Socioeconomic Importance of the Small-Scale Mud Crab Fishing (Scylla Serrata, Forskall 1775) in the Bons Sinais Estuary—Mozambique
Abstract
1. Introduction
2. Material and Methods
2.1. Study Area
2.2. Data Collection
2.3. Data Analysis
3. Results
3.1. Sociodemographic Structure of Fishers
3.2. Fishing Activity Characterization, Gear Characteristics, and Modus Operandi
3.3. Value Chain of Mud Crab in the Bons Sinais Estuary (BSE)
3.4. Distribution of Fishing Revenue between Fishers
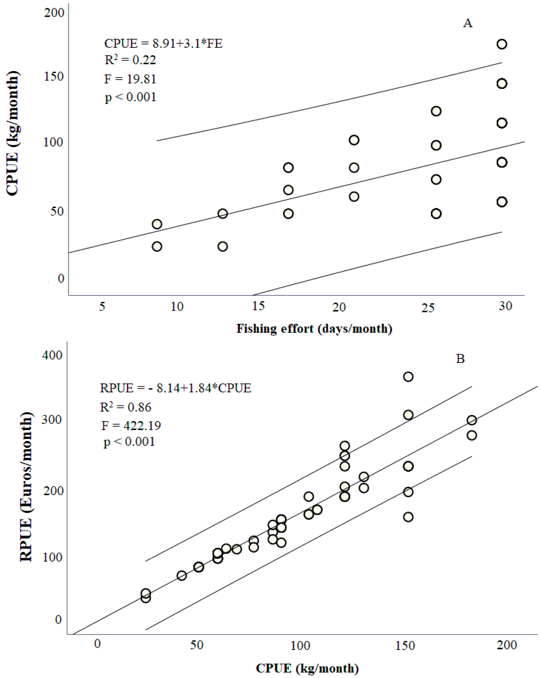
3.5. Analysis of Catches per Unit of Effort (CPUE), Fishing Effort (FE), and Fishing Revenue (RPUE)
3.6. Relationship between Fishing Revenue (RPUE) and Household Expenditure Indicators (BG, BS, CIG, DGFE, and MG)
3.7. Community Structure and Socioeconomic Profiles
3.8. Fishery Contribution Index (FCI)
4. Discussion
4.1. Fishers’ Sociodemographic Structure
4.2. Fishing Characterization
4.3. Catches per Unit of Effort, Fishing Effort, and Fishing Revenue
4.4. Fishing Revenue and Household Expenditure
4.5. Sociodemographic Community Pattern
4.6. Fishery Contribution Index
5. Conclusions
Author Contributions
Funding
Institutional Review Board Statement
Informed Consent Statement
Data Availability Statement
Acknowledgments
Conflicts of Interest
Appendix A

Appendix B

Appendix C


References
- Basurto, X.; Franz, N.; Mills, D.; Virdin, J.; Westlund, L. Improving Our Knowledge on Small-Scale Fisheries: Data Needs and Methodologies; FAO Fisheries and Aquaculture Proceedings (FAO): Rome, Italy, 2017; pp. 14–104.
- FAO. The Development and Use of Indicators for Sustainable Development of Marine Capture Fisheries; Technical Guidelines for Responsible Fisheries; FAO: Rome, Italy, 1999; p. 68.
- FAO. Sample-Based Fishery Surveys. A Technical Handbook; FAO: Rome, Italy, 2002.
- Massamba, S.F.P. A Pesca Artesanal e suas Contribuições para o Desenvolvimento Local: Uma Análise Comparativa dos Distritos de Icoaraci-Belém (PA)—Brasil e Vilankulo-Inhambane-Moçambique. Ph.D. Thesis, Núcleo do Meio Ambiente, Universidade Federal do Pará, Belém, Brazil, 2016. [Google Scholar]
- FAO. Precautionary Approach to Capture Fisheries and Species Introductions; FAO Technical Guidelines for Responsible Fisheries; FAO: Rome, Italy, 1996; p. 54.
