Sustainable Decision-Making Enhancement: Trust and Linguistic-Enhanced Conflict Measurement in Evidence Theory
Abstract
1. Introduction
2. Preliminaries
2.1. Recognition Framework
2.2. Basic Probability Assignment Function
2.3. Dempster’s Evidence Combination Rule
2.4. Probability Linguistic Term Set
- The set is ordered: if and only if δ > γ.
- Negative elements exist: Neg()= ).
2.5. Generalized Similarity
2.6. Linguistic Preferences
2.7. Trust Relationships
2.8. Trust Scores
2.9. Consensus Threshold
3. The New PLDS Method for Conflict Measurement
- (1)
- Calculate the pairwise similarity between experts using cosine similarity and construct an expert similarity matrix.
- (2)
- Assess internal consistency within the group of experts.
- (3)
- Set a consensus threshold (average of the similarity matrix + standard deviation).
- (4)
- Identify conflicting experts by comparing their similarity scores to the threshold (outputting the pairs of conflicting experts).
- (5)
- An improved fusion method is proposed, consisting of the following steps:
- Adjust the opinion weights of conflicting experts.
- Modify the opinions of conflicting experts until conflicts no longer occur.
- For each pair of conflicting experts, calculate their trust scores toward other experts.
- Each conflicting expert adjusts their opinions based on the trust scores toward other experts.
- Check for any remaining conflicts; if conflicts persist, return to step one, otherwise end the iteration.
- Calculate the similarity between each pair of experts using the given similarity formula for their respective preference matrices.
- Store the calculated similarity values in a matrix where the rows and columns correspond to the experts being compared.
- Repeat this process for all possible pairs of experts, resulting in a complete similarity matrix that captures the similarities between all experts.
| 1 | |||
| 1 | |||
| 1 |
- Calculate the average similarity for each expert:where represents the similarity between expert i and all other experts, and n is the total number of experts.
- Calculate the mean of the average similarities:where is the average similarity value for the i-th expert, and n is the total number of experts.
- Calculate the standard deviation of the average similarities:
- The calculation of the new weight coefficients:
- Calculate the trust relationship matrix among experts based on the given similarity matrix. For each expert i, normalize their similarity vector to ensure it falls within the range of [0,1].
- Using the normalized similarity vectors, construct the trust relationship matrix . Each element represents the degree of trust expert i has in expert j. The construction involves using the normalized similarity vectors as rows or columns of the trust relationship matrix.
- With the trust relationship matrix in place, you can adjust conflicting opinions based on the trust scores assigned by each expert to other experts. This adjustment considers the level of trust one expert has in another, which can help in reconciling conflicting opinions and achieving consensus.
4. Comparative Analysis between PLDS Algorithm and Existing Models
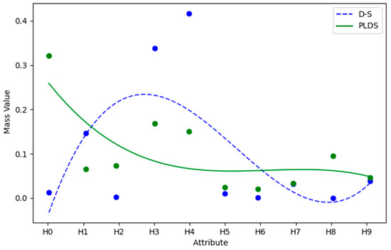
- The original D-S algorithm, represented by the dashed line, exhibits significant fluctuations, while the improved PLDS algorithm, represented by the solid line, shows a smoother trend. This indicates that the improved PLDS algorithm produces more stable results.
- The original D-S algorithm generates noticeable peaks at certain time points, whereas the improved PLDS algorithm has fewer such peaks. This suggests that the improved PLDS algorithm is more reliable and less prone to producing misleading peaks.
- The improved PLDS algorithm, represented by the solid line, is closer to a flat, horizontal line. This indicates that the improved PLDS algorithm aligns more with real-world situations where experts cannot provide definitive evaluations for certain attributes, leading to more logically consistent results that match real-world expectations.
- The improved PLDS algorithm demonstrates greater stability in the results towards the end of the time series. This shows that the improved PLDS algorithm performs better when dealing with boundary cases.
- As the consensus threshold (CT) increases, the number of conflicting expert pairs increases. This suggests that a higher CT results in a larger number of expert pairs being identified as conflicting.
- With an increase in the magnitude of noise, the extremely low mass values for conflicting expert pairs gradually decrease. This indicates that, as external noise becomes more prominent, expert preference evaluations tend to become more conservative.
