Carbon and Methane as Indicators of Environmental Efficiency of a Silvopastoral System in Eastern Amazon, Brazil
Abstract
1. Introduction
2. Material and Methods
2.1. Study Area
2.2. Experimental Plot
2.3. Characteristics of the Areas
2.4. Sampling, Concentrations, and Fluxes of CO2 and CH4
2.5. Analysis of CO2 and CH4 Flux Measurements
2.6. Statistical Analysis
3. Results
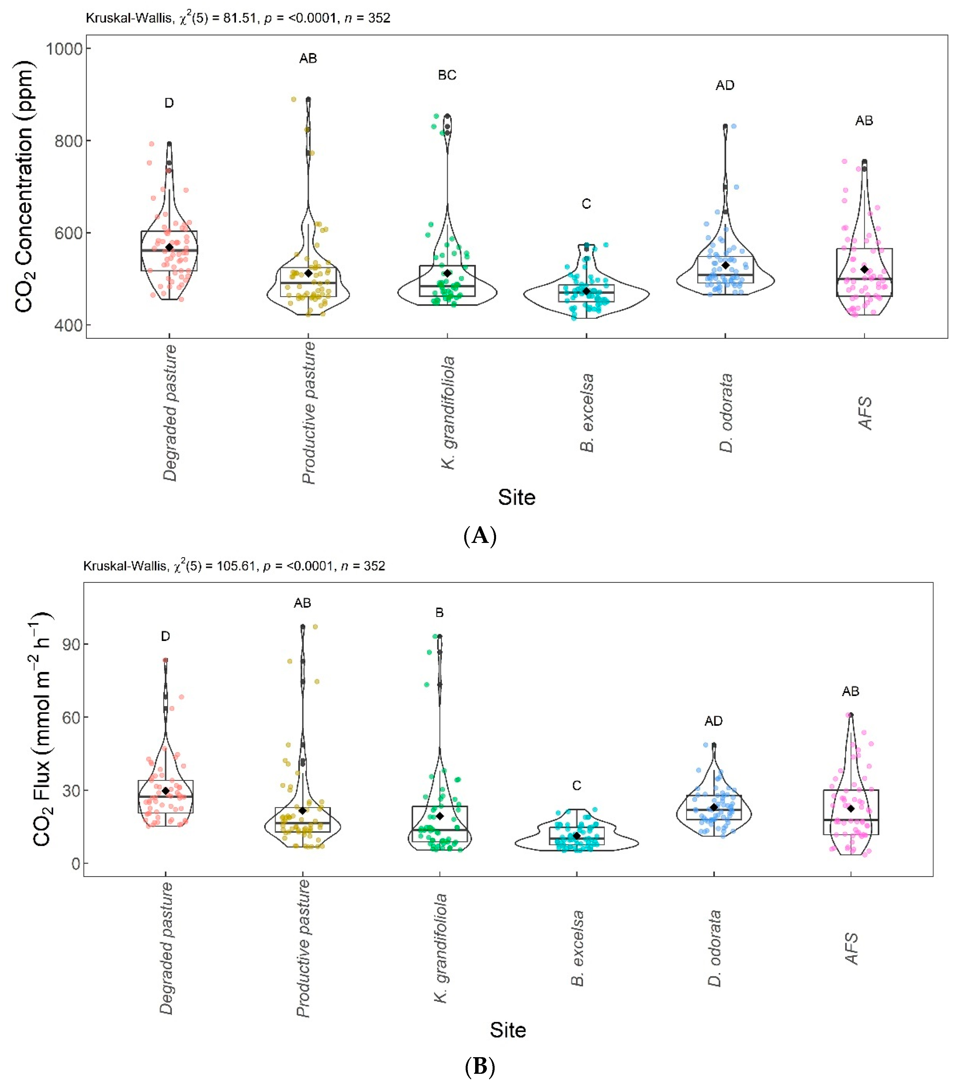
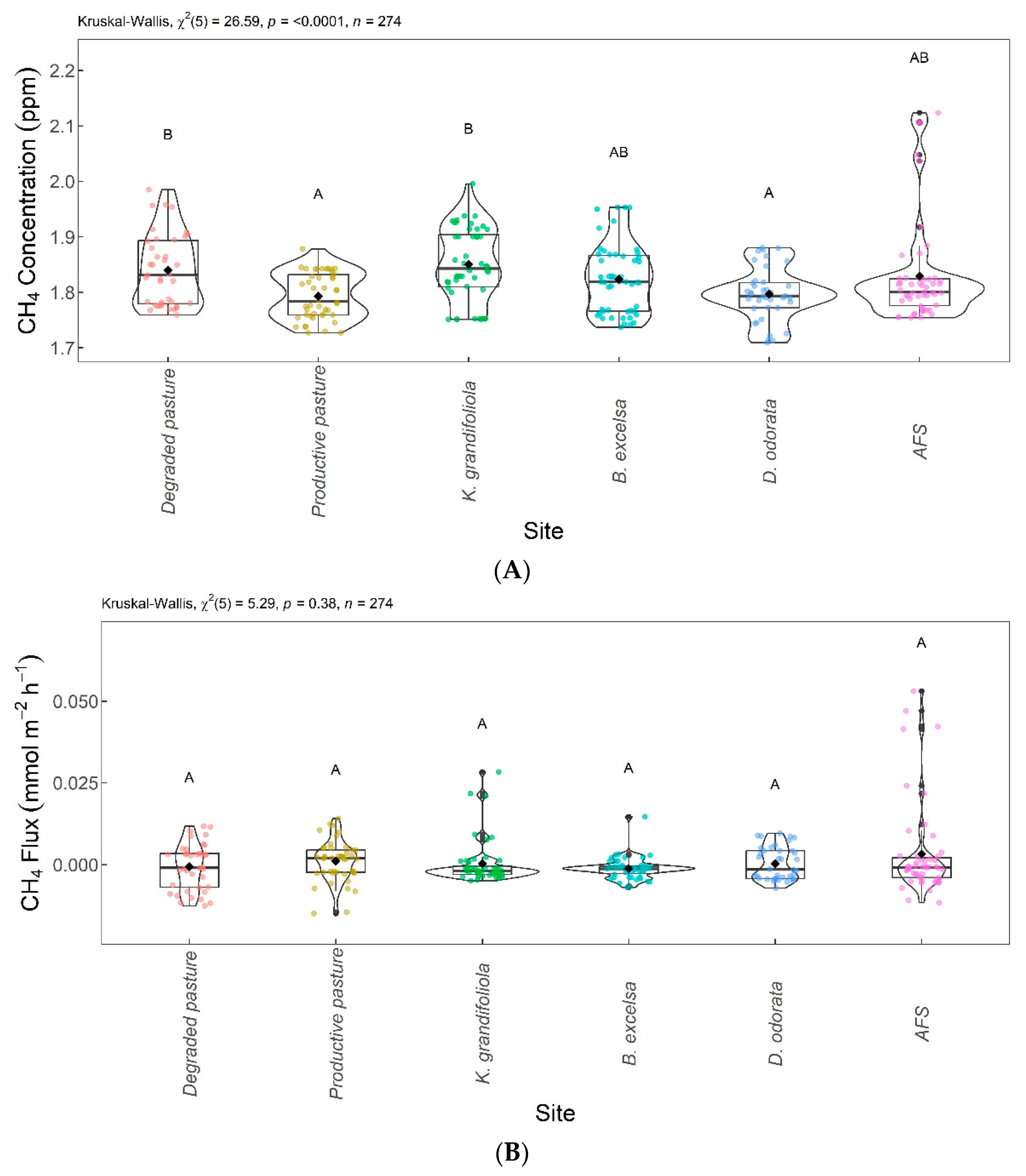
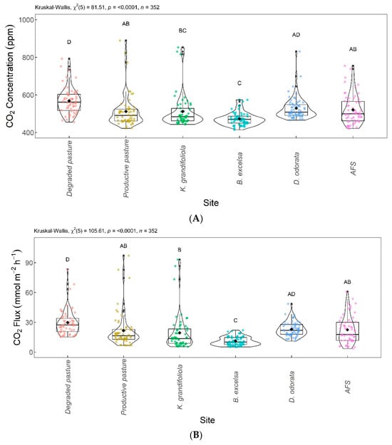
3.1. Area Effect on CO2 and CH4 Concentrations and Fluxes
3.2. Evaluation Time Effect on CO2 and CH4 Concentrations and Fluxes
3.3. Interaction between Area and Evaluation Months for CO2 and CH4 Concentrations and Fluxes
3.4. Principal Component Analysis (PCA)
4. Discussion
4.1. Area Effect on CO2 and CH4 Concentrations and Fluxes
4.2. Evaluation Time Effect on CO2 and CH4 Concentrations and Fluxes
4.3. Interaction between Area and Evaluation Time on CO2 and CH4 Concentrations and Fluxes
4.4. Principal Component Analysis (PCA)
5. Conclusions
Author Contributions
Funding
Data Availability Statement
Acknowledgments
Conflicts of Interest
References
- Nan, L.; Shang, L.; Zhixin, Y.; Jiang, Y. Estimation of agricultural greenhouse gases emission in interprovincial regions of China during 1996–2014. Nat. Hazards 2020, 100, 1037–1058. [Google Scholar] [CrossRef]
- Ministério da Ciência Tecnologia e Inovações. Inventário Nacional de Emissões e Remoções de Gases de Efeito Estufa (GEE) da Quarta Comunicação Nacional do Brasil–Emissões por Subsetor; Emissões de GEE por Subsetor: Português, Brasil, 2021. Available online: https://antigo.mctic.gov.br/mctic/export/sites/institucional/arquivos/SIRENE/Comunicacoes-Nacionais-do-Brasil-a-UNFCCC/2020_12_22_4CN_v5_PORT_publicada.pdf (accessed on 30 August 2023).
