Can the Circular Economy Demonstration Policy Enhance the Green Innovation Level? A Quasi-Natural Experiment from China
Abstract
1. Introduction
2. Theoretical Analysis and Research Hypothesis
3. Materials and Methods
3.1. Baseline Model
3.2. Mechanism Testing Model
3.3. Variable Measurement
3.3.1. Explained Variables
3.3.2. Key Explanatory Variables
3.3.3. Control Variables
3.4. Data Sources and Descriptive Statistics
4. Empirical Results
4.1. Baseline Regressive Results
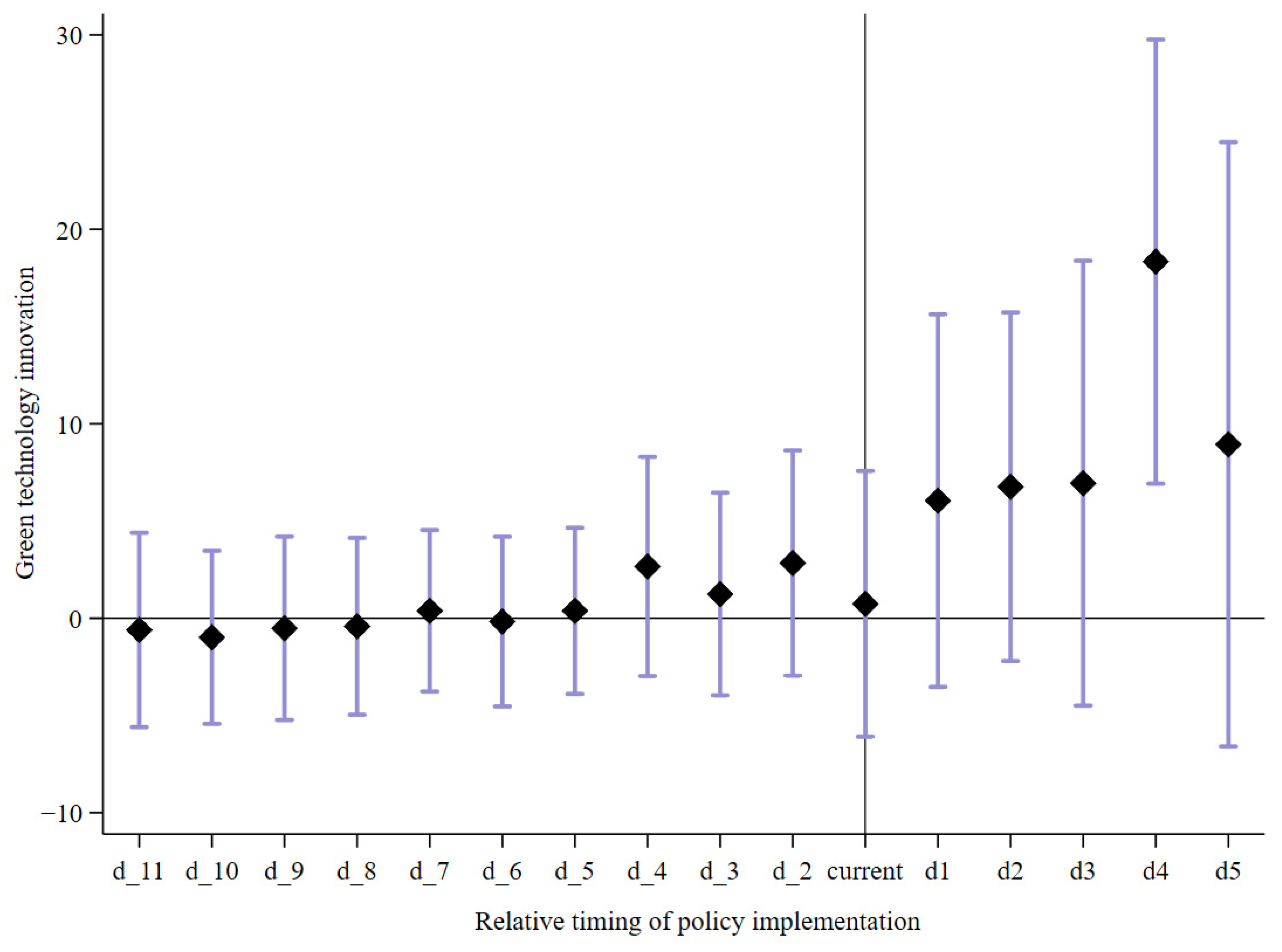
4.2. Common Trend Test and Dynamic Test
4.3. Robustness Test
4.4. Mechanism Analysis
5. Further Analysis: Heterogeneity Test
5.1. Heterogeneity of Urban Location
5.2. Heterogeneity of Urban Administrative Levels
6. Conclusions and Policy Implications
Author Contributions
Funding
Institutional Review Board Statement
Informed Consent Statement
Data Availability Statement
Conflicts of Interest
References
- Cuerva, M.C.; Triguero-Cano, Á.; Córcoles, D. Drivers of green and non-green innovation: Empirical evidence in Low-Tech SMEs. J. Clean. Prod. 2014, 68, 104–113. [Google Scholar] [CrossRef]
- de Medeiros, J.F.; Ribeiro, J.L.D.; Cortimiglia, M.N. Success factors for environmentally sustainable product innovation: A systematic literature review. J. Clean. Prod. 2014, 65, 76–86. [Google Scholar] [CrossRef]
- Bi, K.; Huang, P.; Ye, H. Risk identification, evaluation and response of low-carbon technological innovation under the global value chain: A case of the Chinese manufacturing industry. Technol. Forecast. Soc. Chang. 2015, 100, 238–248. [Google Scholar] [CrossRef]
- Lieder, M.; Rashid, A. Towards circular economy implementation: A comprehensive review in context of manufacturing industry. J. Clean. Prod. 2016, 115, 36–51. [Google Scholar] [CrossRef]
- Geissdoerfer, M.; Savaget, P.; Bocken, N.M.P.; Hultink, E.J. The circular economy—A new sustainability paradigm? J. Clean. Prod. 2017, 143, 757–768. [Google Scholar] [CrossRef]
- Kirchherr, J.; Reike, D.; Hekkert, M. Conceptualizing the circular economy: An analysis of 114 definitions. Resour. Conserv. Recycl. 2017, 127, 221–232. [Google Scholar] [CrossRef]
- Korhonen, J.; Honkasalo, A.; Seppälä, J. Circular Economy: The Concept and its Limitations. Ecol. Econ. J. Int. Soc. Ecol. Econ. 2018, 143, 37–46. [Google Scholar] [CrossRef]
- Korhonen, J.; Nuur, C.; Feldmann, A.; Birkie, S.E. Circular economy as an essentially contested concept. J. Clean. Prod. 2018, 175, 544–552. [Google Scholar] [CrossRef]
- Kristensen, H.S.; Mosgaard, M.A. A review of micro level indicators for a circular economy—Moving away from the three dimensions of sustainability? J. Clean. Prod. 2020, 243, 118531. [Google Scholar] [CrossRef]
- Kirchherr, J.; Yang, N.-H.N.; Schulze-Spüntrup, F.; Heerink, M.J.; Hartley, K. Conceptualizing the circular economy (revisited): An analysis of 221 definitions. Resour. Conserv. Recycl. 2023, 194, 107001. [Google Scholar] [CrossRef]
