Long Short-Term Memory and Bidirectional Long Short-Term Memory Modeling and Prediction of Hexavalent and Total Chromium Removal Capacity Kinetics of Cupressus lusitanica Bark
Abstract
1. Introduction
2. Materials and Methods
2.1. Experimental Data
2.2. Data Preprocessing
2.3. Data Partition and Input–Output Variable Assessment
2.4. Neural Network Architecture and Regularization Techniques
2.4.1. LSTM Cell Mechanism
2.4.2. LSTM and Bi-LSTM Networks
2.4.3. LSTM and Bi-LSTM Network Configuration
2.5. Implementation of Deep Learning Algorithm
2.6. Model Fitting Evaluation
2.7. Residual Analysis
2.8. Post-Training Validation of Selected Models
2.8.1. Response Surface Validation
2.8.2. Validation with Unseen Kinetic Data
2.8.3. K-Fold Cross-Validation
2.9. SHapley Additive exPlanations (SHAP) Analysis
3. Results and Discussion
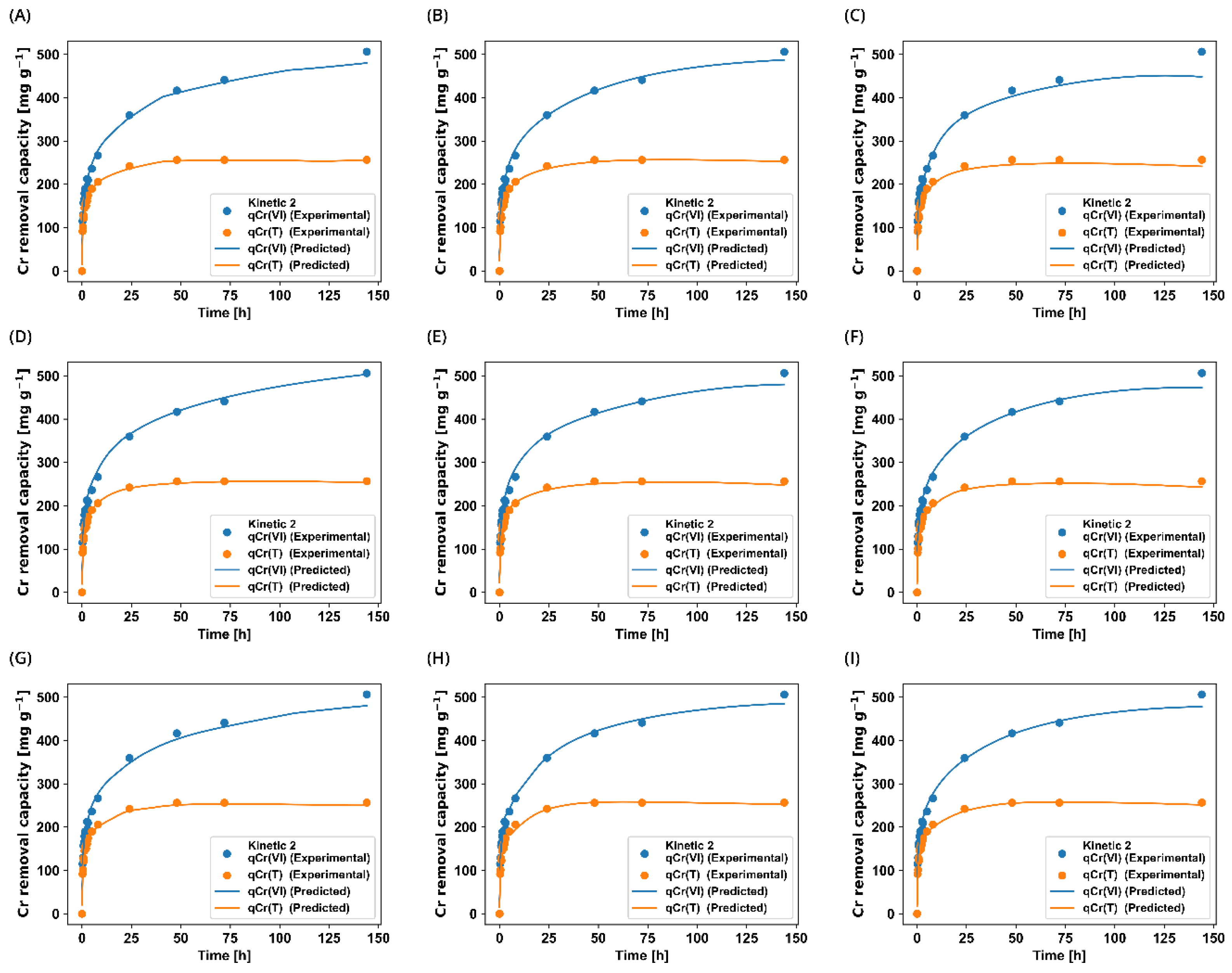
3.1. Model Performance
3.2. Residuals Analysis
3.3. Post-Training Validation of Selected Models
3.4. SHAP Analysis
4. Conclusions
Author Contributions
Funding
Informed Consent Statement
Data Availability Statement
Acknowledgments
Conflicts of Interest
References
- Rockström, J.; Steffen, W.; Noone, K.; Persson, A.; Chapin, F.S.; Lambin, E.F.; Lenton, T.M.; Scheffer, M.; Folke, C.; Schellnhuber, H.J.; et al. A safe operating space for humanity. Nature 2009, 461, 472–475. [Google Scholar] [CrossRef] [PubMed]
- Naidu, R.; Biswas, B.; Willett, I.R.; Cribb, J.; Singh, B.K.; Nathanail, C.P.; Coulon, F.; Semple, K.T.; Jones, K.C.; Barclay, A.; et al. Chemical pollution: A growing peril and potential catastrophic risk to humanity. Environ. Int. 2021, 156, 106616. [Google Scholar] [CrossRef] [PubMed]
- Saha, R.; Nandi, R.; Saha, B. Sources and toxicity of hexavalent chromium. J. Coord. Chem. 2011, 64, 1782–1806. [Google Scholar] [CrossRef]
- Singh, S.; Kumar Naik, T.S.S.; Chauhan, V.; Shehata, N.; Kaur, H.; Dhanjal, D.S.; Marcelino, L.A.; Bhati, S.; Subramanian, S.; Singh, J.; et al. Ecological effects, remediation, distribution, and sensing techniques of chromium. Chemosphere 2022, 307, 135804. [Google Scholar] [CrossRef] [PubMed]
- Kormoker, T.; Proshad, R.; Islam, M.S.; Tusher, T.R.; Uddin, M.; Khadka, S.; Chandra, K.; Sayeed, A. Presence of toxic metals in rice with human health hazards in Tangail district of Bangladesh. Int. J. Environ. Health Res. 2022, 32, 40–60. [Google Scholar] [CrossRef] [PubMed]
- IARC. A Review of Human Carcinogens–Part C: Arsenic, Metals, Fibres and Dusts; IARC Monographs: Lyon, France, 2012; Volume 100, pp. 147–168. [Google Scholar]
- DesMarais, T.L.; Costa, M. Mechanisms of Chromium-Induced Toxicity. Curr. Opin. Toxicol. 2019, 14, 1–7. [Google Scholar] [CrossRef] [PubMed]
- Srivastava, S.; Agrawal, S.B.; Mondal, M.K. A review on progress of heavy metal removal using adsorbents of microbial and plant origin. Environ. Sci. Pollut. Res. 2015, 22, 15386–15415. [Google Scholar] [CrossRef] [PubMed]
- Chen, X.; Hossain, M.F.; Duan, C.; Lu, J.; Tsang, Y.F.; Islam, M.S.; Zhou, Y. Isotherm models for adsorption of heavy metals from water—A review. Chemosphere 2022, 307, 135545. [Google Scholar] [CrossRef] [PubMed]
- Febrianto, J.; Kosasih, A.N.; Sunarso, J.; Ju, Y.H.; Indraswati, N.; Ismadji, S. Equilibrium and kinetic studies in adsorption of heavy metals using biosorbent: A summary of recent studies. J. Hazard. Mater. 2009, 162, 616–645. [Google Scholar] [CrossRef] [PubMed]
- Nathan, R.J.; Jain, A.K.; Rosengren, R.J. Biosorption of heavy metals from water: Mechanism, critical evaluation and translatability of methodology. Environ. Technol. Rev. 2022, 11, 91–117. [Google Scholar] [CrossRef]
