Study on the Ecological Compensation Standard in the Xinjiang Uygur Autonomous Region of China under the Perspective of Natural Capital Supply and Demand
Abstract
1. Introduction
2. Materials and Methods
2.1. Study Area
2.2. Data Source
2.3. Research Methodology
2.3.1. Physical Accounting of the Ecological Footprint
Determination of Critical Factors
Total Ecological Footprint Accounting
Biological Ecological Footprint Accounting
Carbon Footprint Accounting
Freshwater Footprint Accounting
Pollution Footprint Accounting
Biological Carrying Capacity Accounting
Ecological Deficit/Surplus
2.3.2. Ecological Footprint Monetary Volume Accounting
Determining the Ecosystem Service Equivalence Factors (ESEQs)
Determining the Sub-National Hectare in Monetary Terms
Monetary Accounting of the Ecological Footprint
2.3.3. Accounting for Ecological Compensation Standards
3. Results
3.1. Changes in EF and BC Dynamics in Xinjiang
3.1.1. Changes in Total and Per Capita EF, BC, and ED in Xinjiang
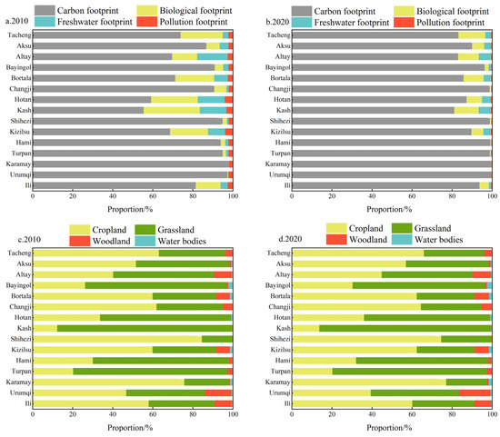
3.1.2. Partitioning Analysis of ef, bc, and ed in Xinjiang
3.2. Changes in EFM and BCM Dynamics in Xinjiang
3.2.1. Changes in Total and per Capita Volumes of EFM, BCM, and EDM
3.2.2. efm, bcm, and edm Partition Analysis
3.3. Analysis of Ecological Compensation Standards
4. Discussion
4.1. Advantages and Feasibility of Ecological Compensation Standards in this Study
4.2. Policy Recommendations
4.3. Limitations of this Study
5. Conclusions
- (1)
- During the study period, Xinjiang’s ef grew from 11.22 s-nha/cap to 21.37 s-nha/cap, and only the growth rates of the ecological footprints of Altay, Tacheng, Bayingol, and Aksu were lower than the average level of the whole region (8.22%). bc declined from 1.66 to 1.46 s-nha/cap, with an average annual decline of 1.10%. Kizilsu and Altay were still in ecological surplus in 2010, and both transformed into ecological deficit after 2014. All of Xinjiang and the rest of the prefectures were in an ecological deficit during the study period.
- (2)
- From 2010 to 2020, the BCM in Xinjiang increased by 8.74%, but the EFM increased by 1.21 times. During the study period, the whole region and all prefectures were in ecological deficit of monetary volume. Shihezi’s EFM increased the fastest (35.13%), Urumqi and Karamay EFM showed signs of contraction, and the EFMs of the rest of the prefectures increased to varying degrees.
- (3)
- From 2010 to 2020, the total amount of ecological compensation to be paid in the whole region of Xinjiang grew from CNY 5.659 billion to CNY 10.259 billion. In 2020, the per capita payment of ecological compensation in the whole region of Xinjiang was 396.11 CNY/cap/yr. There were apparent differences in ecological compensation standards among the local prefectures, with the highest per capita payment in 2020 in Changji, at 1821.78 CNY/cap/yr, and Kizilsu had the lowest per capita payment standard of 8.63 CNY/cap/yr.