- The improved algorithm, compared to the original algorithm, exhibits smoother behavior in dealing with oscillations in the results. This implies that the improved algorithm is less affected by noise, leading to more stable results.
5. Case Application
- Implementation of upper-level planning control lines, permanent basic farmland, ecological protection redlines, and the retained quantity of arable and woodland resources. The formulation of a heritage protection catalog is necessary, facilitating land layout that avoids unfavorable geological, flood-prone, and seismic areas.
- Anchoring the spatial pattern of villages, characterized by mountains, waters, fields, lakes, forests, and grasslands. Advocating for region-specific rural residential architecture and meticulously adhering to the constraints concerning the scale and layout of homesteads. Respecting the natural geographic features of rural areas and elucidating the scope, scale, and chronology of tasks related to ecological restoration and comprehensive land remediation.
- Defining the boundaries of construction land for villages, specifying the spatial distribution of water resources, mineral resources, waterbody shorelines, urban corridors, traffic corridors, and other critical control boundaries. Formulating a comprehensive master plan and related initiatives for environmental remediation in areas of paramount importance, such as areas of concentrated rural settlement.
- Orchestrating village development in harmony with resource endowment, outlining the overall layout for village industry development, and establishing a seamless connection between village infrastructure and public service facilities, as well as transportation and urban infrastructure. Guiding and controlling the allocation of land for emerging rural formats, agricultural facilities, and collectively operated construction land.
- Coordinating the development of linear projects and special endeavors in transportation, public facilities, military, strategic reserves, disaster prevention, and disaster reduction. Ensuring the provision of complementary service facilities for designated suburban parks and scenic tourism facilities.
- Specific Locations and Values of Significantly High Difference Points: The most notable difference point is located between experts numbered (1, 19), with a difference value of 0.8231. This indicates a level of conflict in project evaluation between expert 1 and expert 19 that is significantly higher than that observed among other pairs of experts. Other significant difference points include (8, 17) and (1, 18), with difference values of 0.8 and 0.7923, respectively.
- Distribution of Significantly High Difference Points: In the x-axis (representing experts from the first matrix), expert 1 is associated with three instances of significantly high differences, suggesting substantial disagreements in scoring with several other experts. Similarly, on the y-axis (representing experts from the second matrix), expert 19 is involved in four instances of significantly high differences, indicating notable scoring disparities with several other experts.
- Potential Conflict Patterns Among Expert Pairs: The distribution of significantly high difference points reveals that certain experts, particularly experts 1 and 19, have markedly different evaluation standards or preferences between the two data sets. Their significant differences in multiple comparisons may indicate fundamental disagreements in certain evaluation dimensions. These significant difference points may represent “conflict expert pairs,” warranting special attention in subsequent research and analysis.
- (1)
- Expert Consistency and Conflict Resolution: The initial Intraclass Correlation Coefficient (ICC) of 0.00047 pointed to significant discrepancies among expert opinions. This necessitated the implementation of conflict resolution measures and the adjustment of expert weights. The consensus threshold for the expert group was established at 0.9327, indicating the high level of agreement required for decision-making.
- (2)
- Weight Adjustments for Conflict Experts: The initial and revised weights of conflict experts clearly illustrate this strategy. For instance, expert O1′s weight for Proposal 1 was reduced from 0.29343539 to 0.17855816. This significant reduction in weight for experts who maintained their conflicting opinions ensures that the decision-making process minimizes the impact of intransigent views. The reduction in weights was consistent across all conflicting experts for various proposals, underscoring the algorithm’s capability to adaptively manage expert influence.
- (3)
- Basic Probability Assignment (BPA) Function Results: The BPA values for Proposal X1 ranged from 0.18 to 0.46 across different experts, highlighting the effectiveness of the D-S algorithm in achieving consensus among varying opinions. These values illustrate the algorithm’s ability to integrate diverse expert judgments into a cohesive decision-making framework.
- (4)
- Identification of Optimal Proposal: The X1 proposal, focused on upper-level planning control, ecological protection, and resource conservation, was determined as the most suitable for sustainable village development. This was evidenced by its consistently high BPA scores, which were reflective of its alignment with the sustainability goals of the project.
- (5)
- Expert Similarity Matrix and Trust Dynamics: The study utilized a new expert similarity matrix, adjusted based on trust relationships, to further validate the selection of the X1 proposal. This matrix was crucial in understanding the degree of agreement among experts and adjusting their evaluations accordingly. It underscored the importance of trust dynamics in achieving a consensus in complex decision-making scenarios.