- EMBRAPA, Brazilian Agricultural Research Corporation. ABC Sector Plan–Sector Plan for Mitigation and Adaptation to Climate Change for the Consolidation of a Low-Carbon Economy in Agriculture. 2022. Available online: https://www.embrapa.br/en/tema-agricultura-de-baixo-carbono/sobre-o-tema (accessed on 30 August 2023).
- Ministério da Agricultura Pecuária e Abastecimento. Plano ABC+. 2021. Available online: https://www.gov.br/agricultura/pt-br/assuntos/sustentabilidade/plano-abc/arquivo-publicacoes-plano-abc/abc-english.pdf/view (accessed on 30 August 2023).
- Global Methane Pledge. Available online: https://www.globalmethanepledge.org/ (accessed on 23 August 2023).
- Oliveira, P.P.A.; Pezzopane, J.R.M.; Berbardi, A.C.C.; Garcia, A.R.; Berndt, A.; Pedroso, A.F.; Januário, A.L.; Medeiro, L.S.R. Potencial de Produção de Carne Carbono Neutro por Bovinos Machos da Raça Nelore em Sistema Silvipastoril com Capim-Piatã e Eucalipto: Embrapa Pecuária Sudeste-São Carlos, SP. ISSN 1980-6841, Abril, 2022. Documentos 142, Embrapa. Available online: https://ainfo.cnptia.embrapa.br/digital/bitstream/doc/1142219/1/Documentos142.pdf (accessed on 27 August 2023).
- IPCC. Summary for Policymakers. In Climate Change 2022: Impacts, Adaptation and Vulnerability. Contribution of Working Group II to the Sixth Assessment Report of the Intergovernmental Panel on Climate Change; Cambridge University Press: Cambridge, UK; Cambridge University Press: New York, NY, USA, 2022; Available online: https://www.cambridge.org/core/books/climate-change-2022-impacts-adaptation-and-vulnerability/summary-for-policymakers/016527EADEE2178406C4A7CE7DEAEACA (accessed on 30 August 2023).
- Artaxo, P. Mudanças climáticas e o Brasil. Rev. USP 2014, 103, 8–12. [Google Scholar] [CrossRef]
- Giller, K.E.; Delaune, T.; Silva, J.V.; Descheemaeker, K.; van de Ven, G.; Schut, A.G.T.; van Wijk, M.; Hammond, J.; Hochman, Z.; Taulya, G.; et al. The future of farming: Who will produce our food? Food Sec. 2021, 13, 1073–1099. [Google Scholar] [CrossRef]
- Sakita, G.Z.; Lima, P.M.T.; Abdalla Filho, A.L.; Bompadre, T.F.V.; Ovani, V.S.; Chaves, C.M.S.; Bizzuti, B.E.; Costa, W.S.; Paim, T.P.; Campioni, T.S.; et al. Treating tropical grass with fibrolytic enzymes from the fungus Trichoderma reesei: Effects on animal performance, digestibility and enteric methane emissions of growing lambs. Anim. Feed Sci. Technol. 2022, 286, 115253. [Google Scholar] [CrossRef]
- Fearnside, P.M. Environmente: Deforestation soars in the Amazon. Nature 2015, 521, 423. [Google Scholar] [CrossRef]
- Nepstad, D.; McGrath, D.; Stickler, C.; Alencar, A.; Azevedo, A.; Swette, B.; Bezerra, T.; DiGiano, M.; Shimada, J.; Motta, R.; et al. Slowing Amazon deforestation through public policy and interventions in beef and soy supply chains. Science 2014, 344, 1118–1123. [Google Scholar] [CrossRef]
- Ferreira Junior, M.J.A.; Oliveira Junior, R.C.; Silva, R.; Moura, J.M.S.; Furtado Neto, A.; Ponte, M.X.; Beldini, T.P. Assessing the impact of different tillage systems and land uses on CO2-C emissions in Eastern Amazonia. Afr. J. Agric. 2017, 12, 2427–2441. [Google Scholar] [CrossRef][Green Version]