- Muringai, R.T.; Mafongoya, P.; Lottering, R.T. Climate Change Perceptions, Impacts and Adaptation Strategies: Insights of Fishers in Zambezi River Basin, Zimbabwe. Sustainability 2022, 14, 3456. [Google Scholar] [CrossRef]
- Balidy, H.J.e.J. O Ambiente Costeiro e Marinho de Moçambique, 2nd ed.; CDS Zonas Costeiras/MICOA: Maputo, Mozambique, 2011; pp. 3–61. [Google Scholar]
- Hoguane, A.M. Perfil e Diagnostico da Zona Costeira de Moçambique. Rev. Gestão Costeira Integr. 2007, 7, 69–82. [Google Scholar] [CrossRef]
- ADNAP. Relatório Anual 2012; Administração Nacional das Pescas, Ministério das Pescas: Cidade de Maputo, Moçambique, 2013; pp. 4–56.
- Manuessa, B.; Morais, E.; Borges, T.C.; Teodósio, M.A.; Leitão, F. First Assessment of the Thryssa vitrirostris (Engraulidae) Beach Seine Fishery in Northeastern Mozambique. Multidiscip. Sci. J. 2018, 1, 116–132. [Google Scholar] [CrossRef]
- Doherty, B.; McBride, M.M.; Brito, A.J.; Le Manach, F.; Sousa, L.; Chauca, I.; Zeller, D. Marine fisheries in Mozambique: Catches updated to 2010 and taxonomic disaggregation. In Fisheries Catch Reconstructions in the Western Indian Ocean, 1950–2010; Fisheries Centre Research Reports; Le Manach, F., Pauly, D., Eds.; Fisheries Centre, University of British Columbia: Vancouver, BC, Canada, 2015; Volume 23, pp. 67–81. [Google Scholar]
- Jacquet, J.; Fox, H.; Motta, H.; Ngusaru, A.; Zeller, D. Few data but many fish: Marine small-scale fisheries catches for Mozambique. Afr. J. Mar. Sci. 2010, 32, 197–206. [Google Scholar] [CrossRef]
- Costa, E.F.S.; Mocuba, J.; Oliveira, D.; Teodósio, M.A.; Leitão, F. Biological aspects of fish species from subsistence fisheries in ‘‘Bons Sinais’’ estuary, Mozambique. Reg. Stud. Mar. Sci. 2020, 39, 2352–4855. [Google Scholar] [CrossRef]
- Mugabe, E.D.; Madeira, A.N.; Mabota, H.S.; Nataniel, A.N.; Santos, J.; Groeneveld, J.C. Small-scale fisheries of the Bons Sinais Estuary in Mozambique with emphasis on utilization of unselective gear. WIO J. Mar. Sci. 2021, 59–74. [Google Scholar] [CrossRef]
- Halare, A.I. Distribuição, Abundância e Aspectos Reprodutivos da Scylla serrata (Forskal) no Saco da Ilha de Inhaca. Master’s Thesis, Departamento de Ciências Biológicas—UEM, Maputo, Mozambique, 1999. [Google Scholar]
- Heasmam, M.P. Aspect of the General Biology and Fisher of the Mud Crab Scylla serrata (Forskal) in Morton Bay. Ph.D. Thesis, University of Queensland, Brisbane, Australia, 1980. [Google Scholar]
- Mahmud, A.I.; Mamun, A.A. Marketing of Mud Crab Scylla serrata (Forksal) from Khulna District to International Markets. Eur. J. Agric. Sci. 2013, 11, 2668–3245. Available online: https://www.researchgate.net/publication/259079829 (accessed on 9 January 2024).
