A Sustainable Development Study on Innovation Factor Allocation Efficiency and Spatial Correlation Based on Regions along the Belt and Road in China
Abstract
1. Introduction
2. Model Establishment and Sample Selection
2.1. Super-Efficient SBM-DEA Model
2.2. Malmquist Index Model
2.3. Spatial Autocorrelation Analysis Method
2.4. Sample Selection and Variable Data Sources
2.5. Input–Output Variable Selection
2.5.1. Input Index
2.5.2. Output Index
2.5.3. Non-Expected Output Index
3. Empirical Results
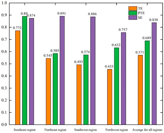
3.1. Results of the Super-Efficient SBM-DEA Model
Decomposition Results of Innovation Factor Allocation Efficiency
3.2. Malmquist Index Model Results
3.3. Spatial Autocorrelation Analysis
3.3.1. Global Spatial Autocorrelation Analysis
3.3.2. Local Spatial Autocorrelation Analysis
4. Discussion
5. Conclusions and Policy Recommendation
5.1. Conclusions
5.2. Policy Recommendation
- Optimize the allocation of funds for innovative factor inputs, enhance supervision, and vigorously promote economic development. To mobilize the enthusiasm of regions along the Belt and Road for developing innovation factors, it is essential to strengthen and enhance the financial market system. This includes optimizing the mechanisms for fiscal expenditure on science and technology, coordinating the promotion of direct and indirect financing, introducing innovative financial products, and providing tailored financial lending services for various scientific and technological enterprises. Additionally, there should be encouragement for insurance institutions to enhance the system of delivering scientific and technological insurance products. Furthermore, establishing a specialized science and technology innovation fund regulator is crucial to bolstering follow-up testing and evaluation of projects and ensuring effective fund utilization. Simultaneously, the government should enact policies supporting innovation fund investments, foster a fair market environment, and activate the potential value of the innovation factor market in each region. Utilizing capital, talent, technology, data, and other innovation factor elements in innovation factor market activities is vital. This approach aims to continuously enhance innovation factor allocation efficiency while promoting economic development through innovation.
- Encouraging scientific and technological innovation, facilitating regional talent mobility, and establishing a regional support mechanism for innovation factors. The overall innovation factor allocation efficiency in the Belt and Road region is relatively low, as indicated by the higher level of innovation factor development in the southeast coastal region compared to other regions. Regional governments should develop policies to stimulate scientific and technological innovation, including providing financial support for research, implementing preferential taxation, and strengthening intellectual property protection. They should establish high-level research platforms for outstanding talents, create funds for innovation, and enhance collaboration with enterprises, universities, and research institutes to promote the transformation and application of research results. High-tech firms should foster an innovation culture, improve incentives for innovation, and attract and cultivate talent. Banks should offer flexible financing for high-tech innovation enterprises. Encouraging regional mobility among research talent and supporting talent flow from high- to low-level regions can facilitate knowledge exchange and innovation. Establishing an innovation support mechanism can aid regions with weak innovation by leveraging resources from stronger regions. Government intervention should prioritize central and western regions, aiming to bridge regional disparities and achieve high-quality development.
- Enhancing the upgrading of regional industrial structure and enhancing the ecological system for innovation factor allocation. The regions along China’s Belt and Road exhibit geographical complexity and diversity, leading to significant differences in economic levels. Innovation factor allocation efficiency in these regions is predominantly of the L-L type. The Belt and Road policy has shown great potential in narrowing regional differences and realizing common prosperity. The allocation of innovative factors in the western region has improved significantly in recent years, but the western region still lacks market competitiveness compared with the eastern region. To achieve shared development, regions should optimize their industrial structure and facilitate the structural upgrading of industrial innovation allocation. Consequently, high-tech enterprises across provinces should increase investment in scientific research funding, gradually expand the scale of their industry, and consistently standardize enterprise fund supervision systems to mitigate resource waste and other issues. The government should not only offer macro-level financial guarantees for enterprises but should also assume an organizational role in core technology research and development, emphasizing the theme of high-tech scientific and technological innovation. Each region should leverage its industrial and resource advantages to propel the in-depth upgrading of modern industrial structures and traditional industries, fostering a high-standard technology industry trading platform. Additionally, the deep integration of traditional and modern data and information industries is essential to create a digital innovation ecosystem for information sharing, accelerating digitalization efforts, and enhancing innovation factor flow among regions along China’s Belt and Road. By leveraging both government and market roles, we can fortify and enhance the ecosystem for innovation factor allocation.
