Next Article in Journal
Achieving Net Zero Condominiums through Energy Community Sharing
Previous Article in Journal
Three-Dimensional Point Cloud Denoising for Tunnel Data by Combining Intensity and Geometry Information
 
 
Font Type:
Arial Georgia Verdana
Font Size:
Aa Aa Aa
Line Spacing:
Column Width:
Background:
Article

Research on the Co-Creation Mechanism of Geographical Indication Industry Value Based on Evolutionary Game Analysis

1
School of Management, Huazhong University of Science and Technology, Wuhan 430074, China
2
Department of Management Engineering and Equipment Economics, Navy Engineering University, Wuhan 430030, China
*
Author to whom correspondence should be addressed.
Sustainability 2024, 16(5), 2075; https://doi.org/10.3390/su16052075
Submission received: 18 December 2023 / Revised: 15 February 2024 / Accepted: 28 February 2024 / Published: 1 March 2024
(This article belongs to the Section Sustainable Urban and Rural Development)

Abstract

The success of the geographical indication industry relies on the collaborative value creation among its stakeholders. This article presents an evolutionary game model for the triad of associations, firms, and peasant households in the geographical indication industry. The model examines their strategic choices and analyzes the impact of profitability, scale factors, and premium factors across different developmental stages. The study uncovers that while all parties may display collective behavior, there are variations specific to each stage. In periods of low profitability, firms tend to adopt a more cautious approach, while peasant households prioritize overall benefits. Both scale factors and premium factors guide the game towards positive strategies. Consequently, it is recommended to strengthen associations’ leadership role by fostering firm accountability in quality governance, reducing costs and risks associated with peasant household participation, safeguarding their rights and interests, enhancing economies of scale for geographical indication products, and bolstering competitiveness and sustainability.

1. Introduction

Rural revitalization is a national strategy in China aimed at achieving coordinated development between urban and rural areas, improving the living standards of peasant households, protecting agricultural cultural heritage, and promoting ecological civilization [1]. Industrial revitalization is an important component of rural revitalization and serves as a key driving force for rural development [2]. Geographical indication products refer to agricultural products with regional characteristics and cultural connotations that play a crucial role in supporting the revival of rural industries [3]. Social innovation governance represented by geographical indication systems holds significant importance in disseminating new agendas for endogenous rural development and rejuvenating rural areas. The purpose of geographical indications is to protect and maintain local agricultural production, introduce new social, political, and economic transformations, and achieve sustainable development in rural areas through novel forms of governance [4]. The construction of industries related to geographical indications has improved local agriculture and the rural economy [5], but there are various types of geographical indication products with different levels of development [6], resulting in many such products lacking outstanding quality compared to similar non-geographical indication products, leading to low brand premiums [7]. Furthermore, geographical indication products are distinct from ordinary goods due to their stringent geographic limitations and prohibition of arbitrary expansion. The pivotal characteristics of the geographical indication industry lie in its scale and premium pricing, which significantly influence the selection of participants for value co-creation in industry development strategies. The value co-creation model within this industry is determined by resource allocation and utilization pathways that leverage advantageous resources tailored to local conditions, such as industrial scale and premium pricing capabilities, thereby expediting industrial development [8]. Moreover, the heterogeneity inherent in the geographical indication industry also impacts the form of value co-creation among relevant stakeholders [9].
According to current research findings, value co-creation is considered one of the most intricate and elusive concepts in the field of management studies [10]. The production environment of the geographical indication industry redefines value co-creation, placing emphasis on collaborative efforts among participants and their willingness to coordinate roles and responsibilities. This facilitates positive value growth across the entire geographical indication industry [11]. Hence, the current focal point of management research lies in devising strategies to foster active industry-wide engagement in the development of geographical indications [12]. More specifically, we focused on three things, by transcending international comparisons and delving into critical inquiries and recommendations for enhancing the geographical indication system [13,14,15]. This study examines the structure and driving forces behind geographical indication development from the perspective of industrial producers, with a focus on key components including peasant households, firms, and associations involved in production [16]. Previous studies have primarily focused on examining the impact of various factors, including cooperative size, whether the peasant household’s cooperative serves as a demonstration community, independent branding presence, educational level of the chairman of the peasant household cooperative, and government technical guidance and support policies on the operational performance of peasant household cooperatives. It is particularly noteworthy that geographical indication certification can significantly enhance the operational performance of agricultural products produced by these cooperatives [17]. Alternatively, the research could exclusively concentrate on a single entity, such as classifying authentic cooperatives, shell cooperatives, de facto private agricultural conglomerates, non-operational cooperatives, and failed cooperatives [18]. Different types of individuals also exhibit distinct collective network structures. There exists a dynamic interplay among the internal structures of industry construction entities, peasant households’ associations, and firms.
Furthermore, the geographical indication industry aligns with the industrial life cycle, presenting a progressive trajectory that fosters growth, development, and integration [19]. The industrial life cycle is typically categorized into four stages: the pioneering stage, expansion stage, leadership stage, and renewal stage [20]. The distinction among these four periods lies in the disparity between input and output [21]. In the early stages of development, despite lacking immediate returns, continuous investment is imperative for the construction of the geographical indication industry. As the industry progresses and brands mature, the prominence of the brand premium gradually emerges [22]. Therefore, it is imperative to establish dynamic game analysis scenarios and explore the internal dynamics among peasant households, associations, and firms, based on varying input–output ratios within the industrial cycle.
Lastly, there is a vast number of geographical indication products. Furthermore, there are significant differences between various geographical indication industries [23]. However, previous research has predominantly focused on qualitative studies, primarily examining a limited number of products, macro regions, or the impact of geographical indications on individual farm performance. This restricted evidence base at the meso-territorial level impedes policymakers from accessing comprehensive information to inform their decision-making in this field [24]. When promoting high-quality development of geographical indication product industries and establishing effective operational mechanisms for these industries, it is imperative to consider not only the uniqueness specific to this sector—such as balancing different construction entities or addressing uncertainties related to providing public services—but to also fully acknowledge its heterogeneity encompassing factors like industrial scale and premium attributes associated with geographical indication products [25]. Specifically speaking, by examining how varying scales and premiums of geographic indicator products affect local governance organizations responsible for overseeing geographic indicators, a more diverse range of strategies can be offered to facilitate stakeholder value co-creation at a local level.
In this context, the objectives of this study are threefold: (1) to examine the interactions and engagement of associations, companies, and peasant households in the geographical indication industry through evolutionary game theory; (2) to investigate the similarities and differences in the evolutionary game among associations, companies and peasant households during various stages of the industry cycle, including the exploration period, expansion period, leadership period, and renewal period; (3) to explore the similarities and differences in the evolutionary game among associations, companies, and peasant households within various geographical indication industries. The categorization of industries is based on factors such as investment return rate [26], industry scale [27], and product premium rate [28]. Subsequently, different scenarios are established according to these influencing factors to examine the strategic choices made by the three key actors involved in geographical indication production across diverse industries. This study reveals their significant roles in promoting high-quality development of GI industries and provides practical guidance for grassroots governance.
The remaining sections of the article are organized as follows. Section 2 comprises a comprehensive literature review. In Section 3, we conduct an analysis and develop a tripartite industry role structure model, make assumptions regarding the parameters involved in co-creating value within geographical indication industries, and establish a tripartite evolutionary game model involving peasant households, firms, and associations. Building upon this foundation, we further explore strategic choices for stakeholders and examine the equilibrium of the model. Section 4 encompasses simulation and discussion to investigate different stages of industrial development, as well as various factors influencing the participation of all three parties in geographical indication industry construction. Section 5 discusses the dynamics of value co-creation in geographical indication industries, emphasizing the importance of stakeholder involvement and the adaptation of strategies according to the industry's life cycle stages for sustainable development. Finally, Section 6 presents conclusions along with managerial insights and outlines prospects for future research.

2. Review of Literature

2.1. Value Co-Creation Based on Game Theory

As a mathematical tool for analyzing decision-making and equilibrium in the direct interaction of decision-makers, game theory can offer valuable insights into value co-creation strategies for stakeholders in the geographical indication industry. Originating from evolutionary biology research [29], game theory has evolved across various disciplines such as economics [30] and engineering [31]. Evolutionary game theory is considered more realistic and accurate compared to classical game models [32]. The study of tripartite evolutionary games and value co-creation explores how different stakeholders interact and cooperate to generate value in diverse contexts like crowdfunding, food delivery platforms, and innovation ecosystems [33], providing references for optimal strategies and patterns of value co-creation among participants [34]. Shizhen Bai employed a poverty alleviation game model involving cooperatives, smart supply chain platforms, and government entities to demonstrate that consumer preferences not only impact the cooperative games between smart supply chains and partners but also influence product demand and prices. Regulatory measures implemented by dominant parties contribute significantly to promoting cooperation among participating entities [35]. Jiali Wang developed a game model involving peasant households’ cooperatives, manufacturers, and retailers to address the issue of unstable cooperation within agricultural supply chains. The research indicates that the stringent regulation of peasant households’ cooperatives facilitates coordination and collaboration among all involved parties [36]. Feixiao Wang’s research has demonstrated that by constructing a tripartite evolutionary game model involving agricultural service providers, peasant households, and the government, the government can effectively incentivize peasant households to actively participate in production through increased incentives and strengthened supervision [37]. Zhang Na established a game model for collaborative governance among the government, third-party governance entities, and peasant households. It was revealed that cost–benefit considerations and incentive mechanisms collectively influence the strategies of all involved parties. Furthermore, by constructing a tripartite evolutionary game between the government, social organizations, and impoverished communities during poverty alleviation processes, it was found that punishment mechanisms can constrain the strategy choices of social organizations and impoverished communities; however, an increase in collective interests enhances cooperation willingness from both sides [38]. Lyu Jingye constructs a three-party cooperative evolutionary game model under the framework of traditional contract management and cooperative relationship handling, with platform companies as leaders. It was discovered that any changes in research and development investments from any party would alter the minimum excess returns acceptable to participating entities [39]. Value co-creation can bring benefits to all participants such as higher income levels, lower costs, better quality outcomes, and more innovation opportunities [40].
The aforementioned research suggests that the utilization of evolutionary game models can effectively address the issue of value co-creation among participating entities. However, two primary challenges exist: (1) The assumption of fully rational players is relatively idealized. In reality, players are often constrained in their rationality by cognitive abilities and the complexity of the game. For instance, variations in geographical indication industries regarding scales and premium rates may have diverse effects on different entities, resulting in disparities between predicted outcomes and actual situations [41]. (2) The dynamic development process of games is disregarded, since many game problems do not rapidly converge to expected equilibria [42]. Building upon these insights, this paper integrates evolutionary game theory with contract rules and relationship rules to construct a three-party evolutionary game model for geographical indication value co-creation, based on governance mechanisms [43]. By employing the model for resolution purposes, conditions for behavioral stability among game participants are derived. Finally, numerical simulations are employed to analyze key factors influencing system evolution processes and stability from multiple perspectives, such as collaborative mechanisms, incentive mechanisms, and trust mechanisms.

