A Study on the Mechanical Properties and Hydration Process of Slag Cemented Ultrafine Tailings Paste Backfill
Abstract
1. Introduction
2. Materials and Methods
2.1. Materials
2.2. Sample Preparation
2.3. Testing Methods
3. Results
3.1. Fluidity
3.2. Compressive Strength
3.3. SEM Analysis
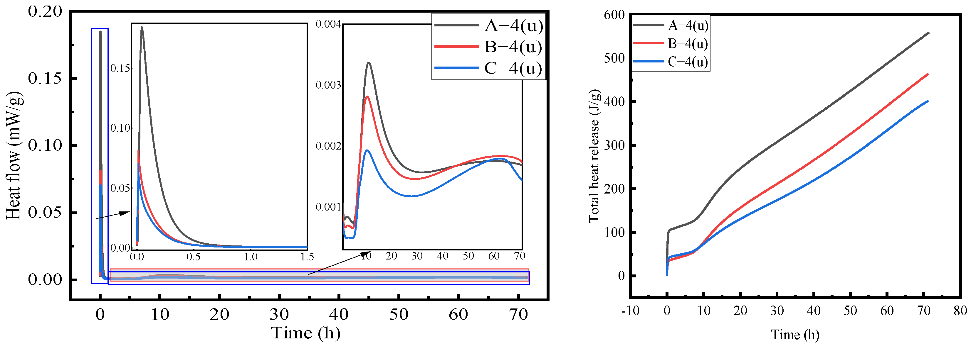
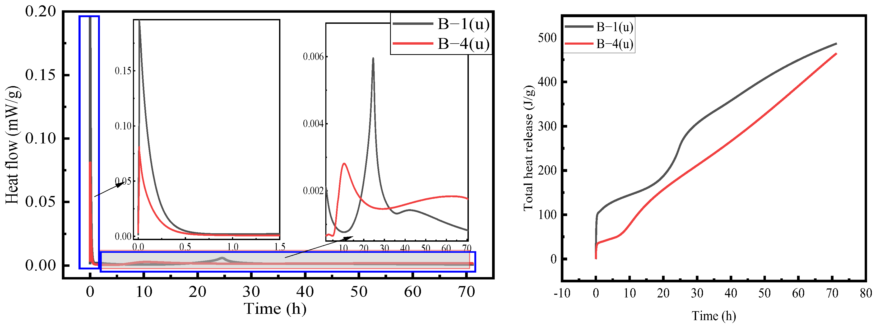
3.4. Hydration Heat Analysis
4. Discussion
4.1. Fluidity
4.2. Mechanical Properties and Hydration Mechanism
5. Conclusions
- The fluidity of SCUPB decreases with the increase of slag content and increases with the increase of desulfurized gypsum. This is because the surface roughness of the slag particles increases the water–demand ratio. The particle size of the desulfurization gypsum is relatively large, which plays an important role in driving the flow of the SCUPB paste.
- The early compressive strength of SCUPB is the highest when the slag content is 70% and the c/g ratio is 3:2. With the increase of the slag content, the effect of the cement and desulfurization gypsum compound activating the slag is weakened.
- In the slag–gypsum–cement cementitious system, the cement and desulfurization gypsum compositely activate the slag with a higher early compressive strength, which is stronger than the cement or desulfurization gypsum singly activating the slag, and the macroscopic performance is a higher early compressive strength.
- The utilization of SCUPB reduces the accumulation of ultrafine tailings, facilitating resource recycling and promoting sustainable development within the mining field. Under the premise of the full utilization of solid waste, further enhancing the strength of the paste backfill materials and reducing the economic costs are the directions for future research.
