Abstract
In this study, the Soil and Water Assessment Tool (SWAT) model was first initialized for the Qinglongshan Irrigation Area (QLS). We aimed to assess the impacts of climate and land use (LULC) changes between 1980 and 2020 on several hydrological parameters in the QLS, including actual evapotranspiration (ET), soil water (SW), soil recharge to groundwater (PERC), surface runoff (SURQ), groundwater runoff (GWQ), and lateral runoff (LATQ). We predicted the trends in hydrological factors from 2021 to 2050. Based on the S1 scenario, the precipitation and the paddy field area decreased by 42.28 mm and 1717.65 km2, respectively; hydrological factors increased by 91.53, 104.28, 50.66, 21.86, 55.93, and 0.79 mm, respectively, in the QLS. Climate changes contributed 6.10%, −7.58%, −54.11%, 26.90%, −121.17%, and −31.66% to changes in hydrological factors, respectively; LULC changes contributed −2.19%, 3.63%, 11.61%, −2.93%, 25.89%, and 16.86%, respectively; and irrigation water volume changes contributed 96.09%, 103.95%, 142.50%, 76.03%, 195.28%, and 114.80%, respectively. Irrigation and water intake were the main factors affecting the changes in hydrological elements. This was followed by climatic changes and LULC. In natural development scenarios, the QLS is anticipated to face challenges, including increased actual ET, reduced seepage and groundwater contribution, and declining groundwater levels.
1. Introduction
Hydrological elements, such as precipitation, runoff, evaporation, and groundwater recharge, are important foundations for water resource management and environmental protection [1]. In recent years, the impacts of climate and land use (LULC) changes on the water cycle have attracted widespread interest. Climate change directly affects hydrological elements by altering the precipitation patterns, temperature, and evaporation rates [2]. Conversely, LULC changes (e.g., urbanization, agricultural expansion, and deforestation) indirectly affect hydrological processes by altering surface features and soil properties [3].
In recent years, domestic and international scholars have conducted extensive research on the impacts of climate and LULC changes on hydrological factors. In terms of climate change research, multiple Intergovernmental Panel on Climate Change (IPCC) reports indicate that future climate change will have major impacts on hydrological factors such as precipitation, evaporation, and runoff [4,5].
Irrigation areas play a crucial role in agricultural production, and their water resource management directly influences food security and environmental protection [6]. As an important agricultural irrigation area in northern China, the Qinglongshan Irrigation District (QLS) is crucial for ensuring agricultural production and regional economic development [7]. Following the implementation of the “rice-based waterlogging control” strategy, paddy fields in the QLS have rapidly increased, resulting in a substantial increase in irrigation water consumption [8]. Due to the intricate effects of climate and LULC changes on hydrological elements in irrigation areas, scientific assessment of the impact of these changes on hydrological processes has become a key issue that needs to be addressed urgently [9].
Despite abundant research on the impacts of climate and LULC changes on hydrological factors, notable shortcomings remain unresolved. First, research on the comprehensive impacts of climate and LULC changes is lacking. Most studies have primarily focused on a single factor [10]. Second, the absence of high-precision long-term observational data has led to considerable uncertainty in model simulation outcomes [11]. In addition, hydrological response mechanisms among different regions exhibit considerable differences, and systematic research targeting specific regions is currently lacking [12]. In recent decades in China, the 0 °C isotherm has moved northward by 460.5 km. In 2018, the rice planting area in Heilongjiang Province increased dramatically by approximately 4.0 × 104 km2, with an increase of 1.8 × 104 km2 from 1958 to 2000, and an additional 2.2 × 104 km2 from 2000 to 2018 [13]. This has directly impacted the water resource balance in the irrigation area. At the same time, changes in precipitation patterns, such as shifts in the period of concentrated rainfall, have significantly altered the temporal distribution of irrigation water needs. Research shows that, in years with reduced precipitation, groundwater levels in some areas of the irrigation district will drop significantly, severely affecting the stability of water sources for agricultural irrigation [14].
In this study, we aimed to investigate how hydrological elements in irrigation areas respond to climate and LULC changes through the prediction of land use changes based on Land Change Modeler and attribution of changes in the water balance of Ganga basin to land use change using the SWAT. We used the Soil and Water Assessment Tool (SWAT) model to predict these changes, focusing on key hydrological elements such as precipitation, runoff, evaporation, and groundwater recharge. The specific objectives entailed developing a SWAT model for the research area and conducting model calibration and validation to ensure the accuracy and reliability of the model. Furthermore, we examined the effects of climate change on hydrological components within the QLS and investigated how LULC changes influence hydrological processes. By considering the combined impacts of climate and LULC changes, this study enables the prediction of future hydrological factors and provides a scientific basis for water resource management in irrigation areas.
As an important grain production base in China, the stable development of the Qinglongshan Irrigation Area is crucial for ensuring national food security. In-depth research on the changes in hydrological processes within this irrigation area can provide targeted water resource management strategies and demonstration solutions for coping with climate change in other irrigation areas across Northeast China. The novelty of this study lies in the comprehensive analysis of the impacts of climate and LULC changes on hydrological elements in irrigation areas. This study helps to reveal the unique response mechanisms of hydrological cycles in cold-region irrigation areas under the dual influence of climate and land use changes, filling a gap in the related research. It provides theoretical support and practical experience for the sustainable development of irrigated agriculture in cold regions worldwide.
2. Research Area and Data
2.1. Overview of the Research Area
The QLS is situated on the eastern bank of the middle reaches of the Heilongjiang River in northeastern Heilongjiang Province, China (132°35′47″–134°05′03″ E; 47°05′33″–47°55′47″ N) (Figure 1). The controlled and designed irrigation areas are approximately 660,500 hm2 and 374,000 hm2, respectively, making the QLS the fourth largest irrigation area in China. Rice, corn, and soybeans are the primary crops in the irrigation area. This region falls within the temperate semi-humid monsoon climate zone, characterized by increased wind and reduced rainfall during spring; hot and rainy summers; brief and often early frost in autumn; and long, cold, and snowy winters. The average annual precipitation ranges from 570 to 610 mm but is unevenly distributed throughout the year. According to the statistics from the irrigation district management bureau, the basin where the Qinglongshan Irrigation Area is located belongs to the Heilong River system. The average annual natural runoff is 33.9 billion m3, with natural annual runoff volumes at P = 20%, 50%, and 75% frequencies being 4.96 billion m3, 2.912 billion m3, and 1.769 billion m3, respectively. The runoff from June to September accounts for about 60% of the annual total. Groundwater recharge is mainly derived from lateral flow, while vertical infiltration from atmospheric precipitation is relatively low. The soil types in the Qinglongshan Irrigation Area are generally classified into two major categories: clay soils and loam soils. Clay soils include white sandy soil, meadow white sandy soil, potential white sandy soil, meadow soil, white meadow soil, potential meadow soil, potential white meadow soil, and swamp soil, with clay soils occupying the majority of the land area, about 93% of the total soil area. The average annual water surface evaporation is 670 mm, and the average annual temperature is 2.2 °C. In addition, the annual sunshine hours exceed 2381.5 h, and the summer wind direction is primarily southwest and south, with an average annual wind speed of 4.6 m/s [15].
Figure 1.
(a) Digital elevation map (DEM); (b) Soil type map.