- Razzak, S.A.; Faruque, M.O.; Alsheikh, Z.; Alsheikhmohamad, L.; Alkuroud, D.; Alfayez, A.; Hossain, S.M.Z.; Hossain, M.M. A comprehensive review on conventional and biological-driven heavy metals removal from industrial wastewater. Environ. Adv. 2022, 7, 100168. [Google Scholar] [CrossRef]
- Alam, G.; Ihsanullah, I.; Naushad, M.; Sillanpää, M. Applications of artificial intelligence in water treatment for optimization and automation of adsorption processes: Recent advances and prospects. Chem. Eng. J. 2022, 427, 130011. [Google Scholar] [CrossRef]
- Skrobek, D.; Krzywanski, J.; Sosnowski, M.; Kulakowska, A.; Zylka, A.; Grabowska, K.; Ciesielska, K.; Nowak, W. Implementation of deep learning methods in prediction of adsorption processes. Adv. Eng. Softw. 2022, 173, 103190. [Google Scholar] [CrossRef]
- Taoufik, N.; Boumya, W.; Achak, M.; Chennouk, H.; Dewil, R.; Barka, N. The state of art on the prediction of efficiency and modeling of the processes of pollutants removal based on machine learning. Sci. Total Environ. 2022, 807, 150554. [Google Scholar] [CrossRef] [PubMed]
- Zhu, X.; Wang, X.; Ok, Y.S. The application of machine learning methods for prediction of metal sorption onto biochars. J. Hazard. Mater. 2019, 378, 120727. [Google Scholar] [CrossRef] [PubMed]
- Sarker, I.H. Machine Learning: Algorithms, Real-World Applications and Research Directions. SN Comput. Sci. 2021, 2, 160. [Google Scholar] [CrossRef] [PubMed]
- Belle, V.; Papantonis, I. Principles and Practice of Explainable Machine Learning. Front. Big Data 2021, 4, 688969. [Google Scholar] [CrossRef] [PubMed]
- LeCun, Y.; Bengio, Y.; Hinton, G. Deep learning. Nature 2015, 521, 436–444. [Google Scholar] [CrossRef] [PubMed]
- Yu, Y.; Si, X.; Hu, C.; Zhang, J. A Review of Recurrent Neural Networks: LSTM Cells and Network Architectures. Neural Comput. 2019, 31, 1235–1270. [Google Scholar] [CrossRef] [PubMed]
- Hochreiter, S.; Schmidhuber, J. Long Short-Term Memory. Neural Comput. 1997, 9, 1735–1780. [Google Scholar] [CrossRef] [PubMed]
- Gers, F.A.; Schmidhuber, J.; Cummins, F. Learning to forget: Continual prediction with LSTM. In Proceedings of the 1999 Ninth International Conference on Artificial Neural Networks ICANN 99 (Conf. Publ. No. 470), Edinburgh, UK, 7–10 September 1999; Volume 2, pp. 850–855. [Google Scholar]
- Graves, A.; Schmidhuber, J. Framewise phoneme classification with bidirectional LSTM and other neural network architectures. Neural Netw. 2005, 18, 602–610. [Google Scholar] [CrossRef]
- Weerakody, P.B.; Wong, K.W.; Wang, G.; Ela, W. A review of irregular time series data handling with gated recurrent neural networks. Neurocomputing 2021, 441, 161–178. [Google Scholar] [CrossRef]
- Hewamalage, H.; Bergmeir, C.; Bandara, K. Recurrent Neural Networks for Time Series Forecasting: Current status and future directions. Int. J. Forecast. 2021, 37, 388–427. [Google Scholar] [CrossRef]
- Lipton, Z.C.; Berkowitz, J.; Elkan, C.A. Critical Review of Recurrent Neural Networks for Sequence Learning. arXiv 2015, arXiv:1506.00019v4. [Google Scholar]
- Faridi, I.K.; Tsotsas, E.; Heineken, W.; Koegler, M.; Kharaghani, A. Spatio-temporal prediction of temperature in fluidized bed biomass gasifier using dynamic recurrent neural network method. Appl. Therm. Eng. 2023, 219, 119334. [Google Scholar] [CrossRef]
- Ozcan, A.; Kasif, A.; Sezgin, I.V.; Catal, C.; Sanwal, M.; Merdun, H. Deep learning-based modelling of pyrolysis. Clust. Comput. 2024, 27, 1089–1108. [Google Scholar] [CrossRef]