- Begum, M.; Shah, M.M.R.; Mamum, A.A.; Alam, M.J. Comparative study of mud crab (Scylla serrata) fattening practices between two different systems in Bangladesh. J. Bangladesh Agric. Univ. 2009, 7, 151–156. [Google Scholar] [CrossRef]
- Pawiro, S. Markets and marketing trends for aquaculture products in Southeast Asia. In Responsible Aquaculture Development in Southeast Asia. Proceedings of the Seminar-Workshop on Aquaculture Development in Southeast Asia organized by the SEAFDEC Aquaculture Department, 12–14 October 1999, Tigbauan, Iloilo City, Philippines; Garcia, L.M.B., Ed.; SEAFDEC Aquaculture Department: Iloilo, Philippines, 2001; pp. 121–132. [Google Scholar]
- Cebola, A.J. Levantamento da Fauna de Caranguejo de no Chuabo Dembe e Mucupia, Distrito de Inhassunge, Província da Zambézia; Monografia de Licenciatura em Biologia Marinha, Escola Superior de Ciências Marinhas e Costeiras da Universidade Eduardo Mondlane: Quelimane, Moçambique, 2011. [Google Scholar]
- Duarte, L.F.A.; Rodrigues, E.S.; Gasalla, M.A. Contextualização da pesca mundial de lagostas e características de comercialização de Scyllarides Spp. E Panulirus Spp. Na baixada santista, Estado de São Paulo, Brasil. Bol. Inst. Pesca 2011, 37, 235–246. [Google Scholar]
- Mualeque, D.O.; Morais, E.; Amoda, C.; Secanhe, Z. Biologia Reprodutiva do Caranguejo de Mangal (Scylla serrata, Forskal, 1775) no Distrito de Mocubela, Província da Zambézia, Moçambique; Instituto Nacional de Investigação Pesqueira (IIP), Moçambique—Delegação da Zambézia: Maputo, Moçambique, 2019. [Google Scholar]
- Costa, E.; Leitão, F. Land Use and Land Cover in Communities along the Bons Sinais Estuary, Mozambique; Dryad: London, UK, 2022; Available online: https://datadryad.org/stash/dataset/doi:10.5061/dryad.1zcrjdft0 (accessed on 12 February 2024).
- Frey, L.; Botan, C.; Kreps, G. Investigating Communication: An Introduction to Research Methods, 2nd ed.; Allyn & Bacon: Boston, MA, USA, 1999. [Google Scholar]
- Francisco, R.P.; Hoguane, A.M.; Simbine, R.L.; Mabota, H.S. Household dependence on fish-based farming systems in the Bons Sinais Estuary in Mozambique. WIO J. Mar. Sci. 2021, 29–41. [Google Scholar] [CrossRef]
- Kronen, M. Fishing for fortunes? A socio-economic assessment of Tonga’s artisanal fisheries. Fish. Res. 2004, 70, 121–134. [Google Scholar] [CrossRef][Green Version]
- Allison, E.H.; Ellis, F. The livelihoods approach and management of small-scale fisheries. Mar. Policy 2001, 25, 377–388. [Google Scholar] [CrossRef]
- Gustavson, K. Economic production from the artisanal fisheries of Jamaica. Fish. Res. 2002, 57, 103–115. [Google Scholar] [CrossRef]
- Mankiw, N.G. Principles of Microeconomics, 2nd ed.; Harvard University: Cambridge, MA, USA, 2008. [Google Scholar]
- Smith, S.L.; Karasik, R.; Stavrinaky, A.; Uchida, H.; Burden, M. Fishery Socioeconomic Outcomes Tool: A rapid assessment tool for evaluating socioeconomic performance of fisheries management. Mar. Policy 2019, 105, 20–29. [Google Scholar] [CrossRef]
- Agostinho, A.A.; Gomes, L.C.; Pelicice, F.M. Ecologia e Manejo de Recursos Pesqueiros em Reservatórios do Brasil; Editora da Universidade Estadual de Maringá (EDUEM): Maringá, Brazil, 2007; pp. 10–260. [Google Scholar]
- Ministério da Administração Estatal (MAE). Perfil do Distrito de Inhassunge-Zambezia; MAE: Maputo, Mozambique, 2005; pp. 14–25.
- Franquesa, R.; Malouli Idrissi, M.; Alarcón, J.M. Feasibility Assessment Study on the Setting-up of a Socio-economic Indicator Database for Managing Fisheries. 2001. Available online: https://www.oecd.org/greengrowth/fisheries/2639203.pdf (accessed on 13 February 2024).
