Next Article in Journal
Towards More Green Buildings in Tanzania: Knowledge of Stakeholders on Green Building Design Features, Triggers and Pathways for Uptake
Previous Article in Journal
Impact of Low-Carbon City Pilot Policies on Green Construction Industry Innovation
 
 
Font Type:
Arial Georgia Verdana
Font Size:
Aa Aa Aa
Line Spacing:
Column Width:
Background:
Article

Research on the Carbon Reduction Technology Path of the Iron and Steel Industry Based on a Multi-Objective Genetic Algorithm

College of Science, North China University of Science and Technology, Tangshan 063210, China
*
Authors to whom correspondence should be addressed.
Sustainability 2024, 16(7), 2966; https://doi.org/10.3390/su16072966
Submission received: 31 January 2024 / Revised: 28 March 2024 / Accepted: 31 March 2024 / Published: 2 April 2024

Abstract

This paper establishes a multi-objective optimization model based on an improved NSGA-II algorithm, aiming to study the carbon reduction technology path of specific enterprises in the steel industry under the background of China’s dual-carbon goal and fill the research gap in the carbon reduction technology path of steel enterprises, which has certain guiding significance for the realization of China’s dual-carbon goal and the low-carbon development of steel enterprises. Firstly, through the analysis of the list of extreme energy efficiency technologies in the steel industry and the main process flow of steel industry production, the multi-objective optimization model is constructed from the two objective dimensions of maximum CO2 emission reduction and maximum enterprise economic benefit. Then the improved NSGA-II algorithm is used to solve the model. And the empirical analysis of a Hebei iron and steel enterprise, based on the technology application of enterprises before the release of the technology list, the technology path of enterprises to reduce carbon is predicted. The actual application data of the enterprise is used for verification and analysis, and suggestions on the technical path for the future low-carbon development of the enterprise are provided. The experimental results show that: (1) The optimal solution set of Pareto is consistent with the practical application of enterprises, and the constructed model is accurate and efficient, which can be used for the research of carbon reduction technology path. (2) When introducing technology, enterprises can give priority to the solution of common set technology based on their own needs.

1. Introduction

With China’s economic development and the continuous acceleration of the industrialization process, a large number of greenhouse gas emissions, the global warming problem is becoming more and more serious, and energy saving and emission reduction are imperative, therefore, this paper studies the low-carbon development technology path of the steel industry [1]. In September 2020, the president proposed a “two-carbon” goal of peaking CO2 emissions by 2030 and achieving carbon neutrality by 2060 [2]. The State Council’s “Action Plan for Carbon Peak before 2030” pointed out that the industrial sector should speed up green low-carbon transformation and high-quality development, and strive to take the lead in achieving carbon peak [3]. As the foundation and pillar industry of the national economy, the iron and steel industry is also the industry with the highest carbon emissions in the manufacturing industry. In 2019, the crude steel output of China’s steel industry was 995.489 million tons, and the carbon emissions reached 1853.101 million tons, accounting for 18.9% of the total carbon emissions of the country that year [4]. Therefore, the energy conservation and emission reduction of the steel industry is crucial to the early realization of the dual-carbon goal of “carbon peak, carbon neutrality” and to deal with global warming. Although the energy-saving and carbon reduction effects of China’s steel industry have been remarkable in recent years, due to the high proportion of long processes in China’s steel industry and its large output base, there is still a big gap between China’s steel industry carbon emissions and foreign advanced levels. At present, domestic and foreign scholars’ research on steel energy saving and carbon reduction mainly focuses on three aspects: carbon emission accounting of the steel enterprises, carbon emission reduction influencing factors of the steel industry, and the carbon emission reduction path of the steel industry.
Domestic and foreign scholars use different methods to measure the carbon emissions of the steel industry. Zhang et al. [5] proposed a carbon flow model and corresponding calculation method by comprehensively considering the relationship among emission factors, system boundaries, and indicators. Wang Yunming [6] made a comparative analysis of carbon emissions, comprehensive energy consumption, and output of each process from a microscopic perspective with the data of 8 steel production enterprises in the Beijing-Tianjin-Hebei region obtained from field research. Based on the input-output method and the life cycle calculation method of the ISO standard, Liu Hongqiang [7] took a domestic steel mill as an example to calculate the emissions of steel mills by using three methods and made a comparison. Gao Chengkang [8] et al. and Liang Congzhi [9] used carbon footprint analysis to measure carbon emissions in the steel industry.
At present, research on the influencing factors of the steel industry is mainly carried out in the two directions of industrial scale and factor decomposition. Yeonbae Kim and Ernst Worrell [10] used empirical methods to analyze the influence of different factors on the trend of CO2 emission reduction in the steel industry, and the results showed that steel output was the main factor affecting carbon emissions. Pan Yifang and Men Feng [11] sorted out the relevant measures for eliminating backward production capacity in the steel industry in China, optimized them on this basis, and put forward new feasible measures. Wang Mengnan [12] studied the path of energy conservation and emission reduction in the iron and steel industry with the help of the LEAP model and analyzed that capacity reduction and innovative technology have an important impact on the development of the low-carbon economy. Tu Zhengge [13] used the optimized Laplace index decomposition method to empirically compare the contribution of different emission reduction measures to low-carbon development and concluded that promoting industrial structure adjustment, optimizing energy structure, promoting energy-saving technology, and innovating process structure were the main factors affecting emission reduction. In addition, some scholars believe that the application of low-carbon energy-saving technology is an important factor affecting the steel industry to achieve the goal of “carbon neutral, carbon peak”. At present, China’s steel industry’s low-carbon energy-saving technology still has greater potential for improvement and development prospects.
At present, domestic and foreign studies on the path of carbon reduction in the steel industry are mainly analyzed from the macro aspect, while the analysis of specific steel enterprises is still relatively small, and the research is mainly focused on the adjustment of energy structure and the application of green low-carbon technology. Jing M. Chen [14] points to reducing carbon emissions as much as possible, including replacing fossil fuels with carbon-free renewables, hydropower, and nuclear power; industrial CO2 capture, removal, storage, and utilization; solid waste recycling; reducing energy consumption; and improving energy efficiency. Carbon sinks on land and in the oceans should also be strengthened, and technology and infrastructure for industrial mitigation programs should be implemented. Zou [15] believes that the implementation of carbon neutrality faces many challenges, such as politics, resources, technology, market, and energy structure. Chen Shiyi, a domestic scholar [16] (2022) believes that it is necessary to reduce the use of fossil energy, increase the use of clean energy, actively use technological innovation to adjust the energy structure, improve energy efficiency, and increase the use of carbon sink technology. Yang Jiejun [17] (2021) divides low-carbon technologies into carbon-free and zero-carbon technologies represented by clean energy, decarbonization technologies, green low-carbon technologies, and carbon reduction technologies represented by carbon capture, storage, and utilization. Zhang Haonan [18] et al. (2022) believe that although there are disputes between zero carbon emissions and net zero emissions on whether to retain fossil energy, both of them are based on the improvement of energy use efficiency, and there is a certain complementary relationship between them. This feature can be used to bring into play the synergistic effect of various low-carbon technologies and accelerate the emission reduction process. Xu Peng [19] (2023) took iron and steel enterprises in Liaoning Province as the object and conducted cluster analysis on 18 iron and steel enterprises in Liaoning Province and found that the energy efficiency and carbon emission intensity of different enterprises were different. Wang Yunji [20] believed that the iron and steel metallurgy industry should keep exploring and promoting green technology in iron and steel metallurgy. The effective application and innovative development of green technology in iron and steel metallurgy can reduce the generation of all kinds of pollution and reduce energy consumption to meet the requirements of low carbon emission reduction. From the level of iron and steel metallurgy enterprises, the innovative application of iron and steel metallurgy green technology can improve the productivity of enterprises, so that the whole process of iron and steel metallurgy can meet the requirements of low carbon emission reduction in the country and is conducive to the sustainable development of enterprises. From the social level, the application and development of the iron and steel metallurgy green technology can change the status quo of high pollution and high consumption in the iron and steel metallurgy industry, ensure the interaction between economic development and environmental protection, and achieve a win-win situation of economic and social benefits. Zhai Weifeng [21] pointed out that the strategy of iron and steel enterprises to achieve carbon neutrality through the supply chain can be summarized as follows: create a new path of collaborative carbon reduction by innovating the cooperation mode of supply chain members; jointly develop low-carbon and green technologies by strengthening the role of technical cooperation ties. Yang Nan [22] et al., starting from the current situation (baseline situation), used the LEAP model to predict the carbon peak time and output of the Hebei steel industry but did not analyze the carbon emission reduction path. Tian Xingran [23] put forward policy suggestions for Hebei’s iron and steel industry to cope with climate change from the perspectives of eliminating production capacity, optimizing industrial structure, promoting technological innovation, energy management, etc. However, the suggestions were not based on normative empirical research methods and were insufficient to provide the guiding basis for Hebei Province to formulate accurate low-carbon development plans. At the same time, achieving carbon neutrality is also a classic issue involving multi-regional and multi-industry, multi-entity collaborative governance.
Overall, the reduction of CO2 emissions in the steel industry is a single-objective problem, but when enterprises introduce advanced technologies in addition to reducing CO2 emissions to meet the requirements of national policies, they also need to consider the cost of technology introduction, profits, etc. Therefore, this paper establishes a multi-objective optimization model. The multi-objective optimization model is to find a set of solutions when there are multiple conflicting optimization objectives in the optimization problem so that these objectives can achieve a balance among each other. Unlike traditional single-objective optimization problems, multi-objective optimization problems involve multiple conflicting objective functions, which cannot be simply transformed into the form of a single objective function. Therefore, traditional single-objective optimization algorithms, such as linear programming [24] and nonlinear programming [25], cannot be directly applied to multi-objective solving. Instead, multi-objective problems need to be transformed into single-objective problems for processing using objective weighting, which will increase the subjectivity of model optimization. NSGA-II algorithm [26], as a multi-objective optimization algorithm, can directly optimize and solve multi-objective problems with good optimization effect and fast optimization speed [27]. NSGA-II algorithm has been widely used in aerospace [28], machine design [29], reservoir optimization scheduling [30], resource scheduling [31], power systems [32], and many other fields. For example, in reservoir scheduling, Chang [33] et al. applied the NSGA-II algorithm to the reservoir group optimal scheduling problem and tested the feasibility and effectiveness of the algorithm in the multi-objective optimal scheduling of reservoirs. However, the NSGA-II algorithm itself also has some defects and needs to be improved, and domestic and foreign scholars have done a lot of research on it. Gong [34] proposed an improved NSGA-II algorithm based on weighted congestion to make the optimization range of the NSGA-II algorithm focus on individual non-dominated regions to improve the optimization efficiency. The algorithm is applied to the parameter optimization of the Common Land Model, and the efficiency and feasibility of the improved algorithm are verified. Zhang [35] applied the improved NSGA-II algorithm based on weighted congestion degree to the joint optimal scheduling problem of the Xijiang reservoir group and obtained a multi-objective optimal scheduling scheme set with satisfactory annual power generation and ecological benefits. It can be found that although the multi-objective optimization model and NSGA-II algorithm are widely used and domestic and foreign scholars have conducted a lot of research on the multi-objective optimization model and NSGA-II algorithm, no scholars have applied the multi-objective optimization model to the research on the carbon reduction technology path of the steel industry to explore the carbon reduction technology path of specific steel enterprises. At present, the research on the improvement of the NSGA-II algorithm is mostly carried out on the two aspects of search domain optimization and single operator improvement, and the internal relationship of the population selection mechanism has not been deeply studied. However, the NSGA-II algorithm is based on the natural selection theory of biological evolution and genetics, and one of its core algorithms is the selection mechanism of “survival of the fittest”. Therefore, this paper proposes an improved NSGA-II algorithm by analyzing the population evolution law of the NSGAII algorithm, aiming at its defects in selecting the best, and applying it to the multi-objective optimization model of the carbon reduction technology path in the steel industry.
Therefore, to achieve carbon neutrality in the steel industry as soon as possible, research on carbon reduction technology paths for specific enterprises in the steel industry is carried out. Based on the list of 50 ultimate energy efficiency technologies in the steel industry released by the China Iron and Steel Association on 9 December 2022, at the on-site launch of the three-year energy efficiency benchmark action plan for the steel industry, this paper constructs a multi-objective optimization model from the two objective dimensions of maximum CO2 emission reduction and maximum enterprise economic benefit according to the main processes of steel industry production. The improved NSGA-II algorithm is used to solve the problem. Finally, the low-carbon development technology path of the steel industry is found, and technical path suggestions are provided for the low-carbon development of specific steel enterprises.