6. Conclusions
Author Contributions
Funding
Institutional Review Board Statement
Informed Consent Statement
Data Availability Statement
Conflicts of Interest
Appendix A
| : | |||||||||||
| : | |||||||||||
| : | |||||||||||
| : | |||||||||||
| 1 | 0.856 | 0.933 | 0.717 | 0.816 | 0.905 | 0.916 | 0.017 | 0.746 | 0.856 | 0.855 | 0.718 | 0.875 | 0.784 | 0.866 | 0.988 | 0.717 | 0.074 | 0.033 | 0.643 |
| 1 | 0.851 | 0.957 | 0.717 | 0.836 | 0.684 | 0.677 | 0.455 | 0.965 | 0.739 | 0.792 | 0.836 | 0.731 | 0.855 | 0.863 | 0.943 | 0.846 | 0.799 | 0.627 | |
| 1 | 0.892 | 0.937 | 0.985 | 0.891 | 0.903 | 0.833 | 0.925 | 0.868 | 0.911 | 0.941 | 0.777 | 0.857 | 0.963 | 0.888 | 0.795 | 0.752 | 0.798 | ||
| 1 | 0.929 | 0.879 | 0.751 | 0.933 | 0.937 | 0.729 | 0.736 | 0.939 | 0.859 | 0.645 | 0.802 | 0.791 | 0.988 | 0.771 | 0.871 | 0.669 | |||
| 1 | 0.961 | 0.797 | 0.976 | 0.813 | 0.859 | 0.921 | 0.968 | 0.913 | 0.869 | 0.769 | 0.861 | 0.882 | 0.851 | 0.917 | 0.858 | ||||
| 1 | 0.895 | 0.939 | 0.781 | 0.922 | 0.924 | 0.939 | 0.905 | 0.822 | 0.838 | 0.925 | 0.866 | 0.831 | 0.799 | 0.841 | |||||
| 1 | 0.743 | 0.775 | 0.718 | 0.845 | 0.739 | 0.718 | 0.652 | 0.971 | 0.885 | 0.788 | 0.918 | 0.688 | 0.503 | ||||||
| 1 | 0.828 | 0.839 | 0.859 | 0.998 | 0.852 | 0.776 | 0.713 | 0.773 | 0.098 | 0.846 | 0.8833 | 0.809 | |||||||
| 1 | 0.992 | 0.832 | 0.876 | 0.804 | 0.833 | 0.875 | 0.804 | 0.945 | 0.452 | 0.084 | 0.786 | ||||||||
| 1 | 0.821 | 0.849 | 0.919 | 0.807 | 0.615 | 0.889 | 0.699 | 0.929 | 0.959 | 0.931 | |||||||||
| 1 | 0.835 | 0.799 | 0.939 | 0.757 | 0.841 | 0.686 | 0.806 | 0.052 | 0.867 | ||||||||||
| 1 | 0.859 | 0.749 | 0.712 | 0.778 | 0.911 | 0.744 | 0.656 | 0.894 | |||||||||||
| 1 | 0.824 | 0.698 | 0.936 | 0.814 | 0.851 | 0.732 | 0.734 | ||||||||||||
| 1 | 0.559 | 0.791 | 0.035 | 0.865 | 0.803 | 0.859 | |||||||||||||
| 1 | 0.852 | 0.846 | 0.941 | 0.711 | 0.596 | ||||||||||||||
| 1 | 0.783 | 0.824 | 0.871 | 0.691 | |||||||||||||||
| 1 | 0.892 | 0.034 | 0.596 | ||||||||||||||||
| 1 | 0.653 | 0.402 | |||||||||||||||||
| 1 | 0.716 | ||||||||||||||||||
| 1 |
| 1 | 0.846 | 0.933 | 0.717 | 0.816 | 0.905 | 0.916 | 0.717 | 0.746 | 0.856 | 0.855 | 0.718 | 0.875 | 0.784 | 0.866 | 0.988 | 0.717 | 0.866 | 0.856 | 0.674 |
| 1 | 0.833 | 0.937 | 0.713 | 0.881 | 0.675 | 0.668 | 0.452 | 0.992 | 0.732 | 0.776 | 0.804 | 0.733 | 0.875 | 0.804 | 0.945 | 0.875 | 0.825 | 0.652 | |
| 1 | 0.892 | 0.937 | 0.985 | 0.891 | 0.903 | 0.795 | 0.925 | 0.868 | 0.911 | 0.941 | 0.777 | 0.857 | 0.963 | 0.888 | 0.857 | 0.795 | 0.795 | ||
| 1 | 0.929 | 0.879 | 0.751 | 0.933 | 0.971 | 0.729 | 0.736 | 0.939 | 0.859 | 0.645 | 0.802 | 0.791 | 0.986 | 0.802 | 0.856 | 0.671 | |||
| 1 | 0.961 | 0.797 | 0.976 | 0.851 | 0.859 | 0.921 | 0.968 | 0.913 | 0.869 | 0.769 | 0.861 | 0.882 | 0.869 | 0.917 | 0.851 | ||||
| 1 | 0.895 | 0.939 | 0.831 | 0.922 | 0.924 | 0.939 | 0.905 | 0.822 | 0.838 | 0.925 | 0.866 | 0.838 | 0.836 | 0.831 | |||||
| 1 | 0.743 | 0.752 | 0.718 | 0.845 | 0.739 | 0.718 | 0.652 | 0.971 | 0.885 | 0.788 | 0.971 | 0.685 | 0.518 | ||||||
