You are currently viewing a new version of our website. To view the old version click .
Sustainability
  • Article
  • Open Access

28 April 2024

Subsidy-Dominated Non-Farm Income Improves Herder Household Livelihoods and Promotes Income Equality in North Tibet, China

,
and
1
Key Laboratory of Ecosystem Network Observation and Modelling, Institute of Geographic Sciences and Natural Resources Research, Chinese Academy of Sciences, Beijing 100101, China
2
College of Resources and Environment, University of Chinese Academy of Sciences, Beijing 100190, China
*
Author to whom correspondence should be addressed.
This article belongs to the Section Sustainable Urban and Rural Development

Abstract

The non-farm sector is critical in supporting sustainable economies, alleviating poverty, and improving human well-being. However, the drivers of non-farm income and how it impacts income inequality remain underexplored, especially in alpine regions worldwide. Herein, we conducted face-to-face interviews using semi-structured questionnaires with 665 herder households across 54 villages in North Tibet from 2018 to 2020. We assessed the role of non-farm income in household economies and explored the determinants of household income using basic statistical methods, Gini coefficient analysis, and mixed-effects modeling. Our results showed that non-farm income accounted for approximately 80% of the total household income. It contributed to lower income inequality in rural North Tibet, with government subsidies playing a more vital role than wages and business income in this reduction. Results indicated that the number of migrant workers was the most significant positive predictor of both non-farm income and total household income, whereas livestock units dominated farm income. Given the modest contributions of livestock-derived income (~5%) and wage and business revenues (~18%) to overall earnings, this study suggests that policies should primarily focus on strengthening rural livestock husbandry. Simultaneously, it is imperative to foster environments that encourage entrepreneurship and non-farm activities and to expand access to skill-based training. Such initiatives and measures are essential for diversifying livelihood strategies and improving resident welfare in North Tibet.

1. Introduction

Non-farm income has increasingly been recognized as a vital component of rural economies, offering significant diversification of livelihoods beyond traditional agriculture [,,]. This source of income encompasses revenues from activities not directly related to agriculture, such as wage employment, self-employment, and remittances [,,]. As agricultural economies face mounting pressures from global market fluctuations and environmental changes, the strategic importance of non-farm income intensifies []. Non-farm income not only diversifies their economic base but also provides stability against agricultural risks, contributing significantly to poverty alleviation, food security, and sustainable livelihood, especially in rural areas of developing countries [,,,].
The transformative role of non-farm income has been highlighted in global rural development [,]. Some studies have shown that non-farm income plays a substantial positive effect in increasing rural household income [,,]. For instance, nearly 60% of rural household earnings were from non-farm income in regions with limited agricultural productivity in India, significantly reducing the incidence of poverty []. Similarly, in parts of sub-Saharan Africa, non-farm employment has been linked to improved household food security and reduced environmental degradation, as households are being less dependent on farming practices [,]. In addition, participation in non-farm activities has led to a positive spillover effect, enhancing farm productivity and improving environmental conservation [,]. However, Holden et al. [] have identified negative impacts of non-farm activities on the environment, such as land degradation through erosion, which can impair livelihood sustainability. Such varying effects in various contexts could contribute to regional disparity in rural economic development.
In China, the largest developing country, the share of non-farm income has remarkably changed with rapid urbanization and industrialization over the past four decades []. While numerous studies have reported that nonfarm income can drive poverty reduction and income growth in rural areas, it often coincides with widening income inequality among rural residents [,]. Inequality is considered higher in rural areas than in cities, with higher value in the middle and western regions compared to the eastern region [,]. Contrastingly, various reports have highlighted China’s success in alleviating rural poverty and reducing inequality through diverse forms of non-farm income [,]. Senadza [] has found that non-farm self-employment income decreased income inequality, while non-farm wage income elevated income inequality. Moreover, some effective policies in rural China in the last 20 years have reduced income inequality and narrowed regional gaps [].
Furthermore, a large body of literature has explored the drivers of households’ participation in and returns to various non-farm activities. Much evidence underscores that access to land and the level of education are fundamental in determining non-farm income worldwide [,]. For example, households confronted with land supply constraints are more likely to migrate. Moreover, households with formally educated heads are 11% more likely to engage in wage-earning non-farm activities [,]. As key drivers of non-farm income may be context-specific, caution must be taken to avoid assumptions of universal outcomes. The importance of heterogeneity has been emphasized in policy formulation and implementation to ensure inclusivity and maximize the potential of non-farm income for rural development [,,].
Tibet, known as the “roof of the world”, is located in the southwest of China []. It is one of the most typically impoverished regions, where enhancing earnings and rural development is closely tied to the achievement of the United Nations’ Sustainable Development Goals (SDGs) []. However, little was known regarding the role of non-farm income in household economics and its determinants in this region. Although China has achieved a big victory in poverty alleviation, it is widely acknowledged that the disparity in household income between the western plateau and the eastern coastal region is obvious [,]. Under the context of rural revitalization, livelihood-focused research in impoverished areas is beneficial to provide a more direct and intuitive basis for policy optimization. To date, assessments of livelihood strategy and sustainability have received increasing attention in this area [,]. Quantitative analysis, however, regarding household livelihood outcomes like non-farm income is still lacking. Understanding household income sources and their roles and determinants is essential for crafting policies that address obstacles to sustainable economic growth in rural areas.
Given livestock husbandry is the primary industry in North Tibet, we first hypothesize that livestock-related income contributes substantially to total household income; The second and the third hypotheses are that non-farm income improves the local income inequality, and rangeland area may be the key driver influencing non-farm income, respectively. To test these hypotheses, we conducted a household survey through semi-structured face-to-face interviews from 2018 to 2020 to acquire 665 effective economics and livelihoods household data. The objective of this study is as follows:
(1)
examine the role of non-farm income in household economies;
(2)
assess the effect of non-farm income on household income inequality;
(3)
explore the determinants influencing the variability of non-farm income.
By addressing these research questions, this study may deepen our understanding of the present and prospective role of non-farm income in rural revitalization, particularly for mountainous and impoverished communities in China and beyond.

