Optimizing Energy Arbitrage: Benchmark Models for LFP Battery Dynamic Activation Costs in Reactive Balancing Market
Abstract
1. Introduction
2. Literature Review
2.1. Reactive Energy Balancing
2.2. Imbalance Settlement and Imbalance Tariff
3. Methodology
3.1. Imbalance Data
3.2. Battery Model
3.2.1. Electrical Model
- An equivalent series resistance (), representing the instantaneous voltage drop when the battery is operational under a load.
- An RC sub-circuit, constituted of a resistor () and a capacitor () in parallel, which models the transient electrical responses of the battery during charge and discharge cycles.
3.2.2. Thermal Model
3.2.3. Aging Model
3.3. Simulation Framework
3.4. Technical Performance Indicators
3.4.1. Round-Trip Energy Efficiency (%)
3.4.2. Degradation Loss (%)
3.4.3. Energy Throughput (MWh)
- represents the voltage across the battery terminals, which varies with temperature, state of charge (SoC), depth of discharge (DoD), and other factors such as degradation and efficiency.
- and are the time-dependent current flows during battery discharge and charge, respectively.
- signifies the operational lifespan across which the energy throughput is assessed.
3.4.4. Equivalent Full Cycles (EFCs)
- represents the integral of the absolute current over time, providing the total charge in Coulombs.
- denotes the nominal capacity of the battery in Ampere-hours (Ah).
- The factor of 3600 converts Ampere-hours to Coulombs, since 1 Ah is equivalent to 3600 C.
- The factor of 2 normalizes the integrated charge to full cycles, reflecting that each cycle includes a full charge followed by a full discharge.
3.4.5. Operational Lifetime (Years)
4. Cost Models and Results
4.1. Lifetime Cost Model and Results
- N is the number of years encompassing the lifetime of the system.
- r is the discount rate, which adjusts the future costs and benefits to their present value.
- is the quantity of energy discharged in year n.
4.2. Cost Benchmark Models and Results
- represents the observed target outcome for the ith observation.
- denotes the value of the jth predictor for the ith observation.
- is the coefficient for the jth predictor.
- n is the number of observations.
- p is the number of predictors.
- is the regularization parameter, a non-negative hyperparameter that controls the strength of the penalty, impacting the model’s regularization degree.
4.3. Temporal Cross-Validation of the Benchmark Models
- denotes the model fitted on all data excluding the nth year.
- represents the dataset from year m.
- ⋃ denotes the union of the datasets used for training.
- is the validation score of the model using the nth year data as the test set.
4.4. Charging Cost Benchmark Model and Results
- is the total degradation (cyc and cal) loss in %.
- is the energy/power ratio of the storage in hours.
- is the discharge price in EUR/MWh.
- is the absolute power capacity in MW.
- The significant negative coefficient for and its squared term highlights the nonlinear and substantial effect of degradation loss on increasing , accentuating the economic impact of degradation on the efficiency and cost-effectiveness of energy storage.
- The positive coefficient associated with suggests that higher energy/power ratios, indicative of prolonged storage capabilities, lead to increased charging costs, reflecting potential capital and operational cost implications.
- Interactions between and other variables such as and illustrate the intertwined nature of charging costs with storage degradation, efficiency, and discharging costs, underscoring the complexity of optimizing energy-storage systems.
- The presence of both linear and nonlinear relationships underscores the intricate dynamics between charging cost and the considered variables, necessitating advanced optimization strategies for system design and operational management to enhance cost-efficiency.
4.5. Discharging Cost Benchmark Model and Results
- represents total Degradation loss in %.
- denotes EPR in hours.
- is the charging cost in EUR/MWh.
- signifies the absolute value of the power capacity in MW.
5. Discussions
5.1. Interconnected Impact of Degradation on Charge and Discharge Costs Benchmark
5.2. Interdependencies between Charging and Discharging Costs
5.2.1. Impact of Charging Cost on Discharge Cost Benchmark
5.2.2. Influence of Discharge Cost on Charging Cost Benchmark
5.2.3. Synergistic Observations
5.3. Influence of Power Capacity on the Discharge Cost and Charge Cost Benchmark
5.3.1. Impact of Power Capacity on Discharge Cost
5.3.2. Influence of Power Capacity on Charging Cost
5.3.3. Synergistic Observations
6. Conclusions
Author Contributions
Funding
Data Availability Statement
Conflicts of Interest
Abbreviations
| BRP | balance-responsible party |
| BESS | battery energy-storage system |
| LFP | lithium-iron phosphate |
| DAM | day-ahead market |
| IDM | intraday market |
| BM | balancing market |
| TSO | transmission system operator |
| CAPEX | capital expenditures |
| OPEX | operational expenditures |
| EV | electric vehicle |
| PV | photovoltaic |
| PEV | plug-in electric vehicle |
| DNV | Det Norske Veritas |
| EU EBG | European Balancing Guidelines |
| EPR | energy/power ratio |
| SoC | state of charge |
| SoH | state of health |
| SI | system imbalance |
| DoD | depth of discharge |
| C-rate | capacity rate |
| EFC | equivalent full cycle |
| OCV | open circuit voltage |
| O&M | operation and maintenance |
| RMSE | root mean square error |
| MAE | mean absolute error |
| probability distribution function | |
| LCOS | levelized cost of storage |
| LCOE | levelized cost of electricity |
Appendix A. Model Validation
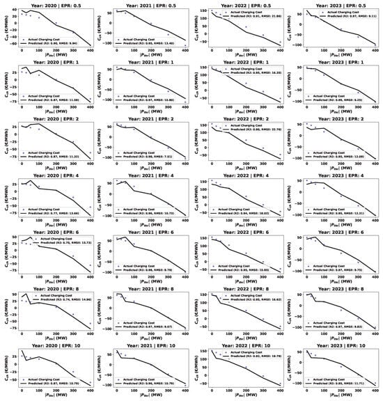
Appendix A.1. Charge Cost Benchmark Model Validation