- Kim, D.G.; Kirschbaum, M.U. The effect of land-use change on the net exchange rates of greenhouse gases: A compilation of estimates. Agric. Ecosyst. Environ. 2015, 208, 114–126. [Google Scholar] [CrossRef]
- Kim, D.G.; Thomas, A.D.; Pelster, D.; Rosenstock, T.S.; Sanz Cobena, A. Greenhouse gas emissions from natural ecosystems and agricultural lands in sub-Saharan Africa: Synthesis of available data and suggestions for further research. Biogeosciences 2016, 13, 4789–4809. [Google Scholar] [CrossRef]
- Glatzle, S.; Stuerz, S.; Giese, M.; Pereira, M.; Almeida, R.G.; Bungenstab, D.J.; Macedo, M.C.M.; Asch, F. Seasonal dynamics of soil moisture in an Integrated-Crop-Livestock-Forestry system in central-west Brazil. Agriculture 2021, 11, 245. [Google Scholar] [CrossRef]
- Santos, I.L.; Oliveira, A.D.; Figueiredo, C.C.; Malaquias, J.V.; Santos Junior, J.D.G.; Ferreira, E.A.B.; Sa, M.A.C.; Carvalho, A.M. Soil N2O emissions from long-term agroecosystems: Interactive effects of rainfall seasonality and crop rotation in the Brazilian Cerrado. Agric. Ecosyst. Environ. 2016, 233, 111–120. [Google Scholar] [CrossRef]
- Smith, K.A. Changing views of nitrous oxide emissions from agricultural soil: Key controlling processes and assessment at different spatial scales. Eur. J. Soil Sci. 2017, 68, 137–155. [Google Scholar] [CrossRef]
- Hickman, J.E.; Palm, C.A.; Mutuo, P.; Melillo, J.M.; Tang, J. Nitrous oxide (N2O) emissions in response to increasing fertilizer addition in maize (Zea mays L.) agriculture in western Kenya. Nutr. Cycl. Agroecosyst. 2014, 100, 177–187. [Google Scholar] [CrossRef]
- Carvalho, A.M.; Oliveira, W.R.D.; Ramos, M.L.G.; Coser, T.R.; Oliveira, A.D.; Pulrolnik, K.; Souza, K.W.; Vilela, L.; Marchão, L.R. Soil N2O fluxes in integrated production systems, continuous pasture and Cerrado. Nutr. Cycl. Agroecosyst. 2017, 107, 69–83. [Google Scholar] [CrossRef]
- Carvalho, P.C.F.; Anghinoni, I.; de Moraes, A.; de Souza, E.D.; Sulc, R.M.; Lang, C.R.; Flores, J.P.C.; Lopes, M.L.T.; Silva, J.L.S.; Conte, O.; et al. Managing grazing animals to achieve nutrient cycling and soil improvement in no-till integrated systems. Nutr. Cycl. Agroecosyst. 2010, 88, 259–273. [Google Scholar] [CrossRef]
- Franzluebbers, A.J.; Stuedemann, J.A. Crop and cattle production responses to tillage and cover crop management in an integrated crop–livestock system in the southeastern USA. Eur. J. Agron. 2014, 57, 62–70. [Google Scholar] [CrossRef]
- Moraes, A.; Carvalho, P.C.F.; Anghinoni, I.; Lustosa, S.B.C.; Costa, S.E.V.G.A.; Kunrath, T.R. Integrated crop–livestock systems in the Brazilian subtropics. Eur. J. Agron. 2014, 57, 4–9. [Google Scholar] [CrossRef]
- Brasil, M.C.T.I. Terceira Comunicaçao Nacional do Brasil à Convenção-Quadro das Nações Unidas Sobre Mudança do Clima. Setor Uso da Terra, Mudança do Uso da Terra e Florestas. MCT, Brasília. 2016. Available online: http://www.ccst.inpe.br/publicacao/terceira-comunicacao-nacional-do-brasil-a-convencao-quadro-das-nacoes-unidas-sobre-mudanca-do-clima-portugues/ (accessed on 26 November 2023).