2. Materials and Methods

2.1. Study Area

North Tibet is called ‘Changtang’ (29°53′~36°32′ N, 78°41′~92°16′ E) as well [,] by local herders in the Tibet Autonomous Region (Xizang) of China (Figure 1). Changtang covers an area of about 600,000 km2 and has an average altitude of over 4500 m a.s.l [,]. Due to the high altitude, winters are frigid and Arctic-like regardless of latitude, while summers are warm but not lengthy, and storms with hail may occur at any time of year. The typical annual temperature falls below zero degrees Celsius [,]. Permafrost and seasonal permafrost are therefore developed widely. Mean annual precipitation displays an obvious spatial pattern, decreasing from southeast (>500 mm) to northwest (<100 mm) []. Along this gradient, alpine grassland dominant species vary from Kobresia pygmaea C.B. Clarke in the alpine meadow (AM), Stipa purpurea Griseb in the alpine steppe (AS), to S. purpurea and S. glareosa P. Smirn in the desert steppe [,]. Local herders rely on forage-based livestock husbandry for their livelihoods. Farming enterprises are rarely found other than livestock and dairy products processing factories. As of 2019, over 0.63 million nomads lived in Changtang []. In contrast to many other nomadic communities, the Changtang does not face pressure from settled farmers since almost all the lands they inhabit are inhospitable to farming []. Currently, other agricultural farming potentials in this region are inadequate.
Figure 1. Location of households surveyed in North Tibet.

2.2. Data Collection

A semi-structured questionnaire was designed to acquire data about household economics and livelihoods. A random sampling approach was employed for interviewing 697 households from 54 villages of 19 counties across North Tibet, including 1 county in Lhasa, 7 counties in Ngari, and 11 counties in Nagqu. A household survey was conducted via a face-to-face interview with the help of Tibetan undergraduates during 2018–2020. In most cases, the household head was the person invited to participate in the interview. If not available, other family members who know much more about the basic characteristics of their family would be the interviewee. The household-level data included detailed information regarding household demographics, available grassland area, livestock assets, physical assets, economic activities, and income. Our study focused on rural households with non-farm activities and the incomes from these activities. The income data were based on household members’ actual situation of their income last year before the survey. In addition, we also collected village-level data on the grassland coverage (i.e., NDVI). After completing data collection, processing, and checking, some data with missing records and extreme outliers (the highest and lowest incomes) were removed. Out of the original 697 sample households, the analyses were finally conducted on 665 households that completed all surveys. The effective questionnaires accounted for 95.7% of the total samples surveyed. Our household survey focused on representative villages of all counties in North Tibet and was therefore considered to be representative and suitable for further statistical analysis. Definitions and statistical summaries of variables applied in this study are presented in Table 1.
Table 1. Description of the variables and associated information used in this study.

2.3. Statistical Analysis

The analysis of household income patterns was conducted first. The percentage of households with five income sources and their income contribution was summarized. Next, income quintiles were determined by ranking households in terms of their total income and then subdividing those households into five groups, for each village, with the highest income falling in at “quintile 5” and the lowest income falling in at “quintile 1”. All households surveyed from 54 villages were further aggregated to generate 5 complete Quintile groups, as shown in Table 2. We then performed statistical analysis at the income group level as well. The between-group differences were detected by Kruskal–Wallis and Duncan’s post hoc tests []. Contributions of farm and non-farm income to the total household income were identified at the income quantile level. Additionally, we employed the Gini coefficient of various income sources to test income inequality across North Tibet. Xie et al. [] adopted the Gini coefficient to evaluate income inequality in China in 2012, arguing that the rural-urban divide was one of the most significant factors resulting in high income inequality. The Gini coefficient can be defined as []:
G i n i = 1 i = 1 n x i + 1 x i y i + 1 y i
where n is the number of households, x is the cumulative proportion of households up to the ith household, and y is the cumulated proportion of income for the identical households i.
Table 2. Quintile determination matrix according to the total income of herder household in North Tibet.
The Gini coefficient is a widely used measure of inequality, with a range from 0 to 1. A Gini coefficient of 0 means all households get the same share. In contrast, a Gini value of 1 indicates total inequality, when one unit has all of the resources. Plus, the Lorenz curve as a visual tool was used to display and further analyze the inequality.
To evaluate the effect of non-farm income on income inequality across various grassland types, we analyzed the disparities between AM, AS, and DS in terms of pure farm income and total household income. Note that when we examine the impact of non-farm income on rural income inequality (i) we assume non-farm income as an exogenous transfer to the overall income and proceed to decompose the Gini index; (ii) we assume non-farm income as a potential substitute for farm income and simulate family income.
Finally, we selected the mixed-effects model to explore the determinants of income generation, due to its ability to account for random effects of the intercept, hence controlling for unobserved variations across resident groups. Depending upon a priori knowledge, we believed that household income is primarily affected by the existing condition that includes human capital, natural capital, physical capital, and social capital (see also Table 1). The equation can be written as []:
y i j = β 0 + k = 1 n β k x i j k + μ j + ε i j  
where yij is household income (here refers to non-farm income or farm income or total household income) for the ith household in the jth resident group, and xijk is the kth predictor for that household. Fixed effects of the intercept and the independent variables are captured by β0 and βk, respectively, with βk corresponding to xijk. Random effects at the household level and the community level are captured by εij and μj, respectively. All statistical analyses were conducted using R version 4.0.3 [].

3. Results

3.1. Socioeconomic Profile of the Sample Households

Population, available land, livestock, and income constituted the basic socioeconomic characteristics of a herder household. In North Tibet, the average value of the household size of the interviewed herder was 5.3 persons per household. For these families, their average available area of the rangeland for grazing was 505.5 ha. The mean reported value of livestock number (mainly yak, sheep, and goats) was 151.1 SSU. The annual total income per household was 34,557.9 RMB. In terms of income per capita, the value was 6925.8 RMB (Table 3).
Table 3. Basic socioeconomic characteristics of the sample household in North Tibet.