- Müller, A.T.; Hiss, J.A.; Schneider, G. Recurrent Neural Network Model for Constructive Peptide Design. J. Chem. Inf. Model. 2018, 58, 472–479. [Google Scholar] [CrossRef] [PubMed]
- Rabby, M.F.; Tu, Y.; Hossen, M.I.; Lee, I.; Maida, A.S.; Hei, X. Stacked LSTM based deep recurrent neural network with kalman smoothing for blood glucose prediction. BMC Med. Inform. Decis. Mak. 2021, 21, 101. [Google Scholar] [CrossRef] [PubMed]
- Netzahuatl-Muñoz, A.R.; Cristiani-Urbina, M.D.C.; Cristiani-Urbina, E. Chromium Biosorption from Cr(VI) Aqueous Solutions by Cupressus lusitanica Bark: Kinetics, Equilibrium and Thermodynamic Studies. PLoS ONE 2015, 10, e0137086. [Google Scholar]
- Netzahuatl-Muñoz, A.R.; Guillén-Jiménez, F.D.M.; Chávez-Gómez, B.; Villegas-Garrido, T.L.; Cristiani-Urbina, E. Kinetic Study of the Effect of pH on Hexavalent and Trivalent Chromium Removal from Aqueous Solution by Cupressus lusitanica Bark. Water Air Soil Pollut. 2012, 223, 625–641. [Google Scholar] [CrossRef]
- Islam, M.d.A.; Angove, M.J.; Morton, D.W. Recent innovative research on chromium (VI) adsorption mechanism. Environ. Nanotechnol. Monit. Manag. 2019, 12, 100267. [Google Scholar] [CrossRef]
- Rajapaksha, A.U.; Selvasembian, R.; Ashiq, A.; Gunarathne, V.; Ekanayake, A.; Perera, V.O.; Wijesekera, H.; Mia, S.; Ahmad, M.; Vithanage, M.; et al. A systematic review on adsorptive removal of hexavalent chromium from aqueous solutions: Recent advances. Sci. Total Environ. 2022, 809, 152055. [Google Scholar] [CrossRef] [PubMed]
- Anupam, K.; Dutta, S.; Bhattacharjee, C.; Datta, S. Artificial neural network modelling for removal of chromium (VI) from wastewater using physisorption onto powdered activated carbon. Desalin. Water Treat. 2016, 57, 3632–3641. [Google Scholar] [CrossRef]
- Singha, B.; Bar, N.; Das, S.K. The use of artificial neural networks (ANN) for modeling of adsorption of Cr(VI) ions. Desalin. Water Treat. 2014, 52, 415–425. [Google Scholar] [CrossRef]
- Banerjee, M.; Bar, N.; Basu, R.K.; Das, S.K. Comparative study of adsorptive removal of Cr(VI) ion from aqueous solution in fixed bed column by peanut shell and almond shell using empirical models and ANN. Environ. Sci. Pollut. Res. 2017, 24, 10604–10620. [Google Scholar] [CrossRef] [PubMed]
- Saber, W.I.A.; El-Naggar, N.E.A.; El-Hersh, M.S.; El-khateeb, A.Y.; Elsayed, A.; Eldadamony, N.M.; Ghoniem, A.A. Rotatable central composite design versus artificial neural network for modeling biosorption of Cr6+ by the immobilized Pseudomonas alcaliphila NEWG-2. Sci. Rep. 2021, 11, 1717. [Google Scholar] [CrossRef] [PubMed]
- Shanmugaprakash, M.; Sivakumar, V. Development of experimental design approach and ANN-based models for determination of Cr(VI) ions uptake rate from aqueous solution onto the solid biodiesel waste residue. Bioresour. Technol. 2013, 148, 550–559. [Google Scholar] [CrossRef] [PubMed]
- Parveen, N.; Zaidi, S.; Danish, M. Development of SVR-based model and comparative analysis with MLR and ANN models for predicting the sorption capacity of Cr(VI). Process Saf. Environ. Prot. 2017, 107, 428–437. [Google Scholar] [CrossRef]
- Nag, S.; Bar, N.; Das, S.K. Cr(VI) removal from aqueous solution using green adsorbents in continuous bed column—Statistical and GA-ANN hybrid modelling. Chem. Eng. Sci. 2020, 226, 115904. [Google Scholar] [CrossRef]
- Khan, H.; Hussain, S.; Hussain, S.F.; Gul, S.; Ahmad, A.; Ullah, S. Multivariate modeling and optimization of Cr(VI) adsorption onto carbonaceous material via response surface models assisted with multiple regression analysis and particle swarm embedded neural network. Environ. Technol. Innov. 2021, 24, 101952. [Google Scholar] [CrossRef]