2. Establishment of Multi-Objective Optimization Model

2.1. Basic Assumptions

Since the multi-objective optimization model and the improved NSGA-II algorithm proposed in this paper are aimed at all enterprises in the iron and steel industry rather than a specific enterprise, the influence of each iron and steel enterprise’s factors on the solution results of the model and algorithm is ignored during the research process, so that each iron and steel enterprise can refer to the content of this paper and modify according to its situation. Find a low-carbon development path suitable for yourself, and make the following assumptions about the model:
Assume that advanced technology will be introduced in each process of steel enterprises.
Due to the large size, type, and nature of blast furnaces, converters, and electric furnaces used by different iron and steel enterprises, the influence caused by the equipment used in the carbon reduction effect of enterprises is ignored in this paper for the convenience of research.
Ignoring the differences in introduction costs caused by different methods (direct purchase, trade-in), sizes, models, and purchase channels in the introduction of advanced technology and equipment.
Assume that the steel plant can produce 10 million tons of steel per year.

2.2. Definition of Advanced Technologies

In this paper, the advanced technology of the coking process, sintering (pelletizing) process, blast furnace process, converter (electric furnace) process, and steel rolling process in the list of 50 ultimate energy efficiency technologies in the steel industry by the China Iron and Steel Association in 2022 is pretreated. The key functional refractory integration technology for coke ovens that is not related to carbon reduction is removed, and the remaining 37 advanced technologies in the five processes are defined (Table A1) according to the main production process of the iron and steel industry (Figure 1).
Figure 1 shows the flow chart of the main steel process, in which the five processes are the coking process, sintering (pelleting) process, blast furnace process, converter (electric furnace) process, and steel rolling process from left to right and from top to bottom. Each type of large process contains many small processes. When the process has advanced technology that can be applied to the technical list, it is represented by a double-layer box. For example, advanced technologies can be applied in the coke oven process, such as waste gas recovery in the coke oven carbonization chamber, automatic pressure regulation technology, an energy-saving furnace cover for the coke oven, and automatic heating control technology for the coke oven. In Figure 1, the coke oven process is represented by a double frame; otherwise, a single-layer frame is used.

2.3. Carbon Reduction Capacity Accounting of Advanced Technologies

This paper classifies the carbon reduction effects of each advanced technology according to the introduction of each advanced technology in the list of extreme energy efficiency technologies in the steel industry (Table A2). The carbon reduction capacity of advanced technology (kg CO2/t-steel) was calculated based on the equivalent relationship between various energy sources, standard coal, and CO2 emissions (Table 1), and the calculation results are shown in Table A2.

2.4. Multi-Objective Optimization Model of Carbon Reduction Technology Path in the Steel Industry

2.4.1. Objective Function

Multi-objective optimization refers to the research problem involving multiple objective functions, and in the multi-objective optimization mathematical model, each objective function often conflicts with each other, and the improvement of one optimization objective may cause the performance of other optimization objectives to be reduced, which cannot be met at the same time, such as the system applicability maximization objective and the total production cost minimization objective in the power system management optimization problem [36], Uav medical supplies simultaneous pick-up and delivery problems in the operating cost, flight time minimization target and location optimal target [37], objective of total energy consumption minimization and flight time minimization in inspection robot flight problems [38]. Because in the process of carbon reduction technology path research, steel enterprises should not only reduce CO2 emissions to meet the national low-carbon policy but also ensure the economic benefits of enterprises. Therefore, this paper constructs a multi-objective optimization model from two objective dimensions of maximizing CO2 emission reduction and maximizing enterprise economic benefit according to the main process flow of iron and steel industry production. The specific objective function can be described by Formula (1) and Formula (2).
max   Q = x uj i q uj i
max   C = x uj i p uj i c uj i + w l s
where: Q—The quantity of CO2 emission reduction per ton of steel by introducing advanced technology;
C—Profits from tons of steel after the introduction of advanced technology;
c—Represents the investment amount (cost) per ton of steel;
p—Represents the comprehensive profit (profit) generated by reducing the employment of workers, fuel, ore, and recycling heat, electricity, steam, and other tons of steel after the introduction of advanced technology;
s—Represents the total amount of government subsidies per ton of steel (subsidy);
w1—Weight coefficient, which represents the proportion of the government subsidy amount of a certain type of steel enterprise in the total government subsidy amount of all types of steel enterprises;
l—Indicates the number of types of enterprises receiving government subsidies;
The formula for calculating the total government subsidy s and the weight coefficient w1 for tons of steel is as follows:
s = Subsidies   for   each   type   of   steel   enterprise   ÷   Annual   steel   production   ×   3
w l = Subsidies   for   steel   enterprises   of   category   l Subsidies   for   each   type   of   steel   enterprise   l = 1 , 2 , 3 ,

2.4.2. Constraints

Considering the need to use advanced technology to reduce CO2 emissions, and assuming that steel enterprises will introduce advanced technology in each process, for each advanced technology, there are only two cases: selection and non-selection. For the convenience of calculation, 1 is used to represent the selection of advanced technology, and 0 is used to represent the non-selection of advanced technology. The constraints and decision variables are obtained as follows:
j = 1 n x uj i = 1   n = 1 , 2 , 3 , 5 , 6
where: x uj i = 0   or   1 ;   x uj   i = 1 , represents the introduction of the technology;   x uj i = 0 , indicates that the technology will not be introduced.

2.4.3. Multi-Objective Optimization Model of Carbon Reduction Technology Path

According to the accounting table of carbon reduction capacity of advanced technology and constraint conditions, the multi-objective optimization function is constructed from two objective dimensions of maximizing CO2 emission reduction and maximizing enterprise economic benefit as shown in formula (6), and the specific function is shown in Appendix A Formula (A1) as follows:
max   Q = x uj i q uj ik max   C = x uj i p uj i c uj i + w l s s . t . j = 1 n x ij u = 1   n = 1 , 2 , 3 , 5 , 6 q uj is 1 = s 1 × E CO 2 A , s 1 = 4 . 155 , 5 . 817 , 0 . 62325 , 2 . 493 , 0 . 62325 q uj is 2 = s 2 × E CO 2 B , s 2 = 4 . 72159091 , 0 . 03777273 , 0 . 07554545 q uj is 3 = s 3   ×   E CO 2 C E co 2 = 2 . 493 A = 0 . 7 + 0 . 8 2 B = 1 . 6 + 1 . 7 2 C = 1 . 3 + 1 . 5 2
where: x uj i = 1 ,   Introduce   the   technology 0 ,   Not   to   introduce   the   technology ;
q uj ik   ( x uj i = 1 )—CO2 emission reduction per ton of steel by advanced technology (For example, the application of high temperature and high pressure dry quenching technology x 11 CQT on the quenching tower x 1 j CQT in the coking process reduces the CO2 emission to 4.155 kg/ton of steel, then q 11 CQTs 1 = 4 . 155   kg / t );
c uj i —Introduction of advanced technology, equipment and other expenses ( x uj i = 1 );
s1—Average reduction in standard coal consumption (kg) per ton of coke produced after the introduction of technology;
s2—Average reduction in standard coal consumption per 1 ton of ore produced (kg);
s3—Average reduction in standard coal consumption (kg) per ton of pig iron produced after the introduction of advanced technology;
E CO 2 —The amount of CO2 produced by the complete combustion of 1 kg standard coal (kg);
A—Average coke consumption per ton of steel (t);
B—Average iron ore consumption per ton of steel (t);
C—Average pig iron consumption per ton of steel (t);
q uj ik   —Reducing the amount of CO2 emitted per ton of steel by reducing the use of type k energy, k = s 1 ,   s 2 , . ,   s 17

3. Solution Idea of Improved NSGA-II Algorithm

For the multi-objective optimization model of the carbon reduction technology path constructed in this paper, the improved NSGA-II algorithm is used to solve it. NSGA-II [39], also called the fast non-dominated sorting genetic algorithm (ga), is a kind of multi-objective optimization algorithm based on the Pareto optimal solution [40]. It is one of the classic multi-objective optimization algorithms and has been cited more than 26,000 times by researchers so far [41]. It is different from the traditional genetic algorithm [42] in that NSGA-II first divides the population into Pareto levels according to the Pareto principle, then calculates the individual crowding degree of the population, and finally performs the traditional genetic algorithm process. The improved NSGA-II algorithm optimizes the advanced technology of the same process according to the constraint conditions after the coding of the NSGA-II algorithm and then carries out a series of operations, such as fast non-dominated sorting.

3.1. Model Features

For the multi-objective optimization model, most of the traditional solving methods reduce multiple objectives into one and use mathematical programming tools to solve them, such as the constraint method, weighting method, distance function method, and min-max method. Although these traditional methods inherit the mature algorithm mechanism for solving single-objective optimization problems, classical methods such as the weighting method are very sensitive to the shape of the Pareto optimal frontier and cannot deal with the concave of the frontier. Moreover, the heuristic knowledge and information related to the application background required for solving the problem are rarely obtained, failing normal optimization or having a poor optimization effect, resulting in only one solution. Not very suitable for solving large-scale problems [42]. Considering the different dimensions between the established objective functions (1) and (2), the huge technical data of the actual process of iron and steel enterprises, and the need for carbon reduction technology paths at different stages of enterprises of different sizes, the genetic algorithm is applied to the multi-objective optimization problem, and the improved NSGA-II algorithm is used to solve the multi-objective optimization model of the steel industry carbon reduction technology path.

3.2. Coding Requirements

Using the superscript p to represent the ordinal number of the decision vector XP, when the algorithm evolved to the g generation, the chromosomes could be recorded as X P g = X 1 P g , X 2 P g , X 3 P g , X 4 P g , X 5 P g , the numbers 1, 2, 3, 4, and 5 represent the five major processes, and the length of the chromosome gene fragment is equal to the number of advanced technologies contained in the corresponding processes. The length of chromosome X P g is the sum of the number of advanced techniques in the five processes. Considering that the objective function variable x uj i is 0, 1, this paper adopts binary coding. Any allele X 1 q P 0 , 1 in X 1 P corresponds to decision item X uj i , the corresponding sequence is the sequence of technical labels in Table 1. When X uj i = 1 ,   x uj i = 1 , denotes the application of the jTH advanced technology in the i stage of the coking process; when X uj i = 0 , it means that the j advanced technology in the i stage of the coking process is not used. Since computer programming is usually encoded in hexadecimal, hexadecimal and binary conversions are required in the actual programming process. According to the table of correspondence between binary numbers and hexadecimal numbers, every 4 binary numbers correspond to 1 hexadecimal number, and the specific coding process is shown in Figure 2.