2.2. Data Collection and Preprocessing
The SWAT model used to investigate the impacts of climate and LULC changes on hydrological elements in the QLS was developed using various datasets. These included resolution digital elevation model (DEM) data (Figure 1a); LULC data for 2000, 2010, 2015, and 2020; soil type data for 2020 (Figure 1b; data from Chinese surface meteorological stations from 1978 to 2020; Qinglongshan irrigation management data; and Moderate-Resolution Imaging Spectroradiometer (MODIS) Global Evapotranspiration Project (MOD16) data. To predict LULC under different scenarios, this study collected social and economic data from the study area, using infrastructure data as the driving factor. For future climate prediction, historical and projected climate scenarios (SSP1-2.6, SSP2-4.5, and SSP5-8.5) were obtained, including precipitation, maximum/minimum temperature, and average temperature data from the BCC-CSM2-MR, CanESM5, FGOALS-g, GFDL-ESM4, MPI-ESM1-2-HR, and MRI-ESM2-0 models (Table 1).
Table 1.
Data and sources used in this study.
First, the collected raw data were subjected to preprocessing. This encompassed data cleaning, missing-value handling, and consistency checking. Secondly, in processing meteorological data, the Kriging interpolation method was used for spatial interpolation of precipitation and temperature data. Linear interpolation was applied to calculate the values at intermediate time points based on the time series data from adjacent observation points. For LULC and remote sensing image data, remote sensing image interpretation, classification, and change detection techniques were used to extract LULC types and their changes in the study area.
3. Methodology
This study first established the SWAT-QLS model, setting up different scenarios (S1, S2, and S3) to explore the impacts of climate and land use changes on hydrological elements from 1978 to 2020 under historical conditions. Then, the future land use distribution for 2050 and the precipitation, maximum temperature, and minimum temperature for 2021–2050 were predicted. Finally, the predicted climate and land use data were used to drive the SWAT-QLS model to predict the changes in future hydrological elements.
LULC 2000, LULC 2010, and LULC 2020 represent the land use/land cover conditions of the Qinglongshan Irrigation Area in 2000, 2010, and 2020, respectively. These data were used to analyze the impacts of land use changes at different time periods on hydrological elements, showing the transformation process of land use types in the irrigation area over time, such as the changes in the area of paddy fields, dry fields, and forests.
The S1 scenario comprehensively considers the effects of both climate and land use changes. By simulating different time periods (1978–2000, 2001–2010, and 2011–2020), it analyzes the changes in hydrological elements such as actual evapotranspiration (ET), soil water (SW), groundwater recharge (PERC), surface runoff (SURQ), groundwater runoff (GWQ), and lateral runoff (LATQ) under the combined influence of climate and land use changes.
The S2 scenario mainly analyzes the individual impact of land use changes. It simulates the entire period from 1980 to 2020, considering different land use conditions in 2000, 2010, and 2020, and excluding irrigation treatment for paddy fields. This scenario explores how land use changes (such as the conversion of dry land to paddy fields or wetlands to cropland) affect the regional hydrological processes.
The S3 scenario focuses on the individual impact of climate change (particularly precipitation) on hydrological elements. Using LULC 2000 as the baseline land use condition, this scenario simulates eight overlapping five-year periods from 1980 to 2020 to study the relationship between precipitation changes and hydrological elements (such as SW, PERC, GWQ, SURQ, LATQ). For example, how hydrological elements respond when precipitation increases or decreases.
The S4 scenario is used to predict the changes in future hydrological elements from 2021 to 2050. It uses climate data (e.g., precipitation, maximum temperature, minimum temperature) from different carbon emission scenarios (SSP1-2.6, SSP2-4.5, SSP5-8.5) in the CMIP6 dataset, along with projected land use data for 2050, to drive the SWAT-QLS model. This simulation predicts the interannual and intermonthly variations of hydrological elements in the irrigation area and assesses the dynamic changes in water resources under different future climate and land use scenarios (Figure 2).
Figure 2.
Research framework.
3.1. SWAT-QLS Model Construction
This study utilized the SWAT model to develop a SWAT-QLS model that accurately represented the surface hydrological cycle of the QLS. The hydrological process simulated by SWAT was derived from the water balance equation [16] (Equation (1)):
where SWt is the soil water (SW) content after the time step per day (mm), SWo is the initial soil and water content per day (mm), Rday is the amount of precipitation per day (mm), Qsurf is the amount of SURQ (mm), Ea is the amount of ET per day (mm), Wseep is the amount of water entering the vadose zone from the soil profile per day (mm), and Qgw is the amount of return flow as drainage to the surface water (mm).
3.1.1. Data Input and Processing
To ensure the accuracy and reliability of the SWAT-QLS model, the input data must be collected and thoroughly preprocessed, followed by special processing.
DEM data and the canal system distribution map: Owing to the absence of natural water systems in the area, the main canals and drainage ditches were selected as the water systems. Initially, the DEM data were reclassified, and the “burn in” algorithm was used to generate water systems and sub-basins. Subsequently, we used the “elevation increment overlay algorithm” to process the DEM data [17]. Finally, we manually adjusted the areas that did not conform to reality and introduced them to the SWAT model using a “pre-defined” method [18]. The simulated effect of the processed canal system surpassed that of the automatically generated water system.
Irrigation data: Land use data were categorized into paddy and dry fields, where rice and corn were cultivated in paddy and dry fields, respectively, as default choices. Because of the joint irrigation of wells and canals in the study area, the slope threshold was calculated based on the ratio of surface and groundwater irrigation over the years, which was found to be 7:3 [19]. Notably, the slope of the SWAT was expressed as a percentage. The final regulation stipulated that all paddy fields < 7.815 were irrigated on the surface, whereas those > 7.815 were irrigated using groundwater.
Evapotranspiration (ET) data: Because of the lack of hydrological stations in the irrigation area, evaporation data could not be calibrated with runoff. Based on research on irrigation areas both domestically and internationally, MOD16 data have demonstrated strong performance in simulating actual evapotranspiration in China. Therefore, MOD16 data were used for calibration and validation in the study area [20]. After downloading the MOD16 global ET dataset, we used the MODIS Product Batch Processing Tool (MRT) to concatenate the HDF format data and convert them into TIF format. The ET data for the study area were obtained by eliminating invalid values, restoring the true values, and cropping the data. The monthly ET data were obtained using weighted averages [21]. Typical sub-basins in the southern, central, and northern regions at the sub-basin scale were selected for zoning statistics and collecting monthly average ET data for sub-basins 21, 118, and 84 from 1982 to 2017.
Based on the characteristics of the hydrological cycle in the Qinglongshan Irrigation Area and previous studies [22,23,24], 30 key factors influencing processes such as infiltration, soil water storage, and groundwater recharge were selected for sensitivity analysis using the SWAT-CUP’s SUFI-2 method. These factors include soil saturated bulk density (SOL_BD.sol), which affects the soil’s water retention capacity and water conductivity characteristics, and the available water capacity (SOL_AWC.sol), which directly determines the amount of water in the soil available for plant use and involved in the hydrological cycle. Additionally, the vegetation compensation factor (EPCO.hru) reflects the vegetation’s ability to regulate water absorption and consumption processes. The t-statistic represented the sensitivity range, whereas the p-value reflected the importance of the sensitivity. A parameter was only considered sensitive when the t-statistic had a large absolute value and a low p-value (p < 0.05) [25]. Finally, 15 parameters that are sensitive to evapotranspiration simulation were selected from the 30 parameters for calibration (Table 2) to assess the reliability of the SWAT-QLS model.
Table 2.
Parameter sensitivities and ranges.
3.1.2. Model Calibration and Validation
The Sequential Uncertainty Fitting Version 2 (SUFI-2) algorithm was used for model calibration. The performance of the model was evaluated using statistical indicators such as the Nash–Sutcliffe efficiency coefficient (NSE), coefficient of determination (R2), and relative bias (PBIAS). R2 quantified the consistency between the simulated and measured values, NSE evaluated the degree of fit between the simulated and observed values, and PBIAS assessed the deviation between the simulated and observed values. The applicability of the model was considered good when R2 > 0.5, NSE > 0.5, and PBIAS < 20% [26]. The equations for parameters (2), (3), and (4) were as follows:
where is the observed value, is the simulated value, is the average of the observed values, and is the number of data points.