- Banza, M.; Seodigeng, T.; Rutto, H. Comparison Study of ANFIS, ANN, and RSM and Mechanistic Modeling for Chromium(VI) Removal Using Modified Cellulose Nanocrystals–Sodium Alginate (CNC–Alg). Arab. J. Sci. Eng. 2023, 48, 16067–16085. [Google Scholar] [CrossRef]
- Zafar, M.; Aggarwal, A.; Rene, E.R.; Barbusiński, K.; Mahanty, B.; Behera, S.K. Data-Driven Machine Learning Intelligent Tools for Predicting Chromium Removal in an Adsorption System. Processes 2022, 10, 447. [Google Scholar] [CrossRef]
- Zhu, X.; Xu, Z.; You, S.; Komárek, M.; Alessi, D.S.; Yuan, X.; Palansooriya, K.N.; Ok, Y.S.; Tsang, D.C. Machine learning exploration of the direct and indirect roles of Fe impregnation on Cr(VI) removal by engineered biochar. Chem. Eng. J. 2022, 428, 131967. [Google Scholar] [CrossRef]
- Nighojkar, A.; Zimmermann, K.; Ateia, M.; Barbeau, B.; Mohseni, M.; Krishnamurthy, S.; Dixit, F.; Kandasubramanian, B. Application of neural network in metal adsorption using biomaterials (BMs): A review. Environ. Sci. Adv. 2023, 2, 11–38. [Google Scholar] [CrossRef] [PubMed]
- Yaseen, Z.M. An insight into machine learning models era in simulating soil, water bodies and adsorption heavy metals: Review, challenges and solutions. Chemosphere 2021, 277, 130126. [Google Scholar] [CrossRef] [PubMed]
- Oh, C.; Han, S.; Jeong, J. Time-Series Data Augmentation based on Interpolation. Procedia Comput. Sci. 2020, 175, 64–71. [Google Scholar] [CrossRef]
- Xing, Y.; Yue, J.; Chen, C. Interval Estimation of Landslide Displacement Prediction Based on Time Series Decomposition and Long Short-Term Memory Network. IEEE Access 2020, 8, 3187–3196. [Google Scholar] [CrossRef]
- Clevert, D.A.; Unterthiner, T.; Hochreiter, S. Fast and Accurate Deep Network Learning by Exponential Linear Units (ELUs). arXiv 2016, arXiv:1511.07289v5. [Google Scholar]
- Dubey, S.R.; Singh, S.K.; Chaudhuri, B.B. Activation functions in deep learning: A comprehensive survey and benchmark. Neurocomputing 2022, 503, 92–108. [Google Scholar] [CrossRef]
- Rahman, M.M.; Watanobe, Y.; Nakamura, K.A. Bidirectional LSTM Language Model for Code Evaluation and Repair. Symmetry 2021, 13, 247. [Google Scholar] [CrossRef]
- tf.keras.layers.Bidirectional|TensorFlow v2.15.0.post1. Available online: https://www.tensorflow.org/api_docs/python/tf/keras/layers/Bidirectional (accessed on 25 January 2024).
- Srivastava, N.; Hinton, G.; Krizhevsky, A.; Sutskever, I.; Salakhutdinov, R. Dropout: A Simple Way to Prevent Neural Networks from Overfitting. JMLR 2014, 15, 1929–1958. [Google Scholar]
- Razavi, S. Deep learning, explained: Fundamentals, explainability, and bridgeability to process-based modelling. Environ. Model. Softw. 2021, 144, 105159. [Google Scholar] [CrossRef]
- Bengio, Y.; Grandvalet, Y. No Unbiased Estimator of the Variance of K-Fold Cross-Validation. J. Mach. Learn. Res. 2004, 5, 1089–1105. [Google Scholar]
- James, G.; Witten, D.; Hastie, T.; Tibshirani, R. Resampling Methods. In An Introduction to Statistical Learning: With Applications in R; James, G., Witten, D., Hastie, T., Tibshirani, R., Eds.; Springer: New York, NY, USA, 2013; pp. 175–201. ISBN 978-1-4614-7138-7-5. [Google Scholar]
- Bindu, K.H.; Morusupalli, R.; Dey, N.; Rao, C.R. Coefficient of Variation and Machine Learning Applications; CRC Press: New York, NY, USA, 2019; pp. 1–26. ISBN 978-0-367-27328-6. [Google Scholar]
