Next Article in Journal
An Optimization Strategy for Provincial “Production–Living–Ecological” Spaces under the Guidance of Major Function-Oriented Zoning in China
Next Article in Special Issue
Lactic Acid Bacteria in Sustainable Food Production
Previous Article in Journal
Chlorobenzene Oxidation over Phosphotungstic-Acid-Coated Cerium Oxide: Synergistic Effect of Phosphotungstic and Cerium Oxide and Inhibition Mechanism of Sulfur Dioxide
Previous Article in Special Issue
Monthly Pork Price Prediction Applying Projection Pursuit Regression: Modeling, Empirical Research, Comparison, and Sustainability Implications
 
 
Font Type:
Arial Georgia Verdana
Font Size:
Aa Aa Aa
Line Spacing:
Column Width:
Background:
Article

The Government Subsidy Policies for Organic Agriculture Based on Evolutionary Game Theory

1
School of Business, Hunan University of Technology, Zhuzhou 412007, China
2
Hunan Key Laboratory of Macroeconomic Big Data Mining and Its Application, School of Business, Hunan Normal University, Changsha 410081, China
*
Author to whom correspondence should be addressed.
Sustainability 2024, 16(6), 2246; https://doi.org/10.3390/su16062246
Submission received: 18 January 2024 / Revised: 27 February 2024 / Accepted: 4 March 2024 / Published: 7 March 2024
(This article belongs to the Special Issue Food, Supply Chains, and Sustainable Development)

Abstract

Organic agriculture is a sustainable form of farming that can protect the environment. However, the high production costs of organic agriculture deter farmers from switching to organic farming. To support the development of organic agriculture, many governments offer subsidies to farmers or retailers. We develop an evolutionary game model to investigate the effect of government subsidies on organic agriculture and the conditions under which the government should subsidize farmers or retailers. We find that subsidizing farmers or retailers can promote agricultural development. Government subsidies lower the requirement for social responsibility and the premium that retailers offer. Furthermore, if the consumer’s social responsibility is sufficiently low, the government’s best choice is to subsidize retailers. If the social responsibility premium is medium, the government’s best choice is to subsidize farmers. Finally, higher subsidies motivate more farmers to produce organic products when the government subsidizes retailers. Conversely, if the government subsidizes farmers, it is more conducive to reducing the burden on retailers to purchase organic products.

1. Introduction

Conventional agriculture, often characterized by its reliance on large-scale and intensive farming techniques, has played a crucial role in boosting food production and addressing global hunger. This approach typically involves the heavy use of synthetic chemicals, energy, and genetically modified organisms [1,2]. Despite its contributions to food security, the environmental repercussions of such practices are increasingly coming under scrutiny. One of the most significant concerns is the degradation of soil quality, exacerbated by the excessive application of chemical fertilizers, insecticides, and herbicides [3]. These substances not only deplete the soil of essential nutrients and beneficial microbes but also contribute to widespread soil erosion and degradation [4]. Furthermore, conventional farming practices are a major source of greenhouse gas emissions, notably carbon dioxide and methane, primarily due to the use of fossil fuels in agricultural machinery and the burning of crop residues. According to the World Resources Institute, agriculture accounts for about 25% of global greenhouse gas emissions, highlighting its impact on climate change [5]. Additionally, the runoff of chemicals into water bodies poses serious risks to water quality, leading to pollution and a loss of aquatic biodiversity. The cumulative effect of these practices underscores the urgent need for a shift toward more sustainable and environmentally friendly agricultural methods.
Conversely, organic agriculture is a sustainable form of farming that seeks to reduce the impact of industrial agriculture on the environment while providing healthy and safe food for consumers [6,7]. Organic farming systems are more sustainable than conventional farming systems because they use fewer resources and have less of an impact on the environment. Organic farms rely on natural resources like compost and manure to fertilize their soil rather than chemical fertilizers [8]. They also use crop rotation and other methods of pest control rather than chemical pesticides. Organic farms also produce healthier food for consumers. Organic foods are free of synthetic chemicals and genetically modified organisms and are often higher in vitamins and minerals than their conventional counterparts. Customers are inclined to spend more on these items, viewing them as healthier and more beneficial [9,10].
Despite these benefits, organic agriculture carries a number of challenges. One of the major challenges is the financial costs associated with organic production [11]. Organic farmers are often required to pay higher prices for organic inputs, such as seed and feed, and may also need to purchase additional equipment to comply with organic standards. Furthermore, organic farmers may face increased labor costs due to the additional labor-intensive management practices required for organic production [12]. Organic farms require more labor and have lower yields than conventional farms, making it difficult for farmers to make a profit [13,14].
To bolster organic agriculture, numerous governments are offering financial incentives for organic farming. Financial support is extended to farmers to foster organic agriculture and sustainable farming methods. For instance, the Chinese government has earmarked approximately 20 billion CNY for agricultural funds aimed at decreasing green agriculture production costs and encouraging green growth in the sector [15]. In India, through the Paramparagat Krishi Vikas Yojana (PKVY) and Mission Organic Value Chain Development for North Eastern Region (MOVCDNER) schemes, farmers receive financial aid of about INR 30,000 per hectare over three years for organic inputs, including seeds, bio-fertilizers, bio-pesticides, organic manure, compost/vermi-compost, and botanical extracts [16]. The provincial government of Bali, Indonesia, has introduced subsidies for organic fertilizers, starting with an annual fund of EUR 69.7 million, which is anticipated to increase annually to lower the costs of organic farming for farmers [17]. Conversely, certain governments provide subsidies to retailers to incentivize them to support farmers and market organic products. For example, the Canadian Agricultural Partnership has laid robust groundwork by offering subsidies to food processors to enhance organic agriculture [18]. Similarly, the EU’s Common Agricultural Policy has contributed to the growth of organic production by financing retailers for the marketing and promotion of organic items [19]. This leads us to explore several questions: Should the government provide subsidies to farmers or retailers? What are the different impacts of subsidies to farmers and retailers on the development of organic agriculture? What is the evolutionary trend of the behavior of farmers and retailers? How does the amount of government subsidies affect organic agriculture?
Therefore, this study aims to identify the most effective model for supporting organic agriculture through government subsidies. Specifically, we intend to explore the comparative effectiveness of subsidizing farmers versus retailers in promoting the development of the organic market. By employing evolutionary game theory, this research seeks to provide a nuanced understanding of the dynamics between government subsidy strategies and their impact on the adoption of organic farming practices. This study addresses the critical gap in the literature regarding the optimization of subsidy distribution to enhance the sustainability and reach of organic agriculture.
The remainder of this paper is organized as follows: Section 2 reviews the relevant literature. In Section 3, we build revolutionary game models and analyze the results. Section 4 shows the simulation results. Section 6 shows the discussion. Finally, the conclusions and implications are provided in Section 7.

2. Literature Review

Our research is related to the following four streams of literature: agriculture supply chain management, government subsidy programs to promote organic agriculture, evolutionary game theory in sustainable agriculture, and supply chain contracts.

2.1. Agriculture Supply Chain Management

Our work is closely related to studies of sustainable supply chain management. The existing literature mostly investigates how firms promote sustainability through supply chain operations. For example, Vachon and Klassen [20] study how environmental collaborative activities affect the sustainability of the supply chain. This environmental collaboration includes setting a joint environmental goal and sharing environmental planning. They find that the influence of collaboration with suppliers and consumers is different. Environmental collaboration with suppliers is better than environmental collaboration with consumers. Wong et al. [21] examine the impact of green internal, consumer, and supplier integration on a green supply chain. They show that green internal and consumer integration are beneficial to environmental and cost performance. Bouchery et al. [22] combine a sustainability and inventory model. They find that regulating the carbon price cannot lead to the minimum carbon emissions. Firms can promote sustainability by operational adjustments or investing in carbon-reducing technologies. Mondal and Giri [23] consider a sustainable closed-loop supply chain in which the government can intervene in the third-party collector. They find that government subsidies and a reward–penalty mechanism have different effects. Government subsidies are beneficial to the environment. The reward–penalty mechanism can improve channel execution when the government imposes a tax. Khan et al. [24] examine the impact of information sharing on a sustainable supply chain. They build a two-level sustainable supply chain model and find that information sharing reduces the buyer’s price, whereas it is beneficial to the annual profit. Junaid et al. [25] study a sustainable supply chain from supply chain integration and green innovation. They find that the integration of suppliers and customers can promote sustainability. Green process innovations may hurt firms because rapidly changing process innovation increases the company’s costs. Thus, firms should also focus on operational innovation. Fu et al. [26] examine the impact of a sustainable supply chain on firms. They find that the sustainable supply chain can improve firms’ financial performance. Taleizadeh et al. [27] study how to design an optimal sustainable supply chain system when the supply chain faces disruptions. They develop a model which consists of a government and a manufacturer. The results emphasize the importance of an emergency stocks strategy, which is beneficial to both manufacturers and governments. The centralized model has better results than the bi-level model and is a better solution. Chen et al. [28] study how retail platforms reduce the risk of social responsibility through social responsibility auditing when considering supply chain information transparency. They build a model in which the retail platform has a better understanding of consumers’ demand and the retail platform can decide whether to share information with the firm. They find that the retail platform tends to share information with the firm if the firm promises to audit suppliers under the uncertain product line strategy. Parsaeifar et al. [29] investigate a competitive three-echelon green supply chain, finding that market competition helps improve supply chain profits. Das et al. [30] focus on the role of mediators in a three-tier green supply chain, finding that the centralized system is more conducive to improving supply chain profits. Shekarian et al. [31] consider carbon emission and remanufacturing in the closed-loop supply chain. They find that consumers’ willingness to choose remanufactured products significantly affects the collection rates of the collector parties.