3.2. Land Use Prediction
The PLUS model is a cellular automaton (CA) model that utilizes raster data to simulate land use/land cover (LULC) changes at the patch scale [27]. Based on LULC data from 2015 to 2020, calculating the transition probabilities among various LULC types results in a transition probability matrix. This study collected population density, elevation, annual precipitation, annual average temperature, annual evapotranspiration, and GDP raster data for the study area in 2020, along with road distribution and hydrological network maps as driving factors for land use prediction, and generated a suitability map. This atlas was used to simulate land uses in 2020 and compare these with the actual land uses in 2020 to determine the simulation accuracy. Provided that the simulation accuracy met the requirements, the 2050 LULC image was obtained by setting a five-year cycle in the CA Markov model, starting from 2020, in conjunction with the LULC transition probability matrix and suitability atlas.
The simulation accuracy was determined using the kappa coefficient (K), and its calculation formula was as follows (5):
where Po is the proportion of correct simulations, Pc is the correct prediction ratio under random conditions, and Pp is the proportion of correct predictions under ideal conditions (typically, Pp = 1). When the K-value > 0.80, the simulation accuracy and credibility were considered high [28].
3.3. Future Climate Simulation and Prediction
This study used a coupled model to compare the MMEs of six GCMs in the sixth phase of the CMIP6 project. In addition, it predicted and evaluated future climate change in the QLS in three carbon emission scenarios: SSP1-2.6, SSP2-4.5, and SSP5-8.5. We employed CMhyd 1.02 software (http://gfbfhfba532e28ed944bfsk690kvc0uo966vxv.fgac.hlju.cwkeji.cn/software/cmhyd/, accessed on 27 October 2024) to extract and downscale the model data to match the actual locations of the meteorological stations. This tool comprises eight bias-correction methods suitable for the simulation results, including linear scaling, delta variation, local intensity scale, power transformation, variance scale, and distribution mapping. Ref. [29] showed that, among the five bias-correction algorithms tested, distribution/quantile mapping performed the best. Therefore, this study used distribution mapping for correction. The specific formula can be observed in the attachment (Formulas S1–S4).
4. Results
4.1. Model Calibration and Validation Results
The calibration of hydrological models is crucial for determining the optimal model parameter values that yield the best hydrological results [30]. In this study, we calibrated (1982–2009) and validated (2009–2017) the ET data from subbasins 21, 118, and 84 using zonal statistics. The process was initiated with a sensitivity analysis to identify 15 key sensitive parameters that affected the calibration and validation outputs (Table 2). Prior to automatic calibration, these parameters were manually adjusted through iterative processes to verify that they fell within a satisfactory range. The parameter range used for the model sensitivity analysis (including minimum, maximum, and fitted values) conformed to the recommendations of the SWAT user manual and was based on other relevant studies [31,32].
Figure 3 shows the comparison results between the actual ET using remote sensing and simulated actual ET of typical sub-basins (ET-21, ET-118, and ET-84) within the southern, central, and northern regions during the calibration (1982–2009) and validation (2010–2017) periods. The observed results indicate good consistency between the simulated and observed values during the calibration and validation periods (Figure 3b). Figure 3a presents the statistical values of the SWAT-QLS model. During the calibration period, the following ranges were observed: KGE (0.81–0.86), NSE (0.82–0.89), RSR (0.83–0.89), and PBIAS (0.30–2.1%). During the validation period, the following ranges were observed: KGE (0.73–0.81), NSE (0.85–0.87), RSR (0.87–0.90), and PBIAS (8.2–10%). The results indicate that the SWAT-QLS model meets the accuracy requirements and is suitable for use in this QLS [33,34].
Figure 3.
(a) RSR, KGE, NSE, and PBIAS values in different scenarios; (b) Comparison of simulated and mod ET values in sub-substrates 21, 81, and 118.
4.2. Historical Change Analysis: Impacts of Climate and Land Use (LULC) from 1980 to 2020
4.2.1. Historical Climate and Land Use Changes
Figure 4 shows the LULC changes in the QLS for 2000, 2010, and 2020, as well as the predicted LULC changes in 2050. It presents the proportional changes in different LULC types in various years using bar and line charts. The main function of the research area is grain production, with arable land (including paddy and dry fields) accounting for over 70% of the total area. Over the past two decades, significant land use changes have occurred in the Qinglongshan Irrigation Area, with the most prominent being the expansion of paddy fields. From 2000 to 2010, the area of paddy fields rapidly increased from 5.31% of the total area (corresponding to a specific area) to 42.68% (an increase of 1527 km2), primarily at the expense of drylands (decreasing by 1264 km2), wetlands (decreasing by 175.65 km2), and some forested areas. By 2020, the proportion of paddy fields further increased to 47.34%, with a total area expansion of 1718 km2. This transformation has had a significant impact on the regional hydrological cycle. The increase in paddy field area was primarily concentrated in the central part of the irrigation area, which was close to the main canal.
Figure 4.
Land use and land cover map of the Qinglongshan Irrigation Area in (a) 2000, (b) 2010, (c) 2020, and (d) 2050.
Figure 5 provides the transition matrix of LULC changes in the QLS from 2000 to 2020 based on cross-LULC classification vector data from 2000, 2010, and 2020. The results show that, from 2000 to 2010, the area of rice cultivation increased significantly, with a total increase of 1527 km2. This was mainly due to the transformation of dry fields, wetlands, and forests. Among them, the dry land area decreased by 1264 km2, mainly being transformed into paddy fields. Similarly, wetlands decreased by 175.65 km2, mainly being transformed into paddy fields.
Figure 5.
Land use transfer matrix.
Figure 6a shows the time series annual precipitation trends in the irrigation area, which were analyzed using linear regression and a five-year moving average method. The maximum precipitation in the irrigation area occurred in 1981, peaking at 872.59 mm, whereas the minimum precipitation occurred in 1986, reaching 311.03 mm. The trend line indicates that precipitation in the irrigation area decreased at a rate of 0.86 mm/a. Analysis of the five-year moving average curve and cumulative anomaly curve of rainfall in the irrigation area showed that the annual precipitation in the irrigation area increased for the following periods: 1980–1985, 1991–1995, 2006–2010, and 2011–2015. Conversely, it exhibited a downward trend for the following periods: 1986–1990, 1996–2000, 2001–2005, and 2016–2020. Applying a sliding t-test for mutation analysis, the UF and UB values intersected multiple times [35] but did not exceed the critical value, indicating the absence of significant mutations.
Figure 6.
(a) Annual average precipitation in the Qinglongshan Irrigation Area; (b) Annual average values of hydrological elements in the S1 scenario.
4.2.2. The Combined Impact of Climate and Land Use on Hydrological Factors
This study used the SWAT-QLS model to simulate the actual evapotranspiration ET, soil water SW, soil recharge to groundwater (PERC), surface runoff SURQ, groundwater runoff (GWQ), and lateral runoff (LATQ) of the QLS at different time periods from 1980 to 2020. The S1 scenario reflects the impacts of changes in climate and LULC conditions, specifically categorized into three different periods: 1978–2000, 2001–2010, and 2011–2020.
Figure 6b illustrates the changes in various parameters over the past 40 years. ET increased from 383.85 mm at 00s to 475.38 mm at 20s; SW increased from 104.00 mm to 208.28 mm; PERC increased from 95.26 mm to 145.92 mm; SURQ decreased from 84.55 mm to 28.61 mm; GWQ increased from 71.27 mm to 93.13 mm; and LATQ increased from 1.98 mm to 2.77 mm. The change in SW content was the greatest, increasing by 100%. This was followed by the change in SURQ, which decreased by 66%. The strategy of “rice-based waterlogging control” was prominent between 1980 and 2020, resulting in a significant decrease in surface runoff. However, as the amount of irrigation water increased, the available water in the irrigation area and all other hydrological factors increased. Notably, the average annual GWQ decreased by 15 mm from 00 to 10s. This indicated that a significant increase in paddy field area could lead to insufficient groundwater recharge and a decrease in groundwater level.