- Minayo, M.C.S. O Desafio do Conhecimento: Pesquisa Qualitativa em Saúde, 8th ed.; Hucitec: São Paulo, Brazil, 2004; pp. 3–269. [Google Scholar]
- Silva, M.C.; Oliveira, A.S.; Nunes, G.Q. Caracterização socioeconômica da pesca artesanal no município de Conceição do Araguaia, Estado do Pará. Amaz. Ciência Desenvolv. 2007, 2, 3–15. [Google Scholar]
- Bailey, K.D. Methods of Social Research, 2nd ed.; The Free Press: New York, NY, USA, 1982. [Google Scholar]
- Chung, N.C.; Miasojedow, B.ł.Ż.; Startek, M.ł.; Gambin, A. Jaccard/Tanimoto similarity test and estimation methods for biological presence-absence data. BMC Bioinform. 2019, 20 (Suppl. S15), 644. [Google Scholar] [CrossRef] [PubMed]
- Koeneman, S.H.; Cavanaugh, J.E. An Improved Asymptotic Test for the Jaccard Similarity Index for Binary Data. Stat. Probab. Lett. 2022, 184, 1–5. [Google Scholar] [CrossRef]
- Podani, J. The wonder of the Jaccard coefficient: From alpine floras to bipartite networks. Flora Mediterr. J. 2021, 31, 105–123. [Google Scholar] [CrossRef]
- Shi, Y.; Macy, M. Measuring structural similarity in large online networks. Soc. Sci. Res. 2016, 59, 97–106. [Google Scholar] [CrossRef] [PubMed]
- Saaty, T.L. Concepts, theory, and techniques: Rank generation, preservation, and reversal in the analytic decision process. Decis. Sci. 1987, 18, 157–177. [Google Scholar] [CrossRef]
- Silva, M.G.; Cândido, G.A.; Martins, M.F. Método de construção do índice de desenvolvimento local sustentável: Uma proposta metodológica aplicada. Rev. Bras. De Prod. Agroindustriais 2009, 11, 55–72. [Google Scholar] [CrossRef]
- Filho, D.B.F.; Paranhos, R.; Rocha, E.C.; Silva, J.A., Jr.; Maia, R.G. Análise de componentes principais para construção de indicadores sociais. Rev. Bras. Biom. 2013, 31, 61–78. [Google Scholar]
- Kubrusly, L.S. Um procedimento para calcular índices a partir de uma Base de dados multivariados. Pesqui. Oper. 2001, 21, 107–117. [Google Scholar] [CrossRef]
- Instituto Nacional de Estatítica-INE. Recenseamento Geral da População e Habitação. 2017. Available online: https://www.ine.gov.mz/web/guest/d/indicadores-socio-demograficos-mocambique-20062022 (accessed on 13 February 2024).
- Katikiro, R.E. Reef Fisheries and Livelihoods in Coastal Villages of Southern Tanzania: Lessons for Adaptation to Environmental Change? Ph.D. Thesis, University of Bremen, Bremen, Germany, 2014. [Google Scholar]
- Karama, K.S.; Okemwa, G.M.; Kimani, E.N.; Aura, C.M.; Mwakiti, S.M.; Odongo, D.; Ochiewo, J.; Munyi, F.; Waiyaki, E.; Owiti, H.; et al. Rapid Assessment of the Lamu Beach Seine Fishery; KCDP Technical Report; KCDP: Mombasa, Kenya, 2016; Volume 45. [Google Scholar] [CrossRef]
- Fechine, B.R.A.; Trompieri, N. O processo de envelhecimento: As principais alterações que acontecem com o idoso com o passar dos anos. Rev. Científica Int. 2012, 1. [Google Scholar] [CrossRef]
- Macia, A.; Afonso, P.S. The Mud Crab Scylla serrata (Forskål) in Maputo Bay, Mozambique; WIOMSA: Zanzibar, Tanzania, 2014; pp. 3–5. Available online: https://www.researchgate.net/publication/261621563 (accessed on 16 May 2020).
- Dias, T.L.P.; Rosa, S.R.; Damasceno, L.C.P. Aspectos Socioeconômicos, Percepção Ambiental e Perspectivas das Mulheres Marisqueiras da Reserva de Desenvolvimento Sustentável Ponta do Tubarão (Rio Grande do Norte, Brasil). Rev. Gaia Sci. 2007, 1, 1. Available online: https://periodicos.ufpb.br/ojs/index.php/gaia/article/view/2225 (accessed on 12 February 2024).