2.2. Government Subsidy Programs to Promote Organic Agriculture

Government subsidy programs are pivotal in promoting organic agriculture, serving as a cornerstone for transitioning conventional farms to organic practices. The research conducted by Adams Inkoom [32] highlights the pivotal role of conversion subsidies in encouraging farmers to transition to organic farming practices. The study from Argyropoulos et al. [33] on the conversion of smallholders to organic farming identifies the critical importance of collaboration among grassroots organizations, governments, and research institutions. They emphasize the necessity of providing information, advice, training, and financial support to marginal and small farmers during the conversion period, underscoring that without such support most smallholders are hesitant to make the switch. Panneerselvam et al. [34] examine the outcomes of offering subsidies for organic farming without the obligation to sell the product as a labeled organic product if subsidies were distributed per hectare of cultivated land. This approach, however, results in a failure to supply the market with labeled organic products. Łuczka and Kalinowski [35] explore the impact of agricultural environmental programs with lenient eligibility requirements for supporting organic agriculture. In such scenarios, farmers receive payments for environmental measures without the obligation to deliver organic food to the market. This leniency leads to a tendency among farmers to engage in speculative practices, especially showing a high interest in horticultural crops, which offered the highest payment rates without the necessity of fulfilling organic obligations during the harvest period. The research by Markuszewska and Kubacka [36] emphasizes the necessity of establishing stricter regulations to ensure the effectiveness of subsidies. He argues that without strict rules, subsidies would not serve as an incentive. Only those farmers who are genuinely committed to their role as organic food producers would be motivated to contribute to building the organic farming market. The study by Panneerselvam et al. [34] highlights one of the main challenges traditional farmers face in organic farming: the control of pests and diseases without chemical inputs. His findings suggest that policies supporting the use of biodynamic inputs and bio-pesticides can significantly reduce input costs, thus offering a primary advantage for organic farms. Schader et al. [37] examined the impact of ecological direct payments, revealing that windfall profits from extensive payments on organic farms can lead to higher profits but might result in negative environmental impacts, such as increased eutrophication.

2.3. Evolutionary Game Theory in Sustainable Agriculture

The utilization of evolutionary game theory in the realm of sustainable agriculture offers pivotal insights into the strategic interactions among key stakeholders, including farmers, governments, and consumers. This interdisciplinary approach facilitates an understanding of how various policies and behaviors influence agricultural sustainability. For instance, Tian et al. [38] construct an evolutionary game model to assess the effectiveness of policies aimed at reducing chemical fertilizer use, highlighting the complex dynamics between government incentives, farmers’ risk perceptions, and consumer preferences. Yu and Rehman Khan [39] explore the financing mechanisms within the green agricultural product supply chain amidst the COVID-19 pandemic, illustrating the strategic decisions between suppliers and residents through the lens of evolutionary game theory. Additionally, Luo et al. [40] apply this theory to examine the impact of government subsidies and carbon pricing on farmers’ adoption of green planting practices, thereby contributing to the broader discourse on sustainable agriculture. Liu et al. [41] contribute to this body of work by examining the diffusion of low-carbon agricultural innovations through an evolutionary game analysis, focusing on the dynamics among multiple stakeholders. Their study underscores the complex negotiations and alignments needed to foster the adoption of sustainable practices in agriculture. In another relevant study, Liu [42] explores the tripartite evolutionary game dynamics within the green agro-product supply chain in an agricultural industrialization consortium. This research delineates the cooperative and competitive strategies among consortium members, illustrating how game theory can predict the conditions under which sustainable agricultural products are more likely to penetrate the market. Each of these studies underscores the application of evolutionary game theory as a robust analytical framework for navigating the complexities of sustainable agricultural development, highlighting its potential to inform policy-making and promote environmentally friendly farming practices.

2.4. Supply Chain Contracts

Our work is also closely related to studies of supply chain contracts. Kim and Netessine [43] study how the manufacturer collaborates with the supplier to reduce the uncertainty component production cost and uncertainties and reduce the expected cost under information asymmetry. By comparing a number of procurement-contracting strategies, they find that the manufacturer prefers an expected margin commitment if it can reduce the unit cost. Chao et al. [44] discuss two cost-sharing contracts between a manufacturer and a supplier and examine the manufacturer’s and the supplier’s effort to improve their component failure rate. Hwang et al. [45] investigate the impact of the appraisal regime and the certification regime on the supplier’s quality effort. Wagner [46] studies the relationship between supplier development and the buyer from the resource-based view and the relational view. They find that supplier development can support the buyer’s differentiation and cost leadership strategy. Blonska et al. [47] examine why the performance effects cannot meet the expectation when buyers invest in developing their suppliers. By using social capital theory, they find that only investing in supplier development is not beneficial to the supplier and the buyer, whereas relational capital can make them benefit from supplier development. Corbett and DeCroix [48] study how the buyer collaborates with the supplier to reduce the consumption of indirect materials and improve supply chain efficiency. They find that shared-savings contracts can result in benefits for the supplier and the buyer. Lin et al. [49] study the effects of the noncooperative innovation strategy and innovation alliance strategy. Chen et al. [50] investigate incentives for refurbished products.
The existing literature focuses on how governments promote agricultural development by subsidizing consumers or farmers. However, government subsidies to retailers are also an effective method to promote organic farming. In this paper, we contrast the effects of government subsidies on retailers and farmers. Second, in regard to the sustainable supply chain, most studies analyze whether retailers purchase organic products. In practice, retailers helping farmers also significantly affects organic farming. We examine retailers’ behavior in helping farmers. Finally, we use evolutionary game theory to study the interaction of farmers and retailers under government subsidy strategies.

3. Model and Analysis

In our model, we consider an agricultural product market where farmers grow and sell products to downstream retailers and then retailers sell them to consumers. Farmers have two production strategies: the organic strategy in which farmers produce organic products, and the conventional strategy in which farmers produce conventional products. Let y ( 0 y 1 ) denote the fraction of farmers who have embraced organic farming practices. Consequently, the fraction opting for traditional agricultural methods is expressed as 1 y . If farmers sell conventional products to retailers, they can obtain revenue R f . If farmers sell organic products to retailers, the revenue they can achieve is R f + R e , where R e represents the premium retailers’ offer for organic products (organic premium) [51]. The cost of producing organic (conventional) products is c H ( c L ). We assume that the organic production cost c H is higher than the conventional production cost c L ( c H > c L ).
If retailers sell conventional products, they obtain revenue R r . Conversely, if retailers sell organic products, they obtain revenue R r + q , where q is the price premium that consumers pay for organic products [52,53]. Retailers can choose whether to help farmers. Sharing production costs is a common method to help consumers [54,55]. If retailers help farmers, they bear k ( k [ 0 , 1 ] ) percentage of farmers’ production costs, and consumers are willing to pay a premium s for retailers’ social responsibility (social responsibility premium) [51,56]. Define x ( 0 x 1 ) as the share of retailers implementing a support strategy. Accordingly, the share pursuing a strategy devoid of assistance is denoted by 1 x .
In the following subsections, we will consider retailers and farmers interaction under three different scenarios.

3.1. No Government Subsidy Scenario

In this scenario, the government does not subsidize retailers and farmers. It’s up to the farmers to choose between producing organic or conventional products, and it’s the decision of retailers whether to support the farmers. We can derive the expected payoffs of retailers and farmers, and replicator dynamic equations under different strategies is as follows. Table 1 illustrates the payoff matrix for the evolutionary game under the absence of government subsidies.
The retailers’ expected payoffs under the help strategy are
π r H = y π r 1 + ( 1 y ) π r 2 = y ( q k c H ) ( 1 y ) k c L + R r + s .
The retailers’ expected payoffs under the non-help strategy are
π r N H = y π r 3 + ( 1 y ) π r 4 = y q + R r .
Based on Equations (1) and (2), the retailers’ overall expected payoffs are
π r ¯ = x π r H + ( 1 x ) π r N H .
Then, the replicator dynamic equation of the retailers is as follows:
F ( x ) = d x d t = x ( π r H π r ¯ ) = x ( 1 x ) ( π r H π r N H ) = x ( 1 x ) ( s y k c H ( 1 y ) k c L ) .
The farmers’ expected payoffs under the organic strategy are
π f O = x π f 1 + ( 1 x ) π f 3 = ( k x 1 ) c H + R e + R f .
The farmers’ expected payoffs under the conventional strategy are
π f C = x π f 2 + ( 1 x ) π f 4 = ( k x 1 ) c L + R f .
Then, based on Equations (5) and (6), the farmers’ overall expected payoffs are
π ¯ f = y π f O + ( 1 y ) π f C .
Therefore, the replicator dynamic equation of the retailers is as follows:
F ( y ) = d y d t = y ( π f O π f ¯ ) = y ( 1 y ) ( π f O π f C ) = y ( 1 y ) ( ( k x 1 ) ( c H c L ) + R e ) .
We obtain replicator dynamic system (1) by combining Equation (4) and (8). Given that F ( x ) = 0 and F ( y ) = 0 , it follows that we can establish the subsequent equilibrium points:
(0, 0), (1, 0), (0, 1), (1, 1), (x1,y1)
where
x 1 = c H c L R e k ( c H c L ) , y 1 = s k c L k ( c H c L ) 0 < x 1 , y 1 < 1
To ensure that the retailers’ help can encourage the farmers’ organic production, we assume that π f 1 > π f 2 and π f 4 > π f 3 , which are equivalent to R e > ( 1 k ) ( c H c L ) and R e < c H c L , respectively. Using the Jacobian matrix to analyze the stability of the system’s dynamic equilibria, we can obtain the system’s Jacobian matrix in the no government subsidy scenario:
J = F ( x ) x F ( x ) y F ( y ) x F ( y ) y = ( 1 2 x ) ( y k c H ( 1 y ) k c L + s ) ( 1 + x ) x k ( c H c L ) ( 1 y ) y k ( c H c L ) ( 1 2 y ) ( ( k x 1 ) ( c H c L ) + R e ) .
Then, we analyze matrix determinant Det(J) and matrix trace Tr(J) corresponding to each system equilibrium and obtain both players’ stability analysis in Table 2.
From the stability analysis of Table 2, we can formulate the subsequent proposition.
Proposition 1.
In the no government subsidy scenario, for dynamic system ( 1 ) :
(i)
If s k c L , ( x 1 , y 1 ) does not satisfy condition x 1 > 0 and y 1 < 1 . ( 0 , 0 ) is an asymptotically stable equilibrium. ( 1 , 0 ) is an unstable point. ( 0 , 1 ) and ( 1 , 1 ) are saddle points.
(ii)
If k c L < s k c H , ( x 1 , y 1 ) satisfies x 1 > 0 and y 1 < 1 . Dynamic system ( 1 ) has no asymptotically stable equilibrium. ( x 1 , y 1 ) is a central point, and all other points are saddle points.
(iii)
If s > k c H , ( x 1 , y 1 ) does not satisfy condition x 1 > 0 and y 1 < 1 . ( 1 , 1 ) is an asymptotically stable equilibrium. ( 0 , 1 ) is an unstable point. ( 0 , 0 ) and ( 1 , 0 ) are saddle points.
Proposition 1 (i) elucidates that under conditions where the social responsibility premium s falls below a critical threshold, the system gravitates towards the equilibrium point ( 0 , 0 ) . This equilibrium signifies that no retailers engage in assisting farmers, leading to an exclusive production of traditional commodities by all farmers. Whereas when the social responsibility premium s increases to the medium value as Proposition 1 (ii) shows, dynamic system ( 1 ) has no asymptotically stable equilibrium. Thus, this case cannot lead to effective organic production. When the social responsibility premium s is sufficiently high as proposition 1 (iii) shows, dynamic system ( 1 ) has the unique asymptotically stable equilibrium ( 1 , 1 ) , which means that all retailers help farmers and all farmers produce organic products.
Proposition 1 suggests that only when the social responsibility premium s is high enough the system can avoid evolving into an inefficient equilibrium ( 0 , 0 ) . This necessitates consumers being willing to afford a sufficiently substantial premium for retailers’ social responsibility, a feat challenging to realize in practice. This explains why organic agriculture develops better in developed countries, such as European Union, the USA, Canada and Japan, but lags behind in developing countries. In developed countries, consumers’ willingness to pay for sustainable behavior is higher. In the following subsections, we will discuss whether the government could use subsidy policies to reduce the high requirements for achieving effective balance equilibrium.
Corollary 1.
In the no government subsidy scenario, the possible asymptotically stable equilibria of dynamic system ( 1 ) are ( 0 , 0 ) and ( 1 , 1 ) .
Corollary 1 shows that, in the absence of government subsidies, dynamic system (1) may evolve into one of two asymptotically stable equilibria. One is an inefficient outcome in which no retailer helps farmers and no farmer produces organic products. The other is an efficient outcome in which all retailers help farmers and all farmers produce organic products. Clearly, the latter outcome is beneficial to the development of organic agriculture.