- Ghisellini, P.; Cialani, C.; Ulgiati, S. A review on circular economy: The expected transition to a balanced interplay of environmental and economic systems. J. Clean. Prod. 2016, 114, 11–32. [Google Scholar] [CrossRef]
- Tavera Romero, C.A.; Castro, D.F.; Ortiz, J.H.; Khalaf, O.I.; Vargas, M.A. Synergy between circular economy and Industry 4.0: A literature review. Sustainability 2021, 13, 4331. [Google Scholar] [CrossRef]
- Harris, S.; Martin, M.; Diener, D. Circularity for circularity’s sake? Scoping review of assessment methods for environmental performance in the circular economy. Sustain. Prod. Consum. 2021, 26, 172–186. [Google Scholar] [CrossRef]
- Lieder, M.; Asif, F.M.A.; Rashid, A. Towards Circular Economy implementation: An agent-based simulation approach for business model changes. Auton. Agents Multi-Agent Syst. 2017, 31, 1377–1402. [Google Scholar] [CrossRef]
- Bralina, A. What are the perspectives of the circular economy in Kazakhstan? In Research Square; eLife Sciences Publications Ltd.: Cambridge, UK, 2023. [Google Scholar] [CrossRef]
- He, L.; Sopjani, L.; Laurenti, R. User participation dilemmas in the circular economy: An empirical study of Scandinavia’s largest peer-to-peer product sharing platform. Sustain. Prod. Consum. 2021, 27, 975–985. [Google Scholar] [CrossRef]
- Kirchherr, J.; Bauwens, T.; Ramos, T.B. Circular disruption: Concepts, enablers and ways ahead. Bus. Strategy Environ. 2023, 32, 1005–1009. [Google Scholar] [CrossRef]
- Blomsma, F.; Bauwens, T.; Weissbrod, I.; Kirchherr, J. The ‘need for speed’: Towards circular disruption—What it is, how to make it happen and how to know it’s happening. Bus. Strategy Environ. 2023, 32, 1010–1031. [Google Scholar] [CrossRef]
- Chauhan, C.; Parida, V.; Dhir, A. Linking circular economy and digitalisation technologies: A systematic literature review of past achievements and future promises. Technol. Forecast. Soc. Chang. 2022, 177, 121508. [Google Scholar] [CrossRef]
- Kristoffersen, E.; Blomsma, F.; Mikalef, P.; Li, J. The smart circular economy: A digital-enabled circular strategies framework for manufacturing companies. J. Bus. Res. 2020, 120, 241–261. [Google Scholar] [CrossRef]
- Neligan, A.; Baumgartner, R.J.; Geissdoerfer, M.; Schöggl, J.-P. Circular disruption: Digitalisation as a driver of circular economy business models. Bus. Strategy Environ. 2023, 32, 1175–1188. [Google Scholar] [CrossRef]
- Schiederig, T.; Tietze, F.; Herstatt, C. Green innovation in technology and innovation management—An exploratory literature review. R D Manag. 2012, 42, 180–192. [Google Scholar] [CrossRef]
- Karimi Takalo, S.; Sayyadi Tooranloo, H.; Parizi, Z.S. Green innovation: A systematic literature review. J. Clean. Prod. 2021, 279, 122474. [Google Scholar] [CrossRef]