| 1 | 0.846 | 0.839 | 0.859 | 0.998 | 0.852 | 0.776 | 0.713 | 0.773 | 0.898 | 0.813 | 0.877 | 0.846 | |||||||
| 1 | 0.929 | 0.806 | 0.844 | 0.851 | 0.865 | 0.801 | 0.824 | 0.892 | 0.401 | 0.846 | 0.799 | ||||||||
| 1 | 0.821 | 0.849 | 0.919 | 0.807 | 0.615 | 0.889 | 0.699 | 0.915 | 0.965 | 0.929 | |||||||||
| 1 | 0.835 | 0.799 | 0.939 | 0.757 | 0.841 | 0.686 | 0.757 | 0.739 | 0.806 | ||||||||||
| 1 | 0.859 | 0.749 | 0.712 | 0.778 | 0.911 | 0.712 | 0.692 | 0.844 | |||||||||||
| 1 | 0.824 | 0.698 | 0.936 | 0.814 | 0.898 | 0.736 | 0.751 | ||||||||||||
| 1 | 0.559 | 0.791 | 0.747 | 0.859 | 0.831 | 0.865 | |||||||||||||
| 1 | 0.852 | 0.846 | 0.979 | 0.755 | 0.581 | ||||||||||||||
| 1 | 0.783 | 0.852 | 0.863 | 0.724 | |||||||||||||||
| 1 | 0.846 | 0.804 | 0.592 | ||||||||||||||||
| 1 | 0.555 | 0.401 | |||||||||||||||||
| 1 | 0.846 | ||||||||||||||||||
| 1 |
| Conflict Expert Weight | ||||||||
|---|---|---|---|---|---|---|---|---|
| Proposal 1 | 0.293 | 0.301 | 0.294 | 0.295 | 0.334 | 0.293 | 0.296 | 0.305 |
| Proposal 2 | 0.116 | 0.121 | 0.115 | 0.117 | 0.118 | 0.114 | 0.114 | 0.116 |
| Proposal 3 | 0.207 | 0.187 | 0.206 | 0.198 | 0.202 | 0.208 | 0.193 | 0.188 |
| Proposal 4 | 0.168 | 0.178 | 0.169 | 0.175 | 0.177 | 0.169 | 0.181 | 0.177 |
| Proposal 5 | 0.216 | 0.213 | 0.216 | 0.215 | 0.169 | 0.216 | 0.216 | 0.214 |
| Conflict Expert Reweight | ||||||||
|---|---|---|---|---|---|---|---|---|
| Proposal 1 | 0.179 | 0.237 | 0.184 | 0.273 | 0.296 | 0.235 | 0.294 | 0.215 |
| Proposal 2 | 0.235 | 0.058 | 0.129 | 0.098 | 0.116 | 0.119 | 0.195 | 0.146 |
| Proposal 3 | 0.078 | 0.254 | 0.244 | 0.149 | 0.192 | 0.206 | 0.061 | 0.171 |
| Proposal 4 | 0.271 | 0.176 | 0.216 | 0.188 | 0.181 | 0.185 | 0.139 | 0.212 |
| Proposal 5 | 0.237 | 0.275 | 0.224 | 0.292 | 0.215 | 0.255 | 0.301 | 0.256 |
| BPA | …… | ||||||||||||||||
|---|---|---|---|---|---|---|---|---|---|---|---|---|---|---|---|---|---|
| SOL | |||||||||||||||||
| 0.27 | 0.18 | 0.32 | 0.35 | 0.29 | 0.35 | …… | 0.27 | 0.18 | 0.15 | 0.33 | 0.25 | 0.41 | 0.24 | 0.29 | 0.21 | ||
| 0.18 | 0.24 | 0.07 | 0.04 | 0.12 | 0.09 | …… | 0.09 | 0.08 | 0.26 | 0.12 | 0.14 | 0.01 | 0.11 | 0.19 | 0.15 | ||
| 0.29 | 0.08 | 0.24 | 0.05 | 0.16 | 0.24 | …… | 0.15 | 0.25 | 0.27 | 0.2 | 0.27 | 0.04 | 0.21 | 0.06 | 0.17 | ||
| 0.21 | 0.27 | 0.2 | 0.26 | 0.13 | 0.13 | …… | 0.19 | 0.25 | 0.03 | 0.18 | 0.24 | 0.29 | 0.19 | 0.14 | 0.22 | ||
| 0.05 | 0.23 | 0.17 | 0.3 | 0.3 | 0.19 | …… | 0.3 | 0.24 | 0.29 | 0.17 | 0.1 | 0.25 | 0.25 | 0.32 | 0.25 | ||
References
- Bauer, M. Approximation algorithms and decision making in the Dempster-Shafer theory of evidence—An empirical study. Int. J. Approx. Reason. 1997, 17, 217–237. [Google Scholar] [CrossRef]
- Shafer, G. Dempster-shafer theory. Encycl. Artif. Intell. 1992, 1, 330–331. [Google Scholar]
- Fei, L.; Deng, Y.; Hu, Y. DS-VIKOR: A new multi-criteria decision-making method for supplier selection. Int. J. Fuzzy Syst. 2019, 21, 157–175. [Google Scholar] [CrossRef]
- Fu, Q.; Song, Y.; Fan, C.-L.; Lei, L.; Wang, X. Evidential model for intuitionistic fuzzy multi-attribute group decision making. Soft Comput. 2020, 24, 7615–7635. [Google Scholar] [CrossRef]