3.2. Government Subsidizing Retailers Scenario

In this scenario, the government will subsidize the retailers who help farmers. The subsidies that a retailer can gain are G 1 ( x ) = G ( 1 x ) , which are related to the number of retailers helping farmers [57,58]. If more retailers choose to help farmers, the government will offer lower subsidies to each retailer. G represents the maximum subsidies retailers can gain. Table 3 is the payoffs matrix of the government subsidizing retailers scenario.
The retailers’ expected payoffs under the help strategy are
π r H = y π r 1 + ( 1 y ) π r 2 = y ( q k c H ) ( 1 y ) k c L + R r + s + G ( 1 x ) .
The retailers’ expected payoffs under the non-help strategy are
π r N H = y π r 3 + ( 1 y ) π r 4 = y q + R r .
Based on Equations (10) and (11), the retailers’ overall expected payoffs are
π ¯ r = x π r H + ( 1 x ) π r N H .
Then, the replicator dynamic equation of the retailers is as follows:
F ( x ) = d x d t = x ( π r H π ¯ r ) = x ( 1 x ) ( π r H π r N H ) = x ( 1 x ) ( y k c H ( 1 y ) k c L + s + G ( 1 x ) ) .
The farmers’ expected payoffs under the organic strategy are
π f O = ( k x 1 ) c H + R e + R f .
The farmers’ expected payoffs under the conventional strategy are
π f C = x π f 2 + ( 1 x ) π f 4 = ( k x 1 ) c L + R f .
Then, based on Equations (14) and (15), the farmers’ overall expected payoffs are
π ¯ f = y π f O + ( 1 y ) π f C .
The replicator dynamic equation of the farmers is as follows:
F ( y ) = d y d t = y ( π f O π ¯ f ) = y ( 1 y ) ( π f O π f C ) = y ( 1 y ) ( ( k x 1 ) ( c H c L ) + R e ) .
We obtain replicator dynamic system (2) by combining Equations (13) and (17). Upon setting F ( x ) = 0 and F ( y ) = 0 , the ensuing equilibrium states are deduced as follows:
(0, 0), (1, 0), (0, 1), (1, 1), (x2,y2)
where
x 2 = c H c L R e k ( c H c L ) , y 2 = s k c L + G 1 ( x ) k ( c H c L ) 0 < x 2 , y 2 < 1
Similarly, to ensure that retailers’ assistance effectively promotes farmers’ organic production, we assume π f 1 > π f 2 and π f 4 > π f 3 which are equivalent to R e > ( 1 k ) ( c H c L ) and R e < c H c L respectively. Employing the Jacobian matrix for the examination of stability within the system’s dynamic equilibrium states, we can obtain system’s Jacobian matrix in the government subsidizing retailers scenario:
J = F ( x ) x F ( x ) y F ( y ) x F ( y ) y = F x x ( 1 x ) x k ( c H c L ) ( 1 y ) y k ( c H c L ) F y y .
where
F x x = ( 1 2 x ) ( y k c H ( 1 y ) k c L + s + G 1 ) ( 1 x ) x G , F y y = ( 1 2 y ) ( ( k x 1 ) ( c H c L ) + R e )
Table 4 is the stability analysis in this scenario.
Proposition 2.
In the government subsidizing retailers scenario, ( x 2 , y 2 ) is an asymptotically stable equilibrium only when k c L G 1 < s < k c H G 1 .
The observation of Proposition 2 is that when the government subsidizes retailers who help farmers, ( x 2 , y 2 ) can emerge as an equilibrium. Recall that in Proposition 1, ( x 1 , y 1 ) cannot be an equilibrium and the outcome can be efficient only if the social responsibility premium s is sufficiently high ( s > k c H ). However, Proposition 2 shows that the outcome can be efficient when s is medium ( k c L G 1 < s < k c H G 1 ). This result reveals that the subsidies to retailers can enlarge the region for approaching an efficient equilibrium state. Consequently, a fraction x 2 of retailers engages in support for farmers, while a fraction y 2 of farmers opts for the cultivation of organic produce. On the other hand, higher subsidies can lower the requirements for the social responsibility premium. This suggests that the subsidies to retailers are an effective tool to develop organic agriculture if consumers’ awareness of social responsibility is low. This insight aligns with the observed trend that many developing countries, such as China and Thailand, offer various subsidy policies to agricultural firms to promote organic farming.
Then, we conduct a sensitivity analysis for the asymptotically stable equilibrium ( x 2 , y 2 ) . Proposition 3 analyzes the impact of the organic production cost c H , the percentage k of the production costs that retailers bear, and the maximum government subsidies G on both the retailers’ and farmers’ decisions.
Proposition 3.
Through the sensitivity analysis of the asymptotically stable equilibrium ( x 2 , y 2 ) , we derive the following:
(i)
x 2 c H > 0 , x 2 k < 0 , x 2 G = 0 .
(ii)
y 2 c H < 0 , y 2 k > 0 only if R e < ( G ( 2 + k ) + k s ) ( c H c L ) 2 G , y 2 G > 0 .
Proposition 3 shows that when the organic production cost c H increases, fewer farmers produce organic products and more retailers help farmers. This is consistent with the reality that a higher cost will discourage more farmers from switching to organic farming. In this case, more retailers are willing to help farmers. When retailers help farmers, they bear a percentage of the production cost for farmers. Obviously, if this production cost increases, leading to high costs for retailers, fewer retailers choose to help farmers. On the contrary, if retailers bear a higher percentage of the production cost for farmers and the premium R e for organic products is low, more farmers produce organic products. Proposition 3 also demonstrates that the government subsidizing retailers would encourage more farmers to produce organic products.
Will the effect of subsidizing farmers be the same as that of subsidizing retailers? The next subsection shows the results.

3.3. Government Subsidizing Farmers Scenario

In this scenario, the government will subsidize the farmers who produce organic products. The subsidies that a farmer can gain are G 2 ( y ) = G ( 1 y ) , which correlate with the quantity of farmers involved in organic product cultivation [57,58]. If more farmers choose to produce organic products, the lower the subsidies each farmer receives. G represents the maximum subsidies farmers can gain. Table 5 is the payoffs matrix of the government subsidizing farmers scenario.
The retailers’ expected payoffs under the help strategy are
π r H = y π r 1 + ( 1 y ) π r 2 = y ( q k c H ) ( 1 y ) k c L + R r + s .
The retailers’ expected payoffs under the non-help strategy are
π r N H = y π r 3 + ( 1 y ) π r 4 = y q + R r .
Then, based on Equations (19) and (20), the retailers’ overall expected payoffs are
π ¯ r = x π r H + ( 1 x ) π r N H .
Therefore, the replicator dynamic of the retailers is as follows:
F ( x ) = d x d t = x ( π r H π ¯ r ) = x ( 1 x ) ( π r H π r N H ) = x ( 1 x ) ( y k c H ( 1 y ) k c L + s ) .
When farmers adopt the organic strategy, the corresponding expected payoffs are
π f O = x π f 1 + ( 1 x ) π f 3 = ( k x 1 ) c H + R e + R f + G ( 1 y ) .
When farmers adopt the conventional strategy, the corresponding expected payoffs are
π f C = x π f 2 + ( 1 x ) π f 4 = ( k x 1 ) c L + R f .
Then, based on Equations (23) and (24), the farmers’ overall expected payoffs are
π ¯ f = y π f O + ( 1 y ) π f C .
The replicator dynamic equation of the farmers is as follows:
F ( y ) = d y d t = y ( π f O π ¯ f ) = y ( 1 y ) ( π f O π f C ) = y ( 1 y ) ( ( k x 1 ) ( c H c L ) + R e + G ( 1 y ) ) .
We obtain replicator dynamic system (3) by combining Equations (22) and (26). We derive the following equilibria by setting F ( x ) = 0 and F ( y ) = 0 :
(0, 0), (1, 0), (0, 1), (1, 1), (x3, y3)
where
x 3 = c H c L R e G 2 ( y ) k ( c H c L ) , y 3 = s k c L k ( c H c L ) 0 < x 3 , y 3 < 1
Similarly, in order to ensure that the assistance provided by retailers effectively promotes organic production among farmers, we assume π f 1 > π f 2 and π f 4 > π f 3 , which are equivalent to R e + G 2 ( y ) > ( 1 k ) ( c H c L ) and R e + G 2 ( y ) < c H c L , respectively. Then, we obtain the system’s Jacobian matrix in the government subsidizing farmers scenario:
J = F ( x ) x F ( x ) y F ( y ) x F ( y ) y = F x x ( 1 x ) x k ( c H c L ) ( 1 y ) y k ( c H c L ) F y y .
where
F x x = ( 1 2 x ) ( y k c H ( 1 y ) k c L + s ) , F y y = ( 1 2 y ) ( ( k x 1 ) ( c H c L ) + R e + G 2 ) ( 1 y ) y G
Then, Table 6 is the stability analysis in this scenario.
Proposition 4.
In the government subsidizing farmers scenario, ( x 3 , y 3 ) is an asymptotically stable equilibrium only if ( 1 k ) ( c H c L ) G 2 ( y ) < R e < c H c L G 2 ( y ) and k c L < s < k c H .
Proposition 4 shows that ( x 3 , y 3 ) can emerge as an efficient equilibrium. The subsidies to farmers enlarge the region for approaching an efficient equilibrium state. A share x 3 of retailers provides assistance to farmers, and a share y 3 of farmers engages in the production of organic goods. Different from Proposition 2, Proposition 4 shows that higher subsidies to farmers can lower the premium which retailers pay for organic products. This would decrease retailers’ cost to source organic products. On the other hand, Proposition 4 shows that the subsidies to farmers can also lower the requirements for the social responsibility premium. However, this requirement is still higher than that in the government subsidizing retailers. This insight is consistent with the findings of Azam and Shaheen [59], and reveals that developing countries like India have to use various financial incentives to support farmers in adopting organic farming.
Then, we conduct a sensitivity analysis for the asymptotically stable equilibrium ( x 3 , y 3 ) . We analyze the impact of the organic production cost c H , the percentage k of production costs that retailers bear, and the maximum government subsidies G on both retailers’ and farmers’ decisions.
Proposition 5.
Through the sensitivity analysis of the asymptotically stable equilibrium ( x 3 , y 3 ) , we derive the following:
(i)
x 3 c H > 0 only if R e > G + 2 G ( s k c H ) k ( c H c L ) , x 3 k < 0 , x 3 G < 0 .
(ii)
y 3 c H < 0 , y 3 k < 0 , y 3 G = 0 .
Proposition 5 shows that a higher organic production cost would discourage farmers from opting for the organic strategy. In this case, more retailers are willing to help farmers when the premium R e for organic products is sufficiently high. If retailers bear a higher percentage of the production cost for farmers, fewer retailers would choose to help farmers. This results in fewer farmers producing organic products. Furthermore, when the subsidies to farmers increase, fewer retailers choose to help farmers. This implies that the subsidies to farmers can partly substitute retailers’ help to farmers.