- Kirikkaleli, D.; Adebayo, T.S. Political risk and environmental quality in Brazil: Role of green finance and green innovation. Int. J. Financ. Econ. 2022, 29, 1205–1218. [Google Scholar] [CrossRef]
- Weng, H.-H.; Chen, J.-S.; Chen, P.-C. Effects of green innovation on environmental and corporate performance: A stakeholder perspective. Sustainability 2015, 7, 4997–5026. [Google Scholar] [CrossRef]
- Yuan, B.; Cao, X. Do corporate social responsibility practices contribute to green innovation? The mediating role of green dynamic capability. Technol. Soc. 2022, 68, 101868. [Google Scholar] [CrossRef]
- Gramkow, C.; Anger-Kraavi, A. Could fiscal policies induce green innovation in developing countries? The case of Brazilian manufacturing sectors. Clim. Policy 2018, 18, 246–257. [Google Scholar] [CrossRef]
- Hu, S.; Liu, S. Do the coupling effects of environmental regulation and R&D subsidies work in the development of green innovation? Empirical evidence from China. Clean Technol. Environ. Policy 2019, 21, 1739–1749. [Google Scholar] [CrossRef]
- Liu, B.; Sun, Z.; Li, H. Can Carbon Trading policies promote regional green innovation efficiency? Empirical data from pilot regions in China. Sustainability 2021, 13, 2891. [Google Scholar] [CrossRef]
- Peng, B.; Zheng, C.; Wei, G.; Elahi, E. The cultivation mechanism of green technology innovation in manufacturing industry: From the perspective of ecological niche. J. Clean. Prod. 2020, 252, 119711. [Google Scholar] [CrossRef]
- Wang, Y.; Yu, L. Can the current environmental tax rate promote green technology innovation?—Evidence from China’s resource-based industries. J. Clean. Prod. 2021, 278, 123443. [Google Scholar] [CrossRef]
- Zhang, W.; Li, G. Environmental decentralization, environmental protection investment, and green technology innovation. Environ. Sci. Pollut. Res. 2020, 29, 12740–12755. [Google Scholar] [CrossRef] [PubMed]
- Kunapatarawong, R.; Martínez-Ros, E. Towards green growth: How does green innovation affect employment? Res. Policy 2016, 45, 1218–1232. [Google Scholar] [CrossRef]
- Tang, M.; Walsh, G.; Lerner, D.; Fitza, M.A.; Li, Q. Green innovation, managerial concern and firm performance: An empirical study: Green innovation, managerial concern and firm performance. Bus. Strategy Environ. 2018, 27, 39–51. [Google Scholar] [CrossRef]
- Guo, Q.; Zhou, M.; Liu, N.; Wang, Y. Spatial effects of environmental regulation and green credits on green technology innovation under low-carbon economy background conditions. Int. J. Environ. Res. Public Health 2019, 16, 3027. [Google Scholar] [CrossRef] [PubMed]
- Hu, J.; Pan, X.; Huang, Q. Quantity or quality? The impacts of environmental regulation on firms’ innovation–Quasi-natural experiment based on China’s carbon emissions trading pilot. Technol. Forecast. Soc. Chang. 2020, 158, 120122. [Google Scholar] [CrossRef]