Author Contributions
Funding
Institutional Review Board Statement
Informed Consent Statement
Data Availability Statement
Conflicts of Interest
References
- Peng, Y.; Liu, Z.; Liu, X.; Sheng, M.; Li, H.; Xu, X.; Ai, L.; Yan, Q.; Yang, Y. Preparation of composite micro-slag based on the application of tailings slag in cement and concrete. Constr. Build. Mater. 2022, 322, 126515. [Google Scholar] [CrossRef]
- Chen, W.; Yin, S.; Zhou, G.; Li, Z.; Song, Q. Copper recovery from tailings through bioleaching and further application of bioleached tailings residue: Comprehensive utilization of tailings. J. Clean. Prod. 2022, 332, 130129. [Google Scholar] [CrossRef]
- Wang, X.; Wan, W.; Liu, Y.; Gao, R.; Lu, Z.; Tang, X. Analysis of Factors Influencing the Flow Characteristics of Paste Backfill in Pipeline Transportation. Sustainability 2023, 15, 6904. [Google Scholar] [CrossRef]
- Famakinwa, T.E.; Su, Y.; Wang, J.; Gates, I.D. An in-situ process to consolidate oil sands mine tailings. J. Environ. Chem. Eng. 2018, 6, 3295–3305. [Google Scholar] [CrossRef]
- Consoli, N.C.; Tomasi, L.F.; Veloso Marques, S.F. Cement-enhancing mechanical behavior of tailings behind upstream tailings dam for safe decommissioning. J. Mater. Civ. Eng. 2023, 35, 06023001. [Google Scholar] [CrossRef]
- Yang, L.; Li, J.; Liu, H.; Jiao, H.; Yin, S.; Chen, X.; Yu, Y. Systematic review of mixing technology for recycling waste tailings as cemented paste backfill in mines in China. Int. J. Miner. Metall. Mater. 2023, 30, 1430–1443. [Google Scholar] [CrossRef]
- Raffaldi, M.J.; Seymour, J.B.; Richardson, J.; Zahl, E.; Board, E. Cemented paste backfill geomechanics at a narrow-vein underhand cut-and-fill mine. Rock Mech. Rock Eng. 2019, 52, 4925–4940. [Google Scholar] [CrossRef]
- Singh, P.; Ghosh, C.N.; Behera, S.K.; Mishra, K.; Kumar, D.; Buragohain, J.; Mandal, P.K. Optimisation of binder alternative for cemented paste fill in underground metal mines. Arab. J. Geosci. 2019, 12, 462. [Google Scholar] [CrossRef]
- Miao, C.; Liang, L.; Zhang, F.; Chen, S.; Shang, K.; Jiang, J.; Zhang, Y.; Ouyang, J. Review of the fabrication and application of porous materials from silicon-rich industrial solid waste. Int. J. Miner. Metall. Mater. 2022, 29, 424–438. [Google Scholar] [CrossRef]
- Yang, F.; Wu, F.; Yang, B.; Li, L.; Gao, Q. Preparation and performance of composite activated slag-based binder for cemented paste backfill. Chemosphere 2022, 309, 136649. [Google Scholar] [CrossRef]
- Zhang, F.; Li, Y.; Zhang, J.; Gui, X.; Zhu, X.; Zhao, C. Effects of slag-based cementitious material on the mechanical behavior and heavy metal immobilization of mine tailings based cemented paste backfill. Heliyon 2022, 8, e10695. [Google Scholar] [CrossRef]
- Jiang, H.; Ren, L.; Zhang, Q.; Zheng, J.; Cui, L. Strength and microstructural evolution of alkali-activated slag-based cemented paste backfill: Coupled effects of activator composition and temperature. Powder Technol. 2022, 401, 117322. [Google Scholar] [CrossRef]
- Lv, H.; Chen, Y.; Xie, Q.; Wu, P.; Chen, Y.; Gu, J.; Wu, H. Performance optimization and characterization of loess-slag-based geopolymer composite: A new sustainable green material for backfill. Constr. Build. Mater. 2022, 354, 129103. [Google Scholar] [CrossRef]