- Mattos, P.P.; Morais, N.I.; Aloufa, M. Reserva de Desenvolvimento Sustentável: Avanço na concepção de áreas protegidas? Soc. Nat. 2011, 23, 409–422. [Google Scholar] [CrossRef]
- Ministério Do Mar, Águas Interiores e Pescas—Instituto Nacional para Desenvolvimento da Pesca e Aquacultura (IDEPA). Estudo da cadeia de valor da pesca artesanal no Banco de Sofala; IDEPA: São João da Madeira, Portugal, 2019; pp. 1–124. [Google Scholar]
- Oliveira, J.F.; Novaes, J.L.C.; Segundo, A.L.N.M.; Perreti, D. Fisheries characterization and perception of artisanal fishermen in a Sustainable Development Reserve in Brazilian Northeast. Nat. Online 2016, 14, 48–54. [Google Scholar]
- FAO. Fishery Country Profile; FAO: Maputo, Mozambique, 2007; pp. 3–17. Available online: http://www.fao.org/fishery/docs/DOCUMENT/fcp/en/FI_CP_MZ.pdf (accessed on 13 February 2020).
- Mehdi, H.; Lau, S.C.; Synyshyn, C.; Salena, M.G.; Morphet, M.E.; Hamilton, J.; Muzzatti, M.N.; McCallum, E.S.; Midwood, J.D.; Balshine, S. A comparison of passive and active gear in fish community assessments in summer versus winter. Fish. Res. 2021, 242, 1–11. [Google Scholar] [CrossRef]
- Cardenas, M.A.S. Ethnic and Cultural Homogeneity: An Obstacle for Development; Northeastern University: Boston, MA, USA, 2019; pp. 1–23. [Google Scholar] [CrossRef]
- Maruyama, L.S.; Castro, P.M.G.; Paiva, P. Pesca artesanal no médio e baixo Tietê, São Paulo, Brasil: Aspectos Estruturais e Socioeconômicos. Bol. Inst. Pesca 2009, 35, 61–81. [Google Scholar]
- Carvalho, A.R. Social and structural aspects of artisanal fishing in the upper Paraná River Floodplain (Brazil). Bol. Inst. Pesca 2004, 30, 35–42. [Google Scholar]
- Israel, G.D.; Beaulieu, L.J.; Hartless, G. The Influence of Family and Community Social Capital on Educational Achievement. Rural Sociol. 2001, 66, 43–68. [Google Scholar] [CrossRef]
- Yamamura, E. The Role of Social Capital in Homogeneous Society: Review of Recent Researches in Japan. 2008, pp. 1–28. Available online: https://www.researchgate.net/publication/23543285 (accessed on 13 February 2024).
- O’Boyle, E.J. Opportunity Cost, Decision-Making, Limits, and Human Development. 2020, pp. 1–19. Available online: https://www.researchgate.net/publication/340716274 (accessed on 13 February 2024).








| Categories | Variables | Abbreviations | Definition (Indicators) |
|---|---|---|---|
| Fishing activity (FA) | Fishing experience (years) | FEX | It is the number of years that a fisher has been involved in fishing activity. |
| Fishing effort (month) | FE | Refers to the number of days per month that the fisher spends fishing. | |
| Expenses for fishing | EF | Refers to investment in fishing inputs (line, hook, bait, and other). | |
| Monthly catches | CPUE | Refers to crab total catch per month per fisher (kg/month). | |
| Fishing Revenue/income | RPUE | Refers to the monthly revenue by fisher (EUR/month). | |
| Family structure (FS) | Age structure | AS | Age of fishers. |
| household | HSD | Household size in number. | |
| Number of dependants | ND | Number of dependants/children | |
| Typology of investment/household expenditure (HE) | Basic goods | BG | Refers to the types of goods that satisfy the first needs of any family (Table, Chair, Tableware, Bed, Blanket, and Clothes). |
| Basic services | BS | Refers to the application of revenue to ensure basic family services (Food, Health, the education of children, Fund own school, Fund school for brothers, etc.). | |
| Communication and information goods | CIG | Refers to the technological devices that facilitate interconnectivity between people, communities, regions, and information flow (Radio, Television, and Mobile phone). | |