2.2. Co-Creating Value in the Geographical Indications Industry

Geographical Indication (GI) serves as a distinctive emblem that underscores the societal and cultural entrenchment of commodities [44], epitomizing specific natural habitats and cultural customs [24]. GI products possess discernible regional and cultural attributes, while the geographical indication industry encompasses the collective efforts involved in their production and commercialization. Primarily, the cultivation and advancement of this industry hinges upon a social network comprising diverse stakeholders such as peasant households, businesses, associations, and governments [12]. The heterogeneous development of industries associated with geographical indication products also engenders varied models for stakeholder collaboration in value co-creation [45]. Commonly observed models include the ‘company + professional cooperative organization + base + peasant households’, ‘company + professional cooperative organization + peasant households’, or the ‘professional cooperative organization + peasant households’ four-in-one ‘parent–child trademark’ management organizational model [46]. The current research focuses on the formation process and mechanism of regional brands utilizing characteristic agricultural products from specific regions. Key factors influencing industry development include government policies and actions, the communication and coordination abilities of industry associations, entrepreneurial capabilities, the maturity of professional cooperative organizations, the willingness and capabilities of peasant households, brand technological strength, and technology promotion abilities [47]. Ingram V conducted stakeholder interviews, market surveys, and participatory action research to assess the extent to which geographical indications benefit peasant households in specific honey geographical indication product cases [32]. The sustainable development of geographical indication industries should prioritize ecology and necessitate broad social participation. In this regard, government policies and actions, the communication and coordination abilities of industry associations, entrepreneurial capabilities, the maturity of professional cooperative organizations, the willingness and capabilities of peasant households, and brand technological strength, as well as technology promotion abilities, are also influential factors for industry development. Therefore, the level of organization in geographical indication industries depends on member structure and participation behavior [48].
There are two primary objective factors that constrain the behavior of entities in the geographical indication industry. Firstly, the scale of geographical indication industries is a crucial aspect to consider. Geographical indication products have a significant connection to specific lands and cannot be produced or expanded without restrictions elsewhere. However, producers aim to maximize profits [49]. Therefore, it is beneficial for the moderate development of geographical indication products in order to achieve maximum benefits and maintain quality standards. Adhering to the principle of “less quantity, superior quality, higher price” is essential for preserving their brand image and measuring industry success [50]. Secondly, the premium rate of geographical indication products plays a vital role in reflecting their quality difference from ordinary goods within the same category and indicating levels of development or successful brand cultivation within geographic indications industries. A high premium rate not only enhances producers’ motivation for cooperation but also encourages increased participation in geographic indications organizations and cooperatives. Through joint promotion and protection efforts, producers can share economic benefits brought by premiums while enhancing overall market competitiveness [51].
In summary, the development of the geographical indication-related product industry involves multiple entities. However, existing research predominantly focuses on top-down studies and discussions or specific case studies. This is primarily evident in two aspects: (1) Scholars typically prioritize systematic research on innovative ecosystem governance mechanisms but overlook the analysis of behavioral strategies adopted by system members. The formulation of geographical indication governance mechanisms may prompt strategic choices for innovation actors, such as how different situations of geographical indication products impact the stability of system evolution; (2) Existing literature often emphasizes a static perspective and lacks dynamic analysis. Innovative ecosystems possess characteristics of dynamism, habitat, and growth. Innovation actors are not entirely rational during cooperation processes and undergo multiple learning experiences and adjustments based on scenarios. Evolutionary game theory highlights “bounded rationality” and dynamic evolutionary process analysis, making it highly applicable to studying behavioral strategies employed by innovation actors in innovative ecosystems. Although there have been actor analyses from different perspectives within the geographical indication industry chain, such as government, consumers, firms, etc., what sets apart the geographical indication industry is the non-proprietary nature of geographical indication intellectual property rights. Therefore, value co-creation strategies among peasant households’ associations and firms constitute the most distinctive organizational structure within the geographical indication industry.

3. Methods

3.1. Problem Description and Model Construction

The geographical indication association, firms, and peasant households are the three key stakeholders in the geographical indication industry. Their collaboration and value creation play a crucial role in driving the development of this industry. However, during the process of protecting and utilizing geographical indications, all three face practical challenges, including imperfect legal systems for geographical indication protection, lack of dynamism among market entities, and insufficient benefits for peasant households. Many industry associations suffer from inadequate reserves due to establishment conditions and improper management [52]. Firms are constrained by factors such as funding, technology, talent, and market access which hinder their ability to achieve scale-intensive branding development of geographical indication products [16]. Consequently, there is a lack of vitality among market entities that impedes innovation and competitiveness within the geographical indication industry. Geographical indication peasant households form the foundation and source of these products; however, they encounter issues such as low awareness and capacity regarding intellectual property rights, as well as an incomplete mechanism for benefit sharing during the process of protecting and utilizing geographic indications [53].
Based on the aforementioned considerations, this paper constructs an evolutionary game model among associations, peasant households, and companies to explore the motivation mechanism for value co-creation among these three entities (see Figure 1). The industry association supervises and manages product quality, regulates the behavior of geographical indication users, maintains the effectiveness of geographical indications, and influences the standardization and effectiveness of geographical indication management through formulating usage management rules. Companies actively engage in production to enhance the economic benefits associated with geographical indications. Peasant households participate in cultivation to obtain premium benefits at the forefront of geographical indications but may also discontinue planting or production due to insufficient profits. There exist disparities in production resources and capabilities among these three entities, as well as variations in their positions and functions within the industrial ecosystem. By simulating the interaction between producers (peasant household, firms and associations) of geographical indication origin, this paper analyzes their decision-making behavior and interaction mechanism. This can describe complex connections between agents under different conditions and predict the outcome of interactions.
Associations, peasant households, and firms have different action decisions regarding geographical indications. These entities are rational but not completely rational, and their decisions are influenced by other entities. Therefore, based on bounded rationality and limited information, evolutionary game theory can precisely describe the evolution of population behavior and predict individual decision-making behavior. The specific game strategies are shown in Table 1.
Assumption 1.
In the co-creation of geographical indication value, a strategic game unfolds among three key entities: associations, peasant households, and firms. Each entity possesses its own set of strategic choices. The association can opt for active participation in geographical indication management or adopt a passive approach, with probabilitiesβ and 1 −β, respectively. Peasant households can choose to actively engage in production with probabilityγ or decide not to participate with probability 1 −γ. Firms can select whether to actively utilize geographical indications and engage in related product production within the field with probabilityα or refrain from using geographical indications for production with probability 1 −α. All three entities are considered bounded rational individuals who will determine their strategies based on the decisions made by other entities.
Assumption 2.
The association incurs a cost of C0 when actively managing geographical indications. If companies actively utilize the indication, the association gains a benefit of E0. Active participation by peasant households in the cultivation or production of geographical indication products allows the association to obtain benefits of E1 and additional benefits ΔE1. However, if peasant households do not actively participate in cultivating or producing geographical indications, then the association will receive benefits A1. In cases where companies do not actively use the indication but peasant households still engage in its cultivation or production, then the association can gain benefits A2. However, if peasant households also do not participate in cultivating or producing geographical indications, then there will be no benefit for the association. When no action is taken by the association but companies actively use geographic indications and peasant households are involved in production activities, it will receive geographic indication income E2 and spillover income ΔE2. If companies do not utilize geographic indications while peasant households are engaged in their production activities without participation from other stakeholders within the community (the “tragedy of commons” scenario), instead of benefiting from it, there will be a loss L1 imposed on the association as punishment for neglecting effective management of this common resource.
Assumption 3.
If a company actively utilizes geographical indications (GIs), it incurs a cost denoted as M0. Under this circumstance, when the association proactively manages the GIs, the company can attain a benefit denoted as B0. If peasant households actively participate in GI cultivation or production, the company can obtain an additional benefit represented by D0. However, if peasant households do not actively engage in GI development, the company will only receive a benefit of B1. When the association takes no action and peasant households enthusiastically participate in GI production and cultivation, employing GIs will result in a cost of M1 for the company but yield a benefit of B2. Conversely, if peasant households do not participate in GI development, then the company will receive benefits indicated by D2. In cases where companies do not utilize geographical indications and associations implement encouraging policies to promote peasant household engagement in GI cultivation or production, companies will enjoy spill-over benefits symbolized by F2. Nevertheless, if peasant households choose not to participate in GI industry development under such circumstances, then companies will receive benefits represented by F3. If associations take no action and peasant households energetically partake in construction projects related to GIs, companies will gain benefits depicted as D3; however, if peasant households opt out from participation, companies will incur losses illustrated as F5.
Assumption 4.
When peasant households actively participate, they incur an investment cost of I0. Under the active management of the association in the geographical indication industry, if firms actively engage in construction, peasant households can receive returns of G0 and spillover benefits H0. If firms do not participate in the construction of the geographical indication industry, peasant households will receive returns of G0. In case the association takes no action and firms actively participate in constructing the geographical indication industry, peasant households can obtain returns of G2. If neither party acts accordingly and firms do not engage in constructing this industry, peasant households can obtain returns of G3. When peasant households do not participate in geographical indication construction but the association proactively manages it and firms actively engage in constructing this industry, both parties will benefit from S1 (primarily due to local economic development brought by positive externalities from geographic indications). If the association takes no action but firms still use indications effectively at their own discretion, they can gain spillover benefits denoted as S2. Generally speaking, S2 < S1. However, if the association is proactive while businesses are not using indications effectively or participating fully with them then peasant households will only receive benefits worth S3; furthermore, if neither party acts accordingly there would be a loss for peasant households represented by I4.
Based on the aforementioned analysis, an evolutionary game model can be formulated to facilitate value co-creation within the geographical indication industry, as delineated below:
① Modeling the anticipated income of the association.
If the association opts for an active management approach to shape return expectations for landmarks as UG1, while adopting a passive stance towards return expectations as UG2, then:
U G 1 = y z δ C 0 + δ E 0 + δ E 1 + λ Δ E 1 + y ( 1 z ) δ C 0 + δ A 1 + ( 1 y ) z δ C 0 + δ A 2 + ( 1 y ) ( 1 z ) δ C 0
U G 2 = y z ( δ E 2 + Δ E 2 ) + y ( 1 z ) δ E 4 + z ( 1 y ) ( δ E 3 + λ Δ E 3 ) + ( 1 y ) ( 1 z ) ( δ L 1 )
The association’s mixed strategy, which represents the average expected return of two strategies U G ¯ , can be formulated as follows:
U G ¯ = x U G 1 + ( 1 x ) U G 2
② Modeling the anticipated income of the firm.
If a company chooses to utilize the expected return of an underlying asset as UN1, while deciding not to employ the projected return of said asset as UN2, then we obtain:
U N 1 = x z ( δ M 0 + δ B 0 + δ D 0 ) + z ( 1 x ) ( δ M 0 + δ B 2 ) + x ( 1 z ) ( δ M 1 + δ B 1 ) + ( 1 x ) ( 1 z ) ( δ M 1 + δ D 2 )
U N 2 = x z λ F 2 + x ( 1 z ) δ F 3 + z ( 1 x ) δ D 3 + ( 1 z ) ( 1 x ) ( δ F 5 )
The mixed strategy of a company, which represents the average expected return derived from two strategies U N ¯ , can be formulated as follows:
U N ¯ = y U N 1 + ( 1 y ) U N 2
③ Modeling the anticipated income of peasant households.
Assuming that the anticipated benefits for peasant households actively participating in landmark construction are denoted as UA1, and the anticipated benefits for those choosing not to actively participate are denoted as UA2, we have:
U A 1 = x y ( δ I 0 + δ G 0 + λ H 0 ) + ( 1 x ) y ( δ I 0 + δ G 2 ) + x ( 1 y ) ( δ I 0 + δ G 1 ) + ( 1 x ) ( 1 y ) ( δ I 0 + δ G 3 )
U A 2 = x y λ S 1 + ( 1 x ) y λ S 2 + x ( 1 y ) λ S 3 + ( 1 x ) ( 1 y ) ( δ I 4 )
The mixed strategy of peasant households, which represents the average expected return derived from two strategies U A ¯ , can be formulated as follows:
U A ¯ = z U A 1 + ( 1 z ) U A 2
Due to space constraints, a detailed stability strategy analysis of the three major entities is provided in the Appendix A.1.

3.2. Analysis of System Stability Strategies

Based on the aforementioned analysis, it can be inferred that diverse evolutionary strategies exist among associations, firms, and peasant households under varying initial. The equilibrium state of the system denotes a harmonized condition where the replication behavior of associations, firms, and peasant households remains unaltered in terms of probability for strategy selection.
Based on the above analysis, when F ( x ) = 0 , F ( y ) = 0 , F ( z ) = 0 , we obtain nine equilibrium points:
E1 = (0, 0, 0), E2 = (1, 0, 0), E3 = (0, 1, 0), E4 = (0, 0, 1), E5 = (1, 1, 0), E6 = (1, 0, 1), E7 = (0, 1, 1), E8 = (1, 1, 1), E9 = (z*, x*, y*), E9 is a mixed Nash equilibrium solution.
If the equilibrium point is asymptotically stable in a three-player evolutionary game, it must be a pure strategy Nash equilibrium solution. Therefore, it is sufficient to assess the asymptotic stability of only eight pure strategy equilibria. The stability of strategies in an evolutionary game is determined by the eigenvalues of the Jacobian matrix. In this three-player game, we employ the Jacobian matrix (as is shown in Appendix A.2), then we can obtain the local stability analysis of equilibrium points (in Table 2).