- Jeong, N.; Chung, T.H.; Tong, T. Predicting Micropollutant Removal by Reverse Osmosis and Nanofiltration Membranes: Is Machine Learning Viable? Environ. Sci. Technol. 2021, 55, 11348–11359. [Google Scholar] [CrossRef] [PubMed]
- Livesey, J.H. Kurtosis provides a good omnibus test for outliers in small samples. Clin. Biochem. 2007, 40, 1032–1036. [Google Scholar] [CrossRef] [PubMed]
- Wang, H.S.H.; Yao, Y. Machine learning for sustainable development and applications of biomass and biomass-derived carbonaceous materials in water and agricultural systems: A review. Resour. Conserv. Recycl. 2023, 190, 106847. [Google Scholar] [CrossRef]
- Huang, R.; Ma, C.; Ma, J.; Huangfu, X.; He, Q. Machine learning in natural and engineered water systems. Water Res. 2021, 205, 117666. [Google Scholar] [CrossRef] [PubMed]
- Park, D.; Yun, Y.S.; Ahn, C.K.; Park, J.M. Kinetics of the reduction of hexavalent chromium with the brown seaweed Ecklonia biomass. Chemosphere 2007, 66, 939–946. [Google Scholar] [CrossRef] [PubMed]
- He, T.; Niu, D.; Chen, G.; Wu, F.; Chen, Y. Exploring Key Components of Municipal Solid Waste in Prediction of Moisture Content in Different Functional Areas Using Artificial Neural Network. Sustainability 2022, 14, 15544. [Google Scholar] [CrossRef]
- Lopez-Nunez, P.V.; Aranda-Garcia, E.; Cristiani-Urbina, M.D.C.; Morales-Barrera, L.; Cristiani-Urbina, E. Removal of hexavalent and total chromium from aqueous solutions by plum (P. domestica L.) tree bark. Environ. Eng. Manag. J. 2014, 13, 1927–1938. [Google Scholar]
- Alvi, M.; Batstone, D.; Mbamba, C.K.; Keymer, P.; French, T.; Ward, A.; Dwyer, J.; Cardell-Oliver, R. Deep learning in wastewater treatment: A critical review. Water Res. 2023, 245, 120518. [Google Scholar] [CrossRef] [PubMed]
- Lowe, M.; Qin, R.; Mao, X. A Review on Machine Learning, Artificial Intelligence, and Smart Technology in Water Treatment and Monitoring. Water 2022, 14, 1384. [Google Scholar] [CrossRef]
- Ellen MacArthur Foundation. Artificial Intelligence and the Circular Economy: AI as a Tool to Accelerate the Transition. 2019. Available online: https://www.ellenmacarthurfoundation.org/artificial-intelligence-and-the-circular-economy (accessed on 18 March 2024).
- Yuan, X.; Li, J.; Lim, J.Y.; Zolfaghari, A.; Alessi, D.S.; Wang, Y.; Wang, X.; Ok, Y.S. Machine Learning for Heavy Metal Removal from Water: Recent Advances and Challenges. ACS EST Water 2024, 4, 820–836. [Google Scholar] [CrossRef]
- Mondejar, M.E.; Avtar, R.; Diaz, H.L.B.; Dubey, R.K.; Esteban, J.; Gómez-Morales, A.; Hallam, B.; Mbungu, N.T.; Okolo, C.C.; Prasad, K.A.; et al. Digitalization to achieve sustainable development goals: Steps towards a Smart Green Planet. Sci. Total Environ. 2021, 794, 148539. [Google Scholar] [CrossRef] [PubMed]
- Fan, M.; Hu, J.; Cao, R.; Ruan, W.; Wei, X. A review on experimental design for pollutants removal in water treatment with the aid of artificial intelligence. Chemosphere 2018, 200, 330–343. [Google Scholar] [CrossRef] [PubMed]
- Dico, G.L.; Peña Nuñez, Á.; Carcelén, V.; Haranczyk, M. Machine-learning-accelerated multimodal characterization and multiobjective design optimization of natural porous materials. Chem. Sci. 2021, 12, 9309–9317. [Google Scholar] [CrossRef] [PubMed]










| Layer | Variable | Variable Code | Minimum Value | Maximum Value |
|---|---|---|---|---|
| Input | Temperature (°C) | T | 15.0 | 45.0 |
| pH | pH | 1.0 | 4.0 | |
| Initial Cr(VI) concentration (mg L−1) | Co | 10.6 | 1035 | |
| Smallest particle size (μm) | SPS | 150 | 1410 | |
| Largest particle size (μm) | LPS | 180 | 1700 | |
| Time (h) | time | 0 | 144 | |