4.2.3. The Isolated Impact of Land Use on Changes in Hydrological Elements
The S2 scenario involved simulating the entire period from 1980 to 2020, considering different LULC conditions in 2000, 2010, and 2020, without irrigation treatment of paddy fields, to investigate the impact of LULC on hydrological factors. As shown in Figure 7a, LULC2010 reduced all water-related parameters compared to LULC2000, with a slight decrease in ET, SW, and LATQ (approximately 0.36 mm), and more significant reductions in PERC, SURQ, and GWQ (ranging from 2.64 to 9.51 mm). Similarly, LULC2020 led to further reductions in these parameters, with decreases in ET, SW, PERC, SURQ, GWQ, and LATQ ranging from 0.34 mm to 9.77 mm compared to LULC2000. The results show a negative correlation between the expansion of paddy fields and reductions in dry fields and wetlands, leading to seepage and LATQ decreases in the region. Overall, the comprehensive changes in hydrological factors were relatively minor, and climate change and human activities (especially irrigation and water intake) played dominant roles in the changes in hydrological factors in the QLS. However, LULC change cannot be ignored because it can cause small changes in the model output [36].
Figure 7.
(a) Annual values of hydrological elements in the S2 scenario; (b) Regression analysis between paddy field area ratio and hydrological elements in the S1 scenario.
To further investigate the impact of LULC change on hydrological factors, irrigation treatment was added to the S2 scenario to analyze the correlation between the proportions of paddy field area in sub-basins and various hydrological factors [37]. R2 values were used to evaluate the strength of the linear correlations between the hydrological factors and the proportions of paddy field areas. As shown in Figure 7b, under the condition of α = 0.05, a strong correlation existed between PERC and the proportion of paddy field area under three different land use conditions. R2 values ranged from 0.72 to 0.92. Under the LULC2010 and LULC2020 conditions, where the paddy field areas were relatively large, ET was correlated with the paddy field area, with R2 values ranging from 0.65 to 0.73. However, GWQ and SURQ only exhibited correlations under LULC2020 conditions, with R2 values of 0.62 and 0.77, respectively. The correlations between SW and LATQ and the proportion of paddy field area were weak in each case. Previous research has shown that, as the area of paddy fields and irrigation water increases, the correlation between the proportion of paddy field areas and various hydrological factors strengthens. The analysis shows that, as LULC conditions changed, the slope of the univariate regression equation between hydrological factors and the proportion of paddy field area gradually increased, with PERC exhibiting the highest slope at 204.22. GWQ showed the second-highest slope at 100.14, and the SURQ slope was the lowest. In addition, under the LULC2000 conditions, SURQ was negatively correlated with the proportion of paddy field area, indicating that changes in LULC could decrease SURQ in the region when the paddy field area was small and irrigation water was limited.
This study also found that the trend of hydrological elements in the sub-basins with changes in land use (S2) differed from the trend of changes in the entire region (S1). This was mainly due to the addition of irrigation water, indicating that human activities (mainly irrigation) greatly affect hydrological variables in irrigation areas [38].
4.2.4. The Isolated Impact of Climate Changes on Hydrological Elements
In the S3 scenario, this study analyzed the impact of climate change (primarily precipitation) on hydrological elements. Using the SWAT-QLS model and LULC2000 as the baseline period for LULC conditions, eight five-year overlapping windows from 1980 to 2020 were simulated to investigate the impact of climate change on hydrological factors. Figure 8a displays the five-year sliding curves of SW, PERC, GWQ, SURQ, and LATQ values with precipitation. These curves exhibited similar fluctuation frequencies and generally decreased with decreasing precipitation. The ET values showed an opposite trend to the change in precipitation. Overall, they decreased with increased precipitation.
Figure 8.
(a) Five-year average values of hydrological elements in the S3 scenario; (b) Regression analysis between decreasing water volume and hydrological elements in the S1 scenario.
According to the statistics, compared to 1980–2000, the average annual precipitation from 2011 to 2020 decreased by 42.28 mm, ET increased by 5.58 mm, SW decreased by 7.90 mm, PERC decreased by 27.41 mm, SURQ decreased by 15.04 mm, GWQ decreased by 26.49 mm, and LATQ decreased by 0.25 mm. The trends of the changes in ET and SURQ were similar to those of the S1 scenario; however, the magnitude of the changes was relatively small. In contrast, the changing trends of SW, PERC, GWQ, and LATQ were completely opposite to those in the S1 scenario, indicating that other influencing factors existed in addition to climate variables influencing the changes in hydrological elements.
To further explore the impact of precipitation on hydrological elements, this study analyzed the correlation between precipitation and hydrological elements in the S2 scenario (Figure 8b). The results show that PERC, GWQ, SURQ, and LATQ exhibited positive correlations under the LULC2000 and LULC2010 conditions, with correlation coefficients of 0.89–0.92, 0.61–0.85, 0.54–0.83, and 0.95–0.96, respectively. The correlations between ET and SW and precipitation were not statistically significant. Under the LULC conditions in 2000, for every 1 mm increase in precipitation, PERC increased by 0.51 mm, GWQ increased by 0.41 mm, SURQ increased by 0.31 mm, and LATQ increased by 0.01 mm [24].
Previous research has shown that, as human activities, such as LULC change and irrigation, increase, the correlation between hydrological elements and precipitation gradually weakens. When analyzing hydrological elements with correlation, the slope of the univariate regression equation between hydrological elements and precipitation changed under different LULC conditions. The slopes of PERC and LATQ gradually increased, whereas the slopes of GWQ and SURQ became flatter. This indicates that, with the intervention of human activities, the response of hydrological elements to climate change may change [39].
4.2.5. Unveiling the Contributions of Climate and Land Use to Changes in Hydrological Factors
Based on the simulated values of ET, SW, PERC, GWQ, SURQ, and LATQ from different time periods (1978–2000, 2001–2010, and 2011–2020) simulated by S1–3, this study quantitatively analyzed the impact of climate and LULC changes on hydrological elements. The results are presented in Table 3 and Table 4.
Table 3.
Impacts of climate change and land use changes on hydrological factors from 2001 to 2010.
Table 4.
Impact of climate and land use changes on hydrological factors from 2011 to 2020.
According to Table 3, compared with the baseline period, the changes in climate from 2001 to 2010 were contributed by ET, SW, PERC, GWQ, SURQ, and LATQ, which accounted for −17.45%, −9.42%, −151.57%, 27.66%, 229.21%, and −78.03%, respectively. The contributions of LULC changes were −6.09%, −0.78%, −24.79%, 4.73%, 11.28%, and −19.60%, respectively. The contributions of changes in irrigation water volume were 123.55%, 110.20%, 276.36%, 67.61%, −140.49%, and 197.62%, respectively. As shown in Table 4, compared with the baseline period, the changes in precipitation from 2011 to 2020 contributed 6.10%, −7.58%, −54.11%, 26.90%, −121.17%, and −31.66% to the changes in ET, SW, PERC, GWQ, SURQ, and LATQ, respectively. The contributions of LULC changes were −2.19%, 3.63%, 11.61%, −2.93%, 25.89%, and 16.86%, respectively. The contributions of changes in irrigation water volume were 96.09%, 103.95%, 142.50%, 76.03%, 195.28%, and 114.80%, respectively. Overall, changes in irrigation water volume had the greatest impact on hydrological factors, followed by climate change and LULC conditions. Notably, changes in climate also played an important role in impacting the GWQ [40].