4. Simulation and Results

In order to further investigate the mechanism of value co-creation in geographical indication industries, this article establishes parameters based on actual scenarios from multiple cases within a province in central China. The data are standardized before simulating various situations using Matlab software R2021a. Considering the strategies of other parties, the decision-making situation for the third party is initially set at 0.5 with a step size of 0.1 when both other parties’ strategies are set at 0.2, 0.5, and 0.8, respectively. The simulation then models temporal changes in the decision-making situation for the third party. The setting of scenario parameters is shown in Table 3.

4.1. Geographical Indication Industries in the Mature Stage of Development

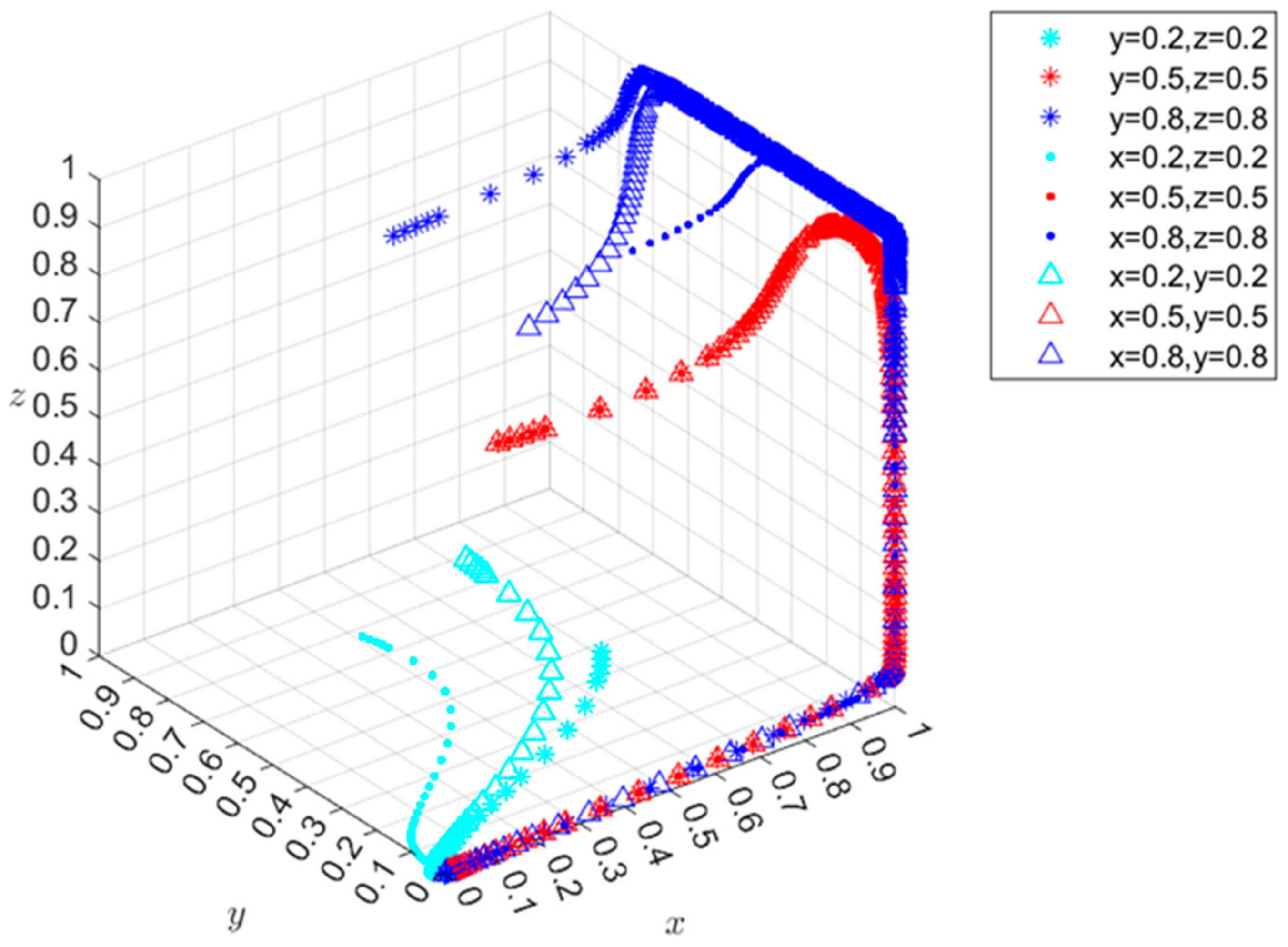
Situation 1 (Figure 2) represents a stage of relatively advanced development in geographical indications. In this scenario, the three parties involved—associations, firms, and peasant households—invest more than they gain. There are also spill-over effects and penalty mechanisms present. Taking associations as an example, when all three entities adopt proactive strategies, the association actively manages the cost of building geographical indications at 120 (i.e., C0 = 60, δ = 2), but can achieve a return of 295. If firms do not actively utilize these indications while the association and peasant households adopt proactive strategies, the association still incurs a cost of 120 but gains only 160 in return. Furthermore, if both the association and firms do not take proactive measures and only peasant households participate actively in building geographical indications, then the association can obtain a spill-over return of 92.5 while peasant households receive a spill-over benefit of 40; in this case, the premium adjustment factor is set at 0.5. Moreover, when all three parties choose non-proactive strategies, penalties will be imposed on the association resulting in losses amounting to 70 units.
In Scenario 1, the strategic choices of the three main entities demonstrate convergence. Taking associations as an example, when both companies and peasant households have a probability of selecting proactive strategies at 0.2, the evolutionary trajectory of the association exhibits a similar pattern to that of the companies and peasant households. From time point 0 to 0.1, there is a rapid improvement in the association’s decision-making behavior from its initial value, reaching its maximum value with a probability of 1 at time point 0.1. This indicates that when both companies and peasant households initially have a probability of choosing proactive actions as 0.2, the association’s likelihood of opting for proactive strategies also rapidly increases from its initial value and reaches a probability of 1 within a short period.

4.2. The Situation of Geographical Indication Industries during the Period of Industrial Development

The second scenario represents the initial stage of development in the geographical indication industry. In comparison to the first scenario, all three parties involved—associations, firms, and peasant households—experience reduced profits in the second scenario. Associations also incur higher costs for cultivating the geographical indication industry compared to the mature stage. If both other major entities adopt proactive strategies, associations will generate slightly higher income relative to costs, as will firms and peasant households. Furthermore, spill-over effects and penalty effects are observed.
From the perspective of the three main strategic evolution diagrams (as depicted in Figure 3), there exists an imitation effect among the strategic choices of the three major entities. Specifically, when both companies and peasant households have a low probability of choosing a proactive strategy, the association also tends to refrain from selecting a proactive strategy. In this context, for associations, as both companies and peasant households exhibit a 0.2 probability in opting for a proactive strategy, the likelihood of associations utilizing positive targets gradually approaches zero. At time 0.1, it reaches its minimum with a probability of zero. The evolutionary pattern observed in peasant households’ strategic choices is similar to that of the associations’. For companies, when both associations and peasant households initially have a 0.2 probability in choosing a proactive strategy, companies gradually decrease their initial probability and tend towards zero by time unit 0.9. When setting initial probabilities for both associations and peasant households at 0.5 in selecting a proactive strategy, the third entity also leans towards adopting such an approach. Taking associations as an example again; when both companies and peasant households have a 0.5 probability in selecting a proactive strategy, the association’s likelihood of embracing such an approach rapidly tends towards one at time unit 0.1, i.e., adopting an active target-setting policy. The same trend occurs when setting it as 0. This demonstrates that there is imitation among these three major entities’ strategies. Comparatively speaking, companies display the smallest slope in their evolutionary decline and are therefore influenced least significantly by external factors.
As depicted in Figure 2 and Figure 3, the interactions among associations, firms, and peasant households in the development of geographical indication industries exemplify their mutual reinforcement in co-creating industry value. The interaction between peasant households and associations exerts a significant impact, while firms’ proactive utilization of labels demonstrates lower sensitivity to the initial state of other participants. Consequently, during the exploratory phase, there exists a higher threshold for value co-creation behavior. Presently in China, registration protection and application promotion of geographical indications primarily rely on geographical indication associations with generally active involvement from other participants. As stakeholders within an interest community, these three principal entities exhibit imitation effects when actively engaging or governing behaviors occur. Henceforth, it becomes imperative for the government to promote tool utilization within geographical indication systems to stimulate innovation across related industries and disseminate geographical indication culture effectively. This entails providing open participation platforms and opportunities for all involved parties, leveraging digital infrastructure to facilitate information flow through diverse channels, incentivizing active engagement from relevant stakeholders, and fostering cooperation among them. Additionally, optimal market access mechanisms should be optimized to cultivate an open and equitable environment. This approach will serve as a foundation for effectively monitoring the development of industries associated with geographical indication products as well as decision-making processes.

