sustainability 2025, 17, 2050. [Google Scholar] [CrossRef]











| Stakeholder | Parameter | Description |
|---|---|---|
| Government | Probability of the government choosing strict supervision | |
| Intensity of government supervision | ||
| Costs of strict government supervision | ||
| Costs of lenient government supervision | ||
| Environmental benefits enjoyed by the government | ||
| Reputational damage caused by lenient government supervision | ||
| Rural river chiefs | Probability of rural river chiefs choosing to patrol rivers | |
| Costs of river patrol by rural river chiefs | ||
| Rewards granted to rural river chiefs by the government | ||
| Punishments imposed on river chiefs by the government | ||
| Functional organizations | Probability of functional organizations choosing to govern | |
| Costs of river governance by functional organizations | ||
| Cost savings achieved by functional organizations | ||
| Rewards given to villagers by functional organizations | ||
| Punishments for functional organizations | ||
| Reputation gains for functional organizations | ||
| Villagers | Probability of villagers choosing to participate in governance | |
| Costs of villagers participating in governance | ||
| Rewards obtained by villagers for reporting | ||
| Environmental damage suffered by villagers |
| Government | Rural River Chief | Functional Organization | |||
|---|---|---|---|---|---|
| Governance (z) | Non-Governance (1−z) | ||||
| Villager | Villager | ||||
| Participation (w) | Non-Participation (1−w) | ||||
| Strict supervision (x) | Patrol (y) | ||||
| No patrol (1−y) | |||||
| Lenient supervision (1−x) | Patrol (y) | ||||
| No patrol (1−y) | |||||
| Equilibrium Point | Eigenvalue | Sign | Stability |
|---|---|---|---|
| Instability | |||
| Instability | |||
| ESS when (a) and (c) are satisfied | |||
| Instability | |||
| Instability | |||
| Instability | |||
| ESS when (b) and (d) are satisfied | |||
| Instability |
| Equilibrium Point | Eigenvalue | Sign | Stability |
|---|---|---|---|
| Instability | |||
| Instability | |||
| Instability | |||
| Instability | |||
| Instability | |||
| Instability | |||
| Instability | |||
| Instability |
| Parameter | ||||||||||||||
|---|---|---|---|---|---|---|---|---|---|---|---|---|---|---|
| Array 1 | 0.5 | 20 | 16 | 5 | 8 | 30 | 30 | 20 | 15 | 6 | 12 | 15 | 25 | 10 |
| Array 2 | 0.5 | 20 | 16 | 5 | 8 | 30 | 20 | 20 | 15 | 15 | 6 | 15 | 25 | 10 |
Disclaimer/Publisher’s Note: The statements, opinions and data contained in all publications are solely those of the individual author(s) and contributor(s) and not of MDPI and/or the editor(s). MDPI and/or the editor(s) disclaim responsibility for any injury to people or property resulting from any ideas, methods, instructions or products referred to in the content. |
© 2025 by the authors. Licensee MDPI, Basel, Switzerland. This article is an open access article distributed under the terms and conditions of the Creative Commons Attribution (CC BY) license (https://creativecommons.org/licenses/by/4.0/).
Share and Cite
Pan, C.; Wang, L.; Lu, H.; Lu, T. Research on the Evolutionary Game of Rural River Governance Under the River Chief System. Sustainability 2025, 17, 4261. https://doi.org/10.3390/su17104261
Pan C, Wang L, Lu H, Lu T. Research on the Evolutionary Game of Rural River Governance Under the River Chief System. Sustainability. 2025; 17(10):4261. https://doi.org/10.3390/su17104261
Chicago/Turabian StylePan, Chengqing, Li Wang, Haishu Lu, and Tianyu Lu. 2025. "Research on the Evolutionary Game of Rural River Governance Under the River Chief System" Sustainability 17, no. 10: 4261. https://doi.org/10.3390/su17104261
APA StylePan, C., Wang, L., Lu, H., & Lu, T. (2025). Research on the Evolutionary Game of Rural River Governance Under the River Chief System. Sustainability, 17(10), 4261. https://doi.org/10.3390/su17104261