5.3. Limitations and Future Research Directions
Author Contributions
Funding
Institutional Review Board Statement
Informed Consent Statement
Data Availability Statement
Conflicts of Interest
References
- Huang, Y. Understanding China’s Belt & Road initiative: Motivation, framework and assessment. China Econ. Rev. 2016, 40, 314–321. [Google Scholar] [CrossRef]
- Johnston, L.A. The Belt and Road Initiative: What is in it for China? Asia Pac. Policy Stud. 2019, 6, 40–58. [Google Scholar] [CrossRef]
- Tekdal, V. China’s Belt and Road Initiative: At the crossroads of challenges and ambitions. Pac. Rev. 2018, 31, 373–390. [Google Scholar] [CrossRef]
- Wei, S.J.; Xie, Z.; Zhang, X. From “made in China” to “innovated in China”: Necessity, prospect, and challenges. J. Econ. Perspect. 2017, 31, 49–70. [Google Scholar] [CrossRef]
- Zhang, F.; Wu, F.; Cooke, P. China’s changing national and regional innovation systems and regional distribution of R & D. Geogr. Compass 2010, 4, 532–544. [Google Scholar] [CrossRef]
- Liang, S.; Tan, Q. Can the digital economy accelerates China’s export technology upgrading? Based on the perspective of export technology complexity. Technol. Forecast. Soc. Chang. 2024, 199, 123052. [Google Scholar] [CrossRef]
- Zhang, Y.; Zhang, Z.; Jin, H.; Tu, W.; Liu, Y. Innovation and OFDI along the Belt and Road. Technol. Forecast. Soc. Chang. 2024, 200, 123136. [Google Scholar] [CrossRef]
- Ma, W.; Bo, N.; Wang, X. Can greater openness improve green economy efficiency of countries along the belt and Road Initiative? Heliyon 2024, 10, e26684. [Google Scholar] [CrossRef] [PubMed]
- Blažek, J.; Žížalová, P.; Rumpel, P.; Skokan, K.; Chládek, P. Emerging regional innovation strategies in Central Europe: Institutions and regional leadership in generating strategic outcomes. Eur. Urban Reg. Stud. 2013, 20, 275–294. [Google Scholar] [CrossRef]
- Jianmin, W.; Li, Y. Does factor endowment allocation improve technological innovation performance? An empirical study on the Yangtze River Delta region. Sci. Total Environ. 2020, 716, 137107. [Google Scholar] [CrossRef]
- Gao, Q.; Cheng, C.; Sun, G. Big data application, factor allocation, and green innovation in Chinese manufacturing enterprises. Technol. Forecast. Soc. Chang. 2023, 192, 122567. [Google Scholar] [CrossRef]
- Xu, Y.; Wang, Z.C.; Tao, C.Q. Can innovative pilot city policies improve the allocation level of innovation factors?—Evidence from China. Technol. Forecast. Soc. Chang. 2024, 200, 123135. [Google Scholar] [CrossRef]
- Kogan, L.; Papanikolaou, D.; Seru, A.; Stoffman, N. Technological innovation, resource allocation, and growth. Q. J. Econ. 2017, 132, 665–712. [Google Scholar] [CrossRef]
- Cao, Y.H.; You, J.X.; Shi, Y.J.; Hu, W. Research on the allocation efficiency and influencing factors of scientific and technological resources in the Yangtze river delta city group. Sustainability 2021, 13, 7951. [Google Scholar] [CrossRef]
- Xu, M.; Qi, Y.; Tao, C.; Zhang, S. A Random Forest Method for Identifying the Effectiveness of Innovation Factor Allocation. Comput. Intell. Neurosci. 2022, 2022, 1135582. [Google Scholar] [CrossRef]
- Wang, B.; Liu, Y. Calculating regional innovation efficiency and factor allocation in China: The price signal perspective. Appl. Econ. 2023, 56, 2451–2469. [Google Scholar] [CrossRef]