- Jiang, H.; Jiang, P.; Wang, D.; Wu, J. Can smart city construction facilitate green total factor productivity? A quasi-natural experiment based on China’s pilot smart city. Sustain. Cities Soc. 2021, 69, 102809. [Google Scholar] [CrossRef]
- Jirakraisiri, J.; Badir, Y.F.; Frank, B. Translating green strategic intent into green process innovation performance: The role of green intellectual capital. J. Intellect. Cap. 2021, 22, 43–67. [Google Scholar] [CrossRef]
- Li, D.; Huang, M.; Ren, S.; Chen, X.; Ning, L. Environmental legitimacy, green innovation, and corporate carbon disclosure: Evidence from CDPChina 100. J. Bus. Ethics 2018, 150, 1089–1104. [Google Scholar] [CrossRef]
- Zhang, L.; Cao, C.; Tang, F.; He, J.; Li, D. Does China’s emissions trading system foster corporate green innovation? Evidence from regulating listed companies. Technol. Anal. Strateg. Manag. 2019, 31, 199–212. [Google Scholar] [CrossRef]
- Wagner, M. On the relationship between environmental management, environmental innovation and patenting: Evidence from German manufacturing firms. Res. Policy 2007, 36, 1587–1602. [Google Scholar] [CrossRef]
- Dong, Z.; He, Y.; Wang, H.Z.; Wang, L. Is there a ripple effect in environmental regulation in China?—Evidence from the local-neighborhood green technology innovation perspective. Ecol. Indic. 2020, 118, 106773. [Google Scholar] [CrossRef]
- Jia, X.Y.; Gu, N.H. Does the establishment of intellectual property model cities affect innovation quality. J. Financ. Econ. 2021, 47, 49–63. [Google Scholar] [CrossRef]
- Soewarno, N.; Tjahjadi, B.; Fithrianti, F. Green innovation strategy and green innovation: The roles of green organizational identity and environmental organizational legitimacy. Manag. Decis. 2019, 57, 3061–3078. [Google Scholar] [CrossRef]
- Wu, Y.; Gao, X. Can the establishment of eco-industrial parks promote urban green innovation? Evidence from China. J. Clean. Prod. 2022, 341, 130855. [Google Scholar] [CrossRef]
- Luo, Y.; Salman, M.; Lu, Z. Heterogeneous impacts of environmental regulations and foreign direct investment on green innovation across different regions in China. Sci. Total Environ. 2021, 759, 143744. [Google Scholar] [CrossRef] [PubMed]
- Shao, X.; Liu, S.; Ran, R.; Liu, Y. Environmental regulation, market demand, and green innovation: Spatial perspective evidence from China. Environ. Sci. Pollut. Res. Int. 2022, 29, 63859–63885. [Google Scholar] [CrossRef] [PubMed]
- Unruh, G.C. Understanding carbon lock-in. Energy Policy 2000, 28, 817–830. [Google Scholar] [CrossRef]
- Li, J.; Sun, W.; Song, H.; Li, R.; Hao, J. Toward the construction of a circular economy eco-city: An emergy-based sustainability evaluation of Rizhao city in China. Sustain. Cities Soc. 2021, 71, 102956. [Google Scholar] [CrossRef]
- Shen, H.; Liu, Y. Can circular economy legislation promote pollution reduction? Evidence from urban mining pilot cities in China. Sustainability 2022, 14, 14700. [Google Scholar] [CrossRef]