Appendix A.2. Discharge Cost Benchmark Model Validation

Appendix B. Lifetime Cost Model Component Descriptions
Appendix B.1. Investment Cost

Appendix B.2. Operation and Maintenance Costs

Appendix B.3. Charging Cost
- is the battery voltage at time t.
- is the charging current at time t.
- is the electricity price for charging at time t.
- is the operational lifetime of the storage system.


Appendix B.4. Replacement Cost
- R is the replacement frequency, calculated based on the operational life of the battery () and the project’s total duration.
- denotes the floor of R, indicating the number of full replacements.
- is the percentage of annual reduction in battery installation costs.
- is the initial investment cost of the battery.
- r is the discount rate applied to account for the time value of money.

Appendix B.5. End-of-Life Cost
Appendix B.6. Discharged Electricity
References
- Elia. Day-Ahead Balance Obligation of the Balance-Responsible Parties. December 2020. Available online: https://www.elia.be/-/media/project/elia/elia-site/public-consultations/2021/20210105_final-study-report.pdf (accessed on 19 December 2023).
- Hu, Y.; Armada, M.; Sánchez, M.J. Potential utilization of battery energy-storage systems (BESS) in the major European electricity markets. Appl. Energy 2022, 322, 119512. [Google Scholar] [CrossRef]
- Toquica, D.; De Oliveira-De Jesus, P.M.; Cadena, A.I. Power market equilibrium considering an EV storage aggregator exposed to marginal prices—A bilevel optimization approach. J. Energy Storage 2020, 28, 101267. [Google Scholar] [CrossRef]
- Hassan, A.S.; Cipcigan, L.; Jenkins, N. Optimal battery storage operation for PV systems with tariff incentives. Appl. Energy 2017, 203, 422–441. [Google Scholar] [CrossRef]
- Yang, H.; Li, Q.; Wang, T.; Qiu, Y.; Chen, W. A dual mode distributed economic control for a fuel cell photovoltaic-battery hybrid power generation system based on marginal cost. Int. J. Hydrogen Energy 2019, 44, 25229–25239. [Google Scholar] [CrossRef]
- Nottrott, A.; Kleissl, J.; Washom, B. Energy dispatch schedule optimization and cost benefit analysis for grid-connected, photovoltaic-battery storage systems. Renew. Energy 2013, 55, 230–240. [Google Scholar] [CrossRef]
- Zhang, Y.; Li, Q.; Xu, Y.; Yao, L.; Cheng, F.; Liu, Y. Marginal utility of battery energy storage capacity for power system economic dispatch. Energy Rep. 2022, 8, 397–407. [Google Scholar] [CrossRef]
- Ma, Z.; Zou, S.; Liu, X. A Distributed Charging Coordination for Large-Scale Plug-In Electric Vehicles Considering Battery Degradation Cost. IEEE Trans. Control Syst. Technol. 2015, 23, 2044–2052. [Google Scholar] [CrossRef]
- Zhang, Y.; Liu, Z.; Chen, Z. A Marginal Cost Consensus Scheme with Reset Mechanism for Distributed Economic Dispatch in BESSs. IEEE Trans. Smart Grid 2024, 15, 2898–2908. [Google Scholar] [CrossRef]
- Alt, J.T.; Anderson, M.D. A Method of Determining the Dynamic Operating Cost Benefits of energy-storage systems for Utility Applications. IEEE Trans. Power Syst. 1997, 12, 1112–1119. [Google Scholar] [CrossRef]
- Martins, J.; Miles, J. A techno-economic assessment of battery business models in the UK electricity market. Energy Policy 2021, 148, 111938. [Google Scholar] [CrossRef]
- Shinde, P.; Hesamzadeh, M.R.; Date, P.; Bunn, D.W. Optimal Dispatch in a Balancing Market with Intermittent Renewable Generation. IEEE Trans. Power Syst. 2021, 36, 865–878. [Google Scholar] [CrossRef]
- Koller, M.; Borsche, T.; Ulbig, A.; Andersson, G. Defining a Degradation Cost Function for Optimal Control of a Battery energy-storage system. In Proceedings of the 2013 IEEE Grenoble Conference, Grenoble, France, 16–20 June 2013. [Google Scholar]
- Takagi, M.; Iwafune, Y.; Yamaji, K.; Yamamoto, H.; Okano, K.; Hiwatari, R.; Ikeya, T. Economic Value of PV Energy Storage Using Batteries of Battery-Switch Stations. IEEE Trans. Sustain. Energy 2013, 4, 164–173. [Google Scholar] [CrossRef]
- Zhu, R.; Das, K.; Sørensen, P.E.; Hansen, A.D. Optimal Participation of Co-Located Wind–Battery Plants in Sequential Electricity Markets. Energies 2023, 16, 5597. [Google Scholar] [CrossRef]
- Xu, B.; Zhao, J.; Zheng, T.; Litvinov, E.; Kirschen, D.S. Factoring the Cycle Aging Cost of Batteries Participating in Electricity Markets. IEEE Trans. Power Syst. 2018, 33, 2248–2259. [Google Scholar] [CrossRef]
- Zhang, L.; Yu, Y.; Li, B.; Qian, X.; Zhang, S.; Wang, X.; Zhang, X.; Chen, M. Improved Cycle Aging Cost Model for Battery energy-storage systems Considering More Accurate Battery Life Degradation. IEEE Access 2022, 10, 297–307. [Google Scholar] [CrossRef]