- Li, Y.-L.; Yan, Q.-F.; Wu, J.-W. Multi-attribute group decision making method based on evidence theory. In Proceedings of the 2017 13th International Conference on Natural Computation, Fuzzy Systems and Knowledge Discovery (ICNC-FSKD), Guilin, China, 29–31 July 2017; pp. 3043–3047. [Google Scholar]
- Ivanov, V.K.; Vinogradova, N.; Palyukh, B.V.; Sotnikov, A.N. Current trends and applications of dempster-shafer theory. arXiv 2021, arXiv:2103.15592. [Google Scholar]
- Gao, X.; Pan, L.; Deng, Y. A generalized divergence of information volume and its applications. Eng. Appl. Artif. Intell. 2022, 108, 104584. [Google Scholar] [CrossRef]
- Fei, L.; Wang, Y. An optimization model for rescuer assignments under an uncertain environment by using Dempster–Shafer theory. Knowl.-Based Syst. 2022, 255, 109680. [Google Scholar] [CrossRef]
- Li, W.; Bao, J.; Fu, X.; Fortino, G.; Galzarano, S. Human postures recognition based on DS evidence theory and multi-sensor data fusion. In Proceedings of the 2012 12th IEEE/ACM International Symposium on Cluster, Cloud and Grid Computing (ccgrid 2012), Ottawa, ON, Canada, 13–16 May 2012; pp. 912–917. [Google Scholar]
- Lu, C.; Li, Y.; Ma, M.; Li, N. A hybrid NIDS model using artificial neural network and DS evidence. Int. J. Digit. Crime Forensics (IJDCF) 2016, 8, 37–50. [Google Scholar] [CrossRef]
- Ghahramani, Z. Probabilistic machine learning and artificial intelligence. Nature 2015, 521, 452–459. [Google Scholar] [CrossRef]
- Tong, Z.; Xu, P.; Denoeux, T. An evidential classifier based on Dempster-Shafer theory and deep learning. Neurocomputing 2021, 450, 275–293. [Google Scholar] [CrossRef]
- Pan, Y.; Zhang, L. Roles of artificial intelligence in construction engineering and management: A critical review and future trends. Autom. Constr. 2021, 122, 103517. [Google Scholar] [CrossRef]
- Çavdar, T.; Ebrahimpour, N.; Kakız, M.T.; Günay, F.B. Decision-making for the anomalies in IIoTs based on 1D convolutional neural networks and Dempster–Shafer theory (DS-1DCNN). J. Supercomput. 2023, 79, 1683–1704. [Google Scholar] [CrossRef]
- Ishikiriyama, C.S.; Miro, D.; Gomes, C.F.S. Text mining business intelligence: A small sample of what words can say. Procedia Comput. Sci. 2015, 55, 261–267. [Google Scholar] [CrossRef]
- Li, H.-D.; Zhang, J.; Xiao, L.; Li, H.-P.; Feng, Y. Application of DS evidence theory in combined price forecasting. In Proceedings of the 2008 Third International Conference on Electric Utility Deregulation and Restructuring and Power Technologies, Nanjing, China, 6–9 April 2008; pp. 1025–1029. [Google Scholar]
- Xiao, Z.; Yang, X.; Pang, Y.; Dang, X. The prediction for listed companies’ financial distress by using multiple prediction methods with rough set and Dempster–Shafer evidence theory. Knowl.-Based Syst. 2012, 26, 196–206. [Google Scholar] [CrossRef]
- Chen, B.; Wang, J.; Chen, S. Prediction of pulsed GTAW penetration status based on BP neural network and DS evidence theory information fusion. Int. J. Adv. Manuf. Technol. 2010, 48, 83–94. [Google Scholar] [CrossRef]