4. Simulation Analysis and Discussions

In this section, we utilize Matlab R2022a for numerical simulation to further illustrate the findings. We will not only show the trends of retailers and farmers’ strategy selection in different scenarios, but also observe how changes in parameters affect various players.
First, we analyze the simulation results without government subsidies. We set the parameter values: s = 3 , R e = 5 , k = 0.5 , c H = 16 , and c L = 10 , which satisfy Proposition 1 (i). As illustrated in Proposition 1 (i), Figure 1a shows that when the social responsibility premium s is low, all retailers would not help farmers and all farmers would choose to produce conventional products. We set the parameter values s = 6 , R e = 5 , k = 0.5 , c H = 16 , and c L = 10 to depict the result of Proposition 1 (ii). As Figure 1b indicates, when s is medium, dynamic system (1) has no asymptotically evolutionary stable point and the graph presents a closed loop around the central point ( x 1 , y 1 ) . Finally, in Figure 1c (we set the parameter values: s = 9 , R e = 5 , k = 0.5 , c H = 16 , and c L = 10 ), the result is that all retailers adopt the help strategy and all farmers adopt the organic strategy, which is illustrated in Proposition 1 (iii).
Next, we present the result of the government subsidizing retailers scenario. We set s = 5 , R e = 5 , k = 0.5 , c H = 16 , c L = 8 , and G = 3 . Figure 2a,b verify that when the s is medium, the dynamic evolutionary process presents a spiral convergence and finally goes to the asymptotically stable equilibrium ( x 2 , y 2 ) . This result is consistent with the conclusion of Proposition 2.
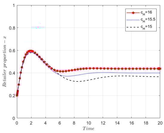
We set s = 4 , R e = 5 , k = 0.5 , c L = 8 , and G = 5 to illustrate the impact of c H on retailers and farmers. Figure 3a suggests that as the cost of organic production rises, a greater number of retailers offer support to farmers. Figure 3b shows that when the organic production cost increases, fewer farmers produce organic products.
Finally, we show the numerical simulation results of the government subsidizing farmers scenario. Setting s = 5 , R e = 5, k = 0.5 , c H = 16 , c L = 8 , and G = 3 , we derive the dynamic evolutionary process in Figure 4a, which presents a spiral convergence, and the evolution of both populations in Figure 4b, which shows that dynamic system (3) eventually approaches the asymptotically stable equilibrium ( x 3 , y 3 ) . The above simulation results verify Proposition 4.
Then, we present the numerical simulation results of Proposition 5. Figure 5 presents the impact of the organic production cost on the retailers’ decisions. When the organic premium is high, a higher organic production cost encourages more retailers to help farmers.
Figure 6 shows that when the subsidies to farmers increase, the farmers’ decisions are not affected, but more retailers are reluctant to help farmers, which is consistent with Proposition 5.

5. Extension

In the extension, we integrate a crucial third entity, the government, whose influence extends well beyond mere subsidy distribution, actively sculpting the interactions between farmers and retailers. This expanded tripartite model investigates the complex interplay between farmers, retailers, and the government, aiming to illuminate the profound impact of governmental policies on the environmental sustainability and economic health of organic agriculture. By advancing this framework, we seek to clarify the wide-reaching effects of governmental actions, deepening our insight into its essential role in promoting sustainable practices within the organic farming sector. In light of the analogous implementation processes between government subsidies for retailers and those for farmers, we solely focus on elucidating the implementation and analysis of the former in the extension.
We will delve further into the government subsidizing retailers scenario, where the government provides subsidies to retailers that help farmers. The model’s setup for retailers and farmers remains as detailed in the main text. We denote z ( z [ 0 , 1 ] ) as the probability of the government opting for a subsidizing strategy, with 1 z reflecting the likelihood of a non-subsidizing strategy. The cost of the subsidy for the government is denoted by G g . Should farmers choose an organic approach, the government realizes environmental benefits denoted by e g 1 for the subsidizing and e g 2 for the non-subsidizing strategy. We assume that e g 1 > e g 2 , indicating greater government environmental benefits under the subsidizing strategy. Non-subsidizing policies lead to a cost c g for the government, attributed to a reduction in the credibility. The subsidy amount allocated to the retailer, which reflects the cost of the subsidy from the government’s perspective, can be formulated as G g = G 1 ( x ) with G 1 ( x ) = G ( 1 x ) , which is also consistent with the main body. Table 7 is the payoffs matrix of this scenario.
The retailers’ expected payoffs under the help strategy are
π r H = y ( z π r 1 s + ( 1 z ) π r 1 n s ) + ( 1 y ) ( z π r 2 s + ( 1 z ) π r 2 n s ) = y ( q k c H ) ( 1 y ) k c L + R r + s + z G ( 1 x ) .
The retailers’ expected payoffs under the non-help strategy are
π r N H = y ( z π r 3 s + ( 1 z ) π r 3 n s ) + ( 1 y ) ( z π r 4 s + ( 1 z ) π r 4 n s ) = y q + R r .
Based on Equations (28) and (29), the retailers’ overall expected payoffs are
π ¯ r = x π r H + ( 1 x ) π r N H .
Then, the replicator dynamic equation of the retailers is as follows:
F ( x ) = d x d t = x ( π r H π ¯ r ) = x ( 1 x ) ( π r H π r N H ) = x ( 1 x ) ( y k c H ( 1 y ) k c L + s + z G ( 1 x ) ) .
The farmers’ expected payoffs under the organic strategy are
π f O = ( k x 1 ) c H + R e + R f .
The farmers’ expected payoffs under the conventional strategy are
π f C = ( k x 1 ) c L + R f .
Then, based on Equations (32) and (33), the farmers’ overall expected payoffs are
π ¯ f = y π f O + ( 1 y ) π f C .
The replicator dynamic equation of the farmers is as follows:
F ( y ) = d y d t = y ( π f O π ¯ f ) = y ( 1 y ) ( π f O π f C ) = y ( 1 y ) ( ( k x 1 ) ( c H c L ) + R e ) .
The governments’ expected payoffs under the subsidizing strategy are
π g S = y e g 1 x G ( 1 x ) .
The governments’ expected payoffs under the non-subsidizing strategy are
π g N S = y e g 2 c g .
Then, based on Equations (36) and (37), the governments’ overall expected payoffs are
π ¯ g = z π g S + ( 1 z ) π g N S .
The replicator dynamic equation of the governments is as follows:
F ( z ) = d z d t = z ( π g S π ¯ g ) = z ( 1 z ) ( π g S π g N S ) = z ( 1 z ) ( y ( e g 1 e g 2 ) + c g x G ( 1 x ) ) .
We obtain replicator dynamic system (4) by combining Equations (31), (35), and (39). Let F ( x ) = 0 , F ( y ) = 0 , and F ( z ) = 0 , and we derive the following equilibria:
( x 4 , y 4 , z 4 ) , ( x 1 , y 1 , 0 ) , ( x 2 , y 2 , 1 ) , ( c g G 1 ( x ) , 0 , s + k c L G 1 ( x ) ) , ( c g + e g 1 e g 2 G 1 ( x ) , 1 , s + k c H G 1 ( x ) ) , ( 0 ,   0 ,   0 ) , ( 1 ,   0 ,   0 ) , ( 0 ,   1 ,   0 ) , ( 1 ,   1 ,   0 ) , ( 0 ,   0 ,   1 ) , ( 1 ,   0 ,   2 ) , ( 0 ,   1 ,   1 ) , ( 1 ,   1 ,   1 )
where
x 4 = c H c L R e k ( c H c L ) , y 4 = k c g ( c H c L ) + ( c H c L R e ) G 1 ( x ) k ( c H c L ) ( e g 1 e g 2 ) , z 4 = k c g ( c H c L ) ( s k c L ) ( e g 1 e g 2 ) + ( c H c L R e ) G 1 ( x ) ( e g 1 e g 2 ) G 1 ( x ) 0 < x 4 , y 4 , z 4 < 1
To maintain alignment with the text and to ensure that the support from retailers effectively promotes organic production among farmers, we assume R e > ( 1 k ) ( c H c L ) and R e < c H c L . Using the Jacobian matrix to analyze the stability of the system’s dynamic equilibria, we can obtain the system’s Jacobian matrix in the government subsidizing retailers scenario:
J = F ( x ) x F ( x ) y F ( x ) z F ( y ) x F ( y ) y F ( y ) z F ( z ) x F ( z ) y F ( z ) z = F x x ( 1 x ) x k ( c H c L ) ( 1 x ) x G 1 ( 1 y ) y k ( c H c L ) F y y 0 ( 1 z ) z ( x G G 1 ) ( 1 z ) z ( e g 1 e g 2 ) F z z .
where
F x x = ( 1 2 x ) ( y k c H ( 1 y ) k c L + s + z G 1 ) ( 1 x ) x z G , F y y = ( 1 2 y ) ( ( k x 1 ) ( c H c L ) + R e ) , F z z = ( 1 2 z ) ( c g + y ( e g 1 e g 2 ) x G 1 )
Table 8 is the stability analysis in this scenario.
Proposition 6.
When governments get involved in the game and need to decide whether to subsidize retailers, we derive the following:
(i)
( x 1 , y 1 , 0 ) is not the possible asymptotically stable equilibrium, this point is equivalent to point ( x 1 , y 1 ) in the no government subsidy scenario of this paper’s main body, and the conclusion is also consistent.
(ii)
( x 2 , y 2 , 1 ) is equivalent to point ( x 2 , y 2 ) in the government subsidizing retailers scenario of this paper’s main body, and it is an asymptotically stable equilibrium only when k c L G 1 < s < k c H G 1 and e g 2 < e g 1 e g 2 < e g 1 .
(iii)
( x 4 , y 4 , z 4 ) is an asymptotically stable equilibrium only when s 2 < s < s 1 and c g 2 < c g < c g 1 ,
where
e g 1 = ( c H c L ) ( k c g G 1 ) + R e G 1 G 1 + s k c L , e g 2 = ( c H c L ) 2 ( G ( k 1 ) + k 2 c g k G 1 ) ( c H c L ) ( G ( k 2 ) k G 1 ) R e G R e 2 k ( c H c L ) ( G 1 + s k c L ) , s 1 = c L k e g 1 k e g 2 G 1 + G 1 c H R e + k c g c L c H e g 1 e g 2 , s 2 = G 1 c H e g 1 + e g 2 R e + c L k e g 1 k e g 2 G 1 + k c g c L c H e g 1 e g 2 , c g 1 = G 1 c H c L R e k c H c L , c g 2 = G 1 c H c L R e k c H c L e g 1 + e g 2 .
Proposition 6 articulates the nuanced role of government subsidies in fostering organic agriculture, emphasizing that without subsidies, a stable equilibrium supporting organic practices among retailers and farmers is difficult to achieve. It identifies specific conditions under which government subsidies can achieve a stable equilibrium, highlighting the need for subsidies to be finely tuned to bridge the cost gap between low and high organic production levels. Moreover, it states that equilibrium stability depends on the additional environmental benefits for organic agriculture that the government can obtain by subsidizing retailer ( e g 1 e g 2 ) and social responsibility premiums (s), alongside the credibility reduction costs to the government ( c g ). This analysis underscores the importance of strategic government intervention through subsidies to promote organic agriculture, suggesting that well-designed subsidy programs are crucial for creating an ecosystem where organic practices are sustainable. By establishing the criteria for effective subsidies, Proposition 6 offers valuable insights for policy-makers on how to balance economic incentives with environmental benefits, indicating that targeted government support is vital for the successful transition toward more sustainable agricultural practices.
Then, we conduct a sensitivity analysis for the asymptotically stable equilibrium ( x 4 , y 4 , y 4 ) . Proposition 7 analyzes the impact of the organic production cost c H , the percentage k of production costs that retailers bear, and the maximum government subsidies G on the retailers’, farmers’, and governments’ decisions.
Proposition 7.
Through the sensitivity analysis of the asymptotically stable equilibrium ( x 4 , y 4 , y 4 ) , we derive the following:
(i)
x 4 c H > 0 , x 4 k < 0 , x 4 G = 0 .
(ii)
y 4 c H > 0 and y 4 k < 0 only if R e > 1 k 2 c H c L , y 4 G > 0 .
(iii)
z 4 c H > 0 only if R e > c H c L k 2 c g + G ( 1 k ) G ,
z 4 k > 0 only if c g ( k 2 ) c H c L + 2 R e < e g 1 e g 2 c H c L ( k 2 ) k c L + s R e s 2 k c L k c H c L ,
z 4 G > 0 only if c g > e g 1 e g 2 k c L s k c H c L .
The detailed insights from Proposition 7 emphasize the intricate effects of organic production costs, retailer cost-sharing, and government subsidies on the adoption of organic agriculture. It demonstrates that higher organic production costs, mitigated by market premiums, can incentivize both retailers and farmers toward organic practices given the economic benefits. The analysis also shows that decreasing the cost burden on retailers enhances their support for organic farming, suggesting a need for policies that redistribute costs more fairly. Crucially, government subsidies are highlighted as key to lowering barriers to organic farming, supporting sustainability, and public health goals. This multifaceted approach, involving strategic policy interventions and market adjustments, is crucial for promoting organic agriculture. It underscores the necessity of economic incentives, equitable cost distribution, and supportive government policies in creating a conducive environment for organic farming, thereby contributing to environmental sustainability and a healthier food system in a holistic manner.