3.2. Household Income Source and Its Contribution

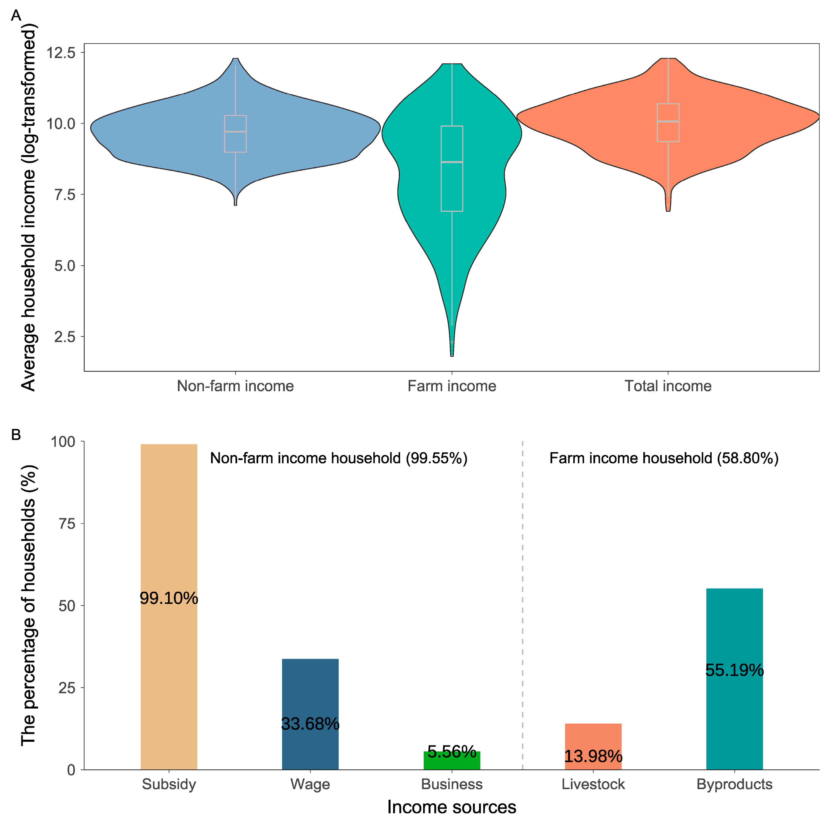
Household income could be divided into farm and non-farm income. The average farm income was lower than non-farm income, and there was a greater relative income disparity across households (Figure 2A). Our analyses indicated almost all households had a non-farm income source. By contrast, households that earned income from farm sources were less than sixty percent (Figure 2B). Specifically, non-farm income consisted of subsidy, wage, and business income, while farm income involved the revenue from livestock and agricultural byproducts. The proportion of families who got subsidy income exceeded 99.6%. The percentage of earnings generated from byproducts was 55.4%. Herder households had little engagement in several economic activities related to alternative sources of income, such as wages, livestock, and business. The corresponding proportions of households were 34.0%, 14.1%, and 5.5%, respectively (Figure 2B).
Figure 2. The mean of household income and the percentage of households for various income in North Tibet. (A) Average values of non-farm income and farm income and total household income, (B) Income sources and the share of households that include them.
In North Tibet, it has been observed that non-farm income outweighs farm income, thereby making a substantial contribution to the entire household economy. Based on a sample size of 665 households, it was found that, on average, 80.6% of the total income per household was derived from the non-farm income sector, with the remaining 19.4% attributed to farm income. More specifically, the subsidy accounted for the majority share, exceeding 60% of the total. The figures for wages, byproducts, livestock, and business were 15.4%, 14.3%, 5.1%, and 2.8%, respectively (Figure 3).
Figure 3. Income contribution of household income sources in North Tibet.

3.3. Comparison of Non-Farm Income and Contribution by Income Category

At the income quantile level, the between-group differences in non-farm income were found to be statistically significant (all p ≤ 0.01, Figure 4). The proportion of non-farm income within the total household income exhibited a decline as family income rose. However, it continued to play a major part in all income categories, with percentages ranging from 91.2% in the low-income group to 74.2% in the high-income group (Figure 5).
Figure 4. Differences in non-farm income between various income groups in North Tibet.
Figure 5. The proportion of non-farm income and farm income among different income groups in North Tibet.
In terms of income streams, except for the high-income group, there was a consistent income pattern observed. Subsidy emerged as the primary source of income, followed by byproducts, wages, livestock, and business income, in general (Figure 6). Nevertheless, subsidies are the second most substantial source of income for the high-income group, with wage income being the primary contributor (Figure 6).
Figure 6. The proportion of income component structure among different income groups in North Tibet.

3.4. Effect of Non-Farm Earnings on Income Inequality

We measured income inequality in North Tibet by the Gini coefficient and Lorenz asymmetry coefficient. The Gini coefficient of non-farm income was 0.46, much lower than that of farm income (0.80). The overall income had the lowest Gini coefficient, at 0.43, indicating that non-farm income played a positive role in bridging the total household income gap (Figure 7). Regarding the Gini coefficients of non-farm income sources, the indices for the subsidy, wage, and business were 0.35, 0.86, and 0.96, respectively (Figure 8A). Despite varying degrees, all non-farm income sources were found to reduce income inequality (Figure 8B). The Lorenz asymmetry coefficients for the farm and the non-farm income were less than 1, indicating that poor households contribute most to the inequality. On the contrary, the number was greater than 1 for the total household income, indicating that income inequality was primarily due to the few top households (Figure 7 and Figure 8).
Figure 7. Lorenz curve of household income classification. The diagonal is the line of perfect equality. The first and second numbers presented in parentheses are the Gini coefficient and Lorenz asymmetry coefficient, respectively. Lorenz asymmetry coefficient was used as a supplement to the Gini coefficient. The poor households contribute most to the inequality if it is less than 1. Correspondingly, if the value is more than 1, the inequality is primarily due to the few wealthiest households. When the Lorenz asymmetry coefficient = 1, the Lorenz curve of the assemblage is symmetric.
Figure 8. Lorenz curve of income source classification and comparison. (A) The Gini coefficient of the total household income and its five income sources, (B) Comparisons of between pure farm income and sum of pure farm income and three types of non-farm income. The diagonal is the line of perfect equality. The first and second numbers presented in parentheses are the Gini coefficient and Lorenz asymmetry coefficient, respectively.
At the grassland type level, the effect of non-farm earnings on income inequality was evaluated by comparing the difference between only farm income and total household income across AM, AS, and DS in North Tibet. Analysis showed that farm income in AM was significantly higher than those in AS and DS, with no evident disparity between AS and DS (p < 0.001, Figure 9A). However, pronounced differences in total household income between AM, AS, and DS were not discovered (p = 0.62, Figure 9B).
Figure 9. Analysis of household income difference between grassland types in pure farm income and total household income in North Tibet. (A) Differences in pure farm income between alpine grassland types, (B) Differences in total household income, the sum of pure farm income and non-farm income, between alpine grassland types.