- Zhan, T.; Xiao, F. A fast evidential approach for stock forecasting. Int. J. Intell. Syst. 2021, 36, 7544–7562. [Google Scholar] [CrossRef]
- Xiao, F. CEQD: A complex mass function to predict interference effects. IEEE Trans. Cybern. 2021, 52, 7402–7414. [Google Scholar] [CrossRef]
- Salehy, N.; Ökten, G. Dempster-Shafer theory for stock selection. In Proceedings of the 2021 IEEE 45th Annual Computers, Software, and Applications Conference (COMPSAC), Madrid, Spain, 12–16 July 2021; pp. 1729–1734. [Google Scholar]
- Liu, P.; Hendalianpour, A.; Hamzehlou, M.; Feylizadeh, M. Cost reduction of inventory-production-system in multi-echelon supply chain using game theory and fuzzy demand forecasting. Int. J. Fuzzy Syst. 2022, 24, 1793–1813. [Google Scholar] [CrossRef]
- Zadeh, L.A. The concept of a linguistic variable and its application to approximate resoning. Inf. Sci. 1975, 50, 199–249. [Google Scholar] [CrossRef]
- Jin, F.; Cao, M.; Liu, J.; Martínez, L.; Chen, H. Consistency and trust relationship-driven social network group decision-making method with probabilistic linguistic information. Appl. Soft Comput. 2021, 103, 107170. [Google Scholar] [CrossRef]
- Li, P.; Wei, C. An emergency decision-making method based on D-S evidence theory for probabilistic linguistic term sets. Int. J. Disaster Risk Reduct. 2019, 37, 101178. [Google Scholar] [CrossRef]
- Ye, F.; Chen, J.; Li, Y. Improvement of DS evidence theory for multi-sensor conflicting information. Symmetry 2017, 9, 69. [Google Scholar] [CrossRef]
- Huang, J.; You, X.-Y.; Liu, H.-C.; Si, S.-L. New approach for quality function deployment based on proportional hesitant fuzzy linguistic term sets and prospect theory. Int. J. Prod. Res. 2019, 57, 1283–1299. [Google Scholar] [CrossRef]
- Pang, Q.; Wang, H.; Xu, Z. Probabilistic linguistic term sets in multi-attribute group decision making. Inf. Sci. 2016, 369, 128–143. [Google Scholar] [CrossRef]
- Feng, R.; Xu, X.; Zhou, X.; Wan, J. A trust evaluation algorithm for wireless sensor networks based on node behaviors and ds evidence theory. Sensors 2011, 11, 1345–1360. [Google Scholar] [CrossRef] [PubMed]
- Jin, C.; Wang, H.; Xu, Z. Uncertain Probabilistic Linguistic Term Sets in Group Decision Making. Int. J. Fuzzy Syst. 2019, 21, 1241–1258. [Google Scholar] [CrossRef]
- Zhao, G.; Chen, A.; Lu, G.; Liu, W. Data fusion algorithm based on fuzzy sets and DS theory of evidence. Tsinghua Sci. Technol. 2019, 25, 12–19. [Google Scholar] [CrossRef]
- Zeng, D.; Xu, J.; Xu, G. Data Fusion for Traffic Incident Detector Using DS Evidence Theory with Probabilistic SVMs. J. Comput. 2008, 3, 36–43. [Google Scholar] [CrossRef]
- Zhang, W.; Ji, X.; Yang, Y.; Chen, J.; Gao, Z.; Qiu, X. Data fusion method based on improved DS evidence theory. In Proceedings of the 2018 IEEE International Conference on Big Data and Smart Computing (BigComp), Shanghai, China, 15–17 January 2018; pp. 760–766. [Google Scholar]