6. Discussion

The benefits of organic farming are significant, offering environmental, health, and social advantages by avoiding synthetic pesticides and fertilizers, which promotes biodiversity, soil health, and reduces pollution. However, farmers engaging in organic agriculture frequently face financial challenges due to the inherently higher costs associated with this farming method. These costs stem from the need for organic inputs, such as seeds and natural pest control methods, adopting new techniques and potential yield reductions and more labor-intensive practices required to adhere to organic standards. To mitigate these challenges, subsidies for organic farming are essential to help farmers sustainably manage and grow their organic operations [60]. The EU’s Common Agricultural Policy (CAP) has provided financial support for the adoption of organic farming, which has provided a clear incentive for the increase in land cultivated organically with the most supported crops [19]. In India, through the PKVY and MOVCDNER schemes, farmers receive financial aid of about INR 30,000 per hectare over three years for organic inputs, including seeds, bio-fertilizers, bio-pesticides, organic manure, compost/vermi-compost, and botanical extracts [16]. The provincial government of Bali, Indonesia, has introduced subsidies for organic fertilizers, starting with an annual fund of EUR 69.7 million, which is anticipated to increase annually to lower the costs of organic farming for farmers [17]. According to the simulation results presented in this article, government subsidies to farmers can promote the development of organic agriculture. This effect is manifested in two main aspects: On one hand, retailers usually require a higher premium for organic products, which can only then incentivize farmers to cultivate organic crops. Government subsidies to farmers help reduce the need for such a price premium for organic products. On the other hand, government subsidies also lower the requirement for social responsibility.
Most scholars have focused on the significance of subsidies for organic agriculture development primarily from the perspectives of government subsidies to farmers or consumers. However, in practice, governments can also promote the development of organic agriculture through subsidies to retailers. For example, the EU’s Common Agricultural Policy supported the growth of organic production, including investments for retailers in aid of the marketing and promotion of organic products [19]. The Canadian Agricultural Partnership laid a strong foundation to subsidize food processors to seize market opportunities [18]. According to the simulation results in this article, government subsidies to retailers can foster the development of organic agriculture. When governments subsidize retailers, it becomes easier for retailers to assist farmers. For instance, the German discount store PENNY supports farmers through the “Naturgut Junior-Helden" program, helping them sell products during the transition from conventional to organic farming, thus easing the transition period [61]. In Canada, two retailers, Nature’s Path and Riverside Natural Foods, offer funding and support to organic oat growers during the organic certification process [61]. Similarly, the American company Giant provides consulting and training for farms looking to transition to organic farming [62].

7. Conclusions

How to develop organic agriculture has increasingly attracted attention from governments and academia. In this study, we formulate evolutionary game models to examine the government’s implementation of subsidy strategies aimed at fostering the growth of the organic product market. We consider three different scenarios: no government subsidy, the government subsidizing retailers, and the government subsidizing farmers. In these scenarios, farmers make the decision of producing organic or conventional products, and retailers determine whether to provide assistance to farmers. Drawing from our investigation, we offer the following conclusions:
  • If the government does not subsidize retailers and farmers, the organic market is likely to be ineffective. The production cost of organic products is high, so when the social responsibility premium is low and there is no subsidy available, farmers are likely to produce conventional products. The system can converge to an efficient outcome only under the extreme condition (the social responsibility premium is sufficiently high), which is difficult to achieve in reality.
  • Government subsidies to retailers could promote the development of an organic product market by lowering the requirement for social responsibility. Government subsidies to retailers and the social responsibility premium can both compensate retailers for helping farmers. Thus, when the government subsidizes retailers, it could lower the requirement of social responsibility. This allows the organic market to avoid the inefficient outcome without subsidies when the social responsibility premium is medium.
  • Government subsidies to farmers could promote the development of an organic product market by lowering the requirement for social responsibility and the premium that retailers offer. Different from government subsidies to retailers, government subsidies to farmers lower the requirement for the premium retailers offer. This is because subsidies to farmers are a substitute for the premium from retailers. Although subsidies to farmers lower the requirement for social responsibility, it is still higher than that under government subsidies to retailers.
  • Increasing subsidies to retailers and farmers have different effects. If the government increases subsidies to retailers, the lower the premium requirement will be, and more farmers will produce organic products. If the government increases subsidies to farmers, the lower the premium requirement will be, and more retailers do not help farmers.
Our paper proposes the following insights for the government. If the government wants to develop organic agriculture without subsidies, it should enhance the consumers’ social responsibility. Otherwise, the government’s best choice is to offer subsidies. Whether the government subsidizes retailers or farmers, it can promote the development of organic agriculture. However, subsidizing retailers and farmers has different effects. If the consumers’ social responsibility is sufficiently low or the government wants to encourage more farmers to produce organic products, the government’s best choice is to subsidize retailers. If the social responsibility premium is medium and the government wants to reduce the burden of retailers, the government’s best choice is to subsidize farmers.
In conclusion, reflecting upon the theoretical underpinnings of our evolutionary game model and its implications for the agricultural sector, it becomes evident that the insights derived from our analysis hold substantial potential for informing policy-making and practical decision-making. We reveal that targeted government subsidies to either farmers or retailers, based on our evolutionary game theory model, can significantly enhance the adoption of organic farming practices. Our propositions highlight the importance of considering the specific dynamics between farmers’ costs and retailers’ incentives for organic products. To operationalize our findings, we recommend that future policy development efforts consider the model’s predictions regarding the optimal distribution of subsidies between farmers and retailers. This approach can ensure that subsidy allocations are strategically targeted to maximize the uptake of organic practices, balancing environmental benefits with economic viability. Moreover, our analysis underscores the importance of adapting subsidy policies to the specificities of the agricultural ecosystem, including the varying levels of social responsibility and the economic pressures faced by farmers and retailers. By aligning policy initiatives with the insights provided by our model, decision-makers can more effectively promote sustainable agriculture, contributing to the broader objectives of environmental conservation and food security. Thus, our research offers a concrete, evidence-based pathway for policy development, suggesting that a nuanced understanding of the agricultural ecosystem is essential for fostering the growth of organic farming through well-informed subsidy strategies.
This paper presents several limitations. First, we assume that farmers produce organic products honestly and do not consider the potential for fraudulent behavior driven by significant economic incentives. This assumption ignores instances where farmers, motivated by higher profits, might falsely label conventional products as organic. An illustrative case occurred in the United States, where five farmers were incarcerated for selling conventional corn and soybeans as organic items. Second, our analysis is confined to the roles of the government, farmers, and retailers, neglecting the potential impact of other stakeholders in the organic product supply chain. Finally, the focus is solely on the government’s subsidy policies for organic agriculture, without consideration of punitive measures for pollution from traditional agriculture. In countries like China and Germany, punitive measures have been implemented against practices, such as straw burning in fields, the arbitrary discharge of animal manure, and the landfill treatment of agricultural plastic films.