- de Azevedo, T.R.; Costa Junior, C.; Brandão Junior, A.; Cremer, M.D.S.; Piatto, M.; Tsai, D.S.; Barreto, P.; Martins, H.; Sales, M.; Galuchi, T.; et al. SEEG initiative estimates of Brazilian greenhouse gas emissions from 1970 to 2015. Sci. Data 2018, 5, 180045. [Google Scholar] [CrossRef]
- Nair, P.K.R.; Tonucci, R.G.; Garcia, R.; Nair, V.D. Silvopasture and carbon sequestration with special reference to the Brazilian Savanna (Cerrado). In Carbon Sequestration Potential of Agroforestry Systems, 2nd ed.; Kumar, B.M., Nair, P.K.R., Eds.; Springer: London, UK, 2011; Volume 1, pp. 145–162. [Google Scholar]
- Peters, M.; Rao, I.; Fisher, M.; Subbarao, G.; Martens, S.; Herrero, M.; van der Hoek, R.; Schultze-Kraft, R.; Miles, J.; Castro, A.; et al. In Eco-Efciency: From Vision to Reality Tropical forage-based systems to mitigate greenhouse gas emissions. In CIAT. 2013. Eco-Efficiency: From Vision to Reality-Issues in Tropical Agriculture; Hershey, C.H., Neate, P., Eds.; CIAT: Cali, Colombia, 2012. [Google Scholar]
- Bernardi, R.E.; de Jonge, I.K.; Holmgren, M. Trees improve forage quality and abundance in South American subtropical grasslands. Agric. Ecosyst. Environ. 2016, 232, 227–231. [Google Scholar] [CrossRef]
- Tornton, P.K.; Herrero, M. Potential for reduced methane and carbon dioxide emissions from livestock and pasture management in the tropics. Proc. Natl. Acad. Sci. USA 2010, 107, 19667–19672. Available online: https://www-pnas-org.translate.goog/doi/full/10.1073/pnas.0912890107?_x_tr_sl=pt&_x_tr_tl=en&_x_tr_hl=pt-BR&_x_tr_pto=wapp (accessed on 30 August 2023). [CrossRef]
- Dube, F.; Espinosa, M.; Stolpe, N.B.; Zagal, E.; Thevathasan, N.V.; Gordon, A.M. Productivity and carbon storage in silvopastoral systems with Pinus ponderosa and Trifolium spp., plantations and pasture on an Andisol in Patagonia, Chile. Agrofor. Syst. 2012, 86, 113–128. [Google Scholar] [CrossRef]
- Paula, R.R.; Reis, G.G.; Reis, M.G.F.; Neto, S.N.O.; Leite, H.G.; Melido, R.C.N.; Lopes, H.N.S.; Souza, F.C.S. Eucalypt growth in monoculture and silvopastoral systems with varied tree initial densities and spatial arrangements. Agrofor. Syst. 2013, 87, 1295–1307. [Google Scholar] [CrossRef]
- Nair, P.K.R. Climate change mitigation: A low-hanging fruit of agroforestry. In Agroforestry-Te Future of Global Land Use, 2nd ed.; Nair, P.K.R., Garrity, D., Eds.; Springer: London, UK, 2012; Volume 1, pp. 31–67. [Google Scholar]
- Martorano, L.G.; Vitorino, M.I.; da Silva, B.P.P.C.; de Moraes, J.R.S.C.; Lisboa, L.S.; Sotta, E.D.; Reichardt, K. Climate conditions in the eastern amazon: Rainfall variability in Belem and indicative of soil water deficit. Afr. J. Agric. Res. 2017, 12, 1801–1810. [Google Scholar]
- Martorano, L.G.; Soares, W.B.; Moraes, J.R.S.C.; Aparecido, L.E.O.; Villa, P.M. Climatology of Air Temperature in Belterra: Thermal Regulation Ecosystem Services Provided by the Tapajós National Forest in the Amazon. Rev. Bras. Meteorol. 2021, 36, 327–337. [Google Scholar] [CrossRef]
- Empresa Brasileira de Pesquisa Agropecuária—EMBRAPA; Centro Nacional de Pesquisa de Solos. Sistema Brasileiro de Classificação de Solos; Embrapa Solos: Rio de Janeiro, Brazil, 2006; p. 306. [Google Scholar]
- Cândido, A.C.T.F.; Guerreiro Martorano, L.; Cândido, B.U.F.; Nascimento, W.; Dias, C.T.d.S.; Lisboa, L.S.S.; Fernandes, P.C.C.; Silva, A.R.; Dias-Filho, M.B.; Beldini, T.P. Infrared Thermal Profiles in Silvopastoral and Full-Sun Pastures in the Eastern Amazon, Brazil. Forests 2023, 14, 1463. [Google Scholar] [CrossRef]
- Silva, J.C.N.; Silva, A.R.; Veloso, C.A.C.; Dantas, E.F.; do Sacramento, J.A.A.S. Aggregation, carbon, and total soil nitrogen in crop-livestock-forest integration in the Eastern Amazon. Rev. Bras. Eng. Agric. E Ambient. 2018, 22, 837–842. [Google Scholar] [CrossRef]
- Dias Filho, M.B. Degradação de Pastagens: O Que é e Como Evitar, 1st ed.; Embrapa: Brasília, Brazil, 2017; p. 19. [Google Scholar]
- Lameira, M.K.S.; Silva, H.K.M.; Gomes, K.M.A.; Ferreira, A.C.T.; Martorano, L.G.; Ribeiro, R.B.S.; Silva, A.R.; Gama, J.R.V. Capacidade produtiva de Dipteryx odorata (Aubl.) Willd. em sistema de produção de pecuária integrada no Baixo Amazonas. Rev. For. Mesoam. Kuru-Rfmk 2022, 19, 56–65. Available online: https://revistas.tec.ac.cr/index.php/kuru/article/view/6102 (accessed on 23 August 2023).