3.5. Determinants of Household Income in North Tibet

The mixed effect model revealed the effects of the underlying factors on generating non-farm income (subsidy, wage, and business), farm income (livestock and byproducts), and total household income. As shown in Table 4, NMW was statistically significant and the most influential variable in determining the variation of the non-farm income, followed by HS, RAA, NCM, and LA (columns 2 and 3). Likewise, these factors affected total household income as well to a similar degree, except for LA (columns 6 and 7). It was a critical and positive factor in influencing farm income (columns 4 and 5). Overall, a noticeable and identical output was that the RAA consistently had a significant impact on three response variables of household economies, despite the different directions (columns 3, 5, and 7). In addition, HDR exerted a marginal significance or a significant but weak effect on farm income and total household income, respectively (columns 5 and 7).
Table 4. Variables determining income generation of herder households in North Tibet.

4. Discussion

Our results contradict our first hypothesis. In our case study, the farm income merely shares a minor proportion of household economies, whereas the non-farm income is a major contributor that shares over 80% of household income. Moreover, non-farm incomes dominate household economies in all five income groups. The findings are consistent with previous studies, highlighting the importance of non-farm work for household livelihoods in rural areas of developing countries [,]. In China’s plains, for example, most rural households rely on non-farm sources of income, sharing about 70% of total household income, more than that from agricultural activities [,]. However, compared with other regions worldwide [,], the proportion of non-farm income in North Tibet is much higher. For instance, the share of non-farm income is about 15% in Pakistan near our study area []. One reason can be due to the policy intervention because herder households have received subsidies each year in China since 2011. The subsidy income can account for approximately 60 percent of total household income (Figure 3), which is greater than the plain areas of China, likely due to the vast differences in agricultural land. Additionally, Davis, et al. [] postulate that the shift, in which non-farm income sometimes exceeds farm-based income, is attributed to the diversification strategies adopted by rural households in response to fluctuating agricultural earnings and market uncertainties. According to Mohammed et al. [], such diversification, primarily into the non-farm sector, acts as complementary risk-spreading strategies, safeguarding rural households from potential climate shocks and providing additional avenues for economic upliftment. In the context of China, preliminary findings indicate a similar trend [,]. The expansion of local industries and increased access to regional markets has driven a rise in non-farm income, making it a pivotal component of the rural economy []. Yet, it is essential to approach these transitions with caution, ensuring that the growth in non-farm sectors complements, rather than competes with, traditional farming practices [].
These findings support our second hypothesis, indicating that non-farm income contributes positively to the reduction of rural income inequality. Not in line with our result, however, much previous research in Africa reported that the increasing share of non-farm income in total income widens inequality [,]. In other words, the inequality-inducing effect is driven by government transfer wage income or self-employment income, as the proportion of non-farm income to total income was higher for upper-income households than for impoverished households. A common explanation for the higher likelihood of individuals from more affluent families engaging in non-farm employment is that such pursuits need a certain level of wealth and educational attainment to make a success []. However, our finding shows a reverse pattern, in which non-farm income has the largest ratio in the low-income group (Figure 5). Consequently, as suggested by this study, non-farm income narrows income inequality in North Tibet, consistent with findings in other regions in China [,]. This discrepancy can be attributed to the following two reasons. First, not all rural residents can seamlessly transition to or benefit from non-farm employment. Factors like local policy, demographics, or social networks can act as entry barriers []. For example, in our study, wages and business had a minor positive effect on the distribution of farm income. Compared to them, policy subsidies contributed more to the reduction of income inequality (Figure 8B). Second, non-farm activities might cluster in certain areas due to infrastructure, market access, or other advantages. Regions with such clusters might experience significant income growth, while areas without them remain marginalized, leading to spatial income inequalities []. Given the mix of findings, the present study highlights how crucial it is to examine the role of the non-farm sector in different regional settings.
The third hypothesis is not accepted according to our findings. We found that access to land is a relatively crucial variable for household economies, whereas education level plays an insignificant role in determining household income (Table 4). At first, results suggested that RAA exerted a significantly positive impact on non-farm income and total household income while exhibiting a negative influence on farm income. A study conducted in Sichuan and Shaanxi supports our conclusion []. This is not surprising because land ownership in many societies is not merely an economic asset (e.g., as collateral to access credit or lease it out to access revenue) but also a marker of social status, identity, and cultural significance [,,]. In such contexts, land can influence non-farm opportunities in more nuanced ways. For instance, a land-owning household might possess social capital or respect, which can translate to better non-farm business relationships or partnerships []. Furthermore, most herder households in North Tibet have a steady stream of non-farm income from subsidies based on rangeland size []. Second, concerning the aspect of education, our finding coincides with the conclusions drawn by Wedgwood [], who claimed that the impact of education on household income improvement was not obvious or uncertain. Yet, previous studies have shown that a higher degree of education is associated with an increase in family income [,]. A plausible explanation might be that the educational level in North Tibet was much lower in comparison to other studies, failing to gain many potential benefits.
Importantly, results showed that NMW is the critical variable affecting non-farm income and total household income, aligning with prior empirical analyses [,]. This discovery may be attributed to one or multiple causes as described below. The first is that migrant workers, finding employment in urban or abroad, often send a portion of their earnings back home. These remittances can significantly bolster household income []. The second is that migration facilitates the diversification of household income sources, reducing dependence solely on agriculture. This can be especially beneficial in years with poor agricultural returns due to climatic events or market volatilities, providing a safety net for the household []. The last is that as more workers migrate, there might be a relative scarcity of labor in the rural areas, which could push up local agricultural wages. This can benefit those households that still have members engaged in farm activities []. In addition to NMW, HS is also positively correlated with non-farm income and family total income, implying that larger households have the potential to accumulate greater family wealth, hence reducing the likelihood of falling into poverty []. Furthermore, note that LA positively and significantly impacts household farm income, while concurrently exerting a negative influence on non-farm income simultaneously. This implies that growth in livestock units encourages herder households to engage in livestock industry rather than non-farm activities. However, the share of income from livestock (5.1%) in total household income remains very low (Figure 3). Thus, the great challenge is how to effectively increase livestock income and non-farm income, and finally household income.
Although this study evidenced the role of non-farm income and the key factors of household economies in a unique and remote pastoral highland, it has some limitations. First of all, in measuring income, the classification of various sources of non-farm and farm income is distinguished mainly depending on Haggblade et al. [] and Hogarth et al. []. It may vary, however, due to different reasons in comparable research papers. Secondly, we have to admit that our study does not contain every income source in a family. Other income from social interaction such as gift in analysis is not included because the related data is sparse or lacking. We do not consider the expenditure and thereby demonstrate the total net income as well. Thirdly, the method we used to assess the effect of non-farm income on inequality borrows from the World Bank [], which allows us to compare the Gini index of the farm income with that of the observed income (the total income including one or all non-farm income). Though this approach provides a direct measurement and comparison, non-farm income is regarded separately from farm income and viewed more as a transfer of income. Thus, these facts should be noted and well understood, especially when conducting comparative analysis. Even so, we believe that this work has significant implications for optimizing policies concerning the growth of rural income and the reduction of inequality in North Tibet.