Author Contributions

Conceptualization, Y.Z.; writing—original draft preparation, X.Y.; writing—review and editing, X.D. All authors have read and agreed to the published version of this manuscript.

Funding

This research was funded by the Science Research Project of the Hunan Provincial Department of Education grant numbers 21B0039 and 23B0547 and the Hunan Provincial Natural Science Foundation Project 2022JJ50084.

Institutional Review Board Statement

Not applicable.

Informed Consent Statement

Not applicable.

Data Availability Statement

Data is contained within the article.

Conflicts of Interest

The authors declare no conflicts of interest.

References

  1. Nicholls, C.I.; Altieri, M.A. Conventional agricultural development models and the persistence of the pesticide treadmill in Latin America. Int. J. Sustain. Dev. World Ecol. 1997, 4, 93–111. [Google Scholar] [CrossRef]
  2. Vilpoux, O.F.; Gonzaga, J.F.; Pereira, M.W.G. Agrarian reform in the Brazilian Midwest: Difficulties of modernization via conventional or organic production systems. Land Use Policy 2021, 103, 105327. [Google Scholar] [CrossRef]
  3. Wilson, L. Conventional Farming, Human, & Environmental Health-What’s the Connection? 2022. Available online: https://www.naturalgrocers.com/health-hotline-article/conventional-farming-human-environmental-health-whats-connection (accessed on 15 March 2023).
  4. Montgomery, D.R. Soil erosion and agricultural sustainability. Proc. Natl. Acad. Sci. USA 2007, 104, 13268–13272. [Google Scholar] [CrossRef]
  5. Held, L.E. The Real Climate Impact of Organic Farming. 2020. Available online: https://foodprint.org/blog/the-real-climate-impact-of-organic-farming/ (accessed on 15 March 2023).
  6. IFOAM. Definition of Organic Agriculture. 2008. Available online: https://www.ifoam.bio/why-organic/organic-landmarks/definition-organic (accessed on 15 March 2023).
  7. Sandhu, H.S.; Wratten, S.D.; Cullen, R. Organic agriculture and ecosystem services. Environ. Sci. Policy 2010, 13, 1–7. [Google Scholar] [CrossRef]
  8. Gomiero, T.; Pimentel, D.; Paoletti, M.G. Is there a need for a more sustainable agriculture? Crit. Rev. Plant Sci. 2011, 30, 6–23. [Google Scholar] [CrossRef]
  9. Magnusson, M.K.; Arvola, A.; Hursti, U.K.K.; Åberg, L.; Sjödén, P.O. Choice of organic foods is related to perceived consequences for human health and to environmentally friendly behaviour. Appetite 2003, 40, 109–117. [Google Scholar] [CrossRef] [PubMed]
  10. Harrar, S. Is Organic Produce Healthier Than the Conventional Kind? 2022. Available online: https://www.everydayhealth.com/diet-nutrition/is-organic-produce-healthier-than-the-conventional-kind/ (accessed on 15 March 2023).
  11. Meemken, E.M.; Qaim, M. Organic agriculture, food security, and the environment. Annu. Rev. Resour. Econ. 2018, 10, 39–63. [Google Scholar] [CrossRef]
  12. Beuchelt, T.D.; Zeller, M. Profits and poverty: Certification’s troubled link for Nicaragua’s organic and fairtrade coffee producers. Ecol. Econ. 2011, 70, 1316–1324. [Google Scholar] [CrossRef]
  13. Ponisio, L.C.; M’Gonigle, L.K.; Mace, K.C.; Palomino, J.; De Valpine, P.; Kremen, C. Diversification practices reduce organic to conventional yield gap. Proc. R. Soc. B Biol. Sci. 2015, 282, 20141396. [Google Scholar] [CrossRef]
  14. Wittwer, R.A.; Dorn, B.; Jossi, W.; van der Heijden, M.G. Cover crops support ecological intensification of arable cropping systems. Sci. Rep. 2017, 7, 41911. [Google Scholar] [CrossRef]
  15. Website, C.G. The Ministry of Agriculture and Rural Affairs Responded to Comments from Netizens Regarding the Suggestion to Increase Support for the Development of Organic Ecological Agriculture. 2021. Available online: https://www.gov.cn/hudong/2021-12/30/content_5665510.htm (accessed on 22 February 2024).
  16. Delhi, P. Promotion of Organic Farming. 2022. Available online: https://pib.gov.in/PressReleasePage.aspx?PRID=1796561 (accessed on 15 March 2023).
  17. Andrighetto, J.K. Facilitate the Growth of Organic by Ending Subsidies for Chemical Inputs. 2018. Available online: https://www.organicwithoutboundaries.bio/2018/10/10/chemical-inputs/ (accessed on 15 March 2023).
  18. Canada.ca. Promoting the Development of Canada’s Organic Sector. 2018. Available online: https://www.canada.ca/en/agriculture-agri-food/news/2018/02/promoting_the_developmentofcanadasorganicsector.html (accessed on 15 March 2023).
  19. Jaime, M.M.; Coria, J.; Liu, X. Interactions between CAP Agricultural and Agri-Environmental Subsidies and Their Effects on the Uptake of Organic Farming. Am. J. Agric. Econ. 2016, 98, 1114–1145. [Google Scholar] [CrossRef]
  20. Vachon, S.; Klassen, R.D. Environmental management and manufacturing performance: The role of collaboration in the supply chain. Int. J. Prod. Econ. 2008, 111, 299–315. [Google Scholar] [CrossRef]
  21. Wong, C.Y.; Wong, C.W.; Boon-itt, S. Effects of green supply chain integration and green innovation on environmental and cost performance. Int. J. Prod. Res. 2020, 58, 4589–4609. [Google Scholar] [CrossRef]
  22. Bouchery, Y.; Ghaffari, A.; Jemai, Z.; Dallery, Y. Including sustainability criteria into inventory models. Eur. J. Oper. Res. 2012, 222, 229–240. [Google Scholar] [CrossRef]
  23. Mondal, C.; Giri, B.C. Tax-subsidy or reward-penalty? Determining optimal strategy in sustainable closed-loop supply chain under quality-dependent return. Int. J. Syst. Sci. Oper. Logist. 2022, 10, 1–26. [Google Scholar] [CrossRef]
  24. Khan, M.; Hussain, M.; Saber, H.M. Information sharing in a sustainable supply chain. Int. J. Prod. Econ. 2016, 181, 208–214. [Google Scholar] [CrossRef]
  25. Junaid, M.; Zhang, Q.; Syed, M.W. Effects of sustainable supply chain integration on green innovation and firm performance. Sustain. Prod. Consum. 2022, 30, 145–157. [Google Scholar] [CrossRef]
  26. Fu, Q.; Abdul Rahman, A.A.; Jiang, H.; Abbas, J.; Comite, U. Sustainable supply chain and business performance: The impact of strategy, network design, information systems, and organizational structure. Sustainability 2022, 14, 1080. [Google Scholar] [CrossRef]
  27. Taleizadeh, A.A.; Ahmadzadeh, K.; Sarker, B.R.; Ghavamifar, A. Designing an optimal sustainable supply chain system considering pricing decisions and resilience factors. J. Clean. Prod. 2022, 332, 129895. [Google Scholar] [CrossRef]
  28. Chen, Z.; Ji, X.; Li, M.; Li, J. How corporate social responsibility auditing interacts with supply chain information transparency. Ann. Oper. Res. 2022, 329, 1221–1240. [Google Scholar] [CrossRef]
  29. Parsaeifar, S.; Bozorgi-Amiri, A.; Naimi-Sadigh, A.; Sangari, M.S. A game theoretical for coordination of pricing, recycling, and green product decisions in the supply chain. J. Clean. Prod. 2019, 226, 37–49. [Google Scholar] [CrossRef]
  30. Das, M.; Jana, D.K.; Alam, S. Comparative study of centralized and decentralized scenarios of a three-tiered green supply chain in two-period using the game theoretical approach. Clean. Logist. Suppl. Chain 2022, 4, 100054. [Google Scholar] [CrossRef]
  31. Shekarian, E.; Marandi, A.; Majava, J. Dual-channel remanufacturing closed-loop supply chains under carbon footprint and collection competition. Sustain. Prod. Consum. 2021, 28, 1050–1075. [Google Scholar] [CrossRef]
  32. Adams Inkoom, S. Encouraging Organic Agriculture: The Effects of Conversion Subsidies; South Dakota State University: Brookings, SD, USA, 2017. [Google Scholar]
  33. Argyropoulos, C.; Tsiafouli, M.A.; Sgardelis, S.P.; Pantis, J.D. Organic farming without organic products. Land Use Policy 2013, 32, 324–328. [Google Scholar] [CrossRef]
  34. Panneerselvam, P.; Halberg, N.; Vaarst, M.; Hermansen, J.E. Indian farmers’ experience with and perceptions of organic farming. Renew. Agric. Food Syst. 2012, 27, 157–169. [Google Scholar] [CrossRef]
  35. uczka, W.; Kalinowski, S. Barriers to the development of organic farming: A polish case study. Agriculture 2020, 10, 536. [Google Scholar] [CrossRef]