Author Contributions
Funding
Institutional Review Board Statement
Informed Consent Statement
Data Availability Statement
Conflicts of Interest
References
- Baste, I.A.; Watson, R.T.; Brauman, K.I.; Samper, C.; Walzer, C. Making Peace with Nature: A Scientific Blueprint to Tackle the Climate, Biodiversity and Pollution Emergencies; Wildlife Conservation Society: New York, NY, USA, 2021. [Google Scholar]
- Chen, L.; Yang, H.; Huang, H. How do natural and socio-economic factors influence the sustainable development of the ecological environment in the World Natural Heritage Sites? Evidence from the Jiuzhaigou, China. J. Clean. Prod. 2023, 428, 139238. [Google Scholar] [CrossRef]
- Balsalobre-Lorente, D.; Shahbaz, M.; Roubaud, D. How economic growth, renewable electricity and natural resources contribute to CO2 emissions? Energy Policy 2018, 113, 356–367. [Google Scholar] [CrossRef]
- Du, H.; Zhao, L.; Zhang, P. Ecological compensation in the Beijing-Tianjin-Hebei region based on ecosystem services flow. J. Environ. Manag. 2023, 331, 117230. [Google Scholar] [CrossRef] [PubMed]
- Li, W.; Yi, P.; Zhang, D. Assessment of coordinated development between social economy and ecological environment: Case study of resource-based cities in Northeastern China. Sustain. Cities Soc. 2020, 59, 102208. [Google Scholar] [CrossRef]
- Solomon, N.; Segnon, A.C.; Birhane, E. Ecosystem service values changes in response to land-use/land-cover dynamics in dry afromontane forest in northern Ethiopia. Int. J. Environ. Res. Public Health 2019, 16, 4653. [Google Scholar] [CrossRef] [PubMed]
- Ma, L.; Pang, D.; Gao, J. Ecological Asset Assessment and Ecological Compensation Standards for Desert Nature Reserves: Evidence from Three Different Climate Zones in China. Sustainability 2023, 15, 10679. [Google Scholar] [CrossRef]
- Gastineau, P.; Mossay, P.; Taugourdeau, E. Ecological compensation: How much and where? Ecol. Econ. 2021, 190, 107191. [Google Scholar] [CrossRef]
- Wu, Z.; Guo, X.; Lv, C. Study on the quantification method of water pollution ecological compensation standard based on emergy theory. Ecol. Indic. 2018, 92, 189–194. [Google Scholar] [CrossRef]
- Guan, X.; Liu, W.; Chen, M. Study on the ecological compensation standard for river basin water environment based on total pollutants control. Ecol. Indic. 2016, 69, 446–452. [Google Scholar] [CrossRef]
- Sheng, W.; Zhen, L.; Xie, G. Determining eco-compensation standards based on the ecosystem services value of the mountain ecological forests in Beijing, China. Ecosyst. Serv. 2017, 26, 422–430. [Google Scholar] [CrossRef]
- Lu, S.; Li, J.; Xiao, B. Analysis of standard accounting method of economic compensation for ecological pollution in watershed. Sci. Total Environ. 2020, 737, 138157. [Google Scholar] [CrossRef] [PubMed]
- Zhang, Z.; Cui, Y.; Wang, L. Determining the ecological compensation standards based on willingness to accept (WTA) for intensive agricultural production areas: A case in China. Appl. Geogr. 2023, 158, 103051. [Google Scholar] [CrossRef]
- Gao, X.; Shen, J.; He, W. Spatial-temporal analysis of ecosystem services value and research on ecological compensation in Taihu Lake Basin of Jiangsu Province in China from 2005 to 2018. J. Clean. Prod. 2021, 317, 128241. [Google Scholar] [CrossRef]
- Yang, Y.; Yao, C.; Xu, D. Ecological compensation standards of national scenic spots in western China: A case study of Taibai Mountain. Tour. Manag. 2020, 76, 103950. [Google Scholar] [CrossRef]