5. Conclusions

In this study, semi-structured interviews were conducted face-to-face with 665 households over three years (2018–2020). The primary objective was to discern the significance of non-farm income within the household economies of North Tibet and to explore its socioeconomic determinants. The results indicated a minor role of farm income, which encompassed earnings from livestock and agricultural byproducts, in shaping household livelihoods. Conversely, non-farm income emerged as the predominant financial source, with subsidies from the central Chinese government constituting a significant portion of this income stream. Furthermore, our findings indicate that non-farm income serves as a mitigating factor for income disparities among herder households and alpine grassland types in North Tibet. Notably, compared with wage and business-related income, subsidies appear to have a more pronounced effect in mitigating income inequality. In addition, we discovered that NMW was the most influential variable in regulating non-farm income and total household income, whereas LA had the greatest effect on farm income. It is worth noting that the cumulative contributions of wages, business revenues, and livestock-derived income to overall earnings remain modest. As a consequence, we advocate for government-led interventions, emphasizing the enhancement of vocational training, skill development, and the fostering of an environment conducive to entrepreneurship and non-farm ventures. Simultaneously, a robust promotion of animal husbandry is essential, aiming to broaden the spectrum of livelihood opportunities and elevate the overall well-being of North Tibetan residents.
Understanding the dynamics of non-farm income may guide policymakers in formulating inclusive policies that address the needs and challenges faced by different segments of the rural population. Although this study systematically analyzed the household incomes and quantified individual proportion, there remains an imperative to delve deeper into the nuances of non-farm income dynamics. Prospective research endeavors might consider dissecting the heterogeneity of non-farm income streams across varied geographical and national contexts, probing into the gendered aspects of non-farm income, critically examining the sustainability and resilience of such activities in the long run, and assessing the divergent impacts of non-farm income on an array of social and economic outcomes.

Author Contributions

Y.Z.: investigation, data curation, methodology, visualization, writing—original draft, writing—review and editing. B.N.: investigation, methodology, writing—review and editing. X.Z.: conceptualization, methodology, funding acquisition, supervision. All authors have read and agreed to the published version of the manuscript.

Funding

This study was jointly supported by the Second Tibetan Plateau Scientific Expedition and Research (2019QZKK1002) and the Tibet Autonomous Region Science and Technology Planning Project (XZ202101ZD0005G and XZ202201ZY0016G).

Institutional Review Board Statement

The study was conducted according to the guidelines of the Declaration of Helsinki and approved by the Institutional Review Board (IRB) of the Institute of Geographic Sciences and Natural Resources Research (date of approval: 2019.7, 2020.7).

Data Availability Statement

Data are available upon request from the authors.

Acknowledgments

We sincerely pay tribute to the warm and wonderful land of the Tibetan Plateau, China. We appreciate the generous assistance provided by the local herders and undergraduates, together with the officials. Special thanks go to Jianshuang Wu from the Institute of Environmental and Sustainable Development in Agriculture, Chinese Academy of Agricultural Sciences (IESDA, CAAS), for his invaluable support with the questionnaire design and some raw data. We are grateful to the three anonymous reviewers for their constructive and insightful comments on an earlier draft of this paper.

Conflicts of Interest

The authors declare no conflicts of interest.