- Zhao, Y.; Ma, Z.; Qiu, J.; Sun, X.; Gu, X. Experimental study on the utilization of steel slag for cemented ultra-fine tailings backfill. Powder Technol. 2020, 375, 284–291. [Google Scholar]
- Behera, S.K.; Ghosh, C.N.; Mishra, K.; Mishra, D.P.; Singh, P.; Mandal, P.K.; Buragohain, J.; Sethi, M.K. Utilisation of lead–zinc mill tailings and slag as paste backfill materials. Environ. Earth Sci. 2020, 79, 389. [Google Scholar] [CrossRef]
- Peng, X.; Wang, C.; Zhou, Y. Application of a new high-strength cementitious materials in cemented backfill with full tailings. Min. Res. Dev. 2021, 41, 51–54. (In Chinese) [Google Scholar]
- Du, J.; Gao, Q.; Nan, S.; Dong, L. Develop on a new cementing material of full tailings backfilling first. Metal Mine 2012, 5, 152–155. (In Chinese) [Google Scholar]
- Wang, F.; Chen, G.; Ji, L.; Yuan, Z. Preparation and mechanical properties of cemented uranium tailing backfill based on alkali-activated slag. Adv. Mater. Sci. Eng. 2020, 2020, 6345206. (In Chinese) [Google Scholar] [CrossRef]
- Liu, Y.; Wang, H.; Guo, H.; Wang, K.; Wu, H. Proportion optimization and performance of filling materials with large-content of fly ash. Min. Res. Dev. 2020, 40, 56–61. (In Chinese) [Google Scholar]
- Thompson, B.D.; Bawden, W.F.; Grabinsky, M.W. In situ measurements of cemented paste backfill at the Cayeli Mine. Can. Geotech. J. 2012, 49, 755–772. [Google Scholar] [CrossRef]
- Deng, X.J.; Klein, B.; Hallbom, D.J.; de Wit, B.; Zhang, J.X. Influence of particle size on the basic and time-dependent rheological behaviors of cemented paste backfill. J. Mater. Eng. Perform. 2018, 27, 3478–3487. [Google Scholar] [CrossRef]
- GB/T17671-2021; Test Method of Cement mortar Strength (ISO Method). China Standards Press: Beijing, China, 2021.
- GB/T50448-2015; Technique Code for Application of Cementitious Grout. China Architecture & Building Press: Beijing, China, 2015.
- Vlasak, P.; Chara, Z.; Stern, P. Drag reduction of dense fine-grained slurries. Hydrol. Hydromech. 2010, 58, 261–270. [Google Scholar] [CrossRef][Green Version]
- Ye, H. Flocculation Characteristics and Rheological Properties of Different Cementitious Material Systems. Doctoral Dissertation, Harbin Institute of Technology, Harbin, China, 2021. (In Chinese). [Google Scholar]
- Liu, R. Hydration Mechanism and Long-Term Performance of Cement-Slag Composite Cementitious Materials. Doctoral Dissertation, Tsinghua University, Beijing, China, 2015. (In Chinese). [Google Scholar]
- Gao, X.; Yao, X.; Yang, T.; Zhou, S.; Wei, H.; Zhang, Z. Calcium carbide residue as auxiliary activator for one-part sodium carbonate-activated slag cements: Compressive strength, phase assemblage and environmental benefits. Constr. Build. Mater. 2021, 308, 125015. [Google Scholar] [CrossRef]
- Zhou, S.; Tan, C.; Gao, Y.; Li, Y.; Guo, S. One-part alkali activated slag using Ca(OH)2 and Na2CO3 instead of NaOH as activator: More excellent compressive strength and microstructure. Mater. Res. Express 2021, 8, 085501. [Google Scholar] [CrossRef]