3.3. Key Points of the Algorithm

At present, the methods used to solve multi-objective optimization problems mainly include the hierarchical sequence method [43], linear weighting method [44], ε-constraint method [45], intelligent algorithm based on Pareto optimal solution, etc. Among them, the first three methods belong to the traditional methods to solve the multi-objective optimization problem, and their essence is to transform the multi-objective problem into a single objective problem. Then mathematical programming [24] is used to solve the problem, but the traditional solution method can only obtain an optimal solution each time, and the relationship between the objectives needs to be studied to transform the multi-objective solution into a single-objective solution, which is complex and inefficient. Intelligent algorithms based on Pareto optimal solutions mainly include multi-objective genetic algorithms (NSGA, NSGA-II, NSGA-III) [46], multi-objective particle swarm optimization (MOPSO) [47], and multi-target human worker ant colony algorithm (MOABC) [48], Their essence is to use modern intelligent algorithms to calculate the Pareto solution set of the multi-objective optimization model and can generate multiple Pareto optimal solutions at a time, which has been widely concerned by scholars at home and abroad. Genetic algorithm (GA) is a kind of search algorithm that simulates the genetic and evolutionary processes of natural organisms and has good applicability to complex nonlinear and multi-dimensional space optimization problems. Because the genetic algorithm has the characteristics of a multi-point search, it can obtain the set of multiple Pareto optimal solutions during the search, so it has great advantages to applying the genetic algorithm to multi-objective problem-solving. The commonly used multi-objective genetic algorithms mainly include Pareto intensity evolution algorithm II (SPEA-II), vector evaluation genetic algorithm (VEGA), non-dominated sorting multi-objective genetic algorithm (NSGA), fast non-dominated sorting genetic algorithm (NSGA-II, NSGA-III), etc. NSGA-II introduces the elite strategy based on NSGA so that the elite solution can be retained. Compared with the NSGA algorithm, the NSGA-II algorithm does not need to set any parameters, which can avoid the distortion of algorithm results caused by subjective parameter settings, and the algorithm has higher operation efficiency. NSGA-III and NSGA-II have the same framework, and the main difference lies in the difference in selection mechanisms. NSGA-III introduces widely distributed reference points to maintain population diversity, which is more applicable to high-dimensional targets than NSGA-II. However, NSGA-III has lower stability and operating efficiency when dealing with large-scale problems than NSGA-II, and the NSGA-II algorithm is more widely used than the NSGA-III at present. Therefore, the NSGA-II algorithm is selected in this paper, and based on the NSGA-II algorithm, the NSGA-II algorithm is improved according to the model established in this paper. The improved NSGA-II algorithm is to optimize the advanced technology of the same process according to the constraint conditions after completing the coding of the NSGA-II algorithm. Then perform a series of operations such as fast non-dominated sorting. The improved NSGA-II algorithm proposed in this paper aims at the research problem of the carbon reduction technology path in the steel industry. Since the steel production process involves multiple processes, each process involves multiple advanced technologies, how should each process choose advanced technologies (choose one or more) to achieve the best carbon reduction effect at the same time, but also to ensure a certain capacity and economic benefits. To solve this problem, this paper proposes an improved NSGA-II algorithm by analyzing the population evolution law of the NSGA-II algorithm and aiming at its defects in technical optimization. Compared with other multi-objective solving algorithms, the algorithm proposed in this paper is more efficient in the research problem of carbon reduction technology path in the steel industry, and the selected advanced technology is more in line with the needs of low-carbon development of enterprises. The improved NSGA-II algorithm focuses on fast non-dominant sorting, elite strategy, and congestion distance, which are briefly described below.
  • Fast non-dominated sort
If the objective function in formula (1)   Q X l and (2) C X l , l represents the number of advanced technologies, l = 1 , 2 , 3 , , 38 , X l A   set   of   technical   variables ,   X 1     X 2 , and X 1 , X 2 A   set   of   technical   variables , Q X 1   <   Q X 2 it is always true for X1 and X2, That is, individual X1 dominates individual X2; Q X 1     Q X 2 it’s always true for X1 and X2, and at least one target satisfies function C X 1   <   C X 2 , so we call individual X1 weakly dominates individual X2; if there is an objective function Q X 1     Q X 2 , there is at least one objective function C X 1   >   C X 2 , that is called X1 and X2 not dominating each other.
The first fast, non-dominated sort produces a solution set of Pareto level 1, which is called the Pareto optimal solution. The subsequent fast non-dominated sort will in turn produce Pareto level 2, level 3... Until all individuals have been assigned a rank.
  • Elite strategy
  • The parent population Pt generates the offspring population Qt through tournament selection, crossover, and mutation. The new population Qt generated by generation t is merged with parent population Pt to generate population Rt with population size 2N. Generate Pareto levels 1, 2, and 3 after a fast non-dominated sort... When the number of individuals of a certain level exceeds n, individuals with a high crowding distance are selected to be added until the population of the t+1 generation is filled. The elite strategy process is shown in Figure 3.
  • Congestion distance
Individual crowding distance is used to calculate the density around an individual, which is calculated by the sum of the normalized difference between two adjacent individuals in different target directions. When comparing two individuals of the same Pareto rank with different levels of crowding, the more crowded individual is considered to be more independent. The formula for calculating congestion is as follows:
d I = n = 1 k f n I + 1 f n I 1 f n max f n min ,
where d(I) is the crowding distance at I, f n I + 1 is the value of the individual I + 1 on the objective function f n , f n I 1 is the value of the individual I − 1 on the objective function f n , f n max , and f n min are the maximum and minimum values of the objective function f n , k is the number of nondominated layers.

3.4. Algorithm Flow

Firstly, chromosome coding is carried out (the encoding method is shown in Figure 2), the population is initialized, and N individuals are generated. Then, processes with multiple advanced technologies are optimized, and the most preferential technology for each process is selected according to the principle of maximum carbon reduction and maximum profit. The first Pareto solution set is the optimal Pareto solution set, in which the solutions do not dominate each other but also dominate other Pareto solutions. Then the crowding density was calculated, the tournament selection was conducted according to the order of the crowding degree, and the crossover and mutation operations were carried out to generate the first generation of subpopulations. After merging the child population and the parent generation, the non-dominated ranking and the crowding degree were calculated again. After sorting according to the crowding degree, the individuals with a high Pareto rank and a high crowding degree were put together to form a new population. The algorithm flow chart is shown in Figure 4.

4. Case Analysis

In the context of the policy of coordinated development in Beijing, Tianjin, and Hebei, the Ministry of Ecology and Environment and the other five departments issued Opinions on Promoting the Implementation of Ultra-Low Emissions in the Steel Industry in 2019, pointing out that the implementation path and feasible measures to peak carbon in the steel industry should be carefully planned. As a big steel province, Hebei Province’s steel output in 2022 accounts for one-third of the country. Therefore, the research on the carbon emission reduction path of the steel industry in Hebei Province is of great significance for the low-carbon development of the steel industry in the country and even the world. Although the carbon emission reduction of Hebei’s steel industry has achieved certain results through energy conservation and emission reduction, the carbon emission of Hebei’s steel industry still accounts for about 65% of the province’s industrial carbon emissions. Therefore, a scientific and effective carbon emission reduction path is crucial for Hebei’s steel industry to achieve low-carbon development while ensuring economic profits and controlling the total amount and intensity of carbon emissions. However, a steel enterprise in Hebei is a state-level technological innovation demonstration enterprise. Therefore, to verify the effectiveness of the model and predict the technological path of carbon reduction in the steel industry, this paper takes a steel enterprise in Hebei Province as an example, uses a genetic algorithm and improved NSGA-II algorithm to solve the model, compares the solution results of the two algorithms, and uses the actual application data of the enterprise to verify and analyze the solution results. Finally, the optimization scheme of the carbon reduction technology path in the steel industry of a steel enterprise in Hebei Province is presented.

4.1. Data Analysis

Firstly, according to the list of 50 extreme energy efficiency technologies in the steel industry released by the China Iron and Steel Association in 2022, the initial carbon reduction technology data of the steel industry for research is obtained. Then the initial technical data is processed, and advanced technologies unrelated to carbon emission reduction are removed to obtain carbon reduction technologies for the steel industry. Because enterprises need to spend a certain cost in the process of implementing technology emission reduction, it is used to research and develop low-carbon technology, purchase technology patents, or complete the upgrading of production equipment. And emissions reduction benefits can offset the cost, which is the enterprise’s important basis for choosing the path of technology to reduce emissions. According to the list of extreme energy efficiency technologies, the catalog of low-carbon technologies that the state has focused on promoting in recent years, the catalog of cleaner production technology guidance in key national industries and specific enterprise application cases (Table A3), and the initial data on carbon emission reduction potential, input costs, and profits of different advanced technologies are obtained. Finally, the initial carbon reduction potential, input cost, and profit data were unified according to certain equivalence relations and standards, and the carbon dioxide reduction per ton of steel produced by different technologies, as well as the cost and profit required for each ton of steel production, were calculated.

4.1.1. Application of Advanced Technology in Enterprises

The advanced technology applied by the enterprise during the period from 22 September 2020 to 9 December 2022 when the ultimate energy efficiency technology is proposed is taken as the benchmark (Table 2), the carbon reduction technology path of a Hebei steel enterprise is predicted, and the specific advanced technology application situation of the enterprise is verified and analyzed (Table 3). By analyzing the application of advanced technology in iron and steel enterprises in Table 2, according to the principle of applying one advanced technology in each process, it can be obtained as follows:
x 43 CI = 1 ,   x 41 CI = x 42 CI = x 44 CI = x 45   CI = x 46   CI = 0 x 41 ER = 1 ,   x 42 ER = 0 x 41 TMI = 1 x 51 CON = 1

4.1.2. The Ability of Advanced Technologies to Reduce CO2 Emissions

In 2020, the total greenhouse gas emissions from the iron-making process of an iron and steel enterprise in Hebei Province will be 1,653,070 t, of which CO2 emissions will be 1,596,288 t, CH4 emissions will be 6563 t, and N2O emissions will be 50,219 t [49], the greenhouse gas emissions of iron-making process mainly come from a blast furnace. Therefore, the total greenhouse gas emission of the iron-making process of an iron and steel enterprise in Hebei Province in 2020 is taken as the annual greenhouse gas emission of blast furnaces. The annual greenhouse gas emissions of blast furnaces s18 = 1,653,070 t. The average daily output of the No. 2 blast furnace of a steel plant in Hebei Province from January 2023 to May 2023 is 7919 t, 8220 t, 7551 t, 8929 t, and 9002 t, respectively [50], taking the average daily output of the No. 2 blast furnace in the first 5 months of 2023 as the daily output of the blast furnace, the annual steel production of the blast furnace.
o 1   = ( 7919 + 8220 + 7551 + 8929 + 9002 )   ÷   5   ×   365 = 3 , 038 , 333   t
Because the heating season usually refers to the middle of October each year to the middle of April of the next year, a total of 6 months, the entire heating season of steel production is as follows:
o 2 = o 1   ÷   2 = 1 , 519 , 166 . 5   t
Based on annual greenhouse gas emissions s18 from blast furnaces, the annual output of steel o1 in blast furnace and the output of steel o2 in the whole heating season can be obtained.
The carbon reduction capacity of the new ignition and combustion technology of the blast furnace gas release tower is as follows:
x 33 BF = 2495   ×   10 3   ×   2 . 49   ÷   o 1 = 2 . 04472321   kg / t   steel
The carbon reduction capacity of blast furnace quenching slag waste heat efficient recovery technology is as follows:
x 31 WQG = 95 , 970   ×   7 . 4   ×   0 . 404   ×   2 . 493   ÷   o 2 = 0 . 44152555 kg / t   steel
The carbon reduction capacity of energy saving control technology of the converter dust blower is as follows:
x 45 C I = 126 × 0.404 × 2.493 ÷ o 1 = 0.004177   kg / t   steel
The carbon reduction capacity of the oxygen-enriched combustion technology of the roaster is as follows:
x 42 SL = 4500   ×   0 . 207   ×   2 . 493   ×   50 %   ÷   o 1 = 0 . 00038216   kg / t   steel
The carbon reduction capacity of thin strip casting and rolling integration technology is as follows:
x 51 CON   = s 18   ×   1 / 4   ×   10 3   ×   74 %   ÷   o 1 = 100 . 653204   kg / t   steel
In addition, for advanced technologies with carbon reduction capacity in a specific range, to facilitate calculation, the average value of the range is taken as the carbon reduction capacity of advanced technologies, then the carbon reduction capacity of coke oven circulating ammonia waste heat recovery technology is as follows:
x 11 FL = 0 . 4155 + 0 . 831 / 2 = 0 . 62352   kg / t   steel
The carbon reduction capacity of waste gas recovery and pressure automatic regulation technology in a Coke oven carbonization chamber is as follows:
x 11 COY = 1 . 662 + 3 . 324 / 2 = 2 . 493   kg / t   steel
The carbon reduction capacity of energy-saving furnace cover technology for coke ovens is as follows:
x 12 COY = 0 . 4155 + 0 . 831 / 2 = 0 . 62325   kg / t   steel