4.3. Development Status of the Geographical Indication Industry

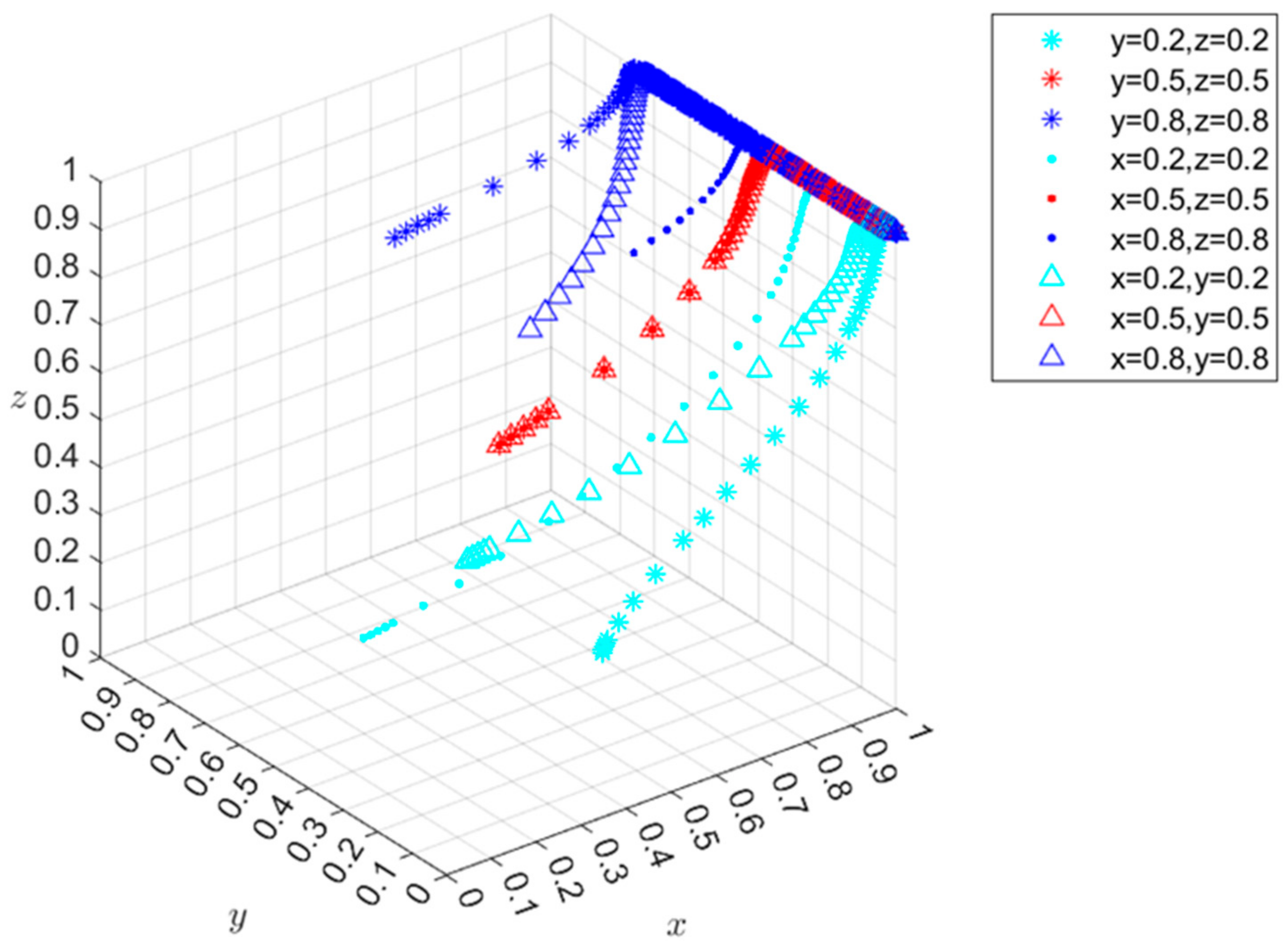
Scenario 3, similar to Scenario 2, represents the developmental stage of the geographical indication industry. In comparison to Scenario 2, the association experiences an increase in its investment costs. As awareness regarding geographical indications expands, companies exhibit a greater willingness to invest higher costs in the research and development of related geographical indication products. Consequently, company costs (M1) also double during this stage. However, due to the ongoing rapid growth phase, more firms seize this opportunity resulting in less pronounced or even slightly diminished benefits. The association’s profits also do not witness significant improvement. From the peasant households’ perspective, the purchasing price for raw materials with geographical indications escalates along with their output–input ratio. Therefore, S3 is assigned a value that is twice as high as that in Scenario 2.
From the three-dimensional graph of the tripartite game (Figure 4), it is evident that both associations and peasant households’ strategic choices exhibit a temporal dependency. Taking associations as an example, when both firms and peasant households initially opt for a proactive strategy with a value of 0.2, the likelihood of associations selecting a proactive management approach for landmarks tends to diminish at time 0.1 units; when both firms and peasant households initially choose a proactive strategy with a value of 0.5, the probability of associations adopting a proactive management strategy for landmarks shows an initial decline followed by an increase, reaching its lowest point at 0.35 at time 0.1 and attaining its maximum value of 1 at time 1.2, indicating an initial passive trend followed by an active trend in this stage for associations’ behavior dynamics. In contrast, peasant households participating in this evolutionary process alongside firms and associations display an opposite pattern where their involvement first increases and then decreases, suggesting peasant households’ inclination towards proactiveness initially. As for firms under Scenario 3 conditions, regardless of whether the initial values of the other two entities are set to be either 0.5 or 0.8, they ultimately tend not to actively employ landmark strategies with probabilities approaching zero. Therefore, it can be observed that during the expansion period, potential early benefits can mobilize peasant households’ proactiveness; however, there is also a risk of decreased proactiveness among firms in this stage which necessitates intervention from associations to sustain their levels.

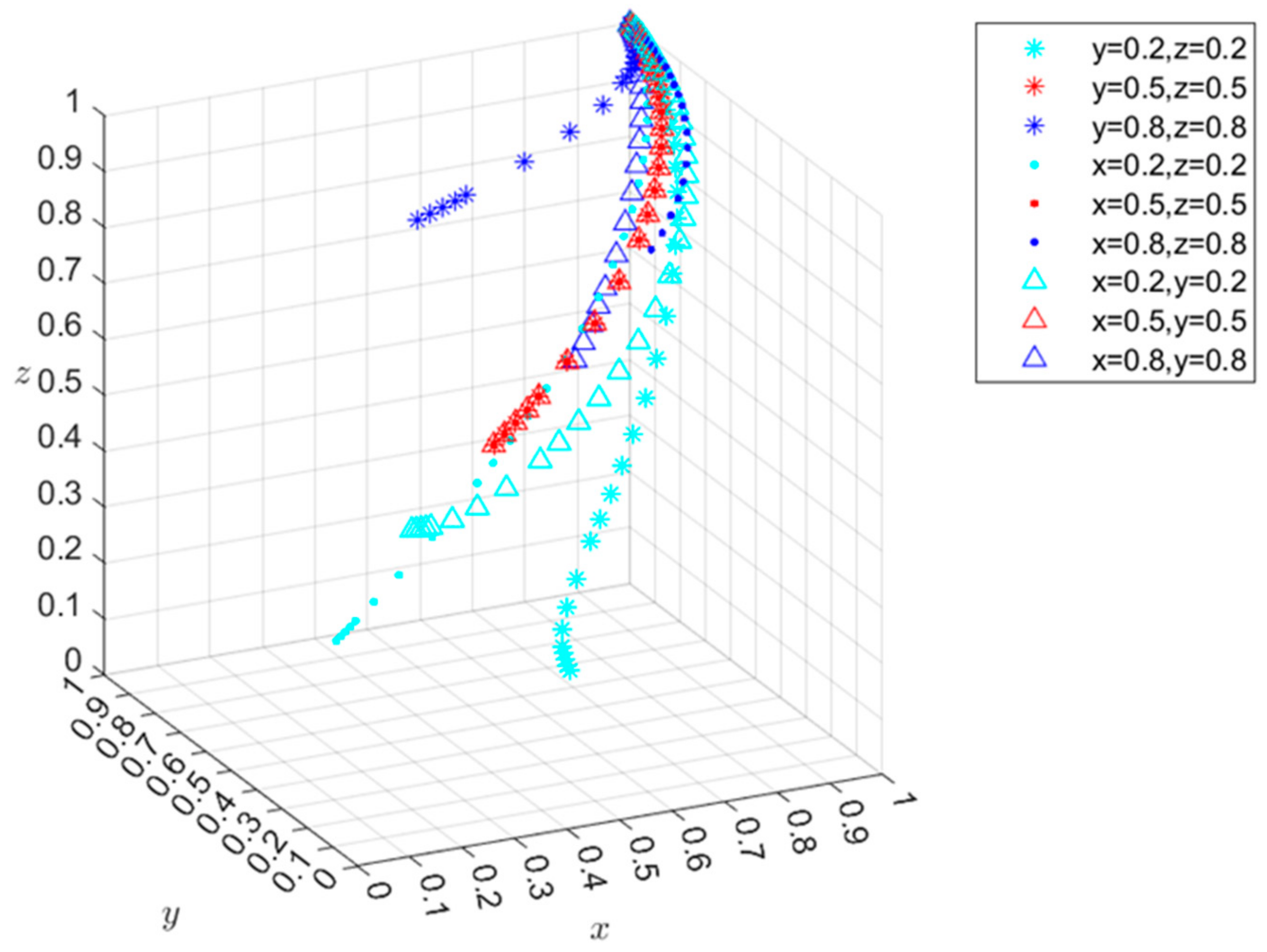
4.4. The Impact of Corporate Profitability on Evolutionary Outcomes

The impact of corporate profitability on evolutionary outcomes is investigated in Context 4. Referring to Context 1, the utilization of higher-cost targets by companies leads to a lower cost for peasant households participating in landmark construction. Figure 5 illustrates distinct strategies adopted by the three main entities involved. Notably, both the association and peasant households exhibit a similar trajectory in strategy selection. Taking the association as an example, when the initial probability of active strategy selection for both companies and peasant households is 0.2, the association’s probability rapidly increases and reaches its maximum value of 1 at time unit 0.2. Conversely, for companies, when both associations and peasant households have an initial probability of choosing an active strategy at 0.2, their probability decreases rapidly and reaches its lowest value of 0 at time unit 1.7. Figure 2 and Figure 4 demonstrate how corporate profitability influences strategy selection among these three parties engaged in geographical indication products. The higher the rate of return for firms, the greater the likelihood that they, associations, and peasant households will opt for proactive strategies. Among these stakeholders, firms are primarily influenced by the rate of return, followed by associations to a lesser extent, and peasant households to an even lesser extent. This highlights the significance of the rate of return as a driving force for firms’ active engagement in producing and utilizing geographical indication products, while also serving as a core competitive advantage for such products. Consequently, it is crucial for firms to lead and guide quality construction efforts related to geographical indications. Firms should fully leverage their autonomous innovation capabilities to enhance both the quality and value of geographical indication products in order to strengthen their market competitiveness.

4.5. Impact of Peasant Households’ Income on the Evolution Outcome

Scenario 5 is derived from Scenario 4, incorporating an additional cost for peasant households’ active involvement in landmark construction and a reduction in the benefits (S1 and S3) they receive from non-participation. In this scenario, irrespective of the strategies employed by associations and peasant households, companies tend to adopt a passive approach (as depicted in Figure 6). As the cost for peasant households’ active participation increases and the benefits from non-participation decrease, the driving force for companies significantly diminishes. Regardless of the strategies chosen by associations and peasant households, companies are inclined towards adopting a passive approach. For instance, when both the association’s and the peasant household’s probabilities of selecting an active strategy are 0.5, the company’s probability of choosing an active strategy reaches its nadir at time unit 0.4 and remains at zero thereafter indicating the abandonment of utilizing geographical indications. This illustrates that peasant household participation and benefits play a pivotal role in fostering sustainable development of geographical indications; only by reducing barriers to peasant household participation and augmenting their income levels can we effectively stimulate grassroots governance.

4.6. Effects of Industrial Scale on Evolutionary Outcomes

In Scenario 6, under the conditions of Scenario 5, adjusting the scale factor results in an evolutionary trajectory as shown in Figure 7 when the scale factor increases by a factor of ten while maintaining a premium factor of 0.5.
Taking associations as an example, when both firms and peasant households adopt a proactive strategy with an initial value of 0.2, the probability of the association choosing a proactive strategy will rapidly increase from the initial value of 0.2 and reach its maximum at a time unit of 0.1, indicating their preference for proactive actions as their strategic choice. This holds true for other scenarios as well, demonstrating that when the premium factor significantly influences weights, all three major parties tend to opt for proactive strategies. Figure 7 further illustrates that the scale factor of geographical indication products has a substantial positive impact on the association’s profitability and influence. Therefore, in the early stages of developing geographical indication industries, it is crucial for associations to take leadership roles and coordinate efforts to guide and incentivize participation from other stakeholders. Additionally, Figure 7 highlights the influential role played by economies of scale in altering the trajectory of strategic evolution in tripartite games when scale factors experience exponential growth. Regardless of each party’s initial proportions in choosing proactive strategies, they ultimately converge towards adopting such strategies to achieve optimal outcomes in collaborative governance once the scale factor increases tenfold. This underscores that economies of scale serve as an important driving force behind tripartite parties’ choices for proactive strategies and represent a key factor in achieving sustainable agricultural development.

4.7. Effect of Product Premium Rate on Evolutionary Outcomes

Scenario 7 is based on Scenario 6, with adjustments made to the scale factor and premium factor. When the scale factor is set at 20 and the premium factor at 2, the evolution trajectory shown in Figure 8 is obtained.
The three major entities also demonstrate a tendency towards imitation in their strategic choices. When the proactive strategies chosen by the other two entities have initial values of 0.2, the strategy of the third entity gradually decreases from its initial value of 0.2 and eventually converges to 0. In contrast to Figure 7, where scale factors do not exert influence, an increase in premium factors raises participation thresholds as well. All three parties adopt a passive strategy when both other parties have a low probability of active participation; however, they actively engage in geographical indication construction when there is a 0.5 probability of active participation by both other parties.