  36. Markuszewska, I.; Kubacka, M. Does organic farming (OF) work in favour of protecting the natural environment? A case study from Poland. Land Use Policy 2017, 67, 498–507. [Google Scholar] [CrossRef]
  37. Schader, C.; Lampkin, N.; Christie, M.; Nemecek, T.; Gaillard, G.; Stolze, M. Evaluation of cost-effectiveness of organic farming support as an agri-environmental measure at Swiss agricultural sector level. Land Use Policy 2013, 31, 196–208. [Google Scholar] [CrossRef]
  38. Tian, M.; Zheng, Y.; Sun, X.; Zheng, H. A research on promoting chemical fertiliser reduction for sustainable agriculture purposes: Evolutionary game analyses involving ‘government, farmers, and consumers’. Ecol. Indic. 2022, 144, 109433. [Google Scholar] [CrossRef]
  39. Yu, Z.; Rehman Khan, S.A. Evolutionary game analysis of green agricultural product supply chain financing system: COVID-19 pandemic. Int. J. Logist. Res. Appl. 2022, 25, 1115–1135. [Google Scholar] [CrossRef]
  40. Luo, J.; Huang, M.; Bai, Y. Promoting green development of agriculture based on low-carbon policies and green preferences: An evolutionary game analysis. Environ. Dev. Sustain. 2023, 26, 6443–6470. [Google Scholar] [CrossRef]
  41. Liu, L.; Zhu, Y.; Guo, S. The evolutionary game analysis of multiple stakeholders in the low-carbon agricultural innovation diffusion. Complexity 2020, 2020, 1–12. [Google Scholar] [CrossRef]
  42. Liu, H. The tripartite evolutionary game of green agro-product supply in an agricultural industrialization consortium. Sustainability 2022, 14, 11582. [Google Scholar] [CrossRef]
  43. Kim, S.H.; Netessine, S. Collaborative cost reduction and component procurement under information asymmetry. Manag. Sci. 2013, 59, 189–206. [Google Scholar] [CrossRef]
  44. Chao, G.H.; Iravani, S.M.; Savaskan, R.C. Quality improvement incentives and product recall cost sharing contracts. Manag. Sci. 2009, 55, 1122–1138. [Google Scholar] [CrossRef]
  45. Hwang, I.; Radhakrishnan, S.; Su, L. Vendor certification and appraisal: Implications for supplier quality. Manag. Sci. 2006, 52, 1472–1482. [Google Scholar] [CrossRef]
  46. Wagner, S.M. A firm’s responses to deficient suppliers and competitive advantage. J. Bus. Res. 2006, 59, 686–695. [Google Scholar] [CrossRef]
  47. Blonska, A.; Storey, C.; Rozemeijer, F.; Wetzels, M.; de Ruyter, K. Decomposing the effect of supplier development on relationship benefits: The role of relational capital. Ind. Mark. Manag. 2013, 42, 1295–1306. [Google Scholar] [CrossRef]
  48. Corbett, C.J.; DeCroix, G.A. Shared-savings contracts for indirect materials in supply chains: Channel profits and environmental impacts. Manag. Sci. 2001, 47, 881–893. [Google Scholar] [CrossRef]
  49. Lin, Z.; Wang, S.; Yang, L. Motivating innovation alliance’s environmental performance through eco-innovation investment in a supply chain. J. Clean. Prod. 2020, 269, 122361. [Google Scholar] [CrossRef]
  50. Chen, Z.; Hong, S.; Ji, X.; Shi, R.; Wu, J. Refurbished products and supply chain incentives. Ann. Oper. Res. 2022, 310, 27–47. [Google Scholar] [CrossRef]
  51. Dai, X.; Lin, Y.T.; Shi, R.; Xu, D. A manufacturer’s responsible sourcing strategy: Going organic or participating in fair trade? Ann. Oper. Res. 2020, 291, 195–218. [Google Scholar] [CrossRef]
  52. Abraben, L.A.; Grogan, K.A.; Gao, Z. Organic price premium or penalty? A comparative market analysis of organic wines from Tuscany. Food Pol. 2017, 69, 154–165. [Google Scholar] [CrossRef]
  53. Nematollahi, M.; Tajbakhsh, A.; Sedghy, B.M. The reflection of competition and coordination on organic agribusiness supply chains. Transport. Res. Part E: Logist. Transport. Rev. 2021, 154, 102462. [Google Scholar] [CrossRef]
  54. Miyata, S.; Minot, N.; Hu, D. Impact of contract farming on income: Linking small farmers, packers, and supermarkets in China. World Dev. 2009, 37, 1781–1790. [Google Scholar] [CrossRef]
  55. Niu, B.; Jin, D.; Pu, X. Coordination of channel members’ efforts and utilities in contract farming operations. Eur. J. Oper. Res. 2016, 255, 869–883. [Google Scholar] [CrossRef]
  56. Guo, R.; Lee, H.L.; Swinney, R. Responsible sourcing in supply chains. Manag. Sci. 2016, 62, 2722–2744. [Google Scholar] [CrossRef]
  57. Ji, S.f.; Zhao, D.; Luo, R.J. Evolutionary game analysis on local governments and manufacturers’ behavioral strategies: Impact of phasing out subsidies for new energy vehicles. Energy 2019, 189, 116064. [Google Scholar] [CrossRef]
  58. Chen, W.; Hu, Z.H. Using evolutionary game theory to study governments and manufacturers’ behavioral strategies under various carbon taxes and subsidies. J. Clean. Prod. 2018, 201, 123–141. [Google Scholar] [CrossRef]
  59. Azam, M.S.; Shaheen, M. Decisional factors driving farmers to adopt organic farming in India: A cross-sectional study. Int. J. Soc. Econ. 2019, 46, 562–580. [Google Scholar] [CrossRef]
  60. Uematsu, H.; Mishra, A.K. Organic farmers or conventional farmers: Where’s the money? Ecol. Econ. 2012, 78, 55–62. [Google Scholar] [CrossRef]
  61. Canada, G. EU-Canada Agriculture Dialogue Workshop: Organic Production-Outcomes Report. 2021. Available online: https://agriculture.canada.ca/en/international-trade/market-intelligence/canada-eu-ceta-agriculture-dialogue-sustainability-workshops/eu-canada-agriculture-dialogue-workshop-organic-production-outcomes-report (accessed on 15 March 2023).
  62. Redman, R. The Giant Company Steps up Support of Organic Farming. 2021. Available online: https://www.supermarketnews.com/sustainability/giant-company-steps-support-organic-farming (accessed on 15 March 2023).
Figure 1. Dynamic evolutionary process of the no government subsidy scenario ( R e = 5 ,   k = 0.5 , c H = 16 ,   c L = 10 ).
Figure 1. Dynamic evolutionary process of the no government subsidy scenario ( R e = 5 ,   k = 0.5 , c H = 16 ,   c L = 10 ).
Sustainability 16 02246 g001
Figure 2. Dynamic evolutionary results of government subsidizing retailers scenario ( s = 5 ,   R e = 5 ,   k = 0.5 ,   c H = 16 ,   c L = 8 ,   G = 3 ).
Figure 2. Dynamic evolutionary results of government subsidizing retailers scenario ( s = 5 ,   R e = 5 ,   k = 0.5 ,   c H = 16 ,   c L = 8 ,   G = 3 ).
Sustainability 16 02246 g002
Figure 3. Evolution of farmers’ population under different k in government subsidizing retailers scenario ( s = 4 ,   G = 5 ,   R e = 5 ,   k = 0.5 ,   c L = 8 ).
Figure 3. Evolution of farmers’ population under different k in government subsidizing retailers scenario ( s = 4 ,   G = 5 ,   R e = 5 ,   k = 0.5 ,   c L = 8 ).
Sustainability 16 02246 g003
Figure 4. Dynamic evolutionary results of the government subsidizing farmers scenario ( s = 5 ,   R e = 5 ,   k = 0.5 ,   c H = 16 ,   c L = 8 ,   G = 3 ).
Figure 4. Dynamic evolutionary results of the government subsidizing farmers scenario ( s = 5 ,   R e = 5 ,   k = 0.5 ,   c H = 16 ,   c L = 8 ,   G = 3 ).
Sustainability 16 02246 g004
Figure 5. Evolution of retailers’ population under different c H in the government subsidizing farmers scenario ( s = 7 ,   R e = 5 ,   k = 0.5 ,   c L = 8 ,   G = 5 ).
Figure 5. Evolution of retailers’ population under different c H in the government subsidizing farmers scenario ( s = 7 ,   R e = 5 ,   k = 0.5 ,   c L = 8 ,   G = 5 ).
Sustainability 16 02246 g005
Figure 6. Evolutionary results under different G in government subsidizing farmers scenario ( s = 5 ,   R e = 5 ,   k = 0.5 ,   c H = 16 ,   c L = 8 ).
Figure 6. Evolutionary results under different G in government subsidizing farmers scenario ( s = 5 ,   R e = 5 ,   k = 0.5 ,   c H = 16 ,   c L = 8 ).
Sustainability 16 02246 g006
Table 1. Payoffs matrix of the no government subsidy scenario.
Table 1. Payoffs matrix of the no government subsidy scenario.
Farmers
OrganicConventional
RetailersHelp π f 1 = R f + R e ( 1 k ) c H ; π f 2 = R f ( 1 k ) c L ;
π r 1 = R r + s + q k c H π r 2 = R r + s k c L