References

  1. Drall, A.; Mandal, S.K. Investigating the Existence of Entry Barriers in Rural Non-Farm Sector (RNFS) Employment in India: A Theoretical Modelling and an Empirical Analysis. World Dev. 2021, 141, 105381. [Google Scholar] [CrossRef]
  2. Guo, D.; Jiang, K.; Xu, C.; Yang, X. Industrial Clustering, Income and Inequality in Rural China. World Dev. 2022, 154, 105878. [Google Scholar] [CrossRef]
  3. Mohammed, K.; Batung, E.; Kansanga, M.; Nyantakyi-Frimpong, H.; Luginaah, I. Livelihood Diversification Strategies and Resilience to Climate Change in Semi-Arid Northern Ghana. Clim. Chang. 2021, 164, 53. [Google Scholar] [CrossRef]
  4. Davis, J.R.; Bezemer, D. Key Emerging and Conceptual Issues in the Development of the RNFE in Developing Countries and Transition Economies; Natural Resources Institute: Chatham, UK, 2003. [Google Scholar]
  5. Rantšo, T.A. The Role of the Non-Farm Sector in Rural Development in Lesotho. J. Mod. Afr. Stud. 2016, 54, 317–338. [Google Scholar] [CrossRef]
  6. Reardon, T. Using Evidence of Household Income Diversification to Inform Study of the Rural Nonfarm Labor Market in Africa. World Dev. 1997, 25, 735–747. [Google Scholar] [CrossRef]
  7. Brenton, P.; Chemutai, V.; Pangestu, M. Trade and Food Security in a Climate Change-Impacted World. Agric. Econ. 2022, 53, 580–591. [Google Scholar] [CrossRef]
  8. Ellis, F. Household Strategies and Rural Livelihood Diversification. J. Dev. Stud. 1998, 35, 1–38. [Google Scholar] [CrossRef]
  9. Gautam, Y.; Andersen, P. Rural Livelihood Diversification and Household Well-Being: Insights from Humla, Nepal. J. Rural. Stud. 2016, 44, 239–249. [Google Scholar] [CrossRef]
  10. Zou, H.; Li, S.; Zou, H.; Sun, W.; Niu, Y.; Yu, C. Livelihood Sustainability of Herder Households in North Tibet, China. Sustainability 2022, 14, 5166. [Google Scholar] [CrossRef]
  11. Matsuura, M.; Luh, Y.H.; Islam, A.H.M.S. Weather Shocks, Livelihood Diversification, and Household Food Security: Empirical Evidence from Rural Bangladesh. Agric. Econ. 2023, 54, 455–470. [Google Scholar] [CrossRef]
  12. Mishra, A.K.; El-Osta, H.S.; Morehart, M.J.; James, D.J.; Hopkins, J.W.; Income, Wealth, and the Economic Well-Being of Farm Households. Agricultural Economic Report No. 812. 2002. Available online: https://www.ers.usda.gov/webdocs/publications/41451/31361_aer812b.pdf?v=1818.3 (accessed on 17 May 2023).
  13. Haggblade, S.; Hazell, P.; Reardon, T. The Rural Non-Farm Economy: Prospects for Growth and Poverty Reduction. World Dev. 2010, 38, 1429–1441. [Google Scholar] [CrossRef]
  14. Ma, W.; Renwick, A.; Nie, P.; Tang, J.; Cai, R. Off-Farm Work, Smartphone Use and Household Income: Evidence from Rural China. China Econ. Rev. 2018, 52, 80–94. [Google Scholar] [CrossRef]
  15. Zereyesus, Y.A.; Embaye, W.T.; Tsiboe, F.; Amanor-Boadu, V. Implications of Non-Farm Work to Vulnerability to Food Poverty-Recent Evidence from Northern Ghana. World Dev. 2017, 91, 113–124. [Google Scholar] [CrossRef]
  16. Owusu, V.; Abdulai, A.; Abdul-Rahman, S. Non-Farm Work and Food Security among Farm Households in Northern Ghana. Food Policy 2011, 36, 108–118. [Google Scholar] [CrossRef]
  17. World Bank. The World Bank Annual Report 2019: Ending Poverty, Investing in Opportunity; World Bank: Washington, DC, USA, 2019. [Google Scholar]
  18. Giller, K.E.; Delaune, T.; Silva, J.V.; van Wijk, M.; Hammond, J.; Descheemaeker, K.; van de Ven, G.; Schut, A.G.T.; Taulya, G.; Chikowo, R.; et al. Small Farms and Development in Sub-Saharan Africa: Farming for Food, for Income or for Lack of Better Options? Food Secur. 2021, 13, 1431–1454. [Google Scholar] [CrossRef]
  19. Engel, E.; Rettberg, S.; Rauch, T.; Neubert, S.; Richter, D.; Minah, M.; Berg, C. Towards inclusive and sustainable rural transformation in Sub-Sahara Africa; Humboldt-Universität zu Berlin: Berlin, Germany, 2017. [Google Scholar]
  20. Janvry, A.d.; Sadoulet, E.; Zhu, N. The Role of Non-Farm Incomes in Reducing Rural Poverty and Inequality in China; UC Berkeley: Berkeley, CA, USA, 2005. [Google Scholar]
  21. Holden, S.; Shiferaw, B.; Pender, J. Non-Farm Income, Household Welfare, and Sustainable Land Management in a Less-Favoured Area in the Ethiopian Highlands. Food Policy 2004, 29, 369–392. [Google Scholar] [CrossRef]
  22. Wang, J.; Chang, H.; Long, J. Reducing Rural Income Inequality and Its Spatial Convergence in China during the Past Two Decades. Habitat Int. 2022, 130, 102694. [Google Scholar] [CrossRef]
  23. Barrett, C.B.; Reardon, T.; Webb, P. Nonfarm Income Diversification and Household Livelihood Strategies in Rural Africa: Concepts, Dynamics, and Policy Implications. Food Policy 2001, 26, 315–331. [Google Scholar] [CrossRef]
  24. Tang, J.; Xu, Y.; Ma, W.; Gao, S. Does Participation in Poverty Alleviation Programmes Increase Subjective Well-Being? Results from a Survey of Rural Residents in Shanxi, China. Habitat Int. 2021, 118, 102455. [Google Scholar] [CrossRef]