- Ji, Y.; Cai, H.; Wang, Z. Impact of industrial synergy on the efficiency of innovation resource allocation: Evidence from Chinese metropolitan areas. Land 2023, 12, 177. [Google Scholar] [CrossRef]
- Liu, M.L.; Wang, J. Regional innovation Factors, Allocation Efficiency and Innovation Performance. Stat. Decis. 2022, 169–174. [Google Scholar]
- Wang, X.Y.; Jin, G.H. Research on the efficiency of innovation factor allocation from the perspective of high-qualityeconomic development in China: Analysis based on three-stage DEA-Malmguist-Tobit model. Price Theory Pract. 2023, 174–178+204. [Google Scholar] [CrossRef]
- Men, X.P.; Li, X.H.; He, J.Y. Regional Differences and Dynamic Evolution of Allocation Efficiency of Innovation Factors: Statistical Measurement Based on the Yangtze River Economic Belt. Stat. Decis. 2022, 97–102. [Google Scholar]
- Wang, J.M.; Yang, L. Innovation Elements, Allocation Efficiency and the Performance of Innovation in the Yangtze River Delta Region. Shanghai J. Econ. 2020, 75–85. [Google Scholar] [CrossRef]
- Xu, Y.; Zhao, J.F. Measurement of the Coupling Degree of Innovation Elements Allocation and Economic High-Quality Development in China. J. Quant. Technol. 2020, 46–64. [Google Scholar] [CrossRef]
- Ratner, S.; Lychev, A.; Rozhnov, A.; Lobanov, I. Efficiency evaluation of regional environmental management systems in Russia using data envelopment analysis. Mathematics 2021, 9, 2210. [Google Scholar] [CrossRef]
- Firsova, A.; Chernyshova, G. Efficiency analysis of regional innovation development based on DEA Malmquist index. Information 2020, 11, 294. [Google Scholar] [CrossRef]
- Broekel, T.; Rogge, N.; Brenner, T. The innovation efficiency of German regions—A shared-input DEA approach. Rev. Reg. Res. 2018, 38, 77–109. [Google Scholar] [CrossRef]
- Charnes, A.; Cooper, W.W.; Rhodes, E. Measuring the efficiency of decision making units. Eur. J. Oper. Res. 1978, 2, 429–444. [Google Scholar] [CrossRef]
- Tone, K. A slacks-based measure of efficiency in data envelopment analysis. Eur. J. Oper. Res. 2001, 130, 498–509. [Google Scholar] [CrossRef]
- Zhong, K.; Wang, Y.; Pei, J.; Tang, S.; Han, Z. Super efficiency SBM-DEA and neural network for performance evaluation. Inf. Process. Manag. 2021, 58, 102728. [Google Scholar] [CrossRef]
- Caves, D.W.; Christensen, L.R.; Diewert, W.E. The economic theory of index numbers and the measurement of input, output, and productivity. Econom. J. Econom. Soc. 1982, 50, 1393–1414. [Google Scholar] [CrossRef]
- Zhang, H.; Hu, J.; Hao, F.; Zhang, Y. Spatio-temporal evolution of provincial ecological footprint and its determinants in China: A spatial econometric approach. J. Clean. Prod. 2024, 434, 140331. [Google Scholar] [CrossRef]
- National Bureau of Statistics of China. China Statistical Yearbook. 2021. Available online: https://www.stats.gov.cn/ (accessed on 1 February 2024).
- China Science and Technology Statistics. China Science and Technology Statistical Yearbook. 2021. Available online: https://www.sts.org.cn/ (accessed on 1 February 2024).
- National Bureau of Statistics of China. China High-Tech Industry Statistical Yearbook. 2021. Available online: https://www.stats.gov.cn/ (accessed on 1 February 2024).
- National Bureau of Statistics of China. China Statistical Yearbook on Environment. 2021. Available online: https://www.stats.gov.cn/ (accessed on 1 February 2024).