5. Discussion and Revelation

5.1. Discussion

The relationship among peasant households, associations, and firms constitutes a robust framework for analyzing the intricate interconnections involved in value co-creation within geographical indication industries at the production stage, thereby overcoming fragmented management practices [53,54,55]. Different strategic choices have been made by associations, firms, and peasant households, leading to variations in collaboration at each stage. However, the active involvement of stakeholders in co-creating knowledge has remained limited so far, resulting in missed opportunities to base innovation processes and policy design on specific knowledge and experiences [56]. The study highlights the dynamic and intricate interaction among stakeholders in industrial bases, which significantly shapes the development of the geographical indication industry. Through qualitative analysis, it becomes evident that stakeholders employ diverse strategies, ranging from cooperative partnerships to competitive positioning, with the aim of achieving value co-creation for geographical indication products. Moreover, this research employs quantitative modeling to elucidate the underlying factors contributing to emerging production patterns such as cooperation, betrayal, and strategic collusion among peasant households, associations, and firms [57], thereby revealing potential mechanisms driving stakeholder behavior.

5.1.1. Situational Perspective

In the mature stage of an industry, all three parties quickly adopt proactive strategies. However, in the exploratory stage of an industry, they may become passive due to the lower likelihood of the other two parties adopting proactive strategies. The sequence of influence is first the association, followed by peasant households and businesses. During the development of an industry, especially in its rapid growth phase, complex dynamic relationships emerge among these three parties. Peasant households demonstrate high levels of activity and tend to actively participate even when there is a lower possibility for involvement from businesses and associations. In contrast, businesses exhibit relatively passive and reactive behavior.

5.1.2. Subject Perspective Influencing Factor Perspective

The action threshold for peasant households is comparatively lower, facilitating their participation in co-creating value within geographical indication industries. Prior research has demonstrated that peasant households are motivated by a diverse range of factors such as economic benefits, problem-solving, curiosity and an inclination towards impartial and reliable research outcomes [58]. From the company’s perspective, prioritizing its interests in the tripartite relationship between associations, firms, and peasant households is the most rational and profit-driven approach. The level of enthusiasm from other participating parties has a relatively limited impact on the active involvement of the company. Commercial pursuits significantly outweigh social responsibility for companies [59]. On the contrary, geographical indications represent a form of collective intellectual property [60]. Value co-creation requires enhancing corporate social responsibility [61]. From the perspective of associations, association management tends to exhibit a formalistic approach and lacks substantive involvement in overall management processes [62]. The empirical findings of this study highlight the indispensable role played by associations in driving the nascent stage of the industry, effectively addressing the challenge of value co-creation within geographical indication industries [63].

5.1.3. Influencing Factor Perspective

From the perspective of industrial influencing factors, namely the scale of the geographical indication industry and product premium, a tenfold increase in the scale factor leads to a tendency for all three parties to adopt proactive strategies, regardless of their initial values for positive strategies. In contrast, an increase in the premium factor raises entry barriers. When both the other parties actively participate or have a low probability of active participation, all three parties maintain passive strategies. The increase in scale factors prompts all entities in the geographical indication industry to lean towards adopting proactive strategies, emphasizing the significance of expanding scale for co-creation strategies [64]. Conversely, the presence of a premium factor acts as an obstacle for all parties seeking to enter the geographical indication industry, indicating that a higher premium rate corresponds to a greater barrier to industry participation [65].

5.2. Theoretical Implications

This article makes three theoretical contributions. Firstly, by incorporating evolutionary game theory, it complements the existing literature on value creation in the geographical indication industry and applies this approach to elucidate how association-peasant household-firm participation can enhance value acquisition in industrial base construction. The existing literature suggests that proactive engagement as a form of co-creation can foster the prosperous development of the geographical indication industry [66], yet overlooks the essential factors required for mobilizing motivation. The application of evolutionary game analysis offers a robust framework for simulating strategic interactions and dynamic changes observed among stakeholders [67]. By actively involving participants in the development of geographical indication industries, this study unveils the underlying mechanisms that drive value creation in geographical indications by showcasing the ever-evolving industry ecosystem.
Secondly, based on field research, this article divides the geographical indication industry into different stages of its life cycle through real-life experiences. Furthermore, by examining the changes in inputs and outputs during each stage, the study establishes various scenarios to enrich the vertical dimension of industry research, a perspective that has not been covered in existing literature.
Thirdly, this study takes into account the heterogeneity of the geographical indication industry and introduces two factors, namely industry scale and premium, as adjustment variables. It also investigates the influence of these two factors on co-creating value in geographical indications, offering valuable insights for the strategic development of the geographical indication industry. Moreover, it extends the research scope by exploring horizontal dimensions of geographical indications that have not been addressed in existing literature.
In summary, this study presents a quantitative analysis based on qualitative insights and evolutionary game theory in the domain of geographical indications and value co-creation. By elucidating the intricate stakeholder interactions and strategic dynamics within the geographical indication industry, this research holds significance for augmenting the sustainability and competitiveness of geographical indication products. Further research endeavors and collaborative initiatives are imperative to foster innovation, encourage active stakeholder participation, as well as safeguard the heritage and authenticity of geographical indication products in an increasingly globalized market.

5.3. Practical Implications

Geographical indication industries play a pivotal role in rural economic development. Hence, active engagement of key stakeholders is imperative in the value creation process of geographical indication industries. By fostering collaboration among associations, peasant households, and firms, we can enhance product quality and awareness, augment market competitiveness and profitability. During the construction phase, it is crucial to stimulate cooperation within associations while emphasizing innovation capabilities within peasant households and firms during maturity periods. The development strategy for geographical indication industries should be adjusted according to different stages of their life cycle to adapt to market changes and demands. In the initial stage, investment in resources and technology should be made to improve product quality and standards while establishing brand image and reputation. In the mature stage, focus should be on product differentiation and innovation to explore new markets and consumer groups while increasing premium pricing and profits. During renewal stages, efforts should concentrate on product transformation and upgrading to sustain industry vitality.

6. Conclusions and Limitations

6.1. Conclusions

The present study examines the strategic choices and interactions among peasant households, associations, and firms in their participation in the co-creation of geographical indication value. It also investigates the moderating effects of industry scale and premium on these dynamics. Employing a combination of qualitative and quantitative methods, this research introduces an evolutionary game framework to explore the life cycle and contextual perspectives of geographical indication industries. This article makes three theoretical contributions: firstly, it supplements existing literature by uncovering mechanisms that drive the creation of geographical indication value; secondly, based on field research, it categorizes the life cycle stages of geographical indication industries, thereby enriching vertical dimensions within industry studies; thirdly, considering the heterogeneity across geographical indication industries, it incorporates industry scale and premium factors to expand horizontal dimensions in research content. The practical significance lies in providing strategic recommendations for enhancing sustainability and competitiveness within geographical indication industries through emphasizing cooperation and innovation among associations, peasant households and firms as well as product quality and differentiation.

6.2. Limitations and Prospects

This study has certain limitations; however, it also provides valuable insights for future research. The paper presents a theoretical framework for the value co-creation model in the geographical indication industry and explores strategies employed by associations, firms, and peasant households through simulation analysis. Nevertheless, due to research constraints, the first three scenarios in the numerical simulation stage were assigned based on different stages of geographical indication industry development, while the subsequent four scenarios were analyzed using hypothetical simulated cases to examine influencing factors. These aspects require further improvement in future research as they lack extensive empirical data support. The value co-creation mechanism within the geographical indication industry is a complex process that necessitates comprehensive analysis beyond just decision-making situations of key participants such as associations, firms, and peasant households; other entities involved in the entire industry chain may have intricate impacts as well. Future studies will focus on expanding research on strategy choices made by additional stakeholders to optimize game evolution scenarios comprehensively.

Author Contributions

Project administration, X.Y.; writing—original draft preparation, T.Z.; model construction and simulation, S.L.; writing—review and editing, T.Z. and S.L.; supervision, X.Y. All authors have read and agreed to the published version of the manuscript.

Funding

National Social Science Fund Project (2022SKJJC024); Soft Science Project of Hubei Provincial Intellectual Property Office “Research on Geographical Indication Protection and Operation Innovation in the Digital Economy Environment.

Institutional Review Board Statement

Not applicable.

Informed Consent Statement

Not applicable.

Data Availability Statement

All data and models generated or used in the research process of this paper are presented and explained in the body of the article.

Conflicts of Interest

The authors declare no conflicts of interest.

Appendix A

Appendix A.1. Refined and Robust Analysis of Strategies

In the co-creation of value within the geographical indication industry, associations, firms, and peasant households strategically adjust their approaches based on each other’s actions, engaging in a dynamic game. Simultaneously, associations are also influenced by other associations when making strategic decisions, leading to imitation and learning. Similarly, firms are influenced by other companies in order to achieve higher expected returns. Following the principles of evolutionary game theory, entities with lower expected returns will learn from and imitate opponents with higher expected returns. Thus, this process can be accurately described through the construction of a replicator dynamic equation.

Appendix A.1.1. Stability Analysis of the Evolutionary Process of Association Strategies

Based on the principles of evolutionary game theory [39], we formulate a dynamic replication equation to model associations.
F ( x ) = d x d t = x ( U G 1 U G ¯ ) = x ( 1 x ) ( U G 1 + U G 2 ) = x ( 1 x ) [ y z δ E 0 + δ E 1 + λ Δ E 1 δ A 1 δ A 2 + δ E 2 + Δ E 2 δ E 3 λ Δ E 3 δ E 4 δ L 1 + δ y ( E 4 + L 1 + A 1 ) + z ( δ E 3 + λ Δ E 3 + δ L 1 + δ A 2 ) δ L 1 δ C 0 ]
The first-order derivative can be computed by differentiating the equation F ( x ) :
d F ( x ) d x = ( 1 2 x ) y z A 0 + A 1 A 2 + y E 0 A 1 + z A 2 C 0 + y z E 1 + y ( 1 z ) E 2 + y ( 1 z ) E 3 + ( 1 y ) ( C 2 )
According to the dynamic Equation (A1), let F ( x ) = 0 :
① If
y z δ E 0 + δ E 1 + λ Δ E 1 δ A 1 δ A 2 + δ E 2 + Δ E 2 δ E 3 λ Δ E 3 δ E 4 δ L 1 + δ y ( E 4 + L 1 + A 1 ) + z ( δ E 3 + λ Δ E 3 + δ L 1 + δ A 2 ) δ L 1 δ C 0 = 0 ,
then
y = δ L 1 + δ C 0 z ( δ E 3 + λ Δ E 3 + δ L 1 + δ A 2 ) z δ E 0 + δ E 1 + λ Δ E 1 δ A 1 δ A 2 + δ E 2 + Δ E 2 δ E 3 λ Δ E 3 δ E 4 δ L 1 + δ ( E 4 + L 1 + A 1 ) ,
so F ( y ) 0 . Then, irrespective of any value assumed, the game will attain a state of stability.
② If
y z δ E 0 + δ E 1 + λ Δ E 1 δ A 1 δ A 2 + δ E 2 + Δ E 2 δ E 3 λ Δ E 3 δ E 4 δ L 1 + δ y ( E 4 + L 1 + A 1 ) + z ( δ E 3 + λ Δ E 3 + δ L 1 + δ A 2 ) δ L 1 δ C 0 0 ,
Make F ( x ) = 0 , get x = 0 and x = 1 are two stable states. Now let us proceed with the analysis of various scenarios for f(x). Analysis
y z δ E 0 + δ E 1 + λ Δ E 1 δ A 1 δ A 2 + δ E 2 + Δ E 2 δ E 3 λ Δ E 3 δ E 4 δ L 1 + δ y ( E 4 + L 1 + A 1 ) + z ( δ E 3 + λ Δ E 3 + δ L 1 + δ A 2 ) δ L 1 δ C 0 ,
If
y z δ E 0 + δ E 1 + λ Δ E 1 δ A 1 δ A 2 + δ E 2 + Δ E 2 δ E 3 λ Δ E 3 δ E 4 δ L 1 + δ y ( E 4 + L 1 + A 1 ) + z ( δ E 3 + λ Δ E 3 + δ L 1 + δ A 2 ) δ L 1 δ C 0 0 ,
then d F ( x ) d x x = 1 0 , d F ( x ) d x x = 0 0 , x = 1 demonstrates a stable state, and the association tends to adopt a proactive management policy towards landmarks.
If
y z δ E 0 + δ E 1 + λ Δ E 1 δ A 1 δ A 2 + δ E 2 + Δ E 2 δ E 3 λ Δ E 3 δ E 4 δ L 1 + δ y ( E 4 + L 1 + A 1 ) + z ( δ E 3 + λ Δ E 3 + δ L 1 + δ A 2 ) δ L 1 δ C 0 0 ,
then d F ( x ) d x x = 1 0 , d F ( x ) d x x = 0 0 , and x = 0 is in a stable state, and the association tends to adopt non-interference as a governance strategy.