| Output | Cr(VI) removal capacity (mg g−1) | qCr(VI) | 0 | 611 |
| Cr(T) removal capacity (mg g−1) | qCr(T) | 0 | 279 |
| Layer | Hyperparameter | Value |
|---|---|---|
| Input | Number of neurons | 6 |
| First hidden | Number of cells LSTM | 12, 25, 50 |
| Activation function | elu | |
| Recurrent activation function | sigmoid | |
| Activation function dropout | 0 | |
| Recurrent activation dropout | 0 | |
| Return sequences | true | |
| Second hidden | Number of cells LSTM | 12, 25, 50 |
| Activation function | relu | |
| Recurrent activation function | sigmoid | |
| Activation function dropout | 0, 0.3 | |
| Recurrent activation dropout | 0, 0.3, 0.6, 0.9 | |
| Return sequences | false | |
| Output | Number of neurons | 2 |
| Activation function | softplus |
| Model | LSTM Cells | Second Hidden Layer | Epochs | MSE Train | MSE Test | R2 qCr(VI) | R2 qCr(T) | |
|---|---|---|---|---|---|---|---|---|
| Dropout | Recurrent Dropout | |||||||
| 1 | 12 | 0 | 0 | 307 | 23.77 | 23.87 | 0.9969 | 0.9955 |
| 2 | 12 | 0 | 0.3 | 226 | 44.00 | 41.94 | 0.9947 | 0.9916 |
| 3 | 12 | 0 | 0.6 | 297 | 20.26 | 21.01 | 0.9973 | 0.9960 |
| 4 | 12 | 0 | 0.9 | 343 | 28.92 | 29.10 | 0.9962 | 0.9945 |
| 5 | 12 | 0.3 | 0 | 136 | 94.52 | 101.82 | 0.9870 | 0.9802 |
| 6 | 12 | 0.3 | 0.3 | 186 | 43.54 | 41.74 | 0.9953 | 0.9903 |
| 7 | 12 | 0.3 | 0.6 | 155 | 54.25 | 55.30 | 0.9937 | 0.9873 |
| 8 | 12 | 0.3 | 0.9 | 92 | 118.36 | 126.02 | 0.9832 | 0.9772 |
| 9 | 25 | 0 | 0 | 193 | 49.98 | 50.60 | 0.9931 | 0.9912 |
| 10 | 25 | 0 | 0.3 | 188 | 27.78 | 27.95 | 0.9962 | 0.9951 |
| 11 | 25 | 0 | 0.6 | 228 | 28.70 | 29.71 | 0.9962 | 0.9943 |
| 12 | 25 | 0 | 0.9 | 203 | 31.44 | 31.54 | 0.9961 | 0.9935 |
| 13 | 25 | 0.3 | 0 | 92 | 75.61 | 78.40 | 0.9894 | 0.9861 |
| 14 | 25 | 0.3 | 0.3 | 125 | 35.74 | 34.84 | 0.9960 | 0.9921 |
| 15 | 25 | 0.3 | 0.6 | 158 | 31.52 | 30.57 | 0.9967 | 0.9925 |
| 16 | 25 | 0.3 | 0.9 | 121 | 38.91 | 38.09 | 0.9957 | 0.9912 |
| 17 | 50 | 0 | 0 | 213 | 18.77 | 18.67 | 0.9976 | 0.9964 |
| 18 | 50 | 0 | 0.3 | 121 | 28.05 | 28.51 | 0.9962 | 0.9947 |
| 19 | 50 | 0 | 0.6 | 126 | 35.58 | 34.22 | 0.9957 | 0.9933 |
| 20 | 50 | 0 | 0.9 | 117 | 28.03 | 27.70 | 0.9968 | 0.9939 |
| 21 | 50 | 0.3 | 0 | 79 | 54.07 | 54.16 | 0.9934 | 0.9887 |
| 22 | 50 | 0.3 | 0.3 | 117 | 38.73 | 36.56 | 0.9957 | 0.9921 |
| 23 | 50 | 0.3 | 0.6 | 85 | 54.56 | 54.96 | 0.9931 | 0.9890 |
| 24 | 50 | 0.3 | 0.9 | 115 | 30.46 | 28.25 | 0.9967 | 0.9939 |
| Model | LSTM Cells | Second Hidden Layer | Epochs | MSE Train | MSE Test | R2 qCr(VI) | R2 qCr(T) | |
|---|---|---|---|---|---|---|---|---|
| Dropout | Recurrent Dropout | |||||||
| 25 | 12 | 0 | 0 | 188 | 21.98 | 22.06 | 0.9971 | 0.9959 |
| 26 | 12 | 0 | 0.3 | 235 | 30.41 | 30.72 | 0.9960 | 0.9942 |
| 27 | 12 | 0 | 0.6 | 199 | 33.83 | 33.87 | 0.9958 | 0.9932 |
| 28 | 12 | 0 | 0.9 | 175 | 34.25 | 34.10 | 0.9958 | 0.9929 |
| 29 | 12 | 0.3 | 0 | 153 | 48.89 | 48.61 | 0.9939 | 0.9902 |
| 30 | 12 | 0.3 | 0.3 | 147 | 35.33 | 33.70 | 0.9961 | 0.9925 |
| 31 | 12 | 0.3 | 0.6 | 112 | 42.84 | 42.52 | 0.9951 | 0.9903 |
| 32 | 12 | 0.3 | 0.9 | 156 | 51.35 | 50.86 | 0.9934 | 0.9903 |
| 33 | 25 | 0 | 0 | 120 | 36.37 | 37.36 | 0.9954 | 0.9922 |
| 34 | 25 | 0 | 0.3 | 246 | 12.94 | 12.99 | 0.9982 | 0.9977 |
| 35 | 25 | 0 | 0.6 | 147 | 16.98 | 17.14 | 0.9978 | 0.9967 |
| 36 | 25 | 0 | 0.9 | 131 | 23.03 | 24.70 | 0.9970 | 0.9949 |
| 37 | 25 | 0.3 | 0 | 155 | 25.09 | 23.72 | 0.9970 | 0.9954 |
| 38 | 25 | 0.3 | 0.3 | 139 | 25.52 | 24.27 | 0.9970 | 0.9950 |
| 39 | 25 | 0.3 | 0.6 | 160 | 19.59 | 19.11 | 0.9978 | 0.9958 |