- Li, H.; Wei, X.; Gao, X. Objectives setting and instruments selection of circular economy policy in China’s mining industry: A textual analysis. Resour. Policy 2021, 74, 102410. [Google Scholar] [CrossRef]
- Pichlak, M.; Szromek, A.R. Linking eco-innovation and circular economy—A conceptual approach. J. Open Innov. Technol. Mark. Complex. 2022, 8, 121. [Google Scholar] [CrossRef]
- Porter, M.E.; van der Linde, C. Toward a new concept of the environment-competitiveness relationship. J. Econ. Perspect. 1995, 9, 97–118. [Google Scholar] [CrossRef]
- Xu, J.; Cui, J. Low-carbon cities and girms’ green technological innovation. China Ind. Econ. 2020, 12, 178–196. (In Chinese) [Google Scholar] [CrossRef]
- Wang, X.; Sun, X.; Zhang, H.; Xue, C. Does green financial reform pilot policy promote green technology innovation? Empirical evidence from China. Environ. Sci. Pollut. Res. 2022, 29, 77283–77299. [Google Scholar] [CrossRef]
- Ma, J.; Hu, Q.; Shen, W.; Wei, X. Does the low-carbon city pilot policy promote green technology innovation? Based on green patent data of Chinese A-share listed companies. Int. J. Environ. Res. Public Health 2021, 18, 3695. [Google Scholar] [CrossRef]
- Zhou, F.; Wang, X. The carbon emissions trading scheme and green technology innovation in China: A new structural economics perspective. Econ. Anal. Policy 2022, 74, 365–381. [Google Scholar] [CrossRef]
- Yin, K.; Miao, Y.; Huang, C. Environmental regulation, technological innovation, and industrial structure upgrading. Energy Environ. 2022, 35, 207–227. [Google Scholar] [CrossRef]
- Fan, F.; Lian, H.; Liu, X.; Wang, X. Can environmental regulation promote urban green innovation Efficiency? An empirical study based on Chinese cities. J. Clean. Prod. 2021, 287, 125060. [Google Scholar] [CrossRef]
- Cao, X.; Deng, M.; Li, H. How does e-commerce city pilot improve green total factor productivity? Evidence from 230 cities in China. J. Environ. Manag. 2021, 289, 112520. [Google Scholar] [CrossRef]
- Wang, L.; Zhang, H. Development of circular economy and optimization of industrial structure for Shandong Province. Energy Procedia 2011, 5, 1603–1610. [Google Scholar] [CrossRef]
- Wei, L.; Zhang, H. How environmental regulations affect the efficiency of green technology innovation? Am. J. Ind. Bus. Manag. 2020, 10, 507–521. [Google Scholar] [CrossRef]
- Jaffe, A.B.; Palmer, K. Environmental regulation and innovation: A panel data study. Rev. Econ. Stat. 1997, 9, 610–619. [Google Scholar] [CrossRef]
- Li, G.; Wang, X.; Wu, J. How scientific researchers form green innovation behavior: An empirical analysis of China’s enterprises. Technol. Soc. 2019, 56, 134–146. [Google Scholar] [CrossRef]
- Song, W.; Yu, H.; Xu, H. Effects of green human resource management and managerial environmental concern on green innovation. Eur. J. Innov. Manag. 2021, 24, 951–967. [Google Scholar] [CrossRef]