  25. Li, C.; Gibson, J. Rising Regional Inequality in China: Fact or Artifact? World Dev. 2013, 47, 16–29. [Google Scholar] [CrossRef]
  26. Han, W.; Wei, Y.; Cai, J.; Yu, Y.; Chen, F. Rural nonfarm sector and rural residents’ income research in China. An empirical study on the township and village enterprises after ownership reform (2000–2013). J. Rural. Stud. 2021, 82, 161–175. [Google Scholar] [CrossRef]
  27. Zhu, N.; Luo, X. The Impact of Migration on Rural Poverty and Inequality: A Case Study in China. Agric. Econ. 2010, 41, 191–204. [Google Scholar] [CrossRef]
  28. Senadza, B. Does Non-Farm Income Improve or Worsen Income Inequality? Evidence from Rural Ghana. Afr. Rev. Econ. Financ. 2011, 2, 104–121. [Google Scholar]
  29. Yang, Y.; de Sherbinin, A.; Liu, Y. China’s Poverty Alleviation Resettlement: Progress, Problems and Solutions. Habitat Int. 2020, 98, 102135. [Google Scholar] [CrossRef]
  30. Janvry, A.; Sadoulet, E. Income Strategies among Rural Households in Mexico: The Role of Off-Farm Activities. World Dev 2001. [CrossRef]
  31. Olugbire, O.O.; Obafunsho, O.E.; Olarewaju, T.O.; Kolade, R.I.; Odedira, F.A.; Orumwense, L.A. Composition and Determinants of Rural Non-Farm Income Diversification in Nigeria. J. Agribus. Rural. Dev. 2020, 3, 279–288. [Google Scholar] [CrossRef]
  32. Hazell, P.; Poulton, C.; Wiggins, S.; Dorward, A. The Future of Small Farms: Trajectories and Policy Priorities. World Dev. 2010, 38, 1349–1361. [Google Scholar] [CrossRef]
  33. Adem, M.; Tadele, E.; Mossie, H.; Ayenalem, M.; Yildiz, F. Income Diversification and Food Security Situation in Ethiopia: A Review Study. Cogent Food Agric. 2018, 4, 1513354. [Google Scholar] [CrossRef]
  34. Tadele, E. Land and Heterogenous Constraints Nexus Income Diversification Strategies in Ethiopia: Systematic Review. Agric. Food Secur. 2021, 10, 37. [Google Scholar] [CrossRef]
  35. Zhang, X.; He, Y.; Shen, Z.; Wang, J.; Yu, C.; Zhang, Y.; Shi, P.; Fu, G.; Zhu, J. Frontier of the Ecological Construction Support the Sustainable Development in Tibet Autonomous Region. Bull. Chin. Acad. Sci. 2015, 30, 306–312. (In Chinese) [Google Scholar]
  36. Lusseau, D.; Mancini, F. Income-Based Variation in Sustainable Development Goal Interaction Networks. Nat. Sustain. 2019, 2, 242–247. [Google Scholar] [CrossRef]
  37. Li, T.; Long, H.; Tu, S.; Wang, Y. Analysis of Income Inequality Based on Income Mobility for Poverty Alleviation in Rural China. Sustainability 2015, 7, 16362–16378. [Google Scholar] [CrossRef]
  38. Zhu, J.; Pan, Y.; Zhao, Z.; Li, Z.; Wu, J. The Impacts of Relocation on the Livelihoods among Different Agro-Pastoralist Groups in an Immigrated Village in Tibet. J. Resour. Ecol. 2022, 13, 888–896. [Google Scholar]
  39. Fang, Y.; Fan, J.; Shen, M.; Song, M. Sensitivity of Livelihood Strategy to Livelihood Capital in Mountain Areas: Empirical Analysis Based on Different Settlements in the Upper Reaches of the Minjiang River, China. Ecol. Indic. 2014, 38, 225–235. [Google Scholar] [CrossRef]
  40. Zong, N.; Song, M.; Zhao, G.; Shi, P. Nitrogen Economy of Alpine Plants on the North Tibetan Plateau: Nitrogen Conservation by Resorption Rather Than Open Sources through Biological Symbiotic Fixation. Ecol. Evol. 2020, 10, 2051–2061. [Google Scholar] [CrossRef]
  41. Bafitlhile, T.M.; Liu, Y. Temperature Contributes More Than Precipitation to the Greening of the Tibetan Plateau During 1982–2019. Theor. Appl. Climatol. 2022, 147, 1471–1488. [Google Scholar] [CrossRef]
  42. Xu, Z.; Wei, Z.; Jin, M. Causes of Domestic Livestock–Wild Herbivore Conflicts in the Alpine Ecosystem of the Chang Tang Plateau. Environ. Dev. 2020, 34, 100495. [Google Scholar] [CrossRef]
  43. Zhang, X.; Du, X.; Zhu, Z. Effects of Precipitation and Temperature on Precipitation Use Efficiency of Alpine Grassland in Northern Tibet, China. Sci. Rep. 2020, 10, 20309. [Google Scholar] [CrossRef]
  44. Wu, J.; Li, M.; Fiedler, S.; Ma, W.; Wang, X.; Zhang, X.; Tietjen, B. Impacts of Grazing Exclusion on Productivity Partitioning Along Regional Plant Diversity and Climatic Gradients in Tibetan Alpine Grasslands. J. Environ. Manag. 2019, 231, 635–645. [Google Scholar] [CrossRef]
  45. Li, M.; Wu, J.; Feng, Y.; Niu, B.; He, Y.; Zhang, X. Climate Variability Rather Than Livestock Grazing Dominates Changes in Alpine Grassland Productivity across Tibet. Front. Ecol. Evol. 2021, 9, 631024. [Google Scholar] [CrossRef]
  46. Goldstein, M.C.; Beall, C.M. Nomads of Western Tibet: The Survival of a Way of Life; University of California Press: Berkeley, CA, USA, 1990. [Google Scholar]
  47. Hogarth, N.J.; Belcher, B.; Campbell, B.; Stacey, N. The Role of Forest-Related Income in Household Economies and Rural Livelihoods in the Border-Region of Southern China. World Dev. 2013, 43, 111–123. [Google Scholar] [CrossRef]
  48. Xie, Y.; Zhou, X. Income Inequality in Today’s China. Proc. Natl. Acad. Sci. USA 2014, 111, 6928–6933. [Google Scholar] [CrossRef] [PubMed]