4.1.3. Expenses and Profits from the Introduction of Advanced Technology

On 3 November 2023, Hebei Province issued several measures to stimulate the development of the steel industry and gave financial support to eight types of steel enterprises. Among them, the national technological innovation demonstration enterprise, provincial manufacturing innovation center, national manufacturing innovation center, national manufacturing single champion, national industrial technology basic public service platform, science and technology resources unit, common technology unveiling task implementation subject, academician cooperation carrier subsidy amounts are 1 million yuan, 3 million yuan, 43 million yuan (according to the National Manufacturing Innovation Center policy, comprehensive provincial and municipal awards), 2 million yuan, 1 million yuan, 800,000 yuan (the highest), 2 million yuan (the highest), 400,000 yuan. According to the list of national technological innovation demonstration enterprises published by the Ministry of Industry and Information Technology, a steel enterprise in Hebei has been newly identified as a national technological innovation demonstration enterprise, and the government subsidy weighting coefficient w1 of the enterprise is as follows:
w 1 = Amount   of   subsidy   for   steel   enterprises   in   Category   1 Amount   of   subsidy   for   each   type   of   iron   and   steel   enterprise = 5 266
Assuming that the steel plant can produce 10 million tons of steel per year, the total government subsidy s per ton of steel during the 3-year validity period of the ultimate energy-efficient technology list is:
s = Subsidies   for   each   type   of   steel   enterprise Annual   steel   production × 3 = 1 . 773333   yuan / t   steel
For the calculation of the enterprise’s investment amount c (cost) per ton of steel when the advanced technology is introduced within the period of 3 years of the ultimate energy efficiency technology list and the comprehensive profit p (profit) generated per ton of steel after the introduction of advanced technology by reducing the employment of workers, fuel and ore, and recovering heat, electricity, and steam, etc. First of all, the advanced technology (high temperature and high-pressure dry quenching technology), CQT, sintering flue gas waste heat recovery and utilization technology SIM2, bottom-blown carbon dioxide steelmaking technology of converter CI3, recovery technology of flue gas waste heat of converter CI1, RH process, dry (mechanical) vacuum technology ER1, iron steel interface, hot metal intelligent scheduling system TMI, thin strip casting, and rolling integration technology CON, gas recovery technology of equalizing pressure on top of blast furnace BF1, that has been applied in the iron and steel enterprise 22 September 2020 to December 2022 is removed. At the same time, because the constraints specify that only one advanced technology can be applied in the same process, and then the advanced technology applied in the same process with the advanced technology applied in the iron and steel enterprise (Full temperature range waste heat recovery technology of converter flue gas CI2, steam balance and control technology of steelmaking CI4, energy-saving control technology of converter dust removal fan CI5, automatic combustion and hot pressure equalization technology of BF hot blast furnace BF2, new ignition and ignition technology of blast furnace gas release tower BF3, oxygen-rich furnace technology of hot blast furnace BF4, Double preheating technology of air gas in hot blast stove BF5, vacuum chamber oxygen-enriched baking technology ER2. Sintering technology of super thick material layer SIM1) is removed, Finally, according to the list of extreme energy efficiency technologies in the steel industry, the low carbon technology catalog that the state has focused on promoting in recent years, the clean production technology guidance catalog of national key industries, and the advanced technology investment and carbon reduction capacity of advanced technologies in specific enterprise application cases, According to certain equivalence relations and standards (Table 4), the import cost " c uj i " per ton of steel and the profit p uj i per ton of steel are calculated (Table 5), the formula for calculating the investment amount c per ton of steel invested by enterprises with advanced technology is as follows:
c = Investment   amount   of   enterprises   introducing   advanced   technology Annual   production   of   steel   iron   and   steel   enterprise   ×   3

4.2. Model Solving

NSGA-II algorithm is one of the most popular algorithms for solving multi-objective optimization models [51,52]. In this paper, the improved NSGA-II algorithm is used to analyze the enterprise data, and the Pareto optimal solution set is obtained through continuous iteration to obtain the best scheme satisfying the objective function. The specific calculation steps are as follows:
Encoding and decoding. There are two main ways of genetic algorithm coding: binary coding and real coding. Compared with real number coding, binary coding has convenient cross-mutation operations and scalability and can expand the range by adding more bits, so this paper adopts binary coding.
Population initialization. In the actual solution of the problem, the initial population size is generally set to 20–200, and the initial population size in this paper is 100. When initializing the population, because the objective function restricts the enterprise to adopting only one advanced technology in each process, the number of iterations and the time required to obtain the optimal solution are reduced.
Genetic manipulation. Select operation, cross operation, and mutation operation in turn. Set the crossover probability to 0.06 and the mutation probability to 0.9.
Non-dominated sorting. After non-dominant ordering, the first Pareto frontier solution set is the optimal Pareto frontier, in which the solutions do not dominate each other but also dominate the solutions of other Pareto frontier species.
Calculation of the congestion degree. The improved NSGA-II proposed the use of crowding distances to maintain population diversity.
Algorithm termination. In this paper, the running time and accuracy of the algorithm are controlled by setting the number of pre-set iterations. When the number of iterations exceeds the pre-set number of iterations, the algorithm will terminate the operation, and the number of iterations is set to 100.

4.3. Result Analysis

4.3.1. Analysis of Single-Objective Solution Results of Genetic Algorithm

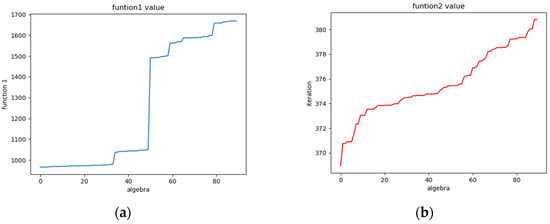
To verify the effectiveness and feasibility of the model. Firstly, a genetic algorithm is used to solve the single objective function. According to the CO2 emission reduction and profit data of tons of steel in Table A2 and Table 5, and Section 3.1, a genetic algorithm was used to solve the objective functions (1) and (2) in the multi-objective optimization model of the carbon reduction technology path in the steel industry, respectively, in Python software version 3.10, and the maximum solution of the objective functions (1) and (2) was obtained after several iterations. As shown in Figure 5. Through analysis, it can be found that the maximum value of the objective function (1) is between 1000 kg and 1700 kg, and the maximum value of the objective function (2) is between 370 and 382 yuan. The optimal solution of the objective function (1) and (2) is shown in Table 6.

4.3.2. Analysis of Multi-Objective Solution Results of Improved NSGA-II Algorithm

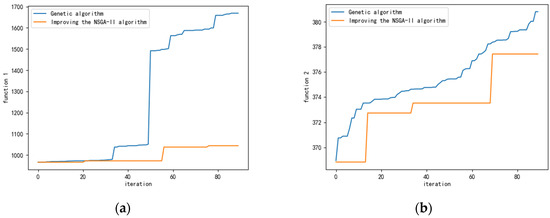
The initial parameters of the model are set as follows: the initial population number N = 100; The maximum number of iterations is 100; the number of parental selection was 45, the crossover probability was 0.06, and the variation probability was 0.9. Python software was used to write a solution program, and after many experiments, four Pareto solutions were obtained. The optimal solution set is shown in Figure 5. The horizontal coordinate represents the CO2 emission reduction of the objective function (1) per ton of steel, and the coordinate represents the profit generated by the objective function (2) per ton of steel within 3 years of the technical list’s valid period. Figure 6a is the Pareto solution of the objective function under different iterations, and Figure 6b is the Pareto optimal solution set obtained after multiple iterations.
The red, green, and blue points in Figure 6a, respectively, represent the Pareto solutions obtained by experiments with different iteration times, among which the red point is the Pareto optimal solution set, and the specific results are shown in Figure 6b. By analyzing the results of three experiments, it can be found that almost all NSGA-II solutions are uniformly distributed on Pareto optimality. Moreover, the objective function (1) CO2 emission reduction per ton of steel and the objective function (2) profit generated per ton of steel are contradictory. As the CO2 emission reduction per ton of steel gradually increases, the profit generated per ton of steel generally shows a decreasing trend. Therefore, enterprises can choose their preferred solution from multiple optimal solutions according to the different needs of enterprises for profit and CO2 emission reduction.
By analyzing the Pareto optimal solution set in Figure 6b, it can be found that the CO2 emission reduction per ton of steel in the Pareto optimal solution set ranges from 960 to 1040 kg, and the profit generated per ton of steel ranges from 373 to 378 yuan. According to the principle of the maximum CO2 emission reduction per ton of steel, the optimal solution of the Pareto optimal solution set satisfying the objective function is the solution set 4. According to the principle of maximum profit per ton of steel, the optimal solution of the Pareto solution set satisfying the objective function is the solution set 1. The selection of specific advanced technologies in the Pareto optimal solution set is shown in Table 7.

4.3.3. Comparative Analysis of Two Algorithms

Compared with the optimization results in Figure 5 and Figure 6, it can be seen that when other constraints remain unchanged and only a single target is considered, the maximum value of the objective function obtained is often larger than that obtained by considering the maximum value of the double target. In the actual operation process of iron and steel enterprises, in addition to meeting the national carbon neutrality and carbon emission reduction policies to introduce advanced technologies to reduce CO2 emissions to the normal operation of enterprises, economic benefits must also be considered, so it is often not feasible to consider only a single goal in the process of carbon emission reduction technology path research. Therefore, the multi-objective optimization model established in this paper is more feasible and effective in practical applications, and the technical optimization scheme given by the improved NSGA-II algorithm in Table 7 is more practical.
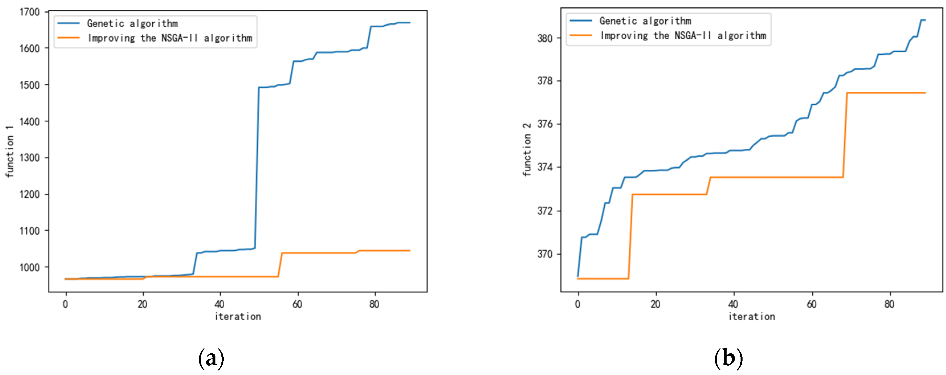
In addition, Figure 7a and Figure 7b, respectively, show the comparison diagram of the changes of each objective value with the number of iterations when the optimal solution set obtained by the traditional genetic algorithm and the improved NSGA-II algorithm is operated, where blue represents the single-objective genetic algorithm and red represents the multi-objective improved NSGA-II algorithm. As can be seen from the comparison of the iterative curves of each objective function, the convergence speed of the improved NSGA-II algorithm is significantly better than that of the traditional genetic algorithm in the iterative change trend of profit and CO2 targets, and the Pareto solution that meets the actual needs of enterprises can be found faster. Moreover, the improved NSGA-II algorithm can solve the maximum of the objective function in the range of the maximum of the single objective. The results show that the improved NSGA-II algorithm is reasonable and accurate for solving the multi-objective optimization model. Therefore, compared with the traditional genetic algorithm, the improved NSGA-II algorithm proposed in this paper can find more Pareto solutions that meet the actual needs of enterprises more efficiently.

4.3.4. Enterprise Actual Verification Analysis

By comparing the Pareto optimal solution set in Table 7 and the specific application of advanced technologies in the enterprise after the list of ultimate energy efficiency technologies is proposed in Table 3, it can be found that either the optimal solution set 4 obtained according to the principle of maximum CO2 emission reduction per ton of steel or the solution set 1 obtained according to the principle of maximum profit per ton of steel, they both contain high-efficiency recovery technology of waste gas waste heat in coke oven riser RIS and preheating technology of electric furnace scrap steel EFI, which are consistent with the actual application of the enterprise after the technology list is proposed, indicating that the multi-objective optimization model of the steel industry carbon reduction technology path can be used for the research of steel enterprises carbon reduction technology path.
Since the ultimate energy efficiency technology list is valid for 3 years, a steel enterprise in Hebei Province can continue to introduce advanced technologies in addition to the already applied technologies during the 2024–2025 technology list validity period, according to the enterprise’s own needs for profit and CO2 emission reduction. To ensure that enterprises can maximize economic benefits when introducing technologies to reduce CO2 emissions, enterprises can start from the public solution set that makes the largest economic profit and the largest CO2 emission reduction in Pareto optimal solution, and give priority to the introduction of common technologies. The common technique of solution set 1 and solution set 4 is recycling technology of ammonia waste heat in coke oven FL, sintering mixture preheating technology PM, sintering ring cold waste gas low-temperature waste heat utilization (OCR power generation + hot water) technology AC1, high efficient recovery technology of residual heat from quenched slag in blast furnace WQG, recovery, and utilization technology of waste heat in the cold bed of rolled steel bar CB and high-efficiency heat exchanger technology of steel rolling heating furnace HF5.