4.3. Future Forecast: Dynamic Changes in Hydrological Elements from 2021 to 2050
4.3.1. Future Climate and Land Use Change
This study used CMhyd to extract and downscale the CMIP6 data and performed bias correction on the original precipitation, maximum temperature (Tmax), and minimum temperature (Tmin). The observation results and graphical comparisons are shown in Figures S1–S3, which indicate good consistency between the observed precipitation and deviation-corrected precipitation, Tmax, and Tmin.
Figures S4–S6 display the annual precipitation, annual average maximum temperature, and annual average minimum temperature trends in the SSP1-2.6, SSP2-4.5, and SSP5-8.5 scenarios (2021–2050) from 1978 to 2020 and into the future. Overall, future precipitation is expected to increase but remain lower than the average from 1978 to 2020. Simultaneously, the temperature generally increased during the day and night, especially in the SSP5-8.5 scenario, where temperature and precipitation changes were the most significant [41].
The PLUS model was used to simulate the land use classification map of the study area in 2050 based on the driving factors in 2020 (Figure 4d). The K value of the model was 0.88, indicating high accuracy. The results indicate that, by 2050, the areas of paddy fields, dry fields, and wetlands would reach 47.86%, 33.53%, and 11.47%, respectively.
4.3.2. Annual Changes in Future Hydrological Elements
Using the downscaled CMIP6 data and the predicted 2050 land use data of QLS, the SWAT-QLS model is driven to simulate the annual average values of various hydrological elements in the irrigation district from 2021 to 2050 (see Figure S7). The results indicate that, in the SSP1-2.6, SSP2-4.5, and SSP5-8.5 scenarios, all hydrological elements exhibited the same trend of change as precipitation, and the simulated value of the SSP5-8.5 scenario was greater than that of the SSP2-4.5 scenario. The simulated value of the SSP2-4.5 scenario, in turn, was greater than that of the SSP1-2.6 scenario [42]. In addition, the peak values of various hydrological elements in the SSP5-8.5 scenario were observed in 2033, whereas in the SSP1-2.6 and SSP2-4.5 scenarios, the peak values were observed in 2035.
Figure 9b shows that, in different future scenarios, the hydrological elements increase with increased precipitation. From 2021 to 2050, the projected changes in water-related parameters under the SSP1-2.6 scenario show a significant decrease in precipitation, ET, SW, and PERC, with values ranging from −53.30 mm to −53.67 mm, while groundwater runoff (GWQ) showed a slight increase of 4.91 mm. In the SSP2-4.5 scenario, precipitation, ET, SW, and PERC also decreased, with changes ranging from −11.15 mm to −30.98 mm, while GWQ increased by 22.31 mm. Under the SSP5-8.5 scenario, precipitation and ET are projected to increase (by 30.60 mm and 5.97 mm, respectively), while other parameters like SW, PERC, SURQ, and LATQ show varying decreases, with GWQ experiencing a notable increase of 35.75 mm. The results indicate that, in different future scenarios, actual ET and SURQ would increase, whereas seepage and GWQ would decrease. This indicates that the available surface water volume in the future research area will increase, but the contribution and available water volume of groundwater may decrease. This may become an important issue in water resource management [23]. Therefore, reasonable planning for the allocation of surface and groundwater during the rice irrigation period is an important issue that urgently needs to be addressed in the research area.
Figure 9.
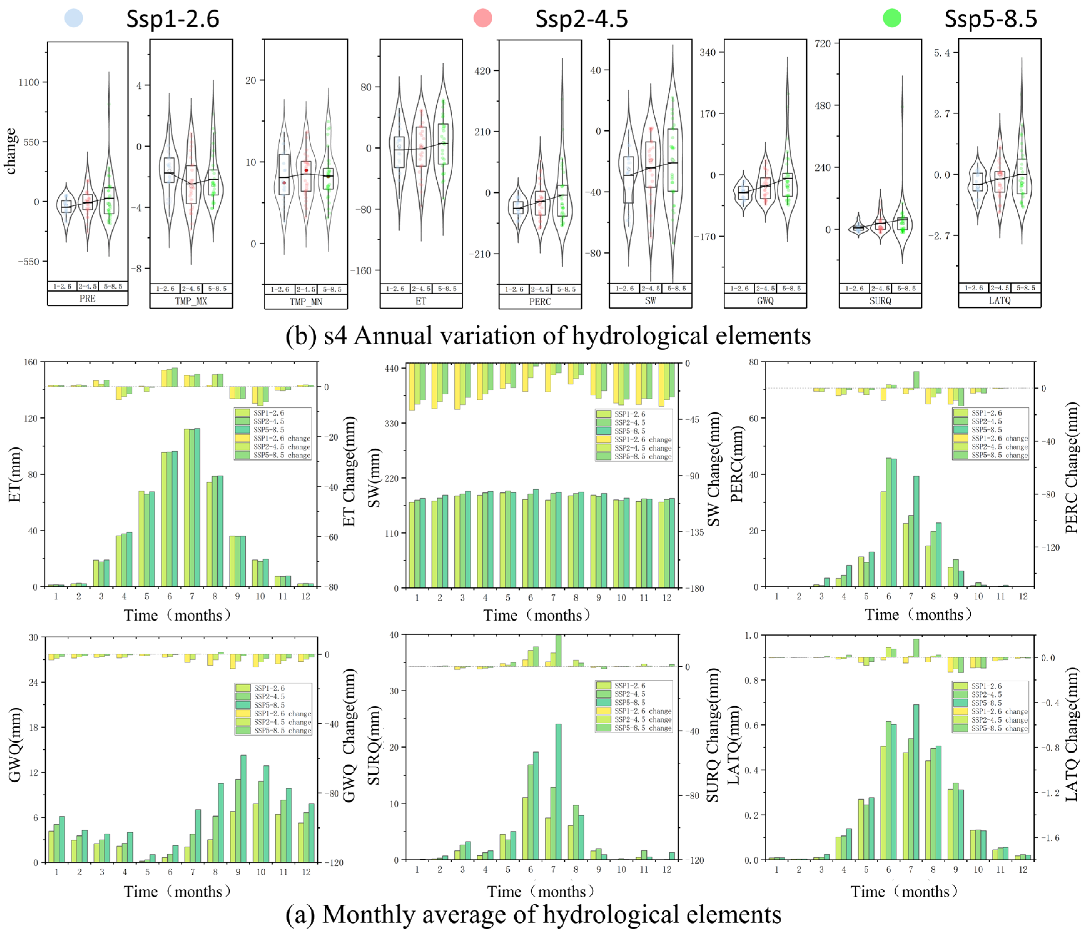
(a) Monthly average values and changes in hydrological elements in different future scenarios; (b) Annual average changes in hydrological elements in the S4 scenario.
4.3.3. Monthly Changes in Future Hydrological Element
Figure 9a displays the monthly average values of hydrological elements from 2021 to 2050 and their changes in the present. In the SSP1-2.6 scenario, the monthly average values of ET, SW, PERC, GWQ, SURQ, and LATQ were 39.37, 179.10, 7.69, 2.79, 3.65, and 0.19 mm, respectively. In the SSP2-4.5 scenario, the monthly average values of ET, SW, PERC, GWQ, SURQ, and LATQ were 39.51, 183.95, 9.58, 4.24, 5.18, and 0.21 mm, respectively. In the SSP5-8.5 scenario, the monthly average values of ET, SW, PERC, GWQ, SURQ, and LATQ were 40.11, 187.33, 11.41, 5.36, 6.98, and 0.23 mm, respectively. The values and changes in ET, PERC, SURQ, and LATQ were mainly concentrated during the rice growth period (May–September). Notably, SURQ showed an opposite trend to the other hydrological factors in terms of annual changes. This was primarily because irrigation water infiltrated into groundwater to replenish soil water under certain conditions, resulting in less significant changes from May to September [43]. Overall, the hydrological element values of the SSP5-8.5 scenario were greater than those of the SSP2-4.5 scenario, which, in turn, were greater than those of the SSP1-2.6 scenario.