- Wicki, S.; Hansen, E.G. Green technology innovation: Anatomy of exploration processes from a learning perspective. Bus. Strategy Environ. 2019, 28, 970–988. [Google Scholar] [CrossRef] [PubMed]
- Porter, M.E. America’s green strategy. Sci. Am. 1991, 264, 168. [Google Scholar] [CrossRef]
- Mei, C.; Liu, Z. Experiment-based policy making or conscious policy design? The case of urban housing reform in China. Policy Sci. 2014, 47, 321–337. [Google Scholar] [CrossRef]
- Beck, T.; Levine, R.; Levkov, A. Big bad banks? The winners and losers from bank deregulation in the United States. J. Financ. 2010, 65, 1637–1667. [Google Scholar] [CrossRef]
- Baron, R.M.; Kenny, D.A. The moderator-mediator variable distinction in social psychological research: Conceptual, strategic, and statistical considerations. J. Personal. Soc. Psychol. 1986, 51, 1173–1182. [Google Scholar] [CrossRef]
- Hsu, M. Green Patent: Promoting Innovation for Environment by Patent System. In Proceedings of the PICMET’07, 2007, Portland International Conference on Management of Engineering & Technology, Portland, OR, USA, 5–9 August 2007; pp. 2491–2497. [Google Scholar] [CrossRef]
- Wurlod, J.; Noailly, J. The impact of green innovation on energy intensity: An empirical analysis for 14 industrial sectors in OECD countries. Energy Econ. 2018, 71, 47–61. [Google Scholar] [CrossRef]
- Tan, Y.; Tian, X.; Zhang, X.; Zhao, H. The real effect of partial privatization on corporate innovation: Evidence from China’s split share structure reform. J. Corp. Financ. 2020, 64, 101661. [Google Scholar] [CrossRef]
- Zhong, J.; Li, T. Impact of financial development and its spatial spillover effect on green total factor productivity: Evidence from 30 provinces in China. Math. Probl. Eng. 2020, 2020, 5741387. [Google Scholar] [CrossRef]
- Xin, B.; Qu, Y. Effects of smart city policies on green total factor productivity: Evidence from a quasi-natural experiment in China. Int. J. Environ. Res. Public Health 2019, 16, 2396. [Google Scholar] [CrossRef] [PubMed]
- Feng, C.; Wang, M.; Liu, G.; Huang, J. Green development performance and its influencing factors: A global perspective. J. Clean. Prod. 2017, 144, 323–333. [Google Scholar] [CrossRef]
- Song, M.; Tao, J.; Wang, S. FDI, technology spillovers and green innovation in China: Analysis based on data envelopment analysis. Ann. Oper. Res. 2015, 228, 47–64. [Google Scholar] [CrossRef]
- Zhai, X.; An, Y. The relationship between technological innovation and green transformation efficiency in China: An empirical analysis using spatial panel data. Technol. Soc. 2021, 64, 101498. [Google Scholar] [CrossRef]
- Li, B.; Wu, S. Effects of local and civil environmental regulation on green total factor productivity in China: A spatial Durbin econometric analysis. J. Clean. Prod. 2017, 153, 342–353. [Google Scholar] [CrossRef]