  49. Wu, S.; Zheng, X.; Wei, C. Measurement of Inequality Using Household Energy Consumption Data in Rural China. Nat. Energy 2017, 2, 795–803. [Google Scholar] [CrossRef]
  50. Zhang, Q.; Bilsborrow, R.E.; Song, C.; Tao, S.; Huang, Q. Rural Household Income Distribution and Inequality in China: Effects of Payments for Ecosystem Services Policies and Other Factors. Ecol. Econ. 2019, 160, 114–127. [Google Scholar] [CrossRef] [PubMed]
  51. R Core Team. R: A Language and Environment for Statistical Computing; R Foundation for Statistical Computing: Vienna, Austria, 2020; Available online: https://www.R-Project.Org/ (accessed on 2 November 2020).
  52. Li, S.; Dong, Y.; Zhang, L.; Liu, C. Off-Farm Employment and Poverty Alleviation in Rural China. J. Integr. Agric. 2021, 20, 943–952. [Google Scholar] [CrossRef]
  53. Iqbal, M.A.; Rizwan, M.; Abbas, A.; Makhdum, M.S.A.; Kousar, R.; Nazam, M.; Samie, A.; Nadeem, N. A Quest for Livelihood Sustainability? Patterns, Motives and Determinants of Non-Farm Income Diversification among Agricultural Households in Punjab, Pakistan. Sustainability 2021, 13, 9084. [Google Scholar] [CrossRef]
  54. Davis, B.; Di Giuseppe, S.; Zezza, A. Are African Households (Not) Leaving Agriculture? Patterns of Households’ Income Sources in Rural Sub-Saharan Africa. Food Policy 2017, 67, 153–174. [Google Scholar] [CrossRef] [PubMed]
  55. Yin, R.; Liu, C.; Zhao, M.; Yao, S.; Liu, H. The Implementation and Impacts of China’s Largest Payment for Ecosystem Services Program as Revealed by Longitudinal Household Data. Land Use Pol. 2014, 40, 45–55. [Google Scholar] [CrossRef]
  56. Huang, J.; Shi, P. Regional Rural and Structural Transformations and Farmer’s Income in the Past Four decades in China. China Agric. Econ. Rev. 2021, 13, 278–301. [Google Scholar] [CrossRef]
  57. Hazell, P.; Rahman, A. New Directions for Smallholder Agriculture; OUP Oxford: Oxford, UK, 2014. [Google Scholar]
  58. Lanjouw, P. Ecuador’s Rural Nonfarm Sector as a Route out of Poverty; Policy Research Working Paper, 1094; The World Bank: Washington, DC, USA, 1998; pp. 190–204. [Google Scholar]
  59. Reardon, T.; Taylor, J.E.; Stamoulis, K.; Lanjouw, P.; Balisacan, A. Effects of Non-Farm Employment on Rural Income Inequality in Developing Countries: An Investment Perspective. J. Ofagricultura1 Econ. 2000, 51, 266–288. [Google Scholar] [CrossRef]
  60. World Bank. Nonfarm Activity and Rural Income Inequality: A Case Study of Two Provinces in China; World Bank Policy Research Working Paper 3811; The World Bank: Washington, DC, USA, 2006. [Google Scholar]
  61. Lanjouw, J.O.; Lanjouw, P. The Rural Non-Farm Sector: Issues and Evidence from Developing Countries. Agric. Econ. 2001, 26, 1–23. [Google Scholar]
  62. Haggblade, S.; Hazell, P.B.R.; Reardon, T. Transforming the Rural Nonfarm Economy: Johns Hopkins University Press: Baltimore, MD, USA, 2007.
  63. Berry, S. No Condition Is Permanent: The Social Dynamics of Agrarian Change in Sub-Saharan Africa; The University of Wisconsin Press: Madison, WI, USA, 1993. [Google Scholar]
  64. Carter, M.R.; Olinto, P. Getting Institutions “Right” for Whom? Credit Constraints and the Impact of Property Rights on the Quantity and Composition of Investment. Am. J. Agric. Econ. 2003, 85, 173–186. [Google Scholar] [CrossRef]
  65. Deininger, K.; Jin, S. Tenure Security and Land-Related Investment: Evidence from Ethiopia. Eur. Econ. Rev. 2006, 50, 1245–1277. [Google Scholar] [CrossRef]
  66. Yu, C.; Zhang, X.; Zhang, J.; Li, S.; Song, C.; Fang, Y.; Wurst, S.; Wu, J. Grazing Exclusion to Recover Degraded Alpine Pastures Needs Scientific Assessments across the Northern Tibetan Plateau. Sustainability 2016, 8, 1162. [Google Scholar] [CrossRef]
  67. Wedgwood, R. Education and Poverty Reduction in Tanzania. Int. J. Educ. Dev. 2007, 27, 383–396. [Google Scholar] [CrossRef]
  68. Wang, P.; Yan, J.; Hua, X.; Yang, L. Determinants of Livelihood Choice and Implications for Targeted Poverty Reduction Policies: A Case Study in the YNL River Region, Tibetan Plateau. Ecol. Indic. 2019, 101, 1055–1063. [Google Scholar] [CrossRef]
  69. Adams, R.H.; Page, J. Do International Migration and Remittances Reduce Poverty in Developing Countries? World Dev. 2005, 33, 1645–1669. [Google Scholar] [CrossRef]
  70. Stark, O.; Bloom, D.E. The New Economics of Labor Migration. Am. Econ. Rev. 1985, 75, 173–178. [Google Scholar]
  71. Lucas, R.E.B.; Stark, O. Motivations to Remit: Evidence from Botswana. J. Political Econ. 1985, 93, 901–918. [Google Scholar]
Disclaimer/Publisher’s Note: The statements, opinions and data contained in all publications are solely those of the individual author(s) and contributor(s) and not of MDPI and/or the editor(s). MDPI and/or the editor(s) disclaim responsibility for any injury to people or property resulting from any ideas, methods, instructions or products referred to in the content.

Article Metrics

Citations

Article Access Statistics

Multiple requests from the same IP address are counted as one view.