- Li, Y.; Wu, B.H.; Ni, W.; Mu, X.L. Synergies in early hydration reaction of slag-steel slag-gypsum system. J. Northeast. Univ. (Nat. Sci.) 2020, 41, 581–586. [Google Scholar]
- Zhang, J.; Li, G.; Yang, X.; Ren, S.; Song, Z. Study on a high strength ternary blend containing calcium sulfoaluminate cement/calcium aluminate cement/ordinary Portland cement. Constr. Build. Mater. 2018, 191, 544–553. [Google Scholar] [CrossRef]
- Zhu, G.; Zhu, W.; Qi, Z.; Yan, B.; Jiang, H.; Hou, C. One-part alkali-activated slag binder for cemented fine tailings backfill: Proportion optimization and properties evaluation. Environ. Sci. Pollut. Res. Int. 2022, 29, 73865–73877. [Google Scholar] [CrossRef]
- Li, S.; Guo, B.; Wen, Z.; Wang, L.; Gao, Q.; Tu, G. Development of slag-based cementitious material and study on strength and rheological properties of filling body. Min. Res. Dev. 2021, 41, 40–43. (In Chinese) [Google Scholar]
- Zhang, Z. Study on the Hydration Kinetics Model of Cement-Slag Composite Cementitious Materials; Tsinghua University: Beijing, China, 2018. (In Chinese) [Google Scholar]
- Liu, J.; An, S.; Zhang, Y. Mechanism of regulating the mechanical properties and paste structure of supersulfated cement through ultrafine iron tailings powder. Cem. Concr. Compos. 2023, 140, 105061. [Google Scholar] [CrossRef]
- Yin, B.; Kang, T.; Kang, J.; Chen, Y.; Wu, L.; Du, M. Investigation of the hydration kinetics and microstructure formation mechanism of fresh fly ash cemented filling materials based on hydration heat and volume resistivity characteristics. Appl. Clay Sci. 2018, 166, 146–158. [Google Scholar] [CrossRef]
- Liu, L.; Yang, P.; Zhang, B.; Huan, C.; Guo, L.; Yang, Q.; Song, K.-I. Study on hydration reaction and structure evolution of cemented paste backfill in early-age based on resistivity and hydration heat. Constr. Build. Mater. 2021, 272, 121827. [Google Scholar] [CrossRef]
- Luo, T.; Wang, Q.; Zhuang, S.Y. Effects of ultra-fine ground granulated blast-furnace slag on initial setting time, fluidity and rheological properties of cement pastes. Powder Technol. 2019, 345, 54–63. [Google Scholar]
- Deng, X.; Klein, B.; Tong, L.; de Wit, B. Experimental study on the rheological behavior of ultra-fine cemented backfill. Constr. Build. Mater. 2018, 158, 985–994. [Google Scholar] [CrossRef]
- Shang, Y.; Zhang, D.; Yang, C.; Liu, Y.; Liu, Y. Effect of graphene oxide on the rheological properties of cement pastes. Constr. Build. Mater. 2015, 96, 20–28. [Google Scholar] [CrossRef]










| Na2O | MgO | Al2O3 | SiO2 | SO3 | K2O | CaO | TiO2 | MnO | Fe2O3 | Others | |
|---|---|---|---|---|---|---|---|---|---|---|---|
| Ultrafine tailings | 1.94 | 1.17 | 32.09 | 43.44 | 0.50 | 9.54 | 4.08 | 0.35 | 0.50 | 5.81 | 0.59 |
| Slag | 0.84 | 11.43 | 17.47 | 32.11 | 2.17 | 0.57 | 32.17 | 1.41 | 0.56 | 0.78 | 0.49 |
| Cement | 1.04 | 5.41 | 11.08 | 25.25 | 4.00 | 0.91 | 45.63 | 0.51 | 0.36 | 5.06 | 0.77 |
| Desulfurization gypsum | 0.35 | 0.39 | 0.55 | 0.75 | 47.47 | 0.20 | 49.09 | <0.01 | <0.01 | 0.28 | 0.92 |
| No. | Binder Material | |
|---|---|---|
| Proportion of Slag/% | Cement/Desulfurization Gypsum (c/g) | |
| A-1 | 70 | 4:1 |
| A-2 | 3:2 | |
| A-3 | 2:3 | |
| A-4 | 1:4 | |
| B-1 | 75 | 4:1 |
| B-2 | 3:2 | |