- dos Santos, L.E.; Martorano, L.G.; Silva, A.R.; Gama, J.R.V. Teor de carbono em folhas, galhos e fustes de Bertholletia excelsa Humb. & Bonpl., Dipteryx odorata (Aubl.) Willd. e Khaya grandifoliola C. DC. em sistemas integrados na Amazônia oriental brasileira. DELOS Desarro. Local Sosten. 2023, 16, 910–923. [Google Scholar] [CrossRef]
- Furtado Neto, A.T.; Moura, J.M.S.; Silva, R.; Oliveira Junior, R.C.; Gatti, L.V.; Röckmann, T. Produção e Fluxo de Metano na Floresta Nacional do Tapajós. Rev. Bras. Meteorol. 2019, 34, 585–596. [Google Scholar] [CrossRef]
- Wilkinson, J.; Bors, C.; Burgis, F.; Lorke, A.; Bodmer, P. Measuring CO2 and CH4 with a portable gas analyzer: Closed-loop operation, optimization and assessment. PLoS ONE 2018, 13, e0193973. [Google Scholar] [CrossRef]
- Goldenfum, J.A. (Ed.) GHG Measurement Guidelines for Freshwater Reservoirs: Derived from: The UNESCO/IHA Greenhouse Gas Emissions from Freshwater Reservoirs Research Project; International Hydropower Association (IHA): London, UK, 2010. [Google Scholar]
- Shapiro, S.S.; Wilk, M.B. An analysis of variance test for normality (complete samples). Biometrika 1965, 52, 591–611. [Google Scholar] [CrossRef]
- Bartlett, M.S. Properties of sufficiency and statistical tests. Proc. R. Soc. Lond. Ser. A 1937, 160, 268–282. [Google Scholar] [CrossRef]
- Kruskal, W.H.; Wallis, W.A. Use of Ranks in One-Criterion Variance Analysis. J. Am. Stat. Assoc. 1952, 47, 583. [Google Scholar] [CrossRef]
- Dunn, O.J. Multiple Comparisons Using Rank Sums. Technometrics 1964, 6, 241. [Google Scholar] [CrossRef]
- Gabriel, K.R. The biplot graphic display of matrices with application to principal component analysis. Biometrika 1971, 58, 453–467. [Google Scholar] [CrossRef]
- Kassambara, A.; Mundt, F. Factoextra: Extract and Visualize the Results of Multivariate Data Analyses. R Package Version 1.0.7. 2021. Available online: https://CRAN.R-project.org/package=factoextra (accessed on 30 August 2023).
- Pohlert, T. PMCMRplus: Calculate Pairwise Multiple Comparisons of Mean Rank Sums Extended. R Package Version 1.9.6. 2022. Available online: https://CRAN.R-project.org/package=PMCMRplus (accessed on 30 August 2023).
- Wickham, H.; Navarro, D.; Pedersen, T.L. ggplot2: Elegant Graphics for Data Analysis, 3rd ed.; Springer: Berlin/Heidelberg, Germany, 2016; Available online: https://ggplot2-book.org/ (accessed on 30 August 2023).
- Rencher, A.C. Methods of Multivariate Analysis, 2nd ed.; A John Wiley & Sons, Inc. Publication: Hoboken, NJ, USA, 2002; p. 727. [Google Scholar]
- Garofalo, D.F.T.; Novaes, R.M.L.; Pazianotto, R.A.A.; Maciel, V.G.; Brandão, M.; Shimbo, J.Z.; Matsuura, M.I.S.F. Land-use change CO2 emissions associated with agricultural products at municipal level in Brazil. J. Clean. Prod. 2022, 364, 132549. [Google Scholar] [CrossRef]
- Torres, C.M.M.E.; Jacovine, L.A.G.; Neto, N.O. Greenhouse gas emissions and carbon sequestration by agroforestry systems in southeastern Brazil. Sci. Rep. 2017, 7, 16738. [Google Scholar] [CrossRef] [PubMed]
- Silva, C.M.; Vasconcelos, S.S.; Morão Júnior, M.; Bispo, C.J.C.; Kato, O.R.; Silva Junior, A.C.; Castelani, D.C. Variação temporal do efluxo de CO2 do solo em sistemas agroflorestais com palma de óleo na Amazônia Oriental. Acta Amaz. 2016, 46, 1–12. [Google Scholar] [CrossRef]
- Ramos, J.C.d.A. Emissão de CO2, Quantidade e Qualidade do Carbono do Solo em Sistemas Agrícolas na Região do Cerrado do Mato Grosso do Sul. Ph.D. Thesis, Universidade Estadual Paulista, Ilha Solteira, São Paulo, Brazil, 1 November 2018. [Google Scholar]