Appendix A.1.2. Analysis of the Evolutionary Stability of Corporate Strategies

According to the evolutionary game theory [33], we formulate the dynamic replication equation for firms.
F ( y ) = d y d t = y ( U N 1 U N ¯ ) = y ( 1 y ) ( U N 1 + U N 2 ) = y ( 1 y ) [ x z ( δ B 0 δ B 1 δ B 2 + δ D 0 + δ D 2 δ D 3 + λ F 2 δ F 3 δ F 5 ) + z δ ( M 0 + B 2 + M 1 D 2 + D 3 + F 5 ) + x δ ( B 1 D 2 + F 3 + F 5 ) + δ ( M 1 + D 2 F 5 ) ]
The first derivative of F ( y ) can be obtained by differentiation:
d F ( y ) d y = ( 1 2 y ) [ x z ( δ M 0 + δ B 0 + δ D 0 ) + z ( 1 x ) ( δ M 0 + δ B 2 ) + x ( 1 z ) ( δ M 1 + δ B 1 ) + ( 1 x ) ( 1 z ) ( δ M 1 + δ D 2 ) + x z λ F 2 + x ( 1 z ) δ F 3 + z ( 1 x ) δ D 3 + ( 1 z ) ( 1 x ) ( δ F 5 ) ]
By applying the dynamic Equation (A2) and setting F ( y ) = 0 , we obtain:
① If
x z ( δ B 0 δ B 1 δ B 2 + δ D 0 + δ D 2 δ D 3 + λ F 2 δ F 3 δ F 5 ) + z δ ( M 0 + B 2 + M 1 D 2 + D 3 + F 5 ) + x δ ( B 1 D 2 + F 3 + F 5 ) + δ ( M 1 + D 2 F 5 ) = 0 ,
thus
z = x δ ( D 2 B 1 F 3 F 5 ) + δ ( M 1 D 2 + F 5 ) x ( δ B 0 δ B 1 δ B 2 + δ D 0 + δ D 2 δ D 3 + λ F 2 δ F 3 δ F ) + δ ( M 0 + B 2 + M 1 D 2 + D 3 + F 5 ) ,
then F ( y ) 0 , at this juncture, irrespective of the selected value, the game remains in a state of equilibrium,
② If
x z ( δ B 0 δ B 1 δ B 2 + δ D 0 + δ D 2 δ D 3 + λ F 2 δ F 3 δ F 5 ) + z δ ( M 0 + B 2 + M 1 D 2 + D 3 + F 5 ) + x δ ( B 1 D 2 + F 3 + F 5 ) + δ ( M 1 + D 2 F 5 ) 0 ,
let F ( y ) = 0 , get y = 0 and y = 1 are two stable states.
If
x z ( δ B 0 δ B 1 δ B 2 + δ D 0 + δ D 2 δ D 3 + λ F 2 δ F 3 δ F 5 ) + z δ ( M 0 + B 2 + M 1 D 2 + D 3 + F 5 ) + x δ ( B 1 D 2 + F 3 + F 5 ) + δ ( M 1 + D 2 F 5 ) 0 ,
then d F ( y ) d y y = 1 0 , d F ( y ) d y y = 0 0 , at this situation, y = 1 is a stable state, companies have a tendency to prefer actively utilizing GI.
If
x z ( δ B 0 δ B 1 δ B 2 + δ D 0 + δ D 2 δ D 3 + λ F 2 δ F 3 δ F 5 ) + z δ ( M 0 + B 2 + M 1 D 2 + D 3 + F 5 ) + x δ ( B 1 D 2 + F 3 + F 5 ) + δ ( M 1 + D 2 F 5 ) 0 ,
then d F ( y ) d y y = 1 0 , d F ( y ) d y y = 0 0 , at this situation, y = 0 is a stable state, companies have a tendency to prefer negative utilizing GI.

Appendix A.1.3. Analysis of the Evolutionary Stability of Peasant Household Strategies

According to the evolutionary game theory [33], we formulate a dynamic replication equation for agricultural practitioners.
F ( z ) = d z d t = z ( U A 1 U A ¯ ) = z ( 1 z ) ( U A 1 + U A 2 ) = z ( 1 z ) [ x y ( δ G 0 + λ H 0 δ G 2 + δ I 0 δ G 1 + λ S 1 λ S 2 λ S 3 δ I 4 ) + y ( δ G 2 δ G 3 + λ S 2 + δ I 4 ) + x ( δ G 1 δ G 3 + λ S 3 + δ I 4 ) δ I 0 + δ G 3 δ I 4 ]
Taking the first derivative of F ( z ) :
d F ( z ) d z = ( 1 2 z ) [ x y ( δ G 0 + λ H 0 δ G 2 + δ I 0 δ G 1 ) + y ( δ G 2 δ G 3 ) + x ( δ G 1 δ G 3 ) δ I 0 + δ G 3 + x y ( λ S 1 λ S 2 λ S 3 δ I 4 ) + y ( λ S 2 + δ I 4 ) + x ( λ S 3 + δ I 4 ) + ( δ I 4 ) ]
According to the dynamic Equation (A1) setting
F ( z ) = 0
① If
x y ( δ G 0 + λ H 0 δ G 2 + δ I 0 δ G 1 + λ S 1 λ S 2 λ S 3 δ I 4 ) + y ( δ G 2 δ G 3 + λ S 2 + δ I 4 ) + x ( δ G 1 δ G 3 + λ S 3 + δ I 4 ) δ I 0 + δ G 3 δ I 4 = 0 ,
thus F ( z ) 0 , the game remains in a stable state irrespective of the selected value.
② If
x y ( δ G 0 + λ H 0 δ G 2 + δ I 0 δ G 1 + λ S 1 λ S 2 λ S 3 δ I 4 ) + y ( δ G 2 δ G 3 + λ S 2 + δ I 4 ) + x ( δ G 1 δ G 3 + λ S 3 + δ I 4 ) δ I 0 + δ G 3 δ I 4 0 ,
let F ( z ) = 0 , get z = 0 and z = 1 two stable stages.
If
x y ( δ G 0 + λ H 0 δ G 2 + δ I 0 δ G 1 + λ S 1 λ S 2 λ S 3 δ I 4 ) + y ( δ G 2 δ G 3 + λ S 2 + δ I 4 ) + x ( δ G 1 δ G 3 + λ S 3 + δ I 4 ) δ I 0 + δ G 3 δ I 4 0 ,
thus d F ( z ) d z z = 1 0 , d F ( z ) d z z = 0 0 , z = 1 is a stable state, and peasant households tend to choose to actively participate in GI.
If
x y ( δ G 0 + λ H 0 δ G 2 + δ I 0 δ G 1 + λ S 1 λ S 2 λ S 3 δ I 4 ) + y ( δ G 2 δ G 3 + λ S 2 + δ I 4 ) + x ( δ G 1 δ G 3 + λ S 3 + δ I 4 ) δ I 0 + δ G 3 δ I 4 0 ,
thus d F ( z ) d z z = 1 0 , d F ( z ) d z z = 0 0 , this situation, z = 0 is a stable state, and peasant households tend to choose not to actively participate in GI.

Appendix A.2. The Jacobian Matrix J

J = 𝜕 F ( x ) 𝜕 x 𝜕 F ( x ) 𝜕 y 𝜕 F ( x ) 𝜕 z 𝜕 F ( y ) 𝜕 x 𝜕 F ( y ) 𝜕 y 𝜕 F ( y ) 𝜕 z 𝜕 F ( z ) 𝜕 x 𝜕 F ( z ) 𝜕 y 𝜕 F ( z ) 𝜕 z = J 11 J 12 J 13 J 21 J 22 J 23 J 31 J 32 J 33
Including,
J 11 = ( 1 2 x ) [ y z δ E 0 + δ E 1 + λ Δ E 1 δ A 1 δ A 2 + δ E 2 + Δ E 2 δ E 3 λ Δ E 3 δ E 4 δ L 1 + δ y ( E 4 + L 1 + A 1 ) + z ( δ E 3 + λ Δ E 3 + δ L 1 + δ A 2 ) δ L 1 δ C 0 ]
J 12 = x ( 1 x ) [ z δ E 0 + δ E 1 + λ Δ E 1 δ A 1 δ A 2 + δ E 2 + Δ E 2 δ E 3 λ Δ E 3 δ E 4 δ L 1 + δ ( E 4 + L 1 + A 1 ) ]
J 13 = x ( 1 x ) [ y δ E 0 + δ E 1 + λ Δ E 1 δ A 1 δ A 2 + δ E 2 + Δ E 2 δ E 3 λ Δ E 3 δ E 4 δ L 1 + ( δ E 3 + λ Δ E 3 + δ L 1 + δ A 2 ) ]
J 21 = = y ( 1 y ) [ z ( δ B 0 δ B 1 δ B 2 + δ D 0 + δ D 2 δ D 3 + λ F 2 δ F 3 δ F 5 ) + δ ( B 1 D 2 + F 3 + F 5 ) ]
J 22 = ( 1 2 y ) [ x z ( δ B 0 δ B 1 δ B 2 + δ D 0 + δ D 2 δ D 3 + λ F 2 δ F 3 δ F 5 ) + z δ ( M 0 + B 2 + M 1 D 2 + D 3 + F 5 ) + x δ ( B 1 D 2 + F 3 + F 5 ) + δ ( M 1 + D 2 F 5 ) ]
J 23 = = y ( 1 y ) [ x ( δ B 0 δ B 1 δ B 2 + δ D 0 + δ D 2 δ D 3 + λ F 2 δ F 3 δ F 5 ) + δ ( M 0 + B 2 + M 1 D 2 + D 3 + F 5 ) ]
J 31 = z ( 1 z ) [ y ( δ G 0 + λ H 0 δ G 2 + δ I 0 δ G 1 + λ S 1 λ S 2 λ S 3 δ I 4 ) + δ G 1 δ G 3 + λ S 3 + δ I 4 ]
J 32 = z ( 1 z ) [ x ( δ G 0 δ G 1 δ G 2 + δ I 0 + λ H 0 + λ S 1 λ S 2 λ S 3 δ I 4 ) + δ G 2 δ G 3 + λ S 2 + δ I 4 ]
J 33 = ( 1 2 z ) [ x y ( δ G 0 + λ H 0 δ G 2 + δ I 0 δ G 1 + λ S 1 λ S 2 λ S 3 δ I 4 ) + y ( δ G 2 δ G 3 + λ S 2 + δ I 4 ) + x ( δ G 1 δ G 3 + λ S 3 + δ I 4 ) δ I 0 + δ G 3 δ I 4 ]