- Wang, L.; Lv, T.; Zhang, X. Global research trends and gaps in ecological compensation studies from 1990 to 2020: A scientometric review. J. Nat. Conserv. 2022, 65, 126097. [Google Scholar] [CrossRef]
- Liu, M.; Liu, W.; Yang, L. A dynamic eco-compensation standard for Hani Rice Terraces System in southwest China. Ecosyst. Serv. 2019, 36, 100897. [Google Scholar] [CrossRef]
- Sangha, K.K.; Ahammad, R.; Russell-Smith, J.; Costanza, R. Payments for Ecosystem Services opportunities for emerging Nature-based Solutions: Integrating Indigenous perspectives from Australia. Ecosyst. Serv. 2024, 66, 101600. [Google Scholar] [CrossRef]
- Zhou, Y.; Zhou, J.; Liu, H. Study on eco-compensation standard for adjacent administrative districts based on the maximum entropy production. J. Clean. Prod. 2019, 221, 644–655. [Google Scholar] [CrossRef]
- Rees, W.E. Ecological footprints and appropriated carrying capacity: What urban economics leaves out. Environ. Urban. 1992, 4, 121–130. [Google Scholar] [CrossRef]
- Wackernagel, M.; Rees, W.E. Perceptual and structural barriers to investing in natural capital: Economics from an ecological footprint perspective. Ecol. Econ. 1997, 20, 3–24. [Google Scholar] [CrossRef]
- Wei, Z.; Jian, Z.; Sun, Y. Ecological sustainability and high-quality development of the Yellow River Delta in China based on the improved ecological footprint model. Sci. Rep. 2023, 13, 3821. [Google Scholar] [CrossRef] [PubMed]
- Li, P.; Zhang, R.; Xu, L. Three-dimensional ecological footprint based on ecosystem service value and their drivers: A case study of Urumqi. Ecol. Indic. 2021, 131, 108117. [Google Scholar] [CrossRef]
- Liu, C.; Liu, W.; Lu, D. A study of provincial differences in China’s eco-compensation framework. J. Geogr. Sci. 2017, 2, 115–131. [Google Scholar] [CrossRef][Green Version]
- Zhang, Y.; Guan, D.; Wu, L. How can an ecological compensation threshold be determined? A discriminant model integrating the minimum data approach and the most appropriate land use scenarios. Sci. Total Environ. 2022, 852, 158377. [Google Scholar] [CrossRef]
- Lv, C.; Xu, X.; Guo, X. Basin water ecological compensation interval accounting based on dual perspectives of supply and consumption: Taking Qingyi River Basin as an example. J. Clean. Prod. 2023, 385, 135610. [Google Scholar] [CrossRef]
- Vardon, M.J.; Keith, H.; Burnett, P. From natural capital accounting to natural capital banking. Nat. Sustain. 2021, 4, 832–834. [Google Scholar] [CrossRef]
- Kyriakopoulos, G.L. Land use planning and green environment services: The contribution of trail paths to sustaninable development. Land 2023, 12, 1041. [Google Scholar] [CrossRef]
- Yang, H.; Wei, Q.; Chen, J. Quantifying the payments for ecosystem services and the value of natural resources based on the indicator of optional capacity value: A case study on water resources supply in Zhujiang River Basin, China. Acta Ecol. Sin. 2020, 40, 3218–3228. [Google Scholar]
- UN. System of Environmental Economic Accounting 2012—Central Framework; United Nations: New York, NY, USA, 2014. [Google Scholar]
- UNSD. System of Environmental-Economic Accounting—Ecosystem Accounting Final Draft. 2021. Available online: https://unstats.un.org/unsd/statcom/52nd-session/documents/BG-3f-SEEA-EA_Final_draft-E.pdf (accessed on 29 March 2024).