| 40 | 25 | 0.3 | 0.9 | 118 | 27.96 | 27.05 | 0.9968 | 0.9942 |
| 41 | 50 | 0 | 0 | 144 | 21.00 | 20.76 | 0.9973 | 0.9962 |
| 42 | 50 | 0 | 0.3 | 175 | 19.14 | 19.68 | 0.9973 | 0.9967 |
| 43 | 50 | 0 | 0.6 | 152 | 11.45 | 11.82 | 0.9985 | 0.9977 |
| 44 | 50 | 0 | 0.9 | 104 | 21.33 | 20.69 | 0.9973 | 0.9960 |
| 45 | 50 | 0.3 | 0 | 83 | 27.72 | 27.87 | 0.9965 | 0.9943 |
| 46 | 50 | 0.3 | 0.3 | 116 | 18.81 | 18.38 | 0.9976 | 0.9965 |
| 47 | 50 | 0.3 | 0.6 | 123 | 17.16 | 16.27 | 0.9980 | 0.9966 |
| 48 | 50 | 0.3 | 0.9 | 132 | 19.31 | 18.73 | 0.9975 | 0.9965 |
| Model | g1 Test qCr(VI) | g1 Test qCr(T) | g2 Test qCr(VI) | g2 Test qCr(T) |
|---|---|---|---|---|
| 1 | −0.0455 | −0.5549 | 2.2219 | 2.2004 |
| 2 | −0.2822 | −0.7838 | 3.3552 | 1.6272 |
| 3 | −0.6210 | −0.8913 | 3.9428 | 3.3062 |
| 4 | −0.5061 | −0.8911 | 2.8619 | 2.8945 |
| 5 | 0.4543 | −0.2875 | 5.1015 | 2.1279 |
| 6 | −0.1317 | −0.1288 | 3.4923 | 1.3890 |
| 7 | −0.6835 | −0.2361 | 5.9065 | 2.5282 |
| 8 | 0.0472 | −0.5873 | 4.8401 | 3.1900 |
| 9 | 0.3781 | −0.6285 | 8.9449 | 3.0856 |
| 10 | −0.6494 | −1.0237 | 8.4897 | 5.4947 |
| 11 | −0.6510 | −1.6155 | 11.2792 | 8.1413 |
| 12 | −0.4626 | −0.9209 | 4.8655 | 2.8924 |
| 13 | 0.7905 | −0.3265 | 6.2601 | 2.2734 |
| 14 | −0.3529 | −0.0508 | 4.6765 | 1.2591 |
| 15 | −0.9428 | −0.5088 | 5.3820 | 2.1579 |
| 16 | −0.6515 | −0.2183 | 5.2611 | 1.4242 |
| 17 | −0.6180 | −1.1433 | 8.0424 | 4.8109 |
| 18 | −0.2996 | −0.9488 | 5.7356 | 4.0755 |
| 19 | −1.2285 | −1.5220 | 9.3136 | 6.4644 |
| 20 | −0.7954 | −0.7378 | 6.3935 | 3.6898 |
| 21 | −0.7349 | −0.9557 | 9.0527 | 4.4115 |
| 22 | −0.8613 | −0.7387 | 5.1087 | 2.4119 |
| 23 | −0.1437 | −0.8407 | 7.0884 | 3.4345 |
| 24 | −0.6956 | −0.6577 | 4.4262 | 1.9243 |
| Model | g1 Test qCr(VI) | g1 Test qCr(T) | g2 Test qCr(VI) | g2 Test qCr(T) |
|---|---|---|---|---|
| 25 | −0.6114 | −1.1884 | 8.9240 | 5.5195 |
| 26 | −0.1719 | −1.0423 | 10.7687 | 3.9308 |
| 27 | −1.2914 | −1.2329 | −1.2329 | 6.3859 |
| 28 | −0.7154 | −0.9585 | 5.3889 | 3.7935 |
| 29 | 0.6143 | −0.3772 | 6.8712 | 1.6905 |
| 30 | −0.9709 | −0.3189 | 4.0618 | 1.2682 |
| 31 | −0.0268 | −0.0815 | 3.0070 | 1.5803 |
| 32 | 0.4572 | −0.7314 | 6.2135 | 1.7421 |
| 33 | −1.1742 | −1.4410 | 10.6901 | 6.2448 |
| 34 | −0.3874 | −0.4980 | 3.7380 | 3.4149 |
| 35 | 0.3038 | −0.7046 | 7.0371 | 4.8996 |
| 36 | 0.8650 | −0.9404 | 18.2947 | 4.5444 |
| 37 | 0.3468 | −0.5895 | 4.2708 | 3.1144 |
| 38 | −0.0769 | −0.1377 | 2.8427 | 2.6233 |
| 39 | −0.8726 | −0.4725 | 5.3467 | 3.6010 |
| 40 | −0.5931 | −0.5960 | 4.1516 | 2.3497 |
| 41 | −0.2309 | −1.0816 | 7.3694 | 5.1950 |
| 42 | 0.1425 | −0.9537 | 5.5784 | 3.9419 |
| 43 | −0.0485 | −0.4250 | 8.0420 | 4.8184 |
| 44 | −1.3757 | −1.9055 | 12.2041 | 10.0599 |
| 45 | −0.9037 | −0.8925 | 7.3314 | 3.3707 |
| 46 | 0.0719 | −0.4060 | 7.6136 | 3.0134 |
| 47 | −0.5985 | −0.5312 | 5.2234 | 3.5258 |
| 48 | −1.5367 | −0.8365 | 5.9042 | 3.4500 |
| Model | g1 Test qCr(VI) | g1 Test qCr(T) | g2 Test qCr(VI) | g2 Test qCr(T) |
|---|---|---|---|---|
| 1 | −0.3647 | −1.0891 | 3.9312 | 3.6341 |
| 6 | 1.5624 | −0.3739 | 10.9953 | 3.7768 |
| 8 | 1.9569 | −0.6549 | 14.7837 | 2.9181 |
| 14 | −0.7895 | −0.9101 | 4.2179 | 2.4109 |
| 31 | −0.7046 | −0.7783 | 4.3127 | 2.6463 |
| 38 | −0.7653 | −1.006 | 5.3230 | 4.1660 |
| 42 | 0.0421 | −0.8881 | 8.0993 | 6.8762 |
| 43 | −1.1964 | −1.5219 | 5.5016 | 7.2949 |
| 46 | −0.7880 | −1.2769 | 4.5748 | 3.6477 |
| Model | CoV R2 (%) | CoV RMSE (%) | CoV MAE (%) | |||
|---|---|---|---|---|---|---|
| qCr(VI) | qCr(T) | qCr(VI) | qCr(T) | qCr(VI) | qCr(T) | |