| Type | Primary Index | Secondary Index | Unit |
|---|---|---|---|
| Innovation input index | Talent factor | Full-time equivalent of R&D personnel | Person-year |
| Capital factor | Internal expenditure of R&D funds | 10,000 yuan | |
| Financial expenditure on science and technology | Billion yuan | ||
| Technology factor | Expenditure on purchasing domestic and foreign advanced technology | 10,000 yuan | |
| Data factor | Number of mobile phone subscribers | 10,000 households | |
| Innovation output index | Technological outcomes | Patent authorization | Piece |
| Economic benefits | Amount of technology market contracts | Billion yuan | |
| Sales volume of new products | 10,000 yuan | ||
| Non-expected output | Production of solid hazardous waste | 10,000 tons | |
| Discharge of sulfur dioxide in wastewater | 10,000 tons | ||
| Chemical oxygen demand in wastewater discharge | 10,000 tons |
| Province | 2012 | 2013 | 2014 | 2015 | 2016 | 2017 | 2018 | 2019 | 2020 | 2021 | Mean |
|---|---|---|---|---|---|---|---|---|---|---|---|
| Inner Mongolia | 0.218 | 0.125 | 0.054 | 0.056 | 0.051 | 0.108 | 0.140 | 0.153 | 0.148 | 0.263 | 0.132 |
| Liaoning | 0.396 | 0.336 | 0.353 | 0.454 | 0.501 | 0.562 | 0.680 | 0.664 | 0.597 | 1.001 | 0.555 |
| Jilin | 1.042 | 0.155 | 0.279 | 0.195 | 1.002 | 1.049 | 1.054 | 1.132 | 1.026 | 1.036 | 0.797 |
| Heilongjiang | 0.153 | 0.191 | 0.150 | 0.139 | 0.175 | 0.250 | 0.358 | 0.394 | 0.477 | 0.539 | 0.283 |
| Shanghai | 1.008 | 1.017 | 1.008 | 1.029 | 1.050 | 1.020 | 1.016 | 1.059 | 1.056 | 1.079 | 1.034 |
| Zhejiang | 0.743 | 1.036 | 1.004 | 1.001 | 1.019 | 1.011 | 1.008 | 1.059 | 0.744 | 1.140 | 0.977 |
| Fujian | 1.122 | 0.560 | 0.372 | 0.298 | 0.170 | 0.201 | 0.223 | 0.275 | 0.308 | 0.357 | 0.389 |
| Guangdong | 0.371 | 1.005 | 0.473 | 0.635 | 0.659 | 1.020 | 0.883 | 1.037 | 1.024 | 1.037 | 0.814 |
| Guangxi | 0.037 | 0.126 | 0.074 | 0.128 | 1.037 | 1.028 | 0.567 | 0.342 | 1.025 | 1.063 | 0.543 |
| Hainan | 0.125 | 0.343 | 1.005 | 0.105 | 1.000 | 1.016 | 0.740 | 1.000 | 0.094 | 1.017 | 0.645 |
| Chongqing | 0.479 | 0.337 | 1.016 | 1.015 | 1.034 | 1.174 | 0.354 | 0.371 | 0.478 | 1.008 | 0.727 |
| Yunnan | 0.232 | 0.183 | 0.180 | 0.189 | 0.216 | 0.255 | 0.247 | 0.208 | 0.159 | 0.237 | 0.211 |
| Shanxi | 0.408 | 1.071 | 0.374 | 0.602 | 1.014 | 0.543 | 0.743 | 1.083 | 1.250 | 1.205 | 0.829 |
| Gansu | 0.401 | 0.365 | 0.407 | 0.338 | 0.282 | 0.346 | 0.493 | 1.000 | 1.054 | 1.008 | 0.569 |
| Qinghai | 0.086 | 0.151 | 0.253 | 0.387 | 0.193 | 0.744 | 1.206 | 0.189 | 1.041 | 1.057 | 0.531 |
| Ningxia | 0.103 | 0.118 | 0.092 | 1.036 | 0.084 | 0.105 | 0.174 | 1.099 | 1.000 | 1.005 | 0.482 |
| Xinjiang | 0.080 | 0.037 | 0.038 | 0.039 | 0.044 | 0.069 | 0.041 | 1.010 | 0.362 | 0.127 | 0.185 |
| Mean | 0.412 | 0.421 | 0.420 | 0.450 | 0.561 | 0.618 | 0.584 | 0.710 | 0.697 | 0.834 | 0.571 |
| Value of Efficiency | Region |
|---|---|
| >1 | Shanghai |
| [0.8–1) | Zhejiang, Shanxi, Guangdong |
| [0.6–0.8) | Jilin, Chongqing, Hainan |
| [0.4–0.6) | Gansu, Liaoning, Guangxi, Qinghai, Ningxia |
| [0.2–0.4) | Fujian, Heilongjiang, Yunnan |
| [0–0.2) | Xinjiang, Inner Mongolia |
| Year | EFFCH | TECH | PECH | SECH | TFP |
|---|---|---|---|---|---|
| 2012–2013 | 0.986 | 1.131 | 0.985 | 1.000 | 1.122 |
| 2013–2014 | 1.018 | 0.938 | 1.007 | 1.000 | 0.946 |
| 2014–2015 | 1.020 | 1.327 | 0.997 | 1.020 | 1.488 |
| 2015–2016 | 1.049 | 1.238 | 1.029 | 1.017 | 1.292 |