- Zheng, T.; Wu, J.; Xie, X.; Chen, F. Analysis of technology innovation factors in circular economy system. In Proceedings of the International Conference on Information Management, Innovation Management and Industrial Engineering, Shenzhen, China, 26–27 November 2011; Volume 2, pp. 415–418. [Google Scholar] [CrossRef]
- Hysa, E.; Kruja, A.; Rehman, N.U.; Laurenti, R. Circular economy innovation and environmental sustainability impact on economic growth: An integrated model for sustainable development. Sustainability 2020, 12, 4831. [Google Scholar] [CrossRef]
- Feng, Y.; Wang, X.; Liang, Z.; Hu, S.; Xie, Y.; Wu, G. Effects of emission trading system on green total factor productivity in China: Empirical evidence from a quasi-natural experiment. J. Clean. Prod. 2021, 294, 126262. [Google Scholar] [CrossRef]
- Declercq, B.; Delarue, E.; D’haeseleer, W. Impact of the economic recession on the European power sector’s CO2 emissions. Energy Policy 2011, 39, 1677–1686. [Google Scholar] [CrossRef]
- Guo, Y.; Xia, X.; Zhang, S.; Zhang, D. Environmental regulation, government R&D funding and green technology innovation: Evidence from China provincial data. Sustainability 2018, 10, 940. [Google Scholar] [CrossRef]
- Cheng, J.; Yi, J.; Dai, S.; Xiong, Y. Can low-carbon city construction facilitate green growth? Evidence from China’s pilot low-carbon city initiative. J. Clean. Prod. 2019, 231, 1158–1170. [Google Scholar] [CrossRef]
- Wang, J.; Yeh, A.G. Administrative restructuring and urban development in China: Effects of urban administrative level upgrading. Urban Stud. 2020, 57, 1201–1223. [Google Scholar] [CrossRef]



| Variables | Obs. | Mean | S.D. | Min. | Max. |
|---|---|---|---|---|---|
| GI | 3975 | 32.733 | 40.355 | 0.000 | 179.000 |
| NCEDC | 3975 | 0.044 | 0.205 | 0.000 | 1.000 |
| ln(PGDP) | 3975 | 10.229 | 0.858 | 2.273 | 13.056 |
| GOV | 3975 | 0.159 | 0.080 | 0.040 | 1.485 |
| ln(PD) | 3975 | 5.777 | 0.875 | 1.548 | 7.887 |
| ln(FDI) | 3975 | 9.695 | 1.851 | 2.079 | 14.545 |
| ln(FAI) | 3975 | 6.448 | 1.128 | 3.056 | 9.828 |
| ln(IFD) | 3975 | 16.291 | 1.132 | 13.410 | 20.348 |
| Variables | Explained Variables: GI | ||
|---|---|---|---|
| (1) | (2) | (3) | |
| NCEDC | 69.364 *** | 21.813 *** | 5.951 ** |
| (26.900) | (6.733) | (2.353) | |
| ln(PGDP) | −3.852 *** | 0.747 * | |
| (−4.260) | (1.757) | ||
| GOV | −29.141 | −21.074 * | |
| (−1.491) | (−1.934) | ||
| ln(PD) | −38.266 *** | 2.125 | |
| (−2.836) | (0.369) | ||
| ln(FDI) | −3.424 *** | 0.132 | |
| (−6.207) | (0.494) | ||
| ln(FAI) | −16.168 *** | −1.837 | |
| (−7.136) | (−1.485) | ||
| ln(IFD) | 69.627 *** | 4.405 * | |
| (20.106) | (1.702) | ||
| Constant | 29.697 *** | −699.996 *** | −70.553 |
| (263.099) | (−8.218) | (−1.421) | |
| Year FE | × | × | √ |
| City FE | × | × | √ |
| Obs. | 3975 | 3975 | 3975 |