- Schimpe, M.; Truong, C.N.; Naumann, M.; Jossen, A.; Hesse, H.C.; Reniers, J.M.; Howey, D.A. Marginal Costs of Battery System Operation in Energy Arbitrage Based on Energy Losses and Cell Degradation. In Proceedings of the 2018 IEEE International Conference on Environment and Electrical Engineering and 2018 IEEE Industrial and Commercial Power Systems Europe (EEEIC/I&CPS Europe), Palermo, Italy, 12–15 June 2018; pp. 1–5. [Google Scholar] [CrossRef]
- Szilassy, P.Á.; Jenőfi, B.; Földes, D. Marginal energy consumption cost factors of battery electric buses. In Proceedings of the 2022 Smart City Symposium Prague (SCSP), Prague, Czech Republic, 26–27 May 2022; pp. 1–6. [Google Scholar] [CrossRef]
- Tushar, M.H.K.; Assi, C. Optimal energy management and marginal-cost electricity pricing in microgrid networks. IEEE Trans. Ind. Inform. 2017, 13, 3286–3297. [Google Scholar] [CrossRef]
- Engels, J. Integration of Flexibility from Battery Storage in the Electricity Market. 2020. Available online: https://api.semanticscholar.org/CorpusID:216376346 (accessed on 2 December 2023).
- He, G.; Kar, S.; Mohammadi, J.; Moutis, P.; Whitacre, J.F. Power System Dispatch with Marginal Degradation Cost of Battery Storage. IEEE Trans. Power Syst. 2021, 36, 3552–3562. [Google Scholar] [CrossRef]
- Comello, S.; Reichelstein, S. The emergence of cost-effective battery storage. Nat. Commun. 2019, 10, 2038. [Google Scholar] [CrossRef]
- Duggal, I.; Venkatesh, B. Short-Term Scheduling of Thermal Generators and Battery Storage with Depth of Discharge-Based Cost Model. IEEE Trans. Power Syst. 2015, 30, 2110–2118. [Google Scholar] [CrossRef]
- Invest-NL and DNV. Battery Energy Storage Systems in the Netherlands: Market Opportunities & Financing Challenges. Invest-NL. 2021. Available online: https://www.dnv.com/publications/battery-energy-storage-systems-in-the-netherlands-203632 (accessed on 18 December 2023).
- European Commission. Commission Regulation (EU) 2017/2195 of 23 November 2017 establishing a guideline on electricity balancing (Text with EEA relevance). Off. J. Eur. Union 2017, L 312/6. Available online: https://eur-lex.europa.eu/legal-content/EN/TXT/PDF/?uri=CELEX:02017R2195-20220619 (accessed on 19 December 2023).
- Invest-NL and DNV. Battery Energy-Storage Systems in the Netherlands: Market Opportunities & Financing Challenges. 2021. Available online: https://www.invest-nl.nl/media/attachment/id/1465 (accessed on 18 December 2023).
- Energy Activated Volumes and Prices. Available online: https://www.elia.be/en/grid-data/balancing/energy-activated-volumes-and-prices-1-min?csrt=6416723377057158927 (accessed on 12 January 2024).
- Schmidt, O.; Staffell, I. Monetizing Energy Storage: A Toolkit to Assess Future Cost and Value; Oxford University Press: Oxford, UK, 2023. [Google Scholar]
- Yang, Y.; Ye, Y.; Cheng, Z.; Ruan, G.; Lu, Q.; Wang, X.; Zhong, H. Life cycle economic viability analysis of battery storage in electricity market. J. Energy Storage 2023, 70, 107800. [Google Scholar] [CrossRef]
- IEA. Projected Costs of Generating Electricity 2020; Licence: CC BY 4.0; International Energy Agency: Paris, France, 2020; Available online: https://www.iea.org/reports/projected-costs-of-generating-electricity-2020 (accessed on 14 December 2023).
- Viswanathan, V.; Mongird, K.; Franks, R.; Li, X.; Sprenkle, V.; Baxter, R. 2022 Grid Energy Storage Technology Cost and Performance Assessment; Technical Report, Publication No. PNNL-33283; Pacific Northwest National Laboratory: Richland, WA, USA, 2022.
- Cole, W.; Frazier, A.W.; Augustine, C. Cost Projections for Utility-Scale Battery Storage: 2023 Update; NREL/TP-6A40-85332; National Renewable Energy Laboratory: Golden, CO, USA, 2023. Available online: https://www.nrel.gov/docs/fy23osti/85332.pdf (accessed on 26 October 2023).
- Tariffs for ‘Public Service Obligations’ and ‘Taxes and Levies’ for the Regulatory Period 2020–2023, Tariffs Applicable since the 1st of January 2023. Available online: https://www.elia.be/-/media/project/elia/elia-site/customers/tarrifs-and-invoicing/20231206_tariffs-pso_levy_2024.pdf (accessed on 9 December 2023).
- Xu, Y.; Pei, J.; Cui, L.; Liu, P.; Ma, T. The Levelized Cost of Storage of Electrochemical Energy Storage Technologies in China. Front. Energy Res. 2022, 10, 873800. [Google Scholar] [CrossRef]
- National Renewable Energy Laboratory (NREL). Utility-Scale Battery Storage in the 2023 Annual Technology Baseline (ATB). 2023. Available online: https://atb.nrel.gov/electricity/2023/utility-scale_battery_storage (accessed on 30 January 2024).



