- Sun, R.; Huang, H.-Z.; Miao, Q. Improved information fusion approach based on DS evidence theory. J. Mech. Sci. Technol. 2008, 22, 2417–2425. [Google Scholar] [CrossRef]
- He, J.; Ma, C.; Shi, Y. Multi-effect-quantity fusion model of high arch dam based on improved DS evidence theory. Geomat. Inf. Sci. Wuhan Univ. 2012, 37, 1397–1400. [Google Scholar]
- Zhao, K.; Sun, R.; Li, L.; Hou, M.; Yuan, G.; Sun, R. An optimal evidential data fusion algorithm based on the new divergence measure of basic probability assignment. Soft Comput. 2021, 25, 11449–11457. [Google Scholar] [CrossRef]
- Zhao, K.; Li, L.; Chen, Z.; Sun, R.; Yuan, G.; Li, J. A survey: Optimization and applications of evidence fusion algorithm based on Dempster–Shafer theory. Appl. Soft Comput. 2022, 124, 109075. [Google Scholar] [CrossRef]
- Liu, Z.; Xiao, G.; Liu, H.; Wei, H. Multi-sensor measurement and data fusion. IEEE Instrum. Meas. Mag. 2022, 25, 28–36. [Google Scholar] [CrossRef]
- Zhu, C.; Xiao, F. A belief Hellinger distance for D–S evidence theory and its application in pattern recognition. Eng. Appl. Artif. Intell. 2021, 106, 104452. [Google Scholar] [CrossRef]
- Cios, K.J.; Freasier, R.; Goodenday, L.S.; Andrews, L. An expert system for diagnosis of coronary artery stenosis based on 201TI scintigrams using the Dempster-Shafer theory of evidence. Bioinformatics 1990, 6, 333–342. [Google Scholar] [CrossRef] [PubMed]
- Gobet, F. A pattern-recognition theory of search in expert problem solving. Think. Reason. 1997, 3, 291–313. [Google Scholar] [CrossRef]
- Luo, H.; Yang, S.-L.; Hu, X.-J.; Hu, X.-X. Agent oriented intelligent fault diagnosis system using evidence theory. Expert Syst. Appl. 2012, 39, 2524–2531. [Google Scholar] [CrossRef]
- Yang, H.; Hassan, S.G.; Wang, L.; Li, D. Fault diagnosis method for water quality monitoring and control equipment in aquaculture based on multiple SVM combined with DS evidence theory. Comput. Electron. Agric. 2017, 141, 96–108. [Google Scholar] [CrossRef]
- Hossain, S.; Zahid Hasan, M.; Patwary, M.J.; Uddin, M.S. An expert system to determine systemic lupus erythematosus under uncertainty. In Proceedings of the International Joint Conference on Advances in Computational Intelligence: IJCACI 2020, Bangladesh, India, 20–21 November 2020; pp. 117–130. [Google Scholar]
- Li, B.; Pang, F.-W. An approach of vessel collision risk assessment based on the D–S evidence theory. Ocean Eng. 2013, 74, 16–21. [Google Scholar] [CrossRef]
- Jiao, Z.; Gong, H.; Wang, Y. A DS evidence theory-based relay protection system hidden failures detection method in smart grid. IEEE Trans. Smart Grid 2016, 9, 2118–2126. [Google Scholar] [CrossRef]
- Han, Y.; Chen, Q.; Wang, J.-X. An enhanced DS theory cooperative spectrum sensing algorithm against SSDF attack. In Proceedings of the 2012 IEEE 75th Vehicular Technology Conference (VTC Spring), Yokohama, Japan, 6–9 May 2012; pp. 1–5. [Google Scholar]
- Yu, J.; Hu, M.; Wang, P. Evaluation and reliability analysis of network security risk factors based on DS evidence theory. J. Intell. Fuzzy Syst. 2018, 34, 861–869. [Google Scholar] [CrossRef]