- Li, P.; Zhang, R.; Wei, H. Assessment of physical quantity and value of natural capital in China since the 21st century based on a modified ecological footprint model. Sci. Total Environ. 2022, 806, 150676. [Google Scholar] [CrossRef] [PubMed]
- Niccolucci, V.; Coscieme, L.; Marchettini, N. Benefit transfer and the economic value of Biocapacity: Introducing the ecosystem service Yield factor. Ecosyst. Serv. 2021, 48, 101256. [Google Scholar] [CrossRef]
- Mancini, M.S.; Galli, A.; Niccolucci, V. Stocks and flows of natural capital: Implications for Ecological Footprint. Ecol. Indic. 2017, 77, 123–128. [Google Scholar] [CrossRef]
- Niu, J.; Mao, C.; Xiang, J. Based on ecological footprint and ecosystem service value, research on ecological compensation in Anhui Province, China. Ecol. Indic. 2024, 158, 111341. [Google Scholar] [CrossRef]
- Zhang, R.; Li, P.; Xu, L. Reconciling ecological footprint and ecosystem services in natural capital accounting: Applying a novel framework to the Silk Road Economic Belt in China. J. Environ. Manag. 2023, 330, 117115. [Google Scholar] [CrossRef] [PubMed]
- Li, D.; Zuo, Q.; Jiang, L. An integrated analysis framework for water resources sustainability considering fairness and decoupling based on the water resources ecological footprint model: A case study of Xinjiang, China. J. Clean. Prod. 2023, 383, 135466. [Google Scholar] [CrossRef]
- Zheng, Z.; Ma, Z.; Li, M. Regional water budgets and hydroclimatic trend variations in Xinjiang from 1951 to 2000. Clim. Chang. 2017, 144, 447–460. [Google Scholar] [CrossRef]
- Xia, N.; Hai, W.; Tang, M. Spatiotemporal evolution law and driving mechanism of production–living–ecological space from 2000 to 2020 in Xinjiang, China. Ecol. Indic. 2023, 154, 110807. [Google Scholar] [CrossRef]
- Guan, M.; Jiang, Y.; Du, W. A modified ecological footprint calculation method for drylands and its application to Xinjiang Uygur Autonomous Region, China. J. Clean. Prod. 2023, 419, 138176. [Google Scholar] [CrossRef]
- Yue, Z.; Liu, H.; Xu, Z. Evaluation of sustainability in northern Xinjiang based on ecological footprint-planetary boundary system framework. Ecol. Indic. 2023, 150, 110270. [Google Scholar] [CrossRef]
- Li, Z.; Su, B.; Liu, M. Research Progress on the Theory and Practice of Grassland Eco-Compensation in China. Agriculture 2020, 12, 721. [Google Scholar] [CrossRef]
- China Statistics Press. Xinjiang Statistical Yearbook; China Statistics Press: Beijing, China, 2011–2021.
- China Statistics Press. Xinjiang Production and Construction Corps Statistical Yearbook; China Statistics Press: Beijing, China, 2011–2021.