4.3.5. Application Effect Analysis of Advanced Technology

By analyzing the solution results of the multi-objective optimization model in sections 3.3.1 and 3.3.2, it can be found that enterprises can obtain certain carbon reduction effects after applying the advanced technology in the Pareto optimal solution, no matter whether it is solved by a single objective genetic algorithm or multi-objective improved NSGA-II algorithm. The carbon reduction capacity of tons of steel is as high as 1000 kg. Iron and steel enterprises have a carbon reduction effect, and at the same time, the production of each ton of steel can also produce a profit of about 375 yuan, which is conducive to the long-term development of iron and steel enterprises, indicating that the established model can be used for steel enterprises to reduce carbon technology path research.

5. Discussion

To achieve carbon neutrality in the steel industry as soon as possible under the dual carbon target, this paper discusses the expansion of the implementation path of carbon reduction technology in the steel industry from three aspects: implementation obstacles, promoting factors, and potential strategies to overcome challenges.

5.1. Implementation Barrier

Technical obstacles. Although the government has issued a list of extreme energy efficiency technologies in the steel industry, this paper provides a technological path research method for the low-carbon development of steel enterprises, and there are many precedents for enterprises to successfully apply advanced technologies to achieve carbon reduction. However, due to the differences in the size, talent, and capital of different iron and steel enterprises, enterprises need to further research, develop, and improve carbon emission reduction technology based on their conditions in the actual application of advanced technology to maximize the economic benefits and carbon reduction effect of enterprises. For example, some new smelting technologies and carbon capture technologies are expensive, need to be more efficient, or need to deal with specific operating conditions, material characteristics, and other technical challenges.
Financial barriers. Due to the high cost of introducing carbon emission reduction technology, although the government has a certain incentive and subsidy policy for the introduction of advanced technology, some small and medium-sized enterprises still cannot afford the large amount of funds required for the investment and operation of technology. Therefore, governments need to develop more specific economic incentives or corporate cooperation measures to promote the adoption and dissemination of advanced technologies.
In addition, there may be obstacles in terms of policies and regulations during the implementation of the carbon reduction technology path. The promulgation by the state of more policies, regulations, and standards to support the application of low-carbon technologies, as well as financial and tax incentives to encourage enterprises to cooperate and introduce advanced technologies, will help the implementation of carbon emission reduction technology paths in the steel industry. At the same time, the implementation of the carbon emission reduction technology path needs the joint efforts of the government, enterprises, and technical researchers.

5.2. Facilitating Factors

Although there are certain obstacles in the implementation process of carbon emission reduction technology in the steel industry, the implementation of carbon emission reduction technology also has certain practical significance. First of all, the implementation of a carbon emission reduction technology path can reduce CO2 emissions, conducive to the realization of dual-carbon goals, tackle global warming, and improve people’s living environment, in line with the concept of sustainable development. At the same time, in the process of applying advanced technologies, enterprises are also used to produce new products, accelerate the low-carbon transformation of enterprises, create economic opportunities, and promote the development of clean, environmental protection, and renewable energy industries.

5.3. Potential Strategies to Overcome Challenges

The implementation of the carbon emission reduction technology path is a long-term process, and overcoming the challenges in the process of carbon emission reduction technology path implementation requires the joint efforts of the government, enterprises themselves, and researchers. The government, as the main driving force in the process of implementing the carbon emission reduction pathway, should encourage enterprises to invest in and adopt low-carbon technologies by formulating relevant policies and regulations and providing financial incentives, such as subsidies and tax breaks, for enterprises to introduce advanced technologies to reduce the cost of carbon emission reduction technologies. In addition, the government should also pay attention to the research and development of carbon reduction technologies, provide financial support for advanced technology research and development, encourage technological research and development of enterprises and scientific research institutions, and promote the development and improvement of new technologies. Enterprises should also enhance their sense of social responsibility, actively cooperate with the government, and actively introduce low-carbon advanced technologies to reduce carbon emissions under the incentive of national policies. It is also important to strengthen international cooperation and share technology and research results to jointly tackle global climate change and promote sustainable development.

6. Conclusions

Based on the list of ultimate energy efficiency technologies in the steel industry, this paper constructs a multi-objective optimization model from the two objective dimensions of maximum CO2 emission reduction and maximum enterprise economic benefit according to the main process flow of the steel industry production. The improved NSGA-II algorithm is used to solve the multi-objective optimization model. The program is feasible, and the Pareto non-inferior solution is reasonable, which provides a reasonable choice space for practical application.
Because the objective function constraints of this paper restrict each process to introduce only one advanced technology and ignore the actual equipment differences of enterprises, enterprise scale, and complexity of steel process refinement during the research process, the initial number of some populations in the example analysis is small, making the results relatively simple. However, the model established in this paper is also applicable to the research of carbon emission reduction technology paths in more complex processes and complex situations in large iron and steel enterprises. At the same time, methodological guidance can also be provided for the research on the carbon reduction technology path of other enterprise processes except steel. Researchers can select the optimal solution and corresponding factor combination according to the different needs of CO2 emission reduction, profit, and other indicators under different scenarios, and introduce advanced technologies in different processes to meet the production needs.
In this paper, a multi-objective optimization model is constructed, and the improved NSGA-II algorithm is used to solve the multi-objective optimization model. To verify the effectiveness of the model and algorithm, that is, the constructed model and algorithm can be used in the research of carbon reduction technology path in the steel industry and have certain accuracy, the constructed model is applied to a steel enterprise in Hebei Province, and the experimental results are verified and analyzed with the actual technical application of the enterprise. The results of the improved NSGA-II algorithm and the traditional genetic algorithm are compared and analyzed. The experimental results show that the model is more accurate and efficient in the research of carbon reduction technology path. The case study in this paper provides a reference for other steel enterprises to study the path of low-carbon technology. With the deepening of research on the carbon reduction technology path of the steel industry under the background of carbon neutrality in China, the carbon reduction technology path of the steel industry will be clear and even have a certain impact on national policies. The government can issue the low-carbon development technology guide for steel enterprises according to the research results of the carbon reduction technology path, and encourage enterprises to introduce advanced technologies according to their conditions. This is not only conducive to the early realization of carbon neutrality in the steel industry and the realization of the national dual-carbon goal but also conducive to the green and sustainable development of steel enterprises and the country. In the long run, it can promote the economic development of steel enterprises and the country, which is conducive to the influence of the public attitude towards life, cultivate the awareness of green and sustainable citizens, and improve the public living environment. Improve the quality of public life. In addition, in the context of carbon neutrality, the research on the carbon reduction technology path of China’s steel industry will also provide a reference for the research on the carbon reduction technology path of other industries or other countries, laying the foundation for the low-carbon sustainable development of the world.
In addition, although multi-objective optimization models and improved NSGA-II algorithms are widely used in solving multi-objective optimization problems, there are also some potential limitations and challenges. The multi-objective optimization problem usually involves multiple objective functions and decision variables. When solving the carbon reduction technology path for large iron and steel enterprises, the computational complexity of the multi-objective optimization problem is very high, which requires a lot of computing resources and time, making the research of the carbon reduction technology path difficult. In the solution space of multi-objective optimization problems, there are usually multiple non-inferior solutions (Pareto frontiers), which usually have different qualities and characteristics. How to balance convergence (finding the approximate optimal solution) and diversity (covering Pareto frontiers) to find the optimal solution set? According to the enterprise’s situation, choosing a low-carbon path suitable for its development is the focus of future research. Therefore, future research can focus on improving the efficiency and performance of the algorithm to provide better problem-solving strategies and optimal solutions.
Although Hebei is a big province in the iron and steel industry, it has not established a perfect carbon management system. Most enterprises do not track and analyze the cost information of low-carbon technologies, and the lack of data makes researchers unable to accurately evaluate the cost-benefit situation of carbon emission reduction technology paths. The effectiveness analysis of technology carbon reduction effect, cost, and profit in this paper is only a preliminary study based on existing scattered data. In the future, researchers can conduct a more comprehensive and accurate assessment of the effects, costs, and benefits of different emission reduction technologies in the steel industry based on open and true data on carbon emissions and energy consumption.

Author Contributions

Conceptualization, D.W. and W.X.; methodology, D.W. and W.X.; validation, A.Y., W.X. and D.W.; investigation, A.Y., D.W., W.X., J.M. and Z.L.; data curation, Z.L. and W.X.; visualization, J.M. and W.X.; resources, A.Y. and D.W.; writing—original draft preparation, W.X. and J.M.; writing—review and editing, W.X. and J.M.; Supervision, A.Y. and D.W.; All authors have read and agreed to the published version of the manuscript.

Funding

This research was funded by Hebei Provincial Natural Science Foundation of China, grant number E2022209110; Hebei Provincial colleges and universities basic research funding project, grant number JQN2021025.

Institutional Review Board Statement

Not applicable.

Informed Consent Statement

Not applicable.

Data Availability Statement

Data are contained within the article.

Conflicts of Interest

The authors declare no conflicts of interest.