| Parameter | Value |
|---|---|
| Cell Voltage (Unom) | 3.2 V |
| Cell Voltage (Umin) | 2.8 V |
| Cell Voltage (Umax) | 3.65 V |
| Cell Capacity (Qini) | 50 Ah |
| State of Charge (SoCmin) | 25% |
| State of Charge (SoCmax) | 75% |
| State of Charge (SoCini) | 56.18% |
| State of Health (SoHeol) | 80% |
| Energy/Power Ratio (EPR) | 0.5, 1, 2, 4, 6, 8, 10 |
Disclaimer/Publisher’s Note: The statements, opinions and data contained in all publications are solely those of the individual author(s) and contributor(s) and not of MDPI and/or the editor(s). MDPI and/or the editor(s) disclaim responsibility for any injury to people or property resulting from any ideas, methods, instructions or products referred to in the content. |
© 2024 by the authors. Licensee MDPI, Basel, Switzerland. This article is an open access article distributed under the terms and conditions of the Creative Commons Attribution (CC BY) license (https://creativecommons.org/licenses/by/4.0/).
Share and Cite
Ezennaya, S.O.; Kowal, J. Optimizing Energy Arbitrage: Benchmark Models for LFP Battery Dynamic Activation Costs in Reactive Balancing Market. Sustainability 2024, 16, 3645. https://doi.org/10.3390/su16093645
Ezennaya SO, Kowal J. Optimizing Energy Arbitrage: Benchmark Models for LFP Battery Dynamic Activation Costs in Reactive Balancing Market. Sustainability. 2024; 16(9):3645. https://doi.org/10.3390/su16093645
Chicago/Turabian StyleEzennaya, Samuel O., and Julia Kowal. 2024. "Optimizing Energy Arbitrage: Benchmark Models for LFP Battery Dynamic Activation Costs in Reactive Balancing Market" Sustainability 16, no. 9: 3645. https://doi.org/10.3390/su16093645
APA StyleEzennaya, S. O., & Kowal, J. (2024). Optimizing Energy Arbitrage: Benchmark Models for LFP Battery Dynamic Activation Costs in Reactive Balancing Market. Sustainability, 16(9), 3645. https://doi.org/10.3390/su16093645