- Keppler, F.; Hamilton, J.T.G.; Brass, M.; Röckmann, T. Methane emissions from terrestrial plants under aerobic conditions. Nature 2006, 439, 187–191. [Google Scholar] [CrossRef]
- WMO World Meteorological Organization. Greenhouse Gas Bulletin (GHG Bulletin): The State of Greenhouse Gases in the Atmosphere Based on Global Observations though 2011; WMO World Meteorological Organization: Geneva, Switzerland, 2012; pp. 1–4. [Google Scholar]
- Oliveira Júnior, J.; Nilo, I.C.; Ferreira, R.T. Convergência Microrregional no Setor Agrícola Usando um Modelo com Efeito Threshold. Economia 2009, 10, 553–576. [Google Scholar]
- Zanchi, F.B.; da Rocha, H.R.; De Freitas, H.C.; Kruijt, B.; Waterloo, M.J.; Manzi, A.O. Measurements of soil respiration and simple models dependent on moisture and temperature for an Amazonian southwest tropical Forest. Biogeosci. Discuss. 2009, 6, 6147–6177. [Google Scholar] [CrossRef]
- Saggar, S.N.S.; Bolan, R.; Bhandral, C.B.; Hedley, J.L. A review of emissions of methane, ammonia, and nitrous oxide from animal excreta deposition and farm effluent application in grazed pastures. N. Z. J. Agric. Res. 2004, 47, 513–544. [Google Scholar] [CrossRef]
- Siqueira Neto, M.; Piccolo, M.C.; Costa Junior, C.; Cerri, C.C.; Bernoux, M. Greenhouse gas emissions in different land uses in the Cerrado biome. Rev. Bras. Ciência Solo 2011, 35, 63–76. [Google Scholar] [CrossRef]
- Mazzetto, A.M.; Barneze, A.S.; Feigl, B.J.; Van Groenigen, J.W.; Oenema, O.; Cerri, C.C. Temperature and moisture affect methane and nitrous oxide emission from bovine manure patches in tropical conditions. Soil Biol. Biochem. 2014, 76, 242–248. [Google Scholar] [CrossRef]
- Rosa, J.K.d. Emissões de Gases do Solo e de Excretas de Bovinos em Integração Lavoura-Pecuária e Pastagem Permanente. Ph.D. Thesis, Universidade Tecnológica Federal do Paraná, Pato Branco, Paraná, Brazil, 29 April 2019. [Google Scholar]













| CO2 Concentration (ppm) | |||||
| Area | Mean | Median | Minimum | Maximum | SD |
| Degraded pasture | 568.87 | 561.32 | 455.39 | 792.67 | 71.04 |
| Productive pasture | 512.27 | 491.06 | 422.07 | 889.53 | 88.23 |
| Khaya grandifoliola | 512.47 | 484.51 | 442.96 | 853.26 | 89.39 |
| Bertholletia excelsa | 473.38 | 469.28 | 414.30 | 573.61 | 35.51 |
| Dipteryx odorata | 529.58 | 508.56 | 465.71 | 831.37 | 60.18 |
| Agroforestry system | 520.86 | 499.72 | 421.46 | 754.84 | 78.76 |
| CO2 Flux (mmol/h−1) | |||||
| Mean | Median | Minimum | Maximum | SD | |
| Degraded pasture | 29.77 | 27.35 | 15.25 | 83.44 | 13.04 |
| Productive pasture | 21.59 | 16.40 | 6.70 | 97.17 | 17.52 |
| K. grandifoliola | 19.39 | 13.69 | 5.43 | 93.14 | 18.24 |
| B. excelsa | 11.28 | 10.07 | 5.15 | 22.12 | 4.48 |
| D. odorata | 23.01 | 21.98 | 11.17 | 48.68 | 7.35 |
| Agroforestry system | 22.43 | 17.82 | 3.48 | 60.81 | 13.60 |
| CH4 Concentration (ppm) | |||||
| Mean | Median | Minimum | Maximum | Standard Deviation | |
| Degraded pasture | 1.840 | 1.830 | 1.758 | 1.985 | 0.064 |
| Productive pasture | 1.793 | 1.783 | 1.726 | 1.878 | 0.041 |
| K. grandifoliola | 1.849 | 1.842 | 1.751 | 1.995 | 0.065 |
| B. excelsa | 1.823 | 1.818 | 1.736 | 1.953 | 0.061 |
| D. odorata | 1.796 | 1.793 | 1.708 | 1.880 | 0.047 |
| Agroforestry system | 1.828 | 1.800 | 1.754 | 2.123 | 0.092 |
| CH4 Flux (mmol/h−1) | |||||
| Mean | Median | Minimum | Maximum | Standard Deviation | |
| Degraded pasture | 0.000 | 0.000 | −0.012 | 0.011 | 0.007 |
| Productive pasture | 0.001 | 0.002 | −0.014 | 0.014 | 0.006 |
| K. grandifoliola | 0.000 | −0.001 | −0.004 | 0.028 | 0.006 |