Appendix A

Table A1. Advanced technology definition table.
Table A1. Advanced technology definition table.
Serial NumberTechnical NameShort NameTechnical Variable
1High-temperature and high-pressure dry quenching technologyCQT x 11 CQT
2High-efficiency recovery technology of waste gas waste heat in coke oven riserRIS x 11 RIS  
4Recycling technology of ammonia waste heat in coke ovenFL x 11 FL
5Technology of waste gas recovery and automatic pressure adjustment in coke oven carbonization chamberCOY1 x 11 COY
6Energy-saving lid for coke ovensCOY2 x 12 COY
7Automatic heating control technology of coke ovenCOY3 x 13 COY
8Sintering mixture preheating technologyPM x 21 PM
9Sintering technology of super thick material layerSIM1 x 21 SIM
10Sintering flue gas waste heat recovery and utilization technologySIM2 x 22 SIM
11Sintering ring cold waste gas low-temperature waste heat utilization (OCR power generation + hot water) technologyAC1 x 21 AC
12Sintering waste gas waste heat recycling technologyAC2 x 22 AC
13Liquid sealing technology of sintering ring coolerAC3 x 23 AC
14Gas recovery technology of equalizing pressure on top of blast furnaceBF1 x 31 BF
15Automatic combustion and hot pressure equalization technology of BF hot blast furnaceBF2 x 32 BF
16New ignition and ignition technology of blast furnace gas release towerBF3 x 33 BF
17High-efficient recovery technology of residual heat from quenched slag in blast furnaceWQG x 31 WQG
18Oxygen-rich furnace technology of hot blast furnaceBF4 x 34 BF
19Double preheating technology of air gas in hot blast stoveBF5 x 35 BF
20Technology of reducing baking gas consumption by replacing knotting material with ladle wall brickSL1 x 41 SL
21Recovery technology of flue gas waste heat of converterCI1 x 41 CI
22Full temperature range waste heat recovery technology of converter flue gasCI2 x 42 CI
23Bottom-blown carbon dioxide steelmaking technology of converterCI3 x 43 CI
24Steam balance and control technology of steelmakingCI4 x 44 CI
25Energy-saving control technology of converter dust removal fanCI5 x 45 CI
26Oxygen-enriched combustion technology in roastersSL2 x 42 SL
27Iron steel interface hot metal intelligent scheduling systemTMI x 41 TMI
28RH process dry (mechanical) vacuum technologyER1 x 41 ER
29Automatic ignition and ignition technology of converter gasCI6 x 46 CI
30Vacuum chamber oxygen-enriched baking technologyER2 x 42 ER
31Preheating technology of electric furnace scrap steelEFI x 41 EFI
32Thin strip casting and rolling integration technologyCON x 51 CON
33Recovery and utilization technology of waste heat in a cold bed of rolled steel barCB x 51 CB
34Technology of pure oxygen combustion in steel rolling furnaceHF1 x 51 HF
35Combustion optimization solution for steel rolling heating furnaceHF2 x 52 HF
36Regenerative combustion technology of steel rolling furnaceHF3 x 53 HF
37Flameless oxygen-enriched combustion technology in reheating furnaceHF4 x 54 HF
38High-efficiency heat exchanger technology of steel rolling heating furnaceHF5 x 55 HF
Where, x uj i represents whether to introduce advanced technology, x uj i = 1 ,   Introduce   the   technology 0 ,   Not   to   introduce   the   technology ;   i represents the stage in the process, replaced by the initial letter of the stage, for example, coking coal (CC); u = 1 , 2 , 3 , 4 , 5 represents the 5 major stages of the process,1 represents the coking process, 2 represents the sintering pelletizing process, 3 represents the iron-making process, 4 represents the steel making process, and 5 represents the steel rolling process. j represents the number of advanced technologies that can be applied in a process, the value of j is related to the number of advanced technologies that can be applied in the process, that is, when the advanced technologies that can be applied in the process are 1, j = 1 , when n advanced technologies can be applied in the process, j = 1 , 2 , , n . For example, the advanced technologies that can be applied in the coke oven process (COY) include waste gas recovery and pressure automatic adjustment technology of coke oven carbonization chamber (COY1), energy-saving stove cover (COY2) and automatic heating control technology of coke oven (COY3), then the coke oven process can be expressed as x 1 j COY ,   j = 1 , 2 , 3 .
Table A2. Carbon reduction capacity accounting table of advanced technologies.
Table A2. Carbon reduction capacity accounting table of advanced technologies.
For ShortTechnical IntroductionCarbon Reduction Capacity
  q uj ik (kg/t-Steel)
Category
CQT5 kgce/t-coke4.155 s 1
RIS7 kgce/t-coke5.817 s 1
FL0.5–1 kgce/t-coke0.4155–0.831 s 1
COY12~4 kgce/t-coke1.662–3.324 s 1
COY20.5~1 kgce/t-coke0.4155–0.831 s 1
COY3160,000 tons of CO272.007 s 13
PM1.1 kg/t-ore609.878455 s 7
SIM12.99 kg/t-ore224.37 s 7
SIM212.5 kgce/t-ore4.72159091 s 2
AC10.1 kgce/t-ore0.03777273 s 2
AC20.2 kgce/t-ore0.07554545 s 2
AC3Recovered steam 80 kg/t-ore 3.89814545 s 7
BF13.90 Nm3/t-iron1.02930405 s 4
BF2from 2.085 GJ/to 2.052 GJ/t-iron0.20043732 s 8
BF3Save 2495 tce 2495   ×   10 3   ×   2 . 49   ÷   o 1 s 12
WQG95,970 GJ 95 , 970   ×   7 . 4   ×   0 . 404   ×   2 . 493   ÷   o 2 s 14
BF41.4 kgce/t-iron0.62325 s 3
BF510 kgce/t iron0.62325 s 3
SL112.46 m3/t- steel6.42999546 s 6
CI185 kg/t-steel, 135 m3/t-steel97.00263 s 9
CI2Energy saving 5 kgce/t-steel12.465 s 5
CI3Industrial CO2 utilization 4500 tons1.4705 s 13
CI44 kg/t-steel0.19490727 s 9
CI5Power saving 1.26 million kWh 126   ×   0 . 404   ×   2 . 493   ÷   o 1 s 15
SL2Fuel saving rate 50% 4500   ×   0 . 207   ×   2 . 493   ×   50 %   ÷   o 1 s 16
TMIEmission reduction of 5.93 kg CO21.05892857 s 10
ER10.5 kgce/t-steel1.2465 s 5
CI6Coal recovery 3.90 Nm3/t-iron1.02930405 s 4
ER2283,000 t CO2/year11.53 s 13
EFI120 kWh/t-steel120.86064 s 11
CONGreenhouse gas emissions 1/4 s 18   ×   1 / 4   ×   10 3   ×   74 %   ÷   o 1 s 18
CB4 kg/t-steel0.19490727 s 9
HF1Energy saving ≥ 20%624.44664 s 17
HF2Reduce gas consumption by 5% 3.11625 s 17
HF3More than 30% energy saving528.7653 s 11
HF4Fuel decreased by more than 10%6.2325 s 17
HF5Reduce fuel consumption by 5%3.11625 s 17
Note: double preheating technology of air gas in hot blast stove x 35 BF : Taking a 2500 m3 blast furnace as an example, the life of a ceramic burner can reach more than 8 years, and the air temperature can be increased by 30~50 °C compared with the general burner. Double life expectancy; Energy saving 10 kgce/t iron. Bottom-blown carbon dioxide steelmaking technology of converter x 43 CI : Xuangang (November 2010–2022) produced 3.06 million tons of steel in total and realized 4500 tons of industrial CO2 utilization. Vacuum chamber oxygen-enriched baking technology x 42 ER : The output of conventional heating furnaces in Anshan Steel Rolling Mill is about 24.54 million tons. If the oxygen-enriched combustion technology is applied, 109,000 tce/year can be saved and 283,000 t CO2/year can be reduced.
max   Q = x uj i q uj ik max   C = x uj i p uj i c uj i + w l s s . t . j = 1 n x ij u = 1   n = 1 , 2 , 3 , 5 , 6 q uj is 1 = s 1 × E CO 2 A , s 1 = 4.155 , 5.817 , 0.62325 , 2.493 , 0.62325 q uj is 2 = s 2 × E CO 2 B , s 2 = 4 . 72159091 , 0 . 03777273 , 0 . 07554545 q uj is 3 = s 3   ×   E CO 2 C q uj is 4 = s 4   ×   0 . 5714 + 0 . 6143   ÷   2 × E CO 2   ÷   C q uj is 5 = s 5   ×   E CO 2 q uj is 6 = s 6   ×   0 . 207   ×   E CO 2 q uj is 7 = s 7   ÷   B   ×   540   ×   E CO 2 q uj is 8 = s 8   ×   10 6   ÷   4 . 2   ÷   7000   ÷   C q uj is 9 = s 9   ×   0 . 129   ×   E CO 2 + 0 . 207   ×   s 6   ×   E CO 2 q uj is 10   = s 10   ÷   C q uj is 11 = s 11   ×   0 . 404   ×   E CO 2 q uj is 12 = s 12   ×   10 3   ×   E CO 2   ÷   o 1 q uj is 13 = s 13   ÷   o 1 q uj is 14 = s 14   ×   7 . 4   ×   0 . 404   ×   E CO 2   ÷   o 2 q uj is 15 = s 15   ×   0 . 404   ×   E CO 2   ÷   o 1 q uj is 16 = s 16   ×   0 . 207   ×   E CO 2   ×   50 %   ÷   o 1 q uj is 17 = s 17   ×   0 . 1   ×   E CO 2 q uj is 18 = o 3   ×   1 / 4   ×   10 3   ×   74 %   ÷   o 1 E co 2 = 2 . 493 A = 0 . 7 + 0 . 8 2 B = 1 . 6 + 1 . 7 2 C = 1 . 3 + 1 . 5 2
where: x uj i = 1 ,   Introduce   the   technology 0 ,   Not   to   introduce   the   technology ;
q uj ik   ( x uj i = 1 )—CO2 emission reduction per ton of steel by advanced technology (For example, the application of high temperature and high pressure dry quenching technology x 11 CQT on the quenching tower x 1 j CQT in the coking process reduces the CO2 emission to 4.155 kg/ton of steel, then q 11 CQTs 1 = 4 . 155   kg / t );
c uj i —Introduction of advanced technology, equipment and other expenses ( x uj i = 1 );
s 1 —Average reduction in standard coal consumption (kg) per ton of coke produced after the introduction of technology;
s 2 —Average reduction in standard coal consumption per 1 ton of ore produced (kg);
s 3 —Average reduction in standard coal consumption (kg) per ton of pig iron produced after the introduction of advanced technology;
s 4 —After the introduction of advanced technology, under standard atmospheric pressure, the quantity of coal recovery for 1 ton of pig iron (m3);
s 5 —The amount of standard coal consumption (kg) average reduced by the production of 1 ton of steel after the introduction of advanced technology;
s 6 —The amount of converter gas (m3) average reduced by the production of 1 ton of steel after the introduction of advanced technology;
s 7 —The amount of energy (kg) average reduced by the production of 1 ton of iron ore after the introduction of advanced technology;
s 8 —The amount of gas recovery (kg) average reduced by the production of 1 ton of Pig iron after the introduction of advanced technology;
s 9 —The amount of Hot blast stove gas (kg) average reduced by the production of 1 ton of steel after the introduction of advanced technology;
s 10 —The amount of CO2 emission (kg) average reduced by the production of 1 ton of Pig iron after the introduction of advanced technology;
s 11 —The amount of Power consumption (kWh) average reduced by the production of 1 ton of steel after the introduction of advanced technology;
s 12 —The amount of standard coal saved each year by the production of 1 ton of steel after the introduction of advanced technology (t);
s 13 —The amount of CO2 emission reduction each year by the production of 1 ton of steel after the introduction of advanced technology (kg);
s 14 —The residual heat recoverable during the whole heating season (GJ);
s 15 —The amount of Power saved each year by the production of 1 ton of steel after the introduction of advanced technology (kWh);
s 16 —Fuel consumption of ladle baking (t);
s 17 —Fuel saving quantity of rolling furnace (m3/ton of steel);
s 18 —Annual greenhouse gas emissions from blast furnaces (t);
o 1 —Annual steel production of blast furnace (t);
o 2 —The heating season steel-producing quantity (t);
E CO 2 —The amount of CO2 produced by the complete combustion of 1 kg standard coal (kg);
A —Average coke consumption per ton of steel (t);
B —Average iron ore consumption per ton of steel (t);
C —Average pig iron consumption per ton of steel (t);
q uj ik   —Reducing the amount of CO2 emitted per ton of steel by reducing the use of type k energy, k = s 1 , s 2 , . , s 17
Table A3. Statistical table of data sources.
Table A3. Statistical table of data sources.
Serial NumberSource
1List of 50 Most Energy-Efficient Technologies in the Steel Industry (2022 edition)
2“National Industrial Energy-saving Technology Application Guide and Case (2022 edition)”: energy-saving and efficiency improvement technology in the steel industry
4Catalog of Low-carbon Technologies to be Promoted by the State 2014
5National Key Energy-saving and Low-carbon Technology Promotion Catalogue 2017
6National Key Energy-saving and low-carbon Technology Promotion Catalogue (2017 This low-carbon part)
7Catalogue of Low-carbon Technologies to be Promoted by the State (Fourth Batch)
8National Key Industries Cleaner Production Technology Guidance Catalogue (Second Batch)
9National Key Industries Cleaner Production Technology Guidance Catalogue (Third Batch)
10Carbon Emission Reduction Potential and Cost Analysis of the Wuhan Iron and Steel Industry
11Analysis and Research of Scrap Preheating Technology
12Oxygen-enriched Combustion Technology and Its Application in Steel Production
13Analysis and Prediction of CO2 Emission Calculation Model for the Steel Industry
14Application of automatic control System for 7# BF Hot Blast Furnace in Jisco Ironmaking Plant
15Carbon Emission Accounting and Emission Reduction Path Optimization of a Steel Enterprise
16Research and Practice of CO2 bottom-blown Technology of 150 t Converter in Xuangang
17Recovery and Utilization of waste Heat from circulating ammonia Water
18Application Prospect of regenerative combustion Technology Using hot Charging Process in Steel rolling heating furnace
19Comprehensive energy-saving Transformation and Effect Analysis of Steel Rolling Heating Furnace
20“An intelligent preheating system and preheating control method for sintering mixture”
21Technical and Economic Comparison of Permanent Magnet Speed Regulation and Variable Frequency Speed Regulation
22Application of Intelligent Heating Control System in Coke Oven Production