Figure 10 shows the spatial variations of ET and SURQ at the sub-basin scale under future climate and LULC conditions, while GWQ, SW, PERC, and LATQ are presented in the Supplementary Materials as Figures S8 and S9, respectively. As shown in the figure, the changes in the central part of the irrigation area were more significant than those in other regions. Specifically, actual ET, SURQ, and LATQ were all positive, whereas SW content and infiltration runoff had negative values. This indicated that the surface water volume in the central part of the irrigation area increased significantly, whereas the groundwater recharge decreased, exacerbating the imbalance between surface water and groundwater. In addition, the changes were more significant in the SSP5-8.5 scenario. Therefore, increased attention should be paid to the allocation of water resources in the central region of the irrigation area to achieve a reasonable allocation of surface and groundwater while meeting irrigation needs [22].
Figure 10.
The spatial changes in ET and SURQ under different scenarios in the future.
5. Discussion
This study employs the SWAT-QLS model to analyze the combined effects of climate change and land use changes on the hydrological elements of the Qinglongshan Irrigation Area. From 1980 to 2020, the region experienced significant land use changes, particularly a substantial expansion of rice paddy fields, primarily driven by the “Dryland to Paddy” policy. Concurrently, precipitation levels showed a gradual decline. Together, these factors led to changes in hydrological elements, with actual evapotranspiration (ET) significantly increasing, mainly due to the expansion of paddy fields and rising temperatures [44]. Soil water (SW) content also increased, partly due to higher irrigation water volumes and the water retention capacity of rice paddies [45]. However, surface runoff (SURQ) gradually decreased as the expansion of paddy fields altered surface properties, enhancing both infiltration and evaporation [46]. Groundwater runoff (GWQ) was influenced by multiple factors, including precipitation infiltration and irrigation return flow [47].
Although the SWAT-QLS model proved effective in simulating hydrological processes, it still has uncertainties and limitations. The accuracy of meteorological data acquisition and processing is constrained by the distribution of weather stations, which may lead to data discrepancies in certain areas [48]. The relatively low resolution of land use data may fail to capture small-scale changes, thus affecting simulation accuracy [49]. Additionally, the accuracy and representativeness of soil data may pose issues [50]. The model simplifies the simulation of physical processes, which may not fully reflect real-world conditions, leading to prediction biases. The future climate scenarios used in this study also carry inherent uncertainties [51].
The findings from this research provide crucial guidance for water resource management in the Qinglongshan Irrigation Area. As global warming continues, actual ET may further increase, leading to higher agricultural water demands, while precipitation may continue to decline, exacerbating the supply–demand imbalance of water resources [52]. Therefore, it is essential to develop rational water resource management strategies, promote efficient water-saving irrigation technologies, and optimize irrigation practices to prevent over-irrigation. Furthermore, land use planning should comprehensively consider hydrological processes and protect groundwater recharge zones and vital ecological areas. Strengthening water resource monitoring and timely adjusting management strategies will ensure the sustainable use of water resources and provide robust support for the sustainable development of the irrigation area.
6. Conclusions
In this study, we constructed a SWAT-QLS model, specifically designed for the Qinglongshan Irrigation District. A SWAT model was used as the foundation for the SWAT-QLS model. The impacts of climate and LULC change on hydrological elements from 1980 to 2020 in the QLS were investigated. Moreover, future changes in various hydrological elements from 2021 to 2050 were predicted. The following conclusions were drawn:
- 1.
- ET simulated by the SWAT-QLS model was consistent with the remote sensing data of MOD16A2 in various scenarios. The evaluation function (KGE) and statistical performance indicators (NSE, RSR, and PBIAS) met the simulation evaluation requirements for the different periods.
- 2.
- The QLS experienced a significant increase in the paddy field area and a gradual decrease in precipitation from 1980 to 2020. With a significant increase in ET and a gradual decrease in SURQ, changes in hydrological factors are primarily influenced by irrigation and water intake, followed by climatic conditions, and lastly by land use changes.
- 3.
- In natural development scenarios, the region (especially the central part of the QLS) could face an increase in actual ET and agricultural water demand due to global warming in the future. However, seepage and groundwater contribution would decrease, resulting in a reduction in groundwater level. Reasonable allocation of surface water and groundwater for irrigation while simultaneously ensuring agricultural development and protecting water resources was the need of the hour and required immediate attention.
Supplementary Materials
The following supporting information can be downloaded at: https://www.mdpi.com/article/10.3390/su17010239/s1, Figure S1: Comparison of observed precipitation values, raw values, and downscaled deviation values at each station; Figure S2: Comparison of observed maximum temperature values, raw values, and downscaled deviation values at each station; Figure S3: Comparison of observed minimum temperature values, raw values, and downscaled deviation values at each station; Figure S4: Annual average precipitation for different scenarios (SSP1-2.6, SSP2-4.5, SSP5-8.5) at each station; Figure S5: Annual average maximum temperature under different scenarios (SSP1-2.6, SSP2-4.5, SSP5-8.5) at each station; Figure S6: Annual average minimum temperature for different scenarios (SSP1-2.6, SSP2-4.5, SSP5-8.5) at each station; Figure S7: Annual average values of various hydrological elements under different scenarios from 2021 to 2050. Figure S8: The spatial changes in GWQ and SW under different scenarios in the future. Figure S9: The spatial changes in PERC and LATQ under different scenarios in the future.
Author Contributions
Conceptualization, Y.L. and Z.S.; methodology, Z.Y.; software, Z.Y.; validation, Z.Y., Y.L. and Z.S.; formal analysis, Z.Y.; investigation, L.W.; resources, T.L.; data curation, Y.M.; writing—original draft preparation, Z.Y.; writing—review and editing, Z.Y.; visualization, Z.Y.; supervision, Y.L.; project administration, T.L.; funding acquisition, Z.S. All authors have read and agreed to the published version of the manuscript.
Funding
This study was supported by the 14th Five-Year National Key R&D Program (Project No. 2022YFD1500402).
Institutional Review Board Statement
Not applicable.
Informed Consent Statement
Not applicable.
Data Availability Statement
All data are available from the first author upon reasonable request.
Conflicts of Interest
The authors declare no conflicts of interest.