References

  1. Central Committee of the Communist Party of China, State Council. Opinions on the Implementation of Rural Revitalization Strategy by the Central Government of the Communist Party of China. 2018. Available online: https://www.gov.cn/zhengce/2018-02/04/content_5263807.htm (accessed on 11 November 2023). (In Chinese)
  2. Dou, S.; Ye, J. The Organic Connection and Mechanism Construction of Rural Revitalization and Poverty Alleviation. Reform 2019, 1, 19–29. (In Chinese) [Google Scholar]
  3. Macedonia, N. Review of Geographical Indications Schemes in South East Europe. AGRORES 2021, 2021, 169. [Google Scholar]
  4. Georgios, C.; Nikolaos, N.; Michalis, P. Neo-Endogenous Rural Development: A Path Toward Reviving Rural Europe. Rural Sociol. 2021, 86, 911–937. [Google Scholar] [CrossRef]
  5. Hisano, S.; Akitsu, M.; McGreevy, S.R. Revitalising Rurality under the Neoliberal Transformation of Agriculture: Experiences of Re-Agrarianisation in Japan. J. Rural Stud. 2018, 61, 290–301. [Google Scholar] [CrossRef]
  6. Anthopoulou, T.; Kaberis, N.; Petrou, M. Aspects and Experiences of Crisis in Rural Greece. Narratives of Rural Resilience. J. Rural Stud. 2017, 52, 1–11. [Google Scholar] [CrossRef]
  7. Yan, H.; Bun, K.H.; Siyuan, X. Rural Revitalization, Scholars, and the Dynamics of the Collective Future in China. J. Peasant Stud. 2021, 48, 853–874. [Google Scholar] [CrossRef]
  8. Bonanno, A. Geographical Indication in Agri-Food and Its Role in the Global Neoliberal Era: A Theoretical Analysis. In Geographical Indication and Global Agri-Food; Routledge: Abingdon, UK, 2019; pp. 23–35. [Google Scholar]
  9. Prager, K.; Reed, M.; Scott, A. Encouraging Collaboration for the Provision of Ecosystem Services at a Landscape Scale—Rethinking Agri-Environmental Payments. Land Use Policy 2012, 29, 244–249. [Google Scholar] [CrossRef]
  10. Grönroos, C.; Voima, P. Critical Service Logic: Making Sense of Value Creation and Co-Creation. J. Acad. Mark. Sci. 2013, 41, 133–150. [Google Scholar] [CrossRef]
  11. Guareschi, M.; Mancini, M.C.; Arfini, F. Geographical Indications, Public Goods and Sustainable Development Goals: A Methodological Proposal. J. Rural Stud. 2023, 103, 103122. [Google Scholar] [CrossRef]
  12. Dentoni, D.; Menozzi, D.; Capelli, M.G. Group Heterogeneity and Cooperation on the Geographical Indication Regulation: The Case of the “Prosciutto Di Parma” Consortium. Food Policy 2012, 37, 207–216. [Google Scholar] [CrossRef]
  13. Salpina, D.; Pagliacci, F. Contextual Vulnerability to Climate Change of Heterogeneous Agri-Food Geographical Indications: A Case Study of the Veneto Region (Italy). Environ. Sci. Policy 2022, 136, 103–113. [Google Scholar] [CrossRef]
  14. Leufkens, D. The Problem of Heterogeneity between Protected Geographical Indications: A Meta-Analysis. Br. Food J. 2018, 120, 2843–2856. [Google Scholar] [CrossRef]
  15. Marie-Vivien, D.; Carimentrand, A.; Fournier, S.; Cerdan, C.; Sautier, D. Controversies around Geographical Indications: Are Democracy and Representativeness the Solution? Br. Food J. 2019, 121, 2995–3010. [Google Scholar] [CrossRef]
  16. Wilkinson, J.; Cerdan, C.; Dorigon, C. Geographical Indications and “Origin” Products in Brazil–the Interplay of Institutions and Networks. World Dev. 2017, 98, 82–92. [Google Scholar] [CrossRef]
  17. Ajates, R. An Integrated Conceptual Framework for the Study of Agricultural Cooperatives: From Repolitisation to Cooperative Sustainability. J. Rural Stud. 2020, 78, 467–479. [Google Scholar] [CrossRef]
  18. Hu, Z.; Zhang, Q.F.; Donaldson, J.A. Farmers’ Cooperatives in China: A Typology of Fraud and Failure. China J. 2017, 78, 1–24. [Google Scholar] [CrossRef]
  19. Hall, S.C.; Caviglia-Harris, J. Agricultural Development and the Industry Life Cycle on the Brazilian Frontier. Environ. Dev. Econ. 2013, 18, 326–353. [Google Scholar] [CrossRef]
  20. Frankl, P.; Rubik, F. Life Cycle Assessment in Industry and Business: Adoption Patterns, Applications and Implications; Springer Science & Business Media: Berlin/Heidelberg, Germany, 1999; ISBN 978-3-540-66469-7. [Google Scholar]
  21. Rugani, B.; Panasiuk, D.; Benetto, E. An Input–Output Based Framework to Evaluate Human Labour in Life Cycle Assessment. Int. J. Life Cycle Assess. 2012, 17, 795–812. [Google Scholar] [CrossRef]
  22. Mendonça, S.; Pereira, T.S.; Godinho, M.M. Trademarks as an Indicator of Innovation and Industrial Change. Res. Policy 2004, 33, 1385–1404. [Google Scholar] [CrossRef]
  23. Teles Campos, I. Geographical Indications in the EU-A Study on Reasons for Uneven Distribution and Europeanisation Aspects. Lund University. 2020. Available online: https://lup.lub.lu.se/luur/download?func=downloadFile&recordOId=9033807&fileOId=9033815 (accessed on 15 November 2023).
  24. Crescenzi, R.; De Filippis, F.; Giua, M.; Vaquero-Piñeiro, C. Geographical Indications and Local Development: The Strength of Territorial Embeddedness. Reg. Stud. 2022, 56, 381–393. [Google Scholar] [CrossRef]
  25. Mancini, M.C. Geographical Indications in Latin America Value Chains: A “Branding from below” Strategy or a Mechanism Excluding the Poorest? J. Rural Stud. 2013, 32, 295–306. [Google Scholar] [CrossRef]
  26. Sciarra, A.F.; Gellman, L. Geographical Indications: Why Traceability Systems Matter and How They Add to Brand Value. J. Intellect. Prop. Law Pract. 2012, 7, 264–270. [Google Scholar] [CrossRef]
  27. Belletti, G.; Marescotti, A.; Sanz-Cañada, J.; Vakoufaris, H. Linking Protection of Geographical Indications to the Environment: Evidence from the European Union Olive-Oil Sector. Land Use Policy 2015, 48, 94–106. [Google Scholar] [CrossRef]
  28. Deselnicu, O.C.; Costanigro, M.; Souza-Monteiro, D.M.; McFadden, D.T. A Meta-Analysis of Geographical Indication Food Valuation Studies: What Drives the Premium for Origin-Based Labels? J. Agric. Resour. Econ. 2013, 38, 204–219. [Google Scholar]
  29. Smith, J.M. The Theory of Games and the Evolution of Animal Conflicts. J. Theor. Biol. 1974, 47, 209–221. [Google Scholar] [CrossRef] [PubMed]
  30. Gao, X.; Shen, J.; He, W.; Sun, F.; Zhang, Z.; Guo, W.; Zhang, X.; Kong, Y. An Evolutionary Game Analysis of Governments’ Decision-Making Behaviors and Factors Influencing Watershed Ecological Compensation in China. J. Environ. Manag. 2019, 251, 109592. [Google Scholar] [CrossRef] [PubMed]
  31. Fang, L.; Shi, G.; Wang, L.; Li, Y.; Xu, S.; Guo, Y. Incentive Mechanism for Cooperative Authentication: An Evolutionary Game Approach. Inf. Sci. 2020, 527, 369–381. [Google Scholar] [CrossRef]
  32. Ingram, V.; Hansen, M.E.; Bosselmann, A.S. To Label or Not? Governing the Costs and Benefits of Geographic Indication of an African Forest Honey Value Chain. Front. For. Glob. Change 2020, 3, 102. [Google Scholar] [CrossRef]
  33. Li, J.; Xu, X.; Yang, Y. Research on Value Co-Creation Strategies for Stakeholders of Takeaway Platforms Based on Tripartite Evolutionary Game. Sustainability 2023, 15, 13010. [Google Scholar] [CrossRef]
  34. Yan, Z.; Li, L.; Zhao, H.; Mualla, Y.; Yasar, A. A Tripartite Evolutionary Game Analysis of Providing Subsidies for Pick-up/Drop-off Strategy in Carpooling Problem. Auton. Intell. Syst. 2023, 3, 7. [Google Scholar] [CrossRef]
  35. Bai, S.; Yu, W.; Jiang, M. Promoting the Tripartite Cooperative Mechanism of E-Commerce Poverty Alleviation: Based on the Evolutionary Game Method. Sustainability 2022, 15, 315. [Google Scholar] [CrossRef]
  36. Wang, J.; Huo, Y.; Guo, X.; Xu, Y. The Pricing Strategy of the Agricultural Product Supply Chain with Farmer Cooperatives as the Core Enterprise. Agriculture 2022, 12, 732. [Google Scholar] [CrossRef]
  37. Wang, F.; Xu, Y. Evolutionary Game Analysis of the Quality of Agricultural Products in Supply Chain. Agriculture 2022, 12, 1575. [Google Scholar] [CrossRef]
  38. Zhang, N.; Zhang, X.; Lei, M.; Yang, Y. Multiagent Collaborative Governance for Targeted Poverty Alleviation from the Perspective of Stakeholders. Complexity 2020, 2020, 8276392. [Google Scholar] [CrossRef]
  39. He, Y.; Jiang, R.; Liao, N. How to Promote the Chinese Certified Emission Reduction Scheme in the Carbon Market? A Study Based on Tripartite Evolutionary Game Model. Energy 2023, 285, 128723. [Google Scholar] [CrossRef]
  40. Anshu, K.; Shankar, A.; Behl, A.; Pereira, V.; Laker, B. Impact of Barriers of Value Co-Creation on Consumers’ Innovation Resistance Behavior: Investigating the Moderation Role of the DART Model. Technol. Forecast. Soc. Change 2022, 184, 122033. [Google Scholar] [CrossRef]
  41. Yan, H.; Bun, K.H.; Siyuan, X. Taking Another Perspective on Overconfidence in Cognitive Ability: A Comparison of Self and Other Metacognitive Judgments. Sustain. Value Chains Sustain. Food Syst. 2021, 2020, 853–874. [Google Scholar] [CrossRef]
  42. Blom, J. The Dynamic Game Character: Definition, Construction, and Challenges in Character Ecology; IT-Universitetet i København: Copenhagen, Denmark, 2020. [Google Scholar]
  43. Zhu, W.; Shan, S.; Shi, X.; Li, H. Research on the Establishment and Stability of the Beijing-Tianjin-Hebei Region Air Pollution Cooperative Control Alliance: An Evolutionary Game Approach. Discrete Dyn. Nat. Soc. 2021, 2021, 1179351. [Google Scholar] [CrossRef]
  44. Vandecandelaere, E.; Teyssier, C.; Fournier, S.; Beucherie, O.; Michelotto, G. The Economic Impacts of Geographical Indications: Evidence from Case Studies. Sustain. Value Chains Sustain. Food Syst. 2016, 5, 143. [Google Scholar]
  45. Chen, A.; Scott, S. Rural Development Strategies and Government Roles in the Development of Farmers’ Cooperatives in China. J. Agric. Food Syst. Community Dev. 2014, 4, 35–55. [Google Scholar] [CrossRef]
  46. de Lima Medeiros, M.; Passador, C.S.; Passador, J.L. Implications of Geographical Indications: A Comprehensive Review of Papers Listed in CAPES’journal Database. RAI Rev. Adm. E Inov. 2016, 13, 315–329. [Google Scholar] [CrossRef]
  47. Kireeva, I.; O’Connor, B. Geographical Indications and the TRIPS Agreement: What Protection Is Provided to Geographical Indications in WTO Members? J. World Intellect. Prop. 2010, 13, 275–303. [Google Scholar] [CrossRef]