| 1 | 0.2904 | 0.4501 | 27.22 | 28.10 | 21.56 | 25.17 |
| 6 | 0.5579 | 0.2700 | 20.23 | 7.72 | 15.12 | 7.44 |
| 8 | 1.1463 | 0.4794 | 37.88 | 16.93 | 29.31 | 16.12 |
| 14 | 0.2063 | 0.4036 | 17.89 | 21.54 | 17.64 | 21.40 |
| 31 | 0.1889 | 0.2553 | 19.88 | 15.93 | 16.51 | 14.62 |
| 38 | 0.0265 | 0.0398 | 5.62 | 5.01 | 6.11 | 4.54 |
| 42 | 0.1120 | 0.1625 | 19.75 | 20.67 | 16.85 | 18.64 |
| 43 | 0.0665 | 0.0736 | 10.58 | 7.71 | 8.06 | 7.25 |
| 46 | 0.0671 | 0.0992 | 15.35 | 16.15 | 16.78 | 16.67 |
| Model | Feature Relative Importance on qCr(VI) (mg g−1) | |||||
|---|---|---|---|---|---|---|
| Time | pH | T | Co | SPS | LPS | |
| 1 | 34.91 | 11.84 | 6.83 | 56.32 | 1.53 | 1.43 |
| 6 | 30.69 | 11.04 | 8.13 | 55.41 | 1.44 | 1.51 |
| 8 | 33.24 | 10.44 | 5.69 | 54.96 | 0.61 | 0.25 |
| 14 | 36.35 | 12.64 | 6.95 | 60.65 | 2.09 | 1.31 |
| 31 | 34.41 | 7.86 | 6.68 | 57.59 | 1.60 | 2.26 |
| 38 | 36.42 | 11.09 | 6.97 | 59.47 | 1.12 | 1.19 |
| 42 | 32.99 | 10.33 | 5.06 | 57.59 | 1.34 | 1.30 |
| 43 | 34.82 | 12.53 | 6.27 | 53.45 | 2.05 | 0.70 |
| 46 | 39.05 | 11.80 | 5.48 | 59.34 | 0.97 | 2.02 |
| Model | Feature Relative Importance on qCr(T) (mg g−1) | |||||
| Time | pH | T | Co | SPS | LPS | |
| 1 | 21.14 | 5.81 | 1.88 | 41.13 | 1.79 | 1.81 |
| 6 | 18.70 | 5.15 | 2.74 | 42.43 | 1.13 | 1.23 |
| 8 | 19.43 | 5.10 | 2.12 | 42.67 | 0.32 | 0.17 |
| 14 | 20.57 | 6.34 | 2.01 | 44.06 | 1.66 | 0.92 |
| 31 | 20.86 | 3.72 | 2.23 | 43.54 | 1.42 | 1.70 |
| 38 | 20.86 | 5.05 | 2.06 | 43.50 | 1.34 | 0.83 |
| 42 | 19.52 | 5.39 | 1.65 | 43.49 | 1.62 | 0.83 |
| 43 | 20.36 | 6.12 | 1.76 | 39.25 | 2.01 | 1.04 |
| 46 | 22.50 | 5.20 | 1.64 | 43.97 | 1.27 | 1.37 |
Disclaimer/Publisher’s Note: The statements, opinions and data contained in all publications are solely those of the individual author(s) and contributor(s) and not of MDPI and/or the editor(s). MDPI and/or the editor(s) disclaim responsibility for any injury to people or property resulting from any ideas, methods, instructions or products referred to in the content. |
© 2024 by the authors. Licensee MDPI, Basel, Switzerland. This article is an open access article distributed under the terms and conditions of the Creative Commons Attribution (CC BY) license (https://creativecommons.org/licenses/by/4.0/).
Share and Cite
Cruz-Victoria, J.C.; Netzahuatl-Muñoz, A.R.; Cristiani-Urbina, E. Long Short-Term Memory and Bidirectional Long Short-Term Memory Modeling and Prediction of Hexavalent and Total Chromium Removal Capacity Kinetics of Cupressus lusitanica Bark. Sustainability 2024, 16, 2874. https://doi.org/10.3390/su16072874
Cruz-Victoria JC, Netzahuatl-Muñoz AR, Cristiani-Urbina E. Long Short-Term Memory and Bidirectional Long Short-Term Memory Modeling and Prediction of Hexavalent and Total Chromium Removal Capacity Kinetics of Cupressus lusitanica Bark. Sustainability. 2024; 16(7):2874. https://doi.org/10.3390/su16072874
Chicago/Turabian StyleCruz-Victoria, Juan Crescenciano, Alma Rosa Netzahuatl-Muñoz, and Eliseo Cristiani-Urbina. 2024. "Long Short-Term Memory and Bidirectional Long Short-Term Memory Modeling and Prediction of Hexavalent and Total Chromium Removal Capacity Kinetics of Cupressus lusitanica Bark" Sustainability 16, no. 7: 2874. https://doi.org/10.3390/su16072874
APA StyleCruz-Victoria, J. C., Netzahuatl-Muñoz, A. R., & Cristiani-Urbina, E. (2024). Long Short-Term Memory and Bidirectional Long Short-Term Memory Modeling and Prediction of Hexavalent and Total Chromium Removal Capacity Kinetics of Cupressus lusitanica Bark. Sustainability, 16(7), 2874. https://doi.org/10.3390/su16072874