References
- Priya, A.K.; Muruganandam, M.; Rajamanickam, S.; Sivarethinamohan, S.; Gaddam, M.K.R.; Velusamy, P.; Gomathi, R.; Ravindiran, G.; Gurugubelli, T.R.; Muniasamy, S.K. Impact of climate change and anthropogenic activities on aquatic ecosystem—A review. Environ. Res. 2023, 238, 18. [Google Scholar]
- Yao, J.; Chen, Y.; Guan, X.; Zhao, Y.; Chen, J.; Mao, W.J. Recent climate and hydrological changes in a mountain–basin system in Xinjiang, China. Earth-Sci. Rev. 2022, 226, 103957. [Google Scholar] [CrossRef]
- Vanwalleghem, T.; Gómez, J.; Amate, J.I.; De Molina, M.G.; Vanderlinden, K.; Guzmán, G.; Laguna, A.; Giráldez, J.V.J. Impact of historical land use and soil management change on soil erosion and agricultural sustainability during the Anthropocene. Anthropocene 2017, 17, 13–29. [Google Scholar] [CrossRef]
- Ciais, P.; Sabine, C.; Bala, G.; Bopp, L.; Brovkin, V.; Canadell, J.; Chhabra, A.; DeFries, R.; Galloway, J.; Heimann, M.J.C. IPCC climate, The physical science basis. In Contribution of Working Group I to the Fifth Assessment Report of the Intergovernmental Panel on Climate Change; Cambridge University Press: Cambridge, UK; New York, NY, USA, 2013; Volume 10. [Google Scholar]
- Gleick, P.H.J. Water, drought, climate change, and conflict in Syria. Weather. Clim. Soc. 2014, 6, 331–340. [Google Scholar] [CrossRef]
- Kang, S.; Hao, X.; Du, T.; Tong, L.; Su, X.; Lu, H.; Li, X.; Huo, Z.; Li, S.; Ding, R.J. Improving agricultural water productivity to ensure food security in China under changing environment: From research to practice. Agric. Water Manag. 2017, 179, 5–17. [Google Scholar] [CrossRef]
- Chen, H.; Gao, Z.; Zeng, W.; Liu, J.; Tan, X.; Han, S.; Wang, S.; Zhao, Y.; Yu, C. Scale effects of water saving on irrigation efficiency: Case study of a rice-based groundwater irrigation system on the Sanjiang plain, northeast China. Sustainability 2017, 10, 47. [Google Scholar] [CrossRef]
- Zhang, Q.; Sun, J.; Zhang, G.; Liu, X.; Wu, Y.; Sun, J.; Hu, B.J. Spatiotemporal dynamics of water supply–demand patterns under large-scale paddy expansion: Implications for regional sustainable water resource management. Agric. Water Manag. 2023, 285, 108388. [Google Scholar] [CrossRef]
- Chen, Q.; Chen, H.; Wang, J.; Zhao, Y.; Chen, J.; Xu, C. Impacts of climate change and land-use change on hydrological extremes in the Jinsha River Basin. Water 2019, 11, 1398. [Google Scholar] [CrossRef]
- Näschen, K.; Diekkrüger, B.; Evers, M.; Höllermann, B.; Steinbach, S.; Thonfeld, F. The impact of land use/land cover change (LULCC) on water resources in a tropical catchment in Tanzania under different climate change scenarios. Sustainability 2019, 11, 7083. [Google Scholar] [CrossRef]
- Haddeland, I.; Heinke, J.; Biemans, H.; Eisner, S.; Flörke, M.; Hanasaki, N.; Konzmann, M.; Ludwig, F.; Masaki, Y.; Schewe, J. Global water resources affected by human interventions and climate change. Proc. Natl. Acad. Sci. USA 2014, 111, 3251–3256. [Google Scholar] [CrossRef]
- Song, X.; Zhang, J.; Zhan, C.; Xuan, Y.; Ye, M.; Xu, C. Global sensitivity analysis in hydrological modeling: Review of concepts, methods, theoretical framework, and applications. J. Hydrol. 2015, 523, 739–757. [Google Scholar] [CrossRef]
- Liu, Y.; Liu, X.; Liu, Z. Effects of climate change on paddy expansion and potential adaption strategies for sustainable agriculture development across Northeast China. Appl. Geogr. 2022, 141, 102667. [Google Scholar] [CrossRef]
- Zhao, Z.; Jia, Z.; Guan, Z.; Xu, C. The Effect of Climatic and Non-climatic Factors on Groundwater Levels in the Jinghuiqu Irrigation District of the Shaanxi Province, China. Water 2019, 11, 956. [Google Scholar] [CrossRef]
- Liu, D.; Fu, Q.; Li, T.; Hu, Y.; Imran, K.M.; Abrar, F.M.; Change, C. Wavelet analysis of the complex precipitation series in the Northern Jiansanjiang Administration of the Heilongjiang land reclamation, China. J. Water Clim. Chang. 2016, 7, 796–809. [Google Scholar] [CrossRef][Green Version]
- Mundetia, N.; Sharma, D.; Sharma, A.; Dubey, S.K.; Mitra, B.K.; Dasgupta, R.; Jeong, H. Assessment of hydrological response with an integrated approach of climate, land, and water for sustainable water resources in the Khari River basin, India. Anthropocene 2023, 41, 100373. [Google Scholar] [CrossRef]
- Planchon, O.; Darboux, F. A fast, simple and versatile algorithm to fill the depressions of digital elevation models. Catena 2002, 46, 159–176. [Google Scholar] [CrossRef]
- Teshager, A.D.; Gassman, P.W.; Secchi, S.; Schoof, J.T.; Misgna, G. Modeling agricultural watersheds with the soil and water assessment tool (swat): Calibration and validation with a novel procedure for spatially explicit hrus. Environ. Manag. 2016, 57, 894–911. [Google Scholar] [CrossRef]
- Liu, J.; Chen, H. Conjunctive use of groundwater and surface water for paddy rice irrigation in Sanjiang plain, North-East China. Irrig. Drain. 2020, 69, 142–152. [Google Scholar] [CrossRef]
- Dile, Y.T.; Ayana, E.K.; Worqlul, A.W.; Xie, H.; Srinivasan, R.; Lefore, N.; You, L.; Clarke, N. Evaluating satellite-based evapotranspiration estimates for hydrological applications in data-scarce regions: A case in Ethiopia. Sci. Total Environ. 2020, 743, 140702. [Google Scholar] [CrossRef]
- Immerzeel, W.; Droogers, P. Calibration of a distributed hydrological model based on satellite evapotranspiration. J. Hydrol. 2008, 349, 411–424. [Google Scholar] [CrossRef]
- Cao, K.; Liu, X.; Fu, Q.; Wang, Y.; Liu, D.; Li, T.; Li, M. Dynamic and harmonious allocation of irrigation water resources under climate change: A SWAT-based multi-objective nonlinear framework. Sci. Total Environ. 2023, 905, 167221. [Google Scholar] [CrossRef] [PubMed]
- Uniyal, B.; Jha, M.K.; Verma, A.K. Assessing climate change impact on water balance components of a river basin using SWAT model. Water Resour. Manag. 2015, 29, 4767–4785. [Google Scholar] [CrossRef]
- Mengistu, D.; Sorteberg, A.; Sciences, E.S. Sensitivity of SWAT simulated streamflow to climatic changes within the Eastern Nile River basin. Hydrol. Earth Syst. Sci. 2012, 16, 391–407. [Google Scholar] [CrossRef]
- Gebeyehu, B.M.; Jabir, A.K.; Tegegne, G.; Melesse, A.M. Subbasin Spatial Scale Effects on Hydrological Model Prediction Uncertainty of Extreme Stream Flows in the Omo Gibe River Basin, Ethiopia. Remote. Sens. 2023, 15, 611. [Google Scholar] [CrossRef]
- Pradhan, P.; Tingsanchali, T.; Shrestha, S. Evaluation of soil and water assessment tool and artificial neural network models for hydrologic simulation in different climatic regions of Asia. Sci. Total Environ. 2020, 701, 134308. [Google Scholar] [CrossRef]
- Koko, A.F.; Han, Z.; Wu, Y.; Zhang, S.; Ding, N.; Luo, J. Spatiotemporal Analysis and Prediction of Urban Land Use/Land Cover Changes Using a Cellular Automata and Novel Patch-Generating Land Use Simulation Model: A Study of Zhejiang Province, China. Land 2023, 12, 1525. [Google Scholar] [CrossRef]