| 2016–2017 | 1.049 | 1.272 | 1.018 | 1.026 | 1.310 |
| 2017–2018 | 1.029 | 1.112 | 1.020 | 1.008 | 1.137 |
| 2018–2019 | 1.037 | 1.022 | 1.019 | 1.017 | 1.058 |
| 2019–2020 | 0.986 | 1.054 | 1.013 | 0.972 | 1.042 |
| 2020–2021 | 1.059 | 1.020 | 1.006 | 1.051 | 1.090 |
| Mean | 1.026 | 1.124 | 1.010 | 1.012 | 1.165 |
| Province | EFFCH | TECH | PECH | SECH | TFP |
|---|---|---|---|---|---|
| Inner Mongolia | 1.112 | 1.024 | 1.065 | 1.021 | 1.126 |
| Liaoning | 1.000 | 1.042 | 1.000 | 1.000 | 1.042 |
| Jilin | 1.024 | 1.020 | 1.000 | 1.023 | 1.043 |
| Heilongjiang | 1.098 | 1.076 | 1.081 | 1.009 | 1.166 |
| Shanghai | 1.000 | 1.232 | 1.000 | 1.000 | 1.232 |
| Zhejiang | 1.000 | 1.167 | 1.000 | 1.000 | 1.167 |
| Fujian | 1.013 | 0.946 | 1.011 | 1.000 | 0.944 |
| Guangdong | 1.000 | 1.095 | 1.000 | 1.000 | 1.095 |
| Guangxi | 1.001 | 1.103 | 1.001 | 1.000 | 1.108 |
| Hainan | 1.045 | 1.070 | 1.000 | 1.045 | 1.148 |
| Chongqing | 1.000 | 1.193 | 1.000 | 1.000 | 1.193 |
| Yunnan | 1.023 | 1.094 | 1.017 | 1.002 | 1.107 |
| Shanxi | 1.000 | 1.191 | 1.000 | 1.000 | 1.191 |
| Gansu | 1.000 | 1.155 | 1.000 | 1.000 | 1.155 |
| Qinghai | 1.000 | 1.448 | 1.000 | 1.000 | 1.448 |
| Ningxia | 1.106 | 1.238 | 1.000 | 1.106 | 1.628 |
| Xinjiang | 1.018 | 1.013 | 1.003 | 1.004 | 1.011 |
| Mean | 1.026 | 1.124 | 1.010 | 1.012 | 1.165 |
| Year | Global Moran’s I | Z-Value | p-Value |
|---|---|---|---|
| 2012 | 0.582 | 2.263 | 0.012 |
| 2013 | 0.699 | 2.532 | 0.006 |
| 2014 | 0.836 | 3.053 | 0.001 |
| 2015 | 0.609 | 2.236 | 0.013 |
| 2016 | 0.493 | 1.834 | 0.033 |
| 2017 | 0.197 | 0.841 | 0.200 |
| 2018 | 0.640 | 2.358 | 0.009 |
| 2019 | 0.286 | 1.142 | 0.127 |
| 2020 | 0.040 | 0.075 | 0.470 |
| 2021 | 0.367 | 1.694 | 0.042 |
Disclaimer/Publisher’s Note: The statements, opinions and data contained in all publications are solely those of the individual author(s) and contributor(s) and not of MDPI and/or the editor(s). MDPI and/or the editor(s) disclaim responsibility for any injury to people or property resulting from any ideas, methods, instructions or products referred to in the content. |
© 2024 by the authors. Licensee MDPI, Basel, Switzerland. This article is an open access article distributed under the terms and conditions of the Creative Commons Attribution (CC BY) license (https://creativecommons.org/licenses/by/4.0/).
Share and Cite
Liu, P.; Han, G.; Yang, H.; Li, X. A Sustainable Development Study on Innovation Factor Allocation Efficiency and Spatial Correlation Based on Regions along the Belt and Road in China. Sustainability 2024, 16, 2990. https://doi.org/10.3390/su16072990
Liu P, Han G, Yang H, Li X. A Sustainable Development Study on Innovation Factor Allocation Efficiency and Spatial Correlation Based on Regions along the Belt and Road in China. Sustainability. 2024; 16(7):2990. https://doi.org/10.3390/su16072990
Chicago/Turabian StyleLiu, Panpan, Guanghui Han, Haichao Yang, and Xiaobo Li. 2024. "A Sustainable Development Study on Innovation Factor Allocation Efficiency and Spatial Correlation Based on Regions along the Belt and Road in China" Sustainability 16, no. 7: 2990. https://doi.org/10.3390/su16072990
APA StyleLiu, P., Han, G., Yang, H., & Li, X. (2024). A Sustainable Development Study on Innovation Factor Allocation Efficiency and Spatial Correlation Based on Regions along the Belt and Road in China. Sustainability, 16(7), 2990. https://doi.org/10.3390/su16072990