Non-help π f 3 = R f + R e c H ; π f 4 = R f c L ;
π r 3 = R r + q π r 4 = R r
Table 2. Stability analysis of both players.
Table 2. Stability analysis of both players.
Point Det   ( J ) Tr   ( J )
(0, 0) ( s k c L ) ( R e c H + c L ) R e c H + c L + s k c L
(1, 0) ( s k c L ) ( R e c H + c L + k c H k c L ) s + k c L + R e
( 1 k ) ( c H c L )
(0, 1) ( s k c H ) ( R e c H + c L ) s k c H R e + c H c L
(1, 1) ( s k c H ) ( R e c H + c L + k c H k c L ) k c H s R e
+ ( 1 k ) ( c H c L )
( x 1 , y 1 ) D e t 5 0
where D e t 5 = ( R e c H + c L ) ( R e ( 1 k ) ( c H c L ) ) ( s k c H ) ( s k c L ) k 2 ( c H c L ) 2 .
Table 3. Payoffs matrix of government subsidizing retailers scenario.
Table 3. Payoffs matrix of government subsidizing retailers scenario.
Farmers
OrganicConventional
RetailersHelp π f 1 = R f + R e ( 1 k ) c H ; π f 2 = R f ( 1 k ) c L ;
π r 1 = R r + s + q k c H π r 2 = R r + s k c L
       + G ( 1 x )        + G ( 1 x )
Non-help π f 3 = R f + R e c H ; π f 4 = R f c L ;
π r 3 = R r + q π r 4 = R r
Table 4. Stability analysis of both players.
Table 4. Stability analysis of both players.
Point D e t   ( J ) T r   ( J )
(0, 0) ( G + s k c L ) ( R e c H + c L ) G + R e c H + c L + s k c L
(1, 0) ( s k c L ) ( R e c H + c L + k c H k c L ) s + k c L + R e ( 1 k ) ( c H c L )
(0, 1) ( G + s k c H ) ( R e c H + c L ) G R e + c H c L + s k c H
(1, 1) ( s k c H ) ( R e c H + c L + k c H k c L ) k c H s R e + ( 1 k ) ( c H c L )
( x 2 , y 2 ) D e t 5 T r 5
where D e t 5 = ( R e c H + c L ) ( R e ( 1 k ) ( c H c L ) ) ( G 1 + s k c H ) ( G 1 + s k c L ) k 2 ( c H c L ) 2 , T r 5 = G R e c H + c L ) ( R e ( 1 k ) ( c H c L ) ) k 2 ( c H c L ) 2 .
Table 5. Payoffs matrix of the government subsidizing farmers scenario.
Table 5. Payoffs matrix of the government subsidizing farmers scenario.
Farmers
OrganicConventional
RetailersHelp π f 1 = R f + R e ( 1 k ) c H π f 2 = R f ( 1 k ) c L ;
       + G ( 1 y ) ;
π r 1 = R r + s + q k c H π r 2 = R r + s k c L
Non-help π f 3 = R f + R e c H π f 4 = R f c L ;
       + G ( 1 y ) ;
π r 3 = R r + q π r 4 = R r
Table 6. Stability analysis of both players.
Table 6. Stability analysis of both players.
Point D e t ( J ) T r ( J )
(0, 0) ( s k c L ) ( G + R e c H + c L ) G + R e c H + c L + s k c L
(1, 0) ( k c L s ) ( G + R e c H + c L + k c H k c L ) k c L s + G + R e ( 1 k ) ( c H c L )
(0, 1) ( s k c H ) ( R e c H + c L ) R e + c H c L + s k c H
(1, 1) ( s k c H ) ( R e c H + c L + k c H k c L ) k c H s R e + ( 1 k ) ( c H c L )
( x 3 , y 3 ) D e t 5 T r 5
where D e t 5 = ( G 2 + R e c H + c L ) ( G 2 + R e ( 1 k ) ( c H c L ) ) ( s k c H ) ( s k c L ) k 2 ( c H c L ) 2 , T r 5 = G ( s k c H ) ( s k c L ) k 2 ( c H c L ) 2 .
Table 7. Payoffs matrix of the government subsidizing retailers scenario.
Table 7. Payoffs matrix of the government subsidizing retailers scenario.
FarmersGovernments
SubsidizingNon-Subsidizing
RetailersHelpOrganic π f 1 s = R f + R e π f 1 n s = R f + R e
       ( 1 k ) c H ;       ( 1 k ) c H ;
π r 1 s = R r + s + q π r 1 n s = R r + s + q
       k c H + G ( 1 x ) ;       k c H ;
π g 1 s = e g 1 G ( 1 x ) π g 1 n s = e g 2 c g
Conventional π f 2 s = R f ( 1 k ) c L π f 2 n s = R f ( 1 k ) c L
π r 2 s = R r + s π r 2 n s = R r + s k c L ;
       k c L + G ( 1 x ) ;
π g 2 s = G ( 1 x ) π g 2 n s = c g
Non-helpOrganic π f 3 s = R f + R e c H ; π f 3 n s = R f + R e c H ;
π r 3 s = R r + q ; π r 3 n s = R r + q ;
π g 3 s = e g 1 π g 3 n s = e g 2 c g
Conventional π f 4 s = R f c L ; π f 4 n s = R f c L ;
π r 4 s = R r ; π r 4 n s = R r ;
π g 4 s = 0 π g 4 n s = c g
Table 8. Stability analysis of both players.
Table 8. Stability analysis of both players.
Point D e t   ( J ) T r   ( J )
(0, 0, 0) c g ( s k c L ) ( R e c H + c L ) R e c H + c L + c g + s k c L
(1, 0, 0) c g ( s k c L ) ( R e c H + c L + k c H k c L ) c g s + k c L + R e ( 1 k ) ( c H c L )
(0, 1, 0) ( s k c H ) ( R e c H + c L ) ( c g + e g 1 e g 2 ) R e + c H c L + s k c H + c g + e g 1 e g 2
(1, 1, 0) ( s k c H ) ( R e c H + c L + k c H k c L ) ( c g + e g 1 e g 2 ) k c H s R e + ( 1 k ) ( c H c L ) + c g + e g 1 e g 2
(0, 0, 1) c g ( G + s k c L ) ( R e c H + c L ) G + R e c H + c L c g + s k c L
(1, 0, 1) c g ( s k c L ) ( R e c H + c L + k c H k c L ) c g s + k c L + R e ( 1 k ) ( c H c L )
(0, 1, 1) ( G + s k c H ) ( R e c H + c L ) ( c g + e g 1 e g 2 ) G R e + c H c L + s k c H c g e g 1 + e g 2
(1, 1, 1) ( s k c H ) ( R e c H + c L + k c H k c L ) ( c g + e g 1 e g 2 ) k c H s R e + ( 1 k ) ( c H c L ) c g e g 1 + e g 2
( x 1 , y 1 , 0) D e t 1 T r 1
( x 2 , y 2 , 1) D e t 2 T r 2
( c g G 1 ( x ) , 0, s + k c L G 1 ( x ) ) D e t 3 T r 3
( c g + e g 1 e g 2 G 1 ( x ) , 1, s + k c H G 1 ( x ) ) D e t 4 T r 4
( x 4 , y 4 , z 4 ) D e t 5 T r 5
where D e t 1 = ( R e c H + c L ) ( R e ( 1 k ) ( c H c L ) ) ( s k c H ) ( s k c L ) ( ( k c g G 1 ) ( c H c L ) + ( s k c L ) ( e g 1 e g 2 ) ) k 3 ( c H c L ) 3 , T r 1 = ( k c g G 1 ) ( c H c L ) + ( s k c L ) ( e g 1 e g 2 ) + R e G 1 k ( c H c L ) , D e t 2 = ( R e c H + c L ) ( R e ( 1 k ) ( c H c L ) ) ( G 1 + s k c H ) ( G 1 + s k c L ) ( ( c H c L ) ( k c g G 1 ) ( G 1 + s k c L ) ( e g 1 e g 2 ) R e G 1 ) k 3 ( c H c L ) 3 , T r 2 = ( ( G G k + k ( G 1 k c g ) ) ( c H 2 + c L 2 ) ( k c L ) 2 ( e g 1 e g 2 ) + G R e 2 + c L ( G ( 2 k ) R e + G 1 k R e + k ( G 1 + s ) ( e g 1 e g 2 ) ) , + c H ( 2 G c L ( k 1 ) 2 k c L ( G 1 k c g ) + R e ( G ( k 2 ) G 1 k ) + k ( 2 k C L G 1 s ) ( e g 1 e g 2 ) ) ) / ( k 2 ( c H c L ) 2 ) , D e t 3 = c g ( c g G 1 ) ( c g G G 1 2 ) ( R e G 1 ( c H c L ) ( G 1 k c g ) ) ( k c L s ) ( s k c L + G 1 ) G 1 5 , T r 3 = ( c H c L ) ( 1 + k c g G 1 ) + R e + c g G ( c g G 1 ) ( k c L s ) G 1 3 , D e t 4 = ( c g + e g 1 e g 2 ) ( c g + e g 1 e g 2 G 1 ) ( ( c g + e g 1 e g 2 ) G G 1 2 ) ( R e G 1 ( c H c L ) ( G 1 k ( c g + e g 1 e g 2 ) ) ) ( k c H s ) ( s k c H + G 1 ) G 1 5 , T r 4 = ( c H c L ) ( G 1 k ( c g + e g 1 e g 2 ) ) G 1 R e + ( c g + e g 1 e g 2 ) G ( c g + e g 1 e g 2 G 1 ) ( k c H s ) G 1 3 , D e t 5 = ( ( R e c H + c L ) ( R e ( 1 k ) ( c H c L ) ) ( R e G 1 ( c H c L ) ( G 1 k c g ) ) ( R e G 1 ( c H c L ) ( G 1 k ( c g + e g 1 e g 2 ) ) ) ( ( c H c L ) ( k c g G 1 ) , + ( s k c L ) ( e g 1 e g 2 ) + R e G 1 ) ( ( c H c L ) ( k c g G 1 ) ( G 1 + s k c L ) ( e g 1 e g 2 ) R e G 1 ) ) / ( ( k ( c H c L ) ( e g 1 e g 2 ) ) 3 G 1 ) , T r 5 = G ( R e c H + c L ) ( R e ( 1 k ) ( c H c L ) ) ( ( k c g G 1 ) ( c H c L ) + ( s k c L ) ( e g 1 e g 2 ) + R e G 1 ) k 2 ( c H c L ) 2 ( e g 1 e g 2 ) G 1 .
Disclaimer/Publisher’s Note: The statements, opinions and data contained in all publications are solely those of the individual author(s) and contributor(s) and not of MDPI and/or the editor(s). MDPI and/or the editor(s) disclaim responsibility for any injury to people or property resulting from any ideas, methods, instructions or products referred to in the content.

Share and Cite

MDPI and ACS Style

Yang, X.; Dai, X.; Zhang, Y. The Government Subsidy Policies for Organic Agriculture Based on Evolutionary Game Theory. Sustainability 2024, 16, 2246. https://doi.org/10.3390/su16062246

AMA Style

Yang X, Dai X, Zhang Y. The Government Subsidy Policies for Organic Agriculture Based on Evolutionary Game Theory. Sustainability. 2024; 16(6):2246. https://doi.org/10.3390/su16062246

Chicago/Turabian Style

Yang, Xingyi, Xiaopei Dai, and Yijing Zhang. 2024. "The Government Subsidy Policies for Organic Agriculture Based on Evolutionary Game Theory" Sustainability 16, no. 6: 2246. https://doi.org/10.3390/su16062246

APA Style

Yang, X., Dai, X., & Zhang, Y. (2024). The Government Subsidy Policies for Organic Agriculture Based on Evolutionary Game Theory. Sustainability, 16(6), 2246. https://doi.org/10.3390/su16062246

Note that from the first issue of 2016, this journal uses article numbers instead of page numbers. See further details here.

Article Metrics

Back to TopTop