- Grinblat, Y.; Gilichinsky, M.; Benenson, I. Cellular automata modeling of land-use/land-cover dynamics: Questioning the reliability of data sources and classification methods. Ann. Assoc. Am. Geogr. 2016, 106, 1299–1320. [Google Scholar] [CrossRef]
- Kassaye, S.M.; Tadesse, T.; Tegegne, G.; Hordofa, A.T. Quantifying the climate change impacts on the magnitude and timing of hydrological extremes in the Baro River Basin, Ethiopia. Environ. Syst. Res. 2024, 13, 2. [Google Scholar] [CrossRef]
- Refsgaard, J.C. Parameterisation, calibration and validation of distributed hydrological models. J. Hydrol. 1997, 198, 69–97. [Google Scholar] [CrossRef]
- Arnold, J.G.; Moriasi, D.N.; Gassman, P.W.; Abbaspour, K.C.; White, M.J.; Srinivasan, R.; Santhi, C.; Harmel, R.; Van Griensven, A.; Van Liew, M.W. SWAT: Model use, calibration, and validation. Trans. ASABE 2012, 55, 1491–1508. [Google Scholar] [CrossRef]
- Dechmi, F.; Burguete, J.; Skhiri, A. SWAT application in intensive irrigation systems: Model modification, calibration and validation. J. Hydrol. 2012, 470, 227–238. [Google Scholar] [CrossRef]
- Aouissi, J.; Benabdallah, S.; Chabaâne, Z.L.; Cudennec, C. Evaluation of potential evapotranspiration assessment methods for hydrological modelling with SWAT—Application in data-scarce rural Tunisia. Agric. Water Manag. 2016, 174, 39–51. [Google Scholar] [CrossRef]
- Odusanya, A.E.; Mehdi, B.; Schürz, C.; Oke, A.O.; Awokola, O.S.; Awomeso, J.A.; Adejuwon, J.O.; Schulz, K.; Sciences, E.S. Multi-site calibration and validation of SWAT with satellite-based evapotranspiration in a data-sparse catchment in southwestern Nigeria. Hydrol. Earth Syst. Sci. 2019, 23, 1113–1144. [Google Scholar] [CrossRef]
- Zheng, S.; Chen, J.; Qiao, J.; Pan, X.; Xu, X.; Zhang, L.; Liu, G.; Gu, X. Analysis of Water-Sand Changes and Influencing Factors in the Ganjiang River Basin from 1958–2019. Pol. J. Environ. Stud. 2024, 33, 1949–1964. [Google Scholar] [CrossRef]
- Sharma, A.; Patel, P.; Sharma, P.J. Influence of climate and land-use changes on the sensitivity of SWAT model parameters and water availability in a semi-arid river basin. Catena 2022, 215, 106298. [Google Scholar] [CrossRef]
- Wilk, J.; Andersson, L.; Plermkamon, V. Hydrological impacts of forest conversion to agriculture in a large river basin in northeast Thailand. Hydrol. Process. 2001, 15, 2729–2748. [Google Scholar] [CrossRef]
- Liu, J.; Zhang, Q.; Singh, V.P.; Shi, P. Contribution of multiple climatic variables and human activities to streamflow changes across China. J. Hydrol. 2017, 545, 145–162. [Google Scholar] [CrossRef]
- Ye, X.; Zhang, Q.; Liu, J.; Li, X.; Xu, C.-Y. Distinguishing the relative impacts of climate change and human activities on variation of streamflow in the Poyang Lake catchment, China. J. Hydrol. 2013, 494, 83–95. [Google Scholar] [CrossRef]
- van Roosmalen, L.; Sonnenborg, T.O.; Jensen, K.H. Impact of climate and land use change on the hydrology of a large-scale agricultural catchment. Water Resour. Res. 2009, 45, 7. [Google Scholar] [CrossRef]
- Piao, S.; Ciais, P.; Huang, Y.; Shen, Z.; Peng, S.; Li, J.; Zhou, L.; Liu, H.; Ma, Y.; Ding, Y. The impacts of climate change on water resources and agriculture in China. Nature 2010, 467, 43–51. [Google Scholar] [CrossRef]
- Zhang, Y.; Liu, H.; Qi, J.; Feng, P.; Zhang, X.; Li Liu, D.; Marek, G.W.; Srinivasan, R.; Chen, Y. Assessing impacts of global climate change on water and food security in the black soil region of Northeast China using an improved SWAT-CO2 model. Sci. Total Environ. 2023, 857, 159482. [Google Scholar] [CrossRef] [PubMed]
- Hu, X.; Chen, M.; Liu, D.; Li, D.; Jin, L.; Liu, S.; Cui, Y.; Dong, B.; Khan, S.; Luo, Y. Reference evapotranspiration change in Heilongjiang Province, China from 1951 to 2018: The role of climate change and rice area expansion. Agric. Water Manag. 2021, 253, 106912. [Google Scholar] [CrossRef]
- Yu, P.-S.; Yang, T.-C.; Chou, C.-C. Effects of climate change on evapotranspiration from paddy fields in southern Taiwan. Clim. Chang. 2002, 54, 165–179. [Google Scholar] [CrossRef]
- Abdallah, A.M.; Jat, H.S.; Choudhary, M.; Abdelaty, E.F.; Sharma, P.C.; Jat, M.L. Conservation agriculture effects on soil water holding capacity and water-saving varied with management practices and agroecological conditions: A Review. Agronomy 2021, 11, 1681. [Google Scholar] [CrossRef]
- Liao, Y.; Cao, H.-X.; Liu, X.; Li, H.-T.; Hu, Q.-Y.; Xue, W.-K. By increasing infiltration and reducing evaporation, mulching can improve the soil water environment and apple yield of orchards in semiarid areas. Agric. Water Manag. 2021, 253, 106936. [Google Scholar] [CrossRef]
- Verma, K.; Manisha, M.; Santrupt, R.; Anirudha, T.; Goswami, S.; Sekhar, M.; Ramesh, N.; Kumar, M.; Chanakya, H.; Rao, L. Assessing groundwater recharge rates, water quality changes, and agricultural impacts of large-scale water recycling. Sci. Total Environ. 2023, 877, 162869. [Google Scholar] [CrossRef]
- Abatzoglou, J.T. Development of gridded surface meteorological data for ecological applications and modelling. Int. J. Climatol. 2013, 33, 121–131. [Google Scholar] [CrossRef]
- Yeshaneh, E.; Wagner, W.; Exner-Kittridge, M.; Legesse, D.; Blöschl, G. Identifying land use/cover dynamics in the Koga catchment, Ethiopia, from multi-scale data, and implications for environmental change. ISPRS Int. J. Geo-Inf. 2013, 2, 302–323. [Google Scholar] [CrossRef]
- Clark, M.P.; Fan, Y.; Lawrence, D.M.; Adam, J.C.; Bolster, D.; Gochis, D.J.; Hooper, R.P.; Kumar, M.; Leung, L.R.; Mackay, D.S. Improving the representation of hydrologic processes in Earth System Models. Water Resour. Res. 2015, 51, 5929–5956. [Google Scholar] [CrossRef]
- Hamed, M.M.; Nashwan, M.S.; Shahid, S.; bin Ismail, T.; Wang, X.-j.; Dewan, A.; Asaduzzaman, M. Inconsistency in historical simulations and future projections of temperature and rainfall: A comparison of CMIP5 and CMIP6 models over Southeast Asia. Atmos. Res. 2022, 265, 105927. [Google Scholar] [CrossRef]
- Sophocleous, M. Global and regional water availability and demand: Prospects for the future. Nat. Resour. Res. 2004, 13, 61–75. [Google Scholar] [CrossRef]
Disclaimer/Publisher’s Note: The statements, opinions and data contained in all publications are solely those of the individual author(s) and contributor(s) and not of MDPI and/or the editor(s). MDPI and/or the editor(s) disclaim responsibility for any injury to people or property resulting from any ideas, methods, instructions or products referred to in the content. |
© 2024 by the authors. Licensee MDPI, Basel, Switzerland. This article is an open access article distributed under the terms and conditions of the Creative Commons Attribution (CC BY) license (https://creativecommons.org/licenses/by/4.0/).