References

  1. Yao, T.; Wu, W.; Yang, Y.; He, Q.; Meng, H.; Lin, T. Low-carbon development of China’s iron and steel industry under the goal of “dual carbon”. Iron Steel Res. J. 2022, 34, 505–513. [Google Scholar]
  2. Wang, X.-D.; Jin, Y.-L. The prospect of using high proportion pellets in blast furnaces under “double carbon” background. J. Process Eng. 2022, 22, 1379–1389. [Google Scholar]
  3. He, L. Promoting high-quality development is the trend of The Times -- He Lifeng, Director of the National Development and Reform Commission, explained the connotation and policy ideas of high-quality development. Power Equip. Manag. 2018, 5, 25–27. [Google Scholar]
  4. Wang, X. Research on the “Dual Carbon” Target and Optimal Development Path of China’s Iron and Steel Industry. Master’s Thesis, Zhongnan University of Economics and Law, Wuhan, China, 2022. [Google Scholar]
  5. Zhang, Q.; Li, Y.; Xu, J. Carbon element flow analysis and CO2 emission reduction in iron and steel works. J. Clean. Prod. 2018, 172, 709–723. [Google Scholar] [CrossRef]
  6. Wang, Y. Carbon Emission Status and Emission Reduction Potential of Iron and Steel Enterprises in Beijing-Tianjin-Hebei Region. Master’s Thesis, Hebei University of Technology, Tianjin, China, 2017. [Google Scholar]
  7. Liu, H.; Fu, J.; Liu, S.; Xie, X.; Yang, X. Calculation method and practice of carbon dioxide emission in steel production process. Steel 2016, 51, 74–82. [Google Scholar]
  8. Gao, C.; Chen, S.; Chen, S.; Qin, W. Carbon footprint analysis of typical iron and steel conglomerates in China. Steel 2015, 50, 1–8. [Google Scholar]
  9. Liang, C. Analysis of Influencing Factors of Carbon Footprint and Carbon Emission in China’s Steel Industry. Ph.D. Thesis, Yanshan University, Qinhuangdao, China, 2012. [Google Scholar]
  10. Kim, Y.; Worrell, E. International comparison of CO2 emission trends in the iron and steel industry. Energy Policy 2002, 30, 827–838. [Google Scholar] [CrossRef]
  11. Pan, Y.; Men, F. Research on accelerating the elimination of backward production capacity in the steel industry. Steel 2009, 44, 1–5. [Google Scholar]
  12. Wang, M. Research on Driving Factors and Path of Carbon Emission Reduction in Steel Industry. Master’s Thesis, Beijing University of Chemical Technology, Beijing, China, 2017. [Google Scholar]
  13. Tu, Z. China’s carbon emission reduction path and strategic choice: Based on the index decomposition analysis of carbon emissions of eight industrial sectors. Chin. Soc. Sci. 2012, 3, 78–94+206–207. [Google Scholar]
  14. Chen, J.M. Carbon neutrality: Toward a sustainable future. Innovation 2021, 2, 100127. [Google Scholar] [CrossRef]
  15. Zuo, J.; Shang, M.; Dang, J. Research on the Optimization Model of Railway Emergency Rescue Network Considering Space-Time Accessibility. Sustainability 2022, 14, 14503. [Google Scholar] [CrossRef]
  16. Chen, S.; Qi, Y. Technical route, institutional innovation, and institutional guarantee to achieve the goal of carbon peaking and carbon neutrality. Soc. Sci. Guangdong 2022, 2, 15–23+286. [Google Scholar]
  17. Yang, J. A diverse path to carbon neutrality. J. Nanjing Univ. Technol. (Soc. Sci. Ed.) 2021, 20, 14–25+111. [Google Scholar]
  18. Zhang, H.; Shen, R.; Zhang, X.; Kang, J.; Yuan, J. A review of the connotation and realization path of China’s carbon neutrality goal. Prog. Clim. Change Res. 2022, 18, 240–252. [Google Scholar]
  19. Xu, P.; Sun, Y.; Zhang, Y. Study on carbon neutral path of different types of iron and steel enterprises. Environ. Prot. Circ. Econ. 2023, 43, 87–90. [Google Scholar]
  20. Wang, Y. Discussion on application of green technology in iron and steel metallurgy based on low carbon emission reduction requirement. Shanxi Metall. 2023, 46, 67–69. [Google Scholar]
  21. Zhai, W.; Ma, C.; Zhang, J. Strategy analysis of steel enterprises to achieve carbon neutrality through supply chain -- based on the case study of Hesteel Group. J. Shijiazhuang Univ. 2023, 25, 34–39. [Google Scholar]
  22. Yang, N.; Li, Y.; Lv, C.; Zhao, M.; Liu, Z.; Liu, H. Carbon emission calculation and peak prediction of Tangshan steel industry. Environ. Eng. 2020, 38, 44–52. [Google Scholar]
  23. Tian, X. Discussion on the policy of Hebei iron and steel industry to cope with climate change. China Econ. Trade Guide 2016, 25, 66–67. [Google Scholar]
  24. Needham, J.T.; Watkins, D.W., Jr.; Lund, J.R.; Nanda, S.K. Linear Programming for Flood Control in the Iowa and Des Moines Rivers. J. Water Resour. Plan. Manag. 2000, 126, 118–127. [Google Scholar] [CrossRef]
  25. Peng, C.; Buras, N. Practical Estimation of Inflows into Multireservoir System. J. Water Resour. Plan. Manag. 2000, 126, 331–334. [Google Scholar] [CrossRef]
  26. Deb, K.; Agrawal, S.; Pratap, A.; Meyarivan, T. A fast and elitist multiobjective genetic algorithm: NSGA-II. IEEE Trans. Evol. Comput. 2002, 6, 182–197. [Google Scholar] [CrossRef]
  27. Deb, K.; Agrawal, S.; Pratap, A. A fast elitist non-dominated sorting genetic algorithm for multi-objective optimization: NSGA-II. In Parallel Problem Solving from Nature-PPSN VI, 6th International Conference, Paris, France, 18–20 September 2000; Springer: Berlin/Heidelberg, Germany, 2000. [Google Scholar]
  28. Xu, Z.; Ning, X.; Yu, Z.; Ma, Y.; Zhao, Z.; Zhao, B. Design optimization of a shell-and-tube heat exchanger with disc-and-doughnut baffles for aero-engine using one hybrid method of NSGA II and MOPSO. Case Stud. Therm. Eng. 2023, 41, 102644. [Google Scholar] [CrossRef]
  29. Ozgun, M.G.; Seniz, E. Pareto front generation for integrated drive-train and structural optimisation of a robot manipulator conceptual design via NSGA-II. Adv. Mech. Eng. 2023, 15, 1–11. [Google Scholar]
  30. Qu, Y.; Song, B.; Cai, S.; Rao, P.; Lin, X. Study on the Optimization of Wujiang’s Water Resources by Combining the Quota Method and NSGA-II Algorithm. Water 2024, 16, 359. [Google Scholar] [CrossRef]
  31. Sadeghi, R.; Heidari, A.; Zahedi, F.; Khordehbinan, M.W.; Khalilzadeh, M. Application of NSGA-II and fuzzy TOPSIS to time–cost–quality trade-off resource leveling for scheduling an agricultural water supply project. Int. J. Environ. Sci. Technol. 2023, 20, 10633–10660. [Google Scholar] [CrossRef]
  32. Zhang, Z.; Guo, Y.; Tao, Q. Dynamic multi-objective path-order planning research in nuclear power plant decommissioning based on NSGA-II. Ann. Nucl. Energy 2024, 199, 110369. [Google Scholar] [CrossRef]
  33. Chang, L.-C.; Chang, F.-J. Multi-objective evolutionary algorithm for operating parallel reservoir system. J. Hydrol. 2009, 377, 12–20. [Google Scholar] [CrossRef]
  34. Gong, W.; Duan, Q.; Li, J.; Wang, C.; Di, Z.; Ye, A.; Miao, C.; Dai, Y. Multiobjective adaptive surrogate modeling-based optimization for parameter estimation of large, complex geophysical models. Water Resour. Res. 2016, 52, 1984–2008. [Google Scholar] [CrossRef]
  35. Zhang, J.; Wang, X.; Liu, P.; Lei, X.; Li, Z.; Gong, W.; Duan, Q.; Wang, H. Assessing the weighted multi-objective adaptive surrogate model optimization to derive large-scale reservoir operating rules with sensitivity analysis. J. Hydrol. 2017, 544, 613–627. [Google Scholar] [CrossRef]
  36. Hou, W.; Man Li, R.Y.; Sittihai, T. Management optimization of electricity system with sustainability enhancement. Sustainability 2022, 14, 6650. [Google Scholar] [CrossRef]
  37. Shi, Y.; Lin, Y.; Li, B.; Li, R.Y.M. A bi-objective optimization model for the medical supplies’ simultaneous pickup and delivery with drones. Comput. Ind. Eng. 2022, 171, 108389. [Google Scholar] [CrossRef]
  38. Wang, Y.; Qin, X.; Jia, W.; Lei, J.; Wang, D.; Feng, T.; Zeng, Y.; Song, J. Multiobjective Energy Consumption Optimization of a Flying–Walking Power Transmission Line Inspection Robot during Flight Missions Using Improved NSGA-II. Appl. Sci. 2024, 14, 1637. [Google Scholar] [CrossRef]
  39. Holland, J.H. Adaptation in Naturation in Natural and Artificial Systems; The University of Michigan Press: Ann Arbor, MI, USA, 1975; pp. 21–24. [Google Scholar]
  40. Kaushik, I.; Karlsson, M.H.; Malin, Å. The multi-objective optimization framework: A step towards minimizing life-cycle costs and energy consumption of carbon fibre automotive structures. Compos. Part B Eng. 2024, 271, 111158. [Google Scholar]
  41. Liu, D.; Huang, Q.; Yang, Y.; Liu, D.; Wei, X. Bi-objective algorithm based on NSGA-II framework to optimize reservoirs operation. J. Hydrol. 2020, 585, 124830. [Google Scholar] [CrossRef]
  42. Zhang, W.; Jiang, S.; Li, X.; Chen, Z.; Cao, G.; Mei, M. Multi-objective optimization of concrete pumping S-pipe based on DEM and NSGA-II algorithm. Powder Technol. 2024, 434, 119314. [Google Scholar] [CrossRef]
  43. Zhang, L.; Wu, W.; Huang, X. A Dynamic Optimization Model for Adjacent Signalized Intersection Control Systems Based on the Stratified Sequencing Method. J. Highw. Transp. Res. Dev. (Engl. Ed.) 2016, 10, 85–91. [Google Scholar] [CrossRef]
  44. Zhao, J.; Li, J.; Huang, C. Multi-objective Optimization Model of Hydrodynamic Sliding Bearing Based on MOPSO with Linear Weighting Method. IAENG Int. J. Comput. Sci. 2021, 48, 3. [Google Scholar]
  45. He, L.; Zhang, L. A bi-objective optimization of energy consumption and investment cost for public building envelope design based on the ε-constraint method. Energy Build. 2022, 266, 112133. [Google Scholar] [CrossRef]
  46. Li, J.; Zhang, H.; Liu, H.; Wang, S. Multi-Objective Planning of Commuter Carpooling under Time-Varying Road Network. Sustainability 2024, 16, 647. [Google Scholar] [CrossRef]
  47. Wang, F.; Ge, X.; Li, Y.; Zheng, J.; Zheng, W. Optimising the Distribution of Multi-Cycle Emergency Supplies after a Disaster. Sustainability 2023, 15, 902. [Google Scholar] [CrossRef]
  48. Zhao, Z.; Wang, J.; Gao, G.; Wang, H.; Wang, D. Multi-Objective Optimization for Submarine Cable Route Planning Based on the Ant Colony Optimization Algorithm. Photonics 2023, 10, 896. [Google Scholar] [CrossRef]
  49. Ma, X.; Zhang, C.; Jin, F.; Li, X.; Tong, X. Study on CO2 and non-CO2 greenhouse gas emission paths of the iron and steel industry in Hebei Province. China Sci. Technol. Inf. 2022, 124–127. [Google Scholar]
  50. Zeng, Q.; Ke, H.; Li, M.; Zhang, F.; Feng, Z.; Zhang, W. Practice improving the index of the No. 2 blast furnace in Tanggang New District. Metall. Energy Source 2023, 42, 30–33. [Google Scholar]
  51. Xu, Q.; He, Y.; Mei, S.; Chen, Z.; Wang, S.; Tang, X. Optimal Design of a Novel Magnetic Twisting Device based on NSGA-II Algorithm. Autex Res. J. 2022, 22, 194–200. [Google Scholar]
  52. Xu, J.; Tang, H.; Wang, X.; Qin, G.; Jin, X.; Li, D. NSGA-II algorithm-based LQG controller design for nuclear reactor power control. Ann. Nucl. Energy 2022, 169, 108931. [Google Scholar] [CrossRef]
Figure 1. Main process flow chart of iron and steel.
Figure 1. Main process flow chart of iron and steel.
Sustainability 16 02966 g001
Figure 2. Binary encoding process.
Figure 2. Binary encoding process.
Sustainability 16 02966 g002
Figure 3. Elite Strategy Flowchart.
Figure 3. Elite Strategy Flowchart.
Sustainability 16 02966 g003
Figure 4. Algorithm flow chart.
Figure 4. Algorithm flow chart.
Sustainability 16 02966 g004
Figure 5. Maximum solution of the objective function of genetic algorithm. (a) Maximum solution of the function (1); (b) Maximum solution of the function (2).
Figure 5. Maximum solution of the objective function of genetic algorithm. (a) Maximum solution of the function (1); (b) Maximum solution of the function (2).
Sustainability 16 02966 g005
Figure 6. Pareto optimal solution set. (a) Pareto solutions under different iterations; (b) Pareto optimal solution set.
Figure 6. Pareto optimal solution set. (a) Pareto solutions under different iterations; (b) Pareto optimal solution set.
Sustainability 16 02966 g006
Figure 7. Comparison of iteration curves. (a) Comparison of profit iteration curves; (b) Comparison of CO2 iteration curves.
Figure 7. Comparison of iteration curves. (a) Comparison of profit iteration curves; (b) Comparison of CO2 iteration curves.
Sustainability 16 02966 g007
Table 1. The equivalent relationship table between various energy sources and standard coal and CO2 emissions.
Table 1. The equivalent relationship table between various energy sources and standard coal and CO2 emissions.
Serial NumberEquivalence Relation
1Consumption of 1 kg of standard coal, carbon emissions 0.68 kg, CO2 emissions 2.493 kg
21 kg = 1 kg = 9.8 N
31 cubic meter blast furnace gas = 0.1 kg standard coal
41 cubic meter of converter gas = 0.207 kg of standard coal
51 gigajoule (GJ) = 1000 megajoules (MJ) = 1 × 106 KJ
6Each production of a ton of steel consumes about 1.6–1.7 tons of iron ore, a ton of steel comprehensive energy consumption of about 540 kg of standard coal/ton, iron ore, and coal in the cost of steel accounted for about 75%
7In general, the production of a ton of steel requires the consumption of about 0.7–0.8 tons of coke. Specifically, blast furnace ironmaking generally needs to consume about 0.72 tons of coke, and electric furnace steelmaking needs to consume 0.68 tons of coke.
81.3–1.5 tons of pig iron are consumed to produce one ton of crude steel.
91 kg coke = 0.971 kg standard coal
101 kg steam = 0.129 kg standard coal
111 kWh electricity = 0.404 kg standard coal
121 ton = 1000 kg
13At present, the energy consumption of steel rolling heating furnaces in most domestic enterprises is between 1500–2000 kWh/t
Table 2. Application of advanced technology in iron and steel enterprises in 22 September 2020 to 9 December 2022.
Table 2. Application of advanced technology in iron and steel enterprises in 22 September 2020 to 9 December 2022.
ProcessAdvanced Technology Tech Use Time
cokingQuenching towerHigh temperature and high-pressure dry quenching technology CQT2022
Sintered pelletSintering machineSintering flue gas waste heat recovery and utilization technology SIM22022
Converter (Electric furnace) processConverter ironmakingBottom-blown carbon dioxide steelmaking technology of converter CI32021.6
Off-furnace refiningRH process thousand (mechanical) vacuum technology ER12021.9
Transport hot metalIron steel interface hot metal intelligent scheduling system TMI2022.5
Rolling processContinuous castingThin strip casting and rolling integration technology CON2021.11
Blast furnace operationBlast furnaceGas recovery technology of equalizing pressure on top of blast furnace BF12020.9
Table 3. Application of advanced technologies in iron and steel enterprises in 9 December 2022 to 1 January 2024.
Table 3. Application of advanced technologies in iron and steel enterprises in 9 December 2022 to 1 January 2024.
ProcessAdvanced TechnologyTech Use Time
Coking processRiserHigh-efficiency recovery technology of waste gas waste heat in coke oven riser RIS2022.12
Converter (Electric furnace) processElectric furnace ironmakingPreheating technology of electric furnace scrap steel EFI2023.1
Table 4. Equal-quantity relation table of the calculation process of the cost of introducing advanced technology and the profit obtained.
Table 4. Equal-quantity relation table of the calculation process of the cost of introducing advanced technology and the profit obtained.
Serial NumberEquivalence Relation
1At $1000 per ton of standard coal
2Coke oven gas price 0.78 yuan/m3
3Assume that the steel plant can produce 10 million tons of steel per year
4According to CISA energy statistics for 2021, the average energy consumption of the sintering process is 48.5 kgce/t
5Natural gas price according to 2.5 yuan/m3 (standard)
6The steam price is calculated at 110 yuan/t
7According to the new water standard issued by Tangshan City on 1 July 2023, the standard price of special industrial enterprises such as steel, thermal power, and production enterprises using water as raw materials is 0.21 yuan/m3
8Coke oven gas price 0.23 yuan/m3
Table 5. Cost of introducing advanced technology and profit (part)-45.
Table 5. Cost of introducing advanced technology and profit (part)-45.
Advanced TechnologyContent of Technical ReformInvestment Amount Expense   c uj i Profit   p uj i
RISHandan Steel 2 × 45 hole 6 m coke oven, New waste heat utilization system and equipment, replace the original rising tube to the rising tube heat exchanger, and supporting the construction of drum, water pump, pipeline, and control system28000.9333330.8
FLInstall relevant circulating water systems (cold water, cooling water), units, and control systems4500.150.4968
COY1The coke oven carbonization room of No.8 and No.9 of Jinan Iron and Steel Co. (Jinan, China), 6 m coke oven 2 × 65 holes, supporting the transformation of water seal valve, bridge pipe, pressure detection device, pneumatic actuator, and equipped with computer control system9000.30.383
PMSecondary mixer, sintering chamber mixing tank steam preheating device6000.21.73253
AC1Sintering large flue waste heat boiler and ring cooler double-pressure waste heat boiler45001.50.8173
AC2Ningbo Iron and Steel 430 m2 sintering machine (flue gas circulation 900,000 m3/h)45001.51.936
AC3The 420 m2 sintering ring cooler was transformed into a liquid seal ring cooler25000.8333330.45
WQGSpray heat exchanger, flow channel heat exchanger, shell and tube heat exchanger and mixed heat exchanger10250.3416675.25
HF1Adaptive transformation of the original heating furnace (reducing the height of the furnace top), transformation of the smoke exhaust system, and upgrading of the automation system8070.2691.44
HF2Laser combustion analyzer1.460.0004871.033
HF3The limited recovery of waste heat from furnace exhaust gas is realized by regenerative mode (regenerative Chamber), and the combustion air and gas are preheated to high temperature20000.6666673.284
HF4Reformation of all-oxygen burner, ignition burner and control valve group1000.033330.385
HF5Inner fin + outer fin high-efficiency heat exchanger or plate heat exchanger260.00860.247
Note: The units of Investment Amount, Expense c uj i and Profit p uj i are, respectively, ten thousand yuan, yuan/t-steel and yuan/t-steel.
Table 6. Optimal solution of the objective function of GA.
Table 6. Optimal solution of the objective function of GA.
TechnologyRISFLCOY1COY2COY3...HF2HF3HF4HF5
Objective (1) Optimal solution 1 , 1 , 0 , 0 , 1 , 1 , 1 , 0 , 0 , 1 , 1 , 0 , 1 , 1 , 1 , 0 , 0 , 0 , 0
InstructionsThe first row in the table is advanced technology. The first behavior in the table is advanced technology, and the order of advanced technology is by the order of technology in Table A1 after removing some technologies (4.1.3). The number 0 in the solution set of the objective function means that the advanced technology is not applied in the process, and 1 means that the advanced technology is applied in the process, then the technologies selected in the optimal solution set are: RIS, FL, COY3, PM, AC1, WQG, SL1, EFI, CB, HF1
Objective (2) Optimal solution 1 , 1 , 1 , 0 , 1 , 1 , 0 , 1 , 0 , 1 , 0 , 1 , 1 , 1 , 0 , 0 , 1 , 0 , 0
InstructionsThe number 0 in the solution set of the objective function means that the advanced technology is not applied in the process, and 1 means that the advanced technology is applied in the process, then the technologies selected in the optimal solution set are: RIS, FL, COY1, PM, AC2, WQG, SL2, EFI, CB, HF3
Table 7. Pareto optimal solution set.
Table 7. Pareto optimal solution set.
TechnologyRISFLCOY1COY2COY3...HF2HF3HF4HF5
Solution set 1 1 , 1 , 0 , 0 , 1 , 1 , 1 , 0 , 0 , 1 , 1 , 0 , 1 , 1 , 0 , 0 , 0 , 0 , 1
InstructionsThe first row in the table is advanced technology. The first behavior in the table is advanced technology, and the order of advanced technology is by the order of technology in Table A1 after removing some technologies (4.1.3). The number 0 in the solution set of the objective function means that the advanced technology is not applied in the process, and 1 means that the advanced technology is applied in the process, then the technologies selected in the optimal solution set are: RIS, FL, COY3, PM, AC1, WQG, SL1, EFI, CB, HF5
Solution set 2 1 , 1 , 0 , 0 , 1 , 1 , 1 , 0 , 0 , 1 , 0 , 1 , 1 , 1 , 0 , 0 , 0 , 0 , 1
InstructionsThe number 0 in the solution set of the objective function means that the advanced technology is not applied in the process, and 1 means that the advanced technology is applied in the process, then the technologies selected in the optimal solution set are: RIS, FL, COY3, PM, AC1, WQG, SL2, EFI, CB, HF5
Solution set 3 1 , 1 , 0 , 1 , 0 , 1 , 1 , 0 , 0 , 1 , 1 , 0 , 1 , 1 , 0 , 0 , 0 , 0 , 1
InstructionsThe number 0 in the solution set of the objective function means that the advanced technology is not applied in the process, and 1 means that the advanced technology is applied in the process, then the technologies selected in the optimal solution set are: RIS, FL, COY2, PM, AC1, WQG, SL1, EFI, CB, HF5
Solution set 4 1 , 1 , 0 , 1 , 0 , 1 , 1 , 0 , 0 , 1 , 0 , 1 , 1 , 1 , 0 , 0 , 0 , 0 , 1
InstructionsThe number 0 in the solution set of the objective function means that the advanced technology is not applied in the process, and 1 means that the advanced technology is applied in the process, then the technologies selected in the optimal solution set are: RIS, FL, COY2, PM, AC3, WQG, SL2, EFI, CB, HF5
Disclaimer/Publisher’s Note: The statements, opinions and data contained in all publications are solely those of the individual author(s) and contributor(s) and not of MDPI and/or the editor(s). MDPI and/or the editor(s) disclaim responsibility for any injury to people or property resulting from any ideas, methods, instructions or products referred to in the content.