  48. Bowen, S. Embedding Local Places in Global Spaces: Geographical Indications as a Territorial Development Strategy: Embedding Local Places in Global Spaces. Rural Sociol. 2010, 75, 209–243. [Google Scholar] [CrossRef]
  49. Garcia, M. Building Global Governance One Treaty at a Time? A Comparison of the US and EU Approaches to Preferential Trade Agreements and the Challenge of TTIP. In Institutionalisation beyond the Nation State; Fahey, E., Ed.; Studies in European Economic Law and Regulation; Springer International Publishing: Cham, Switzerland, 2018; Volume 10, pp. 213–242. ISBN 978-3-319-50220-5. [Google Scholar]
  50. Quinones-Ruiz, X.F.; Penker, M.; Belletti, G.; Marescotti, A.; Scaramuzzi, S.; Barzini, E.; Pircher, M.; Leitgeb, F.; Samper-Gartner, L.F. Insights into the Black Box of Collective Efforts for the Registration of Geographical Indications. Land Use Policy 2016, 57, 103–116. [Google Scholar] [CrossRef]
  51. Lowore, J. Understanding the Livelihood Implications of Reliable Honey Trade in the Miombo Woodlands in Zambia. Front. For. Glob. Change 2020, 3, 28. [Google Scholar] [CrossRef]
  52. Lou, B.; Fu, X.; Xue, B. Effectiveness, Problems, and Transformation of Geographical Indications in the Context of Rural Revitalization: Evidence from Pengshui in Chongqing. Sustainability 2023, 15, 8870. [Google Scholar] [CrossRef]
  53. Mazé, A. Geographical Indications as Global Knowledge Commons: Ostrom’s Law on Common Intellectual Property and Collective Action. J. Inst. Econ. 2023, 19, 494–510. [Google Scholar] [CrossRef]
  54. Widjojo, H.; Fontana, A.; Gayatri, G.; Soehadi, A.W. Value Co-Creation for Innovation: Evidence from Indonesian Organic Community. Asia Pac. J. Mark. Logist. 2020, 32, 428–444. [Google Scholar] [CrossRef]
  55. Trebbin, A. Linking Small Farmers to Modern Retail through Producer Organizations—Experiences with Producer Companies in India. Food Policy 2014, 45, 35–44. [Google Scholar] [CrossRef]
  56. Baratella, V.; Pirelli, T.; Giordano, R.; Pagano, A.; Portoghese, I.; Bea, M.; López-Moya, E.; Di Fonzo, A.; Fabiani, S.; Vanino, S. Stakeholders Analysis and Engagement to Address Water-Ecosystems-Food Nexus Challenges in Mediterranean Environments: A Case Study in Italy: Special Issue “Co-Designing Sustainable Cropping Systems’ with Stakeholders”. Ital. J. Agron. 2023, 18. [Google Scholar] [CrossRef]
  57. Liang, Q.; Huang, Z.; Lu, H.; Wang, X. Social Capital, Member Participation, and Cooperative Performance: Evidence from China’s Zhejiang. Int. Food Agribus. Manag. Rev. 2015, 18, 49–77. [Google Scholar]
  58. Thompson, L.J.; Glewen, K.L.; Elmore, R.W.; Rees, J.; Pokal, S.; Hitt, B.D. Farmers as Researchers: In-Depth Interviews to Discern Participant Motivation and Impact. Agron. J. 2019, 111, 2670–2680. [Google Scholar] [CrossRef]
  59. Migliore, G.; Schifani, G.; Romeo, P.; Hashem, S.; Cembalo, L. Are Farmers in Alternative Food Networks Social Entrepreneurs? Evidence from a Behavioral Approach. J. Agric. Environ. Ethics 2015, 28, 885–902. [Google Scholar] [CrossRef]
  60. Meyer, C.; Naicker, K. Collective Intellectual Property of Indigenous Peoples and Local Communities: Exploring Power Asymmetries in the Rooibos Geographical Indication and Industry-Wide Benefit-Sharing Agreement. Res. Policy 2023, 52, 104851. [Google Scholar] [CrossRef]
  61. Mubushar, M.; Rasool, S.; Haider, M.I.; Cerchione, R. The Impact of Corporate Social Responsibility Activities on Stakeholders’ Value Co-creation Behaviour. Corp. Soc. Responsib. Environ. Manag. 2021, 28, 1906–1920. [Google Scholar] [CrossRef]
  62. Yuanhua, Z.; Wei, S. The Development Strategy of Agricultural Geographical Indications in China. J. Econ. Sustain. Dev. 2016, 7, 119–128. [Google Scholar]
  63. Durand, C.; Fournier, S. Can Geographical Indications Modernize Indonesian and Vietnamese Agriculture? Analyzing the Role of National and Local Governments and Producers’ Strategies. World Dev. 2017, 98, 93–104. [Google Scholar] [CrossRef]
  64. Industry-Scale Evaluation of Maize Hybrids Selected for Increased Yield in Drought-Stress Conditions of the US Corn Belt—Gaffney—2015—Crop Science—Wiley Online Library. Available online: https://acsess.onlinelibrary.wiley.com/doi/full/10.2135/cropsci2014.09.0654 (accessed on 15 February 2024).
  65. Likoudis, Z.; Sdrali, D.; Costarelli, V.; Apostolopoulos, C. Consumers’ Intention to Buy Protected Designation of Origin and Protected Geographical Indication Foodstuffs: The Case of G Reece. Int. J. Consum. Stud. 2016, 40, 283–289. [Google Scholar] [CrossRef]
  66. Scandelius, C.; Cohen, G. Sustainability Program Brands: Platforms for Collaboration and Co-Creation. Ind. Mark. Manag. 2016, 57, 166–176. [Google Scholar] [CrossRef]
  67. Xu, L.; Di, Z.; Chen, J.; Shi, J.; Yang, C. Evolutionary Game Analysis on Behavior Strategies of Multiple Stakeholders in Maritime Shore Power System. Ocean Coast. Manag. 2021, 202, 105508. [Google Scholar] [CrossRef]
Figure 1. Main interactions among associations, firms and peasant households in the GIs industry.
Figure 1. Main interactions among associations, firms and peasant households in the GIs industry.
Sustainability 16 02075 g001
Figure 2. Evolutionary trajectory of game entities in the mature stage of the industry (Scenario 1).
Figure 2. Evolutionary trajectory of game entities in the mature stage of the industry (Scenario 1).
Sustainability 16 02075 g002
Figure 3. Evolutionary trajectory of game agents during the exploration phase (Scenario 2).
Figure 3. Evolutionary trajectory of game agents during the exploration phase (Scenario 2).
Sustainability 16 02075 g003
Figure 4. Evolutionary trajectory of game agents during the exploration phase (Scenario 3).
Figure 4. Evolutionary trajectory of game agents during the exploration phase (Scenario 3).
Sustainability 16 02075 g004
Figure 5. Evolutionary trajectory of game agents in Scenario 4.
Figure 5. Evolutionary trajectory of game agents in Scenario 4.
Sustainability 16 02075 g005
Figure 6. Evolutionary trajectory of game agents in Scenario 5.
Figure 6. Evolutionary trajectory of game agents in Scenario 5.
Sustainability 16 02075 g006
Figure 7. Evolutionary trajectory of game agents in Scenario 6.
Figure 7. Evolutionary trajectory of game agents in Scenario 6.
Sustainability 16 02075 g007
Figure 8. Evolutionary trajectory of game agents in Scenario 7.
Figure 8. Evolutionary trajectory of game agents in Scenario 7.
Sustainability 16 02075 g008
Table 1. Geographical indication industry producers tripartite game matrix.
Table 1. Geographical indication industry producers tripartite game matrix.
Firm
Actively utilizing GI
y
Not actively using GI
1 − y
Peasant Household
Actively participate
z
Not actively participate
1 − z
Actively participate
z
Not actively participate
1 − z
AssociationActive management
x
δ C 0 + δ E 0 + δ E 1 + λ Δ E 1
δ M 0 + δ B 0 + δ D 0
δ I 0 + δ G 0 + λ H 0
δ C 0 + δ A 1
δ M 1 + δ B 1
λ S 1
δ C 0 + δ A 2
λ F 2
δ I 0 + δ G 1
δ C 0
δ F 3
λ S 3
Inactive management
1 − x
δ E 2 + Δ E 2
δ M 0 + δ B 2
δ I 0 + δ G 2
δ E 4
δ M 1 + δ D 2
λ S 2
δ E 3 + λ Δ E 3
δ D 3
δ I 0 + δ G 3
δ L 1
δ F 5
δ I 4
Table 2. Local Stability Analysis of Equilibrium Points.
Table 2. Local Stability Analysis of Equilibrium Points.
Equalization Point Eigenvalue   λ 1 Eigenvalue   λ 2 Eigenvalue   λ 3
E1 = (0, 0, 0) δ L 1 δ C 0 δ ( M 1 + D 2 F 5 ) δ I 0 + δ G 3 δ I 4
E2 = (1, 0, 0) δ L 1 + δ C 0 δ ( B 1 + F 3 M 1 ) δ G 1 + λ S 3 δ I 0
E3 = (0, 1, 0) δ ( E 4 + A 1 C 0 ) δ ( M 1 D 2 + F 5 ) δ G 2 + λ S 2 δ I 0
E4 = (0, 0, 1) δ E 3 + λ Δ E 3 + δ A 2 δ C 0 δ ( B 2 M 0 + D 3 ) δ I 0 δ G 3 + δ I 4
E5 = (1, 1, 0) δ ( E 4 C 0 + A 1 ) δ ( M 1 F 3 B 1 ) δ G 0 + λ H 0 + λ S 1 δ G 3
E6 = (1, 0, 1) δ C 0 δ E 3 λ Δ E 3 δ A 2 δ B 0 + δ D 0 + λ F 2 δ M 0 δ G 1 + λ S 3 δ I 0
E7 = (0, 1, 1) δ E 0 + δ E 1 + λ Δ E 1 + δ E 2 + Δ E 2 δ C 0 δ ( M 0 B 2 D 3 ) δ I 0 δ G 2 λ S 2
E8 = (1, 1, 1) δ E 0 + δ E 1 + λ Δ E 1 + δ E 2 + Δ E 2 δ C 0 δ M 0 ( δ B 0 + δ D 0 + λ F 2 ) δ G 0 + λ H 0 + λ S 1 + δ G 3
Table 3. Parameter Configuration Table for Simulation.
Table 3. Parameter Configuration Table for Simulation.
ParameterScenario 1Scenario 2Scenario 3Scenario 4Scenario 5Scenario 6Scenario 7
C0608010060606060
E01203030120120120120
E11502020150150150150
ΔE150101050505050
A180502580808080
A21004520100100100100
M035606060606060
B0100502525252525
D030301010101010
M125255050505050
B185302020202020
F220555555
F315333333
I050703535707070
G070404040404040
H040102020101010
S12051515555
G140404040404040
S31251010555
E250502525505050
ΔE230101010101010
E435352020353535
E340402525404040
ΔE325251515252525
L135352020353535
B242423535424242
D230305555303030
D320202020202020
F515152525151515
G230303030303030
S210101010101010
G315154545151515
I420202020202020
δ222222020
λ0.50.50.50.50.50.52
Disclaimer/Publisher’s Note: The statements, opinions and data contained in all publications are solely those of the individual author(s) and contributor(s) and not of MDPI and/or the editor(s). MDPI and/or the editor(s) disclaim responsibility for any injury to people or property resulting from any ideas, methods, instructions or products referred to in the content.

Share and Cite

MDPI and ACS Style

Zhao, T.; Yu, X.; Liu, S. Research on the Co-Creation Mechanism of Geographical Indication Industry Value Based on Evolutionary Game Analysis. Sustainability 2024, 16, 2075. https://doi.org/10.3390/su16052075

AMA Style

Zhao T, Yu X, Liu S. Research on the Co-Creation Mechanism of Geographical Indication Industry Value Based on Evolutionary Game Analysis. Sustainability. 2024; 16(5):2075. https://doi.org/10.3390/su16052075

Chicago/Turabian Style

Zhao, Tingwei, Xiang Yu, and Sishi Liu. 2024. "Research on the Co-Creation Mechanism of Geographical Indication Industry Value Based on Evolutionary Game Analysis" Sustainability 16, no. 5: 2075. https://doi.org/10.3390/su16052075

APA Style

Zhao, T., Yu, X., & Liu, S. (2024). Research on the Co-Creation Mechanism of Geographical Indication Industry Value Based on Evolutionary Game Analysis. Sustainability, 16(5), 2075. https://doi.org/10.3390/su16052075

Note that from the first issue of 2016, this journal uses article numbers instead of page numbers. See further details here.

Article Metrics

Back to TopTop