| B. excelsa | −0.001 | −0.001 | −0.006 | 0.014 | 0.003 |
| D. odorata | 0.000 | −0.001 | −0.007 | 0.009 | 0.005 |
| Agroforestry system | 0.003 | 0.000 | −0.011 | 0.053 | 0.014 |
| CO2 Concentration (ppm) | |||||
| Months | Mean | Median | Minimum | Maximum | SD |
| April | 525.95 | 504.25 | 414.30 | 853.26 | 93.06 |
| June | 535.58 | 510.06 | 451.35 | 831.37 | 71.11 |
| August | 513.21 | 498.46 | 433.46 | 889.53 | 74.08 |
| October | 501.53 | 492.92 | 421.46 | 792.67 | 65.30 |
| CO2 Flux (mmol/h−1) | |||||
| April | Median | Minimum | Maximum | SD | |
| April | 21.46 | 16.76 | 6.70 | 93.14 | 15.82 |
| June | 22.06 | 20.01 | 5.15 | 60.81 | 11.31 |
| August | 22.51 | 19.40 | 7.08 | 97.17 | 15.14 |
| October | 18.74 | 16.85 | 3.48 | 83.44 | 14.28 |
| CH4 Concentration (ppm) | |||||
| Mean | Median | Minimum | Maximum | SD | |
| April | 1.863 | 1.833 | 1.753 | 2.123 | 0.085 |
| June | 1.826 | 1.819 | 1.751 | 1.956 | 0.055 |
| August | 1.816 | 1.779 | 1.708 | 1.950 | 0.075 |
| October | 1.795 | 1.790 | 1.736 | 1.864 | 0.031 |
| CH4 Flux (mmol/h−1) | |||||
| Mean | Median | Minimum | Maximum | SD | |
| April | 0.008 | 0.002 | −0.001 | 0.053 | 0.012 |
| June | 0.001 | 0.002 | −0.003 | 0.011 | 0.003 |
| August | −0.001 | −0.002 | −0.014 | 0.014 | 0.004 |
| October | −0.003 | −0.003 | −0.012 | 0.006 | 0.003 |
Disclaimer/Publisher’s Note: The statements, opinions and data contained in all publications are solely those of the individual author(s) and contributor(s) and not of MDPI and/or the editor(s). MDPI and/or the editor(s) disclaim responsibility for any injury to people or property resulting from any ideas, methods, instructions or products referred to in the content. |
© 2024 by the authors. Licensee MDPI, Basel, Switzerland. This article is an open access article distributed under the terms and conditions of the Creative Commons Attribution (CC BY) license (https://creativecommons.org/licenses/by/4.0/).
Share and Cite
Cândido, A.C.T.F.; da Silva, T.A.; Cândido, B.U.F.; Tapajós, R.; Chaves, S.S.N.F.; Silva, A.R.; Nascimento, W.; Dias, C.T.d.S.; Fernandes, P.C.C.; Dias-Filho, M.B.; et al. Carbon and Methane as Indicators of Environmental Efficiency of a Silvopastoral System in Eastern Amazon, Brazil. Sustainability 2024, 16, 2547. https://doi.org/10.3390/su16062547
Cândido ACTF, da Silva TA, Cândido BUF, Tapajós R, Chaves SSNF, Silva AR, Nascimento W, Dias CTdS, Fernandes PCC, Dias-Filho MB, et al. Carbon and Methane as Indicators of Environmental Efficiency of a Silvopastoral System in Eastern Amazon, Brazil. Sustainability. 2024; 16(6):2547. https://doi.org/10.3390/su16062547
Chicago/Turabian StyleCândido, Aureane Cristina Teixeira Ferreira, Taiane Alves da Silva, Bruno Uéslei Ferreira Cândido, Raphael Tapajós, Siglea Sanna Noirtin Freitas Chaves, Arystides Resende Silva, Werlleson Nascimento, Carlos Tadeu dos Santos Dias, Paulo Campos Christo Fernandes, Moacyr Bernardino Dias-Filho, and et al. 2024. "Carbon and Methane as Indicators of Environmental Efficiency of a Silvopastoral System in Eastern Amazon, Brazil" Sustainability 16, no. 6: 2547. https://doi.org/10.3390/su16062547
APA StyleCândido, A. C. T. F., da Silva, T. A., Cândido, B. U. F., Tapajós, R., Chaves, S. S. N. F., Silva, A. R., Nascimento, W., Dias, C. T. d. S., Fernandes, P. C. C., Dias-Filho, M. B., Lisboa, L. S. S., Almeida, R. G. d., Moura, J. M. S. d., Beldini, T. P., & Martorano, L. G. (2024). Carbon and Methane as Indicators of Environmental Efficiency of a Silvopastoral System in Eastern Amazon, Brazil. Sustainability, 16(6), 2547. https://doi.org/10.3390/su16062547