Share and Cite

MDPI and ACS Style

Xie, W.; Ma, J.; Wang, D.; Liu, Z.; Yang, A. Research on the Carbon Reduction Technology Path of the Iron and Steel Industry Based on a Multi-Objective Genetic Algorithm. Sustainability 2024, 16, 2966. https://doi.org/10.3390/su16072966

AMA Style

Xie W, Ma J, Wang D, Liu Z, Yang A. Research on the Carbon Reduction Technology Path of the Iron and Steel Industry Based on a Multi-Objective Genetic Algorithm. Sustainability. 2024; 16(7):2966. https://doi.org/10.3390/su16072966

Chicago/Turabian Style

Xie, Wanrong, Jian Ma, Danping Wang, Zhiying Liu, and Aimin Yang. 2024. "Research on the Carbon Reduction Technology Path of the Iron and Steel Industry Based on a Multi-Objective Genetic Algorithm" Sustainability 16, no. 7: 2966. https://doi.org/10.3390/su16072966

APA Style

Xie, W., Ma, J., Wang, D., Liu, Z., & Yang, A. (2024). Research on the Carbon Reduction Technology Path of the Iron and Steel Industry Based on a Multi-Objective Genetic Algorithm. Sustainability, 16(7), 2966. https://doi.org/10.3390/su16072966

Note that from the first issue of 2016, this journal uses article numbers instead of page numbers. See further details here.

Article Metrics

Back to TopTop