| Development goods and family evolution | DGFE | Refers to goods that demonstrate evolution and improvement in living conditions (Land acquisition, Conventional house investment, Acquisition of building material, and Solar panel or electricity). | |
| Mobility goods | MG | Refers to transport that facilitates the movement of people and goods (bicycle, motorbike, and car). | |
| Other activities (OTA) | Complementary activities | OTA | Refers to complementary revenue activities in addition to fishing (Selling agricultural crops, burning charcoal, bicycle/taxi, and electricity). |
| Comparison Scale | ||||||||
|---|---|---|---|---|---|---|---|---|
| 1/9 | 1/7 | 1/5 | 1/3 | 1 | 3 | 5 | 7 | 9 |
| No importance | Very little importance | Less important | Moderately less important | Equal importance | Moderately important | Very important | Very great importance | Absolute importance |
| Rating Scale | |||
|---|---|---|---|
| Critical | Alert | Acceptable | Ideal |
| 0–0.25 | 0.26–0.50 | 0.51–0.75 | 0.76–1 |
| Household Expenditure Indicators | Code | Correlation with Fishing Revenue (RPUE) | |
|---|---|---|---|
| r | p-Value | ||
| Basic services | BS | −0.04 | p (0.74) > 0.05 |
| Basic goods | BG | 0.09 | p (0.47) > 0.05 |
| Communication and information goods | CIG | 0.04 | p (0.71) > 0.05 |
| Development goods and family evolution | DGFE | 0.18 | p (0.13) > 0.05 |
| Mobility goods | MG | 0.15 | p (0.22) > 0.05 |
| Household Expenditure Indicators | Code | Correlation with FCI | |
|---|---|---|---|
| r | p-Value | ||
| Basic services | BS | 0.16 | p (0.05) = 0.05 |
| Basic goods | BG | 0.23 | p (0.05) = 0.05 |
| Communication and information goods | CIG | 0.12 | p (0.14) > 0.05 |
| Development goods and family evolution | DGFE | 0.20 | p (0.31) > 0.05 |
| Mobility goods | MG | 0.34 | p (0.004) < 0.05 |
Disclaimer/Publisher’s Note: The statements, opinions and data contained in all publications are solely those of the individual author(s) and contributor(s) and not of MDPI and/or the editor(s). MDPI and/or the editor(s) disclaim responsibility for any injury to people or property resulting from any ideas, methods, instructions or products referred to in the content. |
© 2024 by the authors. Licensee MDPI, Basel, Switzerland. This article is an open access article distributed under the terms and conditions of the Creative Commons Attribution (CC BY) license (https://creativecommons.org/licenses/by/4.0/).
Share and Cite
Manuessa, B.C.; Cuinhane, C.J.O.; Borges, T.C.; Teodósio, M.A.; Leitão, F. Socioeconomic Importance of the Small-Scale Mud Crab Fishing (Scylla Serrata, Forskall 1775) in the Bons Sinais Estuary—Mozambique. Sustainability 2024, 16, 1874. https://doi.org/10.3390/su16051874
Manuessa BC, Cuinhane CJO, Borges TC, Teodósio MA, Leitão F. Socioeconomic Importance of the Small-Scale Mud Crab Fishing (Scylla Serrata, Forskall 1775) in the Bons Sinais Estuary—Mozambique. Sustainability. 2024; 16(5):1874. https://doi.org/10.3390/su16051874
Chicago/Turabian StyleManuessa, Bonifácio Carlitos, Calmila J. O. Cuinhane, Teresa Cerveira Borges, Maria Alexandra Teodósio, and Francisco Leitão. 2024. "Socioeconomic Importance of the Small-Scale Mud Crab Fishing (Scylla Serrata, Forskall 1775) in the Bons Sinais Estuary—Mozambique" Sustainability 16, no. 5: 1874. https://doi.org/10.3390/su16051874
APA StyleManuessa, B. C., Cuinhane, C. J. O., Borges, T. C., Teodósio, M. A., & Leitão, F. (2024). Socioeconomic Importance of the Small-Scale Mud Crab Fishing (Scylla Serrata, Forskall 1775) in the Bons Sinais Estuary—Mozambique. Sustainability, 16(5), 1874. https://doi.org/10.3390/su16051874