| R-squared | 0.086 | 0.564 | 0.852 |
| Variables | Explained Variables: GI | ||
|---|---|---|---|
| (1) | (2) | (3) | |
| NCEDC | 5.948 ** | 5.912 ** | 6.948 *** |
| (2.353) | (2.290) | (2.724) | |
| Constant | −70.386 | −69.785 | −60.312 |
| (−1.412) | (−1.430) | (−1.160) | |
| Control | √ | √ | √ |
| Year FE | √ | √ | √ |
| City FE | √ | √ | √ |
| Obs. | 3975 | 3445 | 3585 |
| R-squared | 0.852 | 0.843 | 0.851 |
| Variables | Explained Variables: GI | |
|---|---|---|
| (1) | (2) | |
| NCEDC | −5.072 | −29.607 |
| (−1.144) | (−1.500) | |
| INS × NCEDC | 12.190 ** | |
| (2.258) | ||
| RDI × NCEDC | 3.312 * | |
| (1.711) | ||
| Constant | −72.012 | −63.942 |
| (−1.464) | (−1.303) | |
| Control | √ | √ |
| Year FE | √ | √ |
| City FE | √ | √ |
| Obs. | 3975 | 3975 |
| R-squared | 0.852 | 0.852 |
| Variables | Location | Administrative Levels | ||
|---|---|---|---|---|
| (1) Eastern Cities | (2) Mid-West Cities | (3) High | (4) Low | |
| NCEDC | 13.719 *** | 1.498 | −5.022 | 6.902 *** |
| (2.898) | (0.587) | (−0.455) | (2.712) | |
| Constant | −35.973 | −105.501 * | 57.923 | −82.324 |
| (−0.343) | (−1.957) | (0.287) | (−1.639) | |
| Control | √ | √ | √ | √ |
| Year FE | √ | √ | √ | √ |
| City FE | √ | √ | √ | √ |
| Obs. | 1455 | 2520 | 465 | 3510 |
| R-squared | 0.848 | 0.856 | 0.865 | 0.851 |
Disclaimer/Publisher’s Note: The statements, opinions and data contained in all publications are solely those of the individual author(s) and contributor(s) and not of MDPI and/or the editor(s). MDPI and/or the editor(s) disclaim responsibility for any injury to people or property resulting from any ideas, methods, instructions or products referred to in the content. |
© 2024 by the authors. Licensee MDPI, Basel, Switzerland. This article is an open access article distributed under the terms and conditions of the Creative Commons Attribution (CC BY) license (https://creativecommons.org/licenses/by/4.0/).
Share and Cite
Wu, Y.; Wei, X.; Liu, Y.; Li, H. Can the Circular Economy Demonstration Policy Enhance the Green Innovation Level? A Quasi-Natural Experiment from China. Sustainability 2024, 16, 3480. https://doi.org/10.3390/su16083480
Wu Y, Wei X, Liu Y, Li H. Can the Circular Economy Demonstration Policy Enhance the Green Innovation Level? A Quasi-Natural Experiment from China. Sustainability. 2024; 16(8):3480. https://doi.org/10.3390/su16083480
Chicago/Turabian StyleWu, Yongchao, Xinyuan Wei, Yanan Liu, and Huilong Li. 2024. "Can the Circular Economy Demonstration Policy Enhance the Green Innovation Level? A Quasi-Natural Experiment from China" Sustainability 16, no. 8: 3480. https://doi.org/10.3390/su16083480
APA StyleWu, Y., Wei, X., Liu, Y., & Li, H. (2024). Can the Circular Economy Demonstration Policy Enhance the Green Innovation Level? A Quasi-Natural Experiment from China. Sustainability, 16(8), 3480. https://doi.org/10.3390/su16083480