- Yang, Y.; Cai, Z. Ecological security assessment of the Guanzhong Plain urban agglomeration based on an adapted ecological footprint model. J. Clean. Prod. 2020, 260, 120973. [Google Scholar] [CrossRef]
- Zhang, H.; Liu, W.; Lin, Y.; Shan, N. Calculation and analysis of equivalence factor and yield factor of ecological footprint based on sub-national hectare: A case study of Zhejiang. Acta Ecol. Sin. 2009, 24, 82–92. [Google Scholar]
- Ferng, J.J. Toward a scenario analysis framework for energy footprints. Ecol. Econ. 2002, 40, 53–69. [Google Scholar] [CrossRef]
- Xiong, Z.; Li, H. Ecological deficit tax: A tax design and simulation of compensation for ecosystem service value based on ecological footprint in China. J. Clean. Prod. 2019, 230, 1128–1137. [Google Scholar] [CrossRef]
- Browne, D.; O’Regan, B.; Moles, R. Use of carbon footprinting to explore alternative household waste policy scenarios in an Irish city-region. Resour. Conserv. Recycl. 2009, 54, 113–122. [Google Scholar] [CrossRef]
- Huang, L.; Zhang, W.; Jiang, C. Ecological footprint method in water resources assessment. Acta Ecol. Sin. 2008, 28, 1279–1286. [Google Scholar]
- Hong, S.F.; Guo, Q.H.; Li, D.W. Spatiotemporal dynamics ofecological supply and demand based on ecological footprint theory. Resour. Sci. 2020, 42, 980–990. [Google Scholar]
- Bai, Y.; Zeng, H.; Wei, J.B.; Zhang, W.J.; Zhao, H.W. Optimization of ecological footprint model based on environmental pollution accounts: A case study in Pearl River Delta urban agglomeration. Chin. J. Appl. Ecol. 2008, 8, 1789–1796. [Google Scholar]
- Peng, J.; Wang, Y.; Chen, Y. Economic Value of Urban Ecosystem Services: A Case Study in Shenzhen. Acta Sci. Nat. Univ. Pekin. 2005, 41, 594. [Google Scholar]
- Zhang, Z.; Hu, B.; Jiang, W. Construction of ecological security pattern based on ecological carrying capacity assessment 1990–2040: A case study of the Southwest Guangxi Karst-Beibu Gulf. Ecol. Model. 2023, 479, 110322. [Google Scholar] [CrossRef]
- Xie, G.D.; Zhen, L.; Lu, C.X.; Xiao, Y.; Chen, C. Expert knowledge based valuation method of ecosystem services in China. J. Nat. Resour. 2008, 5, 911–919. [Google Scholar]
- Xie, G.D.; Lu, C.X.; Leng, X.F. Valuation of ecological assets on the Tibetan Plateau. Nat. Resour. 2003, 2, 189–196. [Google Scholar]
- Shen, L.; Wang, H. How Does GDP Data Revision Affect Its Deflator. J. Quant. Technol. Econ. 2008, 5, 155–160. [Google Scholar]
- Jin, M.; Xu, L.; Li, P. Spatial and temporal evolution of natural utilization in the three-dimensional ecological footprint under the regional economic differentiation in north and south Xinjiang. Acta Ecol. Sin. 2020, 40, 4327–4339. [Google Scholar]
- Zhang, P.; Li, Q.; Xue, Z. Research on Tarim River Bsain Resdengs’ Willingness to Pay and Willngness to Accpet Differences. Resour. Dev. Mark. 2017, 33, 423–429. [Google Scholar]
- Yang, Y.; Yang, H.; Cheng, Y. Why is it crucial to evaluate the fairness of natural capital consumption in urban agglomerations in terms of ecosystem services and economic contribution? Sustain. Cities Soc. 2021, 65, 102644. [Google Scholar] [CrossRef]
- Zhu, W.B.; Li, S.C.; Zhu, L.Q. Ecosystem service footprint flow and the influencing factors within provinces, China. Geogr. Res. 2019, 28, 337–347. [Google Scholar]
- Yu, Y.; Li, J.; Han, L. Research on ecological compensation based on the supply and demand of ecosystem services in the Qinling-Daba Mountains. Ecol. Indic. 2023, 154, 110687. [Google Scholar] [CrossRef]









| Data | Source |
|---|---|