| B-3 | 2:3 | |
| B-4 | 1:4 | |
| C-1 | 80 | 4:1 |
| C-2 | 3:2 | |
| C-3 | 2:3 | |
| C-4 | 1:4 | |
| Samples | Code | Composition (wt. %) | |||||||
|---|---|---|---|---|---|---|---|---|---|
| Na | Mg | Al | Si | S | Ca | Others | |||
| A-4 | Point 1 | 0.74 | 5.89 | 10.45 | 14.81 | 2.35 | 9.24 | 56.52 | Slag |
| Point 2 | 0.54 | 0.49 | 9.32 | 24.75 | 1.60 | 6.26 | 57.04 | Ultrafine tailings | |
| Point 3 | 0.34 | 0.67 | 8.35 | 12.66 | 5.40 | 15.48 | 57.1 | AFm | |
| Point4 | 0.37 | 0.73 | 17.58 | 24.73 | 1.07 | 5.37 | 50.15 | Ultrafine tailings | |
| B-1 | Point 1 | 0.48 | 0.47 | 3.88 | 6.29 | 1.08 | 24.69 | 63.11 | C-(A)-S-H |
| Point 2 | 0.15 | 0.63 | 3.64 | 25.27 | 1.78 | 7.83 | 60.7 | Ultrafine tailings | |
| Point 3 | 0.35 | 1.84 | 9.61 | 16.44 | 4.43 | 15.79 | 51.54 | C-(A)-S-H | |
| Point 4 | 0.17 | 0.43 | 1.16 | 34.98 | 0.41 | 1.60 | 61.25 | Ultrafine tailings | |
| B-4 | Point 1 | 0.19 | 0.59 | 5.17 | 8.24 | 0.33 | 51.28 | 34.2 | C-(A)-S-H |
| Point 2 | 0.09 | 0.54 | 12.76 | 31.90 | 1.96 | 37.28 | 15.47 | C-(A)-S-H | |
| Point 3 | 5.60 | 0.33 | 10.35 | 26.51 | 0.53 | 3.91 | 52.77 | Ultrafine tailings | |
| Point 4 | 0.27 | 0.73 | 8.66 | 17.71 | 2.24 | 20.58 | 49.81 | C-(A)-S-H | |
| C-4 | Point 1 | 5.03 | 0.41 | 8.05 | 21.98 | 1.41 | 5.75 | 57.37 | Ultrafine tailings |
| Point 2 | 0.14 | 10.73 | 9.39 | 7.79 | 2.91 | 9.19 | 59.85 | Slag | |
| Point 3 | 1.67 | 0.68 | 10.49 | 17.38 | 0.97 | 6.55 | 62.26 | Ultrafine tailings | |
| Point 4 | 3.91 | 0.72 | 8.32 | 18.63 | 1.06 | 5.21 | 62.15 | Ultrafine tailings | |
| Point 5 | 0.22 | 0.84 | 8.33 | 15.68 | 3.29 | 27.24 | 44.4 | C-(A)-S-H | |
Disclaimer/Publisher’s Note: The statements, opinions and data contained in all publications are solely those of the individual author(s) and contributor(s) and not of MDPI and/or the editor(s). MDPI and/or the editor(s) disclaim responsibility for any injury to people or property resulting from any ideas, methods, instructions or products referred to in the content. |
© 2024 by the authors. Licensee MDPI, Basel, Switzerland. This article is an open access article distributed under the terms and conditions of the Creative Commons Attribution (CC BY) license (https://creativecommons.org/licenses/by/4.0/).
Share and Cite
Li, H.; Wan, X.; Jin, Z.; Cui, Y.; Chen, Y. A Study on the Mechanical Properties and Hydration Process of Slag Cemented Ultrafine Tailings Paste Backfill. Sustainability 2024, 16, 3143. https://doi.org/10.3390/su16083143
Li H, Wan X, Jin Z, Cui Y, Chen Y. A Study on the Mechanical Properties and Hydration Process of Slag Cemented Ultrafine Tailings Paste Backfill. Sustainability. 2024; 16(8):3143. https://doi.org/10.3390/su16083143
Chicago/Turabian StyleLi, Hui, Xiaomei Wan, Zuquan Jin, Yunzheng Cui, and Ya Chen. 2024. "A Study on the Mechanical Properties and Hydration Process of Slag Cemented Ultrafine Tailings Paste Backfill" Sustainability 16, no. 8: 3143. https://doi.org/10.3390/su16083143
APA StyleLi, H., Wan, X., Jin, Z., Cui, Y., & Chen, Y. (2024). A Study on the Mechanical Properties and Hydration Process of Slag Cemented Ultrafine Tailings Paste Backfill. Sustainability, 16(8), 3143. https://doi.org/10.3390/su16083143