- Sun, L.; Srivastava, R.P.; Mock, T.J. An information systems security risk assessment model under the Dempster-Shafer theory of belief functions. J. Manag. Inf. Syst. 2006, 22, 109–142. [Google Scholar] [CrossRef]
- Wang, C.; Zhang, Y. Network security situation evaluation based on modified DS evidence theory. Wuhan Univ. J. Nat. Sci. 2014, 19, 409–416. [Google Scholar] [CrossRef]
- Mu, C.; Li, X.; Huang, H.; Tian, S. Online risk assessment of intrusion scenarios using DS evidence theory. In Proceedings of the Computer Security-ESORICS 2008: 13th European Symposium on Research in Computer Security, Málaga, Spain, 6–8 October 2008; pp. 35–48. [Google Scholar]
- Ellison, C.G.; Levin, J.S. The religion-health connection: Evidence, theory, and future directions. Health Educ. Behav. 1998, 25, 700–720. [Google Scholar] [CrossRef] [PubMed]
- Bloch, I. Some aspects of Dempster-Shafer evidence theory for classification of multi-modality medical images taking partial volume effect into account. Pattern Recognit. Lett. 1996, 17, 905–919. [Google Scholar] [CrossRef]
- Jiang, Y.; Wang, Z.; Zhang, Y.; Chen, N. Health diagnosis of marine engine room equipment based on BP and DS evidence theory. Vibroeng. Procedia 2022, 45, 15–21. [Google Scholar] [CrossRef]
- Fang, R.; Liao, H.; Mardani, A. How to aggregate uncertain and incomplete cognitive evaluation information in lung cancer treatment plan selection? A method based on Dempster-Shafer theory. Inf. Sci. 2022, 603, 222–243. [Google Scholar] [CrossRef]









Disclaimer/Publisher’s Note: The statements, opinions and data contained in all publications are solely those of the individual author(s) and contributor(s) and not of MDPI and/or the editor(s). MDPI and/or the editor(s) disclaim responsibility for any injury to people or property resulting from any ideas, methods, instructions or products referred to in the content. |
© 2024 by the authors. Licensee MDPI, Basel, Switzerland. This article is an open access article distributed under the terms and conditions of the Creative Commons Attribution (CC BY) license (https://creativecommons.org/licenses/by/4.0/).
Share and Cite
Liu, Q.; Liu, Q.; Wang, M. Sustainable Decision-Making Enhancement: Trust and Linguistic-Enhanced Conflict Measurement in Evidence Theory. Sustainability 2024, 16, 2288. https://doi.org/10.3390/su16062288
Liu Q, Liu Q, Wang M. Sustainable Decision-Making Enhancement: Trust and Linguistic-Enhanced Conflict Measurement in Evidence Theory. Sustainability. 2024; 16(6):2288. https://doi.org/10.3390/su16062288
Chicago/Turabian StyleLiu, Qiang, Qingmiao Liu, and Minhuan Wang. 2024. "Sustainable Decision-Making Enhancement: Trust and Linguistic-Enhanced Conflict Measurement in Evidence Theory" Sustainability 16, no. 6: 2288. https://doi.org/10.3390/su16062288
APA StyleLiu, Q., Liu, Q., & Wang, M. (2024). Sustainable Decision-Making Enhancement: Trust and Linguistic-Enhanced Conflict Measurement in Evidence Theory. Sustainability, 16(6), 2288. https://doi.org/10.3390/su16062288