| Biological resource data, water resource data, energy consumption data, and various pollution emission data | Xinjiang Statistical Yearbook 2011–2021 [43] Xinjiang Production and Construction Corps Statistical Yearbook 2011–2021 [44] |
| Calorific value data of biological products | Handbook of Agricultural Technology and Economics (Revised Edition) |
| GDP, demographic data | Government Statistical Bulletin on National Economic and Social Development (2010–2020) Xinjiang Statistical Yearbook (2011–2021) [43] |
| Land use/land cover map data | Spatial resolution of 30 m per pixel (2010–2020) [45] |
| Type of Land Use\Prefectures | Urumqi | Karamay | Turpan | Hami | Changji | Bortala | Ili | Tacheng | Altay | Bayingol | Kizilsu | Aksu | Kash | Hotan | Shihezi |
|---|---|---|---|---|---|---|---|---|---|---|---|---|---|---|---|
| Cropland | 1.34 | 0.83 | 0.50 | 0.79 | 1.17 | 1.21 | 1.51 | 1.25 | 1.17 | 0.83 | 1.02 | 0.79 | 0.86 | 1.04 | 0.68 |
| Woodland | 1.45 | 1.63 | 1.54 | 0.40 | 0.89 | 1.50 | 0.67 | 1.13 | 0.57 | 0.50 | 0.67 | 1.05 | 0.90 | 0.94 | 1.16 |
| Grassland | 0.68 | 0.95 | 1.63 | 0.59 | 0.94 | 0.63 | 0.92 | 0.71 | 0.63 | 0.97 | 1.03 | 1.55 | 0.94 | 1.06 | 1.78 |
| Water bodies | 1.24 | 1.04 | 1.88 | 0.33 | 1.10 | 0.36 | 2.54 | 0.58 | 0.12 | 1.04 | 0.91 | 2.28 | 0.26 | 0.88 | 0.44 |
| Type of Ecosystem Service/Land Use | Cropland | Grassland | Water Bodies | Woodland |
|---|---|---|---|---|
| Food production | 1 | 0.43 | 0.53 | 0.33 |
| Material production | 0.39 | 0.36 | 0.35 | 2.98 |
| Gas conditioning | 0.72 | 1.5 | 0.51 | 4.32 |
| Climate control | 0.97 | 1.56 | 2.06 | 4.07 |
| Hydrological regulation | 0.77 | 1.52 | 18.77 | 4.09 |
| Waste disposal | 1.39 | 1.32 | 14.85 | 1.72 |
| Sum | 5.24 | 6.69 | 37.07 | 17.51 |
Disclaimer/Publisher’s Note: The statements, opinions and data contained in all publications are solely those of the individual author(s) and contributor(s) and not of MDPI and/or the editor(s). MDPI and/or the editor(s) disclaim responsibility for any injury to people or property resulting from any ideas, methods, instructions or products referred to in the content. |
© 2024 by the authors. Licensee MDPI, Basel, Switzerland. This article is an open access article distributed under the terms and conditions of the Creative Commons Attribution (CC BY) license (https://creativecommons.org/licenses/by/4.0/).
Share and Cite
Shi, J.; Wang, T.; Xu, L.; Gao, Z.; Cao, C.; Luo, Y.; Xi, Y.; Zhang, Y. Study on the Ecological Compensation Standard in the Xinjiang Uygur Autonomous Region of China under the Perspective of Natural Capital Supply and Demand. Sustainability 2024, 16, 3078. https://doi.org/10.3390/su16073078
Shi J, Wang T, Xu L, Gao Z, Cao C, Luo Y, Xi Y, Zhang Y. Study on the Ecological Compensation Standard in the Xinjiang Uygur Autonomous Region of China under the Perspective of Natural Capital Supply and Demand. Sustainability. 2024; 16(7):3078. https://doi.org/10.3390/su16073078
Chicago/Turabian StyleShi, Jinli, Tuodi Wang, Liping Xu, Zhiyu Gao, Cui Cao, Yutian Luo, Yunyun Xi, and Yu Zhang. 2024. "Study on the Ecological Compensation Standard in the Xinjiang Uygur Autonomous Region of China under the Perspective of Natural Capital Supply and Demand" Sustainability 16, no. 7: 3078. https://doi.org/10.3390/su16073078
APA StyleShi, J., Wang, T., Xu, L., Gao, Z., Cao, C., Luo, Y., Xi, Y., & Zhang, Y. (2024). Study on the Ecological Compensation Standard in the Xinjiang Uygur Autonomous Region of China under the Perspective of Natural Capital Supply and Demand. Sustainability, 16(7), 3078. https://doi.org/10.3390/su